Last updated: 2023-01-20
Checks: 7 0
Knit directory: SRB_2022/1_analysis/
This reproducible R Markdown analysis was created with workflowr (version 1.7.0). The Checks tab describes the reproducibility checks that were applied when the results were created. The Past versions tab lists the development history.
Great! Since the R Markdown file has been committed to the Git repository, you know the exact version of the code that produced these results.
Great job! The global environment was empty. Objects defined in the global environment can affect the analysis in your R Markdown file in unknown ways. For reproduciblity it’s best to always run the code in an empty environment.
The command set.seed(12345) was run prior to running the
code in the R Markdown file. Setting a seed ensures that any results
that rely on randomness, e.g. subsampling or permutations, are
reproducible.
Great job! Recording the operating system, R version, and package versions is critical for reproducibility.
Nice! There were no cached chunks for this analysis, so you can be confident that you successfully produced the results during this run.
Great job! Using relative paths to the files within your workflowr project makes it easier to run your code on other machines.
Great! You are using Git for version control. Tracking code development and connecting the code version to the results is critical for reproducibility.
The results in this page were generated with repository version 7f6bab2. See the Past versions tab to see a history of the changes made to the R Markdown and HTML files.
Note that you need to be careful to ensure that all relevant files for
the analysis have been committed to Git prior to generating the results
(you can use wflow_publish or
wflow_git_commit). workflowr only checks the R Markdown
file, but you know if there are other scripts or data files that it
depends on. Below is the status of the Git repository when the results
were generated:
Ignored files:
Ignored: .Rhistory
Ignored: .Rproj.user/
Untracked files:
Untracked: .gitignore
Unstaged changes:
Modified: 0_data/RDS_objects/enrichGO_sig.rds
Modified: 0_data/RDS_objects/pub.rds
Deleted: 1_analysis/figure/kegg.Rmd/kegg_dot-1.png
Deleted: 1_analysis/figure/kegg.Rmd/unnamed-chunk-10-1.png
Deleted: 1_analysis/figure/kegg.Rmd/unnamed-chunk-11-1.png
Deleted: 1_analysis/figure/kegg.Rmd/unnamed-chunk-6-1.png
Deleted: 1_analysis/figure/kegg.Rmd/unnamed-chunk-7-1.png
Deleted: 1_analysis/figure/kegg.Rmd/upset-1.png
Modified: 2_plots/de/ma_1.05.png
Modified: 2_plots/de/ma_1.1.png
Modified: 2_plots/de/ma_1.5.png
Modified: 2_plots/de/pval_1.05.svg
Modified: 2_plots/de/vol_1.05.png
Modified: 2_plots/de/vol_1.1.png
Modified: 2_plots/de/vol_1.5.png
Modified: 2_plots/go/bp_dot_1.05.svg
Modified: 2_plots/go/bp_dot_1.1.svg
Modified: 2_plots/go/bp_dot_1.5.svg
Modified: 2_plots/go/cc_dot_1.05.svg
Modified: 2_plots/go/cc_dot_1.1.svg
Modified: 2_plots/go/cc_dot_1.5.svg
Modified: 2_plots/go/mf_dot_1.05.svg
Modified: 2_plots/go/mf_dot_1.1.svg
Modified: 2_plots/go/mf_dot_1.5.svg
Modified: 2_plots/ipa/Cardiovascular System.svg
Modified: 2_plots/ipa/Cell-To-Cell Signaling.svg
Modified: 2_plots/ipa/Cellular Movement.svg
Modified: 2_plots/ipa/pathways.svg
Modified: 2_plots/kegg/heat_1.05_Cytokine-cytokine receptor interaction.svg
Modified: 2_plots/kegg/heat_1.05_Focal adhesion.svg
Modified: 2_plots/kegg/heat_1.05_Hematopoietic cell lineage.svg
Modified: 2_plots/kegg/heat_1.05_Leukocyte transendothelial migration.svg
Modified: 2_plots/kegg/heat_1.05_PI3K-Akt signaling pathway.svg
Modified: 2_plots/kegg/heat_1.05_Vascular smooth muscle contraction.svg
Modified: 2_plots/kegg/heat_1.1_Cytokine-cytokine receptor interaction.svg
Modified: 2_plots/kegg/heat_1.1_Focal adhesion.svg
Modified: 2_plots/kegg/heat_1.1_Hematopoietic cell lineage.svg
Modified: 2_plots/kegg/heat_1.1_Leukocyte transendothelial migration.svg
Modified: 2_plots/kegg/heat_1.1_PI3K-Akt signaling pathway.svg
Modified: 2_plots/kegg/heat_1.1_Vascular smooth muscle contraction.svg
Modified: 2_plots/kegg/heat_1.5_Cytokine-cytokine receptor interaction.svg
Modified: 2_plots/kegg/heat_1.5_Focal adhesion.svg
Modified: 2_plots/kegg/heat_1.5_Hematopoietic cell lineage.svg
Modified: 2_plots/kegg/heat_1.5_Leukocyte transendothelial migration.svg
Modified: 2_plots/kegg/heat_1.5_PI3K-Akt signaling pathway.svg
Modified: 2_plots/kegg/heat_1.5_Vascular smooth muscle contraction.svg
Modified: 2_plots/kegg/kegg_dot_1.05.svg
Modified: 2_plots/kegg/kegg_dot_1.1.svg
Modified: 2_plots/kegg/kegg_dot_1.5.svg
Modified: 2_plots/kegg/upset_kegg_1.05.svg
Modified: 2_plots/kegg/upset_kegg_1.1.svg
Modified: 2_plots/kegg/upset_kegg_1.5.svg
Modified: 2_plots/qc/PCA_IntvsCont.svg
Modified: 2_plots/reactome/react_dot_1.05.svg
Modified: 2_plots/reactome/react_dot_1.1.svg
Modified: 2_plots/reactome/react_dot_1.5.svg
Modified: 2_plots/reactome/upset_react_1.05.svg
Modified: 2_plots/reactome/upset_react_1.1.svg
Modified: 2_plots/reactome/upset_react_1.5.svg
Modified: 3_output/enrichGO_sig.xlsx
Modified: 3_output/enrichKEGG_all.xlsx
Modified: 3_output/enrichKEGG_sig.xlsx
Modified: 3_output/lmTreat_all.xlsx
Modified: 3_output/lmTreat_fc1.5_voom2_all_fdr.xlsx
Modified: 3_output/lmTreat_sig.xlsx
Modified: 3_output/reactome_all.xlsx
Modified: 3_output/reactome_sig.xlsx
Note that any generated files, e.g. HTML, png, CSS, etc., are not included in this status report because it is ok for generated content to have uncommitted changes.
These are the previous versions of the repository in which changes were
made to the R Markdown (1_analysis/kegg.Rmd) and HTML
(docs/kegg.html) files. If you’ve configured a remote Git
repository (see ?wflow_git_remote), click on the hyperlinks
in the table below to view the files as they were in that past version.
| File | Version | Author | Date | Message |
|---|---|---|---|---|
| Rmd | 7f6bab2 | Ha Manh Tran | 2023-01-20 | workflowr::wflow_publish(here::here("1_analysis/*.Rmd")) |
| Rmd | b6cf190 | tranmanhha135 | 2023-01-19 | quick commit |
| Rmd | 3119fad | tranmanhha135 | 2022-11-05 | build website |
| html | 3119fad | tranmanhha135 | 2022-11-05 | build website |
# working with data
library(dplyr)
library(magrittr)
library(readr)
library(tibble)
library(reshape2)
library(tidyverse)
library(KEGGREST)
# Visualisation:
library(kableExtra)
library(ggplot2)
library(grid)
library(pander)
library(viridis)
library(cowplot)
library(pheatmap)
# Custom ggplot
library(ggplotify)
library(ggpubr)
library(ggbiplot)
library(ggrepel)
# Bioconductor packages:
library(edgeR)
library(limma)
library(Glimma)
library(clusterProfiler)
library(org.Mm.eg.db)
library(enrichplot)
library(pathview)
theme_set(theme_minimal())
pub <- readRDS(here::here("0_data/RDS_objects/pub.rds"))
DGElist object containing the raw feature count, sample metadata, and gene metadata, created in the Set Up stage.
# load DGElist previously created in the set up
dge <- readRDS(here::here("0_data/RDS_objects/dge.rds"))
fc <- readRDS(here::here("0_data/RDS_objects/fc.rds"))
lfc <- readRDS(here::here("0_data/RDS_objects/lfc.rds"))
lmTreat <- readRDS(here::here("0_data/RDS_objects/lmTreat.rds"))
lmTreat_sig <- readRDS(here::here("0_data/RDS_objects/lmTreat_sig.rds"))
KEGG enrichment analysis is performed with the significant DE genes that have absolute FC > 1.5 ( genes from Limma). Top 30 most significant KEGG are displayed. All enriched KEGG pathways are exported
# chosing the pathways of interest
kegg_id <- c("mmu04670", "mmu04640", "mmu04270", "mmu04151", "mmu04510", "mmu04060")
kegg_pathway <- KEGGREST::keggGet(kegg_id)
enrichKEGG <- list()
enrichKEGG_all <- list()
enrichKEGG_sig <- list()
for (i in 1:length(fc)) {
x <- fc[i] %>% as.character()
# find enriched KEGG pathways
enrichKEGG[[x]] <- clusterProfiler::enrichKEGG(
gene = lmTreat_sig[[x]]$entrezid,
keyType = "kegg",
organism = "mmu",
pvalueCutoff = 0.05,
pAdjustMethod = "none"
)
enrichKEGG[[x]] <- enrichKEGG[[x]] %>%
clusterProfiler::setReadable(OrgDb = org.Mm.eg.db, keyType = "ENTREZID")
enrichKEGG_all[[x]] <- enrichKEGG[[x]]@result
# filter the significant and print top 30
enrichKEGG_sig[[x]] <- enrichKEGG_all[[x]] %>%
dplyr::filter(pvalue <= 0.05) %>%
separate(col = BgRatio, sep = "/", into = c("Total", "Universe")) %>%
dplyr::mutate(
logPval = -log(pvalue, 10),
GeneRatio = Count / as.numeric(Total)
) %>%
dplyr::select(c("Description", "GeneRatio", "pvalue", "logPval", "p.adjust", "qvalue", "geneID", "Count"))
# at the beginnning of a word (after 35 characters), add a newline. shorten the y axis for dot plot
enrichKEGG_sig[[x]]$Description <- sub(pattern = "(.{1,35})(?:$| )",
replacement = "\\1\n",
x = enrichKEGG_sig[[x]]$Description)
# remove the additional newline at the end of the string
enrichKEGG_sig[[x]]$Description <- sub(pattern = "\n$",
replacement = "",
x = enrichKEGG_sig[[x]]$Description)
}
p=1
enrichKEGG_sig[[p]] %>%
kable(caption = "Significantly enriched KEGG pathways") %>%
kable_styling(bootstrap_options = c("striped", "hover")) %>%
scroll_box(height = "600px")
| Description | GeneRatio | pvalue | logPval | p.adjust | qvalue | geneID | Count | |
|---|---|---|---|---|---|---|---|---|
| mmu04713 | Circadian entrainment | 0.2448980 | 0.0000000 | 7.941626 | 0.0000000 | 0.0000025 | Kcnj3/Gria4/Cacna1c/Ryr1/Gnai1/Gucy1a2/Grin2b/Adcy3/Gngt2/Plcb1/Gucy1b1/Gucy1a1/Adcy4/Adcy7/Gng11/Gng2/Adcyap1r1/Rps6ka5/Plcb2/Ryr3/Cacna1h/Gnb5/Gng7/Gnb4 | 24 |
| mmu04514 | Cell adhesion molecules | 0.1868132 | 0.0000000 | 7.697813 | 0.0000000 | 0.0000025 | Itga4/Lrrc4c/Ptprd/Nlgn1/Cdh2/Itgb7/Lrrc4b/Icam1/Jam3/Cldn8/Slitrk3/Ptprm/Cdh5/Cd226/Itgal/Esam/H2-Ab1/Nlgn3/Nfasc/H2-Ob/Sele/Pecam1/H2-Eb1/Neo1/Cldn5/H2-Aa/Ntng1/Itga8/Spn/Cldn1/Cd4/Vcan/Nlgn2/Jam2 | 34 |
| mmu04724 | Glutamatergic synapse | 0.2123894 | 0.0000002 | 6.671493 | 0.0000002 | 0.0000174 | Slc1a3/Kcnj3/Gria4/Cacna1c/Grik1/Gnai1/Grin2b/Adcy3/Shank2/Gngt2/Plcb1/Adcy4/Adcy7/Gng11/Grik2/Gng2/Plcb2/Slc38a1/Dlg4/Gnb5/Gng7/Gnb4/Cacna1a/Pld2 | 24 |
| mmu04371 | Apelin signaling pathway | 0.1897810 | 0.0000007 | 6.160273 | 0.0000007 | 0.0000424 | Ryr1/Slc8a1/Nos3/Gnai1/Mef2c/Adcy3/Gngt2/Pik3r6/Plcb1/Slc8a3/Adcy4/Adcy7/Gng11/Aplnr/Agtr1a/Gng2/Myl3/Plcb2/Ryr3/Akt3/Ccn2/Gnb5/Gng7/Apln/Gnb4/Lipe | 26 |
| mmu05414 | Dilated cardiomyopathy | 0.2127660 | 0.0000021 | 5.671588 | 0.0000021 | 0.0001045 | Cacna1c/Sgcd/Itga4/Igf1/Slc8a1/Itgb7/Cacna2d1/Adcy3/Itga1/Slc8a3/Adcy4/Adcy7/Lama2/Itga7/Myl3/Cacng7/Sgcb/Itga8/Itgb4/Cacnb4 | 20 |
| mmu04340 | Hedgehog signaling pathway | 0.2586207 | 0.0000031 | 5.503784 | 0.0000031 | 0.0001117 | Gli1/Ihh/Hhip/Evc2/Ptch2/Evc/Kif7/Ccnd2/Gli3/Lrp2/Gpr161/Arrb1/Arrb2/Ptch1/Iqce | 15 |
| mmu04015 | Rap1 signaling pathway | 0.1542056 | 0.0000032 | 5.496372 | 0.0000032 | 0.0001117 | Hgf/Angpt1/Kdr/Igf1/Evl/Rasgrp3/Gnai1/Pfn2/Lpar4/Grin2b/Prkd1/Adcy3/Tek/Plcb1/Rasgrp2/Kit/Adcy4/Adcy7/Itgal/Vegfc/Magi2/Pard6g/Kitl/Arap3/Tln2/Plcb2/Akt3/Apbb1ip/Lat/Pdgfrb/Lcp2/F2r/Sipa1 | 33 |
| mmu05032 | Morphine addiction | 0.2087912 | 0.0000051 | 5.289652 | 0.0000051 | 0.0001574 | Kcnj3/Gnai1/Pde1b/Adcy3/Gngt2/Adcy4/Adcy7/Gabra4/Gng11/Pde1a/Gng2/Arrb1/Arrb2/Gnb5/Gng7/Gnb4/Gabbr1/Pde8a/Cacna1a | 19 |
| mmu04022 | cGMP-PKG signaling pathway | 0.1618497 | 0.0000070 | 5.157122 | 0.0000070 | 0.0001788 | Cacna1c/Adra1a/Slc8a1/Nos3/Gnai1/Ednrb/Mef2c/Gucy1a2/Adcy3/Pik3r6/Plcb1/Slc8a3/Trpc6/Gucy1b1/Gucy1a1/Adcy4/Adcy7/Agtr1a/Kcnma1/Ednra/Bdkrb2/Nfatc4/Plcb2/Pde5a/Akt3/Atp2b4/Atp1a2/Irs1 | 28 |
| mmu05412 | Arrhythmogenic right ventricular cardiomyopathy | 0.2207792 | 0.0000073 | 5.137196 | 0.0000073 | 0.0001788 | Cacna1c/Lef1/Sgcd/Itga4/Slc8a1/Cdh2/Itgb7/Cacna2d1/Itga1/Slc8a3/Lama2/Itga7/Cacng7/Sgcb/Itga8/Itgb4/Cacnb4 | 17 |
| mmu04512 | ECM-receptor interaction | 0.2045455 | 0.0000123 | 4.911452 | 0.0000123 | 0.0002734 | Itga4/Col4a6/Thbs3/Npnt/Cd44/Lamc3/Lama4/Itgb7/Fn1/Itga1/Col9a2/Frem1/Lama2/Itga7/Sv2c/Itga8/Itgb4/Col4a5 | 18 |
| mmu04020 | Calcium signaling pathway | 0.1416667 | 0.0000150 | 4.823136 | 0.0000150 | 0.0003071 | Hgf/Cacna1c/Kdr/Ryr1/Adra1a/Slc8a1/Nos3/P2rx2/Ednrb/Pde1b/Adcy3/Cacna1e/Ptgfr/Plcb1/Slc8a3/Adcy4/Adcy7/Vegfc/Cd38/Agtr1a/Pde1a/Ednra/Bdkrb2/Htr2a/Plcb2/Asph/Ryr3/Cacna1h/Ptger3/Atp2b4/Pdgfrb/Cacna1a/F2r/Camk1 | 34 |
| mmu04924 | Renin secretion | 0.2105263 | 0.0000255 | 4.594023 | 0.0000255 | 0.0004805 | Cacna1c/Gnai1/Gucy1a2/Pde1b/Edn3/Plcb1/Gucy1b1/Gucy1a1/Agtr1a/Pde1a/Kcnma1/Ednra/Adcyap1r1/Plcb2/Clca2/Ptger2 | 16 |
| mmu04926 | Relaxin signaling pathway | 0.1705426 | 0.0000292 | 4.535161 | 0.0000292 | 0.0005109 | Col4a6/Nos3/Gnai1/Ednrb/Mmp2/Shc3/Adcy3/Gngt2/Plcb1/Adcy4/Adcy7/Gng11/Vegfc/Gng2/Arrb1/Plcb2/Arrb2/Akt3/Gnb5/Gng7/Gnb4/Col4a5 | 22 |
| mmu04725 | Cholinergic synapse | 0.1785714 | 0.0000338 | 4.471504 | 0.0000338 | 0.0005521 | Kcnj3/Cacna1c/Gnai1/Kcnq5/Adcy3/Gngt2/Pik3r6/Plcb1/Adcy4/Adcy7/Gng11/Gng2/Plcb2/Fyn/Akt3/Gnb5/Gng7/Gnb4/Kcnq4/Cacna1a | 20 |
| mmu04510 | Focal adhesion | 0.1442786 | 0.0000452 | 4.345003 | 0.0000452 | 0.0006582 | Hgf/Itga4/Kdr/Igf1/Col4a6/Thbs3/Lamc3/Lama4/Ccnd2/Itgb7/Fn1/Shc3/Pip5k1b/Itga1/Col9a2/Lama2/Vegfc/Itga7/Parvg/Parvb/Flnc/Tln2/Fyn/Akt3/Pdgfrb/Cav1/Itga8/Itgb4/Col4a5 | 29 |
| mmu04360 | Axon guidance | 0.1491713 | 0.0000456 | 4.340829 | 0.0000456 | 0.0006582 | Epha8/Efnb3/Sema5a/Lrrc4c/Dcc/Plxnb1/Sema5b/Nrp1/Sema7a/Gnai1/Cxcl12/Trpc6/Gdf7/Epha3/Sema3g/Pard6g/Nfatc4/Epha7/Neo1/Ptch1/Fyn/Unc5c/Ngef/Sema6a/Ntng1/Bmp7/Slit3 | 27 |
| mmu04014 | Ras signaling pathway | 0.1361702 | 0.0000590 | 4.229098 | 0.0000590 | 0.0007718 | Hgf/Angpt1/Pla2g10/Kdr/Igf1/Ets1/Rasgrp3/Shc3/Rasa3/Grin2b/Tek/Gngt2/Rasgrp2/Flt3/Kit/Gng11/Vegfc/Igf2/Gng2/Kitl/Pla1a/Akt3/Gnb5/Gng7/Ets2/Syngap1/Zap70/Gnb4/Lat/Pdgfrb/Pld2/Rasal3 | 32 |
| mmu04728 | Dopaminergic synapse | 0.1629630 | 0.0000598 | 4.223382 | 0.0000598 | 0.0007718 | Kcnj3/Gria4/Cacna1c/Maob/Drd4/Gnai1/Scn1a/Grin2b/Maoa/Gngt2/Plcb1/Gng11/Gng2/Arrb1/Plcb2/Arrb2/Akt3/Gnb5/Gng7/Gnb4/Cacna1a/Kif5a | 22 |
| mmu04974 | Protein digestion and absorption | 0.1759259 | 0.0000653 | 4.185073 | 0.0000653 | 0.0008008 | Col11a1/Col26a1/Col14a1/Col4a6/Slc8a1/Pga5/Col16a1/Slc36a4/Slc8a3/Col9a2/Col13a1/Mme/Col5a2/Col15a1/Atp1a2/Slc7a7/Col23a1/Col18a1/Col4a5 | 19 |
| mmu05410 | Hypertrophic cardiomyopathy | 0.1868132 | 0.0000722 | 4.141373 | 0.0000722 | 0.0008434 | Cacna1c/Sgcd/Itga4/Igf1/Slc8a1/Itgb7/Cacna2d1/Itga1/Slc8a3/Lama2/Itga7/Myl3/Cacng7/Sgcb/Itga8/Itgb4/Cacnb4 | 17 |
| mmu04151 | PI3K-Akt signaling pathway | 0.1197772 | 0.0000781 | 4.107568 | 0.0000781 | 0.0008702 | Hgf/Angpt1/Itga4/Kdr/Igf1/Col4a6/Thbs3/Nos3/Lamc3/Lama4/Ccnd2/Itgb7/Fn1/Areg/Lpar4/Tek/Gngt2/Pik3r6/Itga1/Col9a2/Flt3/Kit/Gng11/Lama2/Vegfc/Magi2/Igf2/Gng2/Itga7/Kitl/Akt3/Gnb5/Gng7/Gnb4/Pdgfrb/Il2rg/Itga8/Itgb4/F2r/Il7r/Myc/Col4a5/Irs1 | 43 |
| mmu04970 | Salivary secretion | 0.1882353 | 0.0001066 | 3.972271 | 0.0001066 | 0.0011249 | Adra1a/Gucy1a2/Adcy3/Plcb1/Gucy1b1/Gucy1a1/Adcy4/Adcy7/Cd38/Lyz2/Kcnma1/Plcb2/Ryr3/Lyz1/Atp2b4/Atp1a2 | 16 |
| mmu04640 | Hematopoietic cell lineage | 0.1808511 | 0.0001101 | 3.958300 | 0.0001101 | 0.0011249 | Itga4/Cd44/Il11ra1/Cd3g/Itga1/Flt3/Cd1d1/Kit/Mme/H2-Ab1/Cd38/H2-Ob/Kitl/H2-Eb1/H2-Aa/Il7r/Cd4 | 17 |
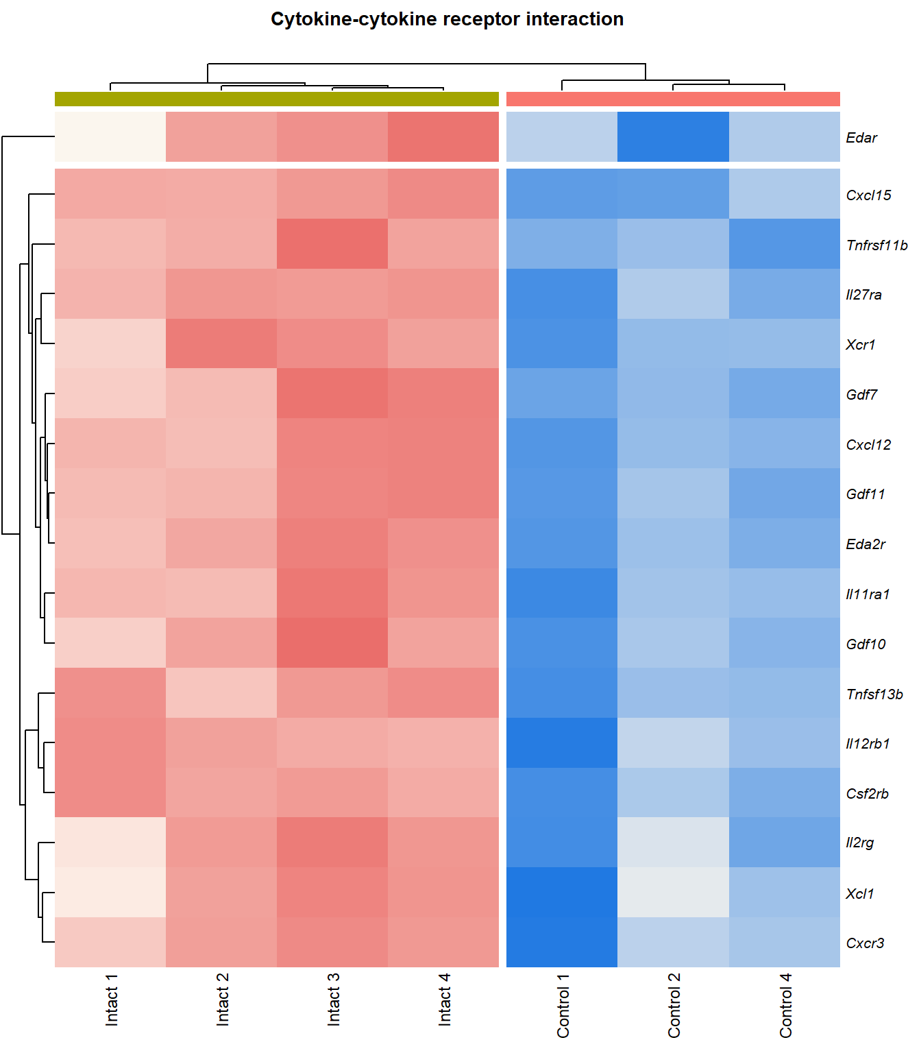
| mmu04062 | Chemokine signaling pathway | 0.1406250 | 0.0001280 | 3.892793 | 0.0001280 | 0.0012557 | Cxcl15/Gnai1/Shc3/Itk/Adcy3/Cxcr3/Cxcl12/Gngt2/Pik3r6/Plcb1/Dock2/Rasgrp2/Adcy4/Adcy7/Gng11/Gng2/Xcl1/Arrb1/Plcb2/Arrb2/Stat5b/Xcr1/Fgr/Akt3/Gnb5/Gng7/Gnb4 | 27 |
| mmu04727 | GABAergic synapse | 0.1797753 | 0.0001872 | 3.727651 | 0.0001872 | 0.0017661 | Cacna1c/Abat/Gnai1/Adcy3/Gngt2/Adcy4/Adcy7/Gabra4/Gng11/Gng2/Slc38a1/Gnb5/Gng7/Gnb4/Gabbr1/Cacna1a | 16 |
| mmu00514 | Other types of O-glycan biosynthesis | 0.2325581 | 0.0003602 | 3.443503 | 0.0003602 | 0.0032716 | St6gal2/Gxylt2/B4galt2/Galnt16/Lfng/Eogt/Galntl6/Pomt2/Mfng/Galnt18 | 10 |
| mmu04921 | Oxytocin signaling pathway | 0.1437908 | 0.0003857 | 3.413717 | 0.0003857 | 0.0033788 | Kcnj3/Cacna1c/Ryr1/Nos3/Gnai1/Cacna2d1/Mef2c/Gucy1a2/Adcy3/Pik3r6/Plcb1/Gucy1b1/Gucy1a1/Adcy4/Adcy7/Cd38/Nfatc4/Cacng7/Plcb2/Ryr3/Cacnb4/Camk1 | 22 |
| mmu04330 | Notch signaling pathway | 0.2000000 | 0.0004286 | 3.367967 | 0.0004286 | 0.0036247 | Aph1b/Lfng/Jag2/Heyl/Dtx3/Tle1/Mfng/Psen1/Maml3/Tle2/Hey2/Numbl | 12 |
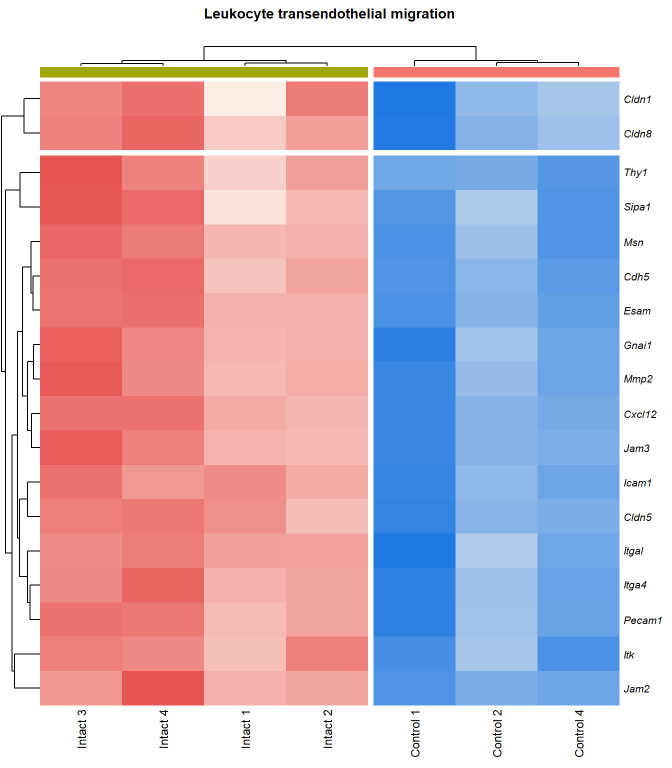
| mmu04670 | Leukocyte transendothelial migration | 0.1525424 | 0.0006285 | 3.201671 | 0.0006285 | 0.0051385 | Itga4/Gnai1/Mmp2/Icam1/Itk/Jam3/Cxcl12/Cldn8/Cdh5/Thy1/Msn/Itgal/Esam/Pecam1/Cldn5/Cldn1/Sipa1/Jam2 | 18 |
| mmu04072 | Phospholipase D signaling pathway | 0.1409396 | 0.0006807 | 3.167044 | 0.0006807 | 0.0053855 | Shc3/Pip5k1b/Lpar4/Adcy3/Ptgfr/Pik3r6/Plcb1/Plpp3/Kit/Adcy4/Adcy7/Dgkb/Agtr1a/Kitl/Plcb2/Fyn/Akt3/Plpp1/Pdgfrb/Pld2/F2r | 21 |
| mmu04310 | Wnt signaling pathway | 0.1345029 | 0.0007521 | 3.123698 | 0.0007521 | 0.0057648 | Sfrp2/Wnt6/Lef1/Apcdd1/Wnt11/Nkd1/Ccnd2/Plcb1/Peg12/Wnt9a/Znrf3/Prickle2/Daam2/Prickle1/Nfatc4/Plcb2/Tle1/Fzd2/Psen1/Nkd2/Tle2/Ror1/Myc | 23 |
| mmu04010 | MAPK signaling pathway | 0.1156463 | 0.0008208 | 3.085778 | 0.0008208 | 0.0061001 | Hgf/Cacna1c/Angpt1/Kdr/Igf1/Rasgrp3/Cacna2d1/Areg/Mef2c/Tek/Mapk8ip1/Cacna1e/Rasgrp2/Rps6ka2/Flt3/Kit/Vegfc/Igf2/Kitl/Rps6ka5/Arrb1/Cacng7/Flnc/Arrb2/Irak4/Cacna1h/Akt3/Pdgfrb/Map4k2/Cacna1a/Mknk2/Cacnb4/Myc/Ptpn7 | 34 |
| mmu04261 | Adrenergic signaling in cardiomyocytes | 0.1346154 | 0.0012437 | 2.905269 | 0.0012437 | 0.0087751 | Cacna1c/Adra1a/Slc8a1/Scn4b/Gnai1/Cacna2d1/Adcy3/Pik3r6/Plcb1/Slc8a3/Adcy4/Adcy7/Agtr1a/Myl3/Rps6ka5/Cacng7/Plcb2/Akt3/Atp2b4/Atp1a2/Cacnb4 | 21 |
| mmu04611 | Platelet activation | 0.1440000 | 0.0012522 | 2.902311 | 0.0012522 | 0.0087751 | Nos3/Gnai1/Gucy1a2/Adcy3/Pik3r6/Plcb1/Rasgrp2/Gucy1b1/Gucy1a1/Adcy4/Adcy7/Tln2/Plcb2/Fyn/Akt3/Apbb1ip/Lcp2/F2r | 18 |
| mmu04658 | Th1 and Th2 cell differentiation | 0.1590909 | 0.0016263 | 2.788812 | 0.0016263 | 0.0110794 | Cd3g/Jag2/H2-Ab1/H2-Ob/H2-Eb1/Stat5b/Nfkbie/H2-Aa/Zap70/Lat/Il12rb1/Il2rg/Maml3/Cd4 | 14 |
| mmu05205 | Proteoglycans in cancer | 0.1219512 | 0.0018821 | 2.725347 | 0.0018821 | 0.0124762 | Ihh/Hgf/Wnt6/Wnt11/Hoxd10/Kdr/Igf1/Hcls1/Cd44/Gpc3/Fn1/Mmp2/Ank2/Wnt9a/Msn/Igf2/Twist2/Flnc/Ptch1/Fzd2/Akt3/Cav1/Lum/Myc/Twist1 | 25 |
| mmu05217 | Basal cell carcinoma | 0.1746032 | 0.0023593 | 2.627208 | 0.0023593 | 0.0152279 | Gli1/Wnt6/Hhip/Lef1/Wnt11/Ptch2/Kif7/Gli3/Wnt9a/Ptch1/Fzd2 | 11 |
| mmu04024 | cAMP signaling pathway | 0.1160714 | 0.0030919 | 2.509779 | 0.0030919 | 0.0194441 | Gli1/Gria4/Cacna1c/Hhip/Vipr2/Gnai1/Grin2b/Adcy3/Edn3/Gli3/Htr1b/Adcy4/Adcy7/Ednra/Adcyap1r1/Arap3/Ptch1/Akt3/Ptger3/Atp2b4/Atp1a2/Gabbr1/Lipe/Pld2/F2r/Ptger2 | 26 |
| mmu04726 | Serotonergic synapse | 0.1297710 | 0.0051167 | 2.291010 | 0.0051167 | 0.0310394 | Kcnj3/Cacna1c/Maob/Kcnd2/Gnai1/Maoa/Gngt2/Plcb1/Htr1b/Gng11/Gng2/Htr2a/Plcb2/Gnb5/Gng7/Gnb4/Cacna1a | 17 |
| mmu04730 | Long-term depression | 0.1666667 | 0.0051888 | 2.284935 | 0.0051888 | 0.0310394 | Ryr1/Igf1/Gnai1/Gucy1a2/Plcb1/Gucy1b1/Gucy1a1/Plcb2/Gnaz/Cacna1a | 10 |
| mmu04916 | Melanogenesis | 0.1400000 | 0.0054246 | 2.265636 | 0.0054246 | 0.0316772 | Wnt6/Lef1/Wnt11/Gnai1/Ednrb/Adcy3/Plcb1/Wnt9a/Kit/Adcy4/Adcy7/Kitl/Plcb2/Fzd2 | 14 |
| mmu04933 | AGE-RAGE signaling pathway in diabetic complications | 0.1386139 | 0.0059306 | 2.226903 | 0.0059306 | 0.0332161 | Col4a6/Nos3/Fn1/Mmp2/Icam1/Plcb1/Vegfc/Agtr1a/Nox4/Sele/Plcb2/Stat5b/Akt3/Col4a5 | 14 |
| mmu02010 | ABC transporters | 0.1730769 | 0.0060942 | 2.215082 | 0.0060942 | 0.0332161 | Abcg2/Abca5/Abcg1/Abca8b/Abcd2/Abcb1a/Abcc5/Abcg3/Abcg4 | 9 |
| mmu04672 | Intestinal immune network for IgA production | 0.1860465 | 0.0060944 | 2.215071 | 0.0060944 | 0.0332161 | Itga4/Itgb7/Cxcl12/Tnfsf13b/H2-Ab1/H2-Ob/H2-Eb1/H2-Aa | 8 |
| mmu04925 | Aldosterone synthesis and secretion | 0.1372549 | 0.0064738 | 2.188842 | 0.0064738 | 0.0345169 | Kcnk3/Cacna1c/Prkd1/Adcy3/Plcb1/Adcy4/Adcy7/Agtr1a/Plcb2/Cacna1h/Atp2b4/Atp1a2/Lipe/Camk1 | 14 |
| mmu04742 | Taste transduction | 0.1413043 | 0.0066924 | 2.174421 | 0.0066924 | 0.0349232 | Cacna1c/P2rx2/Pde1b/Plcb1/Htr1b/Scn2a/Adcy4/Gabra4/Pde1a/Plcb2/Scn3a/Gabbr1/Cacna1a | 13 |
| mmu04540 | Gap junction | 0.1395349 | 0.0099204 | 2.003472 | 0.0099204 | 0.0506896 | Gnai1/Gucy1a2/Adcy3/Plcb1/Gucy1b1/Gucy1a1/Adcy4/Adcy7/Tubb4a/Htr2a/Plcb2/Pdgfrb | 12 |
| mmu00533 | Glycosaminoglycan biosynthesis - keratan sulfate | 0.2857143 | 0.0107649 | 1.967990 | 0.0107649 | 0.0532021 | Chst2/B4galt2/St3gal2/Chst1 | 4 |
| mmu05323 | Rheumatoid arthritis | 0.1379310 | 0.0108459 | 1.964733 | 0.0108459 | 0.0532021 | Angpt1/Icam1/Tek/Cxcl12/Tnfsf13b/Itgal/H2-Ab1/H2-Ob/Atp6v0e2/H2-Eb1/H2-Aa/Atp6v1b2 | 12 |
| mmu04270 | Vascular smooth muscle contraction | 0.1180556 | 0.0128851 | 1.889912 | 0.0128851 | 0.0619656 | Cacna1c/Pla2g10/Adra1a/Gucy1a2/Adcy3/Edn3/Plcb1/Calca/Gucy1b1/Gucy1a1/Adcy4/Adcy7/Agtr1a/Kcnma1/Ednra/Plcb2/Calcrl | 17 |
| mmu00260 | Glycine, serine and threonine metabolism | 0.1750000 | 0.0140499 | 1.852327 | 0.0140499 | 0.0644879 | Maob/Cbs/Maoa/Gamt/Cth/Phgdh/Sardh | 7 |
| mmu00230 | Purine metabolism | 0.1194030 | 0.0140591 | 1.852041 | 0.0140591 | 0.0644879 | Nme4/Gucy1a2/Pde1b/Adcy3/Gucy1b1/Gucy1a1/Adcy4/Adcy7/Enpp1/Pde1a/Hddc3/Lacc1/Pde5a/Impdh1/Pde8a/Papss2 | 16 |
| mmu04390 | Hippo signaling pathway | 0.1146497 | 0.0141984 | 1.847760 | 0.0141984 | 0.0644879 | Wnt6/Lef1/Wnt11/Nkd1/Ccnd2/Areg/Gdf7/Wnt9a/Dlg2/Pard6g/Dlg4/Fzd2/Ccn2/Dlg5/Lats2/Nkd2/Bmp7/Myc | 18 |
| mmu04723 | Retrograde endocannabinoid signaling | 0.1148649 | 0.0165797 | 1.780422 | 0.0165797 | 0.0739345 | Kcnj3/Gria4/Cacna1c/Gnai1/Adcy3/Gngt2/Plcb1/Adcy4/Adcy7/Gabra4/Gng11/Gng2/Plcb2/Gnb5/Gng7/Gnb4/Cacna1a | 17 |
| mmu04927 | Cortisol synthesis and secretion | 0.1388889 | 0.0183049 | 1.737432 | 0.0183049 | 0.0801700 | Kcnk3/Cacna1c/Adcy3/Plcb1/Adcy4/Adcy7/Agtr1a/Plcb2/Cacna1h/Pde8a | 10 |
| mmu04659 | Th17 cell differentiation | 0.1238095 | 0.0193130 | 1.714151 | 0.0193130 | 0.0831011 | Cd3g/H2-Ab1/Il27ra/H2-Ob/H2-Eb1/Stat5b/Nfkbie/H2-Aa/Zap70/Lat/Il12rb1/Il2rg/Cd4 | 13 |
| mmu04929 | GnRH secretion | 0.1428571 | 0.0207490 | 1.683004 | 0.0207490 | 0.0877406 | Kcnj3/Cacna1c/Plcb1/Arrb1/Plcb2/Arrb2/Cacna1h/Akt3/Gabbr1 | 9 |
| mmu00601 | Glycosphingolipid biosynthesis - lacto and neolacto series | 0.1923077 | 0.0247723 | 1.606034 | 0.0247723 | 0.1029783 | B4galt2/B3galnt1/Ggta1/B3gnt5/St3gal4 | 5 |
| mmu05100 | Bacterial invasion of epithelial cells | 0.1315789 | 0.0258348 | 1.587794 | 0.0258348 | 0.1049646 | Hcls1/Fn1/Shc3/Septin3/Arhgap10/Arhgef26/Elmo2/Cav1/Actr3b/Septin6 | 10 |
| mmu04260 | Cardiac muscle contraction | 0.1264368 | 0.0261060 | 1.583260 | 0.0261060 | 0.1049646 | Cacna1c/Slc8a1/Cacna2d1/Slc9a7/Slc8a3/Myl3/Cacng7/Asph/Cox4i2/Atp1a2/Cacnb4 | 11 |
| mmu05416 | Viral myocarditis | 0.1250000 | 0.0281445 | 1.550607 | 0.0281445 | 0.1113354 | Sgcd/Icam1/Lama2/Itgal/H2-Ab1/H2-Ob/H2-Eb1/Fyn/H2-Aa/Sgcb/Cav1 | 11 |
| mmu04810 | Regulation of actin cytoskeleton | 0.0995671 | 0.0289684 | 1.538075 | 0.0289684 | 0.1127759 | Itga4/Itgb7/Fn1/Pip5k1b/Pfn2/Lpar4/Cxcl12/Itga1/Msn/Abi2/Itgal/Itga7/Scin/Nckap1l/Bdkrb2/Fgd1/Akt3/Pdgfrb/Cyfip2/Actr3b/Itga8/Itgb4/F2r | 23 |
| mmu04923 | Regulation of lipolysis in adipocytes | 0.1403509 | 0.0312306 | 1.505419 | 0.0312306 | 0.1196831 | Gnai1/Adcy3/Adcy4/Adcy7/Akt3/Ptger3/Lipe/Irs1 | 8 |
| mmu00061 | Fatty acid biosynthesis | 0.2105263 | 0.0321493 | 1.492829 | 0.0321493 | 0.1213082 | Acsl6/Acacb/Acsl1/Olah | 4 |
| mmu00565 | Ether lipid metabolism | 0.1458333 | 0.0354397 | 1.450510 | 0.0354397 | 0.1316978 | Pla2g10/Plpp3/Lpcat1/Plpp1/Pld2/Enpp2/Pafah2 | 7 |
| mmu00062 | Fatty acid elongation | 0.1724138 | 0.0380928 | 1.419157 | 0.0380928 | 0.1394443 | Elovl4/Them5/Echs1/Acot7/Hacd1 | 5 |
| mmu04961 | Endocrine and other factor-regulated calcium reabsorption | 0.1311475 | 0.0444025 | 1.352593 | 0.0444025 | 0.1601513 | Slc8a1/Plcb1/Slc8a3/Pth1r/Bdkrb2/Plcb2/Atp2b4/Atp1a2 | 8 |
| mmu01212 | Fatty acid metabolism | 0.1290323 | 0.0481897 | 1.317046 | 0.0481897 | 0.1706710 | Acsl6/Fads2/Fads1/Elovl4/Echs1/Cpt1c/Acsl1/Hacd1 | 8 |
| mmu04350 | TGF-beta signaling pathway | 0.1145833 | 0.0487108 | 1.312375 | 0.0487108 | 0.1706710 | Nog/Fst/Id3/Id4/Gdf7/Tgif2/Smad9/Neo1/Zfyve9/Bmp7/Myc | 11 |
| mmu04928 | Parathyroid hormone synthesis, secretion and action | 0.1111111 | 0.0496358 | 1.304205 | 0.0496358 | 0.1711656 | Mmp16/Gnai1/Mef2c/Adcy3/Plcb1/Pth1r/Adcy4/Adcy7/Arrb1/Plcb2/Arrb2/Pld2 | 12 |
kegg_dot <- list()
upset=list()
for (i in 1:length(fc)) {
x <- fc[i] %>% as.character()
# dot plot, save
kegg_dot[[x]] <- ggplot(enrichKEGG_sig[[x]][1:15, ]) +
geom_point(aes(x = GeneRatio, y = reorder(Description, GeneRatio), colour = logPval, size = Count)) +
scale_color_gradient(low = "dodgerblue3", high = "firebrick3", limits = c(0, NA)) +
scale_size(range = c(1.5,5)) +
# ggtitle("KEGG Pathways") +
ylab(label = "") +
xlab(label = "Gene Ratio") +
labs(color = expression("-log"[10] * "Pvalue"), size = "Gene Counts")
ggsave(filename = paste0("kegg_dot_", fc[i], ".svg"), plot = kegg_dot[[x]] + pub, path = here::here("2_plots/kegg/"),
width = 170, height = 130, units = "mm")
upset[[x]] <- upsetplot(x = enrichKEGG[[x]], 10)
ggsave(filename = paste0("upset_kegg_", fc[i], ".svg"), plot = upset[[x]], path = here::here("2_plots/kegg/"),
width = 170, height = 130, units = "mm")
}
kegg_dot[[p]]

upset[[p]]

p=p+1
enrichKEGG_sig[[p]] %>%
kable(caption = "Significantly enriched KEGG pathways") %>%
kable_styling(bootstrap_options = c("striped", "hover")) %>%
scroll_box(height = "600px")
| Description | GeneRatio | pvalue | logPval | p.adjust | qvalue | geneID | Count | |
|---|---|---|---|---|---|---|---|---|
| mmu04713 | Circadian entrainment | 0.2448980 | 0.0000000 | 9.095929 | 0.0000000 | 0.0000002 | Kcnj3/Gria4/Cacna1c/Ryr1/Gnai1/Gucy1a2/Grin2b/Adcy3/Gngt2/Plcb1/Gucy1b1/Gucy1a1/Adcy4/Gng11/Adcy7/Adcyap1r1/Gng2/Rps6ka5/Plcb2/Ryr3/Cacna1h/Gng7/Gnb5/Gnb4 | 24 |
| mmu04371 | Apelin signaling pathway | 0.1897810 | 0.0000000 | 7.301574 | 0.0000000 | 0.0000061 | Ryr1/Nos3/Slc8a1/Gnai1/Mef2c/Adcy3/Gngt2/Pik3r6/Slc8a3/Plcb1/Adcy4/Gng11/Aplnr/Adcy7/Agtr1a/Myl3/Gng2/Plcb2/Ryr3/Ccn2/Apln/Gng7/Akt3/Gnb5/Gnb4/Lipe | 26 |
| mmu04724 | Glutamatergic synapse | 0.2035398 | 0.0000001 | 7.108825 | 0.0000001 | 0.0000063 | Kcnj3/Slc1a3/Gria4/Grik1/Cacna1c/Gnai1/Grin2b/Adcy3/Shank2/Gngt2/Plcb1/Adcy4/Gng11/Adcy7/Grik2/Gng2/Plcb2/Slc38a1/Dlg4/Gng7/Gnb5/Gnb4/Cacna1a | 23 |
| mmu05414 | Dilated cardiomyopathy | 0.2127660 | 0.0000003 | 6.587888 | 0.0000003 | 0.0000157 | Sgcd/Cacna1c/Itga4/Igf1/Slc8a1/Itgb7/Cacna2d1/Adcy3/Slc8a3/Itga1/Adcy4/Lama2/Adcy7/Itga7/Myl3/Cacng7/Sgcb/Itga8/Itgb4/Cacnb4 | 20 |
| mmu04514 | Cell adhesion molecules | 0.1593407 | 0.0000004 | 6.353176 | 0.0000004 | 0.0000216 | Itga4/Lrrc4c/Ptprd/Nlgn1/Cdh2/Lrrc4b/Itgb7/Icam1/Jam3/Cldn8/Slitrk3/Cdh5/Ptprm/Cd226/Nlgn3/Esam/Itgal/H2-Ab1/Nfasc/Sele/H2-Ob/Pecam1/H2-Eb1/Cldn5/Neo1/H2-Aa/Ntng1/Itga8/Cldn1 | 29 |
| mmu05412 | Arrhythmogenic right ventricular cardiomyopathy | 0.2207792 | 0.0000012 | 5.925876 | 0.0000012 | 0.0000481 | Lef1/Sgcd/Cacna1c/Itga4/Slc8a1/Cdh2/Itgb7/Cacna2d1/Slc8a3/Itga1/Lama2/Itga7/Cacng7/Sgcb/Itga8/Itgb4/Cacnb4 | 17 |
| mmu04022 | cGMP-PKG signaling pathway | 0.1560694 | 0.0000017 | 5.773851 | 0.0000017 | 0.0000585 | Cacna1c/Adra1a/Nos3/Slc8a1/Gnai1/Ednrb/Mef2c/Gucy1a2/Adcy3/Pik3r6/Slc8a3/Plcb1/Gucy1b1/Trpc6/Gucy1a1/Adcy4/Adcy7/Agtr1a/Kcnma1/Ednra/Bdkrb2/Plcb2/Pde5a/Nfatc4/Atp2b4/Akt3/Atp1a2 | 27 |
| mmu05032 | Morphine addiction | 0.1978022 | 0.0000031 | 5.503107 | 0.0000031 | 0.0000919 | Kcnj3/Gnai1/Pde1b/Adcy3/Gngt2/Gabra4/Adcy4/Gng11/Adcy7/Pde1a/Gng2/Arrb1/Arrb2/Gng7/Gnb5/Gnb4/Gabbr1/Cacna1a | 18 |
| mmu04340 | Hedgehog signaling pathway | 0.2413793 | 0.0000034 | 5.468399 | 0.0000034 | 0.0000919 | Gli1/Ihh/Hhip/Evc2/Ptch2/Evc/Kif7/Ccnd2/Gli3/Lrp2/Gpr161/Arrb1/Ptch1/Arrb2 | 14 |
| mmu04725 | Cholinergic synapse | 0.1785714 | 0.0000047 | 5.324639 | 0.0000047 | 0.0001151 | Kcnj3/Cacna1c/Gnai1/Kcnq5/Adcy3/Gngt2/Pik3r6/Plcb1/Adcy4/Gng11/Adcy7/Gng2/Plcb2/Fyn/Gng7/Akt3/Gnb5/Gnb4/Kcnq4/Cacna1a | 20 |
| mmu04512 | ECM-receptor interaction | 0.1931818 | 0.0000082 | 5.084669 | 0.0000082 | 0.0001819 | Itga4/Col4a6/Npnt/Thbs3/Lamc3/Cd44/Lama4/Itgb7/Fn1/Itga1/Col9a2/Frem1/Lama2/Itga7/Sv2c/Itga8/Itgb4 | 17 |
| mmu04926 | Relaxin signaling pathway | 0.1627907 | 0.0000124 | 4.906907 | 0.0000124 | 0.0002129 | Col4a6/Nos3/Gnai1/Ednrb/Mmp2/Shc3/Adcy3/Gngt2/Plcb1/Adcy4/Gng11/Adcy7/Vegfc/Gng2/Arrb1/Plcb2/Arrb2/Gng7/Akt3/Gnb5/Gnb4 | 21 |
| mmu04015 | Rap1 signaling pathway | 0.1355140 | 0.0000125 | 4.904430 | 0.0000125 | 0.0002129 | Hgf/Angpt1/Kdr/Igf1/Evl/Rasgrp3/Gnai1/Pfn2/Grin2b/Lpar4/Prkd1/Tek/Adcy3/Plcb1/Rasgrp2/Adcy4/Kit/Adcy7/Itgal/Vegfc/Magi2/Arap3/Pard6g/Kitl/Plcb2/Tln2/Akt3/Lat/Apbb1ip | 29 |
| mmu04062 | Chemokine signaling pathway | 0.1406250 | 0.0000126 | 4.901255 | 0.0000126 | 0.0002129 | Cxcl15/Gnai1/Shc3/Itk/Cxcr3/Cxcl12/Adcy3/Gngt2/Pik3r6/Plcb1/Rasgrp2/Dock2/Adcy4/Gng11/Adcy7/Xcl1/Gng2/Arrb1/Plcb2/Xcr1/Arrb2/Gng7/Fgr/Stat5b/Akt3/Gnb5/Gnb4 | 27 |
| mmu05410 | Hypertrophic cardiomyopathy | 0.1868132 | 0.0000131 | 4.881540 | 0.0000131 | 0.0002129 | Sgcd/Cacna1c/Itga4/Igf1/Slc8a1/Itgb7/Cacna2d1/Slc8a3/Itga1/Lama2/Itga7/Myl3/Cacng7/Sgcb/Itga8/Itgb4/Cacnb4 | 17 |
| mmu04020 | Calcium signaling pathway | 0.1291667 | 0.0000167 | 4.776965 | 0.0000167 | 0.0002540 | Hgf/Cacna1c/Ryr1/Kdr/Adra1a/Nos3/Slc8a1/P2rx2/Ednrb/Pde1b/Adcy3/Cacna1e/Ptgfr/Slc8a3/Plcb1/Adcy4/Adcy7/Vegfc/Pde1a/Cd38/Agtr1a/Ednra/Bdkrb2/Htr2a/Plcb2/Asph/Ryr3/Cacna1h/Ptger3/Atp2b4/Cacna1a | 31 |
| mmu04970 | Salivary secretion | 0.1882353 | 0.0000213 | 4.671419 | 0.0000213 | 0.0002884 | Adra1a/Gucy1a2/Adcy3/Plcb1/Gucy1b1/Gucy1a1/Adcy4/Adcy7/Cd38/Lyz2/Kcnma1/Plcb2/Ryr3/Lyz1/Atp2b4/Atp1a2 | 16 |
| mmu04924 | Renin secretion | 0.1973684 | 0.0000213 | 4.670649 | 0.0000213 | 0.0002884 | Cacna1c/Gnai1/Gucy1a2/Pde1b/Edn3/Plcb1/Gucy1b1/Gucy1a1/Pde1a/Agtr1a/Kcnma1/Ednra/Adcyap1r1/Plcb2/Clca2 | 15 |
| mmu04728 | Dopaminergic synapse | 0.1555556 | 0.0000253 | 4.597276 | 0.0000253 | 0.0003235 | Kcnj3/Gria4/Maob/Cacna1c/Drd4/Gnai1/Scn1a/Grin2b/Maoa/Gngt2/Plcb1/Gng11/Gng2/Arrb1/Plcb2/Arrb2/Gng7/Akt3/Gnb5/Gnb4/Cacna1a | 21 |
| mmu04510 | Focal adhesion | 0.1343284 | 0.0000291 | 4.536132 | 0.0000291 | 0.0003538 | Hgf/Itga4/Kdr/Igf1/Col4a6/Thbs3/Lamc3/Lama4/Itgb7/Ccnd2/Fn1/Shc3/Pip5k1b/Itga1/Col9a2/Lama2/Vegfc/Parvg/Itga7/Parvb/Flnc/Tln2/Fyn/Akt3/Cav1/Itga8/Itgb4 | 27 |
| mmu04360 | Axon guidance | 0.1381215 | 0.0000358 | 4.446679 | 0.0000358 | 0.0004084 | Epha8/Efnb3/Sema5a/Lrrc4c/Dcc/Plxnb1/Sema5b/Sema7a/Nrp1/Gnai1/Cxcl12/Gdf7/Trpc6/Epha3/Sema3g/Pard6g/Epha7/Ptch1/Nfatc4/Neo1/Fyn/Unc5c/Sema6a/Ngef/Ntng1 | 25 |
| mmu04974 | Protein digestion and absorption | 0.1666667 | 0.0000372 | 4.429015 | 0.0000372 | 0.0004084 | Col11a1/Col26a1/Col14a1/Col4a6/Slc8a1/Pga5/Col16a1/Slc36a4/Slc8a3/Col9a2/Col13a1/Mme/Col5a2/Col15a1/Atp1a2/Col23a1/Slc7a7/Col18a1 | 18 |
| mmu04727 | GABAergic synapse | 0.1797753 | 0.0000386 | 4.413099 | 0.0000386 | 0.0004084 | Cacna1c/Abat/Gnai1/Adcy3/Gngt2/Gabra4/Adcy4/Gng11/Adcy7/Gng2/Slc38a1/Gng7/Gnb5/Gnb4/Gabbr1/Cacna1a | 16 |
| mmu04014 | Ras signaling pathway | 0.1234043 | 0.0000728 | 4.137934 | 0.0000728 | 0.0007375 | Hgf/Angpt1/Pla2g10/Kdr/Igf1/Rasgrp3/Ets1/Shc3/Rasa3/Grin2b/Tek/Gngt2/Rasgrp2/Flt3/Gng11/Kit/Vegfc/Igf2/Gng2/Pla1a/Kitl/Gng7/Ets2/Akt3/Zap70/Gnb5/Lat/Syngap1/Gnb4 | 29 |
| mmu04921 | Oxytocin signaling pathway | 0.1372549 | 0.0001631 | 3.787545 | 0.0001631 | 0.0015864 | Kcnj3/Cacna1c/Ryr1/Nos3/Gnai1/Cacna2d1/Mef2c/Gucy1a2/Adcy3/Pik3r6/Plcb1/Gucy1b1/Gucy1a1/Adcy4/Adcy7/Cd38/Cacng7/Plcb2/Ryr3/Nfatc4/Cacnb4 | 21 |
| mmu04261 | Adrenergic signaling in cardiomyocytes | 0.1346154 | 0.0002149 | 3.667725 | 0.0002149 | 0.0020100 | Cacna1c/Adra1a/Slc8a1/Scn4b/Gnai1/Cacna2d1/Adcy3/Pik3r6/Slc8a3/Plcb1/Adcy4/Adcy7/Agtr1a/Myl3/Rps6ka5/Cacng7/Plcb2/Atp2b4/Akt3/Atp1a2/Cacnb4 | 21 |
| mmu04640 | Hematopoietic cell lineage | 0.1595745 | 0.0002688 | 3.570545 | 0.0002688 | 0.0024209 | Itga4/Cd44/Il11ra1/Cd3g/Itga1/Flt3/Mme/Cd1d1/Kit/H2-Ab1/Cd38/H2-Ob/Kitl/H2-Eb1/H2-Aa | 15 |
| mmu04151 | PI3K-Akt signaling pathway | 0.1030641 | 0.0003520 | 3.453452 | 0.0003520 | 0.0030569 | Hgf/Angpt1/Itga4/Kdr/Igf1/Col4a6/Thbs3/Nos3/Lamc3/Lama4/Areg/Itgb7/Ccnd2/Fn1/Lpar4/Tek/Gngt2/Pik3r6/Itga1/Col9a2/Flt3/Gng11/Kit/Lama2/Vegfc/Magi2/Igf2/Itga7/Gng2/Kitl/Gng7/Akt3/Gnb5/Gnb4/Il2rg/Itga8/Itgb4 | 37 |
| mmu05217 | Basal cell carcinoma | 0.1746032 | 0.0008023 | 3.095668 | 0.0008023 | 0.0067270 | Gli1/Wnt6/Hhip/Lef1/Wnt11/Ptch2/Kif7/Gli3/Wnt9a/Ptch1/Fzd2 | 11 |
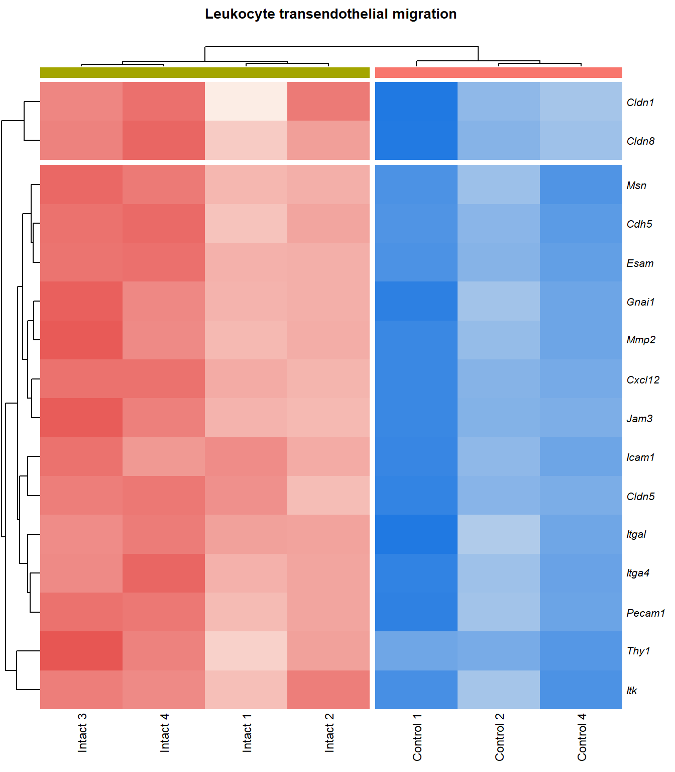
| mmu04670 | Leukocyte transendothelial migration | 0.1355932 | 0.0010931 | 2.961322 | 0.0010931 | 0.0088602 | Itga4/Gnai1/Mmp2/Icam1/Itk/Cxcl12/Jam3/Cldn8/Cdh5/Thy1/Msn/Esam/Itgal/Pecam1/Cldn5/Cldn1 | 16 |
| mmu04726 | Serotonergic synapse | 0.1297710 | 0.0012723 | 2.895414 | 0.0012723 | 0.0099796 | Kcnj3/Maob/Cacna1c/Kcnd2/Gnai1/Maoa/Gngt2/Plcb1/Htr1b/Gng11/Htr2a/Gng2/Plcb2/Gng7/Gnb5/Gnb4/Cacna1a | 17 |
| mmu04916 | Melanogenesis | 0.1400000 | 0.0016114 | 2.792795 | 0.0016114 | 0.0122446 | Wnt6/Lef1/Wnt11/Gnai1/Ednrb/Adcy3/Plcb1/Wnt9a/Adcy4/Kit/Adcy7/Kitl/Plcb2/Fzd2 | 14 |
| mmu04730 | Long-term depression | 0.1666667 | 0.0019805 | 2.703220 | 0.0019805 | 0.0144529 | Ryr1/Igf1/Gnai1/Gucy1a2/Plcb1/Gucy1b1/Gucy1a1/Plcb2/Gnaz/Cacna1a | 10 |
| mmu04611 | Platelet activation | 0.1280000 | 0.0020209 | 2.694455 | 0.0020209 | 0.0144529 | Nos3/Gnai1/Gucy1a2/Adcy3/Pik3r6/Plcb1/Rasgrp2/Gucy1b1/Gucy1a1/Adcy4/Adcy7/Plcb2/Tln2/Fyn/Akt3/Apbb1ip | 16 |
| mmu04072 | Phospholipase D signaling pathway | 0.1208054 | 0.0021127 | 2.675165 | 0.0021127 | 0.0145056 | Shc3/Lpar4/Pip5k1b/Adcy3/Ptgfr/Pik3r6/Plcb1/Plpp3/Adcy4/Kit/Adcy7/Dgkb/Agtr1a/Kitl/Plcb2/Fyn/Akt3/Plpp1 | 18 |
| mmu04742 | Taste transduction | 0.1413043 | 0.0021476 | 2.668049 | 0.0021476 | 0.0145056 | Cacna1c/P2rx2/Pde1b/Plcb1/Htr1b/Gabra4/Scn2a/Adcy4/Pde1a/Plcb2/Scn3a/Gabbr1/Cacna1a | 13 |
| mmu00514 | Other types of O-glycan biosynthesis | 0.1860465 | 0.0027027 | 2.568200 | 0.0027027 | 0.0172944 | St6gal2/Gxylt2/B4galt2/Galnt16/Lfng/Eogt/Galntl6/Mfng | 8 |
| mmu04672 | Intestinal immune network for IgA production | 0.1860465 | 0.0027027 | 2.568200 | 0.0027027 | 0.0172944 | Itga4/Itgb7/Cxcl12/Tnfsf13b/H2-Ab1/H2-Ob/H2-Eb1/H2-Aa | 8 |
| mmu04010 | MAPK signaling pathway | 0.0986395 | 0.0029078 | 2.536442 | 0.0029078 | 0.0181293 | Hgf/Angpt1/Cacna1c/Kdr/Igf1/Rasgrp3/Areg/Cacna2d1/Mef2c/Tek/Mapk8ip1/Cacna1e/Rasgrp2/Rps6ka2/Flt3/Kit/Vegfc/Igf2/Rps6ka5/Kitl/Arrb1/Cacng7/Flnc/Irak4/Cacna1h/Arrb2/Akt3/Cacna1a/Cacnb4 | 29 |
| mmu05205 | Proteoglycans in cancer | 0.1073171 | 0.0032991 | 2.481605 | 0.0032991 | 0.0200551 | Ihh/Hgf/Wnt6/Wnt11/Hoxd10/Kdr/Igf1/Cd44/Hcls1/Gpc3/Fn1/Mmp2/Ank2/Wnt9a/Msn/Igf2/Twist2/Ptch1/Flnc/Fzd2/Akt3/Cav1 | 22 |
| mmu04270 | Vascular smooth muscle contraction | 0.1180556 | 0.0035371 | 2.451354 | 0.0035371 | 0.0209774 | Cacna1c/Pla2g10/Adra1a/Gucy1a2/Adcy3/Edn3/Calca/Plcb1/Gucy1b1/Gucy1a1/Adcy4/Adcy7/Agtr1a/Kcnma1/Ednra/Plcb2/Calcrl | 17 |
| mmu04310 | Wnt signaling pathway | 0.1111111 | 0.0041787 | 2.378956 | 0.0041787 | 0.0239016 | Sfrp2/Wnt6/Lef1/Apcdd1/Wnt11/Nkd1/Ccnd2/Plcb1/Peg12/Wnt9a/Prickle2/Znrf3/Daam2/Prickle1/Tle1/Plcb2/Nfatc4/Fzd2/Nkd2 | 19 |
| mmu04658 | Th1 and Th2 cell differentiation | 0.1363636 | 0.0042268 | 2.373993 | 0.0042268 | 0.0239016 | Cd3g/Jag2/H2-Ab1/H2-Ob/H2-Eb1/Nfkbie/H2-Aa/Stat5b/Zap70/Lat/Il12rb1/Il2rg | 12 |
| mmu04024 | cAMP signaling pathway | 0.1026786 | 0.0046820 | 2.329568 | 0.0046820 | 0.0253449 | Gli1/Gria4/Hhip/Cacna1c/Vipr2/Gnai1/Grin2b/Adcy3/Edn3/Gli3/Htr1b/Adcy4/Adcy7/Ednra/Adcyap1r1/Arap3/Ptch1/Ptger3/Atp2b4/Akt3/Atp1a2/Gabbr1/Lipe | 23 |
| mmu04723 | Retrograde endocannabinoid signaling | 0.1148649 | 0.0046905 | 2.328785 | 0.0046905 | 0.0253449 | Kcnj3/Gria4/Cacna1c/Gnai1/Adcy3/Gngt2/Plcb1/Gabra4/Adcy4/Gng11/Adcy7/Gng2/Plcb2/Gng7/Gnb5/Gnb4/Cacna1a | 17 |
| mmu04933 | AGE-RAGE signaling pathway in diabetic complications | 0.1287129 | 0.0049110 | 2.308831 | 0.0049110 | 0.0259597 | Col4a6/Nos3/Fn1/Mmp2/Icam1/Plcb1/Vegfc/Nox4/Sele/Agtr1a/Plcb2/Stat5b/Akt3 | 13 |
| mmu04925 | Aldosterone synthesis and secretion | 0.1274510 | 0.0053431 | 2.272203 | 0.0053431 | 0.0276432 | Kcnk3/Cacna1c/Prkd1/Adcy3/Plcb1/Adcy4/Adcy7/Agtr1a/Plcb2/Cacna1h/Atp2b4/Atp1a2/Lipe | 13 |
| mmu00533 | Glycosaminoglycan biosynthesis - keratan sulfate | 0.2857143 | 0.0067409 | 2.171279 | 0.0067409 | 0.0341482 | Chst2/B4galt2/St3gal2/Chst1 | 4 |
| mmu02010 | ABC transporters | 0.1538462 | 0.0089348 | 2.048914 | 0.0089348 | 0.0443382 | Abcg2/Abca5/Abcg1/Abca8b/Abcd2/Abcb1a/Abcc5/Abcg3 | 8 |
| mmu04929 | GnRH secretion | 0.1428571 | 0.0092723 | 2.032814 | 0.0092723 | 0.0450925 | Kcnj3/Cacna1c/Plcb1/Arrb1/Plcb2/Cacna1h/Arrb2/Akt3/Gabbr1 | 9 |
| mmu04540 | Gap junction | 0.1279070 | 0.0097385 | 2.011509 | 0.0097385 | 0.0464312 | Gnai1/Gucy1a2/Adcy3/Plcb1/Gucy1b1/Gucy1a1/Adcy4/Adcy7/Tubb4a/Htr2a/Plcb2 | 11 |
| mmu04260 | Cardiac muscle contraction | 0.1264368 | 0.0105916 | 1.975040 | 0.0105916 | 0.0485929 | Cacna1c/Slc8a1/Cacna2d1/Slc9a7/Slc8a3/Myl3/Cacng7/Asph/Cox4i2/Atp1a2/Cacnb4 | 11 |
| mmu05323 | Rheumatoid arthritis | 0.1264368 | 0.0105916 | 1.975040 | 0.0105916 | 0.0485929 | Angpt1/Icam1/Tek/Cxcl12/Tnfsf13b/Itgal/H2-Ab1/H2-Ob/Atp6v0e2/H2-Eb1/H2-Aa | 11 |
| mmu05416 | Viral myocarditis | 0.1250000 | 0.0115008 | 1.939271 | 0.0115008 | 0.0517873 | Sgcd/Icam1/Lama2/Itgal/H2-Ab1/H2-Ob/H2-Eb1/Fyn/H2-Aa/Sgcb/Cav1 | 11 |
| mmu00601 | Glycosphingolipid biosynthesis - lacto and neolacto series | 0.1923077 | 0.0146653 | 1.833709 | 0.0146653 | 0.0648361 | B3galnt1/B4galt2/Ggta1/B3gnt5/St3gal4 | 5 |
| mmu04659 | Th17 cell differentiation | 0.1142857 | 0.0167183 | 1.776807 | 0.0167183 | 0.0725928 | Cd3g/Il27ra/H2-Ab1/H2-Ob/H2-Eb1/Nfkbie/H2-Aa/Stat5b/Zap70/Lat/Il12rb1/Il2rg | 12 |
| mmu04390 | Hippo signaling pathway | 0.1019108 | 0.0178407 | 1.748587 | 0.0178407 | 0.0761073 | Wnt6/Lef1/Wnt11/Nkd1/Areg/Ccnd2/Gdf7/Wnt9a/Dlg2/Pard6g/Ccn2/Fzd2/Dlg4/Dlg5/Lats2/Nkd2 | 16 |
| mmu00230 | Purine metabolism | 0.1044776 | 0.0211764 | 1.674148 | 0.0211764 | 0.0874342 | Nme4/Gucy1a2/Pde1b/Adcy3/Gucy1b1/Gucy1a1/Adcy4/Adcy7/Pde1a/Enpp1/Hddc3/Lacc1/Pde5a/Impdh1 | 14 |
| mmu04927 | Cortisol synthesis and secretion | 0.1250000 | 0.0212151 | 1.673355 | 0.0212151 | 0.0874342 | Kcnk3/Cacna1c/Adcy3/Plcb1/Adcy4/Adcy7/Agtr1a/Plcb2/Cacna1h | 9 |
| mmu04961 | Endocrine and other factor-regulated calcium reabsorption | 0.1311475 | 0.0223555 | 1.650616 | 0.0223555 | 0.0905986 | Slc8a1/Slc8a3/Plcb1/Pth1r/Bdkrb2/Plcb2/Atp2b4/Atp1a2 | 8 |
| mmu04810 | Regulation of actin cytoskeleton | 0.0909091 | 0.0241445 | 1.617182 | 0.0241445 | 0.0962447 | Itga4/Itgb7/Fn1/Pfn2/Lpar4/Pip5k1b/Cxcl12/Itga1/Msn/Abi2/Itgal/Scin/Bdkrb2/Itga7/Nckap1l/Fgd1/Akt3/Actr3b/Cyfip2/Itga8/Itgb4 | 21 |
| mmu04918 | Thyroid hormone synthesis | 0.1216216 | 0.0249269 | 1.603331 | 0.0249269 | 0.0970532 | Ttr/Adcy3/Plcb1/Lrp2/Adcy4/Adcy7/Plcb2/Gpx7/Atp1a2 | 9 |
| mmu00260 | Glycine, serine and threonine metabolism | 0.1500000 | 0.0251456 | 1.599538 | 0.0251456 | 0.0970532 | Maob/Cbs/Maoa/Gamt/Cth/Phgdh | 6 |
| mmu00380 | Tryptophan metabolism | 0.1346154 | 0.0278565 | 1.555074 | 0.0278565 | 0.1058362 | Cyp1b1/Maob/Maoa/Kyat1/Dhtkd1/Echs1/Aox4 | 7 |
| mmu04923 | Regulation of lipolysis in adipocytes | 0.1228070 | 0.0431941 | 1.364576 | 0.0431941 | 0.1573957 | Gnai1/Adcy3/Adcy4/Adcy7/Ptger3/Akt3/Lipe | 7 |
| mmu05144 | Malaria | 0.1228070 | 0.0431941 | 1.364576 | 0.0431941 | 0.1573957 | Hgf/Thbs3/Icam1/Gypc/Itgal/Sele/Pecam1 | 7 |
| mmu04915 | Estrogen signaling pathway | 0.0970149 | 0.0433690 | 1.362821 | 0.0433690 | 0.1573957 | Krt23/Kcnj3/Nos3/Gnai1/Mmp2/Shc3/Adcy3/Plcb1/Adcy4/Adcy7/Plcb2/Akt3/Gabbr1 | 13 |
| mmu04934 | Cushing syndrome | 0.0925926 | 0.0448593 | 1.348148 | 0.0448593 | 0.1581074 | Kcnk3/Wnt6/Lef1/Wnt11/Cacna1c/Gnai1/Adcy3/Plcb1/Wnt9a/Adcy4/Adcy7/Agtr1a/Plcb2/Cacna1h/Fzd2 | 15 |
| mmu04928 | Parathyroid hormone synthesis, secretion and action | 0.1018519 | 0.0448655 | 1.348087 | 0.0448655 | 0.1581074 | Mmp16/Gnai1/Mef2c/Adcy3/Plcb1/Pth1r/Adcy4/Adcy7/Arrb1/Plcb2/Arrb2 | 11 |
kegg_dot[[p]]

upset[[p]]

p=p+1
enrichKEGG_sig[[p]] %>%
kable(caption = "Significantly enriched KEGG pathways") %>%
kable_styling(bootstrap_options = c("striped", "hover")) %>%
scroll_box(height = "600px")
| Description | GeneRatio | pvalue | logPval | p.adjust | qvalue | geneID | Count | |
|---|---|---|---|---|---|---|---|---|
| mmu04340 | Hedgehog signaling pathway | 0.1379310 | 0.0000027 | 5.566527 | 0.0000027 | 0.0005883 | Gli1/Ihh/Hhip/Ptch2/Evc2/Evc/Lrp2/Kif7 | 8 |
| mmu05217 | Basal cell carcinoma | 0.1111111 | 0.0000495 | 4.305328 | 0.0000495 | 0.0044503 | Gli1/Wnt6/Hhip/Wnt11/Lef1/Ptch2/Kif7 | 7 |
| mmu04512 | ECM-receptor interaction | 0.0909091 | 0.0000616 | 4.210629 | 0.0000616 | 0.0044503 | Col4a6/Lamc3/Itga4/Npnt/Cd44/Col9a2/Frem1/Lama4 | 8 |
| mmu04360 | Axon guidance | 0.0607735 | 0.0001109 | 3.955120 | 0.0001109 | 0.0060112 | Epha8/Efnb3/Sema5a/Dcc/Lrrc4c/Sema5b/Plxnb1/Gnai1/Sema7a/Cxcl12/Gdf7 | 11 |
| mmu05205 | Proteoglycans in cancer | 0.0487805 | 0.0012850 | 2.891099 | 0.0012850 | 0.0506002 | Ihh/Hgf/Wnt6/Wnt11/Hoxd10/Igf1/Kdr/Gpc3/Cd44/Mmp2 | 10 |
| mmu04974 | Protein digestion and absorption | 0.0648148 | 0.0014001 | 2.853840 | 0.0014001 | 0.0506002 | Col11a1/Col26a1/Col14a1/Col4a6/Pga5/Col9a2/Slc8a3 | 7 |
| mmu04020 | Calcium signaling pathway | 0.0416667 | 0.0040661 | 2.390824 | 0.0040661 | 0.1259569 | Hgf/Ryr1/Adra1a/Kdr/Ednrb/Nos3/P2rx2/Ptgfr/Cacna1e/Slc8a3 | 10 |
| mmu04728 | Dopaminergic synapse | 0.0518519 | 0.0049253 | 2.307566 | 0.0049253 | 0.1335021 | Kcnj3/Maob/Gria4/Drd4/Scn1a/Gnai1/Grin2b | 7 |
| mmu05412 | Arrhythmogenic right ventricular cardiomyopathy | 0.0649351 | 0.0067287 | 2.172067 | 0.0067287 | 0.1597633 | Lef1/Sgcd/Itga4/Cdh2/Slc8a3 | 5 |
| mmu04080 | Neuroactive ligand-receptor interaction | 0.0332481 | 0.0075343 | 2.122958 | 0.0075343 | 0.1597633 | Grid1/Grik1/Vipr2/Gria4/Adra1a/Drd4/Ednrb/Calca/Edn3/P2rx2/Ptgfr/Grin2b/Gabra4 | 13 |
| mmu04724 | Glutamatergic synapse | 0.0530973 | 0.0081045 | 2.091274 | 0.0081045 | 0.1597633 | Kcnj3/Slc1a3/Grik1/Gria4/Gnai1/Grin2b | 6 |
| mmu04510 | Focal adhesion | 0.0398010 | 0.0127867 | 1.893241 | 0.0127867 | 0.2310583 | Hgf/Col4a6/Igf1/Lamc3/Itga4/Kdr/Col9a2/Lama4 | 8 |
| mmu04713 | Circadian entrainment | 0.0510204 | 0.0178954 | 1.747258 | 0.0178954 | 0.2793284 | Kcnj3/Gria4/Ryr1/Gnai1/Grin2b | 5 |
| mmu04015 | Rap1 signaling pathway | 0.0373832 | 0.0180343 | 1.743901 | 0.0180343 | 0.2793284 | Hgf/Angpt1/Igf1/Kdr/Gnai1/Evl/Grin2b/Rasgrp3 | 8 |
| mmu04916 | Melanogenesis | 0.0500000 | 0.0193626 | 1.713036 | 0.0193626 | 0.2799084 | Wnt6/Wnt11/Lef1/Ednrb/Gnai1 | 5 |
| mmu04151 | PI3K-Akt signaling pathway | 0.0306407 | 0.0234769 | 1.629359 | 0.0234769 | 0.3022251 | Hgf/Angpt1/Col4a6/Igf1/Lamc3/Areg/Itga4/Kdr/Nos3/Col9a2/Lama4 | 11 |
| mmu05033 | Nicotine addiction | 0.0750000 | 0.0236939 | 1.625364 | 0.0236939 | 0.3022251 | Gria4/Grin2b/Gabra4 | 3 |
| mmu00910 | Nitrogen metabolism | 0.1176471 | 0.0278455 | 1.555244 | 0.0278455 | 0.3354493 | Car4/Car8 | 2 |
| mmu04390 | Hippo signaling pathway | 0.0382166 | 0.0350594 | 1.455195 | 0.0350594 | 0.4001241 | Wnt6/Wnt11/Lef1/Areg/Nkd1/Gdf7 | 6 |
| mmu05030 | Cocaine addiction | 0.0625000 | 0.0379529 | 1.420754 | 0.0379529 | 0.4114899 | Maob/Gnai1/Grin2b | 3 |
| mmu04979 | Cholesterol metabolism | 0.0600000 | 0.0420678 | 1.376050 | 0.0420678 | 0.4343844 | Apob/Lrp2/Soat1 | 3 |
| mmu04310 | Wnt signaling pathway | 0.0350877 | 0.0496570 | 1.304019 | 0.0496570 | 0.4584936 | Wnt6/Sfrp2/Wnt11/Lef1/Apcdd1/Nkd1 | 6 |
| mmu04926 | Relaxin signaling pathway | 0.0387597 | 0.0498596 | 1.302251 | 0.0498596 | 0.4584936 | Col4a6/Ednrb/Nos3/Gnai1/Mmp2 | 5 |
kegg_dot[[p]]

upset[[p]]

p=1
q=1
# create df with normalised read counts with an additional entrezid column for binding
logCPM <- cpm(dge, prior.count = 3, log = TRUE)
logCPM <- logCPM[,1:7]
logCPM <- cbind(logCPM, dge$genes$entrezid)
rownames(logCPM) <- dge$genes$gene_name
colnames(logCPM) <- c("Control 1", "Control 2", "Control 4", "Intact 1", "Intact 2", "Intact 3", "Intact 4", "entrezid")
### full pathway method
# complete_pathway <- kegg_pathway[[1]]$GENE %>% as.data.frame()
# complete_pathway <- focal_adhesion[seq(1, nrow(focal_adhesion), 2),]
# match_complete_pathway <- logCPM[,"entrezid"] %in% complete_pathway
# df for heatmap annotation of sample group
anno <- as.factor(dge$samples$group) %>% as.data.frame()
anno <- anno[1:7,] %>% as.data.frame()
colnames(anno) <- "Sample Groups"
anno$`Sample Groups` <- gsub("CONT", "Control", anno$`Sample Groups`)
anno$`Sample Groups` <- gsub("INT", "Intact", anno$`Sample Groups`)
rownames(anno) <- colnames(logCPM[, 1:7])
# setting colour of sample group annotation
# original sample colours
# anno_colours <- c("#66C2A5", "#FC8D62")
# new sample colours
anno_colours <- c("#f8766d", "#a3a500")
names(anno_colours) <- c("Control", "Intact")
matrix <- list()
display_matrix <- list()
kegg_heat=list()
my_palette <- colorRampPalette(c(
rgb(32,121,226, maxColorValue = 255),
# rgb(144,203,180, maxColorValue = 255),
rgb(254,248,239, maxColorValue = 255),
# rgb(251,192,52, maxColorValue = 255),
rgb(226,46,45, maxColorValue = 255)))(n = 201)
for (i in 1:length(fc)) {
x <- fc[i] %>% as.character()
for (j in 1:length(kegg_id)) {
y <- kegg_pathway[[j]]$PATHWAY_MAP
partial <- enrichKEGG_all[[x]][, c("ID", "geneID")]
partial <- partial[kegg_id[j], "geneID"] %>% as.data.frame()
partial <- separate_rows(partial, ., sep = "/")
colnames(partial) <- "entrezid"
# heatmap matrix
match <- rownames(logCPM) %in% partial$entrezid
matrix[[x]][[y]] <- logCPM[match, c("Control 1", "Control 2", "Control 4", "Intact 1", "Intact 2", "Intact 3", "Intact 4")] %>% as.data.frame()
# changing the colname to numeric for some reason, cant remember
matrix[[x]][[y]][, c("Control 1", "Control 2", "Control 4", "Intact 1", "Intact 2", "Intact 3", "Intact 4")] <- as.numeric(as.character(unlist(matrix[[x]][[y]][, c("Control 1", "Control 2", "Control 4", "Intact 1", "Intact 2", "Intact 3", "Intact 4")])))
# display matrix
match2 <- lmTreat_sig[[x]][, "entrezid"] %in% partial$entrezid
display_matrix[[x]][[y]] <- lmTreat_sig[[x]][match2, c("gene_name", "logFC", "P.Value", "adj.P.Val", "description")] %>%
as.data.frame()
colnames(display_matrix[[x]][[y]]) <- c("Gene Name", "logFC", "P Value", "Adjusted P Value", "Description")
## Heatmap
kegg_heat[[x]][[y]] <- pheatmap(
mat = matrix[[x]][[y]],
### Publish
show_colnames = T,
main = paste0(y, "\n"),
legend = F,
annotation_legend = F,
fontsize = 8,
fontsize_col = 9,
fontsize_number = 7,
fontsize_row = 8,
treeheight_row = 25,
treeheight_col = 10,
cluster_cols = T,
clustering_distance_rows = "euclidean",
legend_breaks = c(seq(-3, 11, by = .5), 1.4),
legend_labels = c(seq(-3, 11, by = .5), "Z-Score"),
angle_col = 90,
cutree_cols = 2,
cutree_rows = 2,
color = my_palette,
scale = "row",
border_color = NA,
annotation_col = anno,
annotation_colors = list("Sample Groups" = anno_colours),
annotation_names_col = F,
annotation = T,
silent = T,
labels_row = as.expression(lapply(rownames(matrix[[x]][[y]]), function(a) bquote(italic(.(a)))))
) %>% as.ggplot()
# save
ggsave(filename = paste0("heat_", x, "_", y, ".svg"),
plot = kegg_heat[[x]][[y]],
path = here::here("2_plots/kegg/"),
width = 166,
height = 250,
units = "mm")}
}
kegg_heat[[p]][[q]]

display_matrix[[p]][[q]] %>%
kable() %>%
kable_styling(bootstrap_options = c("striped", "hover")) %>%
scroll_box(height = "600px")
| Gene Name | logFC | P Value | Adjusted P Value | Description |
|---|---|---|---|---|
# adjusting the kegg id to suit the parameters of the pathview funtion
adj.keggID <- gsub("mmu", "", kegg_id)
for (i in 1:length(fc)) {
x <- fc[i] %>% as.character()
# extract the logFC from the DE gene list
pathview_table <- dplyr::select(.data = lmTreat_sig[[x]], c("logFC")) %>% as.matrix()
# run pathview with Ensembl ID instead of entrezID
pathview <- pathview(
gene.data = pathview_table[, 1],
gene.idtype = "ENSEMBL",
pathway.id = adj.keggID,
species = "mmu",
out.suffix = "pv",
kegg.dir = here::here("2_plots/kegg/"),
kegg.native = T
)
# move the result file to the plot directory
file.rename(
from = paste0("mmu", adj.keggID, ".pv.png"),
to = here::here(paste0("2_plots/kegg/pv_", x, "_", kegg_id, ".png"))
)
}
[1] "Note: 166 of 1629 unique input IDs unmapped."
[1] "Note: 151 of 1447 unique input IDs unmapped."
[1] "Note: 63 of 388 unique input IDs unmapped."
# display the pathview graph. doesnt work when knitting!!!!
# knitr::include_graphics(here::here(paste0("2_plots/kegg/pv_", fc[p], "_", kegg_id[q], ".png")))
q=q+1
kegg_heat[[p]][[q]]

display_matrix[[p]][[q]] %>%
kable() %>%
kable_styling(bootstrap_options = c("striped", "hover")) %>%
scroll_box(height = "600px")
| Gene Name | logFC | P Value | Adjusted P Value | Description |
|---|---|---|---|---|
q=q+1
kegg_heat[[p]][[q]]

display_matrix[[p]][[q]] %>%
kable() %>%
kable_styling(bootstrap_options = c("striped", "hover")) %>%
scroll_box(height = "600px")
| Gene Name | logFC | P Value | Adjusted P Value | Description |
|---|---|---|---|---|
q=q+1
kegg_heat[[p]][[q]]

display_matrix[[p]][[q]] %>%
kable() %>%
kable_styling(bootstrap_options = c("striped", "hover")) %>%
scroll_box(height = "600px")
| Gene Name | logFC | P Value | Adjusted P Value | Description |
|---|---|---|---|---|
q=q+1
kegg_heat[[p]][[q]]

display_matrix[[p]][[q]] %>%
kable() %>%
kable_styling(bootstrap_options = c("striped", "hover")) %>%
scroll_box(height = "600px")
| Gene Name | logFC | P Value | Adjusted P Value | Description |
|---|---|---|---|---|
q=q+1
kegg_heat[[p]][[q]]

display_matrix[[p]][[q]] %>%
kable() %>%
kable_styling(bootstrap_options = c("striped", "hover")) %>%
scroll_box(height = "600px")
| Gene Name | logFC | P Value | Adjusted P Value | Description |
|---|---|---|---|---|
p=p+1
q=1
kegg_heat[[p]][[q]]

display_matrix[[p]][[q]] %>%
kable() %>%
kable_styling(bootstrap_options = c("striped", "hover")) %>%
scroll_box(height = "600px")
| Gene Name | logFC | P Value | Adjusted P Value | Description |
|---|---|---|---|---|
q=q+1
kegg_heat[[p]][[q]]

display_matrix[[p]][[q]] %>%
kable() %>%
kable_styling(bootstrap_options = c("striped", "hover")) %>%
scroll_box(height = "600px")
| Gene Name | logFC | P Value | Adjusted P Value | Description |
|---|---|---|---|---|
q=q+1
kegg_heat[[p]][[q]]

display_matrix[[p]][[q]] %>%
kable() %>%
kable_styling(bootstrap_options = c("striped", "hover")) %>%
scroll_box(height = "600px")
| Gene Name | logFC | P Value | Adjusted P Value | Description |
|---|---|---|---|---|
q=q+1
kegg_heat[[p]][[q]]

display_matrix[[p]][[q]] %>%
kable() %>%
kable_styling(bootstrap_options = c("striped", "hover")) %>%
scroll_box(height = "600px")
| Gene Name | logFC | P Value | Adjusted P Value | Description |
|---|---|---|---|---|
q=q+1
kegg_heat[[p]][[q]]

display_matrix[[p]][[q]] %>%
kable() %>%
kable_styling(bootstrap_options = c("striped", "hover")) %>%
scroll_box(height = "600px")
| Gene Name | logFC | P Value | Adjusted P Value | Description |
|---|---|---|---|---|
q=q+1
kegg_heat[[p]][[q]]

display_matrix[[p]][[q]] %>%
kable() %>%
kable_styling(bootstrap_options = c("striped", "hover")) %>%
scroll_box(height = "600px")
| Gene Name | logFC | P Value | Adjusted P Value | Description |
|---|---|---|---|---|
p=p+1
q=1
kegg_heat[[p]][[q]]

display_matrix[[p]][[q]] %>%
kable() %>%
kable_styling(bootstrap_options = c("striped", "hover")) %>%
scroll_box(height = "600px")
| Gene Name | logFC | P Value | Adjusted P Value | Description |
|---|---|---|---|---|
q=q+1
kegg_heat[[p]][[q]]

display_matrix[[p]][[q]] %>%
kable() %>%
kable_styling(bootstrap_options = c("striped", "hover")) %>%
scroll_box(height = "600px")
| Gene Name | logFC | P Value | Adjusted P Value | Description |
|---|---|---|---|---|
q=q+1
kegg_heat[[p]][[q]]

display_matrix[[p]][[q]] %>%
kable() %>%
kable_styling(bootstrap_options = c("striped", "hover")) %>%
scroll_box(height = "600px")
| Gene Name | logFC | P Value | Adjusted P Value | Description |
|---|---|---|---|---|
q=q+1
kegg_heat[[p]][[q]]

display_matrix[[p]][[q]] %>%
kable() %>%
kable_styling(bootstrap_options = c("striped", "hover")) %>%
scroll_box(height = "600px")
| Gene Name | logFC | P Value | Adjusted P Value | Description |
|---|---|---|---|---|
q=q+1
kegg_heat[[p]][[q]]

display_matrix[[p]][[q]] %>%
kable() %>%
kable_styling(bootstrap_options = c("striped", "hover")) %>%
scroll_box(height = "600px")
| Gene Name | logFC | P Value | Adjusted P Value | Description |
|---|---|---|---|---|
q=q+1
kegg_heat[[p]][[q]]

display_matrix[[p]][[q]] %>%
kable() %>%
kable_styling(bootstrap_options = c("striped", "hover")) %>%
scroll_box(height = "600px")
| Gene Name | logFC | P Value | Adjusted P Value | Description |
|---|---|---|---|---|
# save to csv
writexl::write_xlsx(x = enrichKEGG_all, here::here("3_output/enrichKEGG_all.xlsx"))
writexl::write_xlsx(x = enrichKEGG_sig, here::here("3_output/enrichKEGG_sig.xlsx"))
sessionInfo()
R version 4.2.1 (2022-06-23 ucrt)
Platform: x86_64-w64-mingw32/x64 (64-bit)
Running under: Windows 10 x64 (build 19045)
Matrix products: default
locale:
[1] LC_COLLATE=English_Australia.utf8 LC_CTYPE=English_Australia.utf8
[3] LC_MONETARY=English_Australia.utf8 LC_NUMERIC=C
[5] LC_TIME=English_Australia.utf8
attached base packages:
[1] stats4 grid stats graphics grDevices utils datasets
[8] methods base
other attached packages:
[1] pathview_1.36.1 enrichplot_1.16.2 org.Mm.eg.db_3.15.0
[4] AnnotationDbi_1.58.0 IRanges_2.30.1 S4Vectors_0.34.0
[7] Biobase_2.56.0 BiocGenerics_0.42.0 clusterProfiler_4.4.4
[10] Glimma_2.6.0 edgeR_3.38.4 limma_3.52.4
[13] ggrepel_0.9.1 ggbiplot_0.55 scales_1.2.1
[16] plyr_1.8.7 ggpubr_0.4.0 ggplotify_0.1.0
[19] pheatmap_1.0.12 cowplot_1.1.1 viridis_0.6.2
[22] viridisLite_0.4.1 pander_0.6.5 kableExtra_1.3.4
[25] KEGGREST_1.36.3 forcats_0.5.2 stringr_1.4.1
[28] purrr_0.3.5 tidyr_1.2.1 ggplot2_3.3.6
[31] tidyverse_1.3.2 reshape2_1.4.4 tibble_3.1.8
[34] readr_2.1.3 magrittr_2.0.3 dplyr_1.0.10
loaded via a namespace (and not attached):
[1] utf8_1.2.2 tidyselect_1.2.0
[3] RSQLite_2.2.18 htmlwidgets_1.5.4
[5] BiocParallel_1.30.3 scatterpie_0.1.8
[7] munsell_0.5.0 ragg_1.2.3
[9] codetools_0.2-18 withr_2.5.0
[11] colorspace_2.0-3 GOSemSim_2.22.0
[13] highr_0.9 knitr_1.40
[15] rstudioapi_0.14 ggsignif_0.6.3
[17] DOSE_3.22.1 labeling_0.4.2
[19] MatrixGenerics_1.8.1 KEGGgraph_1.56.0
[21] git2r_0.30.1 GenomeInfoDbData_1.2.8
[23] polyclip_1.10-0 bit64_4.0.5
[25] farver_2.1.1 rprojroot_2.0.3
[27] downloader_0.4 treeio_1.20.2
[29] vctrs_0.4.2 generics_0.1.3
[31] xfun_0.33 R6_2.5.1
[33] GenomeInfoDb_1.32.4 graphlayouts_0.8.2
[35] locfit_1.5-9.6 bitops_1.0-7
[37] cachem_1.0.6 fgsea_1.22.0
[39] gridGraphics_0.5-1 DelayedArray_0.22.0
[41] assertthat_0.2.1 promises_1.2.0.1
[43] ggraph_2.1.0 googlesheets4_1.0.1
[45] gtable_0.3.1 tidygraph_1.2.2
[47] workflowr_1.7.0 rlang_1.0.6
[49] genefilter_1.78.0 systemfonts_1.0.4
[51] splines_4.2.1 lazyeval_0.2.2
[53] rstatix_0.7.0 gargle_1.2.1
[55] broom_1.0.1 yaml_2.3.5
[57] abind_1.4-5 modelr_0.1.9
[59] backports_1.4.1 httpuv_1.6.6
[61] qvalue_2.28.0 tools_4.2.1
[63] ellipsis_0.3.2 jquerylib_0.1.4
[65] RColorBrewer_1.1-3 Rcpp_1.0.9
[67] zlibbioc_1.42.0 RCurl_1.98-1.9
[69] SummarizedExperiment_1.26.1 haven_2.5.1
[71] here_1.0.1 fs_1.5.2
[73] data.table_1.14.2 DO.db_2.9
[75] reprex_2.0.2 googledrive_2.0.0
[77] whisker_0.4 matrixStats_0.62.0
[79] patchwork_1.1.2 hms_1.1.2
[81] evaluate_0.17 xtable_1.8-4
[83] XML_3.99-0.11 readxl_1.4.1
[85] gridExtra_2.3 ggupset_0.3.0
[87] compiler_4.2.1 writexl_1.4.0
[89] shadowtext_0.1.2 crayon_1.5.2
[91] htmltools_0.5.3 ggfun_0.0.7
[93] later_1.3.0 tzdb_0.3.0
[95] geneplotter_1.74.0 aplot_0.1.8
[97] lubridate_1.8.0 DBI_1.1.3
[99] tweenr_2.0.2 dbplyr_2.2.1
[101] MASS_7.3-57 Matrix_1.5-1
[103] car_3.1-0 cli_3.4.1
[105] parallel_4.2.1 igraph_1.3.5
[107] GenomicRanges_1.48.0 pkgconfig_2.0.3
[109] xml2_1.3.3 ggtree_3.4.4
[111] svglite_2.1.0 annotate_1.74.0
[113] bslib_0.4.0 webshot_0.5.4
[115] XVector_0.36.0 rvest_1.0.3
[117] yulab.utils_0.0.5 digest_0.6.29
[119] graph_1.74.0 Biostrings_2.64.1
[121] rmarkdown_2.17 cellranger_1.1.0
[123] fastmatch_1.1-3 tidytree_0.4.1
[125] curl_4.3.3 nlme_3.1-157
[127] lifecycle_1.0.3 jsonlite_1.8.2
[129] carData_3.0-5 fansi_1.0.3
[131] pillar_1.8.1 lattice_0.20-45
[133] fastmap_1.1.0 httr_1.4.4
[135] survival_3.3-1 GO.db_3.15.0
[137] glue_1.6.2 png_0.1-7
[139] Rgraphviz_2.40.0 bit_4.0.4
[141] ggforce_0.4.1 stringi_1.7.8
[143] sass_0.4.2 blob_1.2.3
[145] textshaping_0.3.6 org.Hs.eg.db_3.15.0
[147] DESeq2_1.36.0 memoise_2.0.1
[149] ape_5.6-2