Last updated: 2020-10-26

Checks: 7 0

Knit directory: misc/analysis/

This reproducible R Markdown analysis was created with workflowr (version 1.6.2). The Checks tab describes the reproducibility checks that were applied when the results were created. The Past versions tab lists the development history.


Great! Since the R Markdown file has been committed to the Git repository, you know the exact version of the code that produced these results.

Great job! The global environment was empty. Objects defined in the global environment can affect the analysis in your R Markdown file in unknown ways. For reproduciblity it’s best to always run the code in an empty environment.

The command set.seed(1) was run prior to running the code in the R Markdown file. Setting a seed ensures that any results that rely on randomness, e.g. subsampling or permutations, are reproducible.

Great job! Recording the operating system, R version, and package versions is critical for reproducibility.

Nice! There were no cached chunks for this analysis, so you can be confident that you successfully produced the results during this run.

Great job! Using relative paths to the files within your workflowr project makes it easier to run your code on other machines.

Great! You are using Git for version control. Tracking code development and connecting the code version to the results is critical for reproducibility.

The results in this page were generated with repository version 1f13992. See the Past versions tab to see a history of the changes made to the R Markdown and HTML files.

Note that you need to be careful to ensure that all relevant files for the analysis have been committed to Git prior to generating the results (you can use wflow_publish or wflow_git_commit). workflowr only checks the R Markdown file, but you know if there are other scripts or data files that it depends on. Below is the status of the Git repository when the results were generated:


Ignored files:
    Ignored:    .DS_Store
    Ignored:    .Rhistory
    Ignored:    .Rproj.user/
    Ignored:    analysis/.RData
    Ignored:    analysis/.Rhistory
    Ignored:    analysis/ALStruct_cache/
    Ignored:    data/.Rhistory
    Ignored:    data/pbmc/

Untracked files:
    Untracked:  .dropbox
    Untracked:  Icon
    Untracked:  analysis/GHstan.Rmd
    Untracked:  analysis/GTEX-cogaps.Rmd
    Untracked:  analysis/PACS.Rmd
    Untracked:  analysis/Rplot.png
    Untracked:  analysis/SPCAvRP.rmd
    Untracked:  analysis/admm_02.Rmd
    Untracked:  analysis/admm_03.Rmd
    Untracked:  analysis/compare-transformed-models.Rmd
    Untracked:  analysis/cormotif.Rmd
    Untracked:  analysis/cp_ash.Rmd
    Untracked:  analysis/eQTL.perm.rand.pdf
    Untracked:  analysis/eb_prepilot.Rmd
    Untracked:  analysis/eb_var.Rmd
    Untracked:  analysis/ebpmf1.Rmd
    Untracked:  analysis/flash_test_tree.Rmd
    Untracked:  analysis/flash_tree.Rmd
    Untracked:  analysis/ieQTL.perm.rand.pdf
    Untracked:  analysis/lasso_em_03.Rmd
    Untracked:  analysis/m6amash.Rmd
    Untracked:  analysis/mash_bhat_z.Rmd
    Untracked:  analysis/mash_ieqtl_permutations.Rmd
    Untracked:  analysis/mixsqp.Rmd
    Untracked:  analysis/mr.ash_lasso_init.Rmd
    Untracked:  analysis/mr.mash.test.Rmd
    Untracked:  analysis/mr_ash_modular.Rmd
    Untracked:  analysis/mr_ash_parameterization.Rmd
    Untracked:  analysis/mr_ash_pen.Rmd
    Untracked:  analysis/mr_ash_ridge.Rmd
    Untracked:  analysis/nejm.Rmd
    Untracked:  analysis/nmf_bg.Rmd
    Untracked:  analysis/normal_conditional_on_r2.Rmd
    Untracked:  analysis/normalize.Rmd
    Untracked:  analysis/pbmc.Rmd
    Untracked:  analysis/poisson_transform.Rmd
    Untracked:  analysis/pseudodata.Rmd
    Untracked:  analysis/qrnotes.txt
    Untracked:  analysis/ridge_iterative_02.Rmd
    Untracked:  analysis/ridge_iterative_splitting.Rmd
    Untracked:  analysis/samps/
    Untracked:  analysis/sc_bimodal.Rmd
    Untracked:  analysis/shrinkage_comparisons_changepoints.Rmd
    Untracked:  analysis/susie_en.Rmd
    Untracked:  analysis/susie_z_investigate.Rmd
    Untracked:  analysis/svd-timing.Rmd
    Untracked:  analysis/temp.RDS
    Untracked:  analysis/temp.Rmd
    Untracked:  analysis/test-figure/
    Untracked:  analysis/test.Rmd
    Untracked:  analysis/test.Rpres
    Untracked:  analysis/test.md
    Untracked:  analysis/test_qr.R
    Untracked:  analysis/test_sparse.Rmd
    Untracked:  analysis/z.txt
    Untracked:  code/multivariate_testfuncs.R
    Untracked:  code/rqb.hacked.R
    Untracked:  data/4matthew/
    Untracked:  data/4matthew2/
    Untracked:  data/E-MTAB-2805.processed.1/
    Untracked:  data/ENSG00000156738.Sim_Y2.RDS
    Untracked:  data/GDS5363_full.soft.gz
    Untracked:  data/GSE41265_allGenesTPM.txt
    Untracked:  data/Muscle_Skeletal.ACTN3.pm1Mb.RDS
    Untracked:  data/Thyroid.FMO2.pm1Mb.RDS
    Untracked:  data/bmass.HaemgenRBC2016.MAF01.Vs2.MergedDataSources.200kRanSubset.ChrBPMAFMarkerZScores.vs1.txt.gz
    Untracked:  data/bmass.HaemgenRBC2016.Vs2.NewSNPs.ZScores.hclust.vs1.txt
    Untracked:  data/bmass.HaemgenRBC2016.Vs2.PreviousSNPs.ZScores.hclust.vs1.txt
    Untracked:  data/eb_prepilot/
    Untracked:  data/finemap_data/fmo2.sim/b.txt
    Untracked:  data/finemap_data/fmo2.sim/dap_out.txt
    Untracked:  data/finemap_data/fmo2.sim/dap_out2.txt
    Untracked:  data/finemap_data/fmo2.sim/dap_out2_snp.txt
    Untracked:  data/finemap_data/fmo2.sim/dap_out_snp.txt
    Untracked:  data/finemap_data/fmo2.sim/data
    Untracked:  data/finemap_data/fmo2.sim/fmo2.sim.config
    Untracked:  data/finemap_data/fmo2.sim/fmo2.sim.k
    Untracked:  data/finemap_data/fmo2.sim/fmo2.sim.k4.config
    Untracked:  data/finemap_data/fmo2.sim/fmo2.sim.k4.snp
    Untracked:  data/finemap_data/fmo2.sim/fmo2.sim.ld
    Untracked:  data/finemap_data/fmo2.sim/fmo2.sim.snp
    Untracked:  data/finemap_data/fmo2.sim/fmo2.sim.z
    Untracked:  data/finemap_data/fmo2.sim/pos.txt
    Untracked:  data/logm.csv
    Untracked:  data/m.cd.RDS
    Untracked:  data/m.cdu.old.RDS
    Untracked:  data/m.new.cd.RDS
    Untracked:  data/m.old.cd.RDS
    Untracked:  data/mainbib.bib.old
    Untracked:  data/mat.csv
    Untracked:  data/mat.txt
    Untracked:  data/mat_new.csv
    Untracked:  data/matrix_lik.rds
    Untracked:  data/paintor_data/
    Untracked:  data/temp.txt
    Untracked:  data/y.txt
    Untracked:  data/y_f.txt
    Untracked:  data/zscore_jointLCLs_m6AQTLs_susie_eQTLpruned.rds
    Untracked:  data/zscore_jointLCLs_random.rds
    Untracked:  explore_udi.R
    Untracked:  output/fit.k10.rds
    Untracked:  output/fit.varbvs.RDS
    Untracked:  output/glmnet.fit.RDS
    Untracked:  output/test.bv.txt
    Untracked:  output/test.gamma.txt
    Untracked:  output/test.hyp.txt
    Untracked:  output/test.log.txt
    Untracked:  output/test.param.txt
    Untracked:  output/test2.bv.txt
    Untracked:  output/test2.gamma.txt
    Untracked:  output/test2.hyp.txt
    Untracked:  output/test2.log.txt
    Untracked:  output/test2.param.txt
    Untracked:  output/test3.bv.txt
    Untracked:  output/test3.gamma.txt
    Untracked:  output/test3.hyp.txt
    Untracked:  output/test3.log.txt
    Untracked:  output/test3.param.txt
    Untracked:  output/test4.bv.txt
    Untracked:  output/test4.gamma.txt
    Untracked:  output/test4.hyp.txt
    Untracked:  output/test4.log.txt
    Untracked:  output/test4.param.txt
    Untracked:  output/test5.bv.txt
    Untracked:  output/test5.gamma.txt
    Untracked:  output/test5.hyp.txt
    Untracked:  output/test5.log.txt
    Untracked:  output/test5.param.txt

Unstaged changes:
    Modified:   analysis/ash_delta_operator.Rmd
    Modified:   analysis/ash_pois_bcell.Rmd
    Modified:   analysis/lasso_em.Rmd
    Modified:   analysis/minque.Rmd
    Modified:   analysis/mr_missing_data.Rmd
    Modified:   analysis/ridge_admm.Rmd

Note that any generated files, e.g. HTML, png, CSS, etc., are not included in this status report because it is ok for generated content to have uncommitted changes.


These are the previous versions of the repository in which changes were made to the R Markdown (analysis/ridge_em.Rmd) and HTML (docs/ridge_em.html) files. If you’ve configured a remote Git repository (see ?wflow_git_remote), click on the hyperlinks in the table below to view the files as they were in that past version.

File Version Author Date Message
Rmd 1f13992 Matthew Stephens 2020-10-26 workflowr::wflow_publish(“ridge_em.Rmd”)
html 337c53e Matthew Stephens 2020-10-23 Build site.
Rmd 4416109 Matthew Stephens 2020-10-23 wflow_publish(“ridge_em.Rmd”)
html 775be78 Matthew Stephens 2020-06-25 Build site.
Rmd e565785 Matthew Stephens 2020-06-25 workflowr::wflow_publish(“ridge_em.Rmd”)
html 683001e Matthew Stephens 2020-06-11 Build site.
Rmd a820c56 Matthew Stephens 2020-06-11 workflowr::wflow_publish(“ridge_em.Rmd”)
html 89c0a67 Matthew Stephens 2020-05-29 Build site.
Rmd 99534e9 Matthew Stephens 2020-05-29 wflow_publish(“ridge_em.Rmd”)
html 547645e Matthew Stephens 2020-05-29 Build site.
Rmd dbe8327 Matthew Stephens 2020-05-29 workflowr::wflow_publish(“ridge_em.Rmd”)
html b637a05 Matthew Stephens 2020-05-29 Build site.
Rmd 4d19a87 Matthew Stephens 2020-05-29 workflowr::wflow_publish(“ridge_em.Rmd”)

Introduction

Here I am going to experiment with EM algorithm for estimating parameters of ridge regression in different parameterizations.

Initial derivations of EM updates are here. I initially implemented 1,2, and 5 in that document.

A futher derivation for another parameterization is here.

Simple parameterization

\[y \sim N(Xb,s^2)\] \[b \sim N(0,s_b^2I)\]

ridge_em1 = function(y,X, s2,sb2, niter=10){
  XtX = t(X) %*% X
  Xty = t(X) %*% y
  yty = t(y) %*% y
  n = length(y)
  p = ncol(X)
  loglik = rep(0,niter)
  for(i in 1:niter){
    V = chol2inv(chol(XtX+ diag(s2/sb2,p))) 
    
    SigmaY = sb2 *(X %*% t(X)) + diag(s2,n)
    loglik[i] = mvtnorm::dmvnorm(as.vector(y),sigma = SigmaY,log=TRUE)
    
    Sigma1 = s2*V  # posterior variance of b
    mu1 = as.vector(V %*% Xty) # posterior mean of b
    
    s2 = as.vector((yty + sum(diag(XtX %*% (mu1 %*% t(mu1) + Sigma1)))- 2*sum(Xty*mu1))/n)
    sb2 = mean(mu1^2+diag(Sigma1))
   
  }
  return(list(s2=s2,sb2=sb2,loglik=loglik,postmean=mu1))
}

Scaled parameterization

In this parameterization I take the \(s_b\) out of the prior and put it \[y \sim N(s_b Xb,s^2)\] \[b \sim N(0,I)\].

ridge_em2 = function(y,X, s2,sb2, niter=10){
  XtX = t(X) %*% X
  Xty = t(X) %*% y
  yty = t(y) %*% y
  n = length(y)
  p = ncol(X)
  loglik = rep(0,niter)
  for(i in 1:niter){
    V = chol2inv(chol(XtX+ diag(s2/sb2,p))) 
    
    SigmaY = sb2 *(X %*% t(X)) + diag(s2,n)
    loglik[i] = mvtnorm::dmvnorm(as.vector(y),sigma = SigmaY,log=TRUE)
    
    Sigma1 = (s2/sb2)*V  # posterior variance of b
    mu1 = (sqrt(sb2)/s2)*as.vector(Sigma1 %*% Xty) # posterior mean of b
    
    sb2 = (sum(mu1*Xty)/sum(diag(XtX %*% (mu1 %*% t(mu1) + Sigma1))))^2
    s2 = as.vector((yty + sb2*sum(diag(XtX %*% (mu1 %*% t(mu1) + Sigma1)))- 2*sqrt(sb2)*sum(Xty*mu1))/n)
  }
  return(list(s2=s2,sb2=sb2,loglik=loglik,postmean=mu1*sqrt(sb2)))
}

A hybrid/redundant parameterization

Motivated by initial observations that 1 and 2 can converge well in different settings I implemented a hybrid of the two:

\[y \sim N(s_b Xb,s^2)\] \[b \sim N(0,\lambda^2).\] Note that there is a redundancy/non-identifiability here as the likelihood depends only on \(s_b^2 \lambda^2\). The hope is to get the best of both worlds…

ridge_em3 = function(y,X, s2, sb2, l2, niter=10){
  XtX = t(X) %*% X
  Xty = t(X) %*% y
  yty = t(y) %*% y
  n = length(y)
  p = ncol(X)
  loglik = rep(0,niter)
  for(i in 1:niter){
    V = chol2inv(chol(XtX+ diag(s2/(sb2*l2),p))) 
    
    SigmaY = l2*sb2 *(X %*% t(X)) + diag(s2,n)
    loglik[i] = mvtnorm::dmvnorm(as.vector(y),sigma = SigmaY,log=TRUE)
    
    Sigma1 = (s2/sb2)*V  # posterior variance of b
    mu1 = (1/sqrt(sb2))*as.vector(V %*% Xty) # posterior mean of b
    
   
    sb2 = (sum(mu1*Xty)/sum(diag(XtX %*% (mu1 %*% t(mu1) + Sigma1))))^2
    s2 = as.vector((yty + sb2*sum(diag(XtX %*% (mu1 %*% t(mu1) + Sigma1)))- 2*sqrt(sb2)*sum(Xty*mu1))/n)
     
    l2 = mean(mu1^2+diag(Sigma1))
   
  }
  return(list(s2=s2,sb2=sb2,l2=l2,loglik=loglik,postmean=mu1*sqrt(sb2)))
}

Avoiding large 2nd moment computation

The previous parameterizations require the full second moment of \(b\), which is a \(p\) times \(p\) matrix. This can be expensive to compute if \(p\) is big. The following parameterization avoids this.

\[y \sim N(sXb, s^2 I)\]

\[b \sim N(0,s_b^2I)\]

(Note that for simplicity I still do compute the \(p \times p\) matrix, as for now it is the easiest way to implement the ridge regression).

dot = function(x,y){sum(x*y)}

ridge_em4 = function(y, X, s2, sb2,  niter=10){
  XtX = t(X) %*% X
  Xty = t(X) %*% y
  yty = t(y) %*% y
  n = length(y)
  p = ncol(X)
  loglik = rep(0,niter)
  for(i in 1:niter){
    
    SigmaY = s2*sb2 *(X %*% t(X)) + diag(s2,n)
    loglik[i] = mvtnorm::dmvnorm(as.vector(y),sigma = SigmaY,log=TRUE)
    
    Sigma1 = chol2inv(chol(XtX + diag(1/sb2,p)))  # posterior variance of b
    mu1 = (1/sqrt(s2))*as.vector(Sigma1 %*% Xty) # posterior mean of b
    
    sb2 = mean(mu1^2+diag(Sigma1))
    yhat = X %*% mu1
    
    s2 = drop((0.5/n)* (sqrt(dot(y,yhat)^2 + 4*n*yty) - dot(y,yhat)))^2
   
  }
  return(list(s2=s2,sb2=sb2,loglik=loglik,postmean=mu1*sqrt(s2)))
}

Another redundant parameterization

Here I consider \[y \sim N(s_b Xb, s^2 I)\] where \[b \sim N(0,s^2 \lambda^2I).\]

This is like the redundant parameterization above, except that the prior on \(b\) is scaled by the residual variance (\(s^2\)). This is motivated by the result in the Blasso paper that this makes the posterior on \(s^2,b\) convex.

ridge_em5 = function(y,X, s2, sb2, l2, niter=10){
  XtX = t(X) %*% X
  Xty = t(X) %*% y
  yty = t(y) %*% y
  n = length(y)
  p = ncol(X)
  loglik = rep(0,niter)
  for(i in 1:niter){
    
    SigmaY = l2* s2* sb2 *(X %*% t(X)) + diag(s2,n)
    loglik[i] = mvtnorm::dmvnorm(as.vector(y),sigma = SigmaY,log=TRUE)
    
    #V = chol2inv(chol(XtX+ diag(s2/(sb2*l2),p))) 
    
    Sigma1 = chol2inv(chol((sb2/s2) * XtX + diag(1/(s2*l2),p) ))  # posterior variance of b
    mu1 = (sqrt(sb2)/s2)*as.vector(Sigma1 %*% Xty) # posterior mean of b
    
   
    sb2 = (sum(mu1*Xty)/sum(diag(XtX %*% (mu1 %*% t(mu1) + Sigma1))))^2  #same as em3
    
    s2 = as.vector((sum((mu1^2+diag(Sigma1))/l2)+ yty + sb2*sum(diag(XtX %*% (mu1 %*% t(mu1) + Sigma1)))- 2*sqrt(sb2)*sum(Xty*mu1))/(n+p))  
    # as in em3 but adds sum(mu1^2/l2) to numerator and p to demoninator
     
    l2 = mean(mu1^2+diag(Sigma1))/s2 #as in em3 but divided by s2
   
  }
  return(list(s2=s2,sb2=sb2,l2=l2,loglik=loglik,postmean=mu1*sqrt(sb2)))
}

Alternative EM for this parameterization

This is an alternative EM that reparameterizes the optimization over \(s^2 \Sigma\). The result is that the update for \(s^2\) simplifies and does not depend on \(\Sigma\).

ridge_em6 = function(y,X, s2, sb2, l2, niter=10){
  XtX = t(X) %*% X
  Xty = t(X) %*% y
  yty = t(y) %*% y
  n = length(y)
  p = ncol(X)
  loglik = rep(0,niter)
  for(i in 1:niter){
    
    SigmaY = l2* s2* sb2 *(X %*% t(X)) + diag(s2,n)
    loglik[i] = mvtnorm::dmvnorm(as.vector(y),sigma = SigmaY,log=TRUE)
    
    #V = chol2inv(chol(XtX+ diag(s2/(sb2*l2),p))) 
    
    Sigma1 = chol2inv(chol((sb2/s2) * XtX + diag(1/(s2*l2),p) ))  # posterior variance of b
    mu1 = (sqrt(sb2)/s2)*as.vector(Sigma1 %*% Xty) # posterior mean of b
    
   
    sb2 = (sum(mu1*Xty)/sum(diag(XtX %*% (mu1 %*% t(mu1) + Sigma1))))^2  #same as em3
    
    new_s2 = as.vector((sum((mu1^2)/l2)+ yty + sb2*sum(diag(XtX %*% (mu1 %*% t(mu1) )))- 2*sqrt(sb2)*sum(Xty*mu1))/(n))  
    # as in em5 but without Sigma terms and without p in denominator
    Sigma1 = (new_s2/s2) * Sigma1  
    s2 = new_s2
    
    l2 = mean(mu1^2+diag(Sigma1))/s2 #as in em3 but divided by s2
   
  }
  return(list(s2=s2,sb2=sb2,l2=l2,loglik=loglik,postmean=mu1*sqrt(sb2)))
}

Simple Simulations

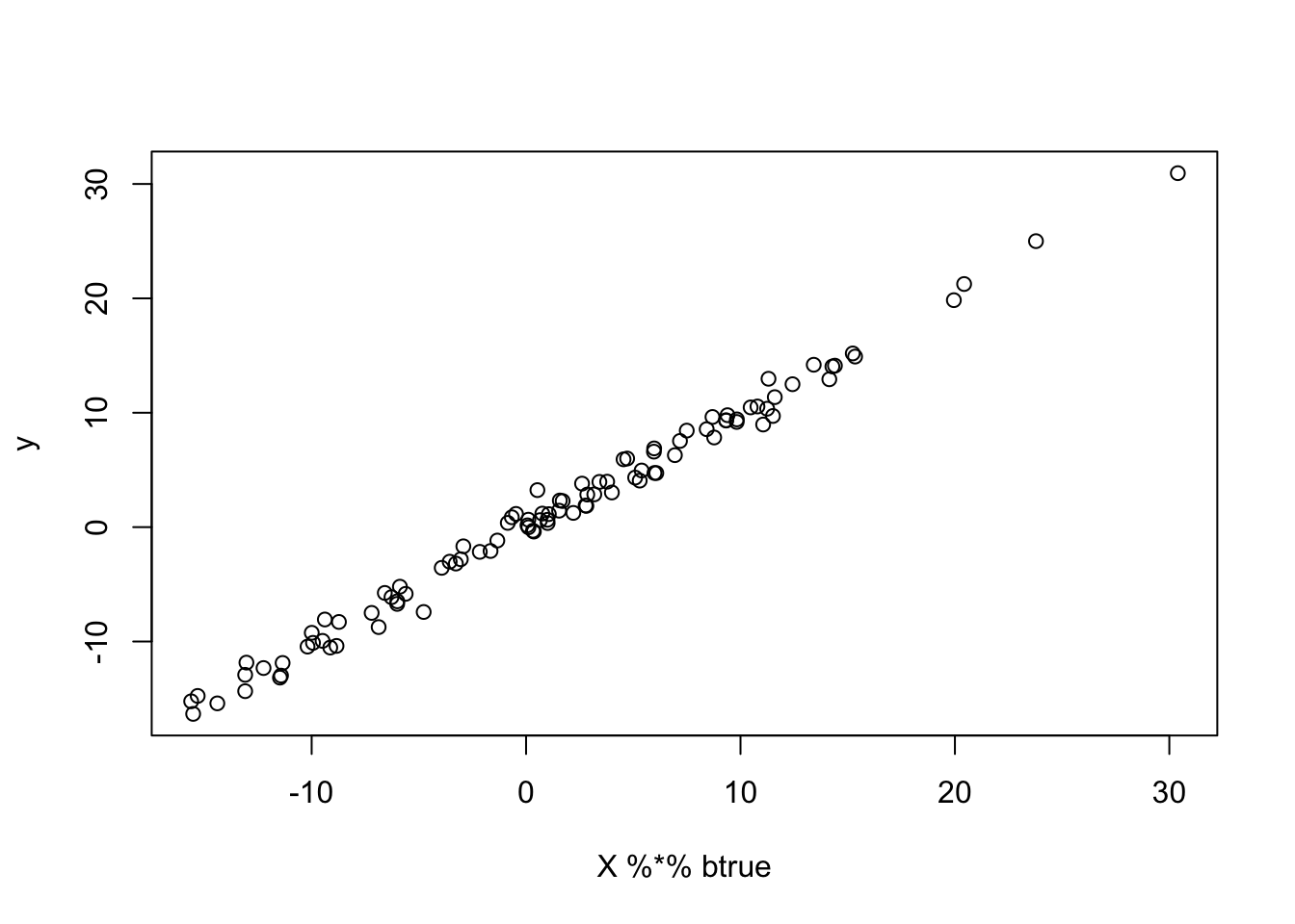
This is a simple simulation with independent design matrix.

High signal:

This simulation has high signal:

set.seed(100)
sd = 1
n = 100
p = n
X = matrix(rnorm(n*p),ncol=n)
btrue = rnorm(n)
y = X %*% btrue + sd*rnorm(n)

plot(X %*% btrue, y)

Version Author Date
337c53e Matthew Stephens 2020-10-23
775be78 Matthew Stephens 2020-06-25
89c0a67 Matthew Stephens 2020-05-29
547645e Matthew Stephens 2020-05-29
b637a05 Matthew Stephens 2020-05-29
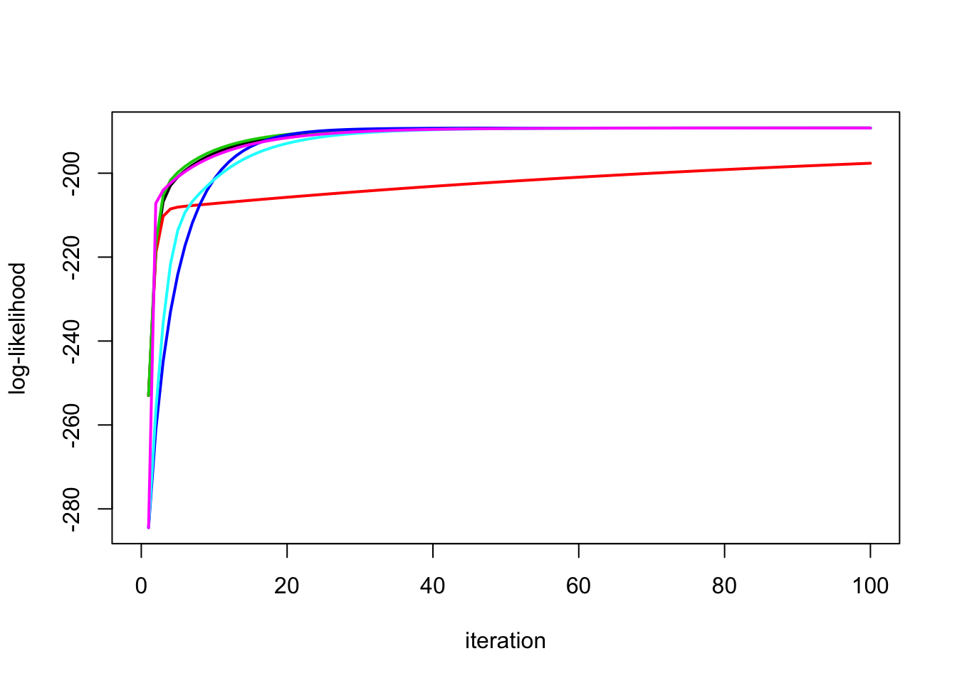
y.em1 = ridge_em1(y,X,1,1,100)
y.em2 = ridge_em2(y,X,1,1,100)
y.em3 = ridge_em3(y,X,1,1,1,100)
y.em4 = ridge_em4(y,X,1,1,100)
y.em5 = ridge_em5(y,X,1,1,1,100)
y.em6 = ridge_em6(y,X,1,1,1,100)


plot_loglik = function(res){
  maxloglik = max(res[[1]]$loglik)
  minloglik = min(res[[1]]$loglik)
  maxlen =length(res[[1]]$loglik)
  for(i in 2:length(res)){
    maxloglik = max(c(maxloglik,res[[i]]$loglik))
    minloglik = min(c(minloglik,res[[i]]$loglik))
    maxlen= max(maxlen, length(res[[i]]$loglik))
  }
  
  
  plot(res[[1]]$loglik,type="n",ylim=c(minloglik,maxloglik),xlim=c(0,maxlen),ylab="log-likelihood",
       xlab="iteration")
  for(i in 1:length(res)){
    lines(res[[i]]$loglik,col=i,lwd=2)
  }

}
res = list(y.em1,y.em2,y.em3,y.em4,y.em5,y.em6)
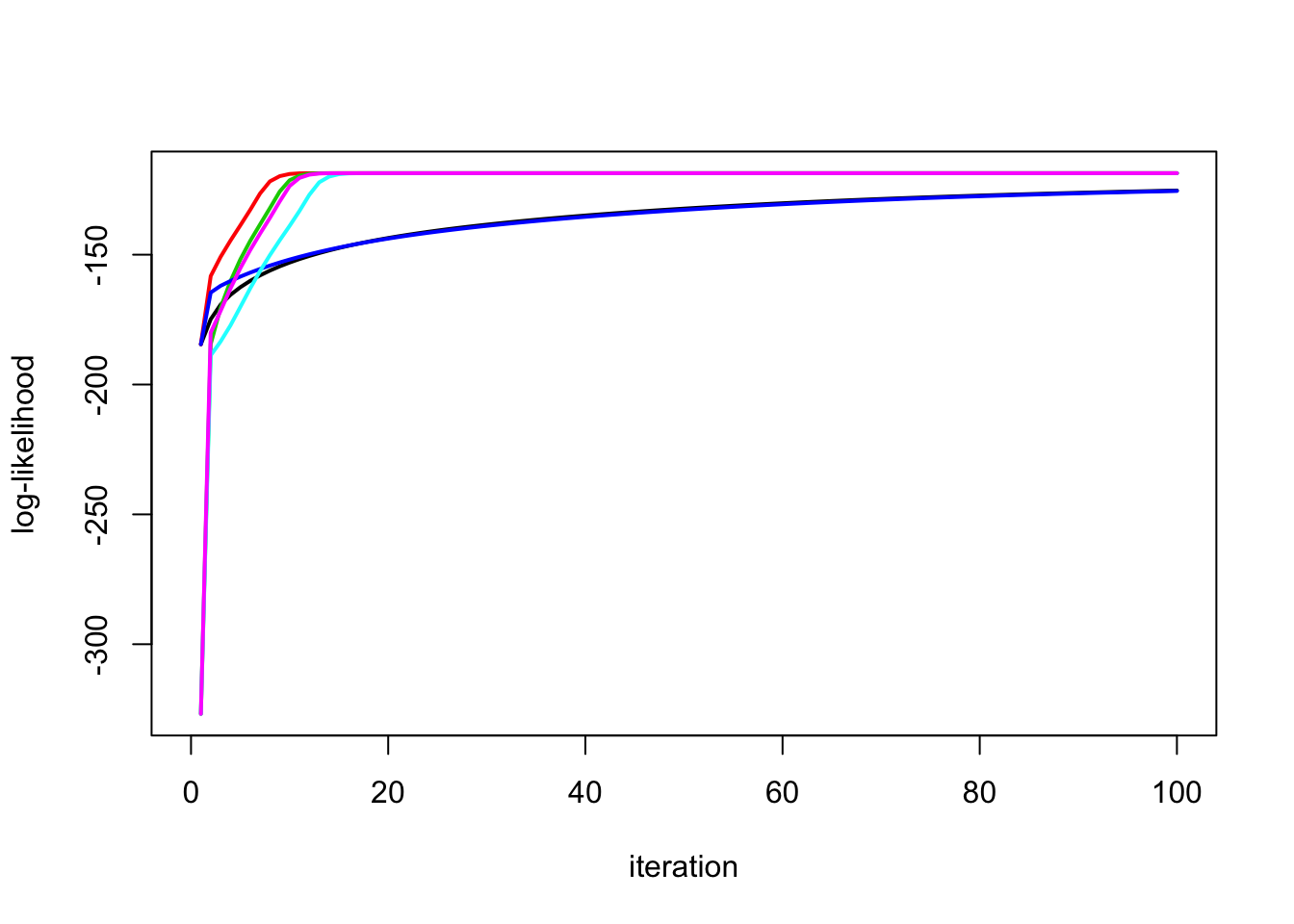
plot_loglik(res)

Version Author Date
337c53e Matthew Stephens 2020-10-23
775be78 Matthew Stephens 2020-06-25
89c0a67 Matthew Stephens 2020-05-29
547645e Matthew Stephens 2020-05-29
b637a05 Matthew Stephens 2020-05-29

No signal

This simulation has no signal (b=0):

btrue = rep(0,n)
y = X %*% btrue + sd*rnorm(n)

y.em1 = ridge_em1(y,X,1,1,100)
y.em2 = ridge_em2(y,X,1,1,100)
y.em3 = ridge_em3(y,X,1,1,1,100)
y.em4 = ridge_em4(y,X,1,1,100)
y.em5 = ridge_em5(y,X,1,1,100)
y.em6 = ridge_em5(y,X,1,1,100)

plot_loglik(list(y.em1,y.em2,y.em3,y.em4,y.em5,y.em6))

Version Author Date
337c53e Matthew Stephens 2020-10-23
775be78 Matthew Stephens 2020-06-25
89c0a67 Matthew Stephens 2020-05-29
547645e Matthew Stephens 2020-05-29

Trendfiltering Simulations

This is more challenging example (in that the design matrix is correlated)

High Signal

set.seed(100)
sd = 1
n = 100
p = n
X = matrix(0,nrow=n,ncol=n)
for(i in 1:n){
  X[i:n,i] = 1:(n-i+1)
}
btrue = rep(0,n)
btrue[40] = 8
btrue[41] = -8
y = X %*% btrue + sd*rnorm(n)

plot(y)
lines(X %*% btrue)

y.em1 = ridge_em1(y,X,1,1,100)
lines(X %*% y.em1$postmean,col=1,lwd=2)

y.em2 = ridge_em2(y,X,1,1,100)
lines(X %*% y.em2$postmean,col=2,lwd=2)

y.em3 = ridge_em3(y,X,1,1,1,100)
lines(X %*% y.em3$postmean,col=3,lwd=2)

y.em4 = ridge_em4(y,X,1,1,100)
lines(X %*% y.em4$postmean,col=4,lwd=2)

y.em5 = ridge_em5(y,X,1,1,1,100)
lines(X %*% y.em5$postmean,col=5,lwd=2)

y.em6 = ridge_em6(y,X,1,1,1,100)
lines(X %*% y.em6$postmean,col=6,lwd=2)

Version Author Date
337c53e Matthew Stephens 2020-10-23
775be78 Matthew Stephens 2020-06-25
89c0a67 Matthew Stephens 2020-05-29
547645e Matthew Stephens 2020-05-29

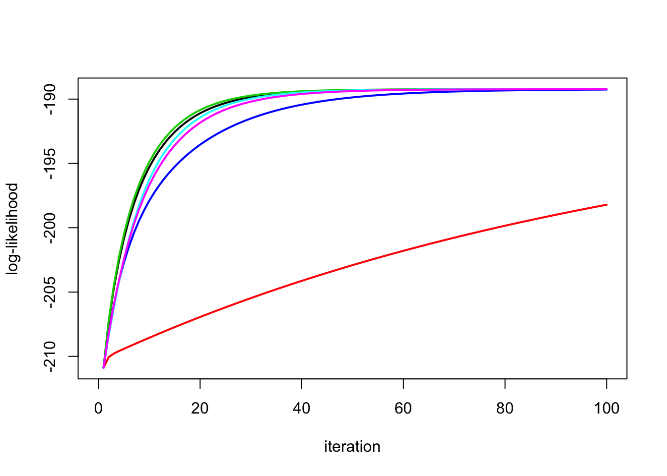
Look at the likelihoods:

plot_loglik(list(y.em1,y.em2,y.em3,y.em4,y.em5,y.em6))

Version Author Date
337c53e Matthew Stephens 2020-10-23
775be78 Matthew Stephens 2020-06-25
89c0a67 Matthew Stephens 2020-05-29
547645e Matthew Stephens 2020-05-29

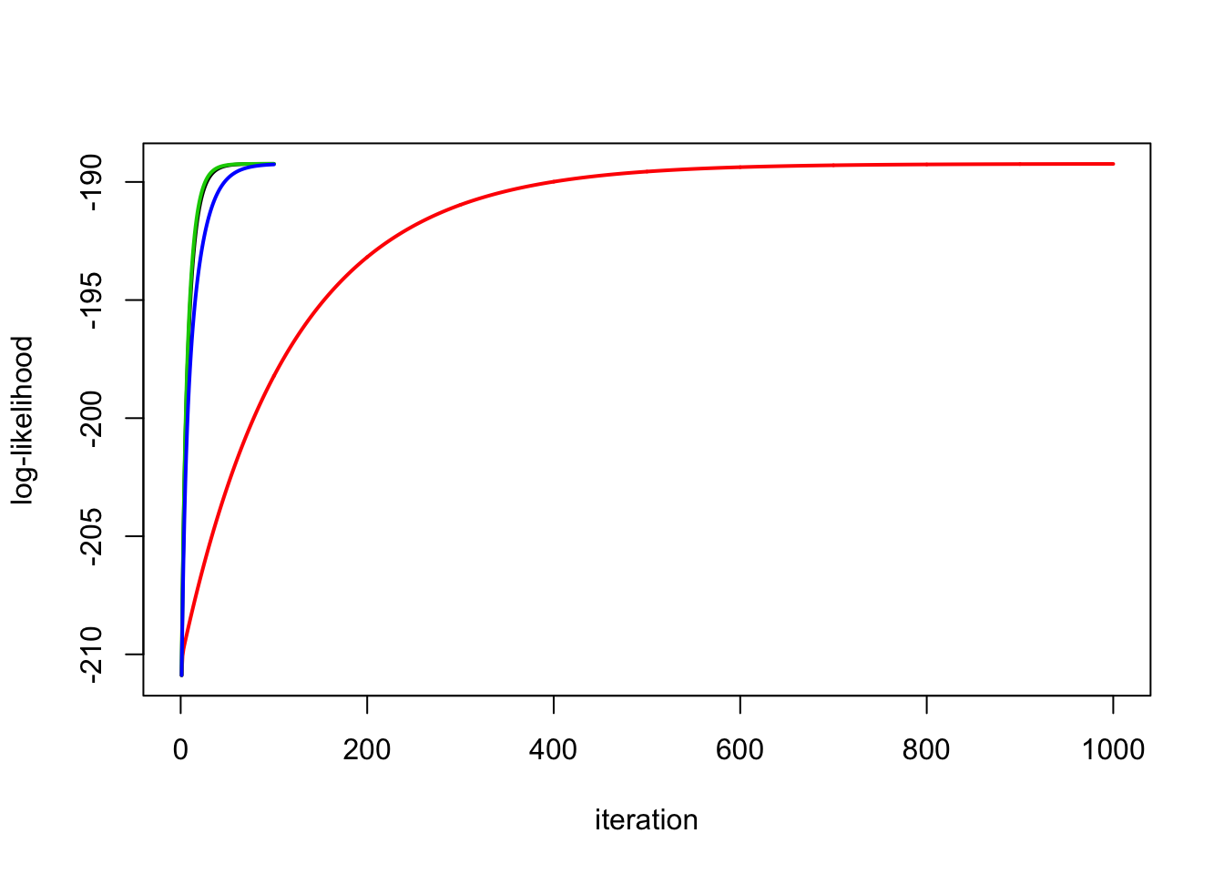
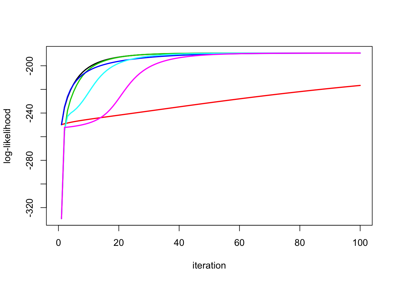
Run the second one longer and check it:

y.em2 = ridge_em2(y,X,1,1,1000)
plot_loglik(list(y.em1,y.em2,y.em3,y.em4))

Version Author Date
337c53e Matthew Stephens 2020-10-23
775be78 Matthew Stephens 2020-06-25
547645e Matthew Stephens 2020-05-29
y.em1$sb2
[1] 0.02203472
y.em2$sb2
[1] 0.02305466
y.em3$sb2 * y.em3$l2
[1] 0.02189412
y.em4$sb2 * y.em4$s2
[1] 0.02435217
y.em5$sb2 * y.em5$l2 * y.em5$s2
[1] 0.02207946
y.em6$sb2 * y.em6$l2 * y.em6$s2
[1] 0.02237323
y.em1$s2
[1] 1.612878
y.em2$s2
[1] 1.606894
y.em3$s2
[1] 1.613795
y.em4$s2
[1] 1.566927
y.em5$s2
[1] 1.61027
y.em6$s2
[1] 1.60751

Different initializations

Try starting \(s\) in wrong place

y.em1 = ridge_em1(y,X,10,1,100)
y.em2 = ridge_em2(y,X,10,1,100)
y.em3 = ridge_em3(y,X,10,1,1,100)
y.em4 = ridge_em4(y,X,10,1,100)
y.em5 = ridge_em5(y,X,10,1,1,100)
y.em6 = ridge_em6(y,X,10,1,1,100)
plot_loglik(list(y.em1,y.em2,y.em3,y.em4,y.em5,y.em6))

Version Author Date
337c53e Matthew Stephens 2020-10-23
775be78 Matthew Stephens 2020-06-25
89c0a67 Matthew Stephens 2020-05-29
547645e Matthew Stephens 2020-05-29

Try starting \(s2\) in wrong place

y.em1 = ridge_em1(y,X,1,10,100)
y.em2 = ridge_em2(y,X,1,10,100)
y.em3 = ridge_em3(y,X,1,10,10,100)
y.em4 = ridge_em4(y,X,1,10,100)
y.em5 = ridge_em5(y,X,1,10,10,100)
y.em6 = ridge_em6(y,X,1,10,10,100)
plot_loglik(list(y.em1,y.em2,y.em3,y.em4,y.em5,y.em6))

Version Author Date
337c53e Matthew Stephens 2020-10-23
775be78 Matthew Stephens 2020-06-25
89c0a67 Matthew Stephens 2020-05-29
547645e Matthew Stephens 2020-05-29

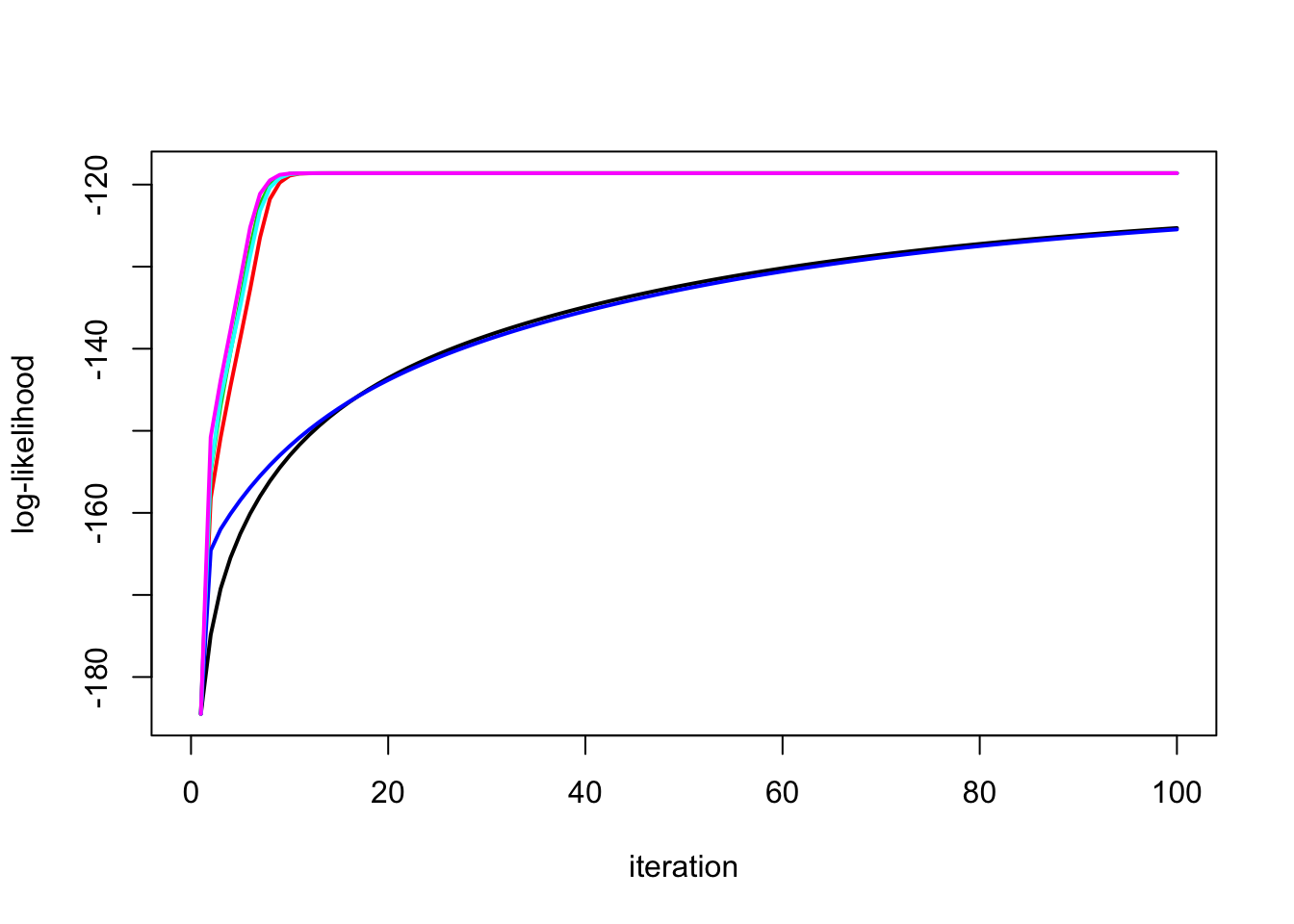
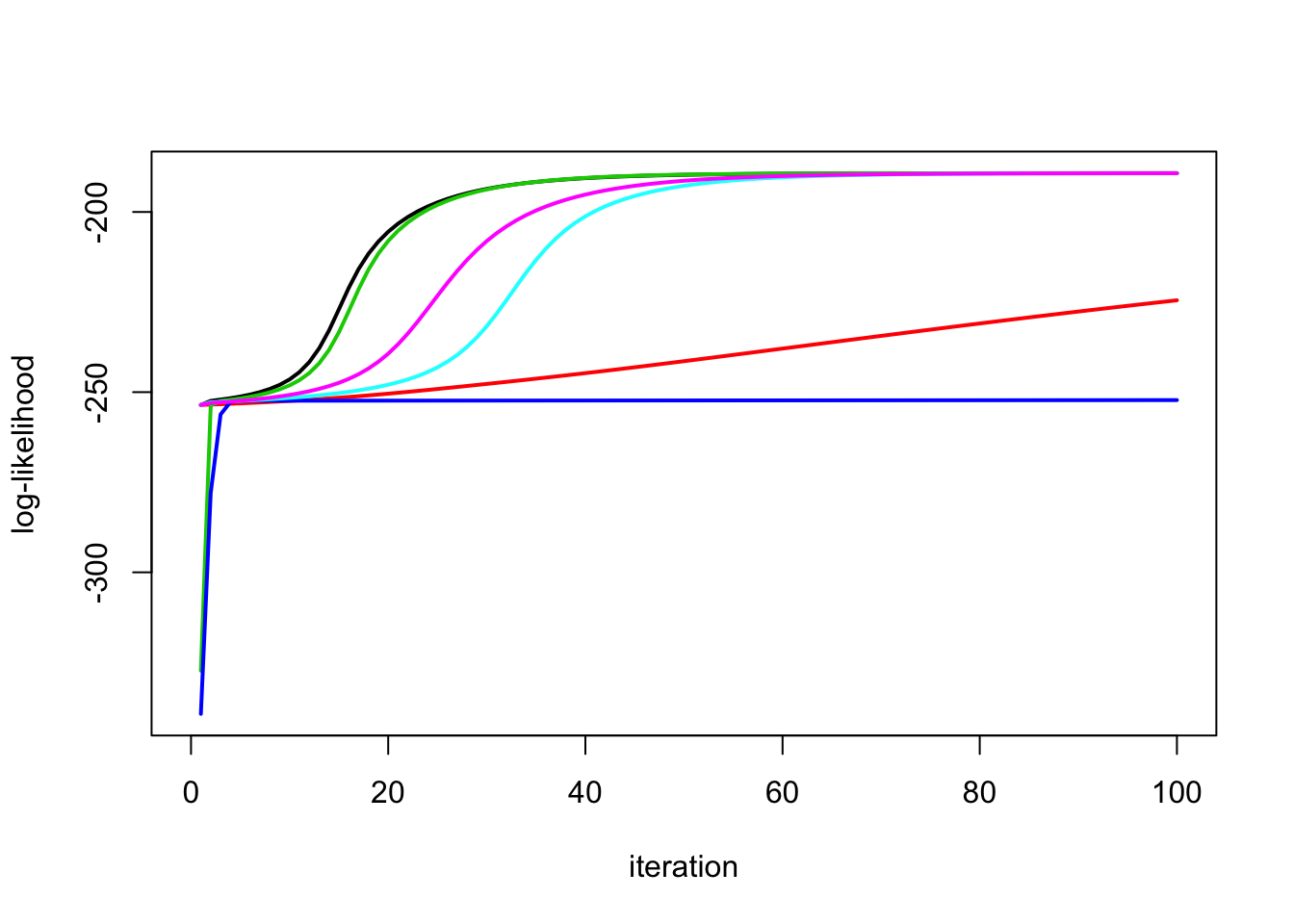
Try starting both in wrong place. Interestingly in this example em4 seems to converge to a local optimum?

y.em1 = ridge_em1(y,X,.1,10,100)
y.em2 = ridge_em2(y,X,.1,10,100)
y.em3 = ridge_em3(y,X,.1,10,10,100)
y.em4 = ridge_em4(y,X,.1,10,100)
y.em5 = ridge_em5(y,X,.1,10,10,100)
y.em6 = ridge_em6(y,X,.1,10,10,100)
plot_loglik(list(y.em1,y.em2,y.em3,y.em4,y.em5,y.em6))

Version Author Date
337c53e Matthew Stephens 2020-10-23
775be78 Matthew Stephens 2020-06-25
y.em4$s2
[1] 0.1075621
y.em1$s2
[1] 1.609084

No signal case

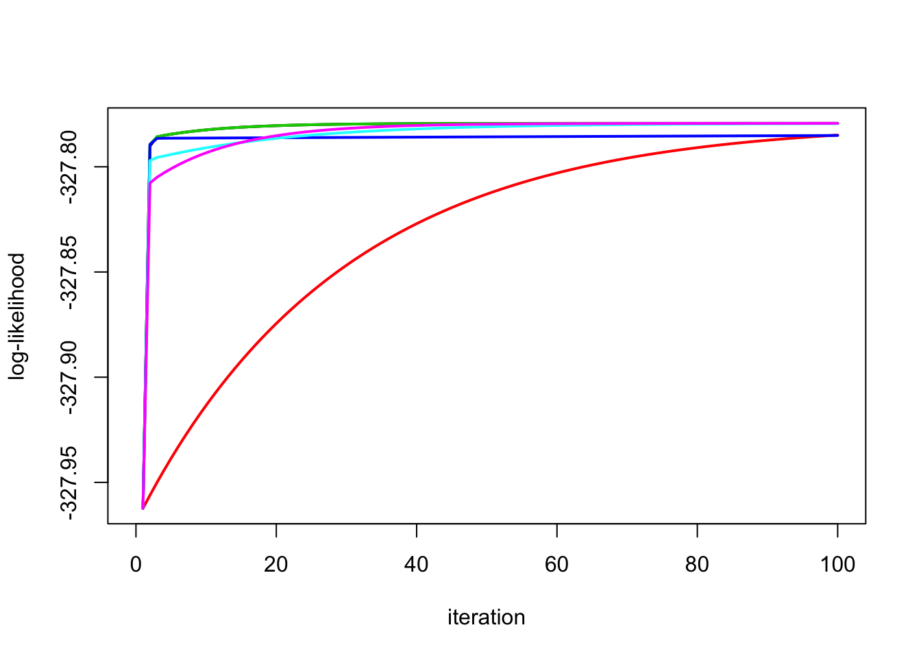
Try no signal case – the convergence issues are reversed!

sd = 1
n = 100
p = n
X = matrix(0,nrow=n,ncol=n)
for(i in 1:n){
  X[i:n,i] = 1:(n-i+1)
}
btrue = rep(0,n)

y = X %*% btrue + sd*rnorm(n)

plot(y)
lines(X %*% btrue)

y.em1 = ridge_em1(y,X,1,1,100)
lines(X %*% y.em1$postmean,col=1,lwd=2)

y.em2 = ridge_em2(y,X,1,1,100)
lines(X %*% y.em2$postmean,col=2,lwd=2)

y.em3 = ridge_em3(y,X,1,1,1,100)
lines(X %*% y.em3$postmean,col=3,lwd=2)

y.em4 = ridge_em4(y,X,1,1,100)
lines(X %*% y.em4$postmean,col=4,lwd=2)

y.em5 = ridge_em5(y,X,1,1,1,100)
lines(X %*% y.em5$postmean,col=5,lwd=2)

y.em6 = ridge_em6(y,X,1,1,1,100)
lines(X %*% y.em6$postmean,col=6,lwd=2)

Version Author Date
337c53e Matthew Stephens 2020-10-23
775be78 Matthew Stephens 2020-06-25

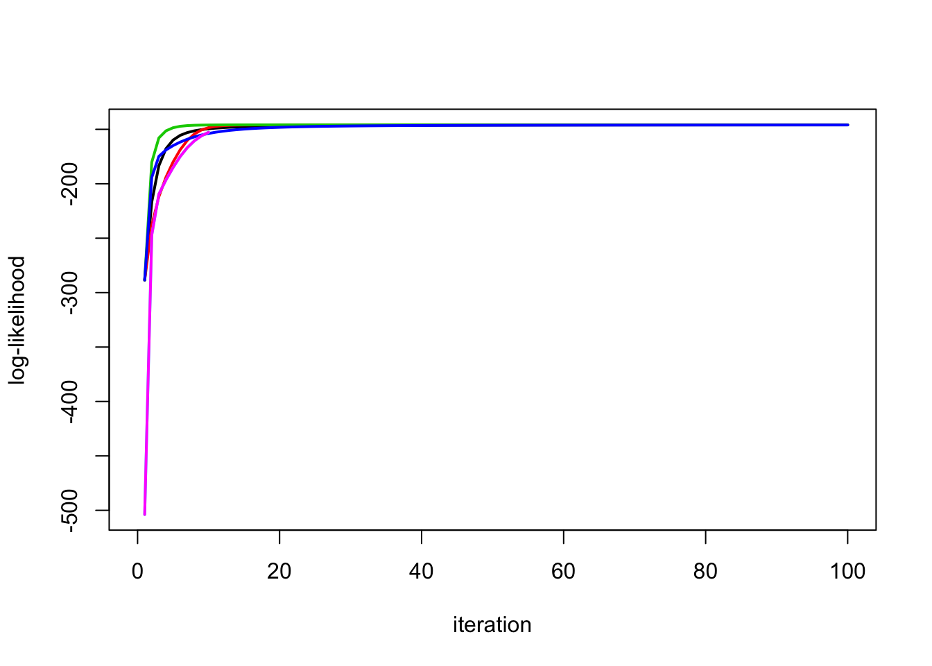
The EM2 and EM3 and EM5 converge faster here:

plot_loglik(list(y.em1,y.em2,y.em3,y.em4,y.em5,y.em6))

Version Author Date
337c53e Matthew Stephens 2020-10-23

Try starting the expanded algorithm from very large lambda… it still seems to work.

y.em3b = ridge_em3(y,X,1,1,100,100)
y.em5b = ridge_em5(y,X,1,1,100,100)
y.em6b = ridge_em6(y,X,1,1,100,100)

plot_loglik(list(y.em1,y.em2,y.em3b,y.em4,y.em5b,y.em6b))

Possible next steps

It might be interesting to combine the expanded idea with algorithm em4.

It might also be interesting to add another redundant parameter multiplying the residual variance in the second redundant parameterization, so that some of the residual variance is tied to the prior variance and some is not.


sessionInfo()
R version 3.6.0 (2019-04-26)
Platform: x86_64-apple-darwin15.6.0 (64-bit)
Running under: macOS Mojave 10.14.6

Matrix products: default
BLAS:   /Library/Frameworks/R.framework/Versions/3.6/Resources/lib/libRblas.0.dylib
LAPACK: /Library/Frameworks/R.framework/Versions/3.6/Resources/lib/libRlapack.dylib

locale:
[1] en_US.UTF-8/en_US.UTF-8/en_US.UTF-8/C/en_US.UTF-8/en_US.UTF-8

attached base packages:
[1] stats     graphics  grDevices utils     datasets  methods   base     

loaded via a namespace (and not attached):
 [1] Rcpp_1.0.5       rstudioapi_0.11  whisker_0.4      knitr_1.29      
 [5] magrittr_1.5     workflowr_1.6.2  R6_2.4.1         rlang_0.4.8     
 [9] stringr_1.4.0    tools_3.6.0      xfun_0.16        git2r_0.27.1    
[13] htmltools_0.5.0  ellipsis_0.3.1   yaml_2.2.1       digest_0.6.25   
[17] rprojroot_1.3-2  tibble_3.0.4     lifecycle_0.2.0  crayon_1.3.4    
[21] later_1.1.0.1    vctrs_0.3.4      fs_1.4.2         promises_1.1.1  
[25] glue_1.4.2       evaluate_0.14    rmarkdown_2.3    stringi_1.4.6   
[29] compiler_3.6.0   pillar_1.4.6     backports_1.1.10 mvtnorm_1.1-1   
[33] httpuv_1.5.4     pkgconfig_2.0.3