Last updated: 2025-06-05

Checks: 6 1

Knit directory: locust-comparative-genomics/

This reproducible R Markdown analysis was created with workflowr (version 1.7.1). The Checks tab describes the reproducibility checks that were applied when the results were created. The Past versions tab lists the development history.


Great! Since the R Markdown file has been committed to the Git repository, you know the exact version of the code that produced these results.

Great job! The global environment was empty. Objects defined in the global environment can affect the analysis in your R Markdown file in unknown ways. For reproduciblity it’s best to always run the code in an empty environment.

The command set.seed(20221025) was run prior to running the code in the R Markdown file. Setting a seed ensures that any results that rely on randomness, e.g. subsampling or permutations, are reproducible.

Great job! Recording the operating system, R version, and package versions is critical for reproducibility.

Nice! There were no cached chunks for this analysis, so you can be confident that you successfully produced the results during this run.

Using absolute paths to the files within your workflowr project makes it difficult for you and others to run your code on a different machine. Change the absolute path(s) below to the suggested relative path(s) to make your code more reproducible.

absolute relative
/Users/maevatecher/Documents/GitHub/locust-comparative-genomics/data/RefSeq/GCF_023897955.1_iqSchGreg1.2_genomic.gtf data/RefSeq/GCF_023897955.1_iqSchGreg1.2_genomic.gtf
/Users/maevatecher/Documents/GitHub/locust-comparative-genomics/data/list/GO_Annotations/blast2go_gregaria.annot.mgp_removed data/list/GO_Annotations/blast2go_gregaria.annot.mgp_removed
/Users/maevatecher/Documents/GitHub/locust-comparative-genomics/data/custom_sgregaria_orgdb data/custom_sgregaria_orgdb
/Users/maevatecher/Documents/GitHub/locust-comparative-genomics/data/custom_sgregaria_orgdb/org.Sgregaria.eg.db data/custom_sgregaria_orgdb/org.Sgregaria.eg.db
/Users/maevatecher/Documents/GitHub/locust-comparative-genomics/data data

Great! You are using Git for version control. Tracking code development and connecting the code version to the results is critical for reproducibility.

The results in this page were generated with repository version 5e25dc1. See the Past versions tab to see a history of the changes made to the R Markdown and HTML files.

Note that you need to be careful to ensure that all relevant files for the analysis have been committed to Git prior to generating the results (you can use wflow_publish or wflow_git_commit). workflowr only checks the R Markdown file, but you know if there are other scripts or data files that it depends on. Below is the status of the Git repository when the results were generated:


Ignored files:
    Ignored:    .DS_Store
    Ignored:    analysis/.DS_Store
    Ignored:    analysis/.Rhistory
    Ignored:    code/.DS_Store
    Ignored:    code/scripts/.DS_Store
    Ignored:    code/scripts/pal2nal.v14/.DS_Store
    Ignored:    data/.DS_Store
    Ignored:    data/DEG_results/.DS_Store
    Ignored:    data/DEG_results/Bulk_RNAseq/.DS_Store
    Ignored:    data/DEG_results/Bulk_RNAseq/americana/.DS_Store
    Ignored:    data/DEG_results/Bulk_RNAseq/cancellata/.DS_Store
    Ignored:    data/DEG_results/Bulk_RNAseq/cancellata/Thorax/.DS_Store
    Ignored:    data/DEG_results/Bulk_RNAseq/cubense/.DS_Store
    Ignored:    data/DEG_results/Bulk_RNAseq/davidO/.DS_Store
    Ignored:    data/DEG_results/Bulk_RNAseq/gregaria/.DS_Store
    Ignored:    data/DEG_results/Bulk_RNAseq/nitens/.DS_Store
    Ignored:    data/DEG_results/Bulk_RNAseq/piceifrons/.DS_Store
    Ignored:    data/DEG_results/RNAi/.DS_Store
    Ignored:    data/DEG_results/RNAi/All/.DS_Store
    Ignored:    data/DEG_results/RNAi/All_GFP/.DS_Store
    Ignored:    data/DEG_results/RNAi/All_control/.DS_Store
    Ignored:    data/DEG_results/RNAi/All_no_rRNA/.DS_Store
    Ignored:    data/DEG_results/RNAi/Head/.DS_Store
    Ignored:    data/DEG_results/RNAi/Head_control/.DS_Store
    Ignored:    data/DEG_results/RNAi/Head_no_rRNA/.DS_Store
    Ignored:    data/DEG_results/RNAi/Thorax/.DS_Store
    Ignored:    data/DEG_results/RNAi/Thorax_no_rRNA/.DS_Store
    Ignored:    data/DEG_results/gregaria/
    Ignored:    data/DEG_results/single_cell/.DS_Store
    Ignored:    data/WGCNA/.DS_Store
    Ignored:    data/WGCNA/input/.DS_Store
    Ignored:    data/WGCNA/input/Bulk_RNAseq/.DS_Store
    Ignored:    data/WGCNA/output/.DS_Store
    Ignored:    data/WGCNA/output/Bulk_RNAseq/.DS_Store
    Ignored:    data/behavioral_data/.DS_Store
    Ignored:    data/behavioral_data/Raw_data/.DS_Store
    Ignored:    data/list/.DS_Store
    Ignored:    data/list/Bulk_RNAseq/.DS_Store
    Ignored:    data/list/GO_Annotations/.DS_Store
    Ignored:    data/list/excluded_loci/.DS_Store
    Ignored:    data/orthofinder/.DS_Store
    Ignored:    data/orthofinder/Polyneoptera/.DS_Store
    Ignored:    data/orthofinder/Polyneoptera/Results_I2_iqtree/.DS_Store
    Ignored:    data/orthofinder/Polyneoptera/Results_I2_withDaust/.DS_Store
    Ignored:    data/orthofinder/Polyneoptera/Results_I2_withDaust/Orthogroups/.DS_Store
    Ignored:    data/orthofinder/Schistocerca/.DS_Store
    Ignored:    data/orthofinder/Schistocerca/Results_I2/.DS_Store
    Ignored:    data/orthofinder/Schistocerca/Results_I2/Orthogroups/.DS_Store
    Ignored:    data/overlap/.DS_Store
    Ignored:    data/overlap/Bulk_RNAseq/.DS_Store
    Ignored:    data/overlap/Bulk_RNAseq/cancellata/
    Ignored:    data/pathway_enrichment/.DS_Store
    Ignored:    data/pathway_enrichment/custom_sgregaria_orgdb/.DS_Store
    Ignored:    data/readcounts/.DS_Store
    Ignored:    data/readcounts/Bulk_RNAseq/.DS_Store
    Ignored:    data/readcounts/RNAi/.DS_Store

Untracked files:
    Untracked:  data/RefSeq/

Unstaged changes:
    Modified:   data/DEG_results/Bulk_RNAseq/americana/Head/heatmap_VST_Head.pdf
    Modified:   data/DEG_results/Bulk_RNAseq/americana/Head/heatmap_VST_Head_togregaria.pdf
    Modified:   data/DEG_results/Bulk_RNAseq/americana/Head/heatmap_normTransform_Head.pdf
    Modified:   data/DEG_results/Bulk_RNAseq/americana/Head/heatmap_normTransform_Head_togregaria.pdf
    Modified:   data/DEG_results/Bulk_RNAseq/americana/Head/heatmap_rlog_Head.pdf
    Modified:   data/DEG_results/Bulk_RNAseq/americana/Head/heatmap_rlog_Head_togregaria.pdf
    Modified:   data/DEG_results/Bulk_RNAseq/americana/Thorax/heatmap_VST_Thorax.pdf
    Modified:   data/DEG_results/Bulk_RNAseq/americana/Thorax/heatmap_VST_Thorax_togregaria.pdf
    Modified:   data/DEG_results/Bulk_RNAseq/americana/Thorax/heatmap_normTransform_Thorax.pdf
    Modified:   data/DEG_results/Bulk_RNAseq/americana/Thorax/heatmap_normTransform_Thorax_togregaria.pdf
    Modified:   data/DEG_results/Bulk_RNAseq/americana/Thorax/heatmap_rlog_Thorax.pdf
    Modified:   data/DEG_results/Bulk_RNAseq/americana/Thorax/heatmap_rlog_Thorax_togregaria.pdf
    Modified:   data/DEG_results/Bulk_RNAseq/cancellata/Head/heatmap_VST_Head.pdf
    Modified:   data/DEG_results/Bulk_RNAseq/cancellata/Head/heatmap_VST_Head_togregaria.pdf
    Modified:   data/DEG_results/Bulk_RNAseq/cancellata/Head/heatmap_normTransform_Head.pdf
    Modified:   data/DEG_results/Bulk_RNAseq/cancellata/Head/heatmap_normTransform_Head_togregaria.pdf
    Modified:   data/DEG_results/Bulk_RNAseq/cancellata/Head/heatmap_rlog_Head.pdf
    Modified:   data/DEG_results/Bulk_RNAseq/cancellata/Head/heatmap_rlog_Head_togregaria.pdf
    Modified:   data/DEG_results/Bulk_RNAseq/cancellata/Thorax/heatmap_VST_Thorax.pdf
    Modified:   data/DEG_results/Bulk_RNAseq/cancellata/Thorax/heatmap_VST_Thorax_togregaria.pdf
    Modified:   data/DEG_results/Bulk_RNAseq/cancellata/Thorax/heatmap_normTransform_Thorax.pdf
    Modified:   data/DEG_results/Bulk_RNAseq/cancellata/Thorax/heatmap_normTransform_Thorax_togregaria.pdf
    Modified:   data/DEG_results/Bulk_RNAseq/cancellata/Thorax/heatmap_rlog_Thorax.pdf
    Modified:   data/DEG_results/Bulk_RNAseq/cancellata/Thorax/heatmap_rlog_Thorax_togregaria.pdf
    Modified:   data/DEG_results/Bulk_RNAseq/cubense/Head/heatmap_VST_Head.pdf
    Modified:   data/DEG_results/Bulk_RNAseq/cubense/Head/heatmap_VST_Head_togregaria.pdf
    Modified:   data/DEG_results/Bulk_RNAseq/cubense/Head/heatmap_normTransform_Head.pdf
    Modified:   data/DEG_results/Bulk_RNAseq/cubense/Head/heatmap_normTransform_Head_togregaria.pdf
    Modified:   data/DEG_results/Bulk_RNAseq/cubense/Head/heatmap_rlog_Head.pdf
    Modified:   data/DEG_results/Bulk_RNAseq/cubense/Head/heatmap_rlog_Head_togregaria.pdf
    Modified:   data/DEG_results/Bulk_RNAseq/cubense/Thorax/heatmap_VST_Thorax.pdf
    Modified:   data/DEG_results/Bulk_RNAseq/cubense/Thorax/heatmap_VST_Thorax_togregaria.pdf
    Modified:   data/DEG_results/Bulk_RNAseq/cubense/Thorax/heatmap_normTransform_Thorax.pdf
    Modified:   data/DEG_results/Bulk_RNAseq/cubense/Thorax/heatmap_normTransform_Thorax_togregaria.pdf
    Modified:   data/DEG_results/Bulk_RNAseq/cubense/Thorax/heatmap_rlog_Thorax.pdf
    Modified:   data/DEG_results/Bulk_RNAseq/cubense/Thorax/heatmap_rlog_Thorax_togregaria.pdf
    Modified:   data/DEG_results/Bulk_RNAseq/gregaria/Head/heatmap_VST_Head.pdf
    Modified:   data/DEG_results/Bulk_RNAseq/gregaria/Head/heatmap_VST_Head_togregaria.pdf
    Modified:   data/DEG_results/Bulk_RNAseq/gregaria/Head/heatmap_normTransform_Head.pdf
    Modified:   data/DEG_results/Bulk_RNAseq/gregaria/Head/heatmap_normTransform_Head_togregaria.pdf
    Modified:   data/DEG_results/Bulk_RNAseq/gregaria/Head/heatmap_rlog_Head.pdf
    Modified:   data/DEG_results/Bulk_RNAseq/gregaria/Head/heatmap_rlog_Head_togregaria.pdf
    Modified:   data/DEG_results/Bulk_RNAseq/gregaria/Thorax/heatmap_VST_Thorax.pdf
    Modified:   data/DEG_results/Bulk_RNAseq/gregaria/Thorax/heatmap_VST_Thorax_togregaria.pdf
    Modified:   data/DEG_results/Bulk_RNAseq/gregaria/Thorax/heatmap_normTransform_Thorax.pdf
    Modified:   data/DEG_results/Bulk_RNAseq/gregaria/Thorax/heatmap_normTransform_Thorax_togregaria.pdf
    Modified:   data/DEG_results/Bulk_RNAseq/gregaria/Thorax/heatmap_rlog_Thorax.pdf
    Modified:   data/DEG_results/Bulk_RNAseq/gregaria/Thorax/heatmap_rlog_Thorax_togregaria.pdf
    Modified:   data/DEG_results/Bulk_RNAseq/nitens/Head/heatmap_VST_Head.pdf
    Modified:   data/DEG_results/Bulk_RNAseq/nitens/Head/heatmap_VST_Head_togregaria.pdf
    Modified:   data/DEG_results/Bulk_RNAseq/nitens/Head/heatmap_normTransform_Head.pdf
    Modified:   data/DEG_results/Bulk_RNAseq/nitens/Head/heatmap_normTransform_Head_togregaria.pdf
    Modified:   data/DEG_results/Bulk_RNAseq/nitens/Head/heatmap_rlog_Head.pdf
    Modified:   data/DEG_results/Bulk_RNAseq/nitens/Head/heatmap_rlog_Head_togregaria.pdf
    Modified:   data/DEG_results/Bulk_RNAseq/nitens/Thorax/heatmap_VST_Thorax.pdf
    Modified:   data/DEG_results/Bulk_RNAseq/nitens/Thorax/heatmap_VST_Thorax_togregaria.pdf
    Modified:   data/DEG_results/Bulk_RNAseq/nitens/Thorax/heatmap_normTransform_Thorax.pdf
    Modified:   data/DEG_results/Bulk_RNAseq/nitens/Thorax/heatmap_normTransform_Thorax_togregaria.pdf
    Modified:   data/DEG_results/Bulk_RNAseq/nitens/Thorax/heatmap_rlog_Thorax.pdf
    Modified:   data/DEG_results/Bulk_RNAseq/nitens/Thorax/heatmap_rlog_Thorax_togregaria.pdf
    Modified:   data/DEG_results/Bulk_RNAseq/piceifrons/Head/heatmap_VST_Head.pdf
    Modified:   data/DEG_results/Bulk_RNAseq/piceifrons/Head/heatmap_VST_Head_togregaria.pdf
    Modified:   data/DEG_results/Bulk_RNAseq/piceifrons/Head/heatmap_normTransform_Head.pdf
    Modified:   data/DEG_results/Bulk_RNAseq/piceifrons/Head/heatmap_normTransform_Head_togregaria.pdf
    Modified:   data/DEG_results/Bulk_RNAseq/piceifrons/Head/heatmap_rlog_Head.pdf
    Modified:   data/DEG_results/Bulk_RNAseq/piceifrons/Head/heatmap_rlog_Head_togregaria.pdf
    Modified:   data/DEG_results/Bulk_RNAseq/piceifrons/Thorax/heatmap_VST_Thorax.pdf
    Modified:   data/DEG_results/Bulk_RNAseq/piceifrons/Thorax/heatmap_VST_Thorax_togregaria.pdf
    Modified:   data/DEG_results/Bulk_RNAseq/piceifrons/Thorax/heatmap_normTransform_Thorax.pdf
    Modified:   data/DEG_results/Bulk_RNAseq/piceifrons/Thorax/heatmap_normTransform_Thorax_togregaria.pdf
    Modified:   data/DEG_results/Bulk_RNAseq/piceifrons/Thorax/heatmap_rlog_Thorax.pdf
    Modified:   data/DEG_results/Bulk_RNAseq/piceifrons/Thorax/heatmap_rlog_Thorax_togregaria.pdf
    Modified:   data/DEG_results/RNAi/Head/UNCH_vs_GFP/volcano_plot_UNCH_vs_GFP.tiff
    Modified:   data/DEG_results/RNAi/Head_no_rRNA/UNCH_vs_GFP/volcano_plot_UNCH_vs_GFP.tiff
    Modified:   data/overlap/Bulk_RNAseq/overlapping_genes_head_thorax_americana.csv
    Modified:   data/overlap/Bulk_RNAseq/overlapping_genes_head_thorax_cancellata.csv
    Modified:   data/overlap/Bulk_RNAseq/overlapping_genes_head_thorax_cubense.csv
    Modified:   data/overlap/Bulk_RNAseq/overlapping_genes_head_thorax_piceifrons.csv
    Modified:   data/overlap/Bulk_RNAseq/scatter_plot_overlapping_genes_americana.png
    Modified:   data/overlap/Bulk_RNAseq/scatter_plot_overlapping_genes_cancellata.png
    Modified:   data/overlap/Bulk_RNAseq/scatter_plot_overlapping_genes_cubense.png
    Modified:   data/overlap/Bulk_RNAseq/scatter_plot_overlapping_genes_piceifrons.png

Note that any generated files, e.g. HTML, png, CSS, etc., are not included in this status report because it is ok for generated content to have uncommitted changes.


These are the previous versions of the repository in which changes were made to the R Markdown (analysis/4_RNAi_degs.Rmd) and HTML (docs/4_RNAi_degs.html) files. If you’ve configured a remote Git repository (see ?wflow_git_remote), click on the hyperlinks in the table below to view the files as they were in that past version.

File Version Author Date Message
Rmd fba3d13 Maeva TECHER 2025-04-04 changes RNAi
html fba3d13 Maeva TECHER 2025-04-04 changes RNAi
Rmd 9451c02 Maeva TECHER 2025-03-03 adding GO enrich
html 9451c02 Maeva TECHER 2025-03-03 adding GO enrich
html 474315f Maeva TECHER 2025-02-27 Build site.
Rmd b540a1e Maeva TECHER 2025-02-27 Updating overlap and RNAi
html b540a1e Maeva TECHER 2025-02-27 Updating overlap and RNAi
Rmd 89984c0 Maeva TECHER 2025-02-19 Add overlap update
html 89984c0 Maeva TECHER 2025-02-19 Add overlap update
Rmd d7fa779 Maeva TECHER 2025-02-14 Update RNAi and overlap
html d7fa779 Maeva TECHER 2025-02-14 Update RNAi and overlap
Rmd e9e41d7 Maeva TECHER 2025-02-12 change layout RNAi
html e9e41d7 Maeva TECHER 2025-02-12 change layout RNAi
Rmd 3746422 Maeva TECHER 2025-02-12 Add RNAi
html 3746422 Maeva TECHER 2025-02-12 Add RNAi

Following the overlap analysis of bulk tissue RNA-seq data from the whole head and thorax across all species, we selected a subset of differentially expressed genes between isolated and crowded individuals. The selection criteria were as follows:

  • Genes must be shared by at least two or three locust species.
  • Genes were ranked based on log fold change, prioritizing those with the highest absolute values (whether upregulated or downregulated in gregarious nymphs), and only genes with a significant corrected p-value were considered.
  • Genes with functional descriptions suggesting a role in phenotypic plasticity in other arthropods were prioritized.

A total of X genes were included in this list and used for functional validation to assess their impact on collective behavior and the transcriptome landscape of gregarious nymphs in the Desert Locust S. gregaria. Following RNAi probes engineering, only genes with a knockdown efficacy exceeding X% in both males and females were kept for further analysis.

Hypothesis: Genes that are highly differentiated between phases are part of the downstream molecular machinery responding to density changes. If these genes do not directly drive rapid behavioral changes, they may instead contribute to the maintenance of phase-specific traits. Disrupting their function could interfere with gene-gene interactions essential for stabilizing either the solitarious or gregarious phase, triggering compensatory maintenance mechanism.

1. RNAi probe engineering

For Seema to add her part

Candidate genes for RNAi (decided from literature):

  • LOC126355014: S. gregaria heat shock 70 kDa protein 4
  • LOC126297585: S. gregaria cAMP-dependent protein kinase catalytic subunit 1
  • LOC126284097: S. gregaria DNA (cytosine-5)-methyltransferase 3B-like (Dnmt3)

Candidate genes for RNAi (decided from DEG and overlap analysis):

  • LOC126336408 (Hex1): S. gregaria hexamerin-like, transcript variant X2
  • LOC126334874 (Hex2): S. gregaria hexamerin-like
  • LOC126335148 (jhmt): S. gregaria juvenile hormone acid O-methyltransferase-like, transcript variant X1
  • LOC126334877: S. gregaria allergen Cr-PI-like
  • LOC126268104 (unch): S. gregaria zona pellucida domain-containing protein miniature
  • LOC126277894 (miox): S. gregaria inositol oxygenase-like
  • LOC126335513: S. gregaria protein yellow-like
  • LOC126328344: S. gregaria protein takeout-like
  • LOC126272949: S. gregaria putative beta-carotene-binding protein
  • LOC126355774: S. gregaria cuticle protein 18.7-like

2. Behavioral assays

For Seema and Audelia to add their parts

3. Prepare OrgDB for S. gregaria

To prepare future query of gene annotations for enrichment analysis, we can choose to use R packages that dynamically query them from online resources. We attempted two methods here: one is to build an OrgDB project for S. gregaria using NCBI RefSeq, and the other is using blast2go evidence previously generated for the cross-species RNAseq.

The first method created close to 100 Gb worth of files to cache the NCBI and corresponding files for S. gregaria. However, due to errors with the NCBI genes, we preferred to opt for the second option. Below we present the code used:

library(AnnotationForge)
library(rtracklayer)
library(Biostrings)

# First attempt with NCBI data
makeOrgPackageFromNCBI(version = "0.1",
                       author = "Devon J. Boland <devonjboland@tamu.edu>",
                       maintainer = "Devon J. Boland <devonjboland@tamu.edu>",
                       outputDir = ".",
                       tax_id = "7010",
                       genus = "Schistocerca",
                       species = "gregaria")

# Create custom ORGdb project using blast2go evidence

ggtf <- import("/Users/maevatecher/Documents/GitHub/locust-comparative-genomics/data/RefSeq/GCF_023897955.1_iqSchGreg1.2_genomic.gtf")
gtf_df <- as.data.frame(ggtf)

protein_coding_genes <- gtf_df[which(gtf_df$gene_biotype == "protein_coding"), ]
protein_coding_genes <- protein_coding_genes[which(protein_coding_genes$source != "RefSeq"), ]
rownames(protein_coding_genes) <- NULL

gregariaSym <- protein_coding_genes[, c(10, 12, 13)]
gregariaSym$db_xref <- gsub("GeneID:", "", gregariaSym$db_xref)
colnames(gregariaSym) <- c("GID", "ENTREZ", "GENENAME")

gregariaChr <- protein_coding_genes[, c(10, 1)]
colnames(gregariaChr) <- c("GID", "CHROMOSOME")

# Removed predicted NCBI genes as they were causing errors with package, and not having appropriate information, or model confidence. Additionally, blast2GO assinged some of these EC codes over GO codes so they were removed
gregariaGO <- read.delim("/Users/maevatecher/Documents/GitHub/locust-comparative-genomics/data/list/GO_Annotations/blast2go_gregaria.annot.mgp_removed", sep = "\t", header = F)
colnames(gregariaGO) <- c("GID", "GO", "EVIDENCE")
gregariaGO$EVIDENCE <- "ISS"

gregariaGO <- gregariaGO[!grepl("EC:", gregariaGO$GO), ]  # remove rows containing EC annotation codes

custom_db_package <- "/Users/maevatecher/Documents/GitHub/locust-comparative-genomics/data/custom_sgregaria_orgdb"
dir.create(custom_db_package)

orgdb_df <- data.frame(
  organism = "Schistocerca gregaria",
  tax_id = "7010",
  genus = "Schistocerca",
  species = "gregaria",
  genome_build = "GCF_023897955.1_iqSchGreg1.2"
)

makeOrgPackage(gene_info=gregariaSym,
               chromosome=gregariaChr,
               go=gregariaGO,
               version="1.0.0",
               maintainer= "Devon J. Boland <devonjboland@tamu.edu>",
               author="Devon J. Boland <devonjboland@tamu.edu>",
               outputDir=custom_db_package,
               tax_id = "7010",
               genus = "Schistocerca",
               species = "gregaria",
               goTable="go",
               verbose=TRUE)

Do these two steps before to install the new package:

install.packages("remotes")  # Install remotes if not installed
remotes::install_local("/Users/maevatecher/Documents/GitHub/locust-comparative-genomics/data/custom_sgregaria_orgdb/org.Sgregaria.eg.db")
library("org.Sgregaria.eg.db")
keytypes(org.Sgregaria.eg.db)
 [1] "CHROMOSOME"  "ENTREZ"      "EVIDENCE"    "EVIDENCEALL" "GENENAME"   
 [6] "GID"         "GO"          "GOALL"       "ONTOLOGY"    "ONTOLOGYALL"

4. DEGs in injected samples

The following results were obtained using the same RNA-seq workflow as the non-RNAi bulk tissue transcriptomics. This includes RNA extraction using Maxwell Promega simplyRNA tisse kit, RNA library preparation with the Illumina Total Stranded RNA kit with RiboDepletion, and short-read sequencing on an Illumina NovaSeq PE150 platform. Differentially expressed genes between GFP-injected controls and RNAi-injected last nymphal instar females of the gregarious phase were analyzed using DESeq2.

We start by loading all the required R packages with in particular DESeq2 for DEG analysis, biomaRt for pathway annotations and clusterProfiler for GO enrichment and visualization.

knitr::opts_chunk$set(autodep = TRUE)
library("DESeq2")
library("ggplot2")
library("ggrepel")
library("ggConvexHull")
library("AnnotationHub")
library("ensembldb")
library("ComplexHeatmap")
library("RColorBrewer")
library("circlize")
library("EnhancedVolcano")
library("clusterProfiler")
library("sva")
library("cowplot")
library("ashr")
library("dplyr")
library("purrr")
library("httr2")
library("biomaRt")
library("rafalib")
library("DT")
library("data.table")
library("kableExtra")
library("tidyr")
library("VennDiagram")
library("ggVennDiagram")
library("UpSetR")

## PARAMETERS for running DEseq2
tresh_logfold <- 1                    # Treshold for log2(foldchange) in final DE-files
tresh_padj <- 0.05                    # Treshold for adjusted p-valued in final DE-files
alpha_DEseq2 <- 0.05                  # threshold of statistical significance
pAdjustMethod_DEseq2 <- "BH"          # p-value adjustment method: "BH" (default) or "BY"
featuresToRemove <- c(NULL)           # names of the features to be removed, NULL if none or if using Idxstats
varInt <- "Gene"          # factor of interest
condRef <- "GFP"                 # reference biological condition
batch <- NULL                         # blocking factor: NULL (default) or "batch" for example  
fitType <- "parametric"               # mean-variance relationship: "parametric" (default) or "local"
cooksCutoff <- TRUE                   # TRUE/FALSE to perform the outliers detection (default is TRUE)
independentFiltering <- TRUE          # TRUE/FALSE to perform independent filtering (default is TRUE)
typeTrans <- "rlog"                   # transformation for PCA/clustering: "VST" or "rlog"
locfunc <- "median"


workDir <- "/Users/maevatecher/Documents/GitHub/locust-comparative-genomics/data"
setwd(workDir)
allspecies_path <- file.path(workDir, "/list/13polyneoptera_geneid_ncbi.csv")
allspecies_df <- read.table(allspecies_path, sep = ",", header = TRUE, quote = "", fill = TRUE, stringsAsFactors = FALSE)

We also create ahead function that we will use to output graphs (thanks to Devon’s touch) as files and visible in line in this report.

######################################################################################## 
# DEGs FUNCTIONS
######################################################################################## 

create_output_dirs <- function(label) {
  dir.create(file.path(saveDir, label), showWarnings = FALSE)
  return()
}

######################################################################################## 

create_pca_plots <- function(norm.dds, saveDir, transformation = "vst", intgroup = "Condition", title = NULL) {
  
  # Ensure saveDir exists
  dir.create(saveDir, showWarnings = FALSE, recursive = TRUE)

  # Apply the requested transformation
  if (transformation == "vst") {
    vsd <- vst(dds, blind = FALSE)
  } else if (transformation == "rlog") {
    vsd <- rlog(dds, blind = FALSE)
  } else if (transformation == "log2") {
    vsd <- log2(counts(dds, normalized = TRUE) + 1)
  } else {
    stop("Invalid transformation type. Choose from 'vst', 'rlog', or 'log2'.")
  }

  # If no title is provided, create one dynamically
  if (is.null(title)) {
    title <- paste("PCA on", intgroup, "(", transformation, "transformation)")
  }

  # Construct filename prefix based on transformation & grouping
  file_prefix <- paste0("PCA_", transformation, "_", intgroup)

  # First PCA: **with labels**
  pca_labelled <- plotPCA(vsd, intgroup = intgroup) + 
    geom_text_repel(aes(label = rownames(colData(vsd))), size = 4, max.overlaps = 20) +
    geom_point(size = 3) +
    theme_bw() +
    theme(legend.title = element_blank(),
          legend.text = element_text(face = "bold", size = 16),
          axis.text = element_text(size = 12),
          axis.title = element_text(size = 12)) +
    ggtitle(title)

  # Save labelled PCA plot
  ggsave(paste0(saveDir, "/", file_prefix, "_labelled.png"), width = 10, height = 10, 
         dpi = 600, device = "png", plot = pca_labelled)

  # Second PCA: **Convex Hulls** around groups
  pca_hull <- plotPCA(vsd, intgroup = intgroup) +
    geom_point(size = 3) +
    theme_bw() +
    theme(legend.title = element_blank(),
          legend.text = element_text(face = "bold", size = 16),
          axis.text = element_text(size = 12),
          axis.title = element_text(size = 12)) + 
    geom_convexhull(aes(fill = .data[[intgroup]]), alpha = 0.5) +  # Fully dynamic grouping
    ggtitle(title, subtitle = paste0(transformation, " transformation"))

  # Save hull PCA plot
  ggsave(paste0(saveDir, "/", file_prefix, "_hull.png"), width = 10, height = 10, 
         dpi = 600, device = "png", plot = pca_hull)

  # Return plots for inline display in knitr/RMarkdown
  return(list(PCA_Labelled = pca_labelled, PCA_Hull = pca_hull))
}

######################################################################################## 

create_sva_plots <- function(svseq, dds, saveDir, intgroup = c("Tissue", "Gene"), max_sv = 3) {
  
  # Ensure output directory exists
  dir.create(saveDir, showWarnings = FALSE, recursive = TRUE)

  # **Create grouping factor dynamically**
  tissue_gene_groups <- interaction(dds[[intgroup[1]]], dds[[intgroup[2]]], drop = TRUE)
  unique_groups <- unique(tissue_gene_groups)
  
  # Assign colors per unique group
  group_colors <- setNames(colorRampPalette(brewer.pal(min(length(unique_groups), 8), "Set1"))(length(unique_groups)), unique_groups)

  # **Check the available number of SVs and adjust max_sv**
  available_svs <- ncol(svseq$sv)
  if (is.null(available_svs) || available_svs == 0) {
    stop("No surrogate variables detected in svseq. Check SVA step.")
  }
  max_sv <- min(max_sv, available_svs)  # Ensure we do not exceed available SVs
  
  # **First plot: Stripchart of first N surrogate variables**
  stripchart_list <- list()
  
  for (i in 1:max_sv) {
    sv_values <- svseq$sv[, i]
    
    p <- ggplot(data.frame(SV = sv_values, Group = tissue_gene_groups), aes(x = Group, y = SV, fill = Group)) +
      geom_jitter(shape = 21, size = 3, width = 0.2, color = "black") +
      scale_fill_manual(values = group_colors) +
      theme_minimal() +
      labs(title = paste0("Surrogate Variable ", i, " (SV", i, ") - Technical Variation"), 
           y = "SV Value") +
      theme(axis.text.x = element_text(angle = 45, hjust = 1)) +
      geom_hline(yintercept = 0, linetype = "dashed", color = "gray")
    
    # Save each stripchart plot
    stripchart_file <- file.path(saveDir, paste0("sva_stripchart_SV", i, ".png"))
    ggsave(stripchart_file, plot = p, width = 10, height = 5, dpi = 300)
    
    stripchart_list[[i]] <- p
  }

  # **Second plot: SV scatter plots (pairwise comparisons)**
  scatter_list <- list()
  scatter_pairs <- combn(seq_len(max_sv), 2, simplify = FALSE)  # Generate all valid SV pairs

  # Define label colors
  gene_labels <- as.character(dds[[intgroup[2]]])
  unique_genes <- unique(gene_labels)
  gene_colors <- setNames(colorRampPalette(brewer.pal(min(length(unique_genes), 8), "Set1"))(length(unique_genes)), unique_genes)

  for (pair in scatter_pairs) {
    p <- ggplot(data.frame(SV1 = svseq$sv[, pair[1]], SV2 = svseq$sv[, pair[2]], Gene = gene_labels), 
                aes(x = SV1, y = SV2, color = Gene)) +
      geom_point(size = 3) +
      scale_color_manual(values = gene_colors) +
      theme_minimal() +
      labs(title = paste("SVA Analysis: SV", pair[1], " vs SV", pair[2]), 
           x = paste0("SV", pair[1]), y = paste0("SV", pair[2]))
    
    # Save each scatter plot
    scatter_file <- file.path(saveDir, paste0("sva_scatter_SV", pair[1], "_SV", pair[2], ".png"))
    ggsave(scatter_file, plot = p, width = 10, height = 5, dpi = 300)
    
    scatter_list[[paste(pair[1], pair[2], sep = "_")]] <- p
  }

  # **Return plots for knitr/RMarkdown**
  return(list(Stripcharts = stripchart_list, ScatterPlots = scatter_list))
}


######################################################################################## 

# Retrieve various accession IDs
get_sig_genes <- function(res) {
  sig_genes <- res[which(res$padj < 0.05 & abs(res$log2FoldChange)>=1.0), ]
  sig_genes <- sig_genes[order(sig_genes, decreasing = T), ]
  return(sig_genes)
}

######################################################################################## 

generate_deg_table <- function(ddssva, contrast_name, allspecies_df, tresh_padj = 0.05, tresh_logfold = 1) {
  
  # --- Extract DESeq2 Results ---
  deg_results <- results(ddssva, name = contrast_name, alpha = tresh_padj)
  summary(deg_results)
  
    # --- DEG Summary Statistics ---
  upregulated <- sum(deg_results$padj < tresh_padj & deg_results$log2FoldChange > tresh_logfold, na.rm = TRUE)  
  downregulated <- sum(deg_results$padj < tresh_padj & deg_results$log2FoldChange < -tresh_logfold, na.rm = TRUE)  
  total_genes <- sum(upregulated, downregulated)  
  message("Total DEGs p-value < 0.05 and absolute logFoldChange > 1: ", total_genes)
  message("LFC > 1 (up)       : ", upregulated, " (", round((upregulated / total_genes) * 100, 2), "%)")
  message("LFC < -1 (down)     : ", downregulated, " (", round((downregulated / total_genes) * 100, 2), "%)")
  
  # Convert to DataFrame and retain GeneID
  deg_df <- as.data.frame(deg_results)
  deg_df$GeneID <- rownames(deg_df)

  # --- Filter Significant DEGs ---
  deg_df <- deg_df %>%
    filter(!is.na(padj) & padj < tresh_padj & abs(log2FoldChange) > tresh_logfold)  # Remove NA values and filter by thresholds
  
  # --- Merge with Metadata ---
  meta_deg_df <- merge(deg_df, allspecies_df, by = "GeneID", all.x = TRUE)

  # Ensure GeneType is retained and replace NA values
  if (!"GeneType" %in% colnames(meta_deg_df)) {
    message("GeneType column missing, filling with 'Unknown'")
    meta_deg_df$GeneType <- "Unknown"
  }
  meta_deg_df$GeneType[is.na(meta_deg_df$GeneType)] <- "Unknown"

  # Select and reorder relevant columns
  meta_deg_df <- meta_deg_df %>%
    dplyr::select(GeneID, GeneType, Description, Species, 
                  baseMean, log2FoldChange, lfcSE, stat, pvalue, padj)

  # Round numeric columns
  numeric_cols <- c("baseMean", "log2FoldChange", "lfcSE", "stat", "pvalue", "padj")
  meta_deg_df[numeric_cols] <- round(meta_deg_df[numeric_cols], 2)

  # --- Apply Row Styling for Visualization ---
  meta_deg_df$row_color <- ifelse(meta_deg_df$log2FoldChange > 1, "red", 
                                  ifelse(meta_deg_df$log2FoldChange < -1, "blue", "black"))

  # --- Create Searchable DataTable with Row Coloring ---
  deg_kable <- datatable(meta_deg_df, options = list(
    pageLength = 10, scrollX = TRUE, autoWidth = TRUE, searchHighlight = TRUE
  ),
  rownames = FALSE, escape = FALSE,
  caption = paste("DEG Table:", contrast_name)
  ) %>%
  formatStyle(
    columns = names(meta_deg_df), 
    target = 'row',
    backgroundColor = styleEqual(c("red", "blue", "black"), c("#FFDDDD", "#DDDDFF", "white")),  # Light red for up, light blue for down
    color = styleEqual(c("red", "blue", "black"), c("red", "blue", "black")), 
    fontWeight = styleEqual(c("bold", "normal"), c("bold", "normal"))
  ) %>%
  formatStyle(
    'Species', target = 'cell', fontStyle = 'italic'
  )

  # --- Return Both Raw and Interactive Table ---
  return(list(
    meta_results = meta_deg_df, 
    kable_table = deg_kable
  ))
}



######################################################################################## 


# Create a function to summarize DEGs
summarize_deg_counts <- function(deg_table, contrast_name) {
  up_count <- sum(deg_table$meta_results$log2FoldChange > 1 & deg_table$meta_results$padj < 0.05, na.rm = TRUE)
  down_count <- sum(deg_table$meta_results$log2FoldChange < -1 & deg_table$meta_results$padj < 0.05, na.rm = TRUE)
  
  return(data.frame(
    Contrast = contrast_name,
    Upregulated = up_count,
    Downregulated = down_count
  ))
}


######################################################################################## 

create_volcano <- function(res, label) {
  mypalette <- brewer.pal(9, "Set1")
  volcano <-EnhancedVolcano(res,
                            lab=rownames(res),
                            x='log2FoldChange',
                            y='padj',
                            title=paste("Volcano Plot:", label),
                            col=c(mypalette[9], mypalette[3], mypalette[2], 
                                  mypalette[1]),
                            labSize = 4,
                            pCutoff = 0.05,
                            FCcutoff = 1,
                            pointSize = 3,
                            drawConnectors = T,
                            widthConnectors = 0.5,
                            colConnectors = "black",
                            max.overlaps = 25,
                            gridlines.major = F,
                            gridlines.minor = F)
  # Save plot at TIFF
  ggsave(paste0(saveDir, "/", label,"/volcano_plot_",label,".tiff"), device = "tiff",
         plot = volcano, width = 10, height = 10)
  
  # Retrurn the plot for inline display
  return(volcano)
}


create_volcano_nopng <- function(res, label) {
  mypalette <- brewer.pal(9, "Set1")
  volcano <-EnhancedVolcano(res,
                            lab=rownames(res),
                            x='log2FoldChange',
                            y='padj',
                            title=paste("Volcano Plot:", label),
                            col=c(mypalette[9], mypalette[3], mypalette[2], 
                                  mypalette[1]),
                            labSize = 4,
                            pCutoff = 0.05,
                            FCcutoff = 1,
                            pointSize = 3,
                            drawConnectors = T,
                            widthConnectors = 0.5,
                            colConnectors = "black",
                            max.overlaps = 25,
                            gridlines.major = F,
                            gridlines.minor = F)
  
  # Retrurn the plot for inline display
  return(volcano)
}


######################################################################################## 

create_heatmap <- function(res, label, contrast_) {
  mat <- counts(dds, normalized = TRUE)
  mat.z <- t(apply(mat, 1, scale))
  colnames(mat.z) <- colnames(mat)
  mat.z <- mat.z[rownames(res), contrast_, drop = FALSE]
  rownames(mat.z) <- rownames(res)
  
  # Create the heatmap
  heatmap_plot <- Heatmap(mat.z,
                          cluster_rows = TRUE,
                          cluster_columns = FALSE,
                          column_labels = contrast_,
                          name = "Z-Transformed Counts",
                          row_labels = rownames(mat.z),
                          row_names_gp = gpar(fontsize = 8),
                          height = unit(12, "cm"))
  
  # Save in TIFF
  tiff(paste0(saveDir, "/", label, "/heatmap_plot_", label, ".tiff"),
       units = "in", res = 300, width = 5, height = 10)
  draw(heatmap_plot)
  dev.off()

  # Return the heatmap object for inline display
  return(heatmap_plot)
}


create_heatmap_nopng <- function(res, label, contrast_) {
  mat <- counts(dds, normalized = TRUE)
  mat.z <- t(apply(mat, 1, scale))
  colnames(mat.z) <- colnames(mat)
  mat.z <- mat.z[rownames(res), contrast_, drop = FALSE]
  rownames(mat.z) <- rownames(res)
  
  # Create the heatmap
  heatmap_plot <- Heatmap(mat.z,
                          cluster_rows = TRUE,
                          cluster_columns = FALSE,
                          column_labels = contrast_,
                          name = "Z-Transformed Counts",
                          row_labels = rownames(mat.z),
                          row_names_gp = gpar(fontsize = 8),
                          use_raster = TRUE)

  # Return the heatmap object for inline display
  return(heatmap_plot)
}
######################################################################################## 

visualize_data <- function(res, label, contrast_) {
  sig_genes <- get_sig_genes(res)
  create_output_dirs(label)
  
 # Save results
  write.csv(as.data.frame(sig_genes),
            paste0(saveDir, "/", label, "/DEG_sigresults_", label, ".csv"))
  
# Generate and display plots
  volcano_plot <- create_volcano(res, label)
  heatmap_plot <- create_heatmap(sig_genes, label, contrast_)

  # Return plots for knitr inline visualization
  list(volcano = volcano_plot, heatmap = heatmap_plot)
}


visualize_data_nopng <- function(res, label, contrast_) {
  sig_genes <- get_sig_genes(res)
  create_output_dirs(label)
  
 # Save results
  write.csv(as.data.frame(sig_genes),
            paste0(saveDir, "/", label, "/DEG_sigresults_", label, ".csv"))
  
# Generate and display plots
  volcano_plot <- create_volcano_nopng(res, label)
  heatmap_plot <- create_heatmap_nopng(sig_genes, label, contrast_)

  # Return plots for knitr inline visualization
  list(volcano = volcano_plot, heatmap = heatmap_plot)
}


######################################################################################## 

# Function to visualize overlapping DEGs using ggVennDiagram
display_ggvenn_plot <- function(venn_data, title) {
  # Ensure input is a named list of character vectors
  venn_list <- venn_data
  
  # Create Venn diagram
  gg_venn <- ggVennDiagram(venn_list, label_alpha = 0, edge_lty = "dashed") +
    scale_fill_gradient(low = "lightblue", high = "darkblue") +
    labs(title = title) +
    theme_minimal(base_size = 14)
  
  return(gg_venn)
}

######################################################################################## 

# Function to generate an UpSet plot from DEG overlaps
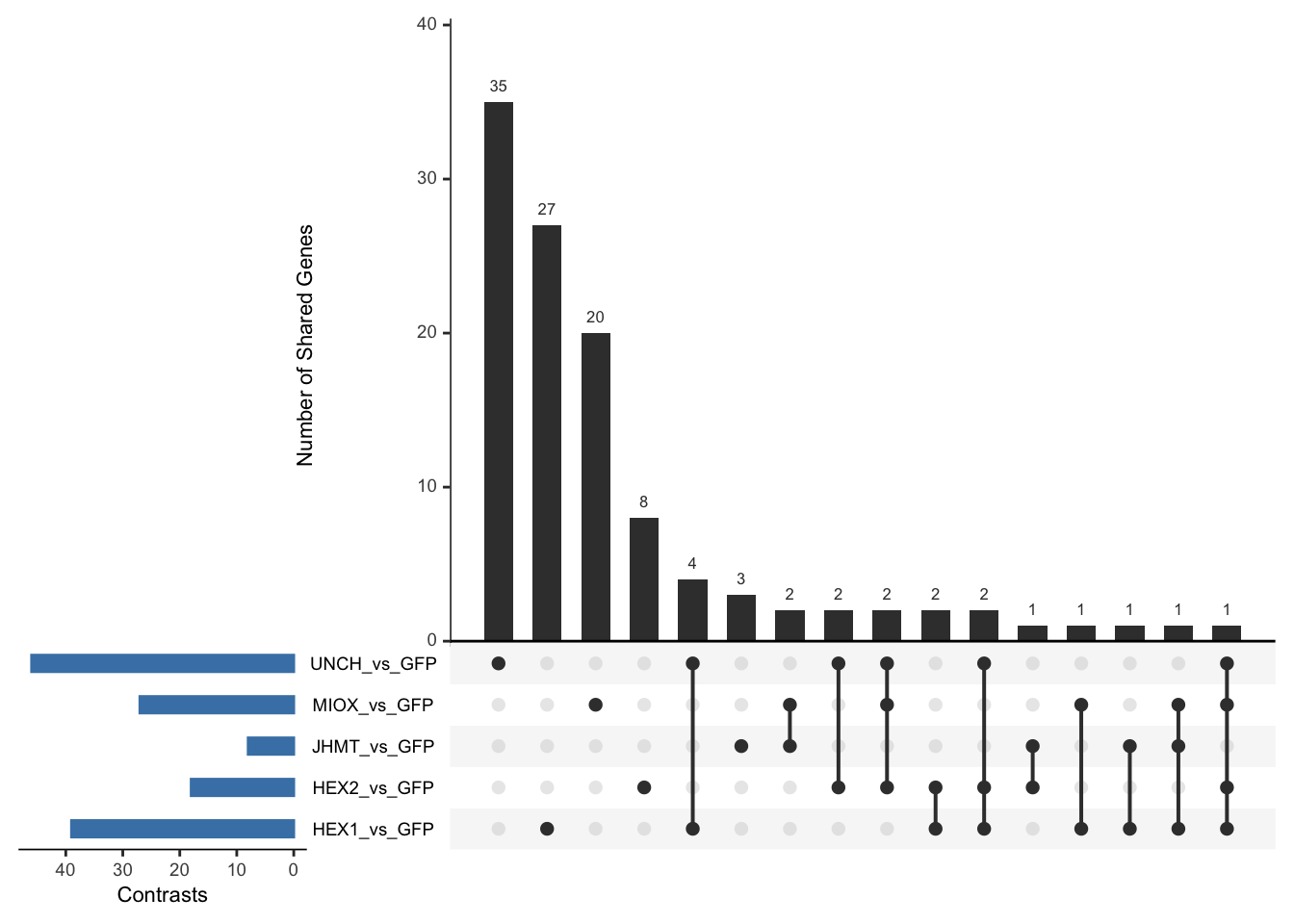
display_upset_plot <- function(venn_data, title) {
  
  # Convert the DEG lists into a presence/absence matrix
  all_genes <- unique(unlist(venn_data))  # Get all unique DEGs
  
  # Create a binary matrix: 1 if gene is in contrast, 0 otherwise
  overlap_matrix <- data.frame(GeneID = all_genes)
  
  for (contrast in names(venn_data)) {
    overlap_matrix[[contrast]] <- all_genes %in% venn_data[[contrast]]
  }
  
  # Convert logical (TRUE/FALSE) to numeric (1/0)
  overlap_matrix[-1] <- lapply(overlap_matrix[-1], as.integer)
  
  # UpSet plot
  upset(
    overlap_matrix, 
    sets = names(venn_data), 
    order.by = "freq", 
    sets.bar.color = "steelblue",
    keep.order = TRUE,
    mainbar.y.label = "Number of Shared Genes",
    sets.x.label = "Contrasts"
  )
}

######################################################################################## 
# ANNOTATION PART
######################################################################################## 

get_ids <- function(res) {
  rownames(res) <- as.character(rownames(res))
  res$ensembl_gene_id <- row.names(res)
  annotations <- getBM(attributes = c("ensembl_gene_id", "geneid"),
                       filters = "ensembl_gene_id",
                       values = rownames(res),
                       mart = dataset)
  return(annotations$geneid)
}

######################################################################################## 

GOMFEnrichment <- function(res, label) {
  # Check if there are valid gene IDs
  if (!is.null(res)) {
    
    # Perform GO enrichment analysis
    ego <- enrichGO(
      gene = rownames(res),
      OrgDb = org.Sgregaria.eg.db,
      keyType = "GID",
      ont = "MF",  # Cellular Component
      pAdjustMethod = "BH",  # Benjamini-Hochberg adjustment
      pvalueCutoff = 0.1
    )
    
    # Check if the result has any significant enrichment terms
    if (nrow(as.data.frame(ego)) > 0) {
      # Create the barplot
      go_barplot <- barplot(ego, showCategory = 20) +  # Show top 20 categories
        ggtitle(paste("GO MF Enrichment:", label))
      
      # Print the plot
      ggsave(paste0(saveDir, "/", label,"/gp_MF_barplot_",label,".tiff"), device = "tiff",
             plot=go_barplot, width=10, height = 10)
      
      change_vec <- res$log2FoldChange
      names(change_vec) <- rownames(res)
      RYD  = brewer.pal(n = 8, name = "RdBu")
      go_network <- cnetplot(ego, foldChange=change_vec) + 
        scale_color_gradientn(colours = RYD, limits=c(-2,2))
      ggsave(paste0(saveDir, "/", label,"/gp_MF_cnetplot_",label,".tiff"), device = "tiff",
             plot=go_network, width=30, height = 30, bg = "white")
      
      write.csv(as.data.frame(ego), paste0(saveDir, "/", label,
                                           "/GO_MF_Enrichment_Results_", label,".csv"))
    } else {
      message("No significant MF GO terms found.")
    }
    
  } else {
    message("No valid gene IDs found.")
  }
  return()
}

######################################################################################## 

GOCCEnrichment <- function(res, label) {
  # Check if there are valid gene IDs
  if (!is.null(res)) {
    
    # Perform GO enrichment analysis
    ego <- enrichGO(
      gene = rownames(res),
      OrgDb = org.Sgregaria.eg.db,
      keyType = "GID",
      ont = "CC",  # Cellular Component
      pAdjustMethod = "BH",  # Benjamini-Hochberg adjustment
      pvalueCutoff = 0.1
    )
    
    # Check if the result has any significant enrichment terms
    if (nrow(as.data.frame(ego)) > 0) {
      # Create the barplot
      go_barplot <- barplot(ego, showCategory = 20) +  # Show top 20 categories
        ggtitle(paste("GO CC Enrichment:", label))
      
      # Print the plot
      ggsave(paste0(saveDir, "/", label,"/gp_CC_barplot_",label,".tiff"), device = "tiff",
             plot=go_barplot, width=10, height = 10)
      
      change_vec <- res$log2FoldChange
      names(change_vec) <- rownames(res)
      RYD  = brewer.pal(n = 8, name = "RdBu")
      go_network <- cnetplot(ego, foldChange=change_vec) + 
        scale_color_gradientn(colours = RYD, limits=c(-2,2))
      ggsave(paste0(saveDir, "/", label,"/gp_CC_cnetplot_",label,".tiff"), device = "tiff",
             plot=go_network, width=30, height = 30, bg = "white")
      
      write.csv(as.data.frame(ego), paste0(saveDir, "/", label,
                                           "/GO_CC_Enrichment_Results_", label,".csv"))
    } else {
      message("No significant CC GO terms found.")
    }
    
  } else {
    message("No valid gene IDs found.")
  }
  return()
}

######################################################################################## 

GOBPEnrichment <- function(res, label) {
  # Check if there are valid gene IDs
  if (!is.null(res)) {
    
    # Perform GO enrichment analysis
    ego <- enrichGO(
      gene = rownames(res),
      OrgDb = org.Sgregaria.eg.db,
      keyType = "GID",
      ont = "BP",  # Cellular Component
      pAdjustMethod = "BH",  # Benjamini-Hochberg adjustment
      pvalueCutoff = 0.1
    )
    
    # Check if the result has any significant enrichment terms
    if (nrow(as.data.frame(ego)) > 0) {
      # Create the barplot
      go_barplot <- barplot(ego, showCategory = 20) +  # Show top 20 categories
        ggtitle(paste("GO BP Enrichment:", label))
      
      # Print the plot
      ggsave(paste0(saveDir, "/", label,"/gp_BP_barplot_",label,".tiff"), device = "tiff",
             plot=go_barplot, width=10, height = 10)
      
      change_vec <- res$log2FoldChange
      names(change_vec) <- rownames(res)
      RYD  = brewer.pal(n = 8, name = "RdBu")
      go_network <- cnetplot(ego, foldChange=change_vec) + 
        scale_color_gradientn(colours = RYD, limits=c(-2,2))
      ggsave(paste0(saveDir, "/", label,"/gp_BP_cnetplot_",label,".tiff"), device = "tiff",
             plot=go_network, width=30, height = 30, bg="white")
      
      write.csv(as.data.frame(ego), paste0(saveDir, "/", label,
                                           "/GO_BP_Enrichment_Results_", label,".csv"))
    } else {
      message("No significant BP GO terms found.")
    }
    
  } else {
    message("No valid gene IDs found.")
  }
  return()
}

######################################################################################## 

KEGGEnrichment <- function(res, label) {
  # Check if there are valid gene IDs
  if (!is.null(res)) {
    
    kk <- enrichKEGG(gene = rownames(res),
                     organism = "sgre",
                     pvalueCutoff = 0.1)
    
    # Check if the result has any significant enrichment terms
    if (nrow(as.data.frame(kk)) > 0) {
      
      kk_barplot <- barplot(kk) + ggtitle(paste("KEGG Enrichment:", label))
      ggsave(paste0(saveDir, "/", label,"/kk_barplot_",label,".tiff"), device = "tiff",
             plot=kk_barplot, width=10, height = 10)
      
      change_vec <- res$log2FoldChange
      names(change_vec) <- rownames(res)
      RYD  = brewer.pal(n = 8, name = "RdBu")
      kk_network <- cnetplot(kk, foldChange=change_vec) + 
        scale_color_gradientn(colours = RYD, limits=c(-2,2))
      ggsave(paste0(saveDir, "/", label,"/kk_cnetplot_",label,".tiff"), device = "tiff",
             plot=kk_network, width=30, height = 30, bg = "white")
      
      write.csv(as.data.frame(kk), paste0(saveDir,  "/",label,
                                          "/KEGG_Enrichment_Results_",
                                          label,".csv"))
    } else {
      message("No significant KEGG terms found.")
    }
    
  } else {
    message("No valid gene IDs found.")
  }
  return()
}

######################################################################################## 

enrich_data <- function(res, label, contrast_) {
  sig_genes <- get_sig_genes(res)
  create_output_dirs(label)
  GOMFEnrichment(sig_genes, label)
  GOBPEnrichment(sig_genes, label)
  GOCCEnrichment(sig_genes, label)
  KEGGEnrichment(sig_genes, label)
  return()
}

######################################################################################## 

All genes included

All tissue together

Minor changes here are made compared to the DESeq2 results regarding the importation of samples to transform into a matrix.

Sample names are structured as follow: {Sg}{gene}{#} {Sg} = Schistocerca gregaria {gene} = gene abbreviation gfp, hex1, hex2, jhmt, miox and unch H/T{#} = biological replicate

saveDir <- paste0(workDir,"/DEG_results/RNAi/All")
dir.create(saveDir)
### Prepare Sample CSV file #####
samples <- read.delim(file.path(workDir, "list/RNAi/All_RNAisample_list.csv"), sep = ",", row.names = 1, header = TRUE)
files <- file.path(workDir, "readcounts/RNAi/", samples$Tissue, samples$Filename)
names(files) <- row.names(samples)
if (all(file.exists(files))) {
  message("All the files exist!")
} else {
  warning("Some files are missing!")
}
All the files exist!
### Create count sample matrix
cts <- map_dfc(files, function(sample) {
  data_count <- read.delim(sample, sep = "\t", header = FALSE)
  col_name <- gsub("_counts.txt", "", basename(sample)) 
  setNames(data.frame(data_count[, 2]), col_name)
})

row_get <- read.delim(files[1], sep = "\t", row.names = 1, header = F) # Get proper row names
rownames(cts) <- rownames(row_get)
rm(row_get) # remove unused object from memory

While for bulk RNAseq on head and thorax for all species, the DEGs model was made between isolated and crowded individuals (with isolated as the reference state), here, the DEG analysis will be carried between GFP knock-down nymphs (as reference state) vs Hexamerins / Juvenile Hormones / Inositol / Uncharacterized proteins.

### Build DESeq2 Object
dds <- DESeqDataSetFromMatrix(countData = cts,
                              colData = samples,
                              design = ~ Gene)
dds$Gene <- relevel(dds$Gene, ref = "GFP")

smallestGroupSize <- 5
keep <- rowSums(counts(dds) >= 10) >= smallestGroupSize
dds <- dds[keep,]

dds <- DESeq(dds)

Following the generation of the DEseq2 object, we annotate the genes with the GeneID using biomaRt.

### Fetch Annotation Gene IDs using biomaRt
#ensembl <- useMart("metazoa_mart", host = "https://metazoa.ensembl.org")
#metazoa_list <- listDatasets(ensembl)
#dataset <- useMart("metazoa_mart", dataset = "sggca023897955v2rs_eg_gene",
#                   host = "https://metazoa.ensembl.org")
#listAttributes(dataset)

#test_raw_counts <- as.data.frame(counts(dds))
#rownames(test_raw_counts) <- as.character(rownames(test_raw_counts))
#test_raw_counts$ensembl_gene_id <- row.names(test_raw_counts)
#annotations <- getBM(attributes = c("ensembl_gene_id", "geneid"),
#                     filters = "ensembl_gene_id",
#                     values = rownames(test_raw_counts),
#                     mart = dataset)

# Merge dataframes to retain geneid information from biomaRt
#test_raw_counts_annotated <- merge(test_raw_counts, annotations,
#                                   by = "ensembl_gene_id",
#                                   all.x = T)

#write.csv(test_raw_counts_annotated, file=paste0(saveDir,"/All_raw_counts.csv"))

Normalization and PCA

# Plot PCA and investigate quality metrics
vsd <- vst(dds, blind = TRUE) 

# Perform PCA
pca_data <- plotPCA(vsd, intgroup = c("Tissue", "Gene"), returnData = TRUE)

# Define colors for genes (slightly transparent) and shapes for tissues
gene_colors <- scale_color_manual(values = alpha(brewer.pal(n = length(unique(pca_data$Gene)), name = "Set1"), 0.8))  # Points are transparent
tissue_shapes <- scale_shape_manual(values = seq(15, 15 + length(unique(pca_data$Tissue))))

# **PCA without labels**
p_pca_nolabel <- ggplot(pca_data, aes(x = PC1, y = PC2, color = Gene, shape = Tissue)) +
  geom_point(size = 4) +
  gene_colors + 
  tissue_shapes +
  theme_bw() +
  theme(legend.title = element_blank(),
        legend.text = element_text(face = "bold", size = 14),
        axis.text = element_text(size = 12),
        axis.title = element_text(size = 14)) +
  ggtitle("PCA of All Tissues (No Labels)", subtitle = "Tissues differentiated by shape, Genes by color")

# Save PCA without labels
ggsave(paste0(saveDir, "/PCA_Tissue_Gene_NoLabel.png"), plot = p_pca_nolabel, width = 10, height = 10, dpi = 600, device = "png")

# **PCA with labels**
p_pca_label <- ggplot(pca_data, aes(x = PC1, y = PC2, color = Gene, shape = Tissue)) +
  geom_point(size = 4) +
  geom_text_repel(aes(label = name), size = 4, color = "black", max.overlaps = 20) +  # Labels are fully visible
  gene_colors + 
  tissue_shapes +
  theme_bw() +
  theme(legend.title = element_blank(),
        legend.text = element_text(face = "bold", size = 14),
        axis.text = element_text(size = 12),
        axis.title = element_text(size = 14)) +
  ggtitle("PCA of All Tissues (With Labels)", subtitle = "Tissues differentiated by shape, Genes by color")

# Save PCA with labels
ggsave(paste0(saveDir, "/PCA_Tissue_Gene_Label.png"), plot = p_pca_label, width = 10, height = 10, dpi = 600, device = "png")

# **Return plots for knitr/RMarkdown**
list(NoLabel = p_pca_nolabel, WithLabel = p_pca_label)
$NoLabel

Version Author Date
d7fa779 Maeva TECHER 2025-02-14

$WithLabel

Version Author Date
d7fa779 Maeva TECHER 2025-02-14

The PCA plot shows clear distinction between tissue types, while gene silencing has a large variation within each tissue, and presents no distinct clear groupings for a single gene.

SVA

### SVA analysis to control for technical variation 
dat  <- counts(dds, normalized = TRUE)
idx  <- rowMeans(dat) > 1
dat  <- dat[idx, ]
mod  <- model.matrix(~ Gene, colData(dds))
mod0 <- model.matrix(~ 1, colData(dds))
svseq <- svaseq(dat, mod, mod0)
Number of significant surrogate variables is:  3 
Iteration (out of 5 ):1  2  3  4  5  
sva_plots <- create_sva_plots(svseq, dds, saveDir, intgroup = c("Tissue", "Gene"))

# Show stripcharts in the report
sva_plots$Stripcharts[[1]]  # Show first stripchart

Version Author Date
d7fa779 Maeva TECHER 2025-02-14
sva_plots$Stripcharts[[2]]  # Show second stripchart

Version Author Date
d7fa779 Maeva TECHER 2025-02-14
sva_plots$Stripcharts[[3]]  # Show third stripchart

Version Author Date
d7fa779 Maeva TECHER 2025-02-14
# Show scatter plots in the report
sva_plots$ScatterPlots[["1_2"]]  # Show SV1 vs SV2

Version Author Date
d7fa779 Maeva TECHER 2025-02-14
sva_plots$ScatterPlots[["1_3"]]  # Show SV1 vs SV3

Version Author Date
d7fa779 Maeva TECHER 2025-02-14
sva_plots$ScatterPlots[["2_3"]]  # Show SV2 vs SV3

Version Author Date
d7fa779 Maeva TECHER 2025-02-14

SV1 is clearly showing an effect of tissue. We rerun the DESeq2 model but this time including the surrogate variable SV2 and SV3 as a covariates only, as we know that the modeled variation is more likely explained by tissue and gene variation rather than batch effects.

ddssva <- dds
ddssva$SV2 <- svseq$sv[,2]
ddssva$SV3 <- svseq$sv[,3]
design(ddssva) <- ~ SV2 + SV3 + Gene
ddssva$Gene <- relevel(ddssva$Gene, ref = "GFP")

smallestGroupSize <- 5
keep <- rowSums(counts(ddssva) >= 10) >= smallestGroupSize
ddssva <- ddssva[keep,]

ddssva <- DESeq(ddssva)

ddssva <- ddssva[which(mcols(ddssva)$betaConv),] # remove non converging rows

### Extract results
message("Available contrasts are: ", paste(resultsNames(ddssva), collapse = ", "))


hex1 <- results(ddssva, name = "Gene_HEX1_vs_GFP", alpha = 0.05)
hex2 <- results(ddssva, name = "Gene_HEX2_vs_GFP", alpha = 0.05)
jhmt <- results(ddssva, name = "Gene_JHMT_vs_GFP", alpha = 0.05)
miox <- results(ddssva, name = "Gene_MIOX_vs_GFP", alpha = 0.05)
unch <- results(ddssva, name = "Gene_UNCH_vs_GFP", alpha = 0.05)

Volcano plots and Heatmaps

# Define contrast_sets
hex1_samples <- c("SggfpH1","SggfpH2","SggfpH3","SggfpH4","SggfpH5",
                  "Sghex1H1","Sghex1H2","Sghex1H3","Sghex1H4","Sghex1H5",
                  "SggfpT1","SggfpT2","SggfpT3","SggfpT4","SggfpT5",
                  "Sghex1T1","Sghex1T2","Sghex1T3","Sghex1T4","Sghex1T5")
hex2_samples <- c("SggfpH1","SggfpH2","SggfpH3","SggfpH4","SggfpH5",
                  "Sghex2H1","Sghex2H2","Sghex2H3","Sghex2H4","Sghex2H5",
                  "SggfpT1","SggfpT2","SggfpT3","SggfpT4","SggfpT5",
                  "Sghex2T1","Sghex2T2","Sghex2T3","Sghex2T4","Sghex2T5")
jhmt_samples <- c("SggfpH1","SggfpH2","SggfpH3","SggfpH4","SggfpH5",
                  "SgjhmtH1","SgjhmtH2","SgjhmtH3","SgjhmtH4","SgjhmtH5",
                  "SggfpT1","SggfpT2","SggfpT3","SggfpT4","SggfpT5",
                  "SgjhmtT1","SgjhmtT2","SgjhmtT3","SgjhmtT4","SgjhmtT5")
miox_samples <- c("SggfpH1","SggfpH2","SggfpH3","SggfpH4","SggfpH5",
                  "SgmioxH1","SgmioxH2","SgmioxH3","SgmioxH4","SgmioxH5",
                  "SggfpT1","SggfpT2","SggfpT3","SggfpT4","SggfpT5",
                  "SgmioxT1","SgmioxT2","SgmioxT3","SgmioxT4","SgmioxT5")
unch_samples <- c("SggfpH1","SggfpH2","SggfpH3","SggfpH4","SggfpH5",
                  "SgunchH1","SgunchH2","SgunchH3","SgunchH4","SgunchH5",
                  "SggfpT1","SggfpT2","SggfpT3","SggfpT4","SggfpT5",
                  "SgunchT1","SgunchT2","SgunchT3","SgunchT4","SgunchT5")

# Run full analysis
hex1_plots <- visualize_data(hex1, "HEX1_vs_GFP", hex1_samples)
hex2_plots <- visualize_data(hex2, "HEX2_vs_GFP", hex2_samples)
jhmt_plots <- visualize_data(jhmt, "JHMT_vs_GFP", jhmt_samples)
miox_plots <- visualize_data(miox, "MIOX_vs_GFP", miox_samples)
unch_plots <- visualize_data(unch, "UNCH_vs_GFP", unch_samples)

hex1_plots$volcano; hex1_plots$heatmap

Version Author Date
b540a1e Maeva TECHER 2025-02-27
d7fa779 Maeva TECHER 2025-02-14

Version Author Date
b540a1e Maeva TECHER 2025-02-27
d7fa779 Maeva TECHER 2025-02-14
hex2_plots$volcano; hex2_plots$heatmap

Version Author Date
b540a1e Maeva TECHER 2025-02-27
d7fa779 Maeva TECHER 2025-02-14

Version Author Date
b540a1e Maeva TECHER 2025-02-27
d7fa779 Maeva TECHER 2025-02-14
jhmt_plots$volcano; jhmt_plots$heatmap

Version Author Date
d7fa779 Maeva TECHER 2025-02-14

Version Author Date
b540a1e Maeva TECHER 2025-02-27
d7fa779 Maeva TECHER 2025-02-14
miox_plots$volcano; miox_plots$heatmap

Version Author Date
d7fa779 Maeva TECHER 2025-02-14

Version Author Date
b540a1e Maeva TECHER 2025-02-27
d7fa779 Maeva TECHER 2025-02-14
unch_plots$volcano; unch_plots$heatmap

Version Author Date
d7fa779 Maeva TECHER 2025-02-14

Version Author Date
b540a1e Maeva TECHER 2025-02-27
d7fa779 Maeva TECHER 2025-02-14

DEG tables

The following tables show the genes differentially expressed with at least an absolute log2fold change of > 1 considering all tissues together. Considering GFP as the reference state, upregulated genes in knockdown treatment in red and downregulated genes in knockdown treatment in blue. You can search for a gene of interest by writing a LOCID or description in the search bar or sort by column.

# Generate tables for each contrast
table_hex1 <- generate_deg_table(ddssva, "Gene_HEX1_vs_GFP", allspecies_df)

out of 16363 with nonzero total read count
adjusted p-value < 0.05
LFC > 0 (up)       : 896, 5.5%
LFC < 0 (down)     : 993, 6.1%
outliers [1]       : 0, 0%
low counts [2]     : 1269, 7.8%
(mean count < 9)
[1] see 'cooksCutoff' argument of ?results
[2] see 'independentFiltering' argument of ?results
Total DEGs p-value < 0.05 and absolute logFoldChange > 1: 205
LFC > 1 (up)       : 126 (61.46%)
LFC < -1 (down)     : 79 (38.54%)
table_hex1$kable_table
table_hex2 <- generate_deg_table(ddssva, "Gene_HEX2_vs_GFP", allspecies_df)

out of 16363 with nonzero total read count
adjusted p-value < 0.05
LFC > 0 (up)       : 522, 3.2%
LFC < 0 (down)     : 541, 3.3%
outliers [1]       : 0, 0%
low counts [2]     : 1587, 9.7%
(mean count < 11)
[1] see 'cooksCutoff' argument of ?results
[2] see 'independentFiltering' argument of ?results
Total DEGs p-value < 0.05 and absolute logFoldChange > 1: 121
LFC > 1 (up)       : 57 (47.11%)
LFC < -1 (down)     : 64 (52.89%)
table_hex2$kable_table
table_jhmt <- generate_deg_table(ddssva, "Gene_JHMT_vs_GFP", allspecies_df)

out of 16363 with nonzero total read count
adjusted p-value < 0.05
LFC > 0 (up)       : 371, 2.3%
LFC < 0 (down)     : 672, 4.1%
outliers [1]       : 0, 0%
low counts [2]     : 318, 1.9%
(mean count < 6)
[1] see 'cooksCutoff' argument of ?results
[2] see 'independentFiltering' argument of ?results
Total DEGs p-value < 0.05 and absolute logFoldChange > 1: 174
LFC > 1 (up)       : 82 (47.13%)
LFC < -1 (down)     : 92 (52.87%)
table_jhmt$kable_table
table_miox <- generate_deg_table(ddssva, "Gene_MIOX_vs_GFP", allspecies_df)

out of 16363 with nonzero total read count
adjusted p-value < 0.05
LFC > 0 (up)       : 71, 0.43%
LFC < 0 (down)     : 131, 0.8%
outliers [1]       : 0, 0%
low counts [2]     : 0, 0%
(mean count < 1)
[1] see 'cooksCutoff' argument of ?results
[2] see 'independentFiltering' argument of ?results
Total DEGs p-value < 0.05 and absolute logFoldChange > 1: 69
LFC > 1 (up)       : 31 (44.93%)
LFC < -1 (down)     : 38 (55.07%)
table_miox$kable_table
table_unch <- generate_deg_table(ddssva, "Gene_UNCH_vs_GFP", allspecies_df)

out of 16363 with nonzero total read count
adjusted p-value < 0.05
LFC > 0 (up)       : 213, 1.3%
LFC < 0 (down)     : 337, 2.1%
outliers [1]       : 0, 0%
low counts [2]     : 0, 0%
(mean count < 1)
[1] see 'cooksCutoff' argument of ?results
[2] see 'independentFiltering' argument of ?results
Total DEGs p-value < 0.05 and absolute logFoldChange > 1: 155
LFC > 1 (up)       : 80 (51.61%)
LFC < -1 (down)     : 75 (48.39%)
table_unch$kable_table

Summary and Overlap

# Summarize DEGs for all contrasts
deg_summary <- bind_rows(
  summarize_deg_counts(table_hex1, "HEX1 vs GFP"),
  summarize_deg_counts(table_hex2, "HEX2 vs GFP"),
  summarize_deg_counts(table_jhmt, "JHMT vs GFP"),
  summarize_deg_counts(table_miox, "MIOX vs GFP"),
  summarize_deg_counts(table_unch, "UNCH vs GFP")
)

# Display table using kable with styling
deg_summary %>%
  kable("html", escape = FALSE, col.names = gsub("_", " ", names(.))) %>%
  kable_styling("striped", full_width = TRUE) %>%
  column_spec(2, color = "red", bold = TRUE) %>%  # Upregulated in red
  column_spec(3, color = "blue", bold = TRUE) %>% # Downregulated in blue
  add_header_above(c("Summary of DEGs" = 3)) %>%
  row_spec(0, bold = TRUE)
Summary of DEGs
Contrast Upregulated Downregulated
HEX1 vs GFP 123 78
HEX2 vs GFP 51 64
JHMT vs GFP 77 89
MIOX vs GFP 30 38
UNCH vs GFP 76 74
# Define the list of RNAi contrasts
contrast_list <- c("HEX1_vs_GFP", "HEX2_vs_GFP", "JHMT_vs_GFP", 
                   "MIOX_vs_GFP", "UNCH_vs_GFP")

# Initialize empty lists for storing Head-specific DEGs for each contrast
venn_data_up <- list()
venn_data_down <- list()
venn_data_all <- list()

# Function to load Head-specific DEGs for a given set of contrasts
load_deg_contrasts_head <- function(contrast_list) {
  degs_up <- list()
  degs_down <- list()
  degs_all <- list()
  
  for (contrast in contrast_list) {
    deg_file <- file.path(workDir, "DEG_results/RNAi/All/", contrast, paste0("DEG_sigresults_", contrast, ".csv"))
    
    if (!file.exists(deg_file)) {
      message(paste("File missing for contrast:", contrast))
      next  # Skip if the file doesn't exist
    }
    
    deg_data <- read.csv(deg_file, stringsAsFactors = FALSE)
    
    # Convert row names to a column if necessary
       if ("X" %in% colnames(deg_data)) {
    colnames(deg_data)[colnames(deg_data) == "X"] <- "GeneID"
    }

        # Check if data is empty
        if (nrow(deg_data) == 0) {
            message(paste("No data for contrast:", contrast))
            next
        }
    
    # Select significant DEGs (Up, Down, All)
    degs_up[[contrast]] <- deg_data %>%
      filter(padj < 0.05 & log2FoldChange >= 1) %>%
      pull(GeneID)  # Extract GeneID column
    
    degs_down[[contrast]] <- deg_data %>%
      filter(padj < 0.05 & log2FoldChange <= -1) %>%
      pull(GeneID)  # Extract GeneID column
    
    degs_all[[contrast]] <- deg_data %>%
      filter(padj < 0.05 & abs(log2FoldChange) >= 1) %>%
      pull(GeneID)  # Extract GeneID column
  }
  
  return(list(up = degs_up, down = degs_down, all = degs_all))
}

# Load DEG data for the defined contrasts (Head tissue only)
venn_data_contrasts <- load_deg_contrasts_head(contrast_list)

# Prepare the data for the Venn diagrams
venn_data_up <- venn_data_contrasts$up
venn_data_down <- venn_data_contrasts$down
venn_data_all <- venn_data_contrasts$all

# Function to display Venn diagram and corresponding datatable
display_venn_with_datatable <- function(venn_data, title, allspecies_df) {
  # Calculate the overlapping genes
  overlap_genes <- Reduce(intersect, venn_data)
  
  # Create a data frame for the overlapping genes
  overlap_df <- data.frame(GeneID = overlap_genes)
  
  # Merge to get species information
  meta_brock_df <- merge(overlap_df, allspecies_df, by = "GeneID", all.x = TRUE)
  
  # Generate the Venn diagram
  venn_plot <- venn.diagram(
    x = venn_data, 
    category.names = contrast_list, 
    filename = NULL, 
    output = TRUE, 
    fill = c("orange", "red", "blue", "purple", "green"),  # Adjust colors for contrasts
    alpha = 0.5, 
    cex = 2, 
    cat.cex = 0, 
    main = title,
    main.cex = 1.2
  )

  # Clear the plotting area before drawing
  grid.newpage()
  grid.draw(venn_plot)

  # Create a custom legend
  legend_labels <- contrast_list
  legend_colors <- c("orange", "red", "blue", "purple", "green")

  # Positioning the legend
  legend_x <- unit(0.85, "npc")  # Adjust x position
  legend_y <- unit(0.2, "npc")   # Adjust y position

  # Draw the legend
  for (i in 1:length(legend_labels)) {
    grid.rect(x = legend_x, y = legend_y - unit((i - 1) * 0.05, "npc"), 
              width = unit(0.02, "npc"), height = unit(0.02, "npc"), 
              gp = gpar(fill = legend_colors[i], col = NA))
    grid.text(label = legend_labels[i], x = legend_x + unit(0.05, "npc"), 
              y = legend_y - unit((i - 1) * 0.05, "npc"), 
              just = "left", gp = gpar(cex = 0.8))
  }  

  # Display the merged overlapping genes table with datatable
  datatable(meta_brock_df, options = list(
      pageLength = 10,
      scrollX = TRUE,
      autoWidth = TRUE,
      searchHighlight = TRUE
  ),
  rownames = FALSE,
  escape = FALSE
  ) %>%
  formatStyle(
      'Species', target = 'cell',
      fontStyle = 'italic'
  ) %>%
  formatStyle(
      columns = names(meta_brock_df), 
      target = 'row',
      color = styleEqual(c("red", "blue", "black"), c("red", "blue", "black")),
      fontWeight = styleEqual(c("bold", "normal"), c("bold", "normal")),
      backgroundColor = styleEqual(c("red", "blue", "black"), c("white", "white", "white"))
  )
}

# Display the Venn diagram and datatable for **Head Upregulated DEGs** across contrasts
display_venn_with_datatable(venn_data_up, "Venn Diagram of Head Upregulated DEGs - RNAi Contrasts", allspecies_df)

Version Author Date
b540a1e Maeva TECHER 2025-02-27
# Display the Venn diagram and datatable for **Head Downregulated DEGs** across contrasts
display_venn_with_datatable(venn_data_down, "Venn Diagram of Head Downregulated DEGs - RNAi Contrasts", allspecies_df)

Version Author Date
b540a1e Maeva TECHER 2025-02-27
# Display the Venn diagram and datatable for **All Significant DEGs in Head Tissue**
display_venn_with_datatable(venn_data_all, "Venn Diagram of All Significant DEGs in Head Tissue - RNAi Contrasts", allspecies_df)

Version Author Date
b540a1e Maeva TECHER 2025-02-27

Head tissue

Minor changes here are made compared to the DESeq2 results regarding the importation of samples to transform into a matrix. Sample names are structured as follow: {Sg}{gene}{#} {Sg} = Schistocerca gregaria {gene} = gene abbreviation gfp, hex1, hex2, jhmt, miox and unch H{#} = biological replicate

saveDir <- paste0(workDir,"/DEG_results/RNAi/Head")
dir.create(saveDir)
### Prepare Sample CSV file #####
samples <- read.delim(file.path(workDir, "list/RNAi/Head_RNAisample_list.csv"), sep = ",", row.names = 1, header = TRUE)
files <- file.path(workDir, "readcounts/RNAi/", samples$Tissue, samples$Filename)
names(files) <- row.names(samples)
if (all(file.exists(files))) {
  message("All the files exist!")
} else {
  warning("Some files are missing!")
}
All the files exist!
### Create count sample matrix
cts <- map_dfc(files, function(sample) {
  data_count <- read.delim(sample, sep = "\t", header = FALSE)
  col_name <- gsub("_counts.txt", "", basename(sample)) 
  setNames(data.frame(data_count[, 2]), col_name)
})

row_get <- read.delim(files[1], sep = "\t", row.names = 1, header = F) # Get proper row names
rownames(cts) <- rownames(row_get)
rm(row_get) # remove unused object from memory

While for bulk RNAseq on head and thorax for all species, the DEGs model was made between isolated and crowded individuals (with isolated as the reference state), here, the DEG analysis will be carried between GFP knock-down nymphs (as reference state) vs Hexamerins / Juvenile Hormones / Uncharacterized proteins.

### Build DESeq2 Object
dds <- DESeqDataSetFromMatrix(countData = cts,
                              colData = samples,
                              design = ~ Gene)
dds$Gene <- relevel(dds$Gene, ref = "GFP")

smallestGroupSize <- 5
keep <- rowSums(counts(dds) >= 10) >= smallestGroupSize
dds <- dds[keep,]

dds <- DESeq(dds)

Normalization and PCA

# Plot PCA and investigate quality metrics
vsd <- vst(dds, blind=T)

pca_results <- create_pca_plots(norm.dds = vsd, saveDir, transformation = "vst", intgroup = "Gene")
pca_results$PCA_Labelled

Version Author Date
3e696d6 Maeva TECHER 2025-06-05
d7fa779 Maeva TECHER 2025-02-14
3746422 Maeva TECHER 2025-02-12
pca_results$PCA_Hull

Version Author Date
d7fa779 Maeva TECHER 2025-02-14
3746422 Maeva TECHER 2025-02-12

SVA

### SVA analysis to control for technical variation 
dat  <- counts(dds, normalized = TRUE)
idx  <- rowMeans(dat) > 1
dat  <- dat[idx, ]
mod  <- model.matrix(~ Gene, colData(dds))
mod0 <- model.matrix(~ 1, colData(dds))
svseq <- svaseq(dat, mod, mod0)
Number of significant surrogate variables is:  3 
Iteration (out of 5 ):1  2  3  4  5  
sva_plots <- create_sva_plots(svseq, dds, saveDir, intgroup = c("Tissue", "Gene"))

# Show stripcharts in the report
sva_plots$Stripcharts[[1]]  # Show first stripchart

Version Author Date
d7fa779 Maeva TECHER 2025-02-14
3746422 Maeva TECHER 2025-02-12
sva_plots$Stripcharts[[2]]  # Show second stripchart

Version Author Date
d7fa779 Maeva TECHER 2025-02-14
3746422 Maeva TECHER 2025-02-12
sva_plots$Stripcharts[[3]]  # Show third stripchart

Version Author Date
d7fa779 Maeva TECHER 2025-02-14
# Show scatter plots in the report
sva_plots$ScatterPlots[["1_2"]]  # Show SV1 vs SV2

Version Author Date
3e696d6 Maeva TECHER 2025-06-05
d7fa779 Maeva TECHER 2025-02-14
sva_plots$ScatterPlots[["1_3"]]  # Show SV1 vs SV3

Version Author Date
3e696d6 Maeva TECHER 2025-06-05
d7fa779 Maeva TECHER 2025-02-14
sva_plots$ScatterPlots[["2_3"]]  # Show SV2 vs SV3

Version Author Date
d7fa779 Maeva TECHER 2025-02-14

We rerun the DESeq2 model but this time including the surrogate variable as a covariate, as we know that the modeled variation is more likely explained by tissue and gene variation rather than batch effects.

ddssva <- dds
ddssva$SV1 <- svseq$sv[,1]
ddssva$SV2 <- svseq$sv[,2]
ddssva$SV3 <- svseq$sv[,3]
design(ddssva) <- ~ SV1 + SV2 + SV3 + Gene
ddssva$Gene <- relevel(ddssva$Gene, ref = "GFP")

smallestGroupSize <- 5
keep <- rowSums(counts(ddssva) >= 10) >= smallestGroupSize
ddssva <- ddssva[keep,]

ddssva <- DESeq(ddssva)

ddssva <- ddssva[which(mcols(ddssva)$betaConv),] # remove non converging rows

### Extract results
message("Available contrasts are: ", paste(resultsNames(ddssva), collapse = ", "))

hex1 <- results(ddssva, name = "Gene_HEX1_vs_GFP", alpha = 0.05)
hex2 <- results(ddssva, name = "Gene_HEX2_vs_GFP", alpha = 0.05)
jhmt <- results(ddssva, name = "Gene_JHMT_vs_GFP", alpha = 0.05)
miox <- results(ddssva, name = "Gene_MIOX_vs_GFP", alpha = 0.05)
unch <- results(ddssva, name = "Gene_UNCH_vs_GFP", alpha = 0.05)

Volcano plots and Heatmaps

First we create function to generate the plots we are interested to obtain and then run the whole pipeline for each gene.

# Define contrast_sets
hex1_samples <- c("SggfpH1","SggfpH2","SggfpH3","SggfpH4","SggfpH5",
                  "Sghex1H1","Sghex1H2","Sghex1H3","Sghex1H4","Sghex1H5")
hex2_samples <- c("SggfpH1","SggfpH2","SggfpH3","SggfpH4","SggfpH5",
                  "Sghex2H1","Sghex2H2","Sghex2H3","Sghex2H4","Sghex2H5")
jhmt_samples <- c("SggfpH1","SggfpH2","SggfpH3","SggfpH4","SggfpH5",
                  "SgjhmtH1","SgjhmtH2","SgjhmtH3","SgjhmtH4","SgjhmtH5")
miox_samples <- c("SggfpH1","SggfpH2","SggfpH3","SggfpH4","SggfpH5",
                  "SgmioxH1","SgmioxH2","SgmioxH3","SgmioxH4","SgmioxH5")
unch_samples <- c("SggfpH1","SggfpH2","SggfpH3","SggfpH4","SggfpH5",
                  "SgunchH1","SgunchH2","SgunchH3","SgunchH4","SgunchH5")

# Run full analysis
hex1_plots <- visualize_data(hex1, "HEX1_vs_GFP", hex1_samples)
hex2_plots <- visualize_data(hex2, "HEX2_vs_GFP", hex2_samples)
jhmt_plots <- visualize_data(jhmt, "JHMT_vs_GFP", jhmt_samples)
miox_plots <- visualize_data(miox, "MIOX_vs_GFP", miox_samples)
unch_plots <- visualize_data(unch, "UNCH_vs_GFP", unch_samples)

hex1_plots$volcano; hex1_plots$heatmap

Version Author Date
b540a1e Maeva TECHER 2025-02-27
d7fa779 Maeva TECHER 2025-02-14

Version Author Date
b540a1e Maeva TECHER 2025-02-27
d7fa779 Maeva TECHER 2025-02-14
hex2_plots$volcano; hex2_plots$heatmap

Version Author Date
b540a1e Maeva TECHER 2025-02-27
d7fa779 Maeva TECHER 2025-02-14

Version Author Date
b540a1e Maeva TECHER 2025-02-27
d7fa779 Maeva TECHER 2025-02-14
jhmt_plots$volcano; jhmt_plots$heatmap

Version Author Date
d7fa779 Maeva TECHER 2025-02-14

Version Author Date
b540a1e Maeva TECHER 2025-02-27
d7fa779 Maeva TECHER 2025-02-14
miox_plots$volcano; miox_plots$heatmap

Version Author Date
d7fa779 Maeva TECHER 2025-02-14

Version Author Date
b540a1e Maeva TECHER 2025-02-27
d7fa779 Maeva TECHER 2025-02-14
unch_plots$volcano; unch_plots$heatmap

Version Author Date
d7fa779 Maeva TECHER 2025-02-14

Version Author Date
b540a1e Maeva TECHER 2025-02-27
d7fa779 Maeva TECHER 2025-02-14

DEG tables

The following tables show the genes differentially expressed with at least an absolute log2fold change of > 1 considering head tissue only. Considering GFP as the reference state, upregulated genes in knockdown treatment in red and downregulated genes in knockdown treatment in blue. You can search for a gene of interest by writting a LOCID or description in the search bar or sort by column.

# Generate tables for each contrast
table_hex1 <- generate_deg_table(ddssva, "Gene_HEX1_vs_GFP", allspecies_df)

out of 15915 with nonzero total read count
adjusted p-value < 0.05
LFC > 0 (up)       : 430, 2.7%
LFC < 0 (down)     : 557, 3.5%
outliers [1]       : 0, 0%
low counts [2]     : 1852, 12%
(mean count < 17)
[1] see 'cooksCutoff' argument of ?results
[2] see 'independentFiltering' argument of ?results
Total DEGs p-value < 0.05 and absolute logFoldChange > 1: 121
LFC > 1 (up)       : 57 (47.11%)
LFC < -1 (down)     : 64 (52.89%)
table_hex1$kable_table
table_hex2 <- generate_deg_table(ddssva, "Gene_HEX2_vs_GFP", allspecies_df)

out of 15915 with nonzero total read count
adjusted p-value < 0.05
LFC > 0 (up)       : 143, 0.9%
LFC < 0 (down)     : 370, 2.3%
outliers [1]       : 0, 0%
low counts [2]     : 4011, 25%
(mean count < 50)
[1] see 'cooksCutoff' argument of ?results
[2] see 'independentFiltering' argument of ?results
Total DEGs p-value < 0.05 and absolute logFoldChange > 1: 62
LFC > 1 (up)       : 25 (40.32%)
LFC < -1 (down)     : 37 (59.68%)
table_hex2$kable_table
table_jhmt <- generate_deg_table(ddssva, "Gene_JHMT_vs_GFP", allspecies_df)

out of 15915 with nonzero total read count
adjusted p-value < 0.05
LFC > 0 (up)       : 79, 0.5%
LFC < 0 (down)     : 104, 0.65%
outliers [1]       : 0, 0%
low counts [2]     : 1543, 9.7%
(mean count < 14)
[1] see 'cooksCutoff' argument of ?results
[2] see 'independentFiltering' argument of ?results
Total DEGs p-value < 0.05 and absolute logFoldChange > 1: 42
LFC > 1 (up)       : 30 (71.43%)
LFC < -1 (down)     : 12 (28.57%)
table_jhmt$kable_table
table_miox <- generate_deg_table(ddssva, "Gene_MIOX_vs_GFP", allspecies_df)

out of 15915 with nonzero total read count
adjusted p-value < 0.05
LFC > 0 (up)       : 60, 0.38%
LFC < 0 (down)     : 123, 0.77%
outliers [1]       : 0, 0%
low counts [2]     : 1235, 7.8%
(mean count < 12)
[1] see 'cooksCutoff' argument of ?results
[2] see 'independentFiltering' argument of ?results
Total DEGs p-value < 0.05 and absolute logFoldChange > 1: 47
LFC > 1 (up)       : 24 (51.06%)
LFC < -1 (down)     : 23 (48.94%)
table_miox$kable_table
table_unch <- generate_deg_table(ddssva, "Gene_UNCH_vs_GFP", allspecies_df)

out of 15915 with nonzero total read count
adjusted p-value < 0.05
LFC > 0 (up)       : 1461, 9.2%
LFC < 0 (down)     : 2252, 14%
outliers [1]       : 0, 0%
low counts [2]     : 0, 0%
(mean count < 3)
[1] see 'cooksCutoff' argument of ?results
[2] see 'independentFiltering' argument of ?results
Total DEGs p-value < 0.05 and absolute logFoldChange > 1: 416
LFC > 1 (up)       : 172 (41.35%)
LFC < -1 (down)     : 244 (58.65%)
table_unch$kable_table

Summary and Overlap

# Summarize DEGs for all contrasts
deg_summary <- bind_rows(
  summarize_deg_counts(table_hex1, "HEX1 vs GFP"),
  summarize_deg_counts(table_hex2, "HEX2 vs GFP"),
  summarize_deg_counts(table_jhmt, "JHMT vs GFP"),
  summarize_deg_counts(table_miox, "MIOX vs GFP"),
  summarize_deg_counts(table_unch, "UNCH vs GFP")
)

# Display table using kable with styling
deg_summary %>%
  kable("html", escape = FALSE, col.names = gsub("_", " ", names(.))) %>%
  kable_styling("striped", full_width = TRUE) %>%
  column_spec(2, color = "red", bold = TRUE) %>%  # Upregulated in red
  column_spec(3, color = "blue", bold = TRUE) %>% # Downregulated in blue
  add_header_above(c("Summary of DEGs" = 3)) %>%
  row_spec(0, bold = TRUE)
Summary of DEGs
Contrast Upregulated Downregulated
HEX1 vs GFP 57 62
HEX2 vs GFP 22 36
JHMT vs GFP 26 11
MIOX vs GFP 23 21
UNCH vs GFP 158 239
# Define the list of RNAi contrasts
contrast_list <- c("HEX1_vs_GFP", "HEX2_vs_GFP", "JHMT_vs_GFP", 
                   "MIOX_vs_GFP", "UNCH_vs_GFP")

# Initialize empty lists for storing Head-specific DEGs for each contrast
venn_data_up <- list()
venn_data_down <- list()
venn_data_all <- list()

# Function to load Head-specific DEGs for a given set of contrasts
load_deg_contrasts_head <- function(contrast_list) {
  degs_up <- list()
  degs_down <- list()
  degs_all <- list()
  
  for (contrast in contrast_list) {
    deg_file <- file.path(workDir, "DEG_results/RNAi/Head/", contrast, paste0("DEG_sigresults_", contrast, ".csv"))
    
    if (!file.exists(deg_file)) {
      message(paste("File missing for contrast:", contrast))
      next  # Skip if the file doesn't exist
    }
    
    deg_data <- read.csv(deg_file, stringsAsFactors = FALSE)
    
    # Convert row names to a column if necessary
       if ("X" %in% colnames(deg_data)) {
    colnames(deg_data)[colnames(deg_data) == "X"] <- "GeneID"
    }

        # Check if data is empty
        if (nrow(deg_data) == 0) {
            message(paste("No data for contrast:", contrast))
            next
        }
    
    # Select significant DEGs (Up, Down, All)
    degs_up[[contrast]] <- deg_data %>%
      filter(padj < 0.05 & log2FoldChange >= 1) %>%
      pull(GeneID)  # Extract GeneID column
    
    degs_down[[contrast]] <- deg_data %>%
      filter(padj < 0.05 & log2FoldChange <= -1) %>%
      pull(GeneID)  # Extract GeneID column
    
    degs_all[[contrast]] <- deg_data %>%
      filter(padj < 0.05 & abs(log2FoldChange) >= 1) %>%
      pull(GeneID)  # Extract GeneID column
  }
  
  return(list(up = degs_up, down = degs_down, all = degs_all))
}

# Load DEG data for the defined contrasts (Head tissue only)
venn_data_contrasts <- load_deg_contrasts_head(contrast_list)

# Prepare the data for the Venn diagrams
venn_data_up <- venn_data_contrasts$up
venn_data_down <- venn_data_contrasts$down
venn_data_all <- venn_data_contrasts$all

# Function to display Venn diagram and corresponding datatable
display_venn_with_datatable <- function(venn_data, title, allspecies_df) {
  # Calculate the overlapping genes
  overlap_genes <- Reduce(intersect, venn_data)
  
  # Create a data frame for the overlapping genes
  overlap_df <- data.frame(GeneID = overlap_genes)
  
  # Merge to get species information
  meta_brock_df <- merge(overlap_df, allspecies_df, by = "GeneID", all.x = TRUE)
  
  # Generate the Venn diagram
  venn_plot <- venn.diagram(
    x = venn_data, 
    category.names = contrast_list, 
    filename = NULL, 
    output = TRUE, 
    fill = c("orange", "red", "blue", "purple", "green"),  # Adjust colors for contrasts
    alpha = 0.5, 
    cex = 2, 
    cat.cex = 0, 
    main = title,
    main.cex = 1.2
  )

  # Clear the plotting area before drawing
  grid.newpage()
  grid.draw(venn_plot)

  # Create a custom legend
  legend_labels <- contrast_list
  legend_colors <- c("orange", "red", "blue", "purple", "green")

  # Positioning the legend
  legend_x <- unit(0.85, "npc")  # Adjust x position
  legend_y <- unit(0.2, "npc")   # Adjust y position

  # Draw the legend
  for (i in 1:length(legend_labels)) {
    grid.rect(x = legend_x, y = legend_y - unit((i - 1) * 0.05, "npc"), 
              width = unit(0.02, "npc"), height = unit(0.02, "npc"), 
              gp = gpar(fill = legend_colors[i], col = NA))
    grid.text(label = legend_labels[i], x = legend_x + unit(0.05, "npc"), 
              y = legend_y - unit((i - 1) * 0.05, "npc"), 
              just = "left", gp = gpar(cex = 0.8))
  }  

  # Display the merged overlapping genes table with datatable
  datatable(meta_brock_df, options = list(
      pageLength = 10,
      scrollX = TRUE,
      autoWidth = TRUE,
      searchHighlight = TRUE
  ),
  rownames = FALSE,
  escape = FALSE
  ) %>%
  formatStyle(
      'Species', target = 'cell',
      fontStyle = 'italic'
  ) %>%
  formatStyle(
      columns = names(meta_brock_df), 
      target = 'row',
      color = styleEqual(c("red", "blue", "black"), c("red", "blue", "black")),
      fontWeight = styleEqual(c("bold", "normal"), c("bold", "normal")),
      backgroundColor = styleEqual(c("red", "blue", "black"), c("white", "white", "white"))
  )
}

# Display the Venn diagram and datatable for **Head Upregulated DEGs** across contrasts
display_venn_with_datatable(venn_data_up, "Venn Diagram of Head Upregulated DEGs - RNAi Contrasts", allspecies_df)

Version Author Date
b540a1e Maeva TECHER 2025-02-27
# Display the Venn diagram and datatable for **Head Downregulated DEGs** across contrasts
display_venn_with_datatable(venn_data_down, "Venn Diagram of Head Downregulated DEGs - RNAi Contrasts", allspecies_df)

Version Author Date
b540a1e Maeva TECHER 2025-02-27
# Display the Venn diagram and datatable for **All Significant DEGs in Head Tissue**
display_venn_with_datatable(venn_data_all, "Venn Diagram of All Significant DEGs in Head Tissue - RNAi Contrasts", allspecies_df)

Version Author Date
b540a1e Maeva TECHER 2025-02-27

GO and KEGG enrichment

#enrich_data(hex1, "Hex1_vs_GFP", hex1_samples)
#enrich_data(hex2, "Hex2_vs_GFP", hex2_samples)
#enrich_data(jhmt, "JHMT_vs_GFP", jhmt_samples)
#enrich_data(miox, "MIOX_vs_GFP", miox_samples)
#enrich_data(unch, "UNCH_vs_GFP", unch_samples)

Thorax tissue

Minor changes here are made compared to the DESeq2 results regarding the importation of samples to transform into a matrix. Sample names are structured as follow: {Sg}{gene}{#} {Sg} = Schistocerca gregaria {gene} = gene abbreviation gfp, hex1, hex2, jhmt, miox and unch T{#} = biological replicate

saveDir <- paste0(workDir,"/DEG_results/RNAi/Thorax")
dir.create(saveDir)
### Prepare Sample CSV file #####
samples <- read.delim(file.path(workDir, "list/RNAi/Thorax_RNAisample_list.csv"), sep = ",", row.names = 1, header = TRUE)
files <- file.path(workDir, "readcounts/RNAi/", samples$Tissue, samples$Filename)
names(files) <- row.names(samples)
if (all(file.exists(files))) {
  message("All the files exist!")
} else {
  warning("Some files are missing!")
}
All the files exist!
### Create count sample matrix
cts <- map_dfc(files, function(sample) {
  data_count <- read.delim(sample, sep = "\t", header = FALSE)
  col_name <- gsub("_counts.txt", "", basename(sample)) 
  setNames(data.frame(data_count[, 2]), col_name)
})

row_get <- read.delim(files[1], sep = "\t", row.names = 1, header = F) # Get proper row names
rownames(cts) <- rownames(row_get)
rm(row_get) # remove unused object from memory

While for bulk RNAseq on head and thorax for all species, the DEGs model was made between isolated and crowded individuals (with isolated as the reference state), here, the DEG analysis will be carried between GFP knock-down nymphs (as reference state) vs Hexamerins / Juvenile Hormones / Uncharacterized proteins.

### Build DESeq2 Object
dds <- DESeqDataSetFromMatrix(countData = cts,
                              colData = samples,
                              design = ~ Gene)
dds$Gene <- relevel(dds$Gene, ref = "GFP")

smallestGroupSize <- 5
keep <- rowSums(counts(dds) >= 10) >= smallestGroupSize
dds <- dds[keep,]

dds <- DESeq(dds)

Normalization and PCA

# Plot PCA and investigate quality metrics
vsd <- vst(dds, blind=T)

pca_results <- create_pca_plots(norm.dds = vsd, saveDir, transformation = "vst", intgroup = "Gene")
pca_results$PCA_Labelled

Version Author Date
d7fa779 Maeva TECHER 2025-02-14
3746422 Maeva TECHER 2025-02-12
pca_results$PCA_Hull

Version Author Date
d7fa779 Maeva TECHER 2025-02-14
3746422 Maeva TECHER 2025-02-12

SVA

### SVA analysis to control for technical variation 
dat  <- counts(dds, normalized = TRUE)
idx  <- rowMeans(dat) > 1
dat  <- dat[idx, ]
mod  <- model.matrix(~ Gene, colData(dds))
mod0 <- model.matrix(~ 1, colData(dds))
svseq <- svaseq(dat, mod, mod0)
Number of significant surrogate variables is:  4 
Iteration (out of 5 ):1  2  3  4  5  
sva_plots <- create_sva_plots(svseq, dds, saveDir, intgroup = c("Tissue", "Gene"))

# Show stripcharts in the report
sva_plots$Stripcharts[[1]]  # Show first stripchart

Version Author Date
d7fa779 Maeva TECHER 2025-02-14
3746422 Maeva TECHER 2025-02-12
sva_plots$Stripcharts[[2]]  # Show second stripchart

Version Author Date
d7fa779 Maeva TECHER 2025-02-14
3746422 Maeva TECHER 2025-02-12
sva_plots$Stripcharts[[3]]  # Show third stripchart

Version Author Date
d7fa779 Maeva TECHER 2025-02-14
# Show scatter plots in the report
sva_plots$ScatterPlots[["1_2"]]  # Show SV1 vs SV2

Version Author Date
d7fa779 Maeva TECHER 2025-02-14
sva_plots$ScatterPlots[["1_3"]]  # Show SV1 vs SV3

Version Author Date
d7fa779 Maeva TECHER 2025-02-14
sva_plots$ScatterPlots[["2_3"]]  # Show SV2 vs SV3

Version Author Date
d7fa779 Maeva TECHER 2025-02-14

We rerun the DESeq2 model but this time including the surrogate variable as a covariate, as we know that the modeled variation is more likely explained by tissue and gene variation rather than batch effects.

ddssva <- dds
ddssva$SV1 <- svseq$sv[,1]
ddssva$SV2 <- svseq$sv[,2]
ddssva$SV3 <- svseq$sv[,3]
design(ddssva) <- ~ SV1 + SV2 + SV3 + Gene
ddssva$Gene <- relevel(ddssva$Gene, ref = "GFP")

smallestGroupSize <- 5
keep <- rowSums(counts(ddssva) >= 10) >= smallestGroupSize
ddssva <- ddssva[keep,]

ddssva <- DESeq(ddssva)

ddssva <- ddssva[which(mcols(ddssva)$betaConv),] # remove non converging rows

### Extract results
message("Available contrasts are: ", paste(resultsNames(ddssva), collapse = ", "))

hex1 <- results(ddssva, name = "Gene_HEX1_vs_GFP", alpha = 0.05)
hex2 <- results(ddssva, name = "Gene_HEX2_vs_GFP", alpha = 0.05)
jhmt <- results(ddssva, name = "Gene_JHMT_vs_GFP", alpha = 0.05)
miox <- results(ddssva, name = "Gene_MIOX_vs_GFP", alpha = 0.05)
unch <- results(ddssva, name = "Gene_UNCH_vs_GFP", alpha = 0.05)

Volcano plots and Heatmaps

First we create function to generate the plots we are interested to obtain and then run the whole pipeline for each gene.

# Define contrast_sets
hex1_samples <- c("SggfpT1","SggfpT2","SggfpT3","SggfpT4","SggfpT5",
                  "Sghex1T1","Sghex1T2","Sghex1T3","Sghex1T4","Sghex1T5")
hex2_samples <- c("SggfpT1","SggfpT2","SggfpT3","SggfpT4","SggfpT5",
                  "Sghex2T1","Sghex2T2","Sghex2T3","Sghex2T4","Sghex2T5")
jhmt_samples <- c("SggfpT1","SggfpT2","SggfpT3","SggfpT4","SggfpT5",
                  "SgjhmtT1","SgjhmtT2","SgjhmtT3","SgjhmtT4","SgjhmtT5")
miox_samples <- c("SggfpT1","SggfpT2","SggfpT3","SggfpT4","SggfpT5",
                  "SgmioxT1","SgmioxT2","SgmioxT3","SgmioxT4","SgmioxT5")
unch_samples <- c("SggfpT1","SggfpT2","SggfpT3","SggfpT4","SggfpT5",
                  "SgunchT1","SgunchT2","SgunchT3","SgunchT4","SgunchT5")

# Run full analysis
hex1_plots <- visualize_data(hex1, "HEX1_vs_GFP", hex1_samples)
hex2_plots <- visualize_data(hex2, "HEX2_vs_GFP", hex2_samples)
jhmt_plots <- visualize_data(jhmt, "JHMT_vs_GFP", jhmt_samples)
miox_plots <- visualize_data(miox, "MIOX_vs_GFP", miox_samples)
unch_plots <- visualize_data(unch, "UNCH_vs_GFP", unch_samples)

hex1_plots$volcano; hex1_plots$heatmap

Version Author Date
b540a1e Maeva TECHER 2025-02-27
d7fa779 Maeva TECHER 2025-02-14

Version Author Date
b540a1e Maeva TECHER 2025-02-27
d7fa779 Maeva TECHER 2025-02-14
hex2_plots$volcano; hex2_plots$heatmap

Version Author Date
b540a1e Maeva TECHER 2025-02-27
d7fa779 Maeva TECHER 2025-02-14

Version Author Date
b540a1e Maeva TECHER 2025-02-27
d7fa779 Maeva TECHER 2025-02-14
jhmt_plots$volcano; jhmt_plots$heatmap

Version Author Date
d7fa779 Maeva TECHER 2025-02-14

Version Author Date
b540a1e Maeva TECHER 2025-02-27
d7fa779 Maeva TECHER 2025-02-14
miox_plots$volcano; miox_plots$heatmap

Version Author Date
d7fa779 Maeva TECHER 2025-02-14

Version Author Date
b540a1e Maeva TECHER 2025-02-27
d7fa779 Maeva TECHER 2025-02-14
unch_plots$volcano; unch_plots$heatmap

Version Author Date
d7fa779 Maeva TECHER 2025-02-14

Version Author Date
b540a1e Maeva TECHER 2025-02-27
d7fa779 Maeva TECHER 2025-02-14

DEG tables

The following tables show the genes differentially expressed with at least an absolute log2fold change of > 1 considering thorax tissue only. Considering GFP as the reference state, upregulated genes in knockdown treatment in red and downregulated genes in knockdown treatment in blue. You can search for a gene of interest by writting a LOCID or description in the search bar or sort by column.

# Generate tables for each contrast
table_hex1 <- generate_deg_table(ddssva, "Gene_HEX1_vs_GFP", allspecies_df)

out of 15462 with nonzero total read count
adjusted p-value < 0.05
LFC > 0 (up)       : 436, 2.8%
LFC < 0 (down)     : 598, 3.9%
outliers [1]       : 0, 0%
low counts [2]     : 2998, 19%
(mean count < 27)
[1] see 'cooksCutoff' argument of ?results
[2] see 'independentFiltering' argument of ?results
Total DEGs p-value < 0.05 and absolute logFoldChange > 1: 93
LFC > 1 (up)       : 54 (58.06%)
LFC < -1 (down)     : 39 (41.94%)
table_hex1$kable_table
table_hex2 <- generate_deg_table(ddssva, "Gene_HEX2_vs_GFP", allspecies_df)

out of 15462 with nonzero total read count
adjusted p-value < 0.05
LFC > 0 (up)       : 224, 1.4%
LFC < 0 (down)     : 149, 0.96%
outliers [1]       : 0, 0%
low counts [2]     : 2399, 16%
(mean count < 21)
[1] see 'cooksCutoff' argument of ?results
[2] see 'independentFiltering' argument of ?results
Total DEGs p-value < 0.05 and absolute logFoldChange > 1: 43
LFC > 1 (up)       : 25 (58.14%)
LFC < -1 (down)     : 18 (41.86%)
table_hex2$kable_table
table_jhmt <- generate_deg_table(ddssva, "Gene_JHMT_vs_GFP", allspecies_df)

out of 15462 with nonzero total read count
adjusted p-value < 0.05
LFC > 0 (up)       : 40, 0.26%
LFC < 0 (down)     : 40, 0.26%
outliers [1]       : 0, 0%
low counts [2]     : 3298, 21%
(mean count < 31)
[1] see 'cooksCutoff' argument of ?results
[2] see 'independentFiltering' argument of ?results
Total DEGs p-value < 0.05 and absolute logFoldChange > 1: 22
LFC > 1 (up)       : 14 (63.64%)
LFC < -1 (down)     : 8 (36.36%)
table_jhmt$kable_table
table_miox <- generate_deg_table(ddssva, "Gene_MIOX_vs_GFP", allspecies_df)

out of 15462 with nonzero total read count
adjusted p-value < 0.05
LFC > 0 (up)       : 226, 1.5%
LFC < 0 (down)     : 230, 1.5%
outliers [1]       : 0, 0%
low counts [2]     : 2998, 19%
(mean count < 27)
[1] see 'cooksCutoff' argument of ?results
[2] see 'independentFiltering' argument of ?results
Total DEGs p-value < 0.05 and absolute logFoldChange > 1: 96
LFC > 1 (up)       : 69 (71.88%)
LFC < -1 (down)     : 27 (28.12%)
table_miox$kable_table
table_unch <- generate_deg_table(ddssva, "Gene_UNCH_vs_GFP", allspecies_df)

out of 15462 with nonzero total read count
adjusted p-value < 0.05
LFC > 0 (up)       : 256, 1.7%
LFC < 0 (down)     : 251, 1.6%
outliers [1]       : 0, 0%
low counts [2]     : 1499, 9.7%
(mean count < 13)
[1] see 'cooksCutoff' argument of ?results
[2] see 'independentFiltering' argument of ?results
Total DEGs p-value < 0.05 and absolute logFoldChange > 1: 113
LFC > 1 (up)       : 67 (59.29%)
LFC < -1 (down)     : 46 (40.71%)
table_unch$kable_table

Summary and Overlap

# Summarize DEGs for all contrasts
deg_summary <- bind_rows(
  summarize_deg_counts(table_hex1, "HEX1 vs GFP"),
  summarize_deg_counts(table_hex2, "HEX2 vs GFP"),
  summarize_deg_counts(table_jhmt, "JHMT vs GFP"),
  summarize_deg_counts(table_miox, "MIOX vs GFP"),
  summarize_deg_counts(table_unch, "UNCH vs GFP")
)

# Display table using kable with styling
deg_summary %>%
  kable("html", escape = FALSE, col.names = gsub("_", " ", names(.))) %>%
  kable_styling("striped", full_width = TRUE) %>%
  column_spec(2, color = "red", bold = TRUE) %>%  # Upregulated in red
  column_spec(3, color = "blue", bold = TRUE) %>% # Downregulated in blue
  add_header_above(c("Summary of DEGs" = 3)) %>%
  row_spec(0, bold = TRUE)
Summary of DEGs
Contrast Upregulated Downregulated
HEX1 vs GFP 50 36
HEX2 vs GFP 20 17
JHMT vs GFP 14 8
MIOX vs GFP 65 24
UNCH vs GFP 63 43
# Define the list of RNAi contrasts
contrast_list <- c("HEX1_vs_GFP", "HEX2_vs_GFP", "JHMT_vs_GFP", 
                   "MIOX_vs_GFP", "UNCH_vs_GFP")

# Initialize empty lists for storing Head-specific DEGs for each contrast
venn_data_up <- list()
venn_data_down <- list()
venn_data_all <- list()

# Function to load Head-specific DEGs for a given set of contrasts
load_deg_contrasts_head <- function(contrast_list) {
  degs_up <- list()
  degs_down <- list()
  degs_all <- list()
  
  for (contrast in contrast_list) {
    deg_file <- file.path(workDir, "DEG_results/RNAi/Thorax/", contrast, paste0("DEG_sigresults_", contrast, ".csv"))
    
    if (!file.exists(deg_file)) {
      message(paste("File missing for contrast:", contrast))
      next  # Skip if the file doesn't exist
    }
    
    deg_data <- read.csv(deg_file, stringsAsFactors = FALSE)
    
    # Convert row names to a column if necessary
       if ("X" %in% colnames(deg_data)) {
    colnames(deg_data)[colnames(deg_data) == "X"] <- "GeneID"
    }

        # Check if data is empty
        if (nrow(deg_data) == 0) {
            message(paste("No data for contrast:", contrast))
            next
        }
    
    # Select significant DEGs (Up, Down, All)
    degs_up[[contrast]] <- deg_data %>%
      filter(padj < 0.05 & log2FoldChange >= 1) %>%
      pull(GeneID)  # Extract GeneID column
    
    degs_down[[contrast]] <- deg_data %>%
      filter(padj < 0.05 & log2FoldChange <= -1) %>%
      pull(GeneID)  # Extract GeneID column
    
    degs_all[[contrast]] <- deg_data %>%
      filter(padj < 0.05 & abs(log2FoldChange) >= 1) %>%
      pull(GeneID)  # Extract GeneID column
  }
  
  return(list(up = degs_up, down = degs_down, all = degs_all))
}

# Load DEG data for the defined contrasts (Head tissue only)
venn_data_contrasts <- load_deg_contrasts_head(contrast_list)

# Prepare the data for the Venn diagrams
venn_data_up <- venn_data_contrasts$up
venn_data_down <- venn_data_contrasts$down
venn_data_all <- venn_data_contrasts$all

# Function to display Venn diagram and corresponding datatable
display_venn_with_datatable <- function(venn_data, title, allspecies_df) {
  # Calculate the overlapping genes
  overlap_genes <- Reduce(intersect, venn_data)
  
  # Create a data frame for the overlapping genes
  overlap_df <- data.frame(GeneID = overlap_genes)
  
  # Merge to get species information
  meta_brock_df <- merge(overlap_df, allspecies_df, by = "GeneID", all.x = TRUE)
  
  # Generate the Venn diagram
  venn_plot <- venn.diagram(
    x = venn_data, 
    category.names = contrast_list, 
    filename = NULL, 
    output = TRUE, 
    fill = c("orange", "red", "blue", "purple", "green"),  # Adjust colors for contrasts
    alpha = 0.5, 
    cex = 2, 
    cat.cex = 0, 
    main = title,
    main.cex = 1.2
  )

  # Clear the plotting area before drawing
  grid.newpage()
  grid.draw(venn_plot)

  # Create a custom legend
  legend_labels <- contrast_list
  legend_colors <- c("orange", "red", "blue", "purple", "green")

  # Positioning the legend
  legend_x <- unit(0.85, "npc")  # Adjust x position
  legend_y <- unit(0.2, "npc")   # Adjust y position

  # Draw the legend
  for (i in 1:length(legend_labels)) {
    grid.rect(x = legend_x, y = legend_y - unit((i - 1) * 0.05, "npc"), 
              width = unit(0.02, "npc"), height = unit(0.02, "npc"), 
              gp = gpar(fill = legend_colors[i], col = NA))
    grid.text(label = legend_labels[i], x = legend_x + unit(0.05, "npc"), 
              y = legend_y - unit((i - 1) * 0.05, "npc"), 
              just = "left", gp = gpar(cex = 0.8))
  }  

  # Display the merged overlapping genes table with datatable
  datatable(meta_brock_df, options = list(
      pageLength = 10,
      scrollX = TRUE,
      autoWidth = TRUE,
      searchHighlight = TRUE
  ),
  rownames = FALSE,
  escape = FALSE
  ) %>%
  formatStyle(
      'Species', target = 'cell',
      fontStyle = 'italic'
  ) %>%
  formatStyle(
      columns = names(meta_brock_df), 
      target = 'row',
      color = styleEqual(c("red", "blue", "black"), c("red", "blue", "black")),
      fontWeight = styleEqual(c("bold", "normal"), c("bold", "normal")),
      backgroundColor = styleEqual(c("red", "blue", "black"), c("white", "white", "white"))
  )
}

# Display the Venn diagram and datatable for **Head Upregulated DEGs** across contrasts
display_venn_with_datatable(venn_data_up, "Venn Diagram of Head Upregulated DEGs - RNAi Contrasts", allspecies_df)

Version Author Date
b540a1e Maeva TECHER 2025-02-27
# Display the Venn diagram and datatable for **Head Downregulated DEGs** across contrasts
display_venn_with_datatable(venn_data_down, "Venn Diagram of Head Downregulated DEGs - RNAi Contrasts", allspecies_df)

Version Author Date
3e696d6 Maeva TECHER 2025-06-05
b540a1e Maeva TECHER 2025-02-27
# Display the Venn diagram and datatable for **All Significant DEGs in Head Tissue**
display_venn_with_datatable(venn_data_all, "Venn Diagram of All Significant DEGs in Head Tissue - RNAi Contrasts", allspecies_df)

Version Author Date
b540a1e Maeva TECHER 2025-02-27

GO and KEGG enrichment

#enrich_data(hex1, "Hex1_vs_GFP", hex1_samples)
#enrich_data(hex2, "Hex2_vs_GFP", hex2_samples)
#enrich_data(jhmt, "JHMT_vs_GFP", jhmt_samples)
#enrich_data(miox, "MIOX_vs_GFP", miox_samples)
#enrich_data(unch, "UNCH_vs_GFP", unch_samples)

Excluding rRNA

All tissue together

Minor changes here are made compared to the DESeq2 results regarding the importation of samples to transform into a matrix.

Sample names are structured as follow: {Sg}{gene}{#} {Sg} = Schistocerca gregaria {gene} = gene abbreviation gfp, hex1, hex2, jhmt, miox and unch H/T{#} = biological replicate

saveDir <- paste0(workDir,"/DEG_results/RNAi/All_no_rRNA")
dir.create(saveDir)
### Prepare Sample CSV file #####
samples <- read.delim(file.path(workDir, "list/RNAi/All_RNAisample_list.csv"), sep = ",", row.names = 1, header = TRUE)
files <- file.path(workDir, "readcounts/RNAi/", samples$Tissue, samples$Filename)
names(files) <- row.names(samples)
if (all(file.exists(files))) {
  message("All the files exist!")
} else {
  warning("Some files are missing!")
}
All the files exist!
### Create count sample matrix
cts <- map_dfc(files, function(sample) {
  data_count <- read.delim(sample, sep = "\t", header = FALSE)
  col_name <- gsub("_counts.txt", "", basename(sample)) 
  setNames(data.frame(data_count[, 2]), col_name)
})

row_get <- read.delim(files[1], sep = "\t", row.names = 1, header = F) # Get proper row names
rownames(cts) <- rownames(row_get)
rm(row_get) # remove unused object from memory

While for bulk RNAseq on head and thorax for all species, the DEGs model was made between isolated and crowded individuals (with isolated as the reference state), here, the DEG analysis will be carried between GFP knock-down nymphs (as reference state) vs Hexamerins / Juvenile Hormones / Inositol / Uncharacterized proteins.

### Build DESeq2 Object
dds <- DESeqDataSetFromMatrix(countData = cts,
                              colData = samples,
                              design = ~ Gene)
dds$Gene <- relevel(dds$Gene, ref = "GFP")

smallestGroupSize <- 5
keep <- rowSums(counts(dds) >= 10) >= smallestGroupSize
dds <- dds[keep,]

loci_to_exclude <- readLines(file.path(workDir, "list/excluded_loci/gregaria_rrna_list.txt"))
dds <- dds[!(rownames(dds) %in% loci_to_exclude), ]

dds <- DESeq(dds)

Normalization and PCA

# Plot PCA and investigate quality metrics
vsd <- vst(dds, blind = TRUE) 

# Perform PCA
pca_data <- plotPCA(vsd, intgroup = c("Tissue", "Gene"), returnData = TRUE)

# Define colors for genes (slightly transparent) and shapes for tissues
gene_colors <- scale_color_manual(values = alpha(brewer.pal(n = length(unique(pca_data$Gene)), name = "Set1"), 0.8))  # Points are transparent
tissue_shapes <- scale_shape_manual(values = seq(15, 15 + length(unique(pca_data$Tissue))))

# **PCA without labels**
p_pca_nolabel <- ggplot(pca_data, aes(x = PC1, y = PC2, color = Gene, shape = Tissue)) +
  geom_point(size = 4) +
  gene_colors + 
  tissue_shapes +
  theme_bw() +
  theme(legend.title = element_blank(),
        legend.text = element_text(face = "bold", size = 14),
        axis.text = element_text(size = 12),
        axis.title = element_text(size = 14)) +
  ggtitle("PCA of All Tissues (No Labels)", subtitle = "Tissues differentiated by shape, Genes by color")

# Save PCA without labels
ggsave(paste0(saveDir, "/PCA_Tissue_Gene_NoLabel.png"), plot = p_pca_nolabel, width = 10, height = 10, dpi = 600, device = "png")

# **PCA with labels**
p_pca_label <- ggplot(pca_data, aes(x = PC1, y = PC2, color = Gene, shape = Tissue)) +
  geom_point(size = 4) +
  geom_text_repel(aes(label = name), size = 4, color = "black", max.overlaps = 20) +  # Labels are fully visible
  gene_colors + 
  tissue_shapes +
  theme_bw() +
  theme(legend.title = element_blank(),
        legend.text = element_text(face = "bold", size = 14),
        axis.text = element_text(size = 12),
        axis.title = element_text(size = 14)) +
  ggtitle("PCA of All Tissues (With Labels)", subtitle = "Tissues differentiated by shape, Genes by color")

# Save PCA with labels
ggsave(paste0(saveDir, "/PCA_Tissue_Gene_Label.png"), plot = p_pca_label, width = 10, height = 10, dpi = 600, device = "png")

# **Return plots for knitr/RMarkdown**
list(NoLabel = p_pca_nolabel, WithLabel = p_pca_label)
$NoLabel

Version Author Date
d7fa779 Maeva TECHER 2025-02-14

$WithLabel

Version Author Date
d7fa779 Maeva TECHER 2025-02-14

The PCA plot shows clear distinction between tissue types, while gene silencing has a large variation within each tissue, and presents no distinct clear groupings for a single gene.

SVA

### SVA analysis to control for technical variation 
dat  <- counts(dds, normalized = TRUE)
idx  <- rowMeans(dat) > 1
dat  <- dat[idx, ]
mod  <- model.matrix(~ Gene, colData(dds))
mod0 <- model.matrix(~ 1, colData(dds))
svseq <- svaseq(dat, mod, mod0)
Number of significant surrogate variables is:  2 
Iteration (out of 5 ):1  2  3  4  5  
sva_plots <- create_sva_plots(svseq, dds, saveDir, intgroup = c("Tissue", "Gene"), max_sv = 5)

# Show stripcharts in the report
sva_plots$Stripcharts[[1]]  # Show first stripchart

Version Author Date
b540a1e Maeva TECHER 2025-02-27
d7fa779 Maeva TECHER 2025-02-14
sva_plots$Stripcharts[[2]]  # Show second stripchart

Version Author Date
b540a1e Maeva TECHER 2025-02-27
d7fa779 Maeva TECHER 2025-02-14
# Show scatter plots in the report
sva_plots$ScatterPlots[["1_2"]]  # Show SV1 vs SV2

Version Author Date
b540a1e Maeva TECHER 2025-02-27
d7fa779 Maeva TECHER 2025-02-14

SV1 is clearly showing an effect of tissue. We rerun the DESeq2 model but this time including the surrogate variable SV2 and SV3 as a covariates only, as we know that the modeled variation is more likely explained by tissue and gene variation rather than batch effects.

ddssva <- dds
ddssva$SV1 <- svseq$sv[,1]
ddssva$SV2 <- svseq$sv[,2]
design(ddssva) <- ~ SV2 + Gene
ddssva$Gene <- relevel(ddssva$Gene, ref = "GFP")

smallestGroupSize <- 5
keep <- rowSums(counts(ddssva) >= 10) >= smallestGroupSize
ddssva <- ddssva[keep,]

ddssva <- DESeq(ddssva)

ddssva <- ddssva[which(mcols(ddssva)$betaConv),] # remove non converging rows

### Extract results
message("Available contrasts are: ", paste(resultsNames(ddssva), collapse = ", "))


hex1 <- results(ddssva, name = "Gene_HEX1_vs_GFP", alpha = 0.05)
hex2 <- results(ddssva, name = "Gene_HEX2_vs_GFP", alpha = 0.05)
jhmt <- results(ddssva, name = "Gene_JHMT_vs_GFP", alpha = 0.05)
miox <- results(ddssva, name = "Gene_MIOX_vs_GFP", alpha = 0.05)
unch <- results(ddssva, name = "Gene_UNCH_vs_GFP", alpha = 0.05)

Volcano plots and Heatmaps

# Define contrast_sets
hex1_samples <- c("SggfpH1","SggfpH2","SggfpH3","SggfpH4","SggfpH5",
                  "Sghex1H1","Sghex1H2","Sghex1H3","Sghex1H4","Sghex1H5",
                  "SggfpT1","SggfpT2","SggfpT3","SggfpT4","SggfpT5",
                  "Sghex1T1","Sghex1T2","Sghex1T3","Sghex1T4","Sghex1T5")
hex2_samples <- c("SggfpH1","SggfpH2","SggfpH3","SggfpH4","SggfpH5",
                  "Sghex2H1","Sghex2H2","Sghex2H3","Sghex2H4","Sghex2H5",
                  "SggfpT1","SggfpT2","SggfpT3","SggfpT4","SggfpT5",
                  "Sghex2T1","Sghex2T2","Sghex2T3","Sghex2T4","Sghex2T5")
jhmt_samples <- c("SggfpH1","SggfpH2","SggfpH3","SggfpH4","SggfpH5",
                  "SgjhmtH1","SgjhmtH2","SgjhmtH3","SgjhmtH4","SgjhmtH5",
                  "SggfpT1","SggfpT2","SggfpT3","SggfpT4","SggfpT5",
                  "SgjhmtT1","SgjhmtT2","SgjhmtT3","SgjhmtT4","SgjhmtT5")
miox_samples <- c("SggfpH1","SggfpH2","SggfpH3","SggfpH4","SggfpH5",
                  "SgmioxH1","SgmioxH2","SgmioxH3","SgmioxH4","SgmioxH5",
                  "SggfpT1","SggfpT2","SggfpT3","SggfpT4","SggfpT5",
                  "SgmioxT1","SgmioxT2","SgmioxT3","SgmioxT4","SgmioxT5")
unch_samples <- c("SggfpH1","SggfpH2","SggfpH3","SggfpH4","SggfpH5",
                  "SgunchH1","SgunchH2","SgunchH3","SgunchH4","SgunchH5",
                  "SggfpT1","SggfpT2","SggfpT3","SggfpT4","SggfpT5",
                  "SgunchT1","SgunchT2","SgunchT3","SgunchT4","SgunchT5")

# Run full analysis
hex1_plots <- visualize_data(hex1, "HEX1_vs_GFP", hex1_samples)
hex2_plots <- visualize_data(hex2, "HEX2_vs_GFP", hex2_samples)
jhmt_plots <- visualize_data(jhmt, "JHMT_vs_GFP", jhmt_samples)
miox_plots <- visualize_data(miox, "MIOX_vs_GFP", miox_samples)
unch_plots <- visualize_data(unch, "UNCH_vs_GFP", unch_samples)

hex1_plots$volcano; hex1_plots$heatmap

Version Author Date
b540a1e Maeva TECHER 2025-02-27
d7fa779 Maeva TECHER 2025-02-14

Version Author Date
b540a1e Maeva TECHER 2025-02-27
d7fa779 Maeva TECHER 2025-02-14
hex2_plots$volcano; hex2_plots$heatmap

Version Author Date
b540a1e Maeva TECHER 2025-02-27
d7fa779 Maeva TECHER 2025-02-14

Version Author Date
3e696d6 Maeva TECHER 2025-06-05
b540a1e Maeva TECHER 2025-02-27
d7fa779 Maeva TECHER 2025-02-14
jhmt_plots$volcano; jhmt_plots$heatmap

Version Author Date
3e696d6 Maeva TECHER 2025-06-05
b540a1e Maeva TECHER 2025-02-27
d7fa779 Maeva TECHER 2025-02-14

Version Author Date
b540a1e Maeva TECHER 2025-02-27
d7fa779 Maeva TECHER 2025-02-14
miox_plots$volcano; miox_plots$heatmap

Version Author Date
b540a1e Maeva TECHER 2025-02-27
d7fa779 Maeva TECHER 2025-02-14

Version Author Date
b540a1e Maeva TECHER 2025-02-27
d7fa779 Maeva TECHER 2025-02-14
unch_plots$volcano; unch_plots$heatmap

Version Author Date
b540a1e Maeva TECHER 2025-02-27
d7fa779 Maeva TECHER 2025-02-14

Version Author Date
b540a1e Maeva TECHER 2025-02-27
d7fa779 Maeva TECHER 2025-02-14

DEG tables

The following tables show the genes differentially expressed with at least an absolute log2fold change of > 1 considering all tissues together. Considering GFP as the reference state, upregulated genes in knockdown treatment in red and downregulated genes in knockdown treatment in blue. You can search for a gene of interest by writting a LOCID or description in the search bar or sort by column.

# Generate tables for each contrast
table_hex1 <- generate_deg_table(ddssva, "Gene_HEX1_vs_GFP", allspecies_df)

out of 14890 with nonzero total read count
adjusted p-value < 0.05
LFC > 0 (up)       : 839, 5.6%
LFC < 0 (down)     : 950, 6.4%
outliers [1]       : 0, 0%
low counts [2]     : 0, 0%
(mean count < 2)
[1] see 'cooksCutoff' argument of ?results
[2] see 'independentFiltering' argument of ?results
Total DEGs p-value < 0.05 and absolute logFoldChange > 1: 157
LFC > 1 (up)       : 110 (70.06%)
LFC < -1 (down)     : 47 (29.94%)
table_hex1$kable_table
table_hex2 <- generate_deg_table(ddssva, "Gene_HEX2_vs_GFP", allspecies_df)

out of 14890 with nonzero total read count
adjusted p-value < 0.05
LFC > 0 (up)       : 201, 1.3%
LFC < 0 (down)     : 321, 2.2%
outliers [1]       : 0, 0%
low counts [2]     : 1444, 9.7%
(mean count < 13)
[1] see 'cooksCutoff' argument of ?results
[2] see 'independentFiltering' argument of ?results
Total DEGs p-value < 0.05 and absolute logFoldChange > 1: 45
LFC > 1 (up)       : 19 (42.22%)
LFC < -1 (down)     : 26 (57.78%)
table_hex2$kable_table
table_jhmt <- generate_deg_table(ddssva, "Gene_JHMT_vs_GFP", allspecies_df)

out of 14890 with nonzero total read count
adjusted p-value < 0.05
LFC > 0 (up)       : 266, 1.8%
LFC < 0 (down)     : 486, 3.3%
outliers [1]       : 0, 0%
low counts [2]     : 0, 0%
(mean count < 2)
[1] see 'cooksCutoff' argument of ?results
[2] see 'independentFiltering' argument of ?results
Total DEGs p-value < 0.05 and absolute logFoldChange > 1: 95
LFC > 1 (up)       : 44 (46.32%)
LFC < -1 (down)     : 51 (53.68%)
table_jhmt$kable_table
table_miox <- generate_deg_table(ddssva, "Gene_MIOX_vs_GFP", allspecies_df)

out of 14890 with nonzero total read count
adjusted p-value < 0.05
LFC > 0 (up)       : 111, 0.75%
LFC < 0 (down)     : 100, 0.67%
outliers [1]       : 0, 0%
low counts [2]     : 0, 0%
(mean count < 2)
[1] see 'cooksCutoff' argument of ?results
[2] see 'independentFiltering' argument of ?results
Total DEGs p-value < 0.05 and absolute logFoldChange > 1: 42
LFC > 1 (up)       : 23 (54.76%)
LFC < -1 (down)     : 19 (45.24%)
table_miox$kable_table
table_unch <- generate_deg_table(ddssva, "Gene_UNCH_vs_GFP", allspecies_df)

out of 14890 with nonzero total read count
adjusted p-value < 0.05
LFC > 0 (up)       : 172, 1.2%
LFC < 0 (down)     : 231, 1.6%
outliers [1]       : 0, 0%
low counts [2]     : 0, 0%
(mean count < 2)
[1] see 'cooksCutoff' argument of ?results
[2] see 'independentFiltering' argument of ?results
Total DEGs p-value < 0.05 and absolute logFoldChange > 1: 86
LFC > 1 (up)       : 53 (61.63%)
LFC < -1 (down)     : 33 (38.37%)
table_unch$kable_table

Summary and Overlap

# Summarize DEGs for all contrasts
deg_summary <- bind_rows(
  summarize_deg_counts(table_hex1, "HEX1 vs GFP"),
  summarize_deg_counts(table_hex2, "HEX2 vs GFP"),
  summarize_deg_counts(table_jhmt, "JHMT vs GFP"),
  summarize_deg_counts(table_miox, "MIOX vs GFP"),
  summarize_deg_counts(table_unch, "UNCH vs GFP")
)

# Display table using kable with styling
deg_summary %>%
  kable("html", escape = FALSE, col.names = gsub("_", " ", names(.))) %>%
  kable_styling("striped", full_width = TRUE) %>%
  column_spec(2, color = "red", bold = TRUE) %>%  # Upregulated in red
  column_spec(3, color = "blue", bold = TRUE) %>% # Downregulated in blue
  add_header_above(c("Summary of DEGs" = 3)) %>%
  row_spec(0, bold = TRUE)
Summary of DEGs
Contrast Upregulated Downregulated
HEX1 vs GFP 107 45
HEX2 vs GFP 17 26
JHMT vs GFP 43 50
MIOX vs GFP 23 18
UNCH vs GFP 50 33
# Define the list of RNAi contrasts
contrast_list <- c("HEX1_vs_GFP", "HEX2_vs_GFP", "JHMT_vs_GFP", 
                   "MIOX_vs_GFP", "UNCH_vs_GFP")

# Initialize empty lists for storing Head-specific DEGs for each contrast
venn_data_up <- list()
venn_data_down <- list()
venn_data_all <- list()

# Function to load Head-specific DEGs for a given set of contrasts
load_deg_contrasts_head <- function(contrast_list) {
  degs_up <- list()
  degs_down <- list()
  degs_all <- list()
  
  for (contrast in contrast_list) {
    deg_file <- file.path(workDir, "DEG_results/RNAi/All_no_rRNA/", contrast, paste0("DEG_sigresults_", contrast, ".csv"))
    
    if (!file.exists(deg_file)) {
      message(paste("File missing for contrast:", contrast))
      next  # Skip if the file doesn't exist
    }
    
    deg_data <- read.csv(deg_file, stringsAsFactors = FALSE)
    
    # Convert row names to a column if necessary
       if ("X" %in% colnames(deg_data)) {
    colnames(deg_data)[colnames(deg_data) == "X"] <- "GeneID"
    }

        # Check if data is empty
        if (nrow(deg_data) == 0) {
            message(paste("No data for contrast:", contrast))
            next
        }
    
    # Select significant DEGs (Up, Down, All)
    degs_up[[contrast]] <- deg_data %>%
      filter(padj < 0.05 & log2FoldChange >= 1) %>%
      pull(GeneID)  # Extract GeneID column
    
    degs_down[[contrast]] <- deg_data %>%
      filter(padj < 0.05 & log2FoldChange <= -1) %>%
      pull(GeneID)  # Extract GeneID column
    
    degs_all[[contrast]] <- deg_data %>%
      filter(padj < 0.05 & abs(log2FoldChange) >= 1) %>%
      pull(GeneID)  # Extract GeneID column
  }
  
  return(list(up = degs_up, down = degs_down, all = degs_all))
}

# Load DEG data for the defined contrasts (Head tissue only)
venn_data_contrasts <- load_deg_contrasts_head(contrast_list)

# Prepare the data for the Venn diagrams
venn_data_up <- venn_data_contrasts$up
venn_data_down <- venn_data_contrasts$down
venn_data_all <- venn_data_contrasts$all

# Function to display Venn diagram and corresponding datatable
display_venn_with_datatable <- function(venn_data, title, allspecies_df) {
  # Calculate the overlapping genes
  overlap_genes <- Reduce(intersect, venn_data)
  
  # Create a data frame for the overlapping genes
  overlap_df <- data.frame(GeneID = overlap_genes)
  
  # Merge to get species information
  meta_brock_df <- merge(overlap_df, allspecies_df, by = "GeneID", all.x = TRUE)
  
  # Generate the Venn diagram
  venn_plot <- venn.diagram(
    x = venn_data, 
    category.names = contrast_list, 
    filename = NULL, 
    output = TRUE, 
    fill = c("orange", "red", "blue", "purple", "green"),  # Adjust colors for contrasts
    alpha = 0.5, 
    cex = 2, 
    cat.cex = 0, 
    main = title,
    main.cex = 1.2
  )

  # Clear the plotting area before drawing
  grid.newpage()
  grid.draw(venn_plot)

  # Create a custom legend
  legend_labels <- contrast_list
  legend_colors <- c("orange", "red", "blue", "purple", "green")

  # Positioning the legend
  legend_x <- unit(0.85, "npc")  # Adjust x position
  legend_y <- unit(0.2, "npc")   # Adjust y position

  # Draw the legend
  for (i in 1:length(legend_labels)) {
    grid.rect(x = legend_x, y = legend_y - unit((i - 1) * 0.05, "npc"), 
              width = unit(0.02, "npc"), height = unit(0.02, "npc"), 
              gp = gpar(fill = legend_colors[i], col = NA))
    grid.text(label = legend_labels[i], x = legend_x + unit(0.05, "npc"), 
              y = legend_y - unit((i - 1) * 0.05, "npc"), 
              just = "left", gp = gpar(cex = 0.8))
  }  

  # Display the merged overlapping genes table with datatable
  datatable(meta_brock_df, options = list(
      pageLength = 10,
      scrollX = TRUE,
      autoWidth = TRUE,
      searchHighlight = TRUE
  ),
  rownames = FALSE,
  escape = FALSE
  ) %>%
  formatStyle(
      'Species', target = 'cell',
      fontStyle = 'italic'
  ) %>%
  formatStyle(
      columns = names(meta_brock_df), 
      target = 'row',
      color = styleEqual(c("red", "blue", "black"), c("red", "blue", "black")),
      fontWeight = styleEqual(c("bold", "normal"), c("bold", "normal")),
      backgroundColor = styleEqual(c("red", "blue", "black"), c("white", "white", "white"))
  )
}

# Display the Venn diagram and datatable for **Head Upregulated DEGs** across contrasts
display_venn_with_datatable(venn_data_up, "Venn Diagram of Head Upregulated DEGs - RNAi Contrasts", allspecies_df)

Version Author Date
b540a1e Maeva TECHER 2025-02-27
# Display the Venn diagram and datatable for **Head Downregulated DEGs** across contrasts
display_venn_with_datatable(venn_data_down, "Venn Diagram of Head Downregulated DEGs - RNAi Contrasts", allspecies_df)

Version Author Date
b540a1e Maeva TECHER 2025-02-27
# Display the Venn diagram and datatable for **All Significant DEGs in Head Tissue**
display_venn_with_datatable(venn_data_all, "Venn Diagram of All Significant DEGs in Head Tissue - RNAi Contrasts", allspecies_df)

Version Author Date
b540a1e Maeva TECHER 2025-02-27

Head tissue

Minor changes here are made compared to the DESeq2 results regarding the importation of samples to transform into a matrix. Sample names are structured as follow: {Sg}{gene}{#} {Sg} = Schistocerca gregaria {gene} = gene abbreviation gfp, hex1, hex2, jhmt, miox and unch H{#} = biological replicate

saveDir <- paste0(workDir,"/DEG_results/RNAi/Head_no_rRNA")
dir.create(saveDir)
### Prepare Sample CSV file #####
samples <- read.delim(file.path(workDir, "list/RNAi/Head_RNAisample_list.csv"), sep = ",", row.names = 1, header = TRUE)
files <- file.path(workDir, "readcounts/RNAi/", samples$Tissue, samples$Filename)
names(files) <- row.names(samples)
if (all(file.exists(files))) {
  message("All the files exist!")
} else {
  warning("Some files are missing!")
}
All the files exist!
### Create count sample matrix
cts <- map_dfc(files, function(sample) {
  data_count <- read.delim(sample, sep = "\t", header = FALSE)
  col_name <- gsub("_counts.txt", "", basename(sample)) 
  setNames(data.frame(data_count[, 2]), col_name)
})

row_get <- read.delim(files[1], sep = "\t", row.names = 1, header = F) # Get proper row names
rownames(cts) <- rownames(row_get)
rm(row_get) # remove unused object from memory

While for bulk RNAseq on head and thorax for all species, the DEGs model was made between isolated and crowded individuals (with isolated as the reference state), here, the DEG analysis will be carried between GFP knock-down nymphs (as reference state) vs Hexamerins / Juvenile Hormones / Uncharacterized proteins.

### Build DESeq2 Object
dds <- DESeqDataSetFromMatrix(countData = cts,
                              colData = samples,
                              design = ~ Gene)
dds$Gene <- relevel(dds$Gene, ref = "GFP")

smallestGroupSize <- 5
keep <- rowSums(counts(dds) >= 10) >= smallestGroupSize
dds <- dds[keep,]

loci_to_exclude <- readLines(file.path(workDir, "list/excluded_loci/gregaria_rrna_list.txt"))
dds <- dds[!(rownames(dds) %in% loci_to_exclude), ]

dds <- DESeq(dds)

Normalization and PCA

# Plot PCA and investigate quality metrics
vsd <- vst(dds, blind=T)

pca_results <- create_pca_plots(norm.dds = vsd, saveDir, transformation = "vst", intgroup = "Gene")
pca_results$PCA_Labelled

Version Author Date
b540a1e Maeva TECHER 2025-02-27
d7fa779 Maeva TECHER 2025-02-14
pca_results$PCA_Hull

Version Author Date
d7fa779 Maeva TECHER 2025-02-14

SVA

### SVA analysis to control for technical variation 
dat  <- counts(dds, normalized = TRUE)
idx  <- rowMeans(dat) > 1
dat  <- dat[idx, ]
mod  <- model.matrix(~ Gene, colData(dds))
mod0 <- model.matrix(~ 1, colData(dds))
svseq <- svaseq(dat, mod, mod0)
Number of significant surrogate variables is:  4 
Iteration (out of 5 ):1  2  3  4  5  
sva_plots <- create_sva_plots(svseq, dds, saveDir, intgroup = c("Tissue", "Gene"))

# Show stripcharts in the report
sva_plots$Stripcharts[[1]]  # Show first stripchart

Version Author Date
d7fa779 Maeva TECHER 2025-02-14
sva_plots$Stripcharts[[2]]  # Show second stripchart

Version Author Date
d7fa779 Maeva TECHER 2025-02-14
sva_plots$Stripcharts[[3]]  # Show third stripchart

Version Author Date
d7fa779 Maeva TECHER 2025-02-14
# Show scatter plots in the report
sva_plots$ScatterPlots[["1_2"]]  # Show SV1 vs SV2

Version Author Date
d7fa779 Maeva TECHER 2025-02-14
sva_plots$ScatterPlots[["1_3"]]  # Show SV1 vs SV3

Version Author Date
d7fa779 Maeva TECHER 2025-02-14
sva_plots$ScatterPlots[["2_3"]]  # Show SV2 vs SV3

Version Author Date
d7fa779 Maeva TECHER 2025-02-14

We rerun the DESeq2 model but this time including the surrogate variable as a covariate, as we know that the modeled variation is more likely explained by tissue and gene variation rather than batch effects.

ddssva <- dds
ddssva$SV1 <- svseq$sv[,1]
ddssva$SV2 <- svseq$sv[,2]
ddssva$SV3 <- svseq$sv[,3]
design(ddssva) <- ~ SV1 + SV2 + SV3 + Gene
ddssva$Gene <- relevel(ddssva$Gene, ref = "GFP")

smallestGroupSize <- 5
keep <- rowSums(counts(ddssva) >= 10) >= smallestGroupSize
ddssva <- ddssva[keep,]

ddssva <- DESeq(ddssva)

ddssva <- ddssva[which(mcols(ddssva)$betaConv),] # remove non converging rows

### Extract results
message("Available contrasts are: ", paste(resultsNames(ddssva), collapse = ", "))

hex1 <- results(ddssva, name = "Gene_HEX1_vs_GFP", alpha = 0.05)
hex2 <- results(ddssva, name = "Gene_HEX2_vs_GFP", alpha = 0.05)
jhmt <- results(ddssva, name = "Gene_JHMT_vs_GFP", alpha = 0.05)
miox <- results(ddssva, name = "Gene_MIOX_vs_GFP", alpha = 0.05)
unch <- results(ddssva, name = "Gene_UNCH_vs_GFP", alpha = 0.05)

Volcano plots and Heatmaps

First we create function to generate the plots we are interested to obtain and then run the whole pipeline for each gene.

# Define contrast_sets
hex1_samples <- c("SggfpH1","SggfpH2","SggfpH3","SggfpH4","SggfpH5",
                  "Sghex1H1","Sghex1H2","Sghex1H3","Sghex1H4","Sghex1H5")
hex2_samples <- c("SggfpH1","SggfpH2","SggfpH3","SggfpH4","SggfpH5",
                  "Sghex2H1","Sghex2H2","Sghex2H3","Sghex2H4","Sghex2H5")
jhmt_samples <- c("SggfpH1","SggfpH2","SggfpH3","SggfpH4","SggfpH5",
                  "SgjhmtH1","SgjhmtH2","SgjhmtH3","SgjhmtH4","SgjhmtH5")
miox_samples <- c("SggfpH1","SggfpH2","SggfpH3","SggfpH4","SggfpH5",
                  "SgmioxH1","SgmioxH2","SgmioxH3","SgmioxH4","SgmioxH5")
unch_samples <- c("SggfpH1","SggfpH2","SggfpH3","SggfpH4","SggfpH5",
                  "SgunchH1","SgunchH2","SgunchH3","SgunchH4","SgunchH5")

# Run full analysis
hex1_plots <- visualize_data(hex1, "HEX1_vs_GFP", hex1_samples)
hex2_plots <- visualize_data(hex2, "HEX2_vs_GFP", hex2_samples)
jhmt_plots <- visualize_data(jhmt, "JHMT_vs_GFP", jhmt_samples)
miox_plots <- visualize_data(miox, "MIOX_vs_GFP", miox_samples)
unch_plots <- visualize_data(unch, "UNCH_vs_GFP", unch_samples)

hex1_plots$volcano; hex1_plots$heatmap

Version Author Date
b540a1e Maeva TECHER 2025-02-27
d7fa779 Maeva TECHER 2025-02-14

Version Author Date
b540a1e Maeva TECHER 2025-02-27
d7fa779 Maeva TECHER 2025-02-14
hex2_plots$volcano; hex2_plots$heatmap

Version Author Date
b540a1e Maeva TECHER 2025-02-27
d7fa779 Maeva TECHER 2025-02-14

Version Author Date
b540a1e Maeva TECHER 2025-02-27
d7fa779 Maeva TECHER 2025-02-14
jhmt_plots$volcano; jhmt_plots$heatmap

Version Author Date
d7fa779 Maeva TECHER 2025-02-14

Version Author Date
b540a1e Maeva TECHER 2025-02-27
d7fa779 Maeva TECHER 2025-02-14
miox_plots$volcano; miox_plots$heatmap

Version Author Date
d7fa779 Maeva TECHER 2025-02-14

Version Author Date
b540a1e Maeva TECHER 2025-02-27
d7fa779 Maeva TECHER 2025-02-14
unch_plots$volcano; unch_plots$heatmap

Version Author Date
d7fa779 Maeva TECHER 2025-02-14

Version Author Date
b540a1e Maeva TECHER 2025-02-27
d7fa779 Maeva TECHER 2025-02-14

DEG tables

The following tables show the genes differentially expressed with at least an absolute log2fold change of > 1 considering head tissue only. Considering GFP as the reference state, upregulated genes in knockdown treatment in red and downregulated genes in knockdown treatment in blue. You can search for a gene of interest by writting a LOCID or description in the search bar or sort by column.

# Generate tables for each contrast
table_hex1 <- generate_deg_table(ddssva, "Gene_HEX1_vs_GFP", allspecies_df)

out of 14587 with nonzero total read count
adjusted p-value < 0.05
LFC > 0 (up)       : 432, 3%
LFC < 0 (down)     : 463, 3.2%
outliers [1]       : 0, 0%
low counts [2]     : 2546, 17%
(mean count < 31)
[1] see 'cooksCutoff' argument of ?results
[2] see 'independentFiltering' argument of ?results
Total DEGs p-value < 0.05 and absolute logFoldChange > 1: 58
LFC > 1 (up)       : 26 (44.83%)
LFC < -1 (down)     : 32 (55.17%)
table_hex1$kable_table
table_hex2 <- generate_deg_table(ddssva, "Gene_HEX2_vs_GFP", allspecies_df)

out of 14587 with nonzero total read count
adjusted p-value < 0.05
LFC > 0 (up)       : 171, 1.2%
LFC < 0 (down)     : 287, 2%
outliers [1]       : 0, 0%
low counts [2]     : 2263, 16%
(mean count < 26)
[1] see 'cooksCutoff' argument of ?results
[2] see 'independentFiltering' argument of ?results
Total DEGs p-value < 0.05 and absolute logFoldChange > 1: 26
LFC > 1 (up)       : 11 (42.31%)
LFC < -1 (down)     : 15 (57.69%)
table_hex2$kable_table
table_jhmt <- generate_deg_table(ddssva, "Gene_JHMT_vs_GFP", allspecies_df)

out of 14587 with nonzero total read count
adjusted p-value < 0.05
LFC > 0 (up)       : 73, 0.5%
LFC < 0 (down)     : 106, 0.73%
outliers [1]       : 0, 0%
low counts [2]     : 1980, 14%
(mean count < 22)
[1] see 'cooksCutoff' argument of ?results
[2] see 'independentFiltering' argument of ?results
Total DEGs p-value < 0.05 and absolute logFoldChange > 1: 19
LFC > 1 (up)       : 9 (47.37%)
LFC < -1 (down)     : 10 (52.63%)
table_jhmt$kable_table
table_miox <- generate_deg_table(ddssva, "Gene_MIOX_vs_GFP", allspecies_df)

out of 14587 with nonzero total read count
adjusted p-value < 0.05
LFC > 0 (up)       : 61, 0.42%
LFC < 0 (down)     : 112, 0.77%
outliers [1]       : 0, 0%
low counts [2]     : 3677, 25%
(mean count < 60)
[1] see 'cooksCutoff' argument of ?results
[2] see 'independentFiltering' argument of ?results
Total DEGs p-value < 0.05 and absolute logFoldChange > 1: 21
LFC > 1 (up)       : 13 (61.9%)
LFC < -1 (down)     : 8 (38.1%)
table_miox$kable_table
table_unch <- generate_deg_table(ddssva, "Gene_UNCH_vs_GFP", allspecies_df)

out of 14587 with nonzero total read count
adjusted p-value < 0.05
LFC > 0 (up)       : 1355, 9.3%
LFC < 0 (down)     : 1860, 13%
outliers [1]       : 0, 0%
low counts [2]     : 283, 1.9%
(mean count < 8)
[1] see 'cooksCutoff' argument of ?results
[2] see 'independentFiltering' argument of ?results
Total DEGs p-value < 0.05 and absolute logFoldChange > 1: 266
LFC > 1 (up)       : 121 (45.49%)
LFC < -1 (down)     : 145 (54.51%)
table_unch$kable_table

Summary and Overlap

# Summarize DEGs for all contrasts
deg_summary <- bind_rows(
  summarize_deg_counts(table_hex1, "HEX1 vs GFP"),
  summarize_deg_counts(table_hex2, "HEX2 vs GFP"),
  summarize_deg_counts(table_jhmt, "JHMT vs GFP"),
  summarize_deg_counts(table_miox, "MIOX vs GFP"),
  summarize_deg_counts(table_unch, "UNCH vs GFP")
)

# Display table using kable with styling
deg_summary %>%
  kable("html", escape = FALSE, col.names = gsub("_", " ", names(.))) %>%
  kable_styling("striped", full_width = TRUE) %>%
  column_spec(2, color = "red", bold = TRUE) %>%  # Upregulated in red
  column_spec(3, color = "blue", bold = TRUE) %>% # Downregulated in blue
  add_header_above(c("Summary of DEGs" = 3)) %>%
  row_spec(0, bold = TRUE)
Summary of DEGs
Contrast Upregulated Downregulated
HEX1 vs GFP 23 30
HEX2 vs GFP 11 15
JHMT vs GFP 9 9
MIOX vs GFP 12 6
UNCH vs GFP 117 142
# Define the list of RNAi contrasts
contrast_list <- c("HEX1_vs_GFP", "HEX2_vs_GFP", "JHMT_vs_GFP", 
                   "MIOX_vs_GFP", "UNCH_vs_GFP")

# Initialize empty lists for storing Head-specific DEGs for each contrast
venn_data_up <- list()
venn_data_down <- list()
venn_data_all <- list()

# Function to load Head-specific DEGs for a given set of contrasts
load_deg_contrasts_head <- function(contrast_list) {
  degs_up <- list()
  degs_down <- list()
  degs_all <- list()
  
  for (contrast in contrast_list) {
    deg_file <- file.path(workDir, "DEG_results/RNAi/Head_no_rRNA/", contrast, paste0("DEG_sigresults_", contrast, ".csv"))
    
    if (!file.exists(deg_file)) {
      message(paste("File missing for contrast:", contrast))
      next  # Skip if the file doesn't exist
    }
    
    deg_data <- read.csv(deg_file, stringsAsFactors = FALSE)
    
    # Convert row names to a column if necessary
       if ("X" %in% colnames(deg_data)) {
    colnames(deg_data)[colnames(deg_data) == "X"] <- "GeneID"
    }

        # Check if data is empty
        if (nrow(deg_data) == 0) {
            message(paste("No data for contrast:", contrast))
            next
        }
    
    # Select significant DEGs (Up, Down, All)
    degs_up[[contrast]] <- deg_data %>%
      filter(padj < 0.05 & log2FoldChange >= 1) %>%
      pull(GeneID)  # Extract GeneID column
    
    degs_down[[contrast]] <- deg_data %>%
      filter(padj < 0.05 & log2FoldChange <= -1) %>%
      pull(GeneID)  # Extract GeneID column
    
    degs_all[[contrast]] <- deg_data %>%
      filter(padj < 0.05 & abs(log2FoldChange) >= 1) %>%
      pull(GeneID)  # Extract GeneID column
  }
  
  return(list(up = degs_up, down = degs_down, all = degs_all))
}

# Load DEG data for the defined contrasts (Head tissue only)
venn_data_contrasts <- load_deg_contrasts_head(contrast_list)

# Prepare the data for the Venn diagrams
venn_data_up <- venn_data_contrasts$up
venn_data_down <- venn_data_contrasts$down
venn_data_all <- venn_data_contrasts$all

# Function to display Venn diagram and corresponding datatable
display_venn_with_datatable <- function(venn_data, title, allspecies_df) {
  # Calculate the overlapping genes
  overlap_genes <- Reduce(intersect, venn_data)
  
  # Create a data frame for the overlapping genes
  overlap_df <- data.frame(GeneID = overlap_genes)
  
  # Merge to get species information
  meta_brock_df <- merge(overlap_df, allspecies_df, by = "GeneID", all.x = TRUE)
  
  # Generate the Venn diagram
  venn_plot <- venn.diagram(
    x = venn_data, 
    category.names = contrast_list, 
    filename = NULL, 
    output = TRUE, 
    fill = c("orange", "red", "blue", "purple", "green"),  # Adjust colors for contrasts
    alpha = 0.5, 
    cex = 2, 
    cat.cex = 0, 
    main = title,
    main.cex = 1.2
  )

  # Clear the plotting area before drawing
  grid.newpage()
  grid.draw(venn_plot)

  # Create a custom legend
  legend_labels <- contrast_list
  legend_colors <- c("orange", "red", "blue", "purple", "green")

  # Positioning the legend
  legend_x <- unit(0.85, "npc")  # Adjust x position
  legend_y <- unit(0.2, "npc")   # Adjust y position

  # Draw the legend
  for (i in 1:length(legend_labels)) {
    grid.rect(x = legend_x, y = legend_y - unit((i - 1) * 0.05, "npc"), 
              width = unit(0.02, "npc"), height = unit(0.02, "npc"), 
              gp = gpar(fill = legend_colors[i], col = NA))
    grid.text(label = legend_labels[i], x = legend_x + unit(0.05, "npc"), 
              y = legend_y - unit((i - 1) * 0.05, "npc"), 
              just = "left", gp = gpar(cex = 0.8))
  }  

  # Display the merged overlapping genes table with datatable
  datatable(meta_brock_df, options = list(
      pageLength = 10,
      scrollX = TRUE,
      autoWidth = TRUE,
      searchHighlight = TRUE
  ),
  rownames = FALSE,
  escape = FALSE
  ) %>%
  formatStyle(
      'Species', target = 'cell',
      fontStyle = 'italic'
  ) %>%
  formatStyle(
      columns = names(meta_brock_df), 
      target = 'row',
      color = styleEqual(c("red", "blue", "black"), c("red", "blue", "black")),
      fontWeight = styleEqual(c("bold", "normal"), c("bold", "normal")),
      backgroundColor = styleEqual(c("red", "blue", "black"), c("white", "white", "white"))
  )
}

# Display the Venn diagram and datatable for **Head Upregulated DEGs** across contrasts
display_venn_with_datatable(venn_data_up, "Venn Diagram of Head Upregulated DEGs - RNAi Contrasts", allspecies_df)

Version Author Date
b540a1e Maeva TECHER 2025-02-27
# Display the Venn diagram and datatable for **Head Downregulated DEGs** across contrasts
display_venn_with_datatable(venn_data_down, "Venn Diagram of Head Downregulated DEGs - RNAi Contrasts", allspecies_df)

Version Author Date
b540a1e Maeva TECHER 2025-02-27
# Display the Venn diagram and datatable for **All Significant DEGs in Head Tissue**
display_venn_with_datatable(venn_data_all, "Venn Diagram of All Significant DEGs in Head Tissue - RNAi Contrasts", allspecies_df)

Version Author Date
b540a1e Maeva TECHER 2025-02-27

GO and KEGG enrichment

#enrich_data(hex1, "Hex1_vs_GFP", hex1_samples)
#enrich_data(hex2, "Hex2_vs_GFP", hex2_samples)
#enrich_data(jhmt, "JHMT_vs_GFP", jhmt_samples)
#enrich_data(miox, "MIOX_vs_GFP", miox_samples)
#enrich_data(unch, "UNCH_vs_GFP", unch_samples)

Thorax tissue

Minor changes here are made compared to the DESeq2 results regarding the importation of samples to transform into a matrix. Sample names are structured as follow: {Sg}{gene}{#} {Sg} = Schistocerca gregaria {gene} = gene abbreviation gfp, hex1, hex2, jhmt, miox and unch T{#} = biological replicate

saveDir <- paste0(workDir,"/DEG_results/RNAi/Thorax_no_rRNA")
dir.create(saveDir)
### Prepare Sample CSV file #####
samples <- read.delim(file.path(workDir, "list/RNAi/Thorax_RNAisample_list.csv"), sep = ",", row.names = 1, header = TRUE)
files <- file.path(workDir, "readcounts/RNAi/", samples$Tissue, samples$Filename)
names(files) <- row.names(samples)
if (all(file.exists(files))) {
  message("All the files exist!")
} else {
  warning("Some files are missing!")
}
All the files exist!
### Create count sample matrix
cts <- map_dfc(files, function(sample) {
  data_count <- read.delim(sample, sep = "\t", header = FALSE)
  col_name <- gsub("_counts.txt", "", basename(sample)) 
  setNames(data.frame(data_count[, 2]), col_name)
})

row_get <- read.delim(files[1], sep = "\t", row.names = 1, header = F) # Get proper row names
rownames(cts) <- rownames(row_get)
rm(row_get) # remove unused object from memory

While for bulk RNAseq on head and thorax for all species, the DEGs model was made between isolated and crowded individuals (with isolated as the reference state), here, the DEG analysis will be carried between GFP knock-down nymphs (as reference state) vs Hexamerins / Juvenile Hormones / Uncharacterized proteins.

### Build DESeq2 Object
dds <- DESeqDataSetFromMatrix(countData = cts,
                              colData = samples,
                              design = ~ Gene)
dds$Gene <- relevel(dds$Gene, ref = "GFP")

smallestGroupSize <- 5
keep <- rowSums(counts(dds) >= 10) >= smallestGroupSize
dds <- dds[keep,]

loci_to_exclude <- readLines(file.path(workDir, "list/excluded_loci/gregaria_rrna_list.txt"))
dds <- dds[!(rownames(dds) %in% loci_to_exclude), ]

dds <- DESeq(dds)

Normalization and PCA

# Plot PCA and investigate quality metrics
vsd <- vst(dds, blind=T)

pca_results <- create_pca_plots(norm.dds = vsd, saveDir, transformation = "vst", intgroup = "Gene")
pca_results$PCA_Labelled

Version Author Date
d7fa779 Maeva TECHER 2025-02-14
pca_results$PCA_Hull

Version Author Date
d7fa779 Maeva TECHER 2025-02-14

SVA

### SVA analysis to control for technical variation 
dat  <- counts(dds, normalized = TRUE)
idx  <- rowMeans(dat) > 1
dat  <- dat[idx, ]
mod  <- model.matrix(~ Gene, colData(dds))
mod0 <- model.matrix(~ 1, colData(dds))
svseq <- svaseq(dat, mod, mod0)
Number of significant surrogate variables is:  5 
Iteration (out of 5 ):1  2  3  4  5  
sva_plots <- create_sva_plots(svseq, dds, saveDir, intgroup = c("Tissue", "Gene"))

# Show stripcharts in the report
sva_plots$Stripcharts[[1]]  # Show first stripchart

Version Author Date
d7fa779 Maeva TECHER 2025-02-14
sva_plots$Stripcharts[[2]]  # Show second stripchart

Version Author Date
d7fa779 Maeva TECHER 2025-02-14
sva_plots$Stripcharts[[3]]  # Show third stripchart

Version Author Date
d7fa779 Maeva TECHER 2025-02-14
# Show scatter plots in the report
sva_plots$ScatterPlots[["1_2"]]  # Show SV1 vs SV2

Version Author Date
d7fa779 Maeva TECHER 2025-02-14
sva_plots$ScatterPlots[["1_3"]]  # Show SV1 vs SV3

Version Author Date
d7fa779 Maeva TECHER 2025-02-14
sva_plots$ScatterPlots[["2_3"]]  # Show SV2 vs SV3

Version Author Date
d7fa779 Maeva TECHER 2025-02-14

We rerun the DESeq2 model but this time including the surrogate variable as a covariate, as we know that the modeled variation is more likely explained by tissue and gene variation rather than batch effects.

ddssva <- dds
ddssva$SV1 <- svseq$sv[,1]
ddssva$SV2 <- svseq$sv[,2]
ddssva$SV3 <- svseq$sv[,3]
design(ddssva) <- ~ SV1 + SV2 + SV3 + Gene
ddssva$Gene <- relevel(ddssva$Gene, ref = "GFP")

smallestGroupSize <- 5
keep <- rowSums(counts(ddssva) >= 10) >= smallestGroupSize
ddssva <- ddssva[keep,]

ddssva <- DESeq(ddssva)

ddssva <- ddssva[which(mcols(ddssva)$betaConv),] # remove non converging rows

### Extract results
message("Available contrasts are: ", paste(resultsNames(ddssva), collapse = ", "))

hex1 <- results(ddssva, name = "Gene_HEX1_vs_GFP", alpha = 0.05)
hex2 <- results(ddssva, name = "Gene_HEX2_vs_GFP", alpha = 0.05)
jhmt <- results(ddssva, name = "Gene_JHMT_vs_GFP", alpha = 0.05)
miox <- results(ddssva, name = "Gene_MIOX_vs_GFP", alpha = 0.05)
unch <- results(ddssva, name = "Gene_UNCH_vs_GFP", alpha = 0.05)

Volcano plots and Heatmaps

First we create function to generate the plots we are interested to obtain and then run the whole pipeline for each gene.

# Define contrast_sets
hex1_samples <- c("SggfpT1","SggfpT2","SggfpT3","SggfpT4","SggfpT5",
                  "Sghex1T1","Sghex1T2","Sghex1T3","Sghex1T4","Sghex1T5")
hex2_samples <- c("SggfpT1","SggfpT2","SggfpT3","SggfpT4","SggfpT5",
                  "Sghex2T1","Sghex2T2","Sghex2T3","Sghex2T4","Sghex2T5")
jhmt_samples <- c("SggfpT1","SggfpT2","SggfpT3","SggfpT4","SggfpT5",
                  "SgjhmtT1","SgjhmtT2","SgjhmtT3","SgjhmtT4","SgjhmtT5")
miox_samples <- c("SggfpT1","SggfpT2","SggfpT3","SggfpT4","SggfpT5",
                  "SgmioxT1","SgmioxT2","SgmioxT3","SgmioxT4","SgmioxT5")
unch_samples <- c("SggfpT1","SggfpT2","SggfpT3","SggfpT4","SggfpT5",
                  "SgunchT1","SgunchT2","SgunchT3","SgunchT4","SgunchT5")

# Run full analysis
hex1_plots <- visualize_data(hex1, "HEX1_vs_GFP", hex1_samples)
hex2_plots <- visualize_data(hex2, "HEX2_vs_GFP", hex2_samples)
jhmt_plots <- visualize_data(jhmt, "JHMT_vs_GFP", jhmt_samples)
miox_plots <- visualize_data(miox, "MIOX_vs_GFP", miox_samples)
unch_plots <- visualize_data(unch, "UNCH_vs_GFP", unch_samples)

hex1_plots$volcano; hex1_plots$heatmap

Version Author Date
b540a1e Maeva TECHER 2025-02-27
d7fa779 Maeva TECHER 2025-02-14

Version Author Date
b540a1e Maeva TECHER 2025-02-27
d7fa779 Maeva TECHER 2025-02-14
hex2_plots$volcano; hex2_plots$heatmap

Version Author Date
b540a1e Maeva TECHER 2025-02-27
d7fa779 Maeva TECHER 2025-02-14

Version Author Date
b540a1e Maeva TECHER 2025-02-27
d7fa779 Maeva TECHER 2025-02-14
jhmt_plots$volcano; jhmt_plots$heatmap

Version Author Date
d7fa779 Maeva TECHER 2025-02-14

Version Author Date
b540a1e Maeva TECHER 2025-02-27
d7fa779 Maeva TECHER 2025-02-14
miox_plots$volcano; miox_plots$heatmap

Version Author Date
d7fa779 Maeva TECHER 2025-02-14

Version Author Date
b540a1e Maeva TECHER 2025-02-27
d7fa779 Maeva TECHER 2025-02-14
unch_plots$volcano; unch_plots$heatmap

Version Author Date
d7fa779 Maeva TECHER 2025-02-14

Version Author Date
b540a1e Maeva TECHER 2025-02-27
d7fa779 Maeva TECHER 2025-02-14

DEG tables

The following tables show the genes differentially expressed with at least an absolute log2fold change of > 1 considering thorax tissue only. Considering GFP as the reference state, upregulated genes in knockdown treatment in red and downregulated genes in knockdown treatment in blue. You can search for a gene of interest by writting a LOCID or description in the search bar or sort by column.

# Generate tables for each contrast
table_hex1 <- generate_deg_table(ddssva, "Gene_HEX1_vs_GFP", allspecies_df)

out of 14217 with nonzero total read count
adjusted p-value < 0.05
LFC > 0 (up)       : 213, 1.5%
LFC < 0 (down)     : 244, 1.7%
outliers [1]       : 0, 0%
low counts [2]     : 2757, 19%
(mean count < 30)
[1] see 'cooksCutoff' argument of ?results
[2] see 'independentFiltering' argument of ?results
Total DEGs p-value < 0.05 and absolute logFoldChange > 1: 40
LFC > 1 (up)       : 26 (65%)
LFC < -1 (down)     : 14 (35%)
table_hex1$kable_table
table_hex2 <- generate_deg_table(ddssva, "Gene_HEX2_vs_GFP", allspecies_df)

out of 14217 with nonzero total read count
adjusted p-value < 0.05
LFC > 0 (up)       : 195, 1.4%
LFC < 0 (down)     : 161, 1.1%
outliers [1]       : 0, 0%
low counts [2]     : 3308, 23%
(mean count < 42)
[1] see 'cooksCutoff' argument of ?results
[2] see 'independentFiltering' argument of ?results
Total DEGs p-value < 0.05 and absolute logFoldChange > 1: 16
LFC > 1 (up)       : 8 (50%)
LFC < -1 (down)     : 8 (50%)
table_hex2$kable_table
table_jhmt <- generate_deg_table(ddssva, "Gene_JHMT_vs_GFP", allspecies_df)

out of 14217 with nonzero total read count
adjusted p-value < 0.05
LFC > 0 (up)       : 145, 1%
LFC < 0 (down)     : 128, 0.9%
outliers [1]       : 0, 0%
low counts [2]     : 2481, 17%
(mean count < 26)
[1] see 'cooksCutoff' argument of ?results
[2] see 'independentFiltering' argument of ?results
Total DEGs p-value < 0.05 and absolute logFoldChange > 1: 52
LFC > 1 (up)       : 24 (46.15%)
LFC < -1 (down)     : 28 (53.85%)
table_jhmt$kable_table
table_miox <- generate_deg_table(ddssva, "Gene_MIOX_vs_GFP", allspecies_df)

out of 14217 with nonzero total read count
adjusted p-value < 0.05
LFC > 0 (up)       : 475, 3.3%
LFC < 0 (down)     : 403, 2.8%
outliers [1]       : 0, 0%
low counts [2]     : 827, 5.8%
(mean count < 10)
[1] see 'cooksCutoff' argument of ?results
[2] see 'independentFiltering' argument of ?results
Total DEGs p-value < 0.05 and absolute logFoldChange > 1: 111
LFC > 1 (up)       : 72 (64.86%)
LFC < -1 (down)     : 39 (35.14%)
table_miox$kable_table
table_unch <- generate_deg_table(ddssva, "Gene_UNCH_vs_GFP", allspecies_df)

out of 14217 with nonzero total read count
adjusted p-value < 0.05
LFC > 0 (up)       : 287, 2%
LFC < 0 (down)     : 278, 2%
outliers [1]       : 0, 0%
low counts [2]     : 3032, 21%
(mean count < 35)
[1] see 'cooksCutoff' argument of ?results
[2] see 'independentFiltering' argument of ?results
Total DEGs p-value < 0.05 and absolute logFoldChange > 1: 69
LFC > 1 (up)       : 39 (56.52%)
LFC < -1 (down)     : 30 (43.48%)
table_unch$kable_table

Summary and Overlap

# Summarize DEGs for all contrasts
deg_summary <- bind_rows(
  summarize_deg_counts(table_hex1, "HEX1 vs GFP"),
  summarize_deg_counts(table_hex2, "HEX2 vs GFP"),
  summarize_deg_counts(table_jhmt, "JHMT vs GFP"),
  summarize_deg_counts(table_miox, "MIOX vs GFP"),
  summarize_deg_counts(table_unch, "UNCH vs GFP")
)

# Display table using kable with styling
deg_summary %>%
  kable("html", escape = FALSE, col.names = gsub("_", " ", names(.))) %>%
  kable_styling("striped", full_width = TRUE) %>%
  column_spec(2, color = "red", bold = TRUE) %>%  # Upregulated in red
  column_spec(3, color = "blue", bold = TRUE) %>% # Downregulated in blue
  add_header_above(c("Summary of DEGs" = 3)) %>%
  row_spec(0, bold = TRUE)
Summary of DEGs
Contrast Upregulated Downregulated
HEX1 vs GFP 26 12
HEX2 vs GFP 7 8
JHMT vs GFP 22 26
MIOX vs GFP 68 35
UNCH vs GFP 35 28
# Define the list of RNAi contrasts
contrast_list <- c("HEX1_vs_GFP", "HEX2_vs_GFP", "JHMT_vs_GFP", 
                   "MIOX_vs_GFP", "UNCH_vs_GFP")

# Initialize empty lists for storing Head-specific DEGs for each contrast
venn_data_up <- list()
venn_data_down <- list()
venn_data_all <- list()

# Function to load Head-specific DEGs for a given set of contrasts
load_deg_contrasts_head <- function(contrast_list) {
  degs_up <- list()
  degs_down <- list()
  degs_all <- list()
  
  for (contrast in contrast_list) {
    deg_file <- file.path(workDir, "DEG_results/RNAi/Thorax_no_rRNA/", contrast, paste0("DEG_sigresults_", contrast, ".csv"))
    
    if (!file.exists(deg_file)) {
      message(paste("File missing for contrast:", contrast))
      next  # Skip if the file doesn't exist
    }
    
    deg_data <- read.csv(deg_file, stringsAsFactors = FALSE)
    
    # Convert row names to a column if necessary
       if ("X" %in% colnames(deg_data)) {
    colnames(deg_data)[colnames(deg_data) == "X"] <- "GeneID"
    }

        # Check if data is empty
        if (nrow(deg_data) == 0) {
            message(paste("No data for contrast:", contrast))
            next
        }
    
    # Select significant DEGs (Up, Down, All)
    degs_up[[contrast]] <- deg_data %>%
      filter(padj < 0.05 & log2FoldChange >= 1) %>%
      pull(GeneID)  # Extract GeneID column
    
    degs_down[[contrast]] <- deg_data %>%
      filter(padj < 0.05 & log2FoldChange <= -1) %>%
      pull(GeneID)  # Extract GeneID column
    
    degs_all[[contrast]] <- deg_data %>%
      filter(padj < 0.05 & abs(log2FoldChange) >= 1) %>%
      pull(GeneID)  # Extract GeneID column
  }
  
  return(list(up = degs_up, down = degs_down, all = degs_all))
}

# Load DEG data for the defined contrasts (Head tissue only)
venn_data_contrasts <- load_deg_contrasts_head(contrast_list)

# Prepare the data for the Venn diagrams
venn_data_up <- venn_data_contrasts$up
venn_data_down <- venn_data_contrasts$down
venn_data_all <- venn_data_contrasts$all

# Function to display Venn diagram and corresponding datatable
display_venn_with_datatable <- function(venn_data, title, allspecies_df) {
  # Calculate the overlapping genes
  overlap_genes <- Reduce(intersect, venn_data)
  
  # Create a data frame for the overlapping genes
  overlap_df <- data.frame(GeneID = overlap_genes)
  
  # Merge to get species information
  meta_brock_df <- merge(overlap_df, allspecies_df, by = "GeneID", all.x = TRUE)
  
  # Generate the Venn diagram
  venn_plot <- venn.diagram(
    x = venn_data, 
    category.names = contrast_list, 
    filename = NULL, 
    output = TRUE, 
    fill = c("orange", "red", "blue", "purple", "green"),  # Adjust colors for contrasts
    alpha = 0.5, 
    cex = 2, 
    cat.cex = 0, 
    main = title,
    main.cex = 1.2
  )

  # Clear the plotting area before drawing
  grid.newpage()
  grid.draw(venn_plot)

  # Create a custom legend
  legend_labels <- contrast_list
  legend_colors <- c("orange", "red", "blue", "purple", "green")

  # Positioning the legend
  legend_x <- unit(0.85, "npc")  # Adjust x position
  legend_y <- unit(0.2, "npc")   # Adjust y position

  # Draw the legend
  for (i in 1:length(legend_labels)) {
    grid.rect(x = legend_x, y = legend_y - unit((i - 1) * 0.05, "npc"), 
              width = unit(0.02, "npc"), height = unit(0.02, "npc"), 
              gp = gpar(fill = legend_colors[i], col = NA))
    grid.text(label = legend_labels[i], x = legend_x + unit(0.05, "npc"), 
              y = legend_y - unit((i - 1) * 0.05, "npc"), 
              just = "left", gp = gpar(cex = 0.8))
  }  

  # Display the merged overlapping genes table with datatable
  datatable(meta_brock_df, options = list(
      pageLength = 10,
      scrollX = TRUE,
      autoWidth = TRUE,
      searchHighlight = TRUE
  ),
  rownames = FALSE,
  escape = FALSE
  ) %>%
  formatStyle(
      'Species', target = 'cell',
      fontStyle = 'italic'
  ) %>%
  formatStyle(
      columns = names(meta_brock_df), 
      target = 'row',
      color = styleEqual(c("red", "blue", "black"), c("red", "blue", "black")),
      fontWeight = styleEqual(c("bold", "normal"), c("bold", "normal")),
      backgroundColor = styleEqual(c("red", "blue", "black"), c("white", "white", "white"))
  )
}

# Display the Venn diagram and datatable for **Head Upregulated DEGs** across contrasts
display_venn_with_datatable(venn_data_up, "Venn Diagram of Head Upregulated DEGs - RNAi Contrasts", allspecies_df)

Version Author Date
b540a1e Maeva TECHER 2025-02-27
# Display the Venn diagram and datatable for **Head Downregulated DEGs** across contrasts
display_venn_with_datatable(venn_data_down, "Venn Diagram of Head Downregulated DEGs - RNAi Contrasts", allspecies_df)

Version Author Date
b540a1e Maeva TECHER 2025-02-27
# Display the Venn diagram and datatable for **All Significant DEGs in Head Tissue**
display_venn_with_datatable(venn_data_all, "Venn Diagram of All Significant DEGs in Head Tissue - RNAi Contrasts", allspecies_df)

Version Author Date
b540a1e Maeva TECHER 2025-02-27

GO and KEGG enrichment

#enrich_data(hex1, "Hex1_vs_GFP", hex1_samples)
#enrich_data(hex2, "Hex2_vs_GFP", hex2_samples)
#enrich_data(jhmt, "JHMT_vs_GFP", jhmt_samples)
#enrich_data(miox, "MIOX_vs_GFP", miox_samples)
#enrich_data(unch, "UNCH_vs_GFP", unch_samples)

5. Comparison between injected and non-injected crowded

All genes included

All tissue together

Minor changes here are made compared to the DESeq2 results regarding the importation of samples to transform into a matrix.

Sample names are structured as follow: {Sg}{gene}{#} {Sg} = Schistocerca gregaria {gene} = gene abbreviation gfp, hex1, hex2, jhmt, miox and unch H/T{#} = biological replicate

saveDir <- paste0(workDir,"/DEG_results/RNAi/All_control")
dir.create(saveDir)
### Prepare Sample CSV file #####
samples <- read.delim(file.path(workDir, "list/RNAi/All_RNAi_noninjectedsample_list.csv"), sep = ",", row.names = 1, header = TRUE)
files <- file.path(workDir, "readcounts/RNAi/", samples$Tissue, samples$Filename)
names(files) <- row.names(samples)
if (all(file.exists(files))) {
  message("All the files exist!")
} else {
  warning("Some files are missing!")
}
All the files exist!
### **Standardized Count Matrix Creation**
# Extract all gene lists first
gene_lists <- map(files, function(sample) {
  fread(sample, sep = "\t", header = FALSE)[, 1]  # Extract Gene IDs (column 1)
})

# Get a unique set of all gene IDs across all samples
all_genes <- unique(unlist(gene_lists))

# Create a named list to store count data with standardized rows
cts_list <- map(files, function(sample) {
  data_count <- fread(sample, sep = "\t", header = FALSE)
  
  col_name <- gsub("_counts.txt", "", basename(sample))  # Clean sample name
  
  # Convert to data frame with correct column names
  data_count <- setNames(data.frame(data_count[, 1:2]), c("GeneID", col_name))
  
  # Ensure all gene IDs are present (fill missing values with 0)
  data_count <- full_join(data.frame(GeneID = all_genes), data_count, by = "GeneID") %>%
    mutate(across(where(is.numeric), ~ replace_na(., 0)))  # Fill NA with 0
  
  return(data_count)
})

# Merge all samples based on GeneID
cts <- reduce(cts_list, full_join, by = "GeneID")

# Convert to matrix for DESeq2
cts_matrix <- as.matrix(cts[, -1])  # Remove GeneID column for count matrix
rownames(cts_matrix) <- cts$GeneID  # Set GeneID as rownames
rm(cts_list)  # Free memory

While for bulk RNAseq on head and thorax for all species, the DEGs model was made between isolated and crowded individuals (with isolated as the reference state), here, the DEG analysis will be carried between GFP knock-down nymphs (as reference state) vs Hexamerins / Juvenile Hormones / Inositol / Uncharacterized proteins.

### Build DESeq2 Object
dds <- DESeqDataSetFromMatrix(countData = cts_matrix,
                              colData = samples,
                              design = ~ Gene)
dds$Gene <- relevel(dds$Gene, ref = "CONTROL")

smallestGroupSize <- 5
keep <- rowSums(counts(dds) >= 10) >= smallestGroupSize
dds <- dds[keep,]

dds <- DESeq(dds)

Normalization and PCA

# Plot PCA and investigate quality metrics
vsd <- vst(dds, blind = TRUE) 

# Perform PCA
pca_data <- plotPCA(vsd, intgroup = c("Tissue", "Gene"), returnData = TRUE)

# Define colors for genes (slightly transparent) and shapes for tissues
gene_colors <- scale_color_manual(values = alpha(brewer.pal(n = length(unique(pca_data$Gene)), name = "Set1"), 0.8))  # Points are transparent
tissue_shapes <- scale_shape_manual(values = seq(15, 15 + length(unique(pca_data$Tissue))))

# **PCA without labels**
p_pca_nolabel <- ggplot(pca_data, aes(x = PC1, y = PC2, color = Gene, shape = Tissue)) +
  geom_point(size = 4) +
  gene_colors + 
  tissue_shapes +
  theme_bw() +
  theme(legend.title = element_blank(),
        legend.text = element_text(face = "bold", size = 14),
        axis.text = element_text(size = 12),
        axis.title = element_text(size = 14)) +
  ggtitle("PCA of All Tissues (No Labels)", subtitle = "Tissues differentiated by shape, Genes by color")

# Save PCA without labels
ggsave(paste0(saveDir, "/PCA_Tissue_Gene_NoLabel.png"), plot = p_pca_nolabel, width = 10, height = 10, dpi = 600, device = "png")

# **PCA with labels**
p_pca_label <- ggplot(pca_data, aes(x = PC1, y = PC2, color = Gene, shape = Tissue)) +
  geom_point(size = 4) +
  geom_text_repel(aes(label = name), size = 4, color = "black", max.overlaps = 20) +  # Labels are fully visible
  gene_colors + 
  tissue_shapes +
  theme_bw() +
  theme(legend.title = element_blank(),
        legend.text = element_text(face = "bold", size = 14),
        axis.text = element_text(size = 12),
        axis.title = element_text(size = 14)) +
  ggtitle("PCA of All Tissues (With Labels)", subtitle = "Tissues differentiated by shape, Genes by color")

# Save PCA with labels
ggsave(paste0(saveDir, "/PCA_Tissue_Gene_Label.png"), plot = p_pca_label, width = 10, height = 10, dpi = 600, device = "png")

# **Return plots for knitr/RMarkdown**
list(NoLabel = p_pca_nolabel, WithLabel = p_pca_label)
$NoLabel

Version Author Date
b540a1e Maeva TECHER 2025-02-27

$WithLabel

Version Author Date
b540a1e Maeva TECHER 2025-02-27

The PCA plot shows clear distinction between tissue types, while gene silencing has a large variation within each tissue, and presents no distinct clear groupings for a single gene.

SVA

### SVA analysis to control for technical variation 
dat  <- counts(dds, normalized = TRUE)
idx  <- rowMeans(dat) > 1
dat  <- dat[idx, ]
mod  <- model.matrix(~ Gene, colData(dds))
mod0 <- model.matrix(~ 1, colData(dds))
svseq <- svaseq(dat, mod, mod0)
Number of significant surrogate variables is:  4 
Iteration (out of 5 ):1  2  3  4  5  
sva_plots <- create_sva_plots(svseq, dds, saveDir, intgroup = c("Tissue", "Gene"), max_sv = 4)

# Show stripcharts in the report
sva_plots$Stripcharts[[1]]  # Show first stripchart

Version Author Date
b540a1e Maeva TECHER 2025-02-27
sva_plots$Stripcharts[[2]]  # Show second stripchart

Version Author Date
b540a1e Maeva TECHER 2025-02-27
sva_plots$Stripcharts[[3]]  # Show third stripchart

Version Author Date
b540a1e Maeva TECHER 2025-02-27
sva_plots$Stripcharts[[4]] 

Version Author Date
b540a1e Maeva TECHER 2025-02-27
# Show scatter plots in the report
sva_plots$ScatterPlots[["1_2"]]  # Show SV1 vs SV2

Version Author Date
b540a1e Maeva TECHER 2025-02-27
sva_plots$ScatterPlots[["1_3"]]  # Show SV1 vs SV3

Version Author Date
b540a1e Maeva TECHER 2025-02-27
sva_plots$ScatterPlots[["2_3"]]  # Show SV2 vs SV3

Version Author Date
b540a1e Maeva TECHER 2025-02-27

SV1 is clearly showing an effect of tissue. We rerun the DESeq2 model but this time including the surrogate variable SV2 and SV3 as a covariates only, as we know that the modeled variation is more likely explained by tissue and gene variation rather than batch effects.

ddssva <- dds
ddssva$SV2 <- svseq$sv[,2]
ddssva$SV3 <- svseq$sv[,3]
ddssva$SV4 <- svseq$sv[,4]

design(ddssva) <- ~ SV2 + SV3 + SV4 + Gene
ddssva$Gene <- relevel(ddssva$Gene, ref = "CONTROL")

smallestGroupSize <- 5
keep <- rowSums(counts(ddssva) >= 10) >= smallestGroupSize
ddssva <- ddssva[keep,]

ddssva <- DESeq(ddssva)

ddssva <- ddssva[which(mcols(ddssva)$betaConv),] # remove non converging rows

### Extract results
message("Available contrasts are: ", paste(resultsNames(ddssva), collapse = ", "))


hex1 <- results(ddssva, contrast = c("Gene", "HEX1", "CONTROL"), alpha = 0.05)
hex2 <- results(ddssva, contrast = c("Gene", "HEX2", "CONTROL"), alpha = 0.05)
jhmt <- results(ddssva, contrast = c("Gene", "JHMT", "CONTROL"), alpha = 0.05)
miox <- results(ddssva, contrast = c("Gene", "MIOX", "CONTROL"), alpha = 0.05)
unch <- results(ddssva, contrast = c("Gene", "UNCH", "CONTROL"), alpha = 0.05)
gfp  <- results(ddssva, contrast = c("Gene", "GFP", "CONTROL"), alpha = 0.05)

Volcano plots and Heatmaps

# Define contrast_sets
hex1_samples <- c("SGRE-HEAD-CRD-1","SGRE-HEAD-CRD-2","SGRE-HEAD-CRD-3","SGRE-HEAD-CRD-4","SGRE-HEAD-CRD-5",
                  "SGRE-HEAD-CRD-6","SggfpH1","SggfpH2","SggfpH3","SggfpH4","SggfpH5",
                  "Sghex1H1","Sghex1H2","Sghex1H3","Sghex1H4","Sghex1H5",
                  "SGRE-THOX-CRD-1","SGRE-THOX-CRD-3","SGRE-THOX-CRD-4","SGRE-THOX-CRD-5",
                  "SGRE-THOX-CRD-6","SggfpT1","SggfpT2","SggfpT3","SggfpT4","SggfpT5",
                  "Sghex1T1","Sghex1T2","Sghex1T3","Sghex1T4","Sghex1T5")
hex2_samples <- c("SGRE-HEAD-CRD-1","SGRE-HEAD-CRD-2","SGRE-HEAD-CRD-3","SGRE-HEAD-CRD-4","SGRE-HEAD-CRD-5",
                  "SGRE-HEAD-CRD-6","SggfpH1","SggfpH2","SggfpH3","SggfpH4","SggfpH5",
                  "Sghex2H1","Sghex2H2","Sghex2H3","Sghex2H4","Sghex2H5",
                  "SGRE-THOX-CRD-1","SGRE-THOX-CRD-3","SGRE-THOX-CRD-4","SGRE-THOX-CRD-5",
                  "SGRE-THOX-CRD-6","SggfpT1","SggfpT2","SggfpT3","SggfpT4","SggfpT5",
                  "Sghex2T1","Sghex2T2","Sghex2T3","Sghex2T4","Sghex2T5")
jhmt_samples <- c("SGRE-HEAD-CRD-1","SGRE-HEAD-CRD-2","SGRE-HEAD-CRD-3","SGRE-HEAD-CRD-4","SGRE-HEAD-CRD-5",
                  "SGRE-HEAD-CRD-6","SggfpH1","SggfpH2","SggfpH3","SggfpH4","SggfpH5",
                  "SgjhmtH1","SgjhmtH2","SgjhmtH3","SgjhmtH4","SgjhmtH5",
                  "SGRE-THOX-CRD-1","SGRE-THOX-CRD-3","SGRE-THOX-CRD-4","SGRE-THOX-CRD-5",
                  "SGRE-THOX-CRD-6","SggfpT1","SggfpT2","SggfpT3","SggfpT4","SggfpT5",
                  "SgjhmtT1","SgjhmtT2","SgjhmtT3","SgjhmtT4","SgjhmtT5")
miox_samples <- c("SGRE-HEAD-CRD-1","SGRE-HEAD-CRD-2","SGRE-HEAD-CRD-3","SGRE-HEAD-CRD-4","SGRE-HEAD-CRD-5",
                  "SGRE-HEAD-CRD-6","SggfpH1","SggfpH2","SggfpH3","SggfpH4","SggfpH5",
                  "SgmioxH1","SgmioxH2","SgmioxH3","SgmioxH4","SgmioxH5",
                  "SGRE-THOX-CRD-1","SGRE-THOX-CRD-3","SGRE-THOX-CRD-4","SGRE-THOX-CRD-5",
                  "SGRE-THOX-CRD-6","SggfpT1","SggfpT2","SggfpT3","SggfpT4","SggfpT5",
                  "SgmioxT1","SgmioxT2","SgmioxT3","SgmioxT4","SgmioxT5")
unch_samples <- c("SGRE-HEAD-CRD-1","SGRE-HEAD-CRD-2","SGRE-HEAD-CRD-3","SGRE-HEAD-CRD-4","SGRE-HEAD-CRD-5",
                  "SGRE-HEAD-CRD-6","SggfpH1","SggfpH2","SggfpH3","SggfpH4","SggfpH5",
                  "SgunchH1","SgunchH2","SgunchH3","SgunchH4","SgunchH5",
                  "SGRE-THOX-CRD-1","SGRE-THOX-CRD-3","SGRE-THOX-CRD-4","SGRE-THOX-CRD-5",
                  "SGRE-THOX-CRD-6","SggfpT1","SggfpT2","SggfpT3","SggfpT4","SggfpT5",
                  "SgunchT1","SgunchT2","SgunchT3","SgunchT4","SgunchT5")
gfp_samples <- c("SGRE-HEAD-CRD-1","SGRE-HEAD-CRD-2","SGRE-HEAD-CRD-3","SGRE-HEAD-CRD-4","SGRE-HEAD-CRD-5",
                  "SGRE-HEAD-CRD-6","SggfpH1","SggfpH2","SggfpH3","SggfpH4","SggfpH5", "SGRE-THOX-CRD-1","SGRE-THOX-CRD-3","SGRE-THOX-CRD-4","SGRE-THOX-CRD-5",
                  "SGRE-THOX-CRD-6", "SggfpT1","SggfpT2","SggfpT3","SggfpT4","SggfpT5")

# Run full analysis
hex1_plots <- visualize_data_nopng(hex1, "HEX1_vs_CONTROL", hex1_samples)
hex2_plots <- visualize_data_nopng(hex2, "HEX2_vs_CONTROL", hex2_samples)
jhmt_plots <- visualize_data_nopng(jhmt, "JHMT_vs_CONTROL", jhmt_samples)
miox_plots <- visualize_data_nopng(miox, "MIOX_vs_CONTROL", miox_samples)
unch_plots <- visualize_data_nopng(unch, "UNCH_vs_CONTROL", unch_samples)
gfp_plots <- visualize_data_nopng(gfp, "GFP_vs_CONTROL", gfp_samples)

hex1_plots$volcano; hex1_plots$heatmap

Version Author Date
b540a1e Maeva TECHER 2025-02-27

Version Author Date
b540a1e Maeva TECHER 2025-02-27
hex2_plots$volcano; hex2_plots$heatmap

Version Author Date
b540a1e Maeva TECHER 2025-02-27

Version Author Date
b540a1e Maeva TECHER 2025-02-27
jhmt_plots$volcano; jhmt_plots$heatmap

Version Author Date
b540a1e Maeva TECHER 2025-02-27

Version Author Date
b540a1e Maeva TECHER 2025-02-27
miox_plots$volcano; miox_plots$heatmap

Version Author Date
3e696d6 Maeva TECHER 2025-06-05
b540a1e Maeva TECHER 2025-02-27

Version Author Date
b540a1e Maeva TECHER 2025-02-27
unch_plots$volcano; unch_plots$heatmap

Version Author Date
b540a1e Maeva TECHER 2025-02-27

Version Author Date
b540a1e Maeva TECHER 2025-02-27
gfp_plots$volcano; gfp_plots$heatmap

Version Author Date
9451c02 Maeva TECHER 2025-03-03
b540a1e Maeva TECHER 2025-02-27

Version Author Date
9451c02 Maeva TECHER 2025-03-03
b540a1e Maeva TECHER 2025-02-27

DEG tables

The following tables show the genes differentially expressed with at least an absolute log2fold change of > 1 considering all tissues together. Considering GFP as the reference state, upregulated genes in knockdown treatment in red and downregulated genes in knockdown treatment in blue. You can search for a gene of interest by writting a LOCID or description in the search bar or sort by column.

# Generate tables for each contrast
table_hex1 <- generate_deg_table(ddssva, "Gene_HEX1_vs_CONTROL", allspecies_df)

out of 16759 with nonzero total read count
adjusted p-value < 0.05
LFC > 0 (up)       : 8238, 49%
LFC < 0 (down)     : 5539, 33%
outliers [1]       : 0, 0%
low counts [2]     : 0, 0%
(mean count < 1)
[1] see 'cooksCutoff' argument of ?results
[2] see 'independentFiltering' argument of ?results
Total DEGs p-value < 0.05 and absolute logFoldChange > 1: 10376
LFC > 1 (up)       : 6513 (62.77%)
LFC < -1 (down)     : 3863 (37.23%)
table_hex1$kable_table
table_hex2 <- generate_deg_table(ddssva, "Gene_HEX2_vs_CONTROL", allspecies_df)

out of 16759 with nonzero total read count
adjusted p-value < 0.05
LFC > 0 (up)       : 8046, 48%
LFC < 0 (down)     : 5502, 33%
outliers [1]       : 0, 0%
low counts [2]     : 0, 0%
(mean count < 1)
[1] see 'cooksCutoff' argument of ?results
[2] see 'independentFiltering' argument of ?results
Total DEGs p-value < 0.05 and absolute logFoldChange > 1: 9940
LFC > 1 (up)       : 6257 (62.95%)
LFC < -1 (down)     : 3683 (37.05%)
table_hex2$kable_table
table_jhmt <- generate_deg_table(ddssva, "Gene_JHMT_vs_CONTROL", allspecies_df)

out of 16759 with nonzero total read count
adjusted p-value < 0.05
LFC > 0 (up)       : 8274, 49%
LFC < 0 (down)     : 5683, 34%
outliers [1]       : 0, 0%
low counts [2]     : 0, 0%
(mean count < 1)
[1] see 'cooksCutoff' argument of ?results
[2] see 'independentFiltering' argument of ?results
Total DEGs p-value < 0.05 and absolute logFoldChange > 1: 10433
LFC > 1 (up)       : 6510 (62.4%)
LFC < -1 (down)     : 3923 (37.6%)
table_jhmt$kable_table
table_miox <- generate_deg_table(ddssva, "Gene_MIOX_vs_CONTROL", allspecies_df)

out of 16759 with nonzero total read count
adjusted p-value < 0.05
LFC > 0 (up)       : 8294, 49%
LFC < 0 (down)     : 5731, 34%
outliers [1]       : 0, 0%
low counts [2]     : 0, 0%
(mean count < 1)
[1] see 'cooksCutoff' argument of ?results
[2] see 'independentFiltering' argument of ?results
Total DEGs p-value < 0.05 and absolute logFoldChange > 1: 10470
LFC > 1 (up)       : 6516 (62.23%)
LFC < -1 (down)     : 3954 (37.77%)
table_miox$kable_table
table_unch <- generate_deg_table(ddssva, "Gene_UNCH_vs_CONTROL", allspecies_df)

out of 16759 with nonzero total read count
adjusted p-value < 0.05
LFC > 0 (up)       : 8264, 49%
LFC < 0 (down)     : 5703, 34%
outliers [1]       : 0, 0%
low counts [2]     : 0, 0%
(mean count < 1)
[1] see 'cooksCutoff' argument of ?results
[2] see 'independentFiltering' argument of ?results
Total DEGs p-value < 0.05 and absolute logFoldChange > 1: 10523
LFC > 1 (up)       : 6533 (62.08%)
LFC < -1 (down)     : 3990 (37.92%)
table_unch$kable_table
table_gfp <- generate_deg_table(ddssva, "Gene_GFP_vs_CONTROL", allspecies_df)

out of 16759 with nonzero total read count
adjusted p-value < 0.05
LFC > 0 (up)       : 8205, 49%
LFC < 0 (down)     : 5618, 34%
outliers [1]       : 0, 0%
low counts [2]     : 0, 0%
(mean count < 1)
[1] see 'cooksCutoff' argument of ?results
[2] see 'independentFiltering' argument of ?results
Total DEGs p-value < 0.05 and absolute logFoldChange > 1: 10367
LFC > 1 (up)       : 6442 (62.14%)
LFC < -1 (down)     : 3925 (37.86%)
table_gfp$kable_table

Summary and Overlap

# Summarize DEGs for all contrasts
deg_summary <- bind_rows(
  summarize_deg_counts(table_hex1, "HEX1 vs CONTROL"),
  summarize_deg_counts(table_hex2, "HEX2 vs CONTROL"),
  summarize_deg_counts(table_jhmt, "JHMT vs CONTROL"),
  summarize_deg_counts(table_miox, "MIOX vs CONTROL"),
  summarize_deg_counts(table_unch, "UNCH vs CONTROL"),
  summarize_deg_counts(table_gfp, "GFP vs CONTROL")
)


# Display table using kable with styling
deg_summary %>%
  kable("html", escape = FALSE, col.names = gsub("_", " ", names(.))) %>%
  kable_styling("striped", full_width = TRUE) %>%
  column_spec(2, color = "red", bold = TRUE) %>%  # Upregulated in red
  column_spec(3, color = "blue", bold = TRUE) %>% # Downregulated in blue
  add_header_above(c("Summary of DEGs" = 3)) %>%
  row_spec(0, bold = TRUE)
Summary of DEGs
Contrast Upregulated Downregulated
HEX1 vs CONTROL 6491 3837
HEX2 vs CONTROL 6234 3664
JHMT vs CONTROL 6482 3901
MIOX vs CONTROL 6490 3917
UNCH vs CONTROL 6507 3961
GFP vs CONTROL 6420 3902
# Define the list of RNAi contrasts
contrast_list <- c("HEX1_vs_CONTROL", "HEX2_vs_CONTROL", "JHMT_vs_CONTROL", 
                   "MIOX_vs_CONTROL", "UNCH_vs_CONTROL", "GFP_vs_CONTROL")

# Initialize empty lists for storing Head-specific DEGs for each contrast
venn_data_up <- list()
venn_data_down <- list()
venn_data_all <- list()

# Function to load Head-specific DEGs for a given set of contrasts
load_deg_contrasts_head <- function(contrast_list) {
  degs_up <- list()
  degs_down <- list()
  degs_all <- list()
  
  for (contrast in contrast_list) {
    deg_file <- file.path(workDir, "DEG_results/RNAi/All_control/", contrast, paste0("DEG_sigresults_", contrast, ".csv"))
    
    if (!file.exists(deg_file)) {
      message(paste("File missing for contrast:", contrast))
      next  # Skip if the file doesn't exist
    }
    
    deg_data <- read.csv(deg_file, stringsAsFactors = FALSE)
    
    # Convert row names to a column if necessary
       if ("X" %in% colnames(deg_data)) {
    colnames(deg_data)[colnames(deg_data) == "X"] <- "GeneID"
    }

        # Check if data is empty
        if (nrow(deg_data) == 0) {
            message(paste("No data for contrast:", contrast))
            next
        }
    
    # Select significant DEGs (Up, Down, All)
    degs_up[[contrast]] <- deg_data %>%
      filter(padj < 0.05 & log2FoldChange >= 1) %>%
      pull(GeneID)  # Extract GeneID column
    
    degs_down[[contrast]] <- deg_data %>%
      filter(padj < 0.05 & log2FoldChange <= -1) %>%
      pull(GeneID)  # Extract GeneID column
    
    degs_all[[contrast]] <- deg_data %>%
      filter(padj < 0.05 & abs(log2FoldChange) >= 1) %>%
      pull(GeneID)  # Extract GeneID column
  }
  
  return(list(up = degs_up, down = degs_down, all = degs_all))
}

# Load DEG data for the defined contrasts (Head tissue only)
venn_data_contrasts <- load_deg_contrasts_head(contrast_list)

# Prepare the data for the Venn diagrams
venn_data_up <- venn_data_contrasts$up
venn_data_down <- venn_data_contrasts$down
venn_data_all <- venn_data_contrasts$all


# Display the Venn diagram and datatable for **Head Upregulated DEGs** across contrasts
display_ggvenn_plot(venn_data_up, "Venn Diagram of Head and Thorax Upregulated DEGs - RNAi Contrasts")

Version Author Date
9451c02 Maeva TECHER 2025-03-03
b540a1e Maeva TECHER 2025-02-27
# Display the Venn diagram and datatable for **Head Downregulated DEGs** across contrasts
display_ggvenn_plot(venn_data_down, "Venn Diagram of Head and Thorax Downregulated DEGs - RNAi Contrasts")

Version Author Date
9451c02 Maeva TECHER 2025-03-03
b540a1e Maeva TECHER 2025-02-27
# Display the Venn diagram and datatable for **All Significant DEGs in Head Tissue**
display_ggvenn_plot(venn_data_all, "Venn Diagram of All Significant DEGs in All Tissue - RNAi Contrasts")

Version Author Date
3e696d6 Maeva TECHER 2025-06-05
9451c02 Maeva TECHER 2025-03-03
b540a1e Maeva TECHER 2025-02-27
# Run the UpSet plot for Head Upregulated DEGs
display_upset_plot(venn_data_up, "UpSet Plot of Head and Thorax Upregulated DEGs - RNAi Contrasts")

Version Author Date
9451c02 Maeva TECHER 2025-03-03
b540a1e Maeva TECHER 2025-02-27
# Run the UpSet plot for Head Downregulated DEGs
display_upset_plot(venn_data_down, "UpSet Plot of Head and Thorax Downregulated DEGs - RNAi Contrasts")

Version Author Date
9451c02 Maeva TECHER 2025-03-03
b540a1e Maeva TECHER 2025-02-27
# Run the UpSet plot for Head Upregulated DEGs
display_upset_plot(venn_data_all, "UpSet Plot of All Significant DEGs in All Tissue - RNAi Contrasts")

Version Author Date
9451c02 Maeva TECHER 2025-03-03
b540a1e Maeva TECHER 2025-02-27

Head tissue

saveDir <- paste0(workDir,"/DEG_results/RNAi/Head_control")
dir.create(saveDir)
### Prepare Sample CSV file #####
samples <- read.delim(file.path(workDir, "list/RNAi/Head_RNAi_noninjectedsample_list.csv"), sep = ",", row.names = 1, header = TRUE)
files <- file.path(workDir, "readcounts/RNAi/", samples$Tissue, samples$Filename)
names(files) <- row.names(samples)
if (all(file.exists(files))) {
  message("All the files exist!")
} else {
  warning("Some files are missing!")
}
All the files exist!
### **Standardized Count Matrix Creation**
# Extract all gene lists first
gene_lists <- map(files, function(sample) {
  fread(sample, sep = "\t", header = FALSE)[, 1]  # Extract Gene IDs (column 1)
})

# Get a unique set of all gene IDs across all samples
all_genes <- unique(unlist(gene_lists))

# Create a named list to store count data with standardized rows
cts_list <- map(files, function(sample) {
  data_count <- fread(sample, sep = "\t", header = FALSE)
  
  col_name <- gsub("_counts.txt", "", basename(sample))  # Clean sample name
  
  # Convert to data frame with correct column names
  data_count <- setNames(data.frame(data_count[, 1:2]), c("GeneID", col_name))
  
  # Ensure all gene IDs are present (fill missing values with 0)
  data_count <- full_join(data.frame(GeneID = all_genes), data_count, by = "GeneID") %>%
    mutate(across(where(is.numeric), ~ replace_na(., 0)))  # Fill NA with 0
  
  return(data_count)
})

# Merge all samples based on GeneID
cts <- reduce(cts_list, full_join, by = "GeneID")

# Convert to matrix for DESeq2
cts_matrix <- as.matrix(cts[, -1])  # Remove GeneID column for count matrix
rownames(cts_matrix) <- cts$GeneID  # Set GeneID as rownames
rm(cts_list)  # Free memory

While for bulk RNAseq on head and thorax for all species, the DEGs model was made between isolated and crowded individuals (with isolated as the reference state), here, the DEG analysis will be carried between GFP knock-down nymphs (as reference state) vs Hexamerins / Juvenile Hormones / Inositol / Uncharacterized proteins.

### Build DESeq2 Object
dds <- DESeqDataSetFromMatrix(countData = cts_matrix,
                              colData = samples,
                              design = ~ Gene)
dds$Gene <- relevel(dds$Gene, ref = "CONTROL")

smallestGroupSize <- 5
keep <- rowSums(counts(dds) >= 10) >= smallestGroupSize
dds <- dds[keep,]

dds <- DESeq(dds)

Normalization and PCA

# Plot PCA and investigate quality metrics
vsd <- vst(dds, blind = TRUE) 

# Perform PCA
pca_data <- plotPCA(vsd, intgroup = c("Tissue", "Gene"), returnData = TRUE)

# Define colors for genes (slightly transparent) and shapes for tissues
gene_colors <- scale_color_manual(values = alpha(brewer.pal(n = length(unique(pca_data$Gene)), name = "Set1"), 0.8))  # Points are transparent
tissue_shapes <- scale_shape_manual(values = seq(15, 15 + length(unique(pca_data$Tissue))))

# **PCA without labels**
p_pca_nolabel <- ggplot(pca_data, aes(x = PC1, y = PC2, color = Gene, shape = Tissue)) +
  geom_point(size = 4) +
  gene_colors + 
  tissue_shapes +
  theme_bw() +
  theme(legend.title = element_blank(),
        legend.text = element_text(face = "bold", size = 14),
        axis.text = element_text(size = 12),
        axis.title = element_text(size = 14)) +
  ggtitle("PCA of All Tissues (No Labels)", subtitle = "Tissues differentiated by shape, Genes by color")

# Save PCA without labels
ggsave(paste0(saveDir, "/PCA_Tissue_Gene_NoLabel.png"), plot = p_pca_nolabel, width = 10, height = 10, dpi = 600, device = "png")

# **PCA with labels**
p_pca_label <- ggplot(pca_data, aes(x = PC1, y = PC2, color = Gene, shape = Tissue)) +
  geom_point(size = 4) +
  geom_text_repel(aes(label = name), size = 4, color = "black", max.overlaps = 20) +  # Labels are fully visible
  gene_colors + 
  tissue_shapes +
  theme_bw() +
  theme(legend.title = element_blank(),
        legend.text = element_text(face = "bold", size = 14),
        axis.text = element_text(size = 12),
        axis.title = element_text(size = 14)) +
  ggtitle("PCA of All Tissues (With Labels)", subtitle = "Tissues differentiated by shape, Genes by color")

# Save PCA with labels
ggsave(paste0(saveDir, "/PCA_Tissue_Gene_Label.png"), plot = p_pca_label, width = 10, height = 10, dpi = 600, device = "png")

# **Return plots for knitr/RMarkdown**
list(NoLabel = p_pca_nolabel, WithLabel = p_pca_label)
$NoLabel

Version Author Date
b540a1e Maeva TECHER 2025-02-27

$WithLabel

Version Author Date
b540a1e Maeva TECHER 2025-02-27

The PCA plot shows clear distinction between tissue types, while gene silencing has a large variation within each tissue, and presents no distinct clear groupings for a single gene.

SVA

### SVA analysis to control for technical variation 
dat  <- counts(dds, normalized = TRUE)
idx  <- rowMeans(dat) > 1
dat  <- dat[idx, ]
mod  <- model.matrix(~ Gene, colData(dds))
mod0 <- model.matrix(~ 1, colData(dds))
svseq <- svaseq(dat, mod, mod0)
Number of significant surrogate variables is:  7 
Iteration (out of 5 ):1  2  3  4  5  
sva_plots <- create_sva_plots(svseq, dds, saveDir, intgroup = c("Tissue", "Gene"), max_sv = 7)

# Show stripcharts in the report
sva_plots$Stripcharts[[1]]  # Show first stripchart

Version Author Date
b540a1e Maeva TECHER 2025-02-27
sva_plots$Stripcharts[[2]]  # Show second stripchart

Version Author Date
b540a1e Maeva TECHER 2025-02-27
sva_plots$Stripcharts[[3]]  # Show third stripchart

Version Author Date
b540a1e Maeva TECHER 2025-02-27
sva_plots$Stripcharts[[4]] 

Version Author Date
b540a1e Maeva TECHER 2025-02-27
sva_plots$Stripcharts[[5]]  # Show second stripchart

Version Author Date
b540a1e Maeva TECHER 2025-02-27
sva_plots$Stripcharts[[6]]  # Show third stripchart

Version Author Date
b540a1e Maeva TECHER 2025-02-27
sva_plots$Stripcharts[[7]] 

Version Author Date
b540a1e Maeva TECHER 2025-02-27
# Show scatter plots in the report
sva_plots$ScatterPlots[["1_2"]]  # Show SV1 vs SV2

Version Author Date
b540a1e Maeva TECHER 2025-02-27
sva_plots$ScatterPlots[["1_3"]]  # Show SV1 vs SV3

Version Author Date
b540a1e Maeva TECHER 2025-02-27
sva_plots$ScatterPlots[["2_3"]]  # Show SV2 vs SV3

Version Author Date
3e696d6 Maeva TECHER 2025-06-05
b540a1e Maeva TECHER 2025-02-27

SV1 is clearly showing an effect of tissue. We rerun the DESeq2 model but this time including the surrogate variable SV2 and SV3 as a covariates only, as we know that the modeled variation is more likely explained by tissue and gene variation rather than batch effects.

ddssva <- dds
ddssva$SV1 <- svseq$sv[,1]
ddssva$SV2 <- svseq$sv[,2]
ddssva$SV3 <- svseq$sv[,3]
ddssva$SV4 <- svseq$sv[,4]
ddssva$SV5 <- svseq$sv[,5]
ddssva$SV6 <- svseq$sv[,6]
ddssva$SV7 <- svseq$sv[,7]

design(ddssva) <- ~ SV1 + SV2 + SV3 + SV4 + SV5 + SV6 + SV7 + Gene
ddssva$Gene <- relevel(ddssva$Gene, ref = "CONTROL")

smallestGroupSize <- 5
keep <- rowSums(counts(ddssva) >= 10) >= smallestGroupSize
ddssva <- ddssva[keep,]

ddssva <- DESeq(ddssva)

ddssva <- ddssva[which(mcols(ddssva)$betaConv),] # remove non converging rows

### Extract results
message("Available contrasts are: ", paste(resultsNames(ddssva), collapse = ", "))


hex1 <- results(ddssva, contrast = c("Gene", "HEX1", "CONTROL"), alpha = 0.05)
hex2 <- results(ddssva, contrast = c("Gene", "HEX2", "CONTROL"), alpha = 0.05)
jhmt <- results(ddssva, contrast = c("Gene", "JHMT", "CONTROL"), alpha = 0.05)
miox <- results(ddssva, contrast = c("Gene", "MIOX", "CONTROL"), alpha = 0.05)
unch <- results(ddssva, contrast = c("Gene", "UNCH", "CONTROL"), alpha = 0.05)
gfp  <- results(ddssva, contrast = c("Gene", "GFP", "CONTROL"), alpha = 0.05)

Volcano plots and Heatmaps

# Define contrast_sets
hex1_samples <- c("SGRE-HEAD-CRD-1","SGRE-HEAD-CRD-2","SGRE-HEAD-CRD-3","SGRE-HEAD-CRD-4","SGRE-HEAD-CRD-5",
                  "SGRE-HEAD-CRD-6","SggfpH1","SggfpH2","SggfpH3","SggfpH4","SggfpH5",
                  "Sghex1H1","Sghex1H2","Sghex1H3","Sghex1H4","Sghex1H5")
hex2_samples <- c("SGRE-HEAD-CRD-1","SGRE-HEAD-CRD-2","SGRE-HEAD-CRD-3","SGRE-HEAD-CRD-4","SGRE-HEAD-CRD-5",
                  "SGRE-HEAD-CRD-6","SggfpH1","SggfpH2","SggfpH3","SggfpH4","SggfpH5",
                  "Sghex2H1","Sghex2H2","Sghex2H3","Sghex2H4","Sghex2H5")
jhmt_samples <- c("SGRE-HEAD-CRD-1","SGRE-HEAD-CRD-2","SGRE-HEAD-CRD-3","SGRE-HEAD-CRD-4","SGRE-HEAD-CRD-5",
                  "SGRE-HEAD-CRD-6","SggfpH1","SggfpH2","SggfpH3","SggfpH4","SggfpH5",
                  "SgjhmtH1","SgjhmtH2","SgjhmtH3","SgjhmtH4","SgjhmtH5")
miox_samples <- c("SGRE-HEAD-CRD-1","SGRE-HEAD-CRD-2","SGRE-HEAD-CRD-3","SGRE-HEAD-CRD-4","SGRE-HEAD-CRD-5",
                  "SGRE-HEAD-CRD-6","SggfpH1","SggfpH2","SggfpH3","SggfpH4","SggfpH5",
                  "SgmioxH1","SgmioxH2","SgmioxH3","SgmioxH4","SgmioxH5")
unch_samples <- c("SGRE-HEAD-CRD-1","SGRE-HEAD-CRD-2","SGRE-HEAD-CRD-3","SGRE-HEAD-CRD-4","SGRE-HEAD-CRD-5",
                  "SGRE-HEAD-CRD-6","SggfpH1","SggfpH2","SggfpH3","SggfpH4","SggfpH5",
                  "SgunchH1","SgunchH2","SgunchH3","SgunchH4","SgunchH5")
gfp_samples <- c("SGRE-HEAD-CRD-1","SGRE-HEAD-CRD-2","SGRE-HEAD-CRD-3","SGRE-HEAD-CRD-4","SGRE-HEAD-CRD-5",
                  "SGRE-HEAD-CRD-6","SggfpH1","SggfpH2","SggfpH3","SggfpH4","SggfpH5")

# Run full analysis
hex1_plots <- visualize_data_nopng(hex1, "HEX1_vs_CONTROL", hex1_samples)
hex2_plots <- visualize_data_nopng(hex2, "HEX2_vs_CONTROL", hex2_samples)
jhmt_plots <- visualize_data_nopng(jhmt, "JHMT_vs_CONTROL", jhmt_samples)
miox_plots <- visualize_data_nopng(miox, "MIOX_vs_CONTROL", miox_samples)
unch_plots <- visualize_data_nopng(unch, "UNCH_vs_CONTROL", unch_samples)
gfp_plots <- visualize_data_nopng(gfp, "GFP_vs_CONTROL", gfp_samples)

hex1_plots$volcano; hex1_plots$heatmap

Version Author Date
b540a1e Maeva TECHER 2025-02-27

Version Author Date
b540a1e Maeva TECHER 2025-02-27
hex2_plots$volcano; hex2_plots$heatmap

Version Author Date
b540a1e Maeva TECHER 2025-02-27

Version Author Date
b540a1e Maeva TECHER 2025-02-27
jhmt_plots$volcano; jhmt_plots$heatmap

Version Author Date
b540a1e Maeva TECHER 2025-02-27

Version Author Date
b540a1e Maeva TECHER 2025-02-27
miox_plots$volcano; miox_plots$heatmap

Version Author Date
b540a1e Maeva TECHER 2025-02-27

Version Author Date
b540a1e Maeva TECHER 2025-02-27
unch_plots$volcano; unch_plots$heatmap

Version Author Date
b540a1e Maeva TECHER 2025-02-27

Version Author Date
b540a1e Maeva TECHER 2025-02-27
gfp_plots$volcano; gfp_plots$heatmap

Version Author Date
9451c02 Maeva TECHER 2025-03-03
b540a1e Maeva TECHER 2025-02-27

Version Author Date
9451c02 Maeva TECHER 2025-03-03
b540a1e Maeva TECHER 2025-02-27

DEG tables

The following tables show the genes differentially expressed with at least an absolute log2fold change of > 1 considering Head tissues only. Considering GFP as the reference state, upregulated genes in knockdown treatment in red and downregulated genes in knockdown treatment in blue. You can search for a gene of interest by writting a LOCID or description in the search bar or sort by column.

# Generate tables for each contrast
table_hex1 <- generate_deg_table(ddssva, "Gene_HEX1_vs_CONTROL", allspecies_df)

out of 16121 with nonzero total read count
adjusted p-value < 0.05
LFC > 0 (up)       : 7836, 49%
LFC < 0 (down)     : 4830, 30%
outliers [1]       : 0, 0%
low counts [2]     : 0, 0%
(mean count < 2)
[1] see 'cooksCutoff' argument of ?results
[2] see 'independentFiltering' argument of ?results
Total DEGs p-value < 0.05 and absolute logFoldChange > 1: 9521
LFC > 1 (up)       : 6258 (65.73%)
LFC < -1 (down)     : 3263 (34.27%)
table_hex1$kable_table
table_hex2 <- generate_deg_table(ddssva, "Gene_HEX2_vs_CONTROL", allspecies_df)

out of 16121 with nonzero total read count
adjusted p-value < 0.05
LFC > 0 (up)       : 7655, 47%
LFC < 0 (down)     : 4879, 30%
outliers [1]       : 0, 0%
low counts [2]     : 0, 0%
(mean count < 2)
[1] see 'cooksCutoff' argument of ?results
[2] see 'independentFiltering' argument of ?results
Total DEGs p-value < 0.05 and absolute logFoldChange > 1: 8961
LFC > 1 (up)       : 5969 (66.61%)
LFC < -1 (down)     : 2992 (33.39%)
table_hex2$kable_table
table_jhmt <- generate_deg_table(ddssva, "Gene_JHMT_vs_CONTROL", allspecies_df)

out of 16121 with nonzero total read count
adjusted p-value < 0.05
LFC > 0 (up)       : 7510, 47%
LFC < 0 (down)     : 4678, 29%
outliers [1]       : 0, 0%
low counts [2]     : 0, 0%
(mean count < 2)
[1] see 'cooksCutoff' argument of ?results
[2] see 'independentFiltering' argument of ?results
Total DEGs p-value < 0.05 and absolute logFoldChange > 1: 9012
LFC > 1 (up)       : 6015 (66.74%)
LFC < -1 (down)     : 2997 (33.26%)
table_jhmt$kable_table
table_miox <- generate_deg_table(ddssva, "Gene_MIOX_vs_CONTROL", allspecies_df)

out of 16121 with nonzero total read count
adjusted p-value < 0.05
LFC > 0 (up)       : 7810, 48%
LFC < 0 (down)     : 4879, 30%
outliers [1]       : 0, 0%
low counts [2]     : 0, 0%
(mean count < 2)
[1] see 'cooksCutoff' argument of ?results
[2] see 'independentFiltering' argument of ?results
Total DEGs p-value < 0.05 and absolute logFoldChange > 1: 9316
LFC > 1 (up)       : 6163 (66.16%)
LFC < -1 (down)     : 3153 (33.84%)
table_miox$kable_table
table_unch <- generate_deg_table(ddssva, "Gene_UNCH_vs_CONTROL", allspecies_df)

out of 16121 with nonzero total read count
adjusted p-value < 0.05
LFC > 0 (up)       : 8065, 50%
LFC < 0 (down)     : 4966, 31%
outliers [1]       : 0, 0%
low counts [2]     : 0, 0%
(mean count < 2)
[1] see 'cooksCutoff' argument of ?results
[2] see 'independentFiltering' argument of ?results
Total DEGs p-value < 0.05 and absolute logFoldChange > 1: 9870
LFC > 1 (up)       : 6462 (65.47%)
LFC < -1 (down)     : 3408 (34.53%)
table_unch$kable_table
table_gfp <- generate_deg_table(ddssva, "Gene_GFP_vs_CONTROL", allspecies_df)

out of 16121 with nonzero total read count
adjusted p-value < 0.05
LFC > 0 (up)       : 7538, 47%
LFC < 0 (down)     : 4762, 30%
outliers [1]       : 0, 0%
low counts [2]     : 0, 0%
(mean count < 2)
[1] see 'cooksCutoff' argument of ?results
[2] see 'independentFiltering' argument of ?results
Total DEGs p-value < 0.05 and absolute logFoldChange > 1: 9067
LFC > 1 (up)       : 5974 (65.89%)
LFC < -1 (down)     : 3093 (34.11%)
table_gfp$kable_table

Summary and Overlap

# Summarize DEGs for all contrasts
deg_summary <- bind_rows(
  summarize_deg_counts(table_hex1, "HEX1 vs CONTROL"),
  summarize_deg_counts(table_hex2, "HEX2 vs CONTROL"),
  summarize_deg_counts(table_jhmt, "JHMT vs CONTROL"),
  summarize_deg_counts(table_miox, "MIOX vs CONTROL"),
  summarize_deg_counts(table_unch, "UNCH vs CONTROL"),
  summarize_deg_counts(table_gfp, "GFP vs CONTROL")
)


# Display table using kable with styling
deg_summary %>%
  kable("html", escape = FALSE, col.names = gsub("_", " ", names(.))) %>%
  kable_styling("striped", full_width = TRUE) %>%
  column_spec(2, color = "red", bold = TRUE) %>%  # Upregulated in red
  column_spec(3, color = "blue", bold = TRUE) %>% # Downregulated in blue
  add_header_above(c("Summary of DEGs" = 3)) %>%
  row_spec(0, bold = TRUE)
Summary of DEGs
Contrast Upregulated Downregulated
HEX1 vs CONTROL 6209 3241
HEX2 vs CONTROL 5921 2961
JHMT vs CONTROL 5965 2969
MIOX vs CONTROL 6118 3123
UNCH vs CONTROL 6427 3384
GFP vs CONTROL 5921 3074
# Define the list of RNAi contrasts
contrast_list <- c("HEX1_vs_CONTROL", "HEX2_vs_CONTROL", "JHMT_vs_CONTROL", 
                   "MIOX_vs_CONTROL", "UNCH_vs_CONTROL", "GFP_vs_CONTROL")

# Initialize empty lists for storing Head-specific DEGs for each contrast
venn_data_up <- list()
venn_data_down <- list()
venn_data_all <- list()

# Function to load Head-specific DEGs for a given set of contrasts
load_deg_contrasts_head <- function(contrast_list) {
  degs_up <- list()
  degs_down <- list()
  degs_all <- list()
  
  for (contrast in contrast_list) {
    deg_file <- file.path(workDir, "DEG_results/RNAi/Head_control/", contrast, paste0("DEG_sigresults_", contrast, ".csv"))
    
    if (!file.exists(deg_file)) {
      message(paste("File missing for contrast:", contrast))
      next  # Skip if the file doesn't exist
    }
    
    deg_data <- read.csv(deg_file, stringsAsFactors = FALSE)
    
    # Convert row names to a column if necessary
       if ("X" %in% colnames(deg_data)) {
    colnames(deg_data)[colnames(deg_data) == "X"] <- "GeneID"
    }

        # Check if data is empty
        if (nrow(deg_data) == 0) {
            message(paste("No data for contrast:", contrast))
            next
        }
    
    # Select significant DEGs (Up, Down, All)
    degs_up[[contrast]] <- deg_data %>%
      filter(padj < 0.05 & log2FoldChange >= 1) %>%
      pull(GeneID)  # Extract GeneID column
    
    degs_down[[contrast]] <- deg_data %>%
      filter(padj < 0.05 & log2FoldChange <= -1) %>%
      pull(GeneID)  # Extract GeneID column
    
    degs_all[[contrast]] <- deg_data %>%
      filter(padj < 0.05 & abs(log2FoldChange) >= 1) %>%
      pull(GeneID)  # Extract GeneID column
  }
  
  return(list(up = degs_up, down = degs_down, all = degs_all))
}

# Load DEG data for the defined contrasts (Head tissue only)
venn_data_contrasts <- load_deg_contrasts_head(contrast_list)

# Prepare the data for the Venn diagrams
venn_data_up <- venn_data_contrasts$up
venn_data_down <- venn_data_contrasts$down
venn_data_all <- venn_data_contrasts$all


# Display the Venn diagram and datatable for **Head Upregulated DEGs** across contrasts
display_ggvenn_plot(venn_data_up, "Venn Diagram of Head Upregulated DEGs - RNAi Contrasts")

Version Author Date
9451c02 Maeva TECHER 2025-03-03
b540a1e Maeva TECHER 2025-02-27
# Display the Venn diagram and datatable for **Head Downregulated DEGs** across contrasts
display_ggvenn_plot(venn_data_down, "Venn Diagram of Head Downregulated DEGs - RNAi Contrasts")

Version Author Date
9451c02 Maeva TECHER 2025-03-03
b540a1e Maeva TECHER 2025-02-27
# Display the Venn diagram and datatable for **All Significant DEGs in Head Tissue**
display_ggvenn_plot(venn_data_all, "Venn Diagram of All Significant DEGs in Head Tissue - RNAi Contrasts")

Version Author Date
9451c02 Maeva TECHER 2025-03-03
b540a1e Maeva TECHER 2025-02-27
# Run the UpSet plot for Head Upregulated DEGs
display_upset_plot(venn_data_up, "UpSet Plot of Head Upregulated DEGs - RNAi Contrasts")

Version Author Date
9451c02 Maeva TECHER 2025-03-03
b540a1e Maeva TECHER 2025-02-27
# Run the UpSet plot for Head Downregulated DEGs
display_upset_plot(venn_data_down, "UpSet Plot of Head Downregulated DEGs - RNAi Contrasts")

Version Author Date
9451c02 Maeva TECHER 2025-03-03
b540a1e Maeva TECHER 2025-02-27
# Run the UpSet plot for Head Upregulated DEGs
display_upset_plot(venn_data_down, "UpSet Plot of All Significant DEGs in Head Tissue - RNAi Contrasts")

Version Author Date
9451c02 Maeva TECHER 2025-03-03
b540a1e Maeva TECHER 2025-02-27

Thorax tissue

saveDir <- paste0(workDir,"/DEG_results/RNAi/Thorax_control")
dir.create(saveDir)
### Prepare Sample CSV file #####
samples <- read.delim(file.path(workDir, "list/RNAi/Thorax_RNAi_noninjectedsample_list.csv"), sep = ",", row.names = 1, header = TRUE)
files <- file.path(workDir, "readcounts/RNAi/", samples$Tissue, samples$Filename)
names(files) <- row.names(samples)
if (all(file.exists(files))) {
  message("All the files exist!")
} else {
  warning("Some files are missing!")
}
All the files exist!
### **Standardized Count Matrix Creation**
# Extract all gene lists first
gene_lists <- map(files, function(sample) {
  fread(sample, sep = "\t", header = FALSE)[, 1]  # Extract Gene IDs (column 1)
})

# Get a unique set of all gene IDs across all samples
all_genes <- unique(unlist(gene_lists))

# Create a named list to store count data with standardized rows
cts_list <- map(files, function(sample) {
  data_count <- fread(sample, sep = "\t", header = FALSE)
  
  col_name <- gsub("_counts.txt", "", basename(sample))  # Clean sample name
  
  # Convert to data frame with correct column names
  data_count <- setNames(data.frame(data_count[, 1:2]), c("GeneID", col_name))
  
  # Ensure all gene IDs are present (fill missing values with 0)
  data_count <- full_join(data.frame(GeneID = all_genes), data_count, by = "GeneID") %>%
    mutate(across(where(is.numeric), ~ replace_na(., 0)))  # Fill NA with 0
  
  return(data_count)
})

# Merge all samples based on GeneID
cts <- reduce(cts_list, full_join, by = "GeneID")

# Convert to matrix for DESeq2
cts_matrix <- as.matrix(cts[, -1])  # Remove GeneID column for count matrix
rownames(cts_matrix) <- cts$GeneID  # Set GeneID as rownames
rm(cts_list)  # Free memory

While for bulk RNAseq on head and thorax for all species, the DEGs model was made between isolated and crowded individuals (with isolated as the reference state), here, the DEG analysis will be carried between GFP knock-down nymphs (as reference state) vs Hexamerins / Juvenile Hormones / Inositol / Uncharacterized proteins.

### Build DESeq2 Object
dds <- DESeqDataSetFromMatrix(countData = cts_matrix,
                              colData = samples,
                              design = ~ Gene)
dds$Gene <- relevel(dds$Gene, ref = "CONTROL")

smallestGroupSize <- 5
keep <- rowSums(counts(dds) >= 10) >= smallestGroupSize
dds <- dds[keep,]

dds <- DESeq(dds)

Normalization and PCA

# Plot PCA and investigate quality metrics
vsd <- vst(dds, blind = TRUE) 

# Perform PCA
pca_data <- plotPCA(vsd, intgroup = c("Tissue", "Gene"), returnData = TRUE)

# Define colors for genes (slightly transparent) and shapes for tissues
gene_colors <- scale_color_manual(values = alpha(brewer.pal(n = length(unique(pca_data$Gene)), name = "Set1"), 0.8))  # Points are transparent
tissue_shapes <- scale_shape_manual(values = seq(15, 15 + length(unique(pca_data$Tissue))))

# **PCA without labels**
p_pca_nolabel <- ggplot(pca_data, aes(x = PC1, y = PC2, color = Gene, shape = Tissue)) +
  geom_point(size = 4) +
  gene_colors + 
  tissue_shapes +
  theme_bw() +
  theme(legend.title = element_blank(),
        legend.text = element_text(face = "bold", size = 14),
        axis.text = element_text(size = 12),
        axis.title = element_text(size = 14)) +
  ggtitle("PCA of All Tissues (No Labels)", subtitle = "Tissues differentiated by shape, Genes by color")

# Save PCA without labels
ggsave(paste0(saveDir, "/PCA_Tissue_Gene_NoLabel.png"), plot = p_pca_nolabel, width = 10, height = 10, dpi = 600, device = "png")

# **PCA with labels**
p_pca_label <- ggplot(pca_data, aes(x = PC1, y = PC2, color = Gene, shape = Tissue)) +
  geom_point(size = 4) +
  geom_text_repel(aes(label = name), size = 4, color = "black", max.overlaps = 20) +  # Labels are fully visible
  gene_colors + 
  tissue_shapes +
  theme_bw() +
  theme(legend.title = element_blank(),
        legend.text = element_text(face = "bold", size = 14),
        axis.text = element_text(size = 12),
        axis.title = element_text(size = 14)) +
  ggtitle("PCA of All Tissues (With Labels)", subtitle = "Tissues differentiated by shape, Genes by color")

# Save PCA with labels
ggsave(paste0(saveDir, "/PCA_Tissue_Gene_Label.png"), plot = p_pca_label, width = 10, height = 10, dpi = 600, device = "png")

# **Return plots for knitr/RMarkdown**
list(NoLabel = p_pca_nolabel, WithLabel = p_pca_label)
$NoLabel

Version Author Date
b540a1e Maeva TECHER 2025-02-27

$WithLabel

Version Author Date
b540a1e Maeva TECHER 2025-02-27

The PCA plot shows clear distinction between tissue types, while gene silencing has a large variation within each tissue, and presents no distinct clear groupings for a single gene.

SVA

### SVA analysis to control for technical variation 
dat  <- counts(dds, normalized = TRUE)
idx  <- rowMeans(dat) > 1
dat  <- dat[idx, ]
mod  <- model.matrix(~ Gene, colData(dds))
mod0 <- model.matrix(~ 1, colData(dds))
svseq <- svaseq(dat, mod, mod0)
Number of significant surrogate variables is:  6 
Iteration (out of 5 ):1  2  3  4  5  
sva_plots <- create_sva_plots(svseq, dds, saveDir, intgroup = c("Tissue", "Gene"), max_sv = 6)

# Show stripcharts in the report
sva_plots$Stripcharts[[1]]  # Show first stripchart

Version Author Date
b540a1e Maeva TECHER 2025-02-27
sva_plots$Stripcharts[[2]]  # Show second stripchart

Version Author Date
b540a1e Maeva TECHER 2025-02-27
sva_plots$Stripcharts[[3]]  # Show third stripchart

Version Author Date
b540a1e Maeva TECHER 2025-02-27
sva_plots$Stripcharts[[4]] 

Version Author Date
b540a1e Maeva TECHER 2025-02-27
sva_plots$Stripcharts[[5]]  # Show third stripchart

Version Author Date
b540a1e Maeva TECHER 2025-02-27
sva_plots$Stripcharts[[6]] 

Version Author Date
b540a1e Maeva TECHER 2025-02-27
# Show scatter plots in the report
sva_plots$ScatterPlots[["1_2"]]  # Show SV1 vs SV2

Version Author Date
b540a1e Maeva TECHER 2025-02-27
sva_plots$ScatterPlots[["1_3"]]  # Show SV1 vs SV3

Version Author Date
b540a1e Maeva TECHER 2025-02-27
sva_plots$ScatterPlots[["2_3"]]  # Show SV2 vs SV3

Version Author Date
b540a1e Maeva TECHER 2025-02-27

SV1 is clearly showing an effect of tissue. We rerun the DESeq2 model but this time including the surrogate variable SV2 and SV3 as a covariates only, as we know that the modeled variation is more likely explained by tissue and gene variation rather than batch effects.

ddssva <- dds
ddssva$SV1 <- svseq$sv[,1]
ddssva$SV2 <- svseq$sv[,2]
ddssva$SV3 <- svseq$sv[,3]
ddssva$SV4 <- svseq$sv[,4]
ddssva$SV5 <- svseq$sv[,5]
ddssva$SV6 <- svseq$sv[,6]

design(ddssva) <- ~ SV1 + SV2 + SV3 + SV4 + SV5 + SV6 + Gene
ddssva$Gene <- relevel(ddssva$Gene, ref = "CONTROL")

smallestGroupSize <- 5
keep <- rowSums(counts(ddssva) >= 10) >= smallestGroupSize
ddssva <- ddssva[keep,]

ddssva <- DESeq(ddssva)

ddssva <- ddssva[which(mcols(ddssva)$betaConv),] # remove non converging rows

### Extract results
message("Available contrasts are: ", paste(resultsNames(ddssva), collapse = ", "))


hex1 <- results(ddssva, contrast = c("Gene", "HEX1", "CONTROL"), alpha = 0.05)
hex2 <- results(ddssva, contrast = c("Gene", "HEX2", "CONTROL"), alpha = 0.05)
jhmt <- results(ddssva, contrast = c("Gene", "JHMT", "CONTROL"), alpha = 0.05)
miox <- results(ddssva, contrast = c("Gene", "MIOX", "CONTROL"), alpha = 0.05)
unch <- results(ddssva, contrast = c("Gene", "UNCH", "CONTROL"), alpha = 0.05)
gfp  <- results(ddssva, contrast = c("Gene", "GFP", "CONTROL"), alpha = 0.05)

Volcano plots and Heatmaps

# Define contrast_sets
hex1_samples <- c("SGRE-THOX-CRD-1","SGRE-THOX-CRD-3","SGRE-THOX-CRD-4","SGRE-THOX-CRD-5",
                  "SGRE-THOX-CRD-6","SggfpT1","SggfpT2","SggfpT3","SggfpT4","SggfpT5",
                  "Sghex1T1","Sghex1T2","Sghex1T3","Sghex1T4","Sghex1T5")
hex2_samples <- c("SGRE-THOX-CRD-1","SGRE-THOX-CRD-3","SGRE-THOX-CRD-4","SGRE-THOX-CRD-5",
                  "SGRE-THOX-CRD-6","SggfpT1","SggfpT2","SggfpT3","SggfpT4","SggfpT5",
                  "Sghex2T1","Sghex2T2","Sghex2T3","Sghex2T4","Sghex2T5")
jhmt_samples <- c("SGRE-THOX-CRD-1","SGRE-THOX-CRD-3","SGRE-THOX-CRD-4","SGRE-THOX-CRD-5",
                  "SGRE-THOX-CRD-6","SggfpT1","SggfpT2","SggfpT3","SggfpT4","SggfpT5",
                  "SgjhmtT1","SgjhmtT2","SgjhmtT3","SgjhmtT4","SgjhmtT5")
miox_samples <- c("SGRE-THOX-CRD-1","SGRE-THOX-CRD-3","SGRE-THOX-CRD-4","SGRE-THOX-CRD-5",
                  "SGRE-THOX-CRD-6","SggfpT1","SggfpT2","SggfpT3","SggfpT4","SggfpT5",
                  "SgmioxT1","SgmioxT2","SgmioxT3","SgmioxT4","SgmioxT5")
unch_samples <- c("SGRE-THOX-CRD-1","SGRE-THOX-CRD-3","SGRE-THOX-CRD-4","SGRE-THOX-CRD-5",
                  "SGRE-THOX-CRD-6","SggfpT1","SggfpT2","SggfpT3","SggfpT4","SggfpT5",
                  "SgunchT1","SgunchT2","SgunchT3","SgunchT4","SgunchT5")
gfp_samples <- c("SGRE-THOX-CRD-1","SGRE-THOX-CRD-3","SGRE-THOX-CRD-4","SGRE-THOX-CRD-5",
                  "SGRE-THOX-CRD-6", "SggfpT1","SggfpT2","SggfpT3","SggfpT4","SggfpT5")

# Run full analysis
hex1_plots <- visualize_data_nopng(hex1, "HEX1_vs_CONTROL", hex1_samples)
hex2_plots <- visualize_data_nopng(hex2, "HEX2_vs_CONTROL", hex2_samples)
jhmt_plots <- visualize_data_nopng(jhmt, "JHMT_vs_CONTROL", jhmt_samples)
miox_plots <- visualize_data_nopng(miox, "MIOX_vs_CONTROL", miox_samples)
unch_plots <- visualize_data_nopng(unch, "UNCH_vs_CONTROL", unch_samples)
gfp_plots <- visualize_data_nopng(gfp, "GFP_vs_CONTROL", gfp_samples)

hex1_plots$volcano; hex1_plots$heatmap

Version Author Date
b540a1e Maeva TECHER 2025-02-27

Version Author Date
3e696d6 Maeva TECHER 2025-06-05
b540a1e Maeva TECHER 2025-02-27
hex2_plots$volcano; hex2_plots$heatmap

Version Author Date
b540a1e Maeva TECHER 2025-02-27

Version Author Date
b540a1e Maeva TECHER 2025-02-27
jhmt_plots$volcano; jhmt_plots$heatmap

Version Author Date
b540a1e Maeva TECHER 2025-02-27

Version Author Date
b540a1e Maeva TECHER 2025-02-27
miox_plots$volcano; miox_plots$heatmap

Version Author Date
b540a1e Maeva TECHER 2025-02-27

Version Author Date
b540a1e Maeva TECHER 2025-02-27
unch_plots$volcano; unch_plots$heatmap

Version Author Date
b540a1e Maeva TECHER 2025-02-27

Version Author Date
b540a1e Maeva TECHER 2025-02-27
gfp_plots$volcano; gfp_plots$heatmap

Version Author Date
9451c02 Maeva TECHER 2025-03-03
b540a1e Maeva TECHER 2025-02-27

Version Author Date
9451c02 Maeva TECHER 2025-03-03
b540a1e Maeva TECHER 2025-02-27

DEG tables

The following tables show the genes differentially expressed with at least an absolute log2fold change of > 1 considering Head tissues only. Considering GFP as the reference state, upregulated genes in knockdown treatment in red and downregulated genes in knockdown treatment in blue. You can search for a gene of interest by writting a LOCID or description in the search bar or sort by column.

# Generate tables for each contrast
table_hex1 <- generate_deg_table(ddssva, "Gene_HEX1_vs_CONTROL", allspecies_df)

out of 15769 with nonzero total read count
adjusted p-value < 0.05
LFC > 0 (up)       : 6786, 43%
LFC < 0 (down)     : 4354, 28%
outliers [1]       : 0, 0%
low counts [2]     : 0, 0%
(mean count < 3)
[1] see 'cooksCutoff' argument of ?results
[2] see 'independentFiltering' argument of ?results
Total DEGs p-value < 0.05 and absolute logFoldChange > 1: 8860
LFC > 1 (up)       : 5653 (63.8%)
LFC < -1 (down)     : 3207 (36.2%)
table_hex1$kable_table
table_hex2 <- generate_deg_table(ddssva, "Gene_HEX2_vs_CONTROL", allspecies_df)

out of 15769 with nonzero total read count
adjusted p-value < 0.05
LFC > 0 (up)       : 6502, 41%
LFC < 0 (down)     : 4314, 27%
outliers [1]       : 0, 0%
low counts [2]     : 0, 0%
(mean count < 3)
[1] see 'cooksCutoff' argument of ?results
[2] see 'independentFiltering' argument of ?results
Total DEGs p-value < 0.05 and absolute logFoldChange > 1: 8507
LFC > 1 (up)       : 5403 (63.51%)
LFC < -1 (down)     : 3104 (36.49%)
table_hex2$kable_table
table_jhmt <- generate_deg_table(ddssva, "Gene_JHMT_vs_CONTROL", allspecies_df)

out of 15769 with nonzero total read count
adjusted p-value < 0.05
LFC > 0 (up)       : 7022, 45%
LFC < 0 (down)     : 4439, 28%
outliers [1]       : 0, 0%
low counts [2]     : 0, 0%
(mean count < 3)
[1] see 'cooksCutoff' argument of ?results
[2] see 'independentFiltering' argument of ?results
Total DEGs p-value < 0.05 and absolute logFoldChange > 1: 9151
LFC > 1 (up)       : 5909 (64.57%)
LFC < -1 (down)     : 3242 (35.43%)
table_jhmt$kable_table
table_miox <- generate_deg_table(ddssva, "Gene_MIOX_vs_CONTROL", allspecies_df)

out of 15769 with nonzero total read count
adjusted p-value < 0.05
LFC > 0 (up)       : 7277, 46%
LFC < 0 (down)     : 4615, 29%
outliers [1]       : 0, 0%
low counts [2]     : 0, 0%
(mean count < 3)
[1] see 'cooksCutoff' argument of ?results
[2] see 'independentFiltering' argument of ?results
Total DEGs p-value < 0.05 and absolute logFoldChange > 1: 9376
LFC > 1 (up)       : 6050 (64.53%)
LFC < -1 (down)     : 3326 (35.47%)
table_miox$kable_table
table_unch <- generate_deg_table(ddssva, "Gene_UNCH_vs_CONTROL", allspecies_df)

out of 15769 with nonzero total read count
adjusted p-value < 0.05
LFC > 0 (up)       : 6591, 42%
LFC < 0 (down)     : 4391, 28%
outliers [1]       : 0, 0%
low counts [2]     : 0, 0%
(mean count < 3)
[1] see 'cooksCutoff' argument of ?results
[2] see 'independentFiltering' argument of ?results
Total DEGs p-value < 0.05 and absolute logFoldChange > 1: 8646
LFC > 1 (up)       : 5467 (63.23%)
LFC < -1 (down)     : 3179 (36.77%)
table_unch$kable_table
table_gfp <- generate_deg_table(ddssva, "Gene_GFP_vs_CONTROL", allspecies_df)

out of 15769 with nonzero total read count
adjusted p-value < 0.05
LFC > 0 (up)       : 6989, 44%
LFC < 0 (down)     : 4513, 29%
outliers [1]       : 0, 0%
low counts [2]     : 0, 0%
(mean count < 3)
[1] see 'cooksCutoff' argument of ?results
[2] see 'independentFiltering' argument of ?results
Total DEGs p-value < 0.05 and absolute logFoldChange > 1: 9075
LFC > 1 (up)       : 5779 (63.68%)
LFC < -1 (down)     : 3296 (36.32%)
table_gfp$kable_table

Summary and Overlap

# Summarize DEGs for all contrasts
deg_summary <- bind_rows(
  summarize_deg_counts(table_hex1, "HEX1 vs CONTROL"),
  summarize_deg_counts(table_hex2, "HEX2 vs CONTROL"),
  summarize_deg_counts(table_jhmt, "JHMT vs CONTROL"),
  summarize_deg_counts(table_miox, "MIOX vs CONTROL"),
  summarize_deg_counts(table_unch, "UNCH vs CONTROL"),
  summarize_deg_counts(table_gfp, "GFP vs CONTROL")
)


# Display table using kable with styling
deg_summary %>%
  kable("html", escape = FALSE, col.names = gsub("_", " ", names(.))) %>%
  kable_styling("striped", full_width = TRUE) %>%
  column_spec(2, color = "red", bold = TRUE) %>%  # Upregulated in red
  column_spec(3, color = "blue", bold = TRUE) %>% # Downregulated in blue
  add_header_above(c("Summary of DEGs" = 3)) %>%
  row_spec(0, bold = TRUE)
Summary of DEGs
Contrast Upregulated Downregulated
HEX1 vs CONTROL 5604 3186
HEX2 vs CONTROL 5338 3076
JHMT vs CONTROL 5852 3221
MIOX vs CONTROL 6011 3305
UNCH vs CONTROL 5411 3156
GFP vs CONTROL 5723 3276
# Define the list of RNAi contrasts
contrast_list <- c("HEX1_vs_CONTROL", "HEX2_vs_CONTROL", "JHMT_vs_CONTROL", 
                   "MIOX_vs_CONTROL", "UNCH_vs_CONTROL", "GFP_vs_CONTROL")

# Initialize empty lists for storing Head-specific DEGs for each contrast
venn_data_up <- list()
venn_data_down <- list()
venn_data_all <- list()

# Function to load Head-specific DEGs for a given set of contrasts
load_deg_contrasts_head <- function(contrast_list) {
  degs_up <- list()
  degs_down <- list()
  degs_all <- list()
  
  for (contrast in contrast_list) {
    deg_file <- file.path(workDir, "DEG_results/RNAi/Thorax_control/", contrast, paste0("DEG_sigresults_", contrast, ".csv"))
    
    if (!file.exists(deg_file)) {
      message(paste("File missing for contrast:", contrast))
      next  # Skip if the file doesn't exist
    }
    
    deg_data <- read.csv(deg_file, stringsAsFactors = FALSE)
    
    # Convert row names to a column if necessary
       if ("X" %in% colnames(deg_data)) {
    colnames(deg_data)[colnames(deg_data) == "X"] <- "GeneID"
    }

        # Check if data is empty
        if (nrow(deg_data) == 0) {
            message(paste("No data for contrast:", contrast))
            next
        }
    
    # Select significant DEGs (Up, Down, All)
    degs_up[[contrast]] <- deg_data %>%
      filter(padj < 0.05 & log2FoldChange >= 1) %>%
      pull(GeneID)  # Extract GeneID column
    
    degs_down[[contrast]] <- deg_data %>%
      filter(padj < 0.05 & log2FoldChange <= -1) %>%
      pull(GeneID)  # Extract GeneID column
    
    degs_all[[contrast]] <- deg_data %>%
      filter(padj < 0.05 & abs(log2FoldChange) >= 1) %>%
      pull(GeneID)  # Extract GeneID column
  }
  
  return(list(up = degs_up, down = degs_down, all = degs_all))
}

# Load DEG data for the defined contrasts (Head tissue only)
venn_data_contrasts <- load_deg_contrasts_head(contrast_list)

# Prepare the data for the Venn diagrams
venn_data_up <- venn_data_contrasts$up
venn_data_down <- venn_data_contrasts$down
venn_data_all <- venn_data_contrasts$all


# Display the Venn diagram and datatable for **Head Upregulated DEGs** across contrasts
display_ggvenn_plot(venn_data_up, "Venn Diagram of Thorax Upregulated DEGs - RNAi Contrasts")

Version Author Date
9451c02 Maeva TECHER 2025-03-03
b540a1e Maeva TECHER 2025-02-27
# Display the Venn diagram and datatable for **Head Downregulated DEGs** across contrasts
display_ggvenn_plot(venn_data_down, "Venn Diagram of Thorax Downregulated DEGs - RNAi Contrasts")

Version Author Date
9451c02 Maeva TECHER 2025-03-03
b540a1e Maeva TECHER 2025-02-27
# Display the Venn diagram and datatable for **All Significant DEGs in Head Tissue**
display_ggvenn_plot(venn_data_all, "Venn Diagram of All Significant DEGs in Thorax Tissue - RNAi Contrasts")

Version Author Date
9451c02 Maeva TECHER 2025-03-03
b540a1e Maeva TECHER 2025-02-27
# Run the UpSet plot for Head Upregulated DEGs
display_upset_plot(venn_data_up, "UpSet Plot of Thorax Upregulated DEGs - RNAi Contrasts")

Version Author Date
9451c02 Maeva TECHER 2025-03-03
b540a1e Maeva TECHER 2025-02-27
# Run the UpSet plot for Head Downregulated DEGs
display_upset_plot(venn_data_down, "UpSet Plot of Thorax Downregulated DEGs - RNAi Contrasts")

Version Author Date
9451c02 Maeva TECHER 2025-03-03
b540a1e Maeva TECHER 2025-02-27
# Run the UpSet plot for Head Upregulated DEGs
display_upset_plot(venn_data_all, "UpSet Plot of All Significant DEGs in Thorax Tissue - RNAi Contrasts")

Version Author Date
9451c02 Maeva TECHER 2025-03-03
b540a1e Maeva TECHER 2025-02-27

Excluding rRNA

All tissue together

Minor changes here are made compared to the DESeq2 results regarding the importation of samples to transform into a matrix.

Sample names are structured as follow: {Sg}{gene}{#} {Sg} = Schistocerca gregaria {gene} = gene abbreviation gfp, hex1, hex2, jhmt, miox and unch H/T{#} = biological replicate

saveDir <- paste0(workDir,"/DEG_results/RNAi/All_control_no_rRNA")
dir.create(saveDir)
### Prepare Sample CSV file #####
samples <- read.delim(file.path(workDir, "list/RNAi/All_RNAi_noninjectedsample_list.csv"), sep = ",", row.names = 1, header = TRUE)
files <- file.path(workDir, "readcounts/RNAi/", samples$Tissue, samples$Filename)
names(files) <- row.names(samples)
if (all(file.exists(files))) {
  message("All the files exist!")
} else {
  warning("Some files are missing!")
}
All the files exist!
### **Standardized Count Matrix Creation**
# Extract all gene lists first
gene_lists <- map(files, function(sample) {
  fread(sample, sep = "\t", header = FALSE)[, 1]  # Extract Gene IDs (column 1)
})

# Get a unique set of all gene IDs across all samples
all_genes <- unique(unlist(gene_lists))

# Create a named list to store count data with standardized rows
cts_list <- map(files, function(sample) {
  data_count <- fread(sample, sep = "\t", header = FALSE)
  
  col_name <- gsub("_counts.txt", "", basename(sample))  # Clean sample name
  
  # Convert to data frame with correct column names
  data_count <- setNames(data.frame(data_count[, 1:2]), c("GeneID", col_name))
  
  # Ensure all gene IDs are present (fill missing values with 0)
  data_count <- full_join(data.frame(GeneID = all_genes), data_count, by = "GeneID") %>%
    mutate(across(where(is.numeric), ~ replace_na(., 0)))  # Fill NA with 0
  
  return(data_count)
})

# Merge all samples based on GeneID
cts <- reduce(cts_list, full_join, by = "GeneID")

# Convert to matrix for DESeq2
cts_matrix <- as.matrix(cts[, -1])  # Remove GeneID column for count matrix
rownames(cts_matrix) <- cts$GeneID  # Set GeneID as rownames
rm(cts_list)  # Free memory

While for bulk RNAseq on head and thorax for all species, the DEGs model was made between isolated and crowded individuals (with isolated as the reference state), here, the DEG analysis will be carried between GFP knock-down nymphs (as reference state) vs Hexamerins / Juvenile Hormones / Inositol / Uncharacterized proteins.

### Build DESeq2 Object
dds <- DESeqDataSetFromMatrix(countData = cts_matrix,
                              colData = samples,
                              design = ~ Gene)
dds$Gene <- relevel(dds$Gene, ref = "CONTROL")

smallestGroupSize <- 5
keep <- rowSums(counts(dds) >= 10) >= smallestGroupSize
dds <- dds[keep,]

loci_to_exclude <- readLines(file.path(workDir, "list/excluded_loci/gregaria_rrna_list.txt"))
dds <- dds[!(rownames(dds) %in% loci_to_exclude), ]

dds <- DESeq(dds)

Normalization and PCA

# Plot PCA and investigate quality metrics
vsd <- vst(dds, blind = TRUE) 

# Perform PCA
pca_data <- plotPCA(vsd, intgroup = c("Tissue", "Gene"), returnData = TRUE)

# Define colors for genes (slightly transparent) and shapes for tissues
gene_colors <- scale_color_manual(values = alpha(brewer.pal(n = length(unique(pca_data$Gene)), name = "Set1"), 0.8))  # Points are transparent
tissue_shapes <- scale_shape_manual(values = seq(15, 15 + length(unique(pca_data$Tissue))))

# **PCA without labels**
p_pca_nolabel <- ggplot(pca_data, aes(x = PC1, y = PC2, color = Gene, shape = Tissue)) +
  geom_point(size = 4) +
  gene_colors + 
  tissue_shapes +
  theme_bw() +
  theme(legend.title = element_blank(),
        legend.text = element_text(face = "bold", size = 14),
        axis.text = element_text(size = 12),
        axis.title = element_text(size = 14)) +
  ggtitle("PCA of All Tissues (No Labels)", subtitle = "Tissues differentiated by shape, Genes by color")

# Save PCA without labels
ggsave(paste0(saveDir, "/PCA_Tissue_Gene_NoLabel.png"), plot = p_pca_nolabel, width = 10, height = 10, dpi = 600, device = "png")

# **PCA with labels**
p_pca_label <- ggplot(pca_data, aes(x = PC1, y = PC2, color = Gene, shape = Tissue)) +
  geom_point(size = 4) +
  geom_text_repel(aes(label = name), size = 4, color = "black", max.overlaps = 20) +  # Labels are fully visible
  gene_colors + 
  tissue_shapes +
  theme_bw() +
  theme(legend.title = element_blank(),
        legend.text = element_text(face = "bold", size = 14),
        axis.text = element_text(size = 12),
        axis.title = element_text(size = 14)) +
  ggtitle("PCA of All Tissues (With Labels)", subtitle = "Tissues differentiated by shape, Genes by color")

# Save PCA with labels
ggsave(paste0(saveDir, "/PCA_Tissue_Gene_Label.png"), plot = p_pca_label, width = 10, height = 10, dpi = 600, device = "png")

# **Return plots for knitr/RMarkdown**
list(NoLabel = p_pca_nolabel, WithLabel = p_pca_label)
$NoLabel

Version Author Date
b540a1e Maeva TECHER 2025-02-27

$WithLabel

Version Author Date
b540a1e Maeva TECHER 2025-02-27

The PCA plot shows clear distinction between tissue types, while gene silencing has a large variation within each tissue, and presents no distinct clear groupings for a single gene.

SVA

### SVA analysis to control for technical variation 
dat  <- counts(dds, normalized = TRUE)
idx  <- rowMeans(dat) > 1
dat  <- dat[idx, ]
mod  <- model.matrix(~ Gene, colData(dds))
mod0 <- model.matrix(~ 1, colData(dds))
svseq <- svaseq(dat, mod, mod0)
Number of significant surrogate variables is:  3 
Iteration (out of 5 ):1  2  3  4  5  
sva_plots <- create_sva_plots(svseq, dds, saveDir, intgroup = c("Tissue", "Gene"), max_sv = 3)

# Show stripcharts in the report
sva_plots$Stripcharts[[1]]  # Show first stripchart

Version Author Date
b540a1e Maeva TECHER 2025-02-27
sva_plots$Stripcharts[[2]]  # Show second stripchart

Version Author Date
b540a1e Maeva TECHER 2025-02-27
sva_plots$Stripcharts[[3]]  # Show third stripchart

Version Author Date
b540a1e Maeva TECHER 2025-02-27
# Show scatter plots in the report
sva_plots$ScatterPlots[["1_2"]]  # Show SV1 vs SV2

Version Author Date
b540a1e Maeva TECHER 2025-02-27
sva_plots$ScatterPlots[["1_3"]]  # Show SV1 vs SV3

Version Author Date
b540a1e Maeva TECHER 2025-02-27
sva_plots$ScatterPlots[["2_3"]]  # Show SV2 vs SV3

Version Author Date
b540a1e Maeva TECHER 2025-02-27

SV1 is clearly showing an effect of tissue. We rerun the DESeq2 model but this time including the surrogate variable SV2 and SV3 as a covariates only, as we know that the modeled variation is more likely explained by tissue and gene variation rather than batch effects.

ddssva <- dds
ddssva$SV2 <- svseq$sv[,2]
ddssva$SV3 <- svseq$sv[,3]

design(ddssva) <- ~ SV2 + SV3 + Gene
ddssva$Gene <- relevel(ddssva$Gene, ref = "CONTROL")

smallestGroupSize <- 5
keep <- rowSums(counts(ddssva) >= 10) >= smallestGroupSize
ddssva <- ddssva[keep,]

ddssva <- DESeq(ddssva)

ddssva <- ddssva[which(mcols(ddssva)$betaConv),] # remove non converging rows

### Extract results
message("Available contrasts are: ", paste(resultsNames(ddssva), collapse = ", "))


hex1 <- results(ddssva, contrast = c("Gene", "HEX1", "CONTROL"), alpha = 0.05)
hex2 <- results(ddssva, contrast = c("Gene", "HEX2", "CONTROL"), alpha = 0.05)
jhmt <- results(ddssva, contrast = c("Gene", "JHMT", "CONTROL"), alpha = 0.05)
miox <- results(ddssva, contrast = c("Gene", "MIOX", "CONTROL"), alpha = 0.05)
unch <- results(ddssva, contrast = c("Gene", "UNCH", "CONTROL"), alpha = 0.05)
gfp  <- results(ddssva, contrast = c("Gene", "GFP", "CONTROL"), alpha = 0.05)

Volcano plots and Heatmaps

# Define contrast_sets
hex1_samples <- c("SGRE-HEAD-CRD-1","SGRE-HEAD-CRD-2","SGRE-HEAD-CRD-3","SGRE-HEAD-CRD-4","SGRE-HEAD-CRD-5",
                  "SGRE-HEAD-CRD-6","SggfpH1","SggfpH2","SggfpH3","SggfpH4","SggfpH5",
                  "Sghex1H1","Sghex1H2","Sghex1H3","Sghex1H4","Sghex1H5",
                  "SGRE-THOX-CRD-1","SGRE-THOX-CRD-3","SGRE-THOX-CRD-4","SGRE-THOX-CRD-5",
                  "SGRE-THOX-CRD-6","SggfpT1","SggfpT2","SggfpT3","SggfpT4","SggfpT5",
                  "Sghex1T1","Sghex1T2","Sghex1T3","Sghex1T4","Sghex1T5")
hex2_samples <- c("SGRE-HEAD-CRD-1","SGRE-HEAD-CRD-2","SGRE-HEAD-CRD-3","SGRE-HEAD-CRD-4","SGRE-HEAD-CRD-5",
                  "SGRE-HEAD-CRD-6","SggfpH1","SggfpH2","SggfpH3","SggfpH4","SggfpH5",
                  "Sghex2H1","Sghex2H2","Sghex2H3","Sghex2H4","Sghex2H5",
                  "SGRE-THOX-CRD-1","SGRE-THOX-CRD-3","SGRE-THOX-CRD-4","SGRE-THOX-CRD-5",
                  "SGRE-THOX-CRD-6","SggfpT1","SggfpT2","SggfpT3","SggfpT4","SggfpT5",
                  "Sghex2T1","Sghex2T2","Sghex2T3","Sghex2T4","Sghex2T5")
jhmt_samples <- c("SGRE-HEAD-CRD-1","SGRE-HEAD-CRD-2","SGRE-HEAD-CRD-3","SGRE-HEAD-CRD-4","SGRE-HEAD-CRD-5",
                  "SGRE-HEAD-CRD-6","SggfpH1","SggfpH2","SggfpH3","SggfpH4","SggfpH5",
                  "SgjhmtH1","SgjhmtH2","SgjhmtH3","SgjhmtH4","SgjhmtH5",
                  "SGRE-THOX-CRD-1","SGRE-THOX-CRD-3","SGRE-THOX-CRD-4","SGRE-THOX-CRD-5",
                  "SGRE-THOX-CRD-6","SggfpT1","SggfpT2","SggfpT3","SggfpT4","SggfpT5",
                  "SgjhmtT1","SgjhmtT2","SgjhmtT3","SgjhmtT4","SgjhmtT5")
miox_samples <- c("SGRE-HEAD-CRD-1","SGRE-HEAD-CRD-2","SGRE-HEAD-CRD-3","SGRE-HEAD-CRD-4","SGRE-HEAD-CRD-5",
                  "SGRE-HEAD-CRD-6","SggfpH1","SggfpH2","SggfpH3","SggfpH4","SggfpH5",
                  "SgmioxH1","SgmioxH2","SgmioxH3","SgmioxH4","SgmioxH5",
                  "SGRE-THOX-CRD-1","SGRE-THOX-CRD-3","SGRE-THOX-CRD-4","SGRE-THOX-CRD-5",
                  "SGRE-THOX-CRD-6","SggfpT1","SggfpT2","SggfpT3","SggfpT4","SggfpT5",
                  "SgmioxT1","SgmioxT2","SgmioxT3","SgmioxT4","SgmioxT5")
unch_samples <- c("SGRE-HEAD-CRD-1","SGRE-HEAD-CRD-2","SGRE-HEAD-CRD-3","SGRE-HEAD-CRD-4","SGRE-HEAD-CRD-5",
                  "SGRE-HEAD-CRD-6","SggfpH1","SggfpH2","SggfpH3","SggfpH4","SggfpH5",
                  "SgunchH1","SgunchH2","SgunchH3","SgunchH4","SgunchH5",
                  "SGRE-THOX-CRD-1","SGRE-THOX-CRD-3","SGRE-THOX-CRD-4","SGRE-THOX-CRD-5",
                  "SGRE-THOX-CRD-6","SggfpT1","SggfpT2","SggfpT3","SggfpT4","SggfpT5",
                  "SgunchT1","SgunchT2","SgunchT3","SgunchT4","SgunchT5")
gfp_samples <- c("SGRE-HEAD-CRD-1","SGRE-HEAD-CRD-2","SGRE-HEAD-CRD-3","SGRE-HEAD-CRD-4","SGRE-HEAD-CRD-5",
                  "SGRE-HEAD-CRD-6","SggfpH1","SggfpH2","SggfpH3","SggfpH4","SggfpH5", "SGRE-THOX-CRD-1","SGRE-THOX-CRD-3","SGRE-THOX-CRD-4","SGRE-THOX-CRD-5",
                  "SGRE-THOX-CRD-6", "SggfpT1","SggfpT2","SggfpT3","SggfpT4","SggfpT5")

# Run full analysis
hex1_plots <- visualize_data_nopng(hex1, "HEX1_vs_CONTROL", hex1_samples)
hex2_plots <- visualize_data_nopng(hex2, "HEX2_vs_CONTROL", hex2_samples)
jhmt_plots <- visualize_data_nopng(jhmt, "JHMT_vs_CONTROL", jhmt_samples)
miox_plots <- visualize_data_nopng(miox, "MIOX_vs_CONTROL", miox_samples)
unch_plots <- visualize_data_nopng(unch, "UNCH_vs_CONTROL", unch_samples)
gfp_plots <- visualize_data_nopng(gfp, "GFP_vs_CONTROL", gfp_samples)

hex1_plots$volcano; hex1_plots$heatmap

Version Author Date
b540a1e Maeva TECHER 2025-02-27

Version Author Date
b540a1e Maeva TECHER 2025-02-27
hex2_plots$volcano; hex2_plots$heatmap

Version Author Date
b540a1e Maeva TECHER 2025-02-27

Version Author Date
b540a1e Maeva TECHER 2025-02-27
jhmt_plots$volcano; jhmt_plots$heatmap

Version Author Date
b540a1e Maeva TECHER 2025-02-27

Version Author Date
b540a1e Maeva TECHER 2025-02-27
miox_plots$volcano; miox_plots$heatmap

Version Author Date
b540a1e Maeva TECHER 2025-02-27

Version Author Date
b540a1e Maeva TECHER 2025-02-27
unch_plots$volcano; unch_plots$heatmap

Version Author Date
b540a1e Maeva TECHER 2025-02-27

Version Author Date
b540a1e Maeva TECHER 2025-02-27
gfp_plots$volcano; gfp_plots$heatmap

Version Author Date
9451c02 Maeva TECHER 2025-03-03
b540a1e Maeva TECHER 2025-02-27

Version Author Date
9451c02 Maeva TECHER 2025-03-03
b540a1e Maeva TECHER 2025-02-27

DEG tables

The following tables show the genes differentially expressed with at least an absolute log2fold change of > 1 considering all tissues together. Considering GFP as the reference state, upregulated genes in knockdown treatment in red and downregulated genes in knockdown treatment in blue. You can search for a gene of interest by writting a LOCID or description in the search bar or sort by column.

# Generate tables for each contrast
table_hex1 <- generate_deg_table(ddssva, "Gene_HEX1_vs_CONTROL", allspecies_df)

out of 15161 with nonzero total read count
adjusted p-value < 0.05
LFC > 0 (up)       : 7668, 51%
LFC < 0 (down)     : 4879, 32%
outliers [1]       : 0, 0%
low counts [2]     : 0, 0%
(mean count < 1)
[1] see 'cooksCutoff' argument of ?results
[2] see 'independentFiltering' argument of ?results
Total DEGs p-value < 0.05 and absolute logFoldChange > 1: 9098
LFC > 1 (up)       : 6002 (65.97%)
LFC < -1 (down)     : 3096 (34.03%)
table_hex1$kable_table
table_hex2 <- generate_deg_table(ddssva, "Gene_HEX2_vs_CONTROL", allspecies_df)

out of 15161 with nonzero total read count
adjusted p-value < 0.05
LFC > 0 (up)       : 7470, 49%
LFC < 0 (down)     : 4832, 32%
outliers [1]       : 0, 0%
low counts [2]     : 0, 0%
(mean count < 1)
[1] see 'cooksCutoff' argument of ?results
[2] see 'independentFiltering' argument of ?results
Total DEGs p-value < 0.05 and absolute logFoldChange > 1: 8642
LFC > 1 (up)       : 5728 (66.28%)
LFC < -1 (down)     : 2914 (33.72%)
table_hex2$kable_table
table_jhmt <- generate_deg_table(ddssva, "Gene_JHMT_vs_CONTROL", allspecies_df)

out of 15161 with nonzero total read count
adjusted p-value < 0.05
LFC > 0 (up)       : 7722, 51%
LFC < 0 (down)     : 4930, 33%
outliers [1]       : 0, 0%
low counts [2]     : 0, 0%
(mean count < 1)
[1] see 'cooksCutoff' argument of ?results
[2] see 'independentFiltering' argument of ?results
Total DEGs p-value < 0.05 and absolute logFoldChange > 1: 9086
LFC > 1 (up)       : 6006 (66.1%)
LFC < -1 (down)     : 3080 (33.9%)
table_jhmt$kable_table
table_miox <- generate_deg_table(ddssva, "Gene_MIOX_vs_CONTROL", allspecies_df)

out of 15161 with nonzero total read count
adjusted p-value < 0.05
LFC > 0 (up)       : 7751, 51%
LFC < 0 (down)     : 4955, 33%
outliers [1]       : 0, 0%
low counts [2]     : 0, 0%
(mean count < 1)
[1] see 'cooksCutoff' argument of ?results
[2] see 'independentFiltering' argument of ?results
Total DEGs p-value < 0.05 and absolute logFoldChange > 1: 9218
LFC > 1 (up)       : 6013 (65.23%)
LFC < -1 (down)     : 3205 (34.77%)
table_miox$kable_table
table_unch <- generate_deg_table(ddssva, "Gene_UNCH_vs_CONTROL", allspecies_df)

out of 15161 with nonzero total read count
adjusted p-value < 0.05
LFC > 0 (up)       : 7724, 51%
LFC < 0 (down)     : 4943, 33%
outliers [1]       : 0, 0%
low counts [2]     : 0, 0%
(mean count < 1)
[1] see 'cooksCutoff' argument of ?results
[2] see 'independentFiltering' argument of ?results
Total DEGs p-value < 0.05 and absolute logFoldChange > 1: 9155
LFC > 1 (up)       : 6002 (65.56%)
LFC < -1 (down)     : 3153 (34.44%)
table_unch$kable_table
table_gfp <- generate_deg_table(ddssva, "Gene_GFP_vs_CONTROL", allspecies_df)

out of 15161 with nonzero total read count
adjusted p-value < 0.05
LFC > 0 (up)       : 7592, 50%
LFC < 0 (down)     : 4963, 33%
outliers [1]       : 0, 0%
low counts [2]     : 0, 0%
(mean count < 1)
[1] see 'cooksCutoff' argument of ?results
[2] see 'independentFiltering' argument of ?results
Total DEGs p-value < 0.05 and absolute logFoldChange > 1: 8980
LFC > 1 (up)       : 5858 (65.23%)
LFC < -1 (down)     : 3122 (34.77%)
table_gfp$kable_table

Summary and Overlap

# Summarize DEGs for all contrasts
deg_summary <- bind_rows(
  summarize_deg_counts(table_hex1, "HEX1 vs CONTROL"),
  summarize_deg_counts(table_hex2, "HEX2 vs CONTROL"),
  summarize_deg_counts(table_jhmt, "JHMT vs CONTROL"),
  summarize_deg_counts(table_miox, "MIOX vs CONTROL"),
  summarize_deg_counts(table_unch, "UNCH vs CONTROL"),
  summarize_deg_counts(table_gfp, "GFP vs CONTROL")
)


# Display table using kable with styling
deg_summary %>%
  kable("html", escape = FALSE, col.names = gsub("_", " ", names(.))) %>%
  kable_styling("striped", full_width = TRUE) %>%
  column_spec(2, color = "red", bold = TRUE) %>%  # Upregulated in red
  column_spec(3, color = "blue", bold = TRUE) %>% # Downregulated in blue
  add_header_above(c("Summary of DEGs" = 3)) %>%
  row_spec(0, bold = TRUE)
Summary of DEGs
Contrast Upregulated Downregulated
HEX1 vs CONTROL 5980 3079
HEX2 vs CONTROL 5703 2895
JHMT vs CONTROL 5985 3064
MIOX vs CONTROL 5980 3187
UNCH vs CONTROL 5975 3137
GFP vs CONTROL 5823 3098
# Define the list of RNAi contrasts
contrast_list <- c("HEX1_vs_CONTROL", "HEX2_vs_CONTROL", "JHMT_vs_CONTROL", 
                   "MIOX_vs_CONTROL", "UNCH_vs_CONTROL", "GFP_vs_CONTROL")

# Initialize empty lists for storing Head-specific DEGs for each contrast
venn_data_up <- list()
venn_data_down <- list()
venn_data_all <- list()

# Function to load Head-specific DEGs for a given set of contrasts
load_deg_contrasts_head <- function(contrast_list) {
  degs_up <- list()
  degs_down <- list()
  degs_all <- list()
  
  for (contrast in contrast_list) {
    deg_file <- file.path(workDir, "DEG_results/RNAi/All_control_no_rRNA/", contrast, paste0("DEG_sigresults_", contrast, ".csv"))
    
    if (!file.exists(deg_file)) {
      message(paste("File missing for contrast:", contrast))
      next  # Skip if the file doesn't exist
    }
    
    deg_data <- read.csv(deg_file, stringsAsFactors = FALSE)
    
    # Convert row names to a column if necessary
       if ("X" %in% colnames(deg_data)) {
    colnames(deg_data)[colnames(deg_data) == "X"] <- "GeneID"
    }

        # Check if data is empty
        if (nrow(deg_data) == 0) {
            message(paste("No data for contrast:", contrast))
            next
        }
    
    # Select significant DEGs (Up, Down, All)
    degs_up[[contrast]] <- deg_data %>%
      filter(padj < 0.05 & log2FoldChange >= 1) %>%
      pull(GeneID)  # Extract GeneID column
    
    degs_down[[contrast]] <- deg_data %>%
      filter(padj < 0.05 & log2FoldChange <= -1) %>%
      pull(GeneID)  # Extract GeneID column
    
    degs_all[[contrast]] <- deg_data %>%
      filter(padj < 0.05 & abs(log2FoldChange) >= 1) %>%
      pull(GeneID)  # Extract GeneID column
  }
  
  return(list(up = degs_up, down = degs_down, all = degs_all))
}

# Load DEG data for the defined contrasts (Head tissue only)
venn_data_contrasts <- load_deg_contrasts_head(contrast_list)

# Prepare the data for the Venn diagrams
venn_data_up <- venn_data_contrasts$up
venn_data_down <- venn_data_contrasts$down
venn_data_all <- venn_data_contrasts$all


# Display the Venn diagram and datatable for **Head Upregulated DEGs** across contrasts
display_ggvenn_plot(venn_data_up, "Venn Diagram of Head and Thorax Upregulated DEGs - RNAi Contrasts")

Version Author Date
9451c02 Maeva TECHER 2025-03-03
b540a1e Maeva TECHER 2025-02-27
# Display the Venn diagram and datatable for **Head Downregulated DEGs** across contrasts
display_ggvenn_plot(venn_data_down, "Venn Diagram of Head and Thorax Downregulated DEGs - RNAi Contrasts")

Version Author Date
9451c02 Maeva TECHER 2025-03-03
b540a1e Maeva TECHER 2025-02-27
# Display the Venn diagram and datatable for **All Significant DEGs in Head Tissue**
display_ggvenn_plot(venn_data_all, "Venn Diagram of All Significant DEGs in All Tissue - RNAi Contrasts")

Version Author Date
9451c02 Maeva TECHER 2025-03-03
b540a1e Maeva TECHER 2025-02-27
# Run the UpSet plot for Head Upregulated DEGs
display_upset_plot(venn_data_up, "UpSet Plot of Head and Thorax Upregulated DEGs - RNAi Contrasts")

Version Author Date
9451c02 Maeva TECHER 2025-03-03
b540a1e Maeva TECHER 2025-02-27
# Run the UpSet plot for Head Downregulated DEGs
display_upset_plot(venn_data_down, "UpSet Plot of Head and Thorax Downregulated DEGs - RNAi Contrasts")

Version Author Date
9451c02 Maeva TECHER 2025-03-03
b540a1e Maeva TECHER 2025-02-27
# Run the UpSet plot for Head Upregulated DEGs
display_upset_plot(venn_data_all, "UpSet Plot of All Significant DEGs in All Tissue - RNAi Contrasts")

Version Author Date
3e696d6 Maeva TECHER 2025-06-05
9451c02 Maeva TECHER 2025-03-03
b540a1e Maeva TECHER 2025-02-27

Head tissue

saveDir <- paste0(workDir,"/DEG_results/RNAi/Head_control_no_rRNA")
dir.create(saveDir)
### Prepare Sample CSV file #####
samples <- read.delim(file.path(workDir, "list/RNAi/Head_RNAi_noninjectedsample_list.csv"), sep = ",", row.names = 1, header = TRUE)
files <- file.path(workDir, "readcounts/RNAi/", samples$Tissue, samples$Filename)
names(files) <- row.names(samples)
if (all(file.exists(files))) {
  message("All the files exist!")
} else {
  warning("Some files are missing!")
}
All the files exist!
### **Standardized Count Matrix Creation**
# Extract all gene lists first
gene_lists <- map(files, function(sample) {
  fread(sample, sep = "\t", header = FALSE)[, 1]  # Extract Gene IDs (column 1)
})

# Get a unique set of all gene IDs across all samples
all_genes <- unique(unlist(gene_lists))

# Create a named list to store count data with standardized rows
cts_list <- map(files, function(sample) {
  data_count <- fread(sample, sep = "\t", header = FALSE)
  
  col_name <- gsub("_counts.txt", "", basename(sample))  # Clean sample name
  
  # Convert to data frame with correct column names
  data_count <- setNames(data.frame(data_count[, 1:2]), c("GeneID", col_name))
  
  # Ensure all gene IDs are present (fill missing values with 0)
  data_count <- full_join(data.frame(GeneID = all_genes), data_count, by = "GeneID") %>%
    mutate(across(where(is.numeric), ~ replace_na(., 0)))  # Fill NA with 0
  
  return(data_count)
})

# Merge all samples based on GeneID
cts <- reduce(cts_list, full_join, by = "GeneID")

# Convert to matrix for DESeq2
cts_matrix <- as.matrix(cts[, -1])  # Remove GeneID column for count matrix
rownames(cts_matrix) <- cts$GeneID  # Set GeneID as rownames
rm(cts_list)  # Free memory

While for bulk RNAseq on head and thorax for all species, the DEGs model was made between isolated and crowded individuals (with isolated as the reference state), here, the DEG analysis will be carried between GFP knock-down nymphs (as reference state) vs Hexamerins / Juvenile Hormones / Inositol / Uncharacterized proteins.

### Build DESeq2 Object
dds <- DESeqDataSetFromMatrix(countData = cts_matrix,
                              colData = samples,
                              design = ~ Gene)
dds$Gene <- relevel(dds$Gene, ref = "CONTROL")

smallestGroupSize <- 5
keep <- rowSums(counts(dds) >= 10) >= smallestGroupSize
dds <- dds[keep,]

loci_to_exclude <- readLines(file.path(workDir, "list/excluded_loci/gregaria_rrna_list.txt"))
dds <- dds[!(rownames(dds) %in% loci_to_exclude), ]

dds <- DESeq(dds)

Normalization and PCA

# Plot PCA and investigate quality metrics
vsd <- vst(dds, blind = TRUE) 

# Perform PCA
pca_data <- plotPCA(vsd, intgroup = c("Tissue", "Gene"), returnData = TRUE)

# Define colors for genes (slightly transparent) and shapes for tissues
gene_colors <- scale_color_manual(values = alpha(brewer.pal(n = length(unique(pca_data$Gene)), name = "Set1"), 0.8))  # Points are transparent
tissue_shapes <- scale_shape_manual(values = seq(15, 15 + length(unique(pca_data$Tissue))))

# **PCA without labels**
p_pca_nolabel <- ggplot(pca_data, aes(x = PC1, y = PC2, color = Gene, shape = Tissue)) +
  geom_point(size = 4) +
  gene_colors + 
  tissue_shapes +
  theme_bw() +
  theme(legend.title = element_blank(),
        legend.text = element_text(face = "bold", size = 14),
        axis.text = element_text(size = 12),
        axis.title = element_text(size = 14)) +
  ggtitle("PCA of All Tissues (No Labels)", subtitle = "Tissues differentiated by shape, Genes by color")

# Save PCA without labels
ggsave(paste0(saveDir, "/PCA_Tissue_Gene_NoLabel.png"), plot = p_pca_nolabel, width = 10, height = 10, dpi = 600, device = "png")

# **PCA with labels**
p_pca_label <- ggplot(pca_data, aes(x = PC1, y = PC2, color = Gene, shape = Tissue)) +
  geom_point(size = 4) +
  geom_text_repel(aes(label = name), size = 4, color = "black", max.overlaps = 20) +  # Labels are fully visible
  gene_colors + 
  tissue_shapes +
  theme_bw() +
  theme(legend.title = element_blank(),
        legend.text = element_text(face = "bold", size = 14),
        axis.text = element_text(size = 12),
        axis.title = element_text(size = 14)) +
  ggtitle("PCA of All Tissues (With Labels)", subtitle = "Tissues differentiated by shape, Genes by color")

# Save PCA with labels
ggsave(paste0(saveDir, "/PCA_Tissue_Gene_Label.png"), plot = p_pca_label, width = 10, height = 10, dpi = 600, device = "png")

# **Return plots for knitr/RMarkdown**
list(NoLabel = p_pca_nolabel, WithLabel = p_pca_label)
$NoLabel

Version Author Date
b540a1e Maeva TECHER 2025-02-27

$WithLabel

Version Author Date
b540a1e Maeva TECHER 2025-02-27

The PCA plot shows clear distinction between tissue types, while gene silencing has a large variation within each tissue, and presents no distinct clear groupings for a single gene.

SVA

### SVA analysis to control for technical variation 
dat  <- counts(dds, normalized = TRUE)
idx  <- rowMeans(dat) > 1
dat  <- dat[idx, ]
mod  <- model.matrix(~ Gene, colData(dds))
mod0 <- model.matrix(~ 1, colData(dds))
svseq <- svaseq(dat, mod, mod0)
Number of significant surrogate variables is:  7 
Iteration (out of 5 ):1  2  3  4  5  
sva_plots <- create_sva_plots(svseq, dds, saveDir, intgroup = c("Tissue", "Gene"), max_sv = 7)

# Show stripcharts in the report
sva_plots$Stripcharts[[1]]  # Show first stripchart

Version Author Date
b540a1e Maeva TECHER 2025-02-27
sva_plots$Stripcharts[[2]]  # Show second stripchart

Version Author Date
b540a1e Maeva TECHER 2025-02-27
sva_plots$Stripcharts[[3]]  # Show third stripchart

Version Author Date
b540a1e Maeva TECHER 2025-02-27
sva_plots$Stripcharts[[4]] 

Version Author Date
b540a1e Maeva TECHER 2025-02-27
sva_plots$Stripcharts[[5]]  # Show second stripchart

Version Author Date
b540a1e Maeva TECHER 2025-02-27
sva_plots$Stripcharts[[6]]  # Show third stripchart

Version Author Date
b540a1e Maeva TECHER 2025-02-27
sva_plots$Stripcharts[[7]] 

Version Author Date
b540a1e Maeva TECHER 2025-02-27
# Show scatter plots in the report
sva_plots$ScatterPlots[["1_2"]]  # Show SV1 vs SV2

Version Author Date
b540a1e Maeva TECHER 2025-02-27
sva_plots$ScatterPlots[["1_3"]]  # Show SV1 vs SV3

Version Author Date
b540a1e Maeva TECHER 2025-02-27
sva_plots$ScatterPlots[["2_3"]]  # Show SV2 vs SV3

Version Author Date
b540a1e Maeva TECHER 2025-02-27

SV1 is clearly showing an effect of tissue. We rerun the DESeq2 model but this time including the surrogate variable SV2 and SV3 as a covariates only, as we know that the modeled variation is more likely explained by tissue and gene variation rather than batch effects.

ddssva <- dds
ddssva$SV1 <- svseq$sv[,1]
ddssva$SV2 <- svseq$sv[,2]
ddssva$SV3 <- svseq$sv[,3]
ddssva$SV4 <- svseq$sv[,4]
ddssva$SV5 <- svseq$sv[,5]
ddssva$SV6 <- svseq$sv[,6]
ddssva$SV7 <- svseq$sv[,7]

design(ddssva) <- ~ SV1 + SV2 + SV3 + SV4 + SV5 + SV6 + SV7 + Gene
ddssva$Gene <- relevel(ddssva$Gene, ref = "CONTROL")

smallestGroupSize <- 5
keep <- rowSums(counts(ddssva) >= 10) >= smallestGroupSize
ddssva <- ddssva[keep,]

ddssva <- DESeq(ddssva)

ddssva <- ddssva[which(mcols(ddssva)$betaConv),] # remove non converging rows

### Extract results
message("Available contrasts are: ", paste(resultsNames(ddssva), collapse = ", "))


hex1 <- results(ddssva, contrast = c("Gene", "HEX1", "CONTROL"), alpha = 0.05)
hex2 <- results(ddssva, contrast = c("Gene", "HEX2", "CONTROL"), alpha = 0.05)
jhmt <- results(ddssva, contrast = c("Gene", "JHMT", "CONTROL"), alpha = 0.05)
miox <- results(ddssva, contrast = c("Gene", "MIOX", "CONTROL"), alpha = 0.05)
unch <- results(ddssva, contrast = c("Gene", "UNCH", "CONTROL"), alpha = 0.05)
gfp  <- results(ddssva, contrast = c("Gene", "GFP", "CONTROL"), alpha = 0.05)

Volcano plots and Heatmaps

# Define contrast_sets
hex1_samples <- c("SGRE-HEAD-CRD-1","SGRE-HEAD-CRD-2","SGRE-HEAD-CRD-3","SGRE-HEAD-CRD-4","SGRE-HEAD-CRD-5",
                  "SGRE-HEAD-CRD-6","SggfpH1","SggfpH2","SggfpH3","SggfpH4","SggfpH5",
                  "Sghex1H1","Sghex1H2","Sghex1H3","Sghex1H4","Sghex1H5")
hex2_samples <- c("SGRE-HEAD-CRD-1","SGRE-HEAD-CRD-2","SGRE-HEAD-CRD-3","SGRE-HEAD-CRD-4","SGRE-HEAD-CRD-5",
                  "SGRE-HEAD-CRD-6","SggfpH1","SggfpH2","SggfpH3","SggfpH4","SggfpH5",
                  "Sghex2H1","Sghex2H2","Sghex2H3","Sghex2H4","Sghex2H5")
jhmt_samples <- c("SGRE-HEAD-CRD-1","SGRE-HEAD-CRD-2","SGRE-HEAD-CRD-3","SGRE-HEAD-CRD-4","SGRE-HEAD-CRD-5",
                  "SGRE-HEAD-CRD-6","SggfpH1","SggfpH2","SggfpH3","SggfpH4","SggfpH5",
                  "SgjhmtH1","SgjhmtH2","SgjhmtH3","SgjhmtH4","SgjhmtH5")
miox_samples <- c("SGRE-HEAD-CRD-1","SGRE-HEAD-CRD-2","SGRE-HEAD-CRD-3","SGRE-HEAD-CRD-4","SGRE-HEAD-CRD-5",
                  "SGRE-HEAD-CRD-6","SggfpH1","SggfpH2","SggfpH3","SggfpH4","SggfpH5",
                  "SgmioxH1","SgmioxH2","SgmioxH3","SgmioxH4","SgmioxH5")
unch_samples <- c("SGRE-HEAD-CRD-1","SGRE-HEAD-CRD-2","SGRE-HEAD-CRD-3","SGRE-HEAD-CRD-4","SGRE-HEAD-CRD-5",
                  "SGRE-HEAD-CRD-6","SggfpH1","SggfpH2","SggfpH3","SggfpH4","SggfpH5",
                  "SgunchH1","SgunchH2","SgunchH3","SgunchH4","SgunchH5")
gfp_samples <- c("SGRE-HEAD-CRD-1","SGRE-HEAD-CRD-2","SGRE-HEAD-CRD-3","SGRE-HEAD-CRD-4","SGRE-HEAD-CRD-5",
                  "SGRE-HEAD-CRD-6","SggfpH1","SggfpH2","SggfpH3","SggfpH4","SggfpH5")

# Run full analysis
hex1_plots <- visualize_data_nopng(hex1, "HEX1_vs_CONTROL", hex1_samples)
hex2_plots <- visualize_data_nopng(hex2, "HEX2_vs_CONTROL", hex2_samples)
jhmt_plots <- visualize_data_nopng(jhmt, "JHMT_vs_CONTROL", jhmt_samples)
miox_plots <- visualize_data_nopng(miox, "MIOX_vs_CONTROL", miox_samples)
unch_plots <- visualize_data_nopng(unch, "UNCH_vs_CONTROL", unch_samples)
gfp_plots <- visualize_data_nopng(gfp, "GFP_vs_CONTROL", gfp_samples)

hex1_plots$volcano; hex1_plots$heatmap

Version Author Date
b540a1e Maeva TECHER 2025-02-27

Version Author Date
b540a1e Maeva TECHER 2025-02-27
hex2_plots$volcano; hex2_plots$heatmap

Version Author Date
b540a1e Maeva TECHER 2025-02-27

Version Author Date
b540a1e Maeva TECHER 2025-02-27
jhmt_plots$volcano; jhmt_plots$heatmap

Version Author Date
b540a1e Maeva TECHER 2025-02-27

Version Author Date
b540a1e Maeva TECHER 2025-02-27
miox_plots$volcano; miox_plots$heatmap

Version Author Date
b540a1e Maeva TECHER 2025-02-27

Version Author Date
b540a1e Maeva TECHER 2025-02-27
unch_plots$volcano; unch_plots$heatmap

Version Author Date
b540a1e Maeva TECHER 2025-02-27

Version Author Date
3e696d6 Maeva TECHER 2025-06-05
b540a1e Maeva TECHER 2025-02-27
gfp_plots$volcano; gfp_plots$heatmap

Version Author Date
3e696d6 Maeva TECHER 2025-06-05
9451c02 Maeva TECHER 2025-03-03
b540a1e Maeva TECHER 2025-02-27

Version Author Date
9451c02 Maeva TECHER 2025-03-03
b540a1e Maeva TECHER 2025-02-27

DEG tables

The following tables show the genes differentially expressed with at least an absolute log2fold change of > 1 considering Head tissues only. Considering GFP as the reference state, upregulated genes in knockdown treatment in red and downregulated genes in knockdown treatment in blue. You can search for a gene of interest by writting a LOCID or description in the search bar or sort by column.

# Generate tables for each contrast
table_hex1 <- generate_deg_table(ddssva, "Gene_HEX1_vs_CONTROL", allspecies_df)

out of 14785 with nonzero total read count
adjusted p-value < 0.05
LFC > 0 (up)       : 7507, 51%
LFC < 0 (down)     : 4600, 31%
outliers [1]       : 0, 0%
low counts [2]     : 0, 0%
(mean count < 2)
[1] see 'cooksCutoff' argument of ?results
[2] see 'independentFiltering' argument of ?results
Total DEGs p-value < 0.05 and absolute logFoldChange > 1: 8836
LFC > 1 (up)       : 5921 (67.01%)
LFC < -1 (down)     : 2915 (32.99%)
table_hex1$kable_table
table_hex2 <- generate_deg_table(ddssva, "Gene_HEX2_vs_CONTROL", allspecies_df)

out of 14785 with nonzero total read count
adjusted p-value < 0.05
LFC > 0 (up)       : 7177, 49%
LFC < 0 (down)     : 4533, 31%
outliers [1]       : 0, 0%
low counts [2]     : 0, 0%
(mean count < 2)
[1] see 'cooksCutoff' argument of ?results
[2] see 'independentFiltering' argument of ?results
Total DEGs p-value < 0.05 and absolute logFoldChange > 1: 8142
LFC > 1 (up)       : 5530 (67.92%)
LFC < -1 (down)     : 2612 (32.08%)
table_hex2$kable_table
table_jhmt <- generate_deg_table(ddssva, "Gene_JHMT_vs_CONTROL", allspecies_df)

out of 14785 with nonzero total read count
adjusted p-value < 0.05
LFC > 0 (up)       : 7347, 50%
LFC < 0 (down)     : 4527, 31%
outliers [1]       : 0, 0%
low counts [2]     : 0, 0%
(mean count < 2)
[1] see 'cooksCutoff' argument of ?results
[2] see 'independentFiltering' argument of ?results
Total DEGs p-value < 0.05 and absolute logFoldChange > 1: 8468
LFC > 1 (up)       : 5772 (68.16%)
LFC < -1 (down)     : 2696 (31.84%)
table_jhmt$kable_table
table_miox <- generate_deg_table(ddssva, "Gene_MIOX_vs_CONTROL", allspecies_df)

out of 14785 with nonzero total read count
adjusted p-value < 0.05
LFC > 0 (up)       : 7348, 50%
LFC < 0 (down)     : 4583, 31%
outliers [1]       : 0, 0%
low counts [2]     : 0, 0%
(mean count < 2)
[1] see 'cooksCutoff' argument of ?results
[2] see 'independentFiltering' argument of ?results
Total DEGs p-value < 0.05 and absolute logFoldChange > 1: 8453
LFC > 1 (up)       : 5680 (67.2%)
LFC < -1 (down)     : 2773 (32.8%)
table_miox$kable_table
table_unch <- generate_deg_table(ddssva, "Gene_UNCH_vs_CONTROL", allspecies_df)

out of 14785 with nonzero total read count
adjusted p-value < 0.05
LFC > 0 (up)       : 7619, 52%
LFC < 0 (down)     : 4673, 32%
outliers [1]       : 0, 0%
low counts [2]     : 0, 0%
(mean count < 2)
[1] see 'cooksCutoff' argument of ?results
[2] see 'independentFiltering' argument of ?results
Total DEGs p-value < 0.05 and absolute logFoldChange > 1: 9110
LFC > 1 (up)       : 6052 (66.43%)
LFC < -1 (down)     : 3058 (33.57%)
table_unch$kable_table
table_gfp <- generate_deg_table(ddssva, "Gene_GFP_vs_CONTROL", allspecies_df)

out of 14785 with nonzero total read count
adjusted p-value < 0.05
LFC > 0 (up)       : 7221, 49%
LFC < 0 (down)     : 4595, 31%
outliers [1]       : 0, 0%
low counts [2]     : 0, 0%
(mean count < 2)
[1] see 'cooksCutoff' argument of ?results
[2] see 'independentFiltering' argument of ?results
Total DEGs p-value < 0.05 and absolute logFoldChange > 1: 8330
LFC > 1 (up)       : 5574 (66.91%)
LFC < -1 (down)     : 2756 (33.09%)
table_gfp$kable_table

Summary and Overlap

# Summarize DEGs for all contrasts
deg_summary <- bind_rows(
  summarize_deg_counts(table_hex1, "HEX1 vs CONTROL"),
  summarize_deg_counts(table_hex2, "HEX2 vs CONTROL"),
  summarize_deg_counts(table_jhmt, "JHMT vs CONTROL"),
  summarize_deg_counts(table_miox, "MIOX vs CONTROL"),
  summarize_deg_counts(table_unch, "UNCH vs CONTROL"),
  summarize_deg_counts(table_gfp, "GFP vs CONTROL")
)


# Display table using kable with styling
deg_summary %>%
  kable("html", escape = FALSE, col.names = gsub("_", " ", names(.))) %>%
  kable_styling("striped", full_width = TRUE) %>%
  column_spec(2, color = "red", bold = TRUE) %>%  # Upregulated in red
  column_spec(3, color = "blue", bold = TRUE) %>% # Downregulated in blue
  add_header_above(c("Summary of DEGs" = 3)) %>%
  row_spec(0, bold = TRUE)
Summary of DEGs
Contrast Upregulated Downregulated
HEX1 vs CONTROL 5884 2895
HEX2 vs CONTROL 5468 2592
JHMT vs CONTROL 5724 2669
MIOX vs CONTROL 5629 2754
UNCH vs CONTROL 6014 3033
GFP vs CONTROL 5534 2738
# Define the list of RNAi contrasts
contrast_list <- c("HEX1_vs_CONTROL", "HEX2_vs_CONTROL", "JHMT_vs_CONTROL", 
                   "MIOX_vs_CONTROL", "UNCH_vs_CONTROL", "GFP_vs_CONTROL")

# Initialize empty lists for storing Head-specific DEGs for each contrast
venn_data_up <- list()
venn_data_down <- list()
venn_data_all <- list()

# Function to load Head-specific DEGs for a given set of contrasts
load_deg_contrasts_head <- function(contrast_list) {
  degs_up <- list()
  degs_down <- list()
  degs_all <- list()
  
  for (contrast in contrast_list) {
    deg_file <- file.path(workDir, "DEG_results/RNAi/Head_control_no_rRNA/", contrast, paste0("DEG_sigresults_", contrast, ".csv"))
    
    if (!file.exists(deg_file)) {
      message(paste("File missing for contrast:", contrast))
      next  # Skip if the file doesn't exist
    }
    
    deg_data <- read.csv(deg_file, stringsAsFactors = FALSE)
    
    # Convert row names to a column if necessary
       if ("X" %in% colnames(deg_data)) {
    colnames(deg_data)[colnames(deg_data) == "X"] <- "GeneID"
    }

        # Check if data is empty
        if (nrow(deg_data) == 0) {
            message(paste("No data for contrast:", contrast))
            next
        }
    
    # Select significant DEGs (Up, Down, All)
    degs_up[[contrast]] <- deg_data %>%
      filter(padj < 0.05 & log2FoldChange >= 1) %>%
      pull(GeneID)  # Extract GeneID column
    
    degs_down[[contrast]] <- deg_data %>%
      filter(padj < 0.05 & log2FoldChange <= -1) %>%
      pull(GeneID)  # Extract GeneID column
    
    degs_all[[contrast]] <- deg_data %>%
      filter(padj < 0.05 & abs(log2FoldChange) >= 1) %>%
      pull(GeneID)  # Extract GeneID column
  }
  
  return(list(up = degs_up, down = degs_down, all = degs_all))
}

# Load DEG data for the defined contrasts (Head tissue only)
venn_data_contrasts <- load_deg_contrasts_head(contrast_list)

# Prepare the data for the Venn diagrams
venn_data_up <- venn_data_contrasts$up
venn_data_down <- venn_data_contrasts$down
venn_data_all <- venn_data_contrasts$all


# Display the Venn diagram and datatable for **Head Upregulated DEGs** across contrasts
display_ggvenn_plot(venn_data_up, "Venn Diagram of Head Upregulated DEGs - RNAi Contrasts")

Version Author Date
3e696d6 Maeva TECHER 2025-06-05
9451c02 Maeva TECHER 2025-03-03
b540a1e Maeva TECHER 2025-02-27
# Display the Venn diagram and datatable for **Head Downregulated DEGs** across contrasts
display_ggvenn_plot(venn_data_down, "Venn Diagram of Head Downregulated DEGs - RNAi Contrasts")

Version Author Date
9451c02 Maeva TECHER 2025-03-03
b540a1e Maeva TECHER 2025-02-27
# Display the Venn diagram and datatable for **All Significant DEGs in Head Tissue**
display_ggvenn_plot(venn_data_all, "Venn Diagram of All Significant DEGs in Head Tissue - RNAi Contrasts")

Version Author Date
9451c02 Maeva TECHER 2025-03-03
b540a1e Maeva TECHER 2025-02-27
# Run the UpSet plot for Head Upregulated DEGs
display_upset_plot(venn_data_up, "UpSet Plot of Head Upregulated DEGs - RNAi Contrasts")

Version Author Date
9451c02 Maeva TECHER 2025-03-03
b540a1e Maeva TECHER 2025-02-27
# Run the UpSet plot for Head Downregulated DEGs
display_upset_plot(venn_data_down, "UpSet Plot of Head Downregulated DEGs - RNAi Contrasts")

Version Author Date
9451c02 Maeva TECHER 2025-03-03
b540a1e Maeva TECHER 2025-02-27
# Run the UpSet plot for Head Upregulated DEGs
display_upset_plot(venn_data_down, "UpSet Plot of All Significant DEGs in Head Tissue - RNAi Contrasts")

Version Author Date
9451c02 Maeva TECHER 2025-03-03
b540a1e Maeva TECHER 2025-02-27

Thorax tissue

saveDir <- paste0(workDir,"/DEG_results/RNAi/Thorax_control_no_rRNA")
dir.create(saveDir)
### Prepare Sample CSV file #####
samples <- read.delim(file.path(workDir, "list/RNAi/Thorax_RNAi_noninjectedsample_list.csv"), sep = ",", row.names = 1, header = TRUE)
files <- file.path(workDir, "readcounts/RNAi/", samples$Tissue, samples$Filename)
names(files) <- row.names(samples)
if (all(file.exists(files))) {
  message("All the files exist!")
} else {
  warning("Some files are missing!")
}
All the files exist!
### **Standardized Count Matrix Creation**
# Extract all gene lists first
gene_lists <- map(files, function(sample) {
  fread(sample, sep = "\t", header = FALSE)[, 1]  # Extract Gene IDs (column 1)
})

# Get a unique set of all gene IDs across all samples
all_genes <- unique(unlist(gene_lists))

# Create a named list to store count data with standardized rows
cts_list <- map(files, function(sample) {
  data_count <- fread(sample, sep = "\t", header = FALSE)
  
  col_name <- gsub("_counts.txt", "", basename(sample))  # Clean sample name
  
  # Convert to data frame with correct column names
  data_count <- setNames(data.frame(data_count[, 1:2]), c("GeneID", col_name))
  
  # Ensure all gene IDs are present (fill missing values with 0)
  data_count <- full_join(data.frame(GeneID = all_genes), data_count, by = "GeneID") %>%
    mutate(across(where(is.numeric), ~ replace_na(., 0)))  # Fill NA with 0
  
  return(data_count)
})

# Merge all samples based on GeneID
cts <- reduce(cts_list, full_join, by = "GeneID")

# Convert to matrix for DESeq2
cts_matrix <- as.matrix(cts[, -1])  # Remove GeneID column for count matrix
rownames(cts_matrix) <- cts$GeneID  # Set GeneID as rownames
rm(cts_list)  # Free memory

While for bulk RNAseq on head and thorax for all species, the DEGs model was made between isolated and crowded individuals (with isolated as the reference state), here, the DEG analysis will be carried between GFP knock-down nymphs (as reference state) vs Hexamerins / Juvenile Hormones / Inositol / Uncharacterized proteins.

### Build DESeq2 Object
dds <- DESeqDataSetFromMatrix(countData = cts_matrix,
                              colData = samples,
                              design = ~ Gene)
dds$Gene <- relevel(dds$Gene, ref = "CONTROL")

smallestGroupSize <- 5
keep <- rowSums(counts(dds) >= 10) >= smallestGroupSize
dds <- dds[keep,]

loci_to_exclude <- readLines(file.path(workDir, "list/excluded_loci/gregaria_rrna_list.txt"))
dds <- dds[!(rownames(dds) %in% loci_to_exclude), ]

dds <- DESeq(dds)

Normalization and PCA

# Plot PCA and investigate quality metrics
vsd <- vst(dds, blind = TRUE) 

# Perform PCA
pca_data <- plotPCA(vsd, intgroup = c("Tissue", "Gene"), returnData = TRUE)

# Define colors for genes (slightly transparent) and shapes for tissues
gene_colors <- scale_color_manual(values = alpha(brewer.pal(n = length(unique(pca_data$Gene)), name = "Set1"), 0.8))  # Points are transparent
tissue_shapes <- scale_shape_manual(values = seq(15, 15 + length(unique(pca_data$Tissue))))

# **PCA without labels**
p_pca_nolabel <- ggplot(pca_data, aes(x = PC1, y = PC2, color = Gene, shape = Tissue)) +
  geom_point(size = 4) +
  gene_colors + 
  tissue_shapes +
  theme_bw() +
  theme(legend.title = element_blank(),
        legend.text = element_text(face = "bold", size = 14),
        axis.text = element_text(size = 12),
        axis.title = element_text(size = 14)) +
  ggtitle("PCA of All Tissues (No Labels)", subtitle = "Tissues differentiated by shape, Genes by color")

# Save PCA without labels
ggsave(paste0(saveDir, "/PCA_Tissue_Gene_NoLabel.png"), plot = p_pca_nolabel, width = 10, height = 10, dpi = 600, device = "png")

# **PCA with labels**
p_pca_label <- ggplot(pca_data, aes(x = PC1, y = PC2, color = Gene, shape = Tissue)) +
  geom_point(size = 4) +
  geom_text_repel(aes(label = name), size = 4, color = "black", max.overlaps = 20) +  # Labels are fully visible
  gene_colors + 
  tissue_shapes +
  theme_bw() +
  theme(legend.title = element_blank(),
        legend.text = element_text(face = "bold", size = 14),
        axis.text = element_text(size = 12),
        axis.title = element_text(size = 14)) +
  ggtitle("PCA of All Tissues (With Labels)", subtitle = "Tissues differentiated by shape, Genes by color")

# Save PCA with labels
ggsave(paste0(saveDir, "/PCA_Tissue_Gene_Label.png"), plot = p_pca_label, width = 10, height = 10, dpi = 600, device = "png")

# **Return plots for knitr/RMarkdown**
list(NoLabel = p_pca_nolabel, WithLabel = p_pca_label)
$NoLabel

Version Author Date
b540a1e Maeva TECHER 2025-02-27

$WithLabel

Version Author Date
b540a1e Maeva TECHER 2025-02-27

The PCA plot shows clear distinction between tissue types, while gene silencing has a large variation within each tissue, and presents no distinct clear groupings for a single gene.

SVA

### SVA analysis to control for technical variation 
dat  <- counts(dds, normalized = TRUE)
idx  <- rowMeans(dat) > 1
dat  <- dat[idx, ]
mod  <- model.matrix(~ Gene, colData(dds))
mod0 <- model.matrix(~ 1, colData(dds))
svseq <- svaseq(dat, mod, mod0)
Number of significant surrogate variables is:  7 
Iteration (out of 5 ):1  2  3  4  5  
sva_plots <- create_sva_plots(svseq, dds, saveDir, intgroup = c("Tissue", "Gene"), max_sv = 6)

# Show stripcharts in the report
sva_plots$Stripcharts[[1]]  # Show first stripchart

Version Author Date
b540a1e Maeva TECHER 2025-02-27
sva_plots$Stripcharts[[2]]  # Show second stripchart

Version Author Date
b540a1e Maeva TECHER 2025-02-27
sva_plots$Stripcharts[[3]]  # Show third stripchart

Version Author Date
b540a1e Maeva TECHER 2025-02-27
sva_plots$Stripcharts[[4]] 

Version Author Date
b540a1e Maeva TECHER 2025-02-27
sva_plots$Stripcharts[[5]]

Version Author Date
b540a1e Maeva TECHER 2025-02-27
sva_plots$Stripcharts[[6]] 

Version Author Date
b540a1e Maeva TECHER 2025-02-27
# Show scatter plots in the report
sva_plots$ScatterPlots[["1_2"]]  # Show SV1 vs SV2

Version Author Date
b540a1e Maeva TECHER 2025-02-27
sva_plots$ScatterPlots[["1_3"]]  # Show SV1 vs SV3

Version Author Date
b540a1e Maeva TECHER 2025-02-27
sva_plots$ScatterPlots[["2_3"]]  # Show SV2 vs SV3

Version Author Date
b540a1e Maeva TECHER 2025-02-27

SV1 is clearly showing an effect of tissue. We rerun the DESeq2 model but this time including the surrogate variable SV2 and SV3 as a covariates only, as we know that the modeled variation is more likely explained by tissue and gene variation rather than batch effects.

ddssva <- dds
ddssva$SV1 <- svseq$sv[,1]
ddssva$SV2 <- svseq$sv[,2]
ddssva$SV3 <- svseq$sv[,3]
ddssva$SV4 <- svseq$sv[,4]
ddssva$SV5 <- svseq$sv[,5]
ddssva$SV6 <- svseq$sv[,6]

design(ddssva) <- ~ SV1 + SV2 + SV3 + SV4 + SV5 + SV6 + Gene
ddssva$Gene <- relevel(ddssva$Gene, ref = "CONTROL")

smallestGroupSize <- 5
keep <- rowSums(counts(ddssva) >= 10) >= smallestGroupSize
ddssva <- ddssva[keep,]

ddssva <- DESeq(ddssva)

ddssva <- ddssva[which(mcols(ddssva)$betaConv),] # remove non converging rows

### Extract results
message("Available contrasts are: ", paste(resultsNames(ddssva), collapse = ", "))


hex1 <- results(ddssva, contrast = c("Gene", "HEX1", "CONTROL"), alpha = 0.05)
hex2 <- results(ddssva, contrast = c("Gene", "HEX2", "CONTROL"), alpha = 0.05)
jhmt <- results(ddssva, contrast = c("Gene", "JHMT", "CONTROL"), alpha = 0.05)
miox <- results(ddssva, contrast = c("Gene", "MIOX", "CONTROL"), alpha = 0.05)
unch <- results(ddssva, contrast = c("Gene", "UNCH", "CONTROL"), alpha = 0.05)
gfp  <- results(ddssva, contrast = c("Gene", "GFP", "CONTROL"), alpha = 0.05)

Volcano plots and Heatmaps

# Define contrast_sets
hex1_samples <- c("SGRE-THOX-CRD-1","SGRE-THOX-CRD-3","SGRE-THOX-CRD-4","SGRE-THOX-CRD-5",
                  "SGRE-THOX-CRD-6","SggfpT1","SggfpT2","SggfpT3","SggfpT4","SggfpT5",
                  "Sghex1T1","Sghex1T2","Sghex1T3","Sghex1T4","Sghex1T5")
hex2_samples <- c("SGRE-THOX-CRD-1","SGRE-THOX-CRD-3","SGRE-THOX-CRD-4","SGRE-THOX-CRD-5",
                  "SGRE-THOX-CRD-6","SggfpT1","SggfpT2","SggfpT3","SggfpT4","SggfpT5",
                  "Sghex2T1","Sghex2T2","Sghex2T3","Sghex2T4","Sghex2T5")
jhmt_samples <- c("SGRE-THOX-CRD-1","SGRE-THOX-CRD-3","SGRE-THOX-CRD-4","SGRE-THOX-CRD-5",
                  "SGRE-THOX-CRD-6","SggfpT1","SggfpT2","SggfpT3","SggfpT4","SggfpT5",
                  "SgjhmtT1","SgjhmtT2","SgjhmtT3","SgjhmtT4","SgjhmtT5")
miox_samples <- c("SGRE-THOX-CRD-1","SGRE-THOX-CRD-3","SGRE-THOX-CRD-4","SGRE-THOX-CRD-5",
                  "SGRE-THOX-CRD-6","SggfpT1","SggfpT2","SggfpT3","SggfpT4","SggfpT5",
                  "SgmioxT1","SgmioxT2","SgmioxT3","SgmioxT4","SgmioxT5")
unch_samples <- c("SGRE-THOX-CRD-1","SGRE-THOX-CRD-3","SGRE-THOX-CRD-4","SGRE-THOX-CRD-5",
                  "SGRE-THOX-CRD-6","SggfpT1","SggfpT2","SggfpT3","SggfpT4","SggfpT5",
                  "SgunchT1","SgunchT2","SgunchT3","SgunchT4","SgunchT5")
gfp_samples <- c("SGRE-THOX-CRD-1","SGRE-THOX-CRD-3","SGRE-THOX-CRD-4","SGRE-THOX-CRD-5",
                  "SGRE-THOX-CRD-6", "SggfpT1","SggfpT2","SggfpT3","SggfpT4","SggfpT5")

# Run full analysis
hex1_plots <- visualize_data_nopng(hex1, "HEX1_vs_CONTROL", hex1_samples)
hex2_plots <- visualize_data_nopng(hex2, "HEX2_vs_CONTROL", hex2_samples)
jhmt_plots <- visualize_data_nopng(jhmt, "JHMT_vs_CONTROL", jhmt_samples)
miox_plots <- visualize_data_nopng(miox, "MIOX_vs_CONTROL", miox_samples)
unch_plots <- visualize_data_nopng(unch, "UNCH_vs_CONTROL", unch_samples)
gfp_plots <- visualize_data_nopng(gfp, "GFP_vs_CONTROL", gfp_samples)

hex1_plots$volcano; hex1_plots$heatmap

Version Author Date
b540a1e Maeva TECHER 2025-02-27

Version Author Date
b540a1e Maeva TECHER 2025-02-27
hex2_plots$volcano; hex2_plots$heatmap

Version Author Date
b540a1e Maeva TECHER 2025-02-27

Version Author Date
b540a1e Maeva TECHER 2025-02-27
jhmt_plots$volcano; jhmt_plots$heatmap

Version Author Date
b540a1e Maeva TECHER 2025-02-27

Version Author Date
b540a1e Maeva TECHER 2025-02-27
miox_plots$volcano; miox_plots$heatmap

Version Author Date
b540a1e Maeva TECHER 2025-02-27

Version Author Date
b540a1e Maeva TECHER 2025-02-27
unch_plots$volcano; unch_plots$heatmap

Version Author Date
b540a1e Maeva TECHER 2025-02-27

Version Author Date
3e696d6 Maeva TECHER 2025-06-05
b540a1e Maeva TECHER 2025-02-27
gfp_plots$volcano; gfp_plots$heatmap

Version Author Date
3e696d6 Maeva TECHER 2025-06-05
9451c02 Maeva TECHER 2025-03-03
b540a1e Maeva TECHER 2025-02-27

Version Author Date
9451c02 Maeva TECHER 2025-03-03
b540a1e Maeva TECHER 2025-02-27

DEG tables

The following tables show the genes differentially expressed with at least an absolute log2fold change of > 1 considering Head tissues only. Considering GFP as the reference state, upregulated genes in knockdown treatment in red and downregulated genes in knockdown treatment in blue. You can search for a gene of interest by writting a LOCID or description in the search bar or sort by column.

# Generate tables for each contrast
table_hex1 <- generate_deg_table(ddssva, "Gene_HEX1_vs_CONTROL", allspecies_df)

out of 14409 with nonzero total read count
adjusted p-value < 0.05
LFC > 0 (up)       : 6704, 47%
LFC < 0 (down)     : 4208, 29%
outliers [1]       : 0, 0%
low counts [2]     : 0, 0%
(mean count < 3)
[1] see 'cooksCutoff' argument of ?results
[2] see 'independentFiltering' argument of ?results
Total DEGs p-value < 0.05 and absolute logFoldChange > 1: 8162
LFC > 1 (up)       : 5437 (66.61%)
LFC < -1 (down)     : 2725 (33.39%)
table_hex1$kable_table
table_hex2 <- generate_deg_table(ddssva, "Gene_HEX2_vs_CONTROL", allspecies_df)

out of 14409 with nonzero total read count
adjusted p-value < 0.05
LFC > 0 (up)       : 6686, 46%
LFC < 0 (down)     : 4250, 29%
outliers [1]       : 0, 0%
low counts [2]     : 0, 0%
(mean count < 3)
[1] see 'cooksCutoff' argument of ?results
[2] see 'independentFiltering' argument of ?results
Total DEGs p-value < 0.05 and absolute logFoldChange > 1: 7953
LFC > 1 (up)       : 5320 (66.89%)
LFC < -1 (down)     : 2633 (33.11%)
table_hex2$kable_table
table_jhmt <- generate_deg_table(ddssva, "Gene_JHMT_vs_CONTROL", allspecies_df)

out of 14409 with nonzero total read count
adjusted p-value < 0.05
LFC > 0 (up)       : 7005, 49%
LFC < 0 (down)     : 4332, 30%
outliers [1]       : 0, 0%
low counts [2]     : 0, 0%
(mean count < 3)
[1] see 'cooksCutoff' argument of ?results
[2] see 'independentFiltering' argument of ?results
Total DEGs p-value < 0.05 and absolute logFoldChange > 1: 8566
LFC > 1 (up)       : 5685 (66.37%)
LFC < -1 (down)     : 2881 (33.63%)
table_jhmt$kable_table
table_miox <- generate_deg_table(ddssva, "Gene_MIOX_vs_CONTROL", allspecies_df)

out of 14409 with nonzero total read count
adjusted p-value < 0.05
LFC > 0 (up)       : 7179, 50%
LFC < 0 (down)     : 4400, 31%
outliers [1]       : 0, 0%
low counts [2]     : 0, 0%
(mean count < 3)
[1] see 'cooksCutoff' argument of ?results
[2] see 'independentFiltering' argument of ?results
Total DEGs p-value < 0.05 and absolute logFoldChange > 1: 8720
LFC > 1 (up)       : 5778 (66.26%)
LFC < -1 (down)     : 2942 (33.74%)
table_miox$kable_table
table_unch <- generate_deg_table(ddssva, "Gene_UNCH_vs_CONTROL", allspecies_df)

out of 14409 with nonzero total read count
adjusted p-value < 0.05
LFC > 0 (up)       : 6666, 46%
LFC < 0 (down)     : 4259, 30%
outliers [1]       : 0, 0%
low counts [2]     : 0, 0%
(mean count < 3)
[1] see 'cooksCutoff' argument of ?results
[2] see 'independentFiltering' argument of ?results
Total DEGs p-value < 0.05 and absolute logFoldChange > 1: 8007
LFC > 1 (up)       : 5321 (66.45%)
LFC < -1 (down)     : 2686 (33.55%)
table_unch$kable_table
table_gfp <- generate_deg_table(ddssva, "Gene_GFP_vs_CONTROL", allspecies_df)

out of 14409 with nonzero total read count
adjusted p-value < 0.05
LFC > 0 (up)       : 6898, 48%
LFC < 0 (down)     : 4311, 30%
outliers [1]       : 0, 0%
low counts [2]     : 0, 0%
(mean count < 3)
[1] see 'cooksCutoff' argument of ?results
[2] see 'independentFiltering' argument of ?results
Total DEGs p-value < 0.05 and absolute logFoldChange > 1: 8322
LFC > 1 (up)       : 5524 (66.38%)
LFC < -1 (down)     : 2798 (33.62%)
table_gfp$kable_table

Summary and Overlap

# Summarize DEGs for all contrasts
deg_summary <- bind_rows(
  summarize_deg_counts(table_hex1, "HEX1 vs CONTROL"),
  summarize_deg_counts(table_hex2, "HEX2 vs CONTROL"),
  summarize_deg_counts(table_jhmt, "JHMT vs CONTROL"),
  summarize_deg_counts(table_miox, "MIOX vs CONTROL"),
  summarize_deg_counts(table_unch, "UNCH vs CONTROL"),
  summarize_deg_counts(table_gfp, "GFP vs CONTROL")
)


# Display table using kable with styling
deg_summary %>%
  kable("html", escape = FALSE, col.names = gsub("_", " ", names(.))) %>%
  kable_styling("striped", full_width = TRUE) %>%
  column_spec(2, color = "red", bold = TRUE) %>%  # Upregulated in red
  column_spec(3, color = "blue", bold = TRUE) %>% # Downregulated in blue
  add_header_above(c("Summary of DEGs" = 3)) %>%
  row_spec(0, bold = TRUE)
Summary of DEGs
Contrast Upregulated Downregulated
HEX1 vs CONTROL 5393 2705
HEX2 vs CONTROL 5277 2622
JHMT vs CONTROL 5633 2864
MIOX vs CONTROL 5733 2924
UNCH vs CONTROL 5264 2675
GFP vs CONTROL 5467 2785
# Define the list of RNAi contrasts
contrast_list <- c("HEX1_vs_CONTROL", "HEX2_vs_CONTROL", "JHMT_vs_CONTROL", 
                   "MIOX_vs_CONTROL", "UNCH_vs_CONTROL", "GFP_vs_CONTROL")

# Initialize empty lists for storing Head-specific DEGs for each contrast
venn_data_up <- list()
venn_data_down <- list()
venn_data_all <- list()

# Function to load Head-specific DEGs for a given set of contrasts
load_deg_contrasts_head <- function(contrast_list) {
  degs_up <- list()
  degs_down <- list()
  degs_all <- list()
  
  for (contrast in contrast_list) {
    deg_file <- file.path(workDir, "DEG_results/RNAi/Thorax_control_no_rRNA/", contrast, paste0("DEG_sigresults_", contrast, ".csv"))
    
    if (!file.exists(deg_file)) {
      message(paste("File missing for contrast:", contrast))
      next  # Skip if the file doesn't exist
    }
    
    deg_data <- read.csv(deg_file, stringsAsFactors = FALSE)
    
    # Convert row names to a column if necessary
       if ("X" %in% colnames(deg_data)) {
    colnames(deg_data)[colnames(deg_data) == "X"] <- "GeneID"
    }

        # Check if data is empty
        if (nrow(deg_data) == 0) {
            message(paste("No data for contrast:", contrast))
            next
        }
    
    # Select significant DEGs (Up, Down, All)
    degs_up[[contrast]] <- deg_data %>%
      filter(padj < 0.05 & log2FoldChange >= 1) %>%
      pull(GeneID)  # Extract GeneID column
    
    degs_down[[contrast]] <- deg_data %>%
      filter(padj < 0.05 & log2FoldChange <= -1) %>%
      pull(GeneID)  # Extract GeneID column
    
    degs_all[[contrast]] <- deg_data %>%
      filter(padj < 0.05 & abs(log2FoldChange) >= 1) %>%
      pull(GeneID)  # Extract GeneID column
  }
  
  return(list(up = degs_up, down = degs_down, all = degs_all))
}

# Load DEG data for the defined contrasts (Head tissue only)
venn_data_contrasts <- load_deg_contrasts_head(contrast_list)

# Prepare the data for the Venn diagrams
venn_data_up <- venn_data_contrasts$up
venn_data_down <- venn_data_contrasts$down
venn_data_all <- venn_data_contrasts$all


# Display the Venn diagram and datatable for **Head Upregulated DEGs** across contrasts
display_ggvenn_plot(venn_data_up, "Venn Diagram of Thorax Upregulated DEGs - RNAi Contrasts")

Version Author Date
9451c02 Maeva TECHER 2025-03-03
b540a1e Maeva TECHER 2025-02-27
# Display the Venn diagram and datatable for **Head Downregulated DEGs** across contrasts
display_ggvenn_plot(venn_data_down, "Venn Diagram of Thorax Downregulated DEGs - RNAi Contrasts")

Version Author Date
9451c02 Maeva TECHER 2025-03-03
b540a1e Maeva TECHER 2025-02-27
# Display the Venn diagram and datatable for **All Significant DEGs in Head Tissue**
display_ggvenn_plot(venn_data_all, "Venn Diagram of All Significant DEGs in Thorax Tissue - RNAi Contrasts")

Version Author Date
9451c02 Maeva TECHER 2025-03-03
b540a1e Maeva TECHER 2025-02-27
# Run the UpSet plot for Head Upregulated DEGs
display_upset_plot(venn_data_up, "UpSet Plot of Thorax Upregulated DEGs - RNAi Contrasts")

Version Author Date
9451c02 Maeva TECHER 2025-03-03
b540a1e Maeva TECHER 2025-02-27
# Run the UpSet plot for Head Downregulated DEGs
display_upset_plot(venn_data_down, "UpSet Plot of Thorax Downregulated DEGs - RNAi Contrasts")

Version Author Date
9451c02 Maeva TECHER 2025-03-03
b540a1e Maeva TECHER 2025-02-27
# Run the UpSet plot for Head Upregulated DEGs
display_upset_plot(venn_data_all, "UpSet Plot of All Significant DEGs in Thorax Tissue - RNAi Contrasts")

Version Author Date
9451c02 Maeva TECHER 2025-03-03
b540a1e Maeva TECHER 2025-02-27

6. Comparison between GFP vs Crowded

All genes included

All tissue together

Minor changes here are made compared to the DESeq2 results regarding the importation of samples to transform into a matrix.

Sample names are structured as follow: {Sg}{gene}{#} {Sg} = Schistocerca gregaria {gene} = gene abbreviation gfp, hex1, hex2, jhmt, miox and unch H/T{#} = biological replicate

saveDir <- paste0(workDir,"/DEG_results/RNAi/All_GFP")
dir.create(saveDir)
### Prepare Sample CSV file #####
samples <- read.delim(file.path(workDir, "list/RNAi/All_RNAi_GFPCRDsample_list.csv"), sep = ",", row.names = 1, header = TRUE)
files <- file.path(workDir, "readcounts/RNAi/", samples$Tissue, samples$Filename)
names(files) <- row.names(samples)
if (all(file.exists(files))) {
  message("All the files exist!")
} else {
  warning("Some files are missing!")
}
All the files exist!
### **Standardized Count Matrix Creation**
# Extract all gene lists first
gene_lists <- map(files, function(sample) {
  fread(sample, sep = "\t", header = FALSE)[, 1]  # Extract Gene IDs (column 1)
})

# Get a unique set of all gene IDs across all samples
all_genes <- unique(unlist(gene_lists))

# Create a named list to store count data with standardized rows
cts_list <- map(files, function(sample) {
  data_count <- fread(sample, sep = "\t", header = FALSE)
  
  col_name <- gsub("_counts.txt", "", basename(sample))  # Clean sample name
  
  # Convert to data frame with correct column names
  data_count <- setNames(data.frame(data_count[, 1:2]), c("GeneID", col_name))
  
  # Ensure all gene IDs are present (fill missing values with 0)
  data_count <- full_join(data.frame(GeneID = all_genes), data_count, by = "GeneID") %>%
    mutate(across(where(is.numeric), ~ replace_na(., 0)))  # Fill NA with 0
  
  return(data_count)
})

# Merge all samples based on GeneID
cts <- reduce(cts_list, full_join, by = "GeneID")

# Convert to matrix for DESeq2
cts_matrix <- as.matrix(cts[, -1])  # Remove GeneID column for count matrix
rownames(cts_matrix) <- cts$GeneID  # Set GeneID as rownames
rm(cts_list)  # Free memory

While for bulk RNAseq on head and thorax for all species, the DEGs model was made between isolated and crowded individuals (with isolated as the reference state), here, the DEG analysis will be carried between GFP knock-down nymphs (as reference state) vs Hexamerins / Juvenile Hormones / Inositol / Uncharacterized proteins.

### Build DESeq2 Object
dds <- DESeqDataSetFromMatrix(countData = cts_matrix,
                              colData = samples,
                              design = ~ Gene)
dds$Gene <- relevel(dds$Gene, ref = "CONTROL")

smallestGroupSize <- 5
keep <- rowSums(counts(dds) >= 10) >= smallestGroupSize
dds <- dds[keep,]

dds <- DESeq(dds)

Normalization and PCA

# Plot PCA and investigate quality metrics
vsd <- vst(dds, blind = TRUE) 

# Perform PCA
pca_data <- plotPCA(vsd, intgroup = c("Tissue", "Gene"), returnData = TRUE)

# Define colors for genes (slightly transparent) and shapes for tissues
gene_colors <- scale_color_manual(values = alpha(brewer.pal(n = length(unique(pca_data$Gene)), name = "Set1"), 0.8))  # Points are transparent
tissue_shapes <- scale_shape_manual(values = seq(15, 15 + length(unique(pca_data$Tissue))))

# **PCA without labels**
p_pca_nolabel <- ggplot(pca_data, aes(x = PC1, y = PC2, color = Gene, shape = Tissue)) +
  geom_point(size = 4) +
  gene_colors + 
  tissue_shapes +
  theme_bw() +
  theme(legend.title = element_blank(),
        legend.text = element_text(face = "bold", size = 14),
        axis.text = element_text(size = 12),
        axis.title = element_text(size = 14)) +
  ggtitle("PCA of All Tissues (No Labels)", subtitle = "Tissues differentiated by shape, Genes by color")

# Save PCA without labels
ggsave(paste0(saveDir, "/PCA_Tissue_Gene_NoLabel.png"), plot = p_pca_nolabel, width = 10, height = 10, dpi = 600, device = "png")

# **PCA with labels**
p_pca_label <- ggplot(pca_data, aes(x = PC1, y = PC2, color = Gene, shape = Tissue)) +
  geom_point(size = 4) +
  geom_text_repel(aes(label = name), size = 4, color = "black", max.overlaps = 20) +  # Labels are fully visible
  gene_colors + 
  tissue_shapes +
  theme_bw() +
  theme(legend.title = element_blank(),
        legend.text = element_text(face = "bold", size = 14),
        axis.text = element_text(size = 12),
        axis.title = element_text(size = 14)) +
  ggtitle("PCA of All Tissues (With Labels)", subtitle = "Tissues differentiated by shape, Genes by color")

# Save PCA with labels
ggsave(paste0(saveDir, "/PCA_Tissue_Gene_Label.png"), plot = p_pca_label, width = 10, height = 10, dpi = 600, device = "png")

# **Return plots for knitr/RMarkdown**
list(NoLabel = p_pca_nolabel, WithLabel = p_pca_label)
$NoLabel

Version Author Date
9451c02 Maeva TECHER 2025-03-03

$WithLabel

Version Author Date
9451c02 Maeva TECHER 2025-03-03

The PCA plot shows clear distinction between tissue types, while gene silencing has a large variation within each tissue, and presents no distinct clear groupings for a single gene.

SVA

### SVA analysis to control for technical variation 
dat  <- counts(dds, normalized = TRUE)
idx  <- rowMeans(dat) > 1
dat  <- dat[idx, ]
mod  <- model.matrix(~ Gene, colData(dds))
mod0 <- model.matrix(~ 1, colData(dds))
svseq <- svaseq(dat, mod, mod0)
Number of significant surrogate variables is:  2 
Iteration (out of 5 ):1  2  3  4  5  
sva_plots <- create_sva_plots(svseq, dds, saveDir, intgroup = c("Tissue", "Gene"), max_sv = 4)

# Show stripcharts in the report
sva_plots$Stripcharts[[1]]  # Show first stripchart

Version Author Date
9451c02 Maeva TECHER 2025-03-03
sva_plots$Stripcharts[[2]]  # Show second stripchart

Version Author Date
9451c02 Maeva TECHER 2025-03-03
# Show scatter plots in the report
sva_plots$ScatterPlots[["1_2"]]  # Show SV1 vs SV2

Version Author Date
9451c02 Maeva TECHER 2025-03-03

SV1 is clearly showing an effect of tissue. We rerun the DESeq2 model but this time including the surrogate variable SV2 and SV3 as a covariates only, as we know that the modeled variation is more likely explained by tissue and gene variation rather than batch effects.

ddssva <- dds
ddssva$SV1 <- svseq$sv[,1]
ddssva$SV2 <- svseq$sv[,2]

design(ddssva) <- ~ SV1 + SV2 + Gene
ddssva$Gene <- relevel(ddssva$Gene, ref = "CONTROL")

smallestGroupSize <- 5
keep <- rowSums(counts(ddssva) >= 10) >= smallestGroupSize
ddssva <- ddssva[keep,]

ddssva <- DESeq(ddssva)

ddssva <- ddssva[which(mcols(ddssva)$betaConv),] # remove non converging rows

### Extract results
message("Available contrasts are: ", paste(resultsNames(ddssva), collapse = ", "))

gfp  <- results(ddssva, contrast = c("Gene", "GFP", "CONTROL"), alpha = 0.05)

Volcano plots and Heatmaps

# Define contrast_sets
gfp_samples <- c("SGRE-HEAD-CRD-1","SGRE-HEAD-CRD-2","SGRE-HEAD-CRD-3","SGRE-HEAD-CRD-4","SGRE-HEAD-CRD-5",
                  "SGRE-HEAD-CRD-6","SggfpH1","SggfpH2","SggfpH3","SggfpH4","SggfpH5", "SGRE-THOX-CRD-1","SGRE-THOX-CRD-3","SGRE-THOX-CRD-4","SGRE-THOX-CRD-5",
                  "SGRE-THOX-CRD-6", "SggfpT1","SggfpT2","SggfpT3","SggfpT4","SggfpT5")

# Run full analysis
gfp_plots <- visualize_data_nopng(gfp, "GFP_vs_CONTROL", gfp_samples)

gfp_plots$volcano; gfp_plots$heatmap

Version Author Date
9451c02 Maeva TECHER 2025-03-03

Version Author Date
9451c02 Maeva TECHER 2025-03-03

DEG tables

The following tables show the genes differentially expressed with at least an absolute log2fold change of > 1 considering all tissues together. Considering GFP as the reference state, upregulated genes in knockdown treatment in red and downregulated genes in knockdown treatment in blue. You can search for a gene of interest by writting a LOCID or description in the search bar or sort by column.

table_gfp <- generate_deg_table(ddssva, "Gene_GFP_vs_CONTROL", allspecies_df)

out of 15247 with nonzero total read count
adjusted p-value < 0.05
LFC > 0 (up)       : 7769, 51%
LFC < 0 (down)     : 5416, 36%
outliers [1]       : 0, 0%
low counts [2]     : 0, 0%
(mean count < 1)
[1] see 'cooksCutoff' argument of ?results
[2] see 'independentFiltering' argument of ?results
Total DEGs p-value < 0.05 and absolute logFoldChange > 1: 9396
LFC > 1 (up)       : 5833 (62.08%)
LFC < -1 (down)     : 3563 (37.92%)
table_gfp$kable_table

Summary and Overlap

# Summarize DEGs for all contrasts
deg_summary <- bind_rows(
  summarize_deg_counts(table_gfp, "GFP vs CONTROL")
)


# Display table using kable with styling
deg_summary %>%
  kable("html", escape = FALSE, col.names = gsub("_", " ", names(.))) %>%
  kable_styling("striped", full_width = TRUE) %>%
  column_spec(2, color = "red", bold = TRUE) %>%  # Upregulated in red
  column_spec(3, color = "blue", bold = TRUE) %>% # Downregulated in blue
  add_header_above(c("Summary of DEGs" = 3)) %>%
  row_spec(0, bold = TRUE)
Summary of DEGs
Contrast Upregulated Downregulated
GFP vs CONTROL 5815 3553
# Define the list of RNAi contrasts
contrast_list <- c("GFP_vs_CONTROL")

# Initialize empty lists for storing Head-specific DEGs for each contrast
venn_data_up <- list()
venn_data_down <- list()
venn_data_all <- list()

# Function to load Head-specific DEGs for a given set of contrasts
load_deg_contrasts_head <- function(contrast_list) {
  degs_up <- list()
  degs_down <- list()
  degs_all <- list()
  
  for (contrast in contrast_list) {
    deg_file <- file.path(workDir, "DEG_results/RNAi/All_GFP/", contrast, paste0("DEG_sigresults_", contrast, ".csv"))
    
    if (!file.exists(deg_file)) {
      message(paste("File missing for contrast:", contrast))
      next  # Skip if the file doesn't exist
    }
    
    deg_data <- read.csv(deg_file, stringsAsFactors = FALSE)
    
    # Convert row names to a column if necessary
       if ("X" %in% colnames(deg_data)) {
    colnames(deg_data)[colnames(deg_data) == "X"] <- "GeneID"
    }

        # Check if data is empty
        if (nrow(deg_data) == 0) {
            message(paste("No data for contrast:", contrast))
            next
        }
    
    # Select significant DEGs (Up, Down, All)
    degs_up[[contrast]] <- deg_data %>%
      filter(padj < 0.05 & log2FoldChange >= 1) %>%
      pull(GeneID)  # Extract GeneID column
    
    degs_down[[contrast]] <- deg_data %>%
      filter(padj < 0.05 & log2FoldChange <= -1) %>%
      pull(GeneID)  # Extract GeneID column
    
    degs_all[[contrast]] <- deg_data %>%
      filter(padj < 0.05 & abs(log2FoldChange) >= 1) %>%
      pull(GeneID)  # Extract GeneID column
  }
  
  return(list(up = degs_up, down = degs_down, all = degs_all))
}

# Load DEG data for the defined contrasts (Head tissue only)
venn_data_contrasts <- load_deg_contrasts_head(contrast_list)

# Prepare the data for the Venn diagrams
venn_data_up <- venn_data_contrasts$up
venn_data_down <- venn_data_contrasts$down
venn_data_all <- venn_data_contrasts$all

Head tissue

saveDir <- paste0(workDir,"/DEG_results/RNAi/Head_GFP")
dir.create(saveDir)
### Prepare Sample CSV file #####
samples <- read.delim(file.path(workDir, "list/RNAi/Head_RNAi_GFPCRDsample_list.csv"), sep = ",", row.names = 1, header = TRUE)
files <- file.path(workDir, "readcounts/RNAi/", samples$Tissue, samples$Filename)
names(files) <- row.names(samples)
if (all(file.exists(files))) {
  message("All the files exist!")
} else {
  warning("Some files are missing!")
}
All the files exist!
### **Standardized Count Matrix Creation**
# Extract all gene lists first
gene_lists <- map(files, function(sample) {
  fread(sample, sep = "\t", header = FALSE)[, 1]  # Extract Gene IDs (column 1)
})

# Get a unique set of all gene IDs across all samples
all_genes <- unique(unlist(gene_lists))

# Create a named list to store count data with standardized rows
cts_list <- map(files, function(sample) {
  data_count <- fread(sample, sep = "\t", header = FALSE)
  
  col_name <- gsub("_counts.txt", "", basename(sample))  # Clean sample name
  
  # Convert to data frame with correct column names
  data_count <- setNames(data.frame(data_count[, 1:2]), c("GeneID", col_name))
  
  # Ensure all gene IDs are present (fill missing values with 0)
  data_count <- full_join(data.frame(GeneID = all_genes), data_count, by = "GeneID") %>%
    mutate(across(where(is.numeric), ~ replace_na(., 0)))  # Fill NA with 0
  
  return(data_count)
})

# Merge all samples based on GeneID
cts <- reduce(cts_list, full_join, by = "GeneID")

# Convert to matrix for DESeq2
cts_matrix <- as.matrix(cts[, -1])  # Remove GeneID column for count matrix
rownames(cts_matrix) <- cts$GeneID  # Set GeneID as rownames
rm(cts_list)  # Free memory

While for bulk RNAseq on head and thorax for all species, the DEGs model was made between isolated and crowded individuals (with isolated as the reference state), here, the DEG analysis will be carried between GFP knock-down nymphs (as reference state) vs Hexamerins / Juvenile Hormones / Inositol / Uncharacterized proteins.

### Build DESeq2 Object
dds <- DESeqDataSetFromMatrix(countData = cts_matrix,
                              colData = samples,
                              design = ~ Gene)
dds$Gene <- relevel(dds$Gene, ref = "CONTROL")

smallestGroupSize <- 5
keep <- rowSums(counts(dds) >= 10) >= smallestGroupSize
dds <- dds[keep,]

dds <- DESeq(dds)

Normalization and PCA

# Plot PCA and investigate quality metrics
vsd <- vst(dds, blind = TRUE) 

# Perform PCA
pca_data <- plotPCA(vsd, intgroup = c("Tissue", "Gene"), returnData = TRUE)

# Define colors for genes (slightly transparent) and shapes for tissues
gene_colors <- scale_color_manual(values = alpha(brewer.pal(n = length(unique(pca_data$Gene)), name = "Set1"), 0.8))  # Points are transparent
tissue_shapes <- scale_shape_manual(values = seq(15, 15 + length(unique(pca_data$Tissue))))

# **PCA without labels**
p_pca_nolabel <- ggplot(pca_data, aes(x = PC1, y = PC2, color = Gene, shape = Tissue)) +
  geom_point(size = 4) +
  gene_colors + 
  tissue_shapes +
  theme_bw() +
  theme(legend.title = element_blank(),
        legend.text = element_text(face = "bold", size = 14),
        axis.text = element_text(size = 12),
        axis.title = element_text(size = 14)) +
  ggtitle("PCA of All Tissues (No Labels)", subtitle = "Tissues differentiated by shape, Genes by color")

# Save PCA without labels
ggsave(paste0(saveDir, "/PCA_Tissue_Gene_NoLabel.png"), plot = p_pca_nolabel, width = 10, height = 10, dpi = 600, device = "png")

# **PCA with labels**
p_pca_label <- ggplot(pca_data, aes(x = PC1, y = PC2, color = Gene, shape = Tissue)) +
  geom_point(size = 4) +
  geom_text_repel(aes(label = name), size = 4, color = "black", max.overlaps = 20) +  # Labels are fully visible
  gene_colors + 
  tissue_shapes +
  theme_bw() +
  theme(legend.title = element_blank(),
        legend.text = element_text(face = "bold", size = 14),
        axis.text = element_text(size = 12),
        axis.title = element_text(size = 14)) +
  ggtitle("PCA of All Tissues (With Labels)", subtitle = "Tissues differentiated by shape, Genes by color")

# Save PCA with labels
ggsave(paste0(saveDir, "/PCA_Tissue_Gene_Label.png"), plot = p_pca_label, width = 10, height = 10, dpi = 600, device = "png")

# **Return plots for knitr/RMarkdown**
list(NoLabel = p_pca_nolabel, WithLabel = p_pca_label)
$NoLabel

Version Author Date
9451c02 Maeva TECHER 2025-03-03

$WithLabel

Version Author Date
9451c02 Maeva TECHER 2025-03-03

The PCA plot shows clear distinction between tissue types, while gene silencing has a large variation within each tissue, and presents no distinct clear groupings for a single gene.

SVA

### SVA analysis to control for technical variation 
dat  <- counts(dds, normalized = TRUE)
idx  <- rowMeans(dat) > 1
dat  <- dat[idx, ]
mod  <- model.matrix(~ Gene, colData(dds))
mod0 <- model.matrix(~ 1, colData(dds))
svseq <- svaseq(dat, mod, mod0)
Number of significant surrogate variables is:  4 
Iteration (out of 5 ):1  2  3  4  5  
sva_plots <- create_sva_plots(svseq, dds, saveDir, intgroup = c("Tissue", "Gene"), max_sv = 7)

# Show stripcharts in the report
sva_plots$Stripcharts[[1]]  # Show first stripchart

Version Author Date
9451c02 Maeva TECHER 2025-03-03
sva_plots$Stripcharts[[2]]  # Show second stripchart

Version Author Date
9451c02 Maeva TECHER 2025-03-03
sva_plots$Stripcharts[[3]]  # Show third stripchart

Version Author Date
9451c02 Maeva TECHER 2025-03-03
sva_plots$Stripcharts[[4]] 

Version Author Date
9451c02 Maeva TECHER 2025-03-03
# Show scatter plots in the report
sva_plots$ScatterPlots[["1_2"]]  # Show SV1 vs SV2

Version Author Date
9451c02 Maeva TECHER 2025-03-03
sva_plots$ScatterPlots[["1_3"]]  # Show SV1 vs SV3

Version Author Date
9451c02 Maeva TECHER 2025-03-03
sva_plots$ScatterPlots[["2_3"]]  # Show SV2 vs SV3

Version Author Date
9451c02 Maeva TECHER 2025-03-03

SV1 is clearly showing an effect of tissue. We rerun the DESeq2 model but this time including the surrogate variable SV2 and SV3 as a covariates only, as we know that the modeled variation is more likely explained by tissue and gene variation rather than batch effects.

ddssva <- dds
ddssva$SV1 <- svseq$sv[,1]
ddssva$SV2 <- svseq$sv[,2]
ddssva$SV3 <- svseq$sv[,3]
ddssva$SV4 <- svseq$sv[,4]

design(ddssva) <- ~ SV1 + SV2 + SV3 + SV4 + Gene
ddssva$Gene <- relevel(ddssva$Gene, ref = "CONTROL")

smallestGroupSize <- 5
keep <- rowSums(counts(ddssva) >= 10) >= smallestGroupSize
ddssva <- ddssva[keep,]

ddssva <- DESeq(ddssva)

ddssva <- ddssva[which(mcols(ddssva)$betaConv),] # remove non converging rows

### Extract results
message("Available contrasts are: ", paste(resultsNames(ddssva), collapse = ", "))

gfp  <- results(ddssva, contrast = c("Gene", "GFP", "CONTROL"), alpha = 0.05)

Volcano plots and Heatmaps

# Define contrast_sets
gfp_samples <- c("SGRE-HEAD-CRD-1","SGRE-HEAD-CRD-2","SGRE-HEAD-CRD-3","SGRE-HEAD-CRD-4","SGRE-HEAD-CRD-5",
                  "SGRE-HEAD-CRD-6","SggfpH1","SggfpH2","SggfpH3","SggfpH4","SggfpH5")

# Run full analysis
gfp_plots <- visualize_data_nopng(gfp, "GFP_vs_CONTROL", gfp_samples)

gfp_plots$volcano; gfp_plots$heatmap

Version Author Date
9451c02 Maeva TECHER 2025-03-03

Version Author Date
9451c02 Maeva TECHER 2025-03-03

DEG tables

The following tables show the genes differentially expressed with at least an absolute log2fold change of > 1 considering Head tissues only. Considering GFP as the reference state, upregulated genes in knockdown treatment in red and downregulated genes in knockdown treatment in blue. You can search for a gene of interest by writting a LOCID or description in the search bar or sort by column.

# Generate tables for each contrast
table_gfp <- generate_deg_table(ddssva, "Gene_GFP_vs_CONTROL", allspecies_df)

out of 14027 with nonzero total read count
adjusted p-value < 0.05
LFC > 0 (up)       : 6503, 46%
LFC < 0 (down)     : 4639, 33%
outliers [1]       : 0, 0%
low counts [2]     : 0, 0%
(mean count < 2)
[1] see 'cooksCutoff' argument of ?results
[2] see 'independentFiltering' argument of ?results
Total DEGs p-value < 0.05 and absolute logFoldChange > 1: 8238
LFC > 1 (up)       : 5092 (61.81%)
LFC < -1 (down)     : 3146 (38.19%)
table_gfp$kable_table

Summary and Overlap

# Summarize DEGs for all contrasts
deg_summary <- bind_rows(
  summarize_deg_counts(table_gfp, "GFP vs CONTROL")
)


# Display table using kable with styling
deg_summary %>%
  kable("html", escape = FALSE, col.names = gsub("_", " ", names(.))) %>%
  kable_styling("striped", full_width = TRUE) %>%
  column_spec(2, color = "red", bold = TRUE) %>%  # Upregulated in red
  column_spec(3, color = "blue", bold = TRUE) %>% # Downregulated in blue
  add_header_above(c("Summary of DEGs" = 3)) %>%
  row_spec(0, bold = TRUE)
Summary of DEGs
Contrast Upregulated Downregulated
GFP vs CONTROL 5068 3130
# Define the list of RNAi contrasts
contrast_list <- c("GFP_vs_CONTROL")

# Initialize empty lists for storing Head-specific DEGs for each contrast
venn_data_up <- list()
venn_data_down <- list()
venn_data_all <- list()

# Function to load Head-specific DEGs for a given set of contrasts
load_deg_contrasts_head <- function(contrast_list) {
  degs_up <- list()
  degs_down <- list()
  degs_all <- list()
  
  for (contrast in contrast_list) {
    deg_file <- file.path(workDir, "DEG_results/RNAi/Head_GFP/", contrast, paste0("DEG_sigresults_", contrast, ".csv"))
    
    if (!file.exists(deg_file)) {
      message(paste("File missing for contrast:", contrast))
      next  # Skip if the file doesn't exist
    }
    
    deg_data <- read.csv(deg_file, stringsAsFactors = FALSE)
    
    # Convert row names to a column if necessary
       if ("X" %in% colnames(deg_data)) {
    colnames(deg_data)[colnames(deg_data) == "X"] <- "GeneID"
    }

        # Check if data is empty
        if (nrow(deg_data) == 0) {
            message(paste("No data for contrast:", contrast))
            next
        }
    
    # Select significant DEGs (Up, Down, All)
    degs_up[[contrast]] <- deg_data %>%
      filter(padj < 0.05 & log2FoldChange >= 1) %>%
      pull(GeneID)  # Extract GeneID column
    
    degs_down[[contrast]] <- deg_data %>%
      filter(padj < 0.05 & log2FoldChange <= -1) %>%
      pull(GeneID)  # Extract GeneID column
    
    degs_all[[contrast]] <- deg_data %>%
      filter(padj < 0.05 & abs(log2FoldChange) >= 1) %>%
      pull(GeneID)  # Extract GeneID column
  }
  
  return(list(up = degs_up, down = degs_down, all = degs_all))
}

# Load DEG data for the defined contrasts (Head tissue only)
venn_data_contrasts <- load_deg_contrasts_head(contrast_list)

# Prepare the data for the Venn diagrams
venn_data_up <- venn_data_contrasts$up
venn_data_down <- venn_data_contrasts$down
venn_data_all <- venn_data_contrasts$all

Thorax tissue

saveDir <- paste0(workDir,"/DEG_results/RNAi/Thorax_GFP")
dir.create(saveDir)
### Prepare Sample CSV file #####
samples <- read.delim(file.path(workDir, "list/RNAi/Thorax_RNAi_GFPCRDsample_list.csv"), sep = ",", row.names = 1, header = TRUE)
files <- file.path(workDir, "readcounts/RNAi/", samples$Tissue, samples$Filename)
names(files) <- row.names(samples)
if (all(file.exists(files))) {
  message("All the files exist!")
} else {
  warning("Some files are missing!")
}
All the files exist!
### **Standardized Count Matrix Creation**
# Extract all gene lists first
gene_lists <- map(files, function(sample) {
  fread(sample, sep = "\t", header = FALSE)[, 1]  # Extract Gene IDs (column 1)
})

# Get a unique set of all gene IDs across all samples
all_genes <- unique(unlist(gene_lists))

# Create a named list to store count data with standardized rows
cts_list <- map(files, function(sample) {
  data_count <- fread(sample, sep = "\t", header = FALSE)
  
  col_name <- gsub("_counts.txt", "", basename(sample))  # Clean sample name
  
  # Convert to data frame with correct column names
  data_count <- setNames(data.frame(data_count[, 1:2]), c("GeneID", col_name))
  
  # Ensure all gene IDs are present (fill missing values with 0)
  data_count <- full_join(data.frame(GeneID = all_genes), data_count, by = "GeneID") %>%
    mutate(across(where(is.numeric), ~ replace_na(., 0)))  # Fill NA with 0
  
  return(data_count)
})

# Merge all samples based on GeneID
cts <- reduce(cts_list, full_join, by = "GeneID")

# Convert to matrix for DESeq2
cts_matrix <- as.matrix(cts[, -1])  # Remove GeneID column for count matrix
rownames(cts_matrix) <- cts$GeneID  # Set GeneID as rownames
rm(cts_list)  # Free memory

While for bulk RNAseq on head and thorax for all species, the DEGs model was made between isolated and crowded individuals (with isolated as the reference state), here, the DEG analysis will be carried between GFP knock-down nymphs (as reference state) vs Hexamerins / Juvenile Hormones / Inositol / Uncharacterized proteins.

### Build DESeq2 Object
dds <- DESeqDataSetFromMatrix(countData = cts_matrix,
                              colData = samples,
                              design = ~ Gene)
dds$Gene <- relevel(dds$Gene, ref = "CONTROL")

smallestGroupSize <- 5
keep <- rowSums(counts(dds) >= 10) >= smallestGroupSize
dds <- dds[keep,]

dds <- DESeq(dds)

Normalization and PCA

# Plot PCA and investigate quality metrics
vsd <- vst(dds, blind = TRUE) 

# Perform PCA
pca_data <- plotPCA(vsd, intgroup = c("Tissue", "Gene"), returnData = TRUE)

# Define colors for genes (slightly transparent) and shapes for tissues
gene_colors <- scale_color_manual(values = alpha(brewer.pal(n = length(unique(pca_data$Gene)), name = "Set1"), 0.8))  # Points are transparent
tissue_shapes <- scale_shape_manual(values = seq(15, 15 + length(unique(pca_data$Tissue))))

# **PCA without labels**
p_pca_nolabel <- ggplot(pca_data, aes(x = PC1, y = PC2, color = Gene, shape = Tissue)) +
  geom_point(size = 4) +
  gene_colors + 
  tissue_shapes +
  theme_bw() +
  theme(legend.title = element_blank(),
        legend.text = element_text(face = "bold", size = 14),
        axis.text = element_text(size = 12),
        axis.title = element_text(size = 14)) +
  ggtitle("PCA of All Tissues (No Labels)", subtitle = "Tissues differentiated by shape, Genes by color")

# Save PCA without labels
ggsave(paste0(saveDir, "/PCA_Tissue_Gene_NoLabel.png"), plot = p_pca_nolabel, width = 10, height = 10, dpi = 600, device = "png")

# **PCA with labels**
p_pca_label <- ggplot(pca_data, aes(x = PC1, y = PC2, color = Gene, shape = Tissue)) +
  geom_point(size = 4) +
  geom_text_repel(aes(label = name), size = 4, color = "black", max.overlaps = 20) +  # Labels are fully visible
  gene_colors + 
  tissue_shapes +
  theme_bw() +
  theme(legend.title = element_blank(),
        legend.text = element_text(face = "bold", size = 14),
        axis.text = element_text(size = 12),
        axis.title = element_text(size = 14)) +
  ggtitle("PCA of All Tissues (With Labels)", subtitle = "Tissues differentiated by shape, Genes by color")

# Save PCA with labels
ggsave(paste0(saveDir, "/PCA_Tissue_Gene_Label.png"), plot = p_pca_label, width = 10, height = 10, dpi = 600, device = "png")

# **Return plots for knitr/RMarkdown**
list(NoLabel = p_pca_nolabel, WithLabel = p_pca_label)
$NoLabel

Version Author Date
9451c02 Maeva TECHER 2025-03-03

$WithLabel

Version Author Date
9451c02 Maeva TECHER 2025-03-03

The PCA plot shows clear distinction between tissue types, while gene silencing has a large variation within each tissue, and presents no distinct clear groupings for a single gene.

SVA

### SVA analysis to control for technical variation 
dat  <- counts(dds, normalized = TRUE)
idx  <- rowMeans(dat) > 1
dat  <- dat[idx, ]
mod  <- model.matrix(~ Gene, colData(dds))
mod0 <- model.matrix(~ 1, colData(dds))
svseq <- svaseq(dat, mod, mod0)
Number of significant surrogate variables is:  2 
Iteration (out of 5 ):1  2  3  4  5  
sva_plots <- create_sva_plots(svseq, dds, saveDir, intgroup = c("Tissue", "Gene"), max_sv = 6)

# Show stripcharts in the report
sva_plots$Stripcharts[[1]]  # Show first stripchart

Version Author Date
9451c02 Maeva TECHER 2025-03-03
sva_plots$Stripcharts[[2]]  # Show second stripchart

Version Author Date
9451c02 Maeva TECHER 2025-03-03
# Show scatter plots in the report
sva_plots$ScatterPlots[["1_2"]]  # Show SV1 vs SV2

Version Author Date
9451c02 Maeva TECHER 2025-03-03

SV1 is clearly showing an effect of tissue. We rerun the DESeq2 model but this time including the surrogate variable SV2 and SV3 as a covariates only, as we know that the modeled variation is more likely explained by tissue and gene variation rather than batch effects.

ddssva <- dds
ddssva$SV1 <- svseq$sv[,1]
ddssva$SV2 <- svseq$sv[,2]

design(ddssva) <- ~ SV1 + SV2 + Gene
ddssva$Gene <- relevel(ddssva$Gene, ref = "CONTROL")

smallestGroupSize <- 5
keep <- rowSums(counts(ddssva) >= 10) >= smallestGroupSize
ddssva <- ddssva[keep,]

ddssva <- DESeq(ddssva)

ddssva <- ddssva[which(mcols(ddssva)$betaConv),] # remove non converging rows

### Extract results
message("Available contrasts are: ", paste(resultsNames(ddssva), collapse = ", "))

gfp  <- results(ddssva, contrast = c("Gene", "GFP", "CONTROL"), alpha = 0.05)

Volcano plots and Heatmaps

# Define contrast_sets
gfp_samples <- c("SGRE-THOX-CRD-1","SGRE-THOX-CRD-3","SGRE-THOX-CRD-4","SGRE-THOX-CRD-5",
                  "SGRE-THOX-CRD-6", "SggfpT1","SggfpT2","SggfpT3","SggfpT4","SggfpT5")

# Run full analysis
gfp_plots <- visualize_data_nopng(gfp, "GFP_vs_CONTROL", gfp_samples)

gfp_plots$volcano; gfp_plots$heatmap

Version Author Date
9451c02 Maeva TECHER 2025-03-03

Version Author Date
9451c02 Maeva TECHER 2025-03-03

DEG tables

The following tables show the genes differentially expressed with at least an absolute log2fold change of > 1 considering Head tissues only. Considering GFP as the reference state, upregulated genes in knockdown treatment in red and downregulated genes in knockdown treatment in blue. You can search for a gene of interest by writting a LOCID or description in the search bar or sort by column.

# Generate tables for each contrast
table_gfp <- generate_deg_table(ddssva, "Gene_GFP_vs_CONTROL", allspecies_df)

out of 13956 with nonzero total read count
adjusted p-value < 0.05
LFC > 0 (up)       : 6533, 47%
LFC < 0 (down)     : 4691, 34%
outliers [1]       : 0, 0%
low counts [2]     : 0, 0%
(mean count < 2)
[1] see 'cooksCutoff' argument of ?results
[2] see 'independentFiltering' argument of ?results
Total DEGs p-value < 0.05 and absolute logFoldChange > 1: 8593
LFC > 1 (up)       : 5229 (60.85%)
LFC < -1 (down)     : 3364 (39.15%)
table_gfp$kable_table

Summary and Overlap

# Summarize DEGs for all contrasts
deg_summary <- bind_rows(
  summarize_deg_counts(table_gfp, "GFP vs CONTROL")
)


# Display table using kable with styling
deg_summary %>%
  kable("html", escape = FALSE, col.names = gsub("_", " ", names(.))) %>%
  kable_styling("striped", full_width = TRUE) %>%
  column_spec(2, color = "red", bold = TRUE) %>%  # Upregulated in red
  column_spec(3, color = "blue", bold = TRUE) %>% # Downregulated in blue
  add_header_above(c("Summary of DEGs" = 3)) %>%
  row_spec(0, bold = TRUE)
Summary of DEGs
Contrast Upregulated Downregulated
GFP vs CONTROL 5196 3353
# Define the list of RNAi contrasts
contrast_list <- c("GFP_vs_CONTROL")

# Initialize empty lists for storing Head-specific DEGs for each contrast
venn_data_up <- list()
venn_data_down <- list()
venn_data_all <- list()

# Function to load Head-specific DEGs for a given set of contrasts
load_deg_contrasts_head <- function(contrast_list) {
  degs_up <- list()
  degs_down <- list()
  degs_all <- list()
  
  for (contrast in contrast_list) {
    deg_file <- file.path(workDir, "DEG_results/RNAi/Thorax_GFP/", contrast, paste0("DEG_sigresults_", contrast, ".csv"))
    
    if (!file.exists(deg_file)) {
      message(paste("File missing for contrast:", contrast))
      next  # Skip if the file doesn't exist
    }
    
    deg_data <- read.csv(deg_file, stringsAsFactors = FALSE)
    
    # Convert row names to a column if necessary
       if ("X" %in% colnames(deg_data)) {
    colnames(deg_data)[colnames(deg_data) == "X"] <- "GeneID"
    }

        # Check if data is empty
        if (nrow(deg_data) == 0) {
            message(paste("No data for contrast:", contrast))
            next
        }
    
    # Select significant DEGs (Up, Down, All)
    degs_up[[contrast]] <- deg_data %>%
      filter(padj < 0.05 & log2FoldChange >= 1) %>%
      pull(GeneID)  # Extract GeneID column
    
    degs_down[[contrast]] <- deg_data %>%
      filter(padj < 0.05 & log2FoldChange <= -1) %>%
      pull(GeneID)  # Extract GeneID column
    
    degs_all[[contrast]] <- deg_data %>%
      filter(padj < 0.05 & abs(log2FoldChange) >= 1) %>%
      pull(GeneID)  # Extract GeneID column
  }
  
  return(list(up = degs_up, down = degs_down, all = degs_all))
}

# Load DEG data for the defined contrasts (Head tissue only)
venn_data_contrasts <- load_deg_contrasts_head(contrast_list)

# Prepare the data for the Venn diagrams
venn_data_up <- venn_data_contrasts$up
venn_data_down <- venn_data_contrasts$down
venn_data_all <- venn_data_contrasts$all

Excluding rRNA

All tissue together

Minor changes here are made compared to the DESeq2 results regarding the importation of samples to transform into a matrix.

Sample names are structured as follow: {Sg}{gene}{#} {Sg} = Schistocerca gregaria {gene} = gene abbreviation gfp, hex1, hex2, jhmt, miox and unch H/T{#} = biological replicate

saveDir <- paste0(workDir,"/DEG_results/RNAi/All_GFP_no_rRNA")
dir.create(saveDir)
### Prepare Sample CSV file #####
samples <- read.delim(file.path(workDir, "list/RNAi/All_RNAi_GFPCRDsample_list.csv"), sep = ",", row.names = 1, header = TRUE)
files <- file.path(workDir, "readcounts/RNAi/", samples$Tissue, samples$Filename)
names(files) <- row.names(samples)
if (all(file.exists(files))) {
  message("All the files exist!")
} else {
  warning("Some files are missing!")
}
All the files exist!
### **Standardized Count Matrix Creation**
# Extract all gene lists first
gene_lists <- map(files, function(sample) {
  fread(sample, sep = "\t", header = FALSE)[, 1]  # Extract Gene IDs (column 1)
})

# Get a unique set of all gene IDs across all samples
all_genes <- unique(unlist(gene_lists))

# Create a named list to store count data with standardized rows
cts_list <- map(files, function(sample) {
  data_count <- fread(sample, sep = "\t", header = FALSE)
  
  col_name <- gsub("_counts.txt", "", basename(sample))  # Clean sample name
  
  # Convert to data frame with correct column names
  data_count <- setNames(data.frame(data_count[, 1:2]), c("GeneID", col_name))
  
  # Ensure all gene IDs are present (fill missing values with 0)
  data_count <- full_join(data.frame(GeneID = all_genes), data_count, by = "GeneID") %>%
    mutate(across(where(is.numeric), ~ replace_na(., 0)))  # Fill NA with 0
  
  return(data_count)
})

# Merge all samples based on GeneID
cts <- reduce(cts_list, full_join, by = "GeneID")

# Convert to matrix for DESeq2
cts_matrix <- as.matrix(cts[, -1])  # Remove GeneID column for count matrix
rownames(cts_matrix) <- cts$GeneID  # Set GeneID as rownames
rm(cts_list)  # Free memory

While for bulk RNAseq on head and thorax for all species, the DEGs model was made between isolated and crowded individuals (with isolated as the reference state), here, the DEG analysis will be carried between GFP knock-down nymphs (as reference state) vs Hexamerins / Juvenile Hormones / Inositol / Uncharacterized proteins.

### Build DESeq2 Object
dds <- DESeqDataSetFromMatrix(countData = cts_matrix,
                              colData = samples,
                              design = ~ Gene)
dds$Gene <- relevel(dds$Gene, ref = "CONTROL")

smallestGroupSize <- 5
keep <- rowSums(counts(dds) >= 10) >= smallestGroupSize
dds <- dds[keep,]

loci_to_exclude <- readLines(file.path(workDir, "list/excluded_loci/gregaria_rrna_list.txt"))
dds <- dds[!(rownames(dds) %in% loci_to_exclude), ]

dds <- DESeq(dds)

Normalization and PCA

# Plot PCA and investigate quality metrics
vsd <- vst(dds, blind = TRUE) 

# Perform PCA
pca_data <- plotPCA(vsd, intgroup = c("Tissue", "Gene"), returnData = TRUE)

# Define colors for genes (slightly transparent) and shapes for tissues
gene_colors <- scale_color_manual(values = alpha(brewer.pal(n = length(unique(pca_data$Gene)), name = "Set1"), 0.8))  # Points are transparent
tissue_shapes <- scale_shape_manual(values = seq(15, 15 + length(unique(pca_data$Tissue))))

# **PCA without labels**
p_pca_nolabel <- ggplot(pca_data, aes(x = PC1, y = PC2, color = Gene, shape = Tissue)) +
  geom_point(size = 4) +
  gene_colors + 
  tissue_shapes +
  theme_bw() +
  theme(legend.title = element_blank(),
        legend.text = element_text(face = "bold", size = 14),
        axis.text = element_text(size = 12),
        axis.title = element_text(size = 14)) +
  ggtitle("PCA of All Tissues (No Labels)", subtitle = "Tissues differentiated by shape, Genes by color")

# Save PCA without labels
ggsave(paste0(saveDir, "/PCA_Tissue_Gene_NoLabel.png"), plot = p_pca_nolabel, width = 10, height = 10, dpi = 600, device = "png")

# **PCA with labels**
p_pca_label <- ggplot(pca_data, aes(x = PC1, y = PC2, color = Gene, shape = Tissue)) +
  geom_point(size = 4) +
  geom_text_repel(aes(label = name), size = 4, color = "black", max.overlaps = 20) +  # Labels are fully visible
  gene_colors + 
  tissue_shapes +
  theme_bw() +
  theme(legend.title = element_blank(),
        legend.text = element_text(face = "bold", size = 14),
        axis.text = element_text(size = 12),
        axis.title = element_text(size = 14)) +
  ggtitle("PCA of All Tissues (With Labels)", subtitle = "Tissues differentiated by shape, Genes by color")

# Save PCA with labels
ggsave(paste0(saveDir, "/PCA_Tissue_Gene_Label.png"), plot = p_pca_label, width = 10, height = 10, dpi = 600, device = "png")

# **Return plots for knitr/RMarkdown**
list(NoLabel = p_pca_nolabel, WithLabel = p_pca_label)
$NoLabel

Version Author Date
9451c02 Maeva TECHER 2025-03-03

$WithLabel

Version Author Date
9451c02 Maeva TECHER 2025-03-03

The PCA plot shows clear distinction between tissue types, while gene silencing has a large variation within each tissue, and presents no distinct clear groupings for a single gene.

SVA

### SVA analysis to control for technical variation 
dat  <- counts(dds, normalized = TRUE)
idx  <- rowMeans(dat) > 1
dat  <- dat[idx, ]
mod  <- model.matrix(~ Gene, colData(dds))
mod0 <- model.matrix(~ 1, colData(dds))
svseq <- svaseq(dat, mod, mod0)
Number of significant surrogate variables is:  2 
Iteration (out of 5 ):1  2  3  4  5  
sva_plots <- create_sva_plots(svseq, dds, saveDir, intgroup = c("Tissue", "Gene"), max_sv = 3)

# Show stripcharts in the report
sva_plots$Stripcharts[[1]]  # Show first stripchart

Version Author Date
9451c02 Maeva TECHER 2025-03-03
sva_plots$Stripcharts[[2]]  # Show second stripchart

Version Author Date
9451c02 Maeva TECHER 2025-03-03
# Show scatter plots in the report
sva_plots$ScatterPlots[["1_2"]]  # Show SV1 vs SV2

Version Author Date
9451c02 Maeva TECHER 2025-03-03

SV1 is clearly showing an effect of tissue. We rerun the DESeq2 model but this time including the surrogate variable SV2 and SV3 as a covariates only, as we know that the modeled variation is more likely explained by tissue and gene variation rather than batch effects.

ddssva <- dds
ddssva$SV1 <- svseq$sv[,1]
ddssva$SV2 <- svseq$sv[,2]

design(ddssva) <- ~ SV1 + SV2 + Gene
ddssva$Gene <- relevel(ddssva$Gene, ref = "CONTROL")

smallestGroupSize <- 5
keep <- rowSums(counts(ddssva) >= 10) >= smallestGroupSize
ddssva <- ddssva[keep,]

ddssva <- DESeq(ddssva)

ddssva <- ddssva[which(mcols(ddssva)$betaConv),] # remove non converging rows

### Extract results
message("Available contrasts are: ", paste(resultsNames(ddssva), collapse = ", "))

gfp  <- results(ddssva, contrast = c("Gene", "GFP", "CONTROL"), alpha = 0.05)

Volcano plots and Heatmaps

# Define contrast_sets
gfp_samples <- c("SGRE-HEAD-CRD-1","SGRE-HEAD-CRD-2","SGRE-HEAD-CRD-3","SGRE-HEAD-CRD-4","SGRE-HEAD-CRD-5",
                  "SGRE-HEAD-CRD-6","SggfpH1","SggfpH2","SggfpH3","SggfpH4","SggfpH5", "SGRE-THOX-CRD-1","SGRE-THOX-CRD-3","SGRE-THOX-CRD-4","SGRE-THOX-CRD-5",
                  "SGRE-THOX-CRD-6", "SggfpT1","SggfpT2","SggfpT3","SggfpT4","SggfpT5")

# Run full analysis
gfp_plots <- visualize_data_nopng(gfp, "GFP_vs_CONTROL", gfp_samples)

gfp_plots$volcano; gfp_plots$heatmap

Version Author Date
9451c02 Maeva TECHER 2025-03-03

Version Author Date
9451c02 Maeva TECHER 2025-03-03

DEG tables

The following tables show the genes differentially expressed with at least an absolute log2fold change of > 1 considering all tissues together. Considering GFP as the reference state, upregulated genes in knockdown treatment in red and downregulated genes in knockdown treatment in blue. You can search for a gene of interest by writting a LOCID or description in the search bar or sort by column.

# Generate tables for each contrast
table_gfp <- generate_deg_table(ddssva, "Gene_GFP_vs_CONTROL", allspecies_df)

out of 14023 with nonzero total read count
adjusted p-value < 0.05
LFC > 0 (up)       : 7238, 52%
LFC < 0 (down)     : 4806, 34%
outliers [1]       : 0, 0%
low counts [2]     : 0, 0%
(mean count < 1)
[1] see 'cooksCutoff' argument of ?results
[2] see 'independentFiltering' argument of ?results
Total DEGs p-value < 0.05 and absolute logFoldChange > 1: 8339
LFC > 1 (up)       : 5423 (65.03%)
LFC < -1 (down)     : 2916 (34.97%)
table_gfp$kable_table

Summary and Overlap

# Summarize DEGs for all contrasts
deg_summary <- bind_rows(
  summarize_deg_counts(table_gfp, "GFP vs CONTROL")
)


# Display table using kable with styling
deg_summary %>%
  kable("html", escape = FALSE, col.names = gsub("_", " ", names(.))) %>%
  kable_styling("striped", full_width = TRUE) %>%
  column_spec(2, color = "red", bold = TRUE) %>%  # Upregulated in red
  column_spec(3, color = "blue", bold = TRUE) %>% # Downregulated in blue
  add_header_above(c("Summary of DEGs" = 3)) %>%
  row_spec(0, bold = TRUE)
Summary of DEGs
Contrast Upregulated Downregulated
GFP vs CONTROL 5402 2901
# Define the list of RNAi contrasts
contrast_list <- c("GFP_vs_CONTROL")

# Initialize empty lists for storing Head-specific DEGs for each contrast
venn_data_up <- list()
venn_data_down <- list()
venn_data_all <- list()

# Function to load Head-specific DEGs for a given set of contrasts
load_deg_contrasts_head <- function(contrast_list) {
  degs_up <- list()
  degs_down <- list()
  degs_all <- list()
  
  for (contrast in contrast_list) {
    deg_file <- file.path(workDir, "DEG_results/RNAi/All_GFP_no_rRNA/", contrast, paste0("DEG_sigresults_", contrast, ".csv"))
    
    if (!file.exists(deg_file)) {
      message(paste("File missing for contrast:", contrast))
      next  # Skip if the file doesn't exist
    }
    
    deg_data <- read.csv(deg_file, stringsAsFactors = FALSE)
    
    # Convert row names to a column if necessary
       if ("X" %in% colnames(deg_data)) {
    colnames(deg_data)[colnames(deg_data) == "X"] <- "GeneID"
    }

        # Check if data is empty
        if (nrow(deg_data) == 0) {
            message(paste("No data for contrast:", contrast))
            next
        }
    
    # Select significant DEGs (Up, Down, All)
    degs_up[[contrast]] <- deg_data %>%
      filter(padj < 0.05 & log2FoldChange >= 1) %>%
      pull(GeneID)  # Extract GeneID column
    
    degs_down[[contrast]] <- deg_data %>%
      filter(padj < 0.05 & log2FoldChange <= -1) %>%
      pull(GeneID)  # Extract GeneID column
    
    degs_all[[contrast]] <- deg_data %>%
      filter(padj < 0.05 & abs(log2FoldChange) >= 1) %>%
      pull(GeneID)  # Extract GeneID column
  }
  
  return(list(up = degs_up, down = degs_down, all = degs_all))
}

# Load DEG data for the defined contrasts (Head tissue only)
venn_data_contrasts <- load_deg_contrasts_head(contrast_list)

# Prepare the data for the Venn diagrams
venn_data_up <- venn_data_contrasts$up
venn_data_down <- venn_data_contrasts$down
venn_data_all <- venn_data_contrasts$all

Head tissue

saveDir <- paste0(workDir,"/DEG_results/RNAi/Head_GFP_no_rRNA")
dir.create(saveDir)
### Prepare Sample CSV file #####
samples <- read.delim(file.path(workDir, "list/RNAi/Head_RNAi_GFPCRDsample_list.csv"), sep = ",", row.names = 1, header = TRUE)
files <- file.path(workDir, "readcounts/RNAi/", samples$Tissue, samples$Filename)
names(files) <- row.names(samples)
if (all(file.exists(files))) {
  message("All the files exist!")
} else {
  warning("Some files are missing!")
}
All the files exist!
### **Standardized Count Matrix Creation**
# Extract all gene lists first
gene_lists <- map(files, function(sample) {
  fread(sample, sep = "\t", header = FALSE)[, 1]  # Extract Gene IDs (column 1)
})

# Get a unique set of all gene IDs across all samples
all_genes <- unique(unlist(gene_lists))

# Create a named list to store count data with standardized rows
cts_list <- map(files, function(sample) {
  data_count <- fread(sample, sep = "\t", header = FALSE)
  
  col_name <- gsub("_counts.txt", "", basename(sample))  # Clean sample name
  
  # Convert to data frame with correct column names
  data_count <- setNames(data.frame(data_count[, 1:2]), c("GeneID", col_name))
  
  # Ensure all gene IDs are present (fill missing values with 0)
  data_count <- full_join(data.frame(GeneID = all_genes), data_count, by = "GeneID") %>%
    mutate(across(where(is.numeric), ~ replace_na(., 0)))  # Fill NA with 0
  
  return(data_count)
})

# Merge all samples based on GeneID
cts <- reduce(cts_list, full_join, by = "GeneID")

# Convert to matrix for DESeq2
cts_matrix <- as.matrix(cts[, -1])  # Remove GeneID column for count matrix
rownames(cts_matrix) <- cts$GeneID  # Set GeneID as rownames
rm(cts_list)  # Free memory

While for bulk RNAseq on head and thorax for all species, the DEGs model was made between isolated and crowded individuals (with isolated as the reference state), here, the DEG analysis will be carried between GFP knock-down nymphs (as reference state) vs Hexamerins / Juvenile Hormones / Inositol / Uncharacterized proteins.

### Build DESeq2 Object
dds <- DESeqDataSetFromMatrix(countData = cts_matrix,
                              colData = samples,
                              design = ~ Gene)
dds$Gene <- relevel(dds$Gene, ref = "CONTROL")

smallestGroupSize <- 5
keep <- rowSums(counts(dds) >= 10) >= smallestGroupSize
dds <- dds[keep,]

loci_to_exclude <- readLines(file.path(workDir, "list/excluded_loci/gregaria_rrna_list.txt"))
dds <- dds[!(rownames(dds) %in% loci_to_exclude), ]

dds <- DESeq(dds)

Normalization and PCA

# Plot PCA and investigate quality metrics
vsd <- vst(dds, blind = TRUE) 

# Perform PCA
pca_data <- plotPCA(vsd, intgroup = c("Tissue", "Gene"), returnData = TRUE)

# Define colors for genes (slightly transparent) and shapes for tissues
gene_colors <- scale_color_manual(values = alpha(brewer.pal(n = length(unique(pca_data$Gene)), name = "Set1"), 0.8))  # Points are transparent
tissue_shapes <- scale_shape_manual(values = seq(15, 15 + length(unique(pca_data$Tissue))))

# **PCA without labels**
p_pca_nolabel <- ggplot(pca_data, aes(x = PC1, y = PC2, color = Gene, shape = Tissue)) +
  geom_point(size = 4) +
  gene_colors + 
  tissue_shapes +
  theme_bw() +
  theme(legend.title = element_blank(),
        legend.text = element_text(face = "bold", size = 14),
        axis.text = element_text(size = 12),
        axis.title = element_text(size = 14)) +
  ggtitle("PCA of All Tissues (No Labels)", subtitle = "Tissues differentiated by shape, Genes by color")

# Save PCA without labels
ggsave(paste0(saveDir, "/PCA_Tissue_Gene_NoLabel.png"), plot = p_pca_nolabel, width = 10, height = 10, dpi = 600, device = "png")

# **PCA with labels**
p_pca_label <- ggplot(pca_data, aes(x = PC1, y = PC2, color = Gene, shape = Tissue)) +
  geom_point(size = 4) +
  geom_text_repel(aes(label = name), size = 4, color = "black", max.overlaps = 20) +  # Labels are fully visible
  gene_colors + 
  tissue_shapes +
  theme_bw() +
  theme(legend.title = element_blank(),
        legend.text = element_text(face = "bold", size = 14),
        axis.text = element_text(size = 12),
        axis.title = element_text(size = 14)) +
  ggtitle("PCA of All Tissues (With Labels)", subtitle = "Tissues differentiated by shape, Genes by color")

# Save PCA with labels
ggsave(paste0(saveDir, "/PCA_Tissue_Gene_Label.png"), plot = p_pca_label, width = 10, height = 10, dpi = 600, device = "png")

# **Return plots for knitr/RMarkdown**
list(NoLabel = p_pca_nolabel, WithLabel = p_pca_label)
$NoLabel

Version Author Date
9451c02 Maeva TECHER 2025-03-03

$WithLabel

Version Author Date
9451c02 Maeva TECHER 2025-03-03

The PCA plot shows clear distinction between tissue types, while gene silencing has a large variation within each tissue, and presents no distinct clear groupings for a single gene.

SVA

### SVA analysis to control for technical variation 
dat  <- counts(dds, normalized = TRUE)
idx  <- rowMeans(dat) > 1
dat  <- dat[idx, ]
mod  <- model.matrix(~ Gene, colData(dds))
mod0 <- model.matrix(~ 1, colData(dds))
svseq <- svaseq(dat, mod, mod0)
Number of significant surrogate variables is:  4 
Iteration (out of 5 ):1  2  3  4  5  
sva_plots <- create_sva_plots(svseq, dds, saveDir, intgroup = c("Tissue", "Gene"), max_sv = 7)

# Show stripcharts in the report
sva_plots$Stripcharts[[1]]  # Show first stripchart

Version Author Date
9451c02 Maeva TECHER 2025-03-03
sva_plots$Stripcharts[[2]]  # Show second stripchart

Version Author Date
9451c02 Maeva TECHER 2025-03-03
sva_plots$Stripcharts[[3]]  # Show third stripchart

Version Author Date
9451c02 Maeva TECHER 2025-03-03
sva_plots$Stripcharts[[4]] 

Version Author Date
9451c02 Maeva TECHER 2025-03-03
# Show scatter plots in the report
sva_plots$ScatterPlots[["1_2"]]  # Show SV1 vs SV2

Version Author Date
9451c02 Maeva TECHER 2025-03-03
sva_plots$ScatterPlots[["1_3"]]  # Show SV1 vs SV3

Version Author Date
9451c02 Maeva TECHER 2025-03-03
sva_plots$ScatterPlots[["2_3"]]  # Show SV2 vs SV3

Version Author Date
9451c02 Maeva TECHER 2025-03-03

SV1 is clearly showing an effect of tissue. We rerun the DESeq2 model but this time including the surrogate variable SV2 and SV3 as a covariates only, as we know that the modeled variation is more likely explained by tissue and gene variation rather than batch effects.

ddssva <- dds
ddssva$SV1 <- svseq$sv[,1]
ddssva$SV2 <- svseq$sv[,2]
ddssva$SV3 <- svseq$sv[,3]
ddssva$SV4 <- svseq$sv[,4]

design(ddssva) <- ~ SV1 + SV2 + SV3 + SV4 + Gene
ddssva$Gene <- relevel(ddssva$Gene, ref = "CONTROL")

smallestGroupSize <- 5
keep <- rowSums(counts(ddssva) >= 10) >= smallestGroupSize
ddssva <- ddssva[keep,]

ddssva <- DESeq(ddssva)

ddssva <- ddssva[which(mcols(ddssva)$betaConv),] # remove non converging rows

### Extract results
message("Available contrasts are: ", paste(resultsNames(ddssva), collapse = ", "))

gfp  <- results(ddssva, contrast = c("Gene", "GFP", "CONTROL"), alpha = 0.05)

Volcano plots and Heatmaps

# Define contrast_sets
gfp_samples <- c("SGRE-HEAD-CRD-1","SGRE-HEAD-CRD-2","SGRE-HEAD-CRD-3","SGRE-HEAD-CRD-4","SGRE-HEAD-CRD-5",
                  "SGRE-HEAD-CRD-6","SggfpH1","SggfpH2","SggfpH3","SggfpH4","SggfpH5")

# Run full analysis
gfp_plots <- visualize_data_nopng(gfp, "GFP_vs_CONTROL", gfp_samples)

gfp_plots$volcano; gfp_plots$heatmap

Version Author Date
3e696d6 Maeva TECHER 2025-06-05
9451c02 Maeva TECHER 2025-03-03

Version Author Date
9451c02 Maeva TECHER 2025-03-03

DEG tables

The following tables show the genes differentially expressed with at least an absolute log2fold change of > 1 considering Head tissues only. Considering GFP as the reference state, upregulated genes in knockdown treatment in red and downregulated genes in knockdown treatment in blue. You can search for a gene of interest by writting a LOCID or description in the search bar or sort by column.

# Generate tables for each contrast
table_gfp <- generate_deg_table(ddssva, "Gene_GFP_vs_CONTROL", allspecies_df)

out of 13089 with nonzero total read count
adjusted p-value < 0.05
LFC > 0 (up)       : 6064, 46%
LFC < 0 (down)     : 4262, 33%
outliers [1]       : 0, 0%
low counts [2]     : 0, 0%
(mean count < 1)
[1] see 'cooksCutoff' argument of ?results
[2] see 'independentFiltering' argument of ?results
Total DEGs p-value < 0.05 and absolute logFoldChange > 1: 7414
LFC > 1 (up)       : 4705 (63.46%)
LFC < -1 (down)     : 2709 (36.54%)
table_gfp$kable_table

Summary and Overlap

# Summarize DEGs for all contrasts
deg_summary <- bind_rows(
  summarize_deg_counts(table_gfp, "GFP vs CONTROL")
)


# Display table using kable with styling
deg_summary %>%
  kable("html", escape = FALSE, col.names = gsub("_", " ", names(.))) %>%
  kable_styling("striped", full_width = TRUE) %>%
  column_spec(2, color = "red", bold = TRUE) %>%  # Upregulated in red
  column_spec(3, color = "blue", bold = TRUE) %>% # Downregulated in blue
  add_header_above(c("Summary of DEGs" = 3)) %>%
  row_spec(0, bold = TRUE)
Summary of DEGs
Contrast Upregulated Downregulated
GFP vs CONTROL 4681 2687
# Define the list of RNAi contrasts
contrast_list <- c("GFP_vs_CONTROL")

# Initialize empty lists for storing Head-specific DEGs for each contrast
venn_data_up <- list()
venn_data_down <- list()
venn_data_all <- list()

# Function to load Head-specific DEGs for a given set of contrasts
load_deg_contrasts_head <- function(contrast_list) {
  degs_up <- list()
  degs_down <- list()
  degs_all <- list()
  
  for (contrast in contrast_list) {
    deg_file <- file.path(workDir, "DEG_results/RNAi/Head_GFP_no_rRNA/", contrast, paste0("DEG_sigresults_", contrast, ".csv"))
    
    if (!file.exists(deg_file)) {
      message(paste("File missing for contrast:", contrast))
      next  # Skip if the file doesn't exist
    }
    
    deg_data <- read.csv(deg_file, stringsAsFactors = FALSE)
    
    # Convert row names to a column if necessary
       if ("X" %in% colnames(deg_data)) {
    colnames(deg_data)[colnames(deg_data) == "X"] <- "GeneID"
    }

        # Check if data is empty
        if (nrow(deg_data) == 0) {
            message(paste("No data for contrast:", contrast))
            next
        }
    
    # Select significant DEGs (Up, Down, All)
    degs_up[[contrast]] <- deg_data %>%
      filter(padj < 0.05 & log2FoldChange >= 1) %>%
      pull(GeneID)  # Extract GeneID column
    
    degs_down[[contrast]] <- deg_data %>%
      filter(padj < 0.05 & log2FoldChange <= -1) %>%
      pull(GeneID)  # Extract GeneID column
    
    degs_all[[contrast]] <- deg_data %>%
      filter(padj < 0.05 & abs(log2FoldChange) >= 1) %>%
      pull(GeneID)  # Extract GeneID column
  }
  
  return(list(up = degs_up, down = degs_down, all = degs_all))
}

# Load DEG data for the defined contrasts (Head tissue only)
venn_data_contrasts <- load_deg_contrasts_head(contrast_list)

# Prepare the data for the Venn diagrams
venn_data_up <- venn_data_contrasts$up
venn_data_down <- venn_data_contrasts$down
venn_data_all <- venn_data_contrasts$all

Thorax tissue

saveDir <- paste0(workDir,"/DEG_results/RNAi/Thorax_GFP_no_rRNA")
dir.create(saveDir)
### Prepare Sample CSV file #####
samples <- read.delim(file.path(workDir, "list/RNAi/Thorax_RNAi_GFPCRDsample_list.csv"), sep = ",", row.names = 1, header = TRUE)
files <- file.path(workDir, "readcounts/RNAi/", samples$Tissue, samples$Filename)
names(files) <- row.names(samples)
if (all(file.exists(files))) {
  message("All the files exist!")
} else {
  warning("Some files are missing!")
}
All the files exist!
### **Standardized Count Matrix Creation**
# Extract all gene lists first
gene_lists <- map(files, function(sample) {
  fread(sample, sep = "\t", header = FALSE)[, 1]  # Extract Gene IDs (column 1)
})

# Get a unique set of all gene IDs across all samples
all_genes <- unique(unlist(gene_lists))

# Create a named list to store count data with standardized rows
cts_list <- map(files, function(sample) {
  data_count <- fread(sample, sep = "\t", header = FALSE)
  
  col_name <- gsub("_counts.txt", "", basename(sample))  # Clean sample name
  
  # Convert to data frame with correct column names
  data_count <- setNames(data.frame(data_count[, 1:2]), c("GeneID", col_name))
  
  # Ensure all gene IDs are present (fill missing values with 0)
  data_count <- full_join(data.frame(GeneID = all_genes), data_count, by = "GeneID") %>%
    mutate(across(where(is.numeric), ~ replace_na(., 0)))  # Fill NA with 0
  
  return(data_count)
})

# Merge all samples based on GeneID
cts <- reduce(cts_list, full_join, by = "GeneID")

# Convert to matrix for DESeq2
cts_matrix <- as.matrix(cts[, -1])  # Remove GeneID column for count matrix
rownames(cts_matrix) <- cts$GeneID  # Set GeneID as rownames
rm(cts_list)  # Free memory

While for bulk RNAseq on head and thorax for all species, the DEGs model was made between isolated and crowded individuals (with isolated as the reference state), here, the DEG analysis will be carried between GFP knock-down nymphs (as reference state) vs Hexamerins / Juvenile Hormones / Inositol / Uncharacterized proteins.

### Build DESeq2 Object
dds <- DESeqDataSetFromMatrix(countData = cts_matrix,
                              colData = samples,
                              design = ~ Gene)
dds$Gene <- relevel(dds$Gene, ref = "CONTROL")

smallestGroupSize <- 5
keep <- rowSums(counts(dds) >= 10) >= smallestGroupSize
dds <- dds[keep,]

loci_to_exclude <- readLines(file.path(workDir, "list/excluded_loci/gregaria_rrna_list.txt"))
dds <- dds[!(rownames(dds) %in% loci_to_exclude), ]

dds <- DESeq(dds)

Normalization and PCA

# Plot PCA and investigate quality metrics
vsd <- vst(dds, blind = TRUE) 

# Perform PCA
pca_data <- plotPCA(vsd, intgroup = c("Tissue", "Gene"), returnData = TRUE)

# Define colors for genes (slightly transparent) and shapes for tissues
gene_colors <- scale_color_manual(values = alpha(brewer.pal(n = length(unique(pca_data$Gene)), name = "Set1"), 0.8))  # Points are transparent
tissue_shapes <- scale_shape_manual(values = seq(15, 15 + length(unique(pca_data$Tissue))))

# **PCA without labels**
p_pca_nolabel <- ggplot(pca_data, aes(x = PC1, y = PC2, color = Gene, shape = Tissue)) +
  geom_point(size = 4) +
  gene_colors + 
  tissue_shapes +
  theme_bw() +
  theme(legend.title = element_blank(),
        legend.text = element_text(face = "bold", size = 14),
        axis.text = element_text(size = 12),
        axis.title = element_text(size = 14)) +
  ggtitle("PCA of All Tissues (No Labels)", subtitle = "Tissues differentiated by shape, Genes by color")

# Save PCA without labels
ggsave(paste0(saveDir, "/PCA_Tissue_Gene_NoLabel.png"), plot = p_pca_nolabel, width = 10, height = 10, dpi = 600, device = "png")

# **PCA with labels**
p_pca_label <- ggplot(pca_data, aes(x = PC1, y = PC2, color = Gene, shape = Tissue)) +
  geom_point(size = 4) +
  geom_text_repel(aes(label = name), size = 4, color = "black", max.overlaps = 20) +  # Labels are fully visible
  gene_colors + 
  tissue_shapes +
  theme_bw() +
  theme(legend.title = element_blank(),
        legend.text = element_text(face = "bold", size = 14),
        axis.text = element_text(size = 12),
        axis.title = element_text(size = 14)) +
  ggtitle("PCA of All Tissues (With Labels)", subtitle = "Tissues differentiated by shape, Genes by color")

# Save PCA with labels
ggsave(paste0(saveDir, "/PCA_Tissue_Gene_Label.png"), plot = p_pca_label, width = 10, height = 10, dpi = 600, device = "png")

# **Return plots for knitr/RMarkdown**
list(NoLabel = p_pca_nolabel, WithLabel = p_pca_label)
$NoLabel

Version Author Date
9451c02 Maeva TECHER 2025-03-03

$WithLabel

Version Author Date
9451c02 Maeva TECHER 2025-03-03

The PCA plot shows clear distinction between tissue types, while gene silencing has a large variation within each tissue, and presents no distinct clear groupings for a single gene.

SVA

### SVA analysis to control for technical variation 
dat  <- counts(dds, normalized = TRUE)
idx  <- rowMeans(dat) > 1
dat  <- dat[idx, ]
mod  <- model.matrix(~ Gene, colData(dds))
mod0 <- model.matrix(~ 1, colData(dds))
svseq <- svaseq(dat, mod, mod0)
Number of significant surrogate variables is:  2 
Iteration (out of 5 ):1  2  3  4  5  
sva_plots <- create_sva_plots(svseq, dds, saveDir, intgroup = c("Tissue", "Gene"), max_sv = 6)

# Show stripcharts in the report
sva_plots$Stripcharts[[1]]  # Show first stripchart

Version Author Date
9451c02 Maeva TECHER 2025-03-03
sva_plots$Stripcharts[[2]]  # Show second stripchart

Version Author Date
9451c02 Maeva TECHER 2025-03-03
# Show scatter plots in the report
sva_plots$ScatterPlots[["1_2"]]  # Show SV1 vs SV2

Version Author Date
9451c02 Maeva TECHER 2025-03-03

SV1 is clearly showing an effect of tissue. We rerun the DESeq2 model but this time including the surrogate variable SV2 and SV3 as a covariates only, as we know that the modeled variation is more likely explained by tissue and gene variation rather than batch effects.

ddssva <- dds
ddssva$SV1 <- svseq$sv[,1]
ddssva$SV2 <- svseq$sv[,2]

design(ddssva) <- ~ SV1 + SV2 + Gene
ddssva$Gene <- relevel(ddssva$Gene, ref = "CONTROL")

smallestGroupSize <- 5
keep <- rowSums(counts(ddssva) >= 10) >= smallestGroupSize
ddssva <- ddssva[keep,]

ddssva <- DESeq(ddssva)

ddssva <- ddssva[which(mcols(ddssva)$betaConv),] # remove non converging rows

### Extract results
message("Available contrasts are: ", paste(resultsNames(ddssva), collapse = ", "))

gfp  <- results(ddssva, contrast = c("Gene", "GFP", "CONTROL"), alpha = 0.05)

Volcano plots and Heatmaps

# Define contrast_sets
gfp_samples <- c("SGRE-THOX-CRD-1","SGRE-THOX-CRD-3","SGRE-THOX-CRD-4","SGRE-THOX-CRD-5",
                  "SGRE-THOX-CRD-6", "SggfpT1","SggfpT2","SggfpT3","SggfpT4","SggfpT5")

# Run full analysis
gfp_plots <- visualize_data_nopng(gfp, "GFP_vs_CONTROL", gfp_samples)

gfp_plots$volcano; gfp_plots$heatmap

Version Author Date
9451c02 Maeva TECHER 2025-03-03

Version Author Date
9451c02 Maeva TECHER 2025-03-03

DEG tables

The following tables show the genes differentially expressed with at least an absolute log2fold change of > 1 considering Head tissues only. Considering GFP as the reference state, upregulated genes in knockdown treatment in red and downregulated genes in knockdown treatment in blue. You can search for a gene of interest by writting a LOCID or description in the search bar or sort by column.

# Generate tables for each contrast
table_gfp <- generate_deg_table(ddssva, "Gene_GFP_vs_CONTROL", allspecies_df)

out of 12901 with nonzero total read count
adjusted p-value < 0.05
LFC > 0 (up)       : 6114, 47%
LFC < 0 (down)     : 4254, 33%
outliers [1]       : 0, 0%
low counts [2]     : 0, 0%
(mean count < 2)
[1] see 'cooksCutoff' argument of ?results
[2] see 'independentFiltering' argument of ?results
Total DEGs p-value < 0.05 and absolute logFoldChange > 1: 7640
LFC > 1 (up)       : 4846 (63.43%)
LFC < -1 (down)     : 2794 (36.57%)
table_gfp$kable_table

Summary and Overlap

# Summarize DEGs for all contrasts
deg_summary <- bind_rows(
  summarize_deg_counts(table_gfp, "GFP vs CONTROL")
)


# Display table using kable with styling
deg_summary %>%
  kable("html", escape = FALSE, col.names = gsub("_", " ", names(.))) %>%
  kable_styling("striped", full_width = TRUE) %>%
  column_spec(2, color = "red", bold = TRUE) %>%  # Upregulated in red
  column_spec(3, color = "blue", bold = TRUE) %>% # Downregulated in blue
  add_header_above(c("Summary of DEGs" = 3)) %>%
  row_spec(0, bold = TRUE)
Summary of DEGs
Contrast Upregulated Downregulated
GFP vs CONTROL 4834 2785
# Define the list of RNAi contrasts
contrast_list <- c("GFP_vs_CONTROL")

# Initialize empty lists for storing Head-specific DEGs for each contrast
venn_data_up <- list()
venn_data_down <- list()
venn_data_all <- list()

# Function to load Head-specific DEGs for a given set of contrasts
load_deg_contrasts_head <- function(contrast_list) {
  degs_up <- list()
  degs_down <- list()
  degs_all <- list()
  
  for (contrast in contrast_list) {
    deg_file <- file.path(workDir, "DEG_results/RNAi/Thorax_GFP_no_rRNA/", contrast, paste0("DEG_sigresults_", contrast, ".csv"))
    
    if (!file.exists(deg_file)) {
      message(paste("File missing for contrast:", contrast))
      next  # Skip if the file doesn't exist
    }
    
    deg_data <- read.csv(deg_file, stringsAsFactors = FALSE)
    
    # Convert row names to a column if necessary
       if ("X" %in% colnames(deg_data)) {
    colnames(deg_data)[colnames(deg_data) == "X"] <- "GeneID"
    }

        # Check if data is empty
        if (nrow(deg_data) == 0) {
            message(paste("No data for contrast:", contrast))
            next
        }
    
    # Select significant DEGs (Up, Down, All)
    degs_up[[contrast]] <- deg_data %>%
      filter(padj < 0.05 & log2FoldChange >= 1) %>%
      pull(GeneID)  # Extract GeneID column
    
    degs_down[[contrast]] <- deg_data %>%
      filter(padj < 0.05 & log2FoldChange <= -1) %>%
      pull(GeneID)  # Extract GeneID column
    
    degs_all[[contrast]] <- deg_data %>%
      filter(padj < 0.05 & abs(log2FoldChange) >= 1) %>%
      pull(GeneID)  # Extract GeneID column
  }
  
  return(list(up = degs_up, down = degs_down, all = degs_all))
}

# Load DEG data for the defined contrasts (Head tissue only)
venn_data_contrasts <- load_deg_contrasts_head(contrast_list)

# Prepare the data for the Venn diagrams
venn_data_up <- venn_data_contrasts$up
venn_data_down <- venn_data_contrasts$down
venn_data_all <- venn_data_contrasts$all

7. Overlap

All genes included

Head tissue

saveDir <- paste0(workDir,"/DEG_results/RNAi/Head")

# Define the RNAi contrasts of interest
rna_contrasts <- c("HEX1_vs_GFP", "HEX2_vs_GFP", "JHMT_vs_GFP", "MIOX_vs_GFP", "UNCH_vs_GFP")

# Load DEG files for each contrast
venn_data_rnai <- list()
venn_data_rnai_up <- list()
venn_data_rnai_down <- list()

for (contrast in rna_contrasts) {
  deg_file <- file.path(workDir, "DEG_results/RNAi/Head", contrast, paste0("DEG_sigresults_", contrast, ".csv"))
  
  if (!file.exists(deg_file)) {
    message("File not found: ", contrast)
    next
  }
  
  deg_data <- read.csv(deg_file, stringsAsFactors = FALSE)
  
  # Rename column if needed
  if ("X" %in% colnames(deg_data)) {
    colnames(deg_data)[colnames(deg_data) == "X"] <- "GeneID"
  }

  # Store DEG sets
  venn_data_rnai[[contrast]] <- deg_data %>% filter(padj < 0.05 & abs(log2FoldChange) >= 1) %>% pull(GeneID)
  venn_data_rnai_up[[contrast]] <- deg_data %>% filter(padj < 0.05 & log2FoldChange >= 1) %>% pull(GeneID)
  venn_data_rnai_down[[contrast]] <- deg_data %>% filter(padj < 0.05 & log2FoldChange <= -1) %>% pull(GeneID)
}

# Display Venn
display_ggvenn_plot(venn_data_rnai_up, "Venn Diagram of Head Upregulated DEGs - RNAi")

Version Author Date
fba3d13 Maeva TECHER 2025-04-04
display_ggvenn_plot(venn_data_rnai_down, "Venn Diagram of Head Downregulated DEGs - RNAi")

Version Author Date
fba3d13 Maeva TECHER 2025-04-04
display_ggvenn_plot(venn_data_rnai, "Venn Diagram of All Significant DEGs - RNAi")

Version Author Date
fba3d13 Maeva TECHER 2025-04-04
# Display UpSet
display_upset_plot(venn_data_rnai_up, "UpSet Plot of Head Upregulated DEGs - RNAi")

Version Author Date
fba3d13 Maeva TECHER 2025-04-04
display_upset_plot(venn_data_rnai_down, "UpSet Plot of Head Downregulated DEGs - RNAi")

Version Author Date
fba3d13 Maeva TECHER 2025-04-04
display_upset_plot(venn_data_rnai, "UpSet Plot of All Significant DEGs - RNAi")

Version Author Date
fba3d13 Maeva TECHER 2025-04-04
# Find intersecting GeneIDs shared by all RNAi contrasts
rna_shared_genes <- Reduce(intersect, venn_data_rnai)

# Create DataFrame for display
shared_df <- data.frame(GeneID = rna_shared_genes)
meta_shared_df <- merge(shared_df, allspecies_df, by = "GeneID", all.x = TRUE)

# Display in styled datatable
datatable(meta_shared_df, options = list(
  pageLength = 10, scrollX = TRUE, autoWidth = TRUE, searchHighlight = TRUE
), rownames = FALSE) %>%
  formatStyle('Species', target = 'cell', fontStyle = 'italic') %>%
  formatStyle(columns = names(meta_shared_df), target = 'row',
              color = styleEqual(c("red", "blue", "black"), c("red", "blue", "black")),
              fontWeight = styleEqual(c("bold", "normal"), c("bold", "normal")),
              backgroundColor = styleEqual(c("red", "blue", "black"), c("white", "white", "white")))
# Function to extract all intersections from a named list
extract_all_upset_intersections <- function(venn_list) {
  all_combinations <- unlist(lapply(1:length(venn_list), function(i) {
    combn(names(venn_list), i, simplify = FALSE)
  }), recursive = FALSE)
  
  intersection_list <- list()
  
  for (combo in all_combinations) {
    combo_name <- paste(combo, collapse = " & ")
    overlapping_genes <- Reduce(intersect, venn_list[combo])
    
    if (length(overlapping_genes) > 0) {
      intersection_list[[combo_name]] <- overlapping_genes
    }
  }
  
  return(intersection_list)
}

# Extract all intersections for ALL DEGs
all_upset_overlaps <- extract_all_upset_intersections(venn_data_rnai)

# View names of intersections
names(all_upset_overlaps)
 [1] "HEX1_vs_GFP"                                                        
 [2] "HEX2_vs_GFP"                                                        
 [3] "JHMT_vs_GFP"                                                        
 [4] "MIOX_vs_GFP"                                                        
 [5] "UNCH_vs_GFP"                                                        
 [6] "HEX1_vs_GFP & HEX2_vs_GFP"                                          
 [7] "HEX1_vs_GFP & JHMT_vs_GFP"                                          
 [8] "HEX1_vs_GFP & MIOX_vs_GFP"                                          
 [9] "HEX1_vs_GFP & UNCH_vs_GFP"                                          
[10] "HEX2_vs_GFP & JHMT_vs_GFP"                                          
[11] "HEX2_vs_GFP & MIOX_vs_GFP"                                          
[12] "HEX2_vs_GFP & UNCH_vs_GFP"                                          
[13] "JHMT_vs_GFP & MIOX_vs_GFP"                                          
[14] "JHMT_vs_GFP & UNCH_vs_GFP"                                          
[15] "MIOX_vs_GFP & UNCH_vs_GFP"                                          
[16] "HEX1_vs_GFP & HEX2_vs_GFP & JHMT_vs_GFP"                            
[17] "HEX1_vs_GFP & HEX2_vs_GFP & MIOX_vs_GFP"                            
[18] "HEX1_vs_GFP & HEX2_vs_GFP & UNCH_vs_GFP"                            
[19] "HEX1_vs_GFP & JHMT_vs_GFP & MIOX_vs_GFP"                            
[20] "HEX1_vs_GFP & JHMT_vs_GFP & UNCH_vs_GFP"                            
[21] "HEX1_vs_GFP & MIOX_vs_GFP & UNCH_vs_GFP"                            
[22] "HEX2_vs_GFP & JHMT_vs_GFP & MIOX_vs_GFP"                            
[23] "HEX2_vs_GFP & JHMT_vs_GFP & UNCH_vs_GFP"                            
[24] "HEX2_vs_GFP & MIOX_vs_GFP & UNCH_vs_GFP"                            
[25] "JHMT_vs_GFP & MIOX_vs_GFP & UNCH_vs_GFP"                            
[26] "HEX1_vs_GFP & HEX2_vs_GFP & JHMT_vs_GFP & MIOX_vs_GFP"              
[27] "HEX1_vs_GFP & HEX2_vs_GFP & JHMT_vs_GFP & UNCH_vs_GFP"              
[28] "HEX1_vs_GFP & HEX2_vs_GFP & MIOX_vs_GFP & UNCH_vs_GFP"              
[29] "HEX1_vs_GFP & JHMT_vs_GFP & MIOX_vs_GFP & UNCH_vs_GFP"              
[30] "HEX2_vs_GFP & JHMT_vs_GFP & MIOX_vs_GFP & UNCH_vs_GFP"              
[31] "HEX1_vs_GFP & HEX2_vs_GFP & JHMT_vs_GFP & MIOX_vs_GFP & UNCH_vs_GFP"
# View a specific intersection
head(all_upset_overlaps[["HEX1_vs_GFP & JHMT_vs_GFP"]])
[1] "LOC126300115" "LOC126316490" "LOC126318478" "LOC126306432" "LOC126320109"
[6] "LOC126318158"
output_dir <- file.path(saveDir, "UpSetR_all_intersections")
dir.create(output_dir, showWarnings = FALSE)

for (name in names(all_upset_overlaps)) {
  filename <- paste0(gsub(" ", "_", name), ".csv")  # Replace spaces
  write.csv(
    data.frame(GeneID = all_upset_overlaps[[name]]),
    file = file.path(output_dir, filename),
    row.names = FALSE
  )
}

Thorax tissue

saveDir <- paste0(workDir,"/DEG_results/RNAi/Thorax")

# Define the RNAi contrasts of interest
rna_contrasts <- c("HEX1_vs_GFP", "HEX2_vs_GFP", "JHMT_vs_GFP", "MIOX_vs_GFP", "UNCH_vs_GFP")

# Load DEG files for each contrast
venn_data_rnai <- list()
venn_data_rnai_up <- list()
venn_data_rnai_down <- list()

for (contrast in rna_contrasts) {
  deg_file <- file.path(workDir, "DEG_results/RNAi/Thorax", contrast, paste0("DEG_sigresults_", contrast, ".csv"))
  
  if (!file.exists(deg_file)) {
    message("File not found: ", contrast)
    next
  }
  
  deg_data <- read.csv(deg_file, stringsAsFactors = FALSE)
  
  # Rename column if needed
  if ("X" %in% colnames(deg_data)) {
    colnames(deg_data)[colnames(deg_data) == "X"] <- "GeneID"
  }

  # Store DEG sets
  venn_data_rnai[[contrast]] <- deg_data %>% filter(padj < 0.05 & abs(log2FoldChange) >= 1) %>% pull(GeneID)
  venn_data_rnai_up[[contrast]] <- deg_data %>% filter(padj < 0.05 & log2FoldChange >= 1) %>% pull(GeneID)
  venn_data_rnai_down[[contrast]] <- deg_data %>% filter(padj < 0.05 & log2FoldChange <= -1) %>% pull(GeneID)
}

# Display Venn
display_ggvenn_plot(venn_data_rnai_up, "Venn Diagram of Thorax Upregulated DEGs - RNAi")

Version Author Date
fba3d13 Maeva TECHER 2025-04-04
display_ggvenn_plot(venn_data_rnai_down, "Venn Diagram of Thorax Downregulated DEGs - RNAi")

Version Author Date
fba3d13 Maeva TECHER 2025-04-04
display_ggvenn_plot(venn_data_rnai, "Venn Diagram of All Significant DEGs - RNAi")

Version Author Date
fba3d13 Maeva TECHER 2025-04-04
# Display UpSet
display_upset_plot(venn_data_rnai_up, "UpSet Plot of Thorax Upregulated DEGs - RNAi")

Version Author Date
fba3d13 Maeva TECHER 2025-04-04
display_upset_plot(venn_data_rnai_down, "UpSet Plot of Thorax Downregulated DEGs - RNAi")

Version Author Date
fba3d13 Maeva TECHER 2025-04-04
display_upset_plot(venn_data_rnai, "UpSet Plot of All Significant DEGs - RNAi")

Version Author Date
fba3d13 Maeva TECHER 2025-04-04
# Find intersecting GeneIDs shared by all RNAi contrasts
rna_shared_genes <- Reduce(intersect, venn_data_rnai)

# Create DataFrame for display
shared_df <- data.frame(GeneID = rna_shared_genes)
meta_shared_df <- merge(shared_df, allspecies_df, by = "GeneID", all.x = TRUE)

# Display in styled datatable
datatable(meta_shared_df, options = list(
  pageLength = 10, scrollX = TRUE, autoWidth = TRUE, searchHighlight = TRUE
), rownames = FALSE) %>%
  formatStyle('Species', target = 'cell', fontStyle = 'italic') %>%
  formatStyle(columns = names(meta_shared_df), target = 'row',
              color = styleEqual(c("red", "blue", "black"), c("red", "blue", "black")),
              fontWeight = styleEqual(c("bold", "normal"), c("bold", "normal")),
              backgroundColor = styleEqual(c("red", "blue", "black"), c("white", "white", "white")))
# Function to extract all intersections from a named list
extract_all_upset_intersections <- function(venn_list) {
  all_combinations <- unlist(lapply(1:length(venn_list), function(i) {
    combn(names(venn_list), i, simplify = FALSE)
  }), recursive = FALSE)
  
  intersection_list <- list()
  
  for (combo in all_combinations) {
    combo_name <- paste(combo, collapse = " & ")
    overlapping_genes <- Reduce(intersect, venn_list[combo])
    
    if (length(overlapping_genes) > 0) {
      intersection_list[[combo_name]] <- overlapping_genes
    }
  }
  
  return(intersection_list)
}

# Extract all intersections for ALL DEGs
all_upset_overlaps <- extract_all_upset_intersections(venn_data_rnai)

# View names of intersections
names(all_upset_overlaps)
 [1] "HEX1_vs_GFP"                                          
 [2] "HEX2_vs_GFP"                                          
 [3] "JHMT_vs_GFP"                                          
 [4] "MIOX_vs_GFP"                                          
 [5] "UNCH_vs_GFP"                                          
 [6] "HEX1_vs_GFP & HEX2_vs_GFP"                            
 [7] "HEX1_vs_GFP & JHMT_vs_GFP"                            
 [8] "HEX1_vs_GFP & MIOX_vs_GFP"                            
 [9] "HEX1_vs_GFP & UNCH_vs_GFP"                            
[10] "HEX2_vs_GFP & JHMT_vs_GFP"                            
[11] "HEX2_vs_GFP & MIOX_vs_GFP"                            
[12] "HEX2_vs_GFP & UNCH_vs_GFP"                            
[13] "JHMT_vs_GFP & MIOX_vs_GFP"                            
[14] "JHMT_vs_GFP & UNCH_vs_GFP"                            
[15] "MIOX_vs_GFP & UNCH_vs_GFP"                            
[16] "HEX1_vs_GFP & HEX2_vs_GFP & JHMT_vs_GFP"              
[17] "HEX1_vs_GFP & HEX2_vs_GFP & MIOX_vs_GFP"              
[18] "HEX1_vs_GFP & HEX2_vs_GFP & UNCH_vs_GFP"              
[19] "HEX1_vs_GFP & JHMT_vs_GFP & MIOX_vs_GFP"              
[20] "HEX1_vs_GFP & MIOX_vs_GFP & UNCH_vs_GFP"              
[21] "HEX2_vs_GFP & JHMT_vs_GFP & MIOX_vs_GFP"              
[22] "HEX2_vs_GFP & MIOX_vs_GFP & UNCH_vs_GFP"              
[23] "HEX1_vs_GFP & HEX2_vs_GFP & MIOX_vs_GFP & UNCH_vs_GFP"
# View a specific intersection
head(all_upset_overlaps[["HEX1_vs_GFP & JHMT_vs_GFP"]])
[1] "LOC126337818" "LOC126321938" "LOC126318086" "LOC126319021"
output_dir <- file.path(saveDir, "UpSetR_all_intersections")
dir.create(output_dir, showWarnings = FALSE)

for (name in names(all_upset_overlaps)) {
  filename <- paste0(gsub(" ", "_", name), ".csv")  # Replace spaces
  write.csv(
    data.frame(GeneID = all_upset_overlaps[[name]]),
    file = file.path(output_dir, filename),
    row.names = FALSE
  )
}

Excluding rRNA

Head tissue

saveDir <- paste0(workDir,"/DEG_results/RNAi/Head_no_rRNA")

# Define the RNAi contrasts of interest
rna_contrasts <- c("HEX1_vs_GFP", "HEX2_vs_GFP", "JHMT_vs_GFP", "MIOX_vs_GFP", "UNCH_vs_GFP")

# Load DEG files for each contrast
venn_data_rnai <- list()
venn_data_rnai_up <- list()
venn_data_rnai_down <- list()

for (contrast in rna_contrasts) {
  deg_file <- file.path(workDir, "DEG_results/RNAi/Head_no_rRNA", contrast, paste0("DEG_sigresults_", contrast, ".csv"))
  
  if (!file.exists(deg_file)) {
    message("File not found: ", contrast)
    next
  }
  
  deg_data <- read.csv(deg_file, stringsAsFactors = FALSE)
  
  # Rename column if needed
  if ("X" %in% colnames(deg_data)) {
    colnames(deg_data)[colnames(deg_data) == "X"] <- "GeneID"
  }

  # Store DEG sets
  venn_data_rnai[[contrast]] <- deg_data %>% filter(padj < 0.05 & abs(log2FoldChange) >= 1) %>% pull(GeneID)
  venn_data_rnai_up[[contrast]] <- deg_data %>% filter(padj < 0.05 & log2FoldChange >= 1) %>% pull(GeneID)
  venn_data_rnai_down[[contrast]] <- deg_data %>% filter(padj < 0.05 & log2FoldChange <= -1) %>% pull(GeneID)
}

# Display Venn
display_ggvenn_plot(venn_data_rnai_up, "Venn Diagram of Head Upregulated DEGs - RNAi")

Version Author Date
fba3d13 Maeva TECHER 2025-04-04
display_ggvenn_plot(venn_data_rnai_down, "Venn Diagram of Head Downregulated DEGs - RNAi")

Version Author Date
fba3d13 Maeva TECHER 2025-04-04
display_ggvenn_plot(venn_data_rnai, "Venn Diagram of All Significant DEGs - RNAi")

Version Author Date
fba3d13 Maeva TECHER 2025-04-04
# Display UpSet
display_upset_plot(venn_data_rnai_up, "UpSet Plot of Head Upregulated DEGs - RNAi")

Version Author Date
3e696d6 Maeva TECHER 2025-06-05
fba3d13 Maeva TECHER 2025-04-04
display_upset_plot(venn_data_rnai_down, "UpSet Plot of Head Downregulated DEGs - RNAi")

Version Author Date
fba3d13 Maeva TECHER 2025-04-04
display_upset_plot(venn_data_rnai, "UpSet Plot of All Significant DEGs - RNAi")

Version Author Date
fba3d13 Maeva TECHER 2025-04-04
# Find intersecting GeneIDs shared by all RNAi contrasts
rna_shared_genes <- Reduce(intersect, venn_data_rnai)

# Create DataFrame for display
shared_df <- data.frame(GeneID = rna_shared_genes)
meta_shared_df <- merge(shared_df, allspecies_df, by = "GeneID", all.x = TRUE)

# Display in styled datatable
datatable(meta_shared_df, options = list(
  pageLength = 10, scrollX = TRUE, autoWidth = TRUE, searchHighlight = TRUE
), rownames = FALSE) %>%
  formatStyle('Species', target = 'cell', fontStyle = 'italic') %>%
  formatStyle(columns = names(meta_shared_df), target = 'row',
              color = styleEqual(c("red", "blue", "black"), c("red", "blue", "black")),
              fontWeight = styleEqual(c("bold", "normal"), c("bold", "normal")),
              backgroundColor = styleEqual(c("red", "blue", "black"), c("white", "white", "white")))
# Function to extract all intersections from a named list
extract_all_upset_intersections <- function(venn_list) {
  all_combinations <- unlist(lapply(1:length(venn_list), function(i) {
    combn(names(venn_list), i, simplify = FALSE)
  }), recursive = FALSE)
  
  intersection_list <- list()
  
  for (combo in all_combinations) {
    combo_name <- paste(combo, collapse = " & ")
    overlapping_genes <- Reduce(intersect, venn_list[combo])
    
    if (length(overlapping_genes) > 0) {
      intersection_list[[combo_name]] <- overlapping_genes
    }
  }
  
  return(intersection_list)
}

# Extract all intersections for ALL DEGs
all_upset_overlaps <- extract_all_upset_intersections(venn_data_rnai)

# View names of intersections
names(all_upset_overlaps)
 [1] "HEX1_vs_GFP"                            
 [2] "HEX2_vs_GFP"                            
 [3] "JHMT_vs_GFP"                            
 [4] "MIOX_vs_GFP"                            
 [5] "UNCH_vs_GFP"                            
 [6] "HEX1_vs_GFP & HEX2_vs_GFP"              
 [7] "HEX1_vs_GFP & JHMT_vs_GFP"              
 [8] "HEX1_vs_GFP & MIOX_vs_GFP"              
 [9] "HEX1_vs_GFP & UNCH_vs_GFP"              
[10] "HEX2_vs_GFP & MIOX_vs_GFP"              
[11] "HEX2_vs_GFP & UNCH_vs_GFP"              
[12] "JHMT_vs_GFP & MIOX_vs_GFP"              
[13] "JHMT_vs_GFP & UNCH_vs_GFP"              
[14] "MIOX_vs_GFP & UNCH_vs_GFP"              
[15] "HEX1_vs_GFP & HEX2_vs_GFP & UNCH_vs_GFP"
[16] "HEX1_vs_GFP & JHMT_vs_GFP & UNCH_vs_GFP"
[17] "HEX1_vs_GFP & MIOX_vs_GFP & UNCH_vs_GFP"
[18] "HEX2_vs_GFP & MIOX_vs_GFP & UNCH_vs_GFP"
[19] "JHMT_vs_GFP & MIOX_vs_GFP & UNCH_vs_GFP"
# View a specific intersection
head(all_upset_overlaps[["HEX1_vs_GFP & JHMT_vs_GFP"]])
[1] "LOC126285378" "LOC126356371" "LOC126336399" "LOC126284825" "LOC126355798"
[6] "LOC126306432"
output_dir <- file.path(saveDir, "UpSetR_all_intersections")
dir.create(output_dir, showWarnings = FALSE)

for (name in names(all_upset_overlaps)) {
  filename <- paste0(gsub(" ", "_", name), ".csv")  # Replace spaces
  write.csv(
    data.frame(GeneID = all_upset_overlaps[[name]]),
    file = file.path(output_dir, filename),
    row.names = FALSE
  )
}

Thoax tissue

saveDir <- paste0(workDir,"/DEG_results/RNAi/Thorax_no_rRNA")

# Define the RNAi contrasts of interest
rna_contrasts <- c("HEX1_vs_GFP", "HEX2_vs_GFP", "JHMT_vs_GFP", "MIOX_vs_GFP", "UNCH_vs_GFP")

# Load DEG files for each contrast
venn_data_rnai <- list()
venn_data_rnai_up <- list()
venn_data_rnai_down <- list()

for (contrast in rna_contrasts) {
  deg_file <- file.path(workDir, "DEG_results/RNAi/Thorax_no_rRNA", contrast, paste0("DEG_sigresults_", contrast, ".csv"))
  
  if (!file.exists(deg_file)) {
    message("File not found: ", contrast)
    next
  }
  
  deg_data <- read.csv(deg_file, stringsAsFactors = FALSE)
  
  # Rename column if needed
  if ("X" %in% colnames(deg_data)) {
    colnames(deg_data)[colnames(deg_data) == "X"] <- "GeneID"
  }

  # Store DEG sets
  venn_data_rnai[[contrast]] <- deg_data %>% filter(padj < 0.05 & abs(log2FoldChange) >= 1) %>% pull(GeneID)
  venn_data_rnai_up[[contrast]] <- deg_data %>% filter(padj < 0.05 & log2FoldChange >= 1) %>% pull(GeneID)
  venn_data_rnai_down[[contrast]] <- deg_data %>% filter(padj < 0.05 & log2FoldChange <= -1) %>% pull(GeneID)
}

# Display Venn
display_ggvenn_plot(venn_data_rnai_up, "Venn Diagram of Thorax Upregulated DEGs - RNAi")

Version Author Date
3e696d6 Maeva TECHER 2025-06-05
fba3d13 Maeva TECHER 2025-04-04
display_ggvenn_plot(venn_data_rnai_down, "Venn Diagram of Thorax Downregulated DEGs - RNAi")

Version Author Date
fba3d13 Maeva TECHER 2025-04-04
display_ggvenn_plot(venn_data_rnai, "Venn Diagram of All Significant DEGs - RNAi")

Version Author Date
fba3d13 Maeva TECHER 2025-04-04
# Display UpSet
display_upset_plot(venn_data_rnai_up, "UpSet Plot of Thorax Upregulated DEGs - RNAi")

Version Author Date
fba3d13 Maeva TECHER 2025-04-04
display_upset_plot(venn_data_rnai_down, "UpSet Plot of Thorax Downregulated DEGs - RNAi")

Version Author Date
fba3d13 Maeva TECHER 2025-04-04
display_upset_plot(venn_data_rnai, "UpSet Plot of All Significant DEGs - RNAi")

Version Author Date
fba3d13 Maeva TECHER 2025-04-04
# Find intersecting GeneIDs shared by all RNAi contrasts
rna_shared_genes <- Reduce(intersect, venn_data_rnai)

# Create DataFrame for display
shared_df <- data.frame(GeneID = rna_shared_genes)
meta_shared_df <- merge(shared_df, allspecies_df, by = "GeneID", all.x = TRUE)

# Display in styled datatable
datatable(meta_shared_df, options = list(
  pageLength = 10, scrollX = TRUE, autoWidth = TRUE, searchHighlight = TRUE
), rownames = FALSE) %>%
  formatStyle('Species', target = 'cell', fontStyle = 'italic') %>%
  formatStyle(columns = names(meta_shared_df), target = 'row',
              color = styleEqual(c("red", "blue", "black"), c("red", "blue", "black")),
              fontWeight = styleEqual(c("bold", "normal"), c("bold", "normal")),
              backgroundColor = styleEqual(c("red", "blue", "black"), c("white", "white", "white")))
# Function to extract all intersections from a named list
extract_all_upset_intersections <- function(venn_list) {
  all_combinations <- unlist(lapply(1:length(venn_list), function(i) {
    combn(names(venn_list), i, simplify = FALSE)
  }), recursive = FALSE)
  
  intersection_list <- list()
  
  for (combo in all_combinations) {
    combo_name <- paste(combo, collapse = " & ")
    overlapping_genes <- Reduce(intersect, venn_list[combo])
    
    if (length(overlapping_genes) > 0) {
      intersection_list[[combo_name]] <- overlapping_genes
    }
  }
  
  return(intersection_list)
}

# Extract all intersections for ALL DEGs
all_upset_overlaps <- extract_all_upset_intersections(venn_data_rnai)

# View names of intersections
names(all_upset_overlaps)
 [1] "HEX1_vs_GFP"                            
 [2] "HEX2_vs_GFP"                            
 [3] "JHMT_vs_GFP"                            
 [4] "MIOX_vs_GFP"                            
 [5] "UNCH_vs_GFP"                            
 [6] "HEX1_vs_GFP & HEX2_vs_GFP"              
 [7] "HEX1_vs_GFP & JHMT_vs_GFP"              
 [8] "HEX1_vs_GFP & MIOX_vs_GFP"              
 [9] "HEX1_vs_GFP & UNCH_vs_GFP"              
[10] "HEX2_vs_GFP & JHMT_vs_GFP"              
[11] "HEX2_vs_GFP & MIOX_vs_GFP"              
[12] "HEX2_vs_GFP & UNCH_vs_GFP"              
[13] "JHMT_vs_GFP & MIOX_vs_GFP"              
[14] "JHMT_vs_GFP & UNCH_vs_GFP"              
[15] "MIOX_vs_GFP & UNCH_vs_GFP"              
[16] "HEX1_vs_GFP & HEX2_vs_GFP & UNCH_vs_GFP"
[17] "HEX1_vs_GFP & JHMT_vs_GFP & UNCH_vs_GFP"
[18] "HEX2_vs_GFP & JHMT_vs_GFP & UNCH_vs_GFP"
[19] "JHMT_vs_GFP & MIOX_vs_GFP & UNCH_vs_GFP"
# View a specific intersection
head(all_upset_overlaps[["HEX1_vs_GFP & JHMT_vs_GFP"]])
[1] "LOC126285378" "LOC126336399" "LOC126336625" "LOC126355800" "LOC126354282"
[6] "LOC126272895"
output_dir <- file.path(saveDir, "UpSetR_all_intersections")
dir.create(output_dir, showWarnings = FALSE)

for (name in names(all_upset_overlaps)) {
  filename <- paste0(gsub(" ", "_", name), ".csv")  # Replace spaces
  write.csv(
    data.frame(GeneID = all_upset_overlaps[[name]]),
    file = file.path(output_dir, filename),
    row.names = FALSE
  )
}

sessionInfo()
R version 4.4.2 (2024-10-31)
Platform: aarch64-apple-darwin20
Running under: macOS Sequoia 15.5

Matrix products: default
BLAS:   /Library/Frameworks/R.framework/Versions/4.4-arm64/Resources/lib/libRblas.0.dylib 
LAPACK: /Library/Frameworks/R.framework/Versions/4.4-arm64/Resources/lib/libRlapack.dylib;  LAPACK version 3.12.0

locale:
[1] en_US.UTF-8/en_US.UTF-8/en_US.UTF-8/C/en_US.UTF-8/en_US.UTF-8

time zone: Asia/Tokyo
tzcode source: internal

attached base packages:
[1] grid      stats4    stats     graphics  grDevices utils     datasets 
[8] methods   base     

other attached packages:
 [1] UpSetR_1.4.0                ggVennDiagram_1.5.2        
 [3] VennDiagram_1.7.3           futile.logger_1.4.3        
 [5] tidyr_1.3.1                 kableExtra_1.4.0           
 [7] data.table_1.17.0           DT_0.33                    
 [9] rafalib_1.0.0               biomaRt_2.62.1             
[11] httr2_1.1.0                 purrr_1.0.4                
[13] dplyr_1.1.4                 ashr_2.2-63                
[15] cowplot_1.1.3               sva_3.54.0                 
[17] BiocParallel_1.40.0         genefilter_1.88.0          
[19] mgcv_1.9-1                  nlme_3.1-167               
[21] clusterProfiler_4.14.6      EnhancedVolcano_1.24.0     
[23] circlize_0.4.16             RColorBrewer_1.1-3         
[25] ComplexHeatmap_2.22.0       ensembldb_2.30.0           
[27] AnnotationFilter_1.30.0     GenomicFeatures_1.58.0     
[29] AnnotationHub_3.14.0        BiocFileCache_2.14.0       
[31] dbplyr_2.5.0                ggConvexHull_0.1.0         
[33] ggrepel_0.9.6               ggplot2_3.5.2              
[35] DESeq2_1.46.0               SummarizedExperiment_1.36.0
[37] MatrixGenerics_1.18.1       matrixStats_1.5.0          
[39] GenomicRanges_1.58.0        GenomeInfoDb_1.42.3        
[41] org.Sgregaria.eg.db_1.0.0   AnnotationDbi_1.68.0       
[43] IRanges_2.40.1              S4Vectors_0.44.0           
[45] Biobase_2.66.0              BiocGenerics_0.52.0        
[47] workflowr_1.7.1            

loaded via a namespace (and not attached):
  [1] fs_1.6.5                 ProtGenerics_1.38.0      bitops_1.0-9            
  [4] enrichplot_1.26.6        httr_1.4.7               doParallel_1.0.17       
  [7] tools_4.4.2              R6_2.6.1                 lazyeval_0.2.2          
 [10] GetoptLong_1.0.5         withr_3.0.2              gridExtra_2.3           
 [13] prettyunits_1.2.0        textshaping_1.0.0        cli_3.6.5               
 [16] formatR_1.14             Cairo_1.6-2              labeling_0.4.3          
 [19] sass_0.4.9               SQUAREM_2021.1           mixsqp_0.3-54           
 [22] Rsamtools_2.22.0         systemfonts_1.2.1        yulab.utils_0.2.0       
 [25] gson_0.1.0               DOSE_4.0.0               svglite_2.1.3           
 [28] R.utils_2.13.0           dichromat_2.0-0.1        invgamma_1.1            
 [31] limma_3.62.2             rstudioapi_0.17.1        RSQLite_2.3.9           
 [34] generics_0.1.3           gridGraphics_0.5-1       shape_1.4.6.1           
 [37] BiocIO_1.16.0            crosstalk_1.2.1          GO.db_3.20.0            
 [40] Matrix_1.7-2             abind_1.4-8              R.methodsS3_1.8.2       
 [43] lifecycle_1.0.4          whisker_0.4.1            yaml_2.3.10             
 [46] edgeR_4.4.2              qvalue_2.38.0            SparseArray_1.6.2       
 [49] blob_1.2.4               promises_1.3.2           crayon_1.5.3            
 [52] ggtangle_0.0.6           lattice_0.22-6           annotate_1.84.0         
 [55] KEGGREST_1.46.0          magick_2.8.5             pillar_1.10.2           
 [58] knitr_1.49               fgsea_1.32.2             rjson_0.2.23            
 [61] codetools_0.2-20         fastmatch_1.1-6          glue_1.8.0              
 [64] getPass_0.2-4            ggfun_0.1.8              vctrs_0.6.5             
 [67] png_0.1-8                treeio_1.30.0            gtable_0.3.6            
 [70] cachem_1.1.0             xfun_0.51                S4Arrays_1.6.0          
 [73] survival_3.8-3           iterators_1.0.14         statmod_1.5.0           
 [76] ggtree_3.14.0            bit64_4.6.0-1            progress_1.2.3          
 [79] filelock_1.0.3           rprojroot_2.0.4          bslib_0.9.0             
 [82] irlba_2.3.5.1            colorspace_2.1-1         DBI_1.2.3               
 [85] tidyselect_1.2.1         processx_3.8.6           bit_4.5.0.1             
 [88] compiler_4.4.2           curl_6.2.1               git2r_0.35.0            
 [91] xml2_1.3.7               DelayedArray_0.32.0      rtracklayer_1.66.0      
 [94] scales_1.4.0             callr_3.7.6              rappdirs_0.3.3          
 [97] stringr_1.5.1            digest_0.6.37            rmarkdown_2.29          
[100] XVector_0.46.0           htmltools_0.5.8.1        pkgconfig_2.0.3         
[103] fastmap_1.2.0            rlang_1.1.6              GlobalOptions_0.1.2     
[106] htmlwidgets_1.6.4        UCSC.utils_1.2.0         farver_2.1.2            
[109] jquerylib_0.1.4          jsonlite_1.9.1           GOSemSim_2.32.0         
[112] R.oo_1.27.0              RCurl_1.98-1.16          magrittr_2.0.3          
[115] GenomeInfoDbData_1.2.13  ggplotify_0.1.2          patchwork_1.3.0         
[118] Rcpp_1.0.14              ape_5.8-1                stringi_1.8.4           
[121] zlibbioc_1.52.0          plyr_1.8.9               parallel_4.4.2          
[124] Biostrings_2.74.1        splines_4.4.2            hms_1.1.3               
[127] locfit_1.5-9.11          ps_1.9.0                 igraph_2.1.4            
[130] reshape2_1.4.4           futile.options_1.0.1     BiocVersion_3.20.0      
[133] XML_3.99-0.18            evaluate_1.0.3           lambda.r_1.2.4          
[136] BiocManager_1.30.25      foreach_1.5.2            httpuv_1.6.15           
[139] clue_0.3-66              xtable_1.8-4             restfulr_0.0.15         
[142] tidytree_0.4.6           later_1.4.1              ragg_1.3.3              
[145] viridisLite_0.4.2        truncnorm_1.0-9          tibble_3.2.1            
[148] aplot_0.2.5              memoise_2.0.1            GenomicAlignments_1.42.0
[151] cluster_2.1.8