Last updated: 2023-04-24

Checks: 6 1

Knit directory: NMD-analysis/

This reproducible R Markdown analysis was created with workflowr (version 1.7.0). The Checks tab describes the reproducibility checks that were applied when the results were created. The Past versions tab lists the development history.


Great! Since the R Markdown file has been committed to the Git repository, you know the exact version of the code that produced these results.

Great job! The global environment was empty. Objects defined in the global environment can affect the analysis in your R Markdown file in unknown ways. For reproduciblity it’s best to always run the code in an empty environment.

The command set.seed(20230314) was run prior to running the code in the R Markdown file. Setting a seed ensures that any results that rely on randomness, e.g. subsampling or permutations, are reproducible.

Great job! Recording the operating system, R version, and package versions is critical for reproducibility.

Nice! There were no cached chunks for this analysis, so you can be confident that you successfully produced the results during this run.

Using absolute paths to the files within your workflowr project makes it difficult for you and others to run your code on a different machine. Change the absolute path(s) below to the suggested relative path(s) to make your code more reproducible.

absolute relative
/home/neuro/Documents/NMD_analysis/Analysis/NMD-analysis/output/Transcript/Thesis_figures/transcript-distribution.svg output/Transcript/Thesis_figures/transcript-distribution.svg
/home/neuro/Documents/NMD_analysis/Analysis/NMD-analysis/output/Transcript/Thesis_figures/transcript-composition.svg output/Transcript/Thesis_figures/transcript-composition.svg

Great! You are using Git for version control. Tracking code development and connecting the code version to the results is critical for reproducibility.

The results in this page were generated with repository version 6110b63. See the Past versions tab to see a history of the changes made to the R Markdown and HTML files.

Note that you need to be careful to ensure that all relevant files for the analysis have been committed to Git prior to generating the results (you can use wflow_publish or wflow_git_commit). workflowr only checks the R Markdown file, but you know if there are other scripts or data files that it depends on. Below is the status of the Git repository when the results were generated:


Ignored files:
    Ignored:    .Rhistory
    Ignored:    .Rproj.user/
    Ignored:    analysis/Differential-transcript-usage.nb.html
    Ignored:    analysis/Enichment-analysis-fgsea.nb.html
    Ignored:    analysis/Enichment-analysis-goseq.nb.html

Untracked files:
    Untracked:  PCA.png
    Untracked:  PCA_plot.pdf
    Untracked:  PCA_transcript.png
    Untracked:  analysis/Differential-transcript-expression.Rmd
    Untracked:  analysis/Differential-transcript-usage.Rmd
    Untracked:  analysis/UPF3B_KD.Rmd
    Untracked:  analysis/figures.Rmd
    Untracked:  analysis/transcript-preprocessing.Rmd
    Untracked:  code/QuasR_log_7219053fb51a5.txt
    Untracked:  code/QuasR_log_74f7f374c3271.txt
    Untracked:  code/QuasR_log_7a13e31c3d08a.txt
    Untracked:  code/QuasR_log_7ac9f1cedf971.txt
    Untracked:  code/QuasR_log_7bbdc44874ffd.txt
    Untracked:  code/eisaR.R
    Untracked:  code/external_code/
    Untracked:  data/LTK_Sample Metafile_V3.txt
    Untracked:  data/Mus_musculus.GRCm39.105__nifs.tsv
    Untracked:  data/fastqc/
    Untracked:  data/nif_output/
    Untracked:  data/samples.txt
    Untracked:  output/DEG-limma-results.Rda
    Untracked:  output/DEG-list.Rda
    Untracked:  output/DEG/
    Untracked:  output/ISAR/
    Untracked:  output/QC/
    Untracked:  output/Transcript/
    Untracked:  output/isoformSwitchAnalyzeR_isoform_AA_complete.fasta
    Untracked:  output/isoformSwitchAnalyzeR_isoform_AA_subset_1_of_3.fasta
    Untracked:  output/isoformSwitchAnalyzeR_isoform_AA_subset_2_of_3.fasta
    Untracked:  output/isoformSwitchAnalyzeR_isoform_AA_subset_3_of_3.fasta
    Untracked:  output/isoformSwitchAnalyzeR_isoform_nt.fasta
    Untracked:  output/limma-matrices.Rda

Unstaged changes:
    Modified:   analysis/DEG-analysis.Rmd
    Modified:   analysis/Enichment-analysis-fgsea.Rmd
    Modified:   analysis/_site.yml
    Modified:   code/functions.R
    Modified:   code/libraries.R

Note that any generated files, e.g. HTML, png, CSS, etc., are not included in this status report because it is ok for generated content to have uncommitted changes.


These are the previous versions of the repository in which changes were made to the R Markdown (analysis/Quality-control.Rmd) and HTML (docs/Quality-control.html) files. If you’ve configured a remote Git repository (see ?wflow_git_remote), click on the hyperlinks in the table below to view the files as they were in that past version.

File Version Author Date Message
Rmd 6110b63 unawaz1996 2023-04-24 wflow_publish("analysis/Quality-control.Rmd")
html be057f2 unawaz1996 2023-04-24 Build site.
Rmd f5fc094 unawaz1996 2023-04-24 wflow_publish("analysis/Quality-control.Rmd")
html 5196f41 unawaz1996 2023-04-21 Build site.
Rmd b9393bc unawaz1996 2023-04-21 wflow_publish(c("analysis/index.Rmd", "analysis/Quality-control.Rmd"))
html 650317e unawaz1996 2023-03-22 Build site.
Rmd f2ed11a unawaz1996 2023-03-22 wflow_publish(c("analysis/index.Rmd", "analysis/Enichment-analysis-fgsea.Rmd",

Set-up

In order to perform QC, an EnsDB object was obtained using the AnnotationHub package. This provided the GC content and length for each of the transcripts contained in the release.

Metadata for each fastq file was also loaded. Reads were provided as paired-end reads, with n = 3 samples for each genotype.

FastQC summary

FastQC summary

*Basic statistics summary plot. Figure (a) hsows the summary of the PASS/FAIl flags prior to base quality and adapter trimming. Figure (b) shows the summary of PASS/FAIL flags after quality trimming with trimgalore. Green: PASS; Yellow: FAIL; Red: WARN *

Basic statistics summary plot. Figure (a) hsows the summary of the PASS/FAIl flags prior to base quality and adapter trimming. Figure (b) shows the summary of PASS/FAIL flags after quality trimming with trimgalore. Green: PASS; Yellow: FAIL; Red: WARN

Version Author Date
5196f41 unawaz1996 2023-04-21
*Sequence Length distribution of the RNA seq reads (a) before and (b) after quality trimming. Only reads with the base length of >  150bp were retained after quality trimming.*

Sequence Length distribution of the RNA seq reads (a) before and (b) after quality trimming. Only reads with the base length of > 150bp were retained after quality trimming.

Version Author Date
5196f41 unawaz1996 2023-04-21

Library sizes

Library sizes for unprocessed data ranged between 86,178,215 and 129,449,694 reads.

*Total numner 0f reads from each sample (a) before and (b) after quality trimming with trimgalore.*

Total numner 0f reads from each sample (a) before and (b) after quality trimming with trimgalore.

Version Author Date
5196f41 unawaz1996 2023-04-21

GC content

In poly(A) selected RNA-seq library preparation methods, the nonuniform coverage of transcripts is a prevalent issue. As poly(A) tail only occurs at the 3’ end of the mRNA, this can usually result in an over-representation of the 3’ end. Bias at the 5′ end of RNA can also happen because of various factors, such as the fragmentation method (the 5′ end of RNA is more stable), reverse transcription from RNA to cDNA and strand-oriented library construction protocol.

GC content allows the exploration of the sequencing coverage and can indicate issues in overrepresentation. It has been observed that either high or low GC content will result in lower depth coverage.

Version Author Date
5196f41 unawaz1996 2023-04-21

Trimmed data

names Group Condition_UPF3B Condition_UPF3A Label Filename Raw Trimmed Discarded Retained
212 Control Control Control S2_Vect_A 212_L4_1.fq.gz 129449694 129423518 0.0002022 0.9998
212 Control Control Control S2_Vect_A 212_L4_2.fq.gz 129449694 129423518 0.0002259 0.9998
213 UPF3A_KD Control Knockdown S2_shRNA_A 213_L4_1.fq.gz 124647120 124618959 0.0001968 0.9998
213 UPF3A_KD Control Knockdown S2_shRNA_A 213_L4_2.fq.gz 124647120 124618959 0.0001568 0.9998
214 UPF3A_OE Control Overexpression S2_cDNA_A 214_L4_1.fq.gz 122589413 122565286 0.0001785 0.9998
214 UPF3A_OE Control Overexpression S2_cDNA_A 214_L4_2.fq.gz 122589413 122565286 0.0002056 0.9998
215 UPF3B_KD Knockdown Control T2_Vect_A 215_L4_1.fq.gz 86178215 86164704 0.0002234 0.9998
215 UPF3B_KD Knockdown Control T2_Vect_A 215_L4_2.fq.gz 86178215 86164704 0.0002671 0.9997
216 UPF3A_KD_UPF3B_KD Knockdown Knockdown T2_shRNA_A 216_L4_1.fq.gz 91807145 91790756 0.0001893 0.9998
216 UPF3A_KD_UPF3B_KD Knockdown Knockdown T2_shRNA_A 216_L4_2.fq.gz 91807145 91790756 0.0001951 0.9998
217 UPF3A_OE_UPF3B_KD Knockdown Overexpression T2_cDNA_A 217_L4_1.fq.gz 106731239 106709299 0.0002528 0.9997
217 UPF3A_OE_UPF3B_KD Knockdown Overexpression T2_cDNA_A 217_L4_2.fq.gz 106731239 106709299 0.001988 0.998
218 Control Control Control S2_Vect_B 218_L4_1.fq.gz 109175104 109150719 0.0002647 0.9997
218 Control Control Control S2_Vect_B 218_L4_2.fq.gz 109175104 109150719 0.0002736 0.9997
219 UPF3A_KD Control Knockdown S2_shRNA_B 219_L4_1.fq.gz 99242640 99216132 0.0001691 0.9998
219 UPF3A_KD Control Knockdown S2_shRNA_B 219_L4_2.fq.gz 99242640 99216132 0.000183 0.9998
220 UPF3A_OE Control Overexpression S2_cDNA_B 220_L4_1.fq.gz 101245190 101226023 0.000212 0.9998
220 UPF3A_OE Control Overexpression S2_cDNA_B 220_L4_2.fq.gz 101245190 101226023 0.0001361 0.9999
221 UPF3B_KD Knockdown Control T2_Vect_B 221_L4_1.fq.gz 114129302 114107031 0.0002022 0.9998
221 UPF3B_KD Knockdown Control T2_Vect_B 221_L4_2.fq.gz 114129302 114107031 0.0002259 0.9998
222 UPF3A_KD_UPF3B_KD Knockdown Knockdown T2_shRNA_B 222_L4_1.fq.gz 101073551 1.01e+08 0.0001968 0.9998
222 UPF3A_KD_UPF3B_KD Knockdown Knockdown T2_shRNA_B 222_L4_2.fq.gz 101073551 1.01e+08 0.0001568 0.9998
223 UPF3A_OE_UPF3B_KD Knockdown Overexpression T2_cDNA_B 223_L4_1.fq.gz 94512220 94324353 0.0001785 0.9998
223 UPF3A_OE_UPF3B_KD Knockdown Overexpression T2_cDNA_B 223_L4_2.fq.gz 94512220 94324353 0.0002056 0.9998
224 Control Control Control S2_Vect_C 224_L4_1.fq.gz 104412970 104385336 0.0002234 0.9998
224 Control Control Control S2_Vect_C 224_L4_2.fq.gz 104412970 104385336 0.0002671 0.9997
225 UPF3A_KD Control Knockdown S2_shRNA_C 225_L4_1.fq.gz 93692109 93666471 0.0001893 0.9998
225 UPF3A_KD Control Knockdown S2_shRNA_C 225_L4_2.fq.gz 93692109 93666471 0.0001951 0.9998
226 UPF3A_OE Control Overexpression S2_cDNA_C 226_L4_1.fq.gz 95761339 95745148 0.0002528 0.9997
226 UPF3A_OE Control Overexpression S2_cDNA_C 226_L4_2.fq.gz 95761339 95745148 0.001988 0.998
227 UPF3B_KD Knockdown Control T2_Vect_C 227_L4_1.fq.gz 90236088 90219573 0.0002647 0.9997
227 UPF3B_KD Knockdown Control T2_Vect_C 227_L4_2.fq.gz 90236088 90219573 0.0002736 0.9997
228 UPF3A_KD_UPF3B_KD Knockdown Knockdown T2_shRNA_C 228_L4_1.fq.gz 92761079 92741417 0.0001691 0.9998
228 UPF3A_KD_UPF3B_KD Knockdown Knockdown T2_shRNA_C 228_L4_2.fq.gz 92761079 92741417 0.000183 0.9998
229 UPF3A_OE_UPF3B_KD Knockdown Overexpression T2_cDNA_C 229_L4_1.fq.gz 102071888 102057991 0.000212 0.9998
229 UPF3A_OE_UPF3B_KD Knockdown Overexpression T2_cDNA_C 229_L4_2.fq.gz 102071888 102057991 0.0001361 0.9999

After adapter trimming, < 1% of reads were discarded.

Aligned data - Salmon quantifications

Counts were generated using Salmon. Briefly, an index was generated using the GRCm39 build of the mouse transcript with decoys.txt. Selective alignment mode was used. The reads were also aligned to the human genome to check for genotyping and to ensure no mislabeling occurred during any part of the bench work. Counts were imported as transcript-level and gene-level using tximport and tximeta respectively.

Annotation data was loaded as an EnsDb object, using Ensembl resealse 107. Transcript level gene lengths and GC content was converted to gene level values using:

  • GC Content: The total GC content divided by the total length of transcripts
  • Gene Length: The mean transcript length

Genotype checking

All samples demonstrated the expected expression patterns, no mislabeling was detected in the dataset.

All samples demonstrated the expected expression patterns, no mislabeling was detected in the dataset.

Version Author Date
5196f41 unawaz1996 2023-04-21

Filtering

Version Author Date
5196f41 unawaz1996 2023-04-21

Library size

Version Author Date
5196f41 unawaz1996 2023-04-21

Counts assingment rate

Version Author Date
5196f41 unawaz1996 2023-04-21

Total detected genes

Version Author Date
5196f41 unawaz1996 2023-04-21

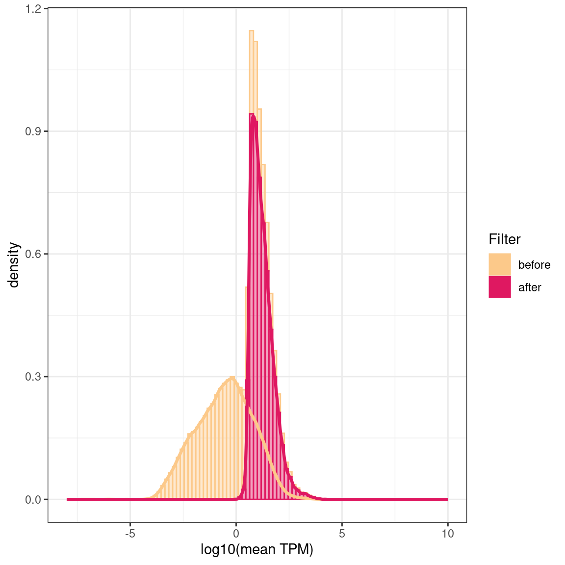
Transcript level exploration of data

# A tibble: 2 × 3
  Filter `median(rowMeans)` `sd(rowMeans)`
  <fct>               <dbl>          <dbl>
1 before             0.0370           115.
2 after             13.3              298.
*Log10 of the mean TPMs (transcript per million) over all samples before and after filtering out low-expressed transcripts and genes*

Log10 of the mean TPMs (transcript per million) over all samples before and after filtering out low-expressed transcripts and genes

Version Author Date
5196f41 unawaz1996 2023-04-21
*Violin plots showing the distribution of the number of transcripts per gene (in logarithmic scale). Violin width is scaled by the total number of observations while jittered points represent actual observations.*

Violin plots showing the distribution of the number of transcripts per gene (in logarithmic scale). Violin width is scaled by the total number of observations while jittered points represent actual observations.

Version Author Date
5196f41 unawaz1996 2023-04-21

PCA

*Principal component analysis of gene (left) and transcript (right) level data. PCA was performed on log2 transformed TPMs after filtering for each respective datatype (gene and transcript level). Gene level PCA shows that all samples are clustering closely based on condition, with no impact of library size in PC1 and PC2. Transcript level PCA shows that samples are clustering close to their conditions based on PC1, however one of the samples of the UPF3A OE in UPF3B KD cell line (sample 223), seems to deviate from its condition group and the rest of the data, so needs to be further investigated*

Principal component analysis of gene (left) and transcript (right) level data. PCA was performed on log2 transformed TPMs after filtering for each respective datatype (gene and transcript level). Gene level PCA shows that all samples are clustering closely based on condition, with no impact of library size in PC1 and PC2. Transcript level PCA shows that samples are clustering close to their conditions based on PC1, however one of the samples of the UPF3A OE in UPF3B KD cell line (sample 223), seems to deviate from its condition group and the rest of the data, so needs to be further investigated

Version Author Date
be057f2 unawaz1996 2023-04-24
5196f41 unawaz1996 2023-04-21

To check if the same variation is observed at PC3 in gene level:

*Principal component analysis of gene level data showing PC2 and PC3. Sample 223 seems to cluster away from its condition group in PC3*

Principal component analysis of gene level data showing PC2 and PC3. Sample 223 seems to cluster away from its condition group in PC3

Version Author Date
5196f41 unawaz1996 2023-04-21

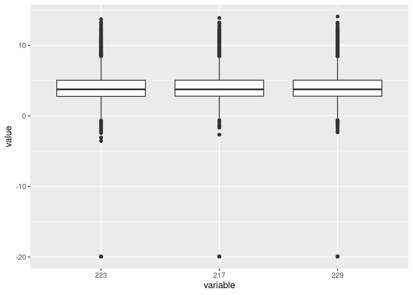
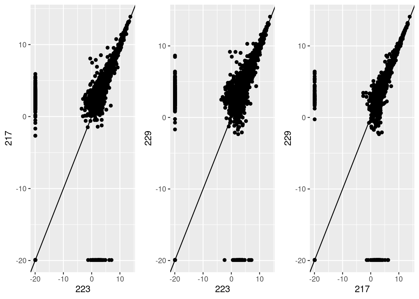
Investigating the differences in samples at transcript level

Version Author Date
5196f41 unawaz1996 2023-04-21

Version Author Date
5196f41 unawaz1996 2023-04-21
*Correlations between the first three principal components and measured variables at transcript level. Sample conditions were converted to an ordered categorical variable for the purposes of visualisation*

Correlations between the first three principal components and measured variables at transcript level. Sample conditions were converted to an ordered categorical variable for the purposes of visualisation

Version Author Date
5196f41 unawaz1996 2023-04-21

Transcripts were divided in 10 approximately equal sized bins based on increasing length, and 10 approximately equal sized bins based on increasing GC content, with the final GC/Length bins being the combination 100 bins using both sets. The contribution of each gene to PC1 and PC2 was assessed and a t-test performed on each bin.

If any bin makes a contribution to PC1 the mean will be clearly non-zero, whilst if there is no contribution the mean will be near zero. In this way, the impact of gene length and GC content on variance within the dataset can be assessed.

*Contribution of each GC/Length Bin to PC1 and PC2. Fill colours indicate the t-statistic, with tranparency denoting significance as -log10(p), using Bonferroni-adjusted p-values.*

Contribution of each GC/Length Bin to PC1 and PC2. Fill colours indicate the t-statistic, with tranparency denoting significance as -log10(p), using Bonferroni-adjusted p-values.

Version Author Date
5196f41 unawaz1996 2023-04-21

Correlation of samples

Version Author Date
5196f41 unawaz1996 2023-04-21

Correlation of samples with GC and transcript length

Version Author Date
5196f41 unawaz1996 2023-04-21

Version Author Date
5196f41 unawaz1996 2023-04-21

Version Author Date
5196f41 unawaz1996 2023-04-21
PCA on logCPM from counts post normalization with cqn. As a result of the normlization, it seems that whilst the overall variation within the dataset has reduced, sample 223 is no longer cluster with its condition group on PC1 and PC2

PCA on logCPM from counts post normalization with cqn. As a result of the normlization, it seems that whilst the overall variation within the dataset has reduced, sample 223 is no longer cluster with its condition group on PC1 and PC2

Version Author Date
5196f41 unawaz1996 2023-04-21

Removing sample


R version 4.2.2 Patched (2022-11-10 r83330)
Platform: x86_64-pc-linux-gnu (64-bit)
Running under: Ubuntu 22.04.2 LTS

Matrix products: default
BLAS:   /usr/lib/x86_64-linux-gnu/blas/libblas.so.3.10.0
LAPACK: /usr/lib/x86_64-linux-gnu/lapack/liblapack.so.3.10.0

locale:
 [1] LC_CTYPE=en_AU.UTF-8       LC_NUMERIC=C              
 [3] LC_TIME=en_AU.UTF-8        LC_COLLATE=en_AU.UTF-8    
 [5] LC_MONETARY=en_AU.UTF-8    LC_MESSAGES=en_AU.UTF-8   
 [7] LC_PAPER=en_AU.UTF-8       LC_NAME=C                 
 [9] LC_ADDRESS=C               LC_TELEPHONE=C            
[11] LC_MEASUREMENT=en_AU.UTF-8 LC_IDENTIFICATION=C       

attached base packages:
 [1] splines   grid      stats4    tools     stats     graphics  grDevices
 [8] utils     datasets  methods   base     

other attached packages:
 [1] cqn_1.44.0                    quantreg_5.94                
 [3] SparseM_1.81                  preprocessCore_1.60.2        
 [5] nor1mix_1.3-0                 mclust_6.0.0                 
 [7] naniar_1.0.0                  glmpca_0.2.0                 
 [9] broom_1.0.4                   glue_1.6.2                   
[11] ggfortify_0.4.16              stargazer_5.2.3              
[13] IsoformSwitchAnalyzeR_2.01.04 pfamAnalyzeR_0.99.0          
[15] sva_3.46.0                    genefilter_1.80.3            
[17] mgcv_1.8-42                   nlme_3.1-162                 
[19] satuRn_1.6.0                  DEXSeq_1.44.0                
[21] BiocParallel_1.32.6           ggrepel_0.9.3                
[23] pander_0.6.5                  msigdbr_7.5.1                
[25] cowplot_1.1.1                 ngsReports_2.0.3             
[27] patchwork_1.1.2               VennDiagram_1.7.3            
[29] futile.logger_1.4.3           UpSetR_1.4.0                 
[31] fgsea_1.24.0                  GOplot_1.0.2                 
[33] RColorBrewer_1.1-3            gridExtra_2.3                
[35] ggdendro_0.1.23               AnnotationHub_3.6.0          
[37] BiocFileCache_2.6.1           dbplyr_2.3.2                 
[39] openxlsx_4.2.5.2              ggiraph_0.8.7                
[41] wasabi_1.0.1                  sleuth_0.30.1                
[43] DT_0.27                       VennDetail_1.14.0            
[45] msigdb_1.6.0                  GSEABase_1.60.0              
[47] graph_1.76.0                  annotate_1.76.0              
[49] XML_3.99-0.14                 pheatmap_1.0.12              
[51] ggvenn_0.1.10                 MetBrewer_0.2.0              
[53] ggpubr_0.6.0                  venn_1.11                    
[55] viridis_0.6.2                 viridisLite_0.4.1            
[57] tximeta_1.16.1                tximport_1.26.1              
[59] goseq_1.50.0                  geneLenDataBase_1.34.0       
[61] BiasedUrn_2.0.9               org.Mm.eg.db_3.16.0          
[63] EnsDb.Mmusculus.v79_2.99.0    ensembldb_2.22.0             
[65] AnnotationFilter_1.22.0       GenomicFeatures_1.50.4       
[67] AnnotationDbi_1.60.2          biomaRt_2.54.1               
[69] edgeR_3.40.2                  limma_3.54.2                 
[71] DESeq2_1.38.3                 SummarizedExperiment_1.28.0  
[73] Biobase_2.58.0                MatrixGenerics_1.10.0        
[75] matrixStats_0.63.0            GenomicRanges_1.50.2         
[77] GenomeInfoDb_1.34.9           IRanges_2.32.0               
[79] S4Vectors_0.36.2              BiocGenerics_0.44.0          
[81] corrplot_0.92                 lubridate_1.9.2              
[83] forcats_1.0.0                 purrr_1.0.1                  
[85] readr_2.1.4                   tidyverse_2.0.0              
[87] stringr_1.5.0                 tidyr_1.3.0                  
[89] scales_1.2.1                  data.table_1.14.8            
[91] readxl_1.4.2                  tibble_3.2.1                 
[93] magrittr_2.0.3                reshape2_1.4.4               
[95] ggplot2_3.4.2                 dplyr_1.1.1                  
[97] workflowr_1.7.0              

loaded via a namespace (and not attached):
  [1] rappdirs_0.3.3                rtracklayer_1.58.0           
  [3] visdat_0.6.0                  bit64_4.0.5                  
  [5] knitr_1.42                    DelayedArray_0.24.0          
  [7] hwriter_1.3.2.1               KEGGREST_1.38.0              
  [9] RCurl_1.98-1.12               generics_0.1.3               
 [11] callr_3.7.3                   lambda.r_1.2.4               
 [13] RSQLite_2.3.1                 bit_4.0.5                    
 [15] tzdb_0.3.0                    xml2_1.3.3                   
 [17] httpuv_1.6.9                  xfun_0.38                    
 [19] hms_1.1.3                     jquerylib_0.1.4              
 [21] babelgene_22.9                evaluate_0.20                
 [23] promises_1.2.0.1              fansi_1.0.4                  
 [25] restfulr_0.0.15               progress_1.2.2               
 [27] DBI_1.1.3                     geneplotter_1.76.0           
 [29] htmlwidgets_1.6.2             ellipsis_0.3.2               
 [31] crosstalk_1.2.0               backports_1.4.1              
 [33] locfdr_1.1-8                  vctrs_0.6.1                  
 [35] abind_1.4-5                   cachem_1.0.7                 
 [37] withr_2.5.0                   BSgenome_1.66.3              
 [39] vroom_1.6.1                   GenomicAlignments_1.34.1     
 [41] prettyunits_1.1.1             lazyeval_0.2.2               
 [43] crayon_1.5.2                  labeling_0.4.2               
 [45] pkgconfig_2.0.3               ProtGenerics_1.30.0          
 [47] rlang_1.1.0                   lifecycle_1.0.3              
 [49] MatrixModels_0.5-1            filelock_1.0.2               
 [51] cellranger_1.1.0              rprojroot_2.0.3              
 [53] Matrix_1.5-3                  carData_3.0-5                
 [55] boot_1.3-28.1                 Rhdf5lib_1.20.0              
 [57] zoo_1.8-11                    whisker_0.4.1                
 [59] processx_3.8.0                png_0.1-8                    
 [61] rjson_0.2.21                  bitops_1.0-7                 
 [63] getPass_0.2-2                 rhdf5filters_1.10.1          
 [65] Biostrings_2.66.0             blob_1.2.4                   
 [67] rstatix_0.7.2                 ggsignif_0.6.4               
 [69] memoise_2.0.1                 plyr_1.8.8                   
 [71] gdata_2.18.0.1                zlibbioc_1.44.0              
 [73] compiler_4.2.2                BiocIO_1.8.0                 
 [75] Rsamtools_2.14.0              cli_3.6.1                    
 [77] XVector_0.38.0                pbapply_1.7-0                
 [79] ps_1.7.4                      formatR_1.14                 
 [81] MASS_7.3-58.3                 tidyselect_1.2.0             
 [83] stringi_1.7.12                highr_0.10                   
 [85] yaml_2.3.7                    locfit_1.5-9.7               
 [87] sass_0.4.5                    fastmatch_1.1-3              
 [89] timechange_0.2.0              parallel_4.2.2               
 [91] rstudioapi_0.14               uuid_1.1-0                   
 [93] git2r_0.31.0                  farver_2.1.1                 
 [95] digest_0.6.31                 BiocManager_1.30.20          
 [97] shiny_1.7.4                   Rcpp_1.0.10                  
 [99] car_3.1-2                     BiocVersion_3.16.0           
[101] later_1.3.0                   httr_1.4.5                   
[103] colorspace_2.1-0              fs_1.6.1                     
[105] statmod_1.5.0                 plotly_4.10.1                
[107] systemfonts_1.0.4             xtable_1.8-4                 
[109] jsonlite_1.8.4                futile.options_1.0.1         
[111] R6_2.5.1                      pillar_1.9.0                 
[113] htmltools_0.5.5               mime_0.12                    
[115] fastmap_1.1.1                 interactiveDisplayBase_1.36.0
[117] codetools_0.2-19              utf8_1.2.3                   
[119] lattice_0.20-45               bslib_0.4.2                  
[121] curl_5.0.0                    gtools_3.9.4                 
[123] zip_2.2.2                     GO.db_3.16.0                 
[125] survival_3.5-5                admisc_0.31                  
[127] rmarkdown_2.21                munsell_0.5.0                
[129] rhdf5_2.42.0                  GenomeInfoDbData_1.2.9       
[131] gtable_0.3.3