Last updated: 2026-04-08
Checks: 6 1
Knit directory:
Integrating-nir-genomic-kernel/
This reproducible R Markdown analysis was created with workflowr (version 1.7.2). The Checks tab describes the reproducibility checks that were applied when the results were created. The Past versions tab lists the development history.
The R Markdown file has unstaged changes. To know which version of
the R Markdown file created these results, you’ll want to first commit
it to the Git repo. If you’re still working on the analysis, you can
ignore this warning. When you’re finished, you can run
wflow_publish to commit the R Markdown file and build the
HTML.
Great job! The global environment was empty. Objects defined in the global environment can affect the analysis in your R Markdown file in unknown ways. For reproduciblity it’s best to always run the code in an empty environment.
The command set.seed(20250829) was run prior to running
the code in the R Markdown file. Setting a seed ensures that any results
that rely on randomness, e.g. subsampling or permutations, are
reproducible.
Great job! Recording the operating system, R version, and package versions is critical for reproducibility.
Nice! There were no cached chunks for this analysis, so you can be confident that you successfully produced the results during this run.
Great job! Using relative paths to the files within your workflowr project makes it easier to run your code on other machines.
Great! You are using Git for version control. Tracking code development and connecting the code version to the results is critical for reproducibility.
The results in this page were generated with repository version 6e9c365. See the Past versions tab to see a history of the changes made to the R Markdown and HTML files.
Note that you need to be careful to ensure that all relevant files for
the analysis have been committed to Git prior to generating the results
(you can use wflow_publish or
wflow_git_commit). workflowr only checks the R Markdown
file, but you know if there are other scripts or data files that it
depends on. Below is the status of the Git repository when the results
were generated:
Ignored files:
Ignored: .Rhistory
Ignored: .Rproj.user/
Ignored: analysis/analysis.Rmd
Ignored: analysis/run_cv0_cv00_only.R
Ignored: analysis/run_cv1_cv2_only.R
Ignored: analysis/script_tabelas_resultados_pipeline_v2.R
Ignored: data/Article_documents/
Ignored: data/Maize-NIRS-GBS-main/
Ignored: output/Matrizes/Geno.all.rds
Ignored: output/Matrizes/NIR.all.rds
Ignored: output/Matrizes/figures/
Ignored: output/adjust_models.rar
Ignored: output/climate_results/additional_climate_plots.tiff
Ignored: output/climate_results/combined_additional_climate_plots.tiff
Ignored: output/climate_results/combined_climate_plot.tiff
Ignored: output/cv-schemes.tiff
Ignored: output/figures/
Ignored: output/variance_components/bglr_runs/
Ignored: output/variance_components/figures/
Untracked files:
Untracked: output/results/
Untracked: output/tables/
Unstaged changes:
Modified: analysis/visualization.Rmd
Modified: analysis/visualization_pt.Rmd
Note that any generated files, e.g. HTML, png, CSS, etc., are not included in this status report because it is ok for generated content to have uncommitted changes.
These are the previous versions of the repository in which changes were
made to the R Markdown (analysis/visualization.Rmd) and
HTML (docs/visualization.html) files. If you’ve configured
a remote Git repository (see ?wflow_git_remote), click on
the hyperlinks in the table below to view the files as they were in that
past version.
| File | Version | Author | Date | Message |
|---|---|---|---|---|
| Rmd | d7caa48 | WevertonGomesCosta | 2026-04-07 | update |
| Rmd | e1fdde0 | WevertonGomesCosta | 2026-04-07 | update |
| Rmd | 0b2db18 | WevertonGomesCosta | 2026-04-07 | update |
| Rmd | 2d2b88e | WevertonGomesCosta | 2026-04-06 | update |
| Rmd | d1beaba | WevertonGomesCosta | 2026-04-06 | update |
| html | d1beaba | WevertonGomesCosta | 2026-04-06 | update |
| Rmd | 6b32571 | WevertonGomesCosta | 2026-04-05 | update |
| html | 6b32571 | WevertonGomesCosta | 2026-04-05 | update |
| Rmd | 1e54662 | WevertonGomesCosta | 2026-04-02 | update |
| Rmd | 00ef3ef | WevertonGomesCosta | 2026-04-01 | update |
| html | 00ef3ef | WevertonGomesCosta | 2026-04-01 | update |
| Rmd | 1915912 | WevertonGomesCosta | 2026-03-31 | update |
| Rmd | 93e2f1b | WevertonGomesCosta | 2026-03-31 | update |
| Rmd | 114bc53 | WevertonGomesCosta | 2026-03-31 | update |
| Rmd | 0f4ed87 | WevertonGomesCosta | 2026-03-31 | update |
| Rmd | 9827bcc | WevertonGomesCosta | 2026-03-31 | update scripts rmd |
| Rmd | 6d2bc12 | WevertonGomesCosta | 2026-03-30 | update |
| Rmd | 17362af | WevertonGomesCosta | 2026-03-30 | update |
| Rmd | 918845e | WevertonGomesCosta | 2026-03-30 | update |
| Rmd | fae2421 | WevertonGomesCosta | 2026-03-30 | update |
| html | fae2421 | WevertonGomesCosta | 2026-03-30 | update |
| Rmd | fc24b26 | WevertonGomesCosta | 2026-03-30 | update |
| Rmd | 260a6bd | WevertonGomesCosta | 2026-03-27 | update scripts |
| html | 4e5af9a | WevertonGomesCosta | 2026-03-27 | update |
| Rmd | 640dfbe | WevertonGomesCosta | 2026-03-27 | update |
| Rmd | 717d6b9 | WevertonGomesCosta | 2026-02-24 | update |
| Rmd | c996e1e | WevertonGomesCosta | 2026-02-24 | update |
| Rmd | 5b10ff7 | WevertonGomesCosta | 2026-02-24 | update |
Language / Idioma: English | Português
This file is the didactic version of the visualization stage. Its
purpose is to take the raw prediction outputs produced in
analysis_prediction_run_outputs.Rmd, reorganize them into
interpretable summary tables, and then translate those summaries into
compact comparisons and final figures.
At this point in the pipeline, the main analytical question is no
longer how each model is specified, but how the fitted models behave
under different prediction problems. For that reason, the visualization
stage moves from model construction to model interpretation. It brings
together performance summaries for CV1, CV2,
CV0, and CV00, highlights contrasts between
models with and without the weather kernel (W), and
organizes the results into tables and figures that are easier to inspect
than the raw prediction files themselves.
The current prediction workflow saves raw outputs in
output/results/ using filenames that encode the validation
scenario, trait, fitted model, repetition, and fold. For
CV0 and CV00, the held-out environment label
is also recorded in the filename and is later matched to
Env through the filter Env == Env_leave. This
naming structure is essential because it connects the execution stage to
the interpretation stage.
Throughout this tutorial, the weather kernel
(W) should be interpreted as a weather-derived
source of similarity that complements, but does not replace, the
categorical environment effect (E). The phenomic component
(P) should also be interpreted carefully, because
NIRS-based similarity can reflect strong environmental response in
addition to potentially useful predictive signal.
The workflow is organized around four practical tasks:
CV1, CV2,
CV0, and CV00;To make interpretation easier, the models are ordered to help answer three practical questions:
W) improve predictive
ability?Inputs of this step - raw prediction outputs written
by analysis_prediction_run_outputs.Rmd - light prediction
metadata tables generated in the previous stage
Outputs of this step - final summary tables - model rankings - W-effect comparisons - kernel-family comparisons - final figures for downstream interpretation
Next step - the outputs generated here feed the manuscript-oriented summaries and the final interpretation of the project results.
The document begins by defining a consistent rendering style for code, tables, and figures. This helps the tutorial remain readable when it is inspected in HTML and keeps the visual presentation stable across the different outputs produced in this stage.
knitr::opts_chunk$set( echo = TRUE,
warning = FALSE,
message = FALSE,
fig.width = 13,
fig.height = 8,
out.width = "100%" )
The visualization stage depends on a small set of packages for data manipulation, figure construction, and table formatting. It also needs to locate the project folders correctly, because the summaries generated here must be written in stable output paths that can later be reused by the site and by manuscript-oriented materials.
This section standardizes the project root, locates the folders that contain the prediction outputs, and prepares the directories in which the final tables and figures will be written.
rm(list = ls())
options(scipen = 999)
packages_needed <- c( "dplyr",
"tidyr",
"readr",
"tibble",
"ggplot2",
"ggthemes",
"knitr",
"kableExtra",
"stringr" )
packages_missing <- packages_needed[!(packages_needed %in% installed.packages()[, "Package"])]
if (length(packages_missing) > 0) {
stop(
paste0(
"The following packages are required for this module but are not installed: ",
paste(packages_missing, collapse = ", "),
". Install them before rendering visualization.Rmd."
)
)
}
library(dplyr)
library(tidyr)
library(readr)
library(tibble)
library(ggplot2)
library(ggthemes)
library(knitr)
library(kableExtra)
library(stringr)
project_root <- getwd()
if (!dir.exists(file.path(project_root, "output")) && dir.exists(file.path(project_root, "..", "output"))) {
project_root <- normalizePath(file.path(project_root, ".."))
}
if (!dir.exists(file.path(project_root, "output"))) {
stop("Could not find the folder 'output/'.\nRun this script from the project root or from analysis/.")
}
results_dir <- file.path(project_root, "output", "results")
figures_dir <- file.path(project_root, "output", "figures")
tables_dir <- file.path(project_root, "output", "tables")
dir.create(figures_dir, recursive = TRUE, showWarnings = FALSE)
dir.create(tables_dir, recursive = TRUE, showWarnings = FALSE)
The visualization stage uses the same reduced catalog of 18 models adopted in the prediction workflow. Here that catalog is reorganized so that the summaries are easier to interpret in analytical terms. Instead of showing only model numbers, the table emphasizes the pathway being represented, the kernel family being used, and whether weather information is present.
This organization is important because the comparisons shown later in the document are not arbitrary. They are designed to help the reader understand where predictive gains come from and whether those gains are associated with weather information, kernel choice, or integration between genomic and phenomic sources.
model_catalog <- tibble( ModelNumber = c(1, 10, 3, 13, 5, 16, 2, 11, 4, 14, 6, 17, 7, 12, 8, 15, 9, 18),
Model = paste0("Eta", c(1, 10, 3, 13, 5, 16, 2, 11, 4, 14, 6, 17, 7, 12, 8, 15, 9, 18)),
Pathway = c( rep("Genomic pathway", 6), rep("Phenomic pathway", 6), rep("Combined G + P pathway", 6) ),
KernelFamily = c( "Linear", "Linear", "Gaussian", "Gaussian", "Arc-cosine", "Arc-cosine", "Linear", "Linear", "Gaussian", "Gaussian", "Arc-cosine", "Arc-cosine", "Linear", "Linear", "Gaussian", "Gaussian", "Arc-cosine", "Arc-cosine" ),
WeatherStatus = c( "Without W", "With W", "Without W", "With W", "Without W", "With W", "Without W", "With W", "Without W", "With W", "Without W", "With W", "Without W", "With W", "Without W", "With W", "Without W", "With W" ),
Group = c( "Genomic baseline", "Weather single-source", "Genomic baseline", "Weather single-source", "Genomic baseline", "Weather single-source", "Phenomic baseline", "Weather single-source", "Phenomic baseline", "Weather single-source", "Phenomic baseline", "Weather single-source", "Combined baseline", "Weather combined", "Combined baseline", "Weather combined", "Combined baseline", "Weather combined" ),
Description = c( "Genomic linear + E", "Genomic linear + W", "Genomic Gaussian + E", "Genomic Gaussian + W", "Genomic arc-cosine + E", "Genomic arc-cosine + W", "Phenomic linear + E", "Phenomic linear + W", "Phenomic Gaussian + E", "Phenomic Gaussian + W", "Phenomic arc-cosine + E", "Phenomic arc-cosine + W", "Combined linear + E", "Combined linear + W", "Combined Gaussian + E", "Combined Gaussian + W", "Combined arc-cosine + E", "Combined arc-cosine + W" ),
ShortDescription = c( "G + E", "G + W", "GGK + E", "GGK + W", "GAK + E", "GAK + W", "P + E", "P + W", "PGK + E", "PGK + W", "PAK + E", "PAK + W", "G+P + E", "G+P + W", "GGK+PGK + E", "GGK+PGK + W", "GAK+PAK + E", "GAK+PAK + W" ) )
model_catalog
A central question in this project is whether adding the weather
kernel (W) improves predictive ability. To answer that
question fairly, the comparison must always be made between models that
are structurally similar and differ only by the inclusion of weather
information.
The comparison pairs defined below provide exactly that structure.
They are later used to build tables that quantify how much predictive
performance changes when W is introduced within the same
pathway and kernel family.
comparison_pairs <- tibble( Comparison = c( "Genomic linear", "Genomic Gaussian", "Genomic arc-cosine", "Phenomic linear", "Phenomic Gaussian", "Phenomic arc-cosine", "Combined linear", "Combined Gaussian", "Combined arc-cosine" ),
WithoutW = c("Eta1", "Eta3", "Eta5", "Eta2", "Eta4", "Eta6", "Eta7", "Eta8", "Eta9"),
WithW = c("Eta10", "Eta13", "Eta16", "Eta11", "Eta14", "Eta17", "Eta12", "Eta15", "Eta18") )
comparison_pairs
The first operational step of the visualization stage is to locate
the raw prediction files produced by the previous module. Under the
current pipeline standard, these files are saved recursively inside
output/results/, with an explicit directory hierarchy by
validation scheme, trait, repetition, and fold.
At this stage, the script reads the results folder recursively, keeps
only the prediction CSVs stored inside the structured CV1,
CV2, CV0, and CV00 branches, and
ignores other artifacts such as bglr_runs. This makes the
downstream summaries compatible with the new Rep/Fold
contract while preserving the distinction between genotype-based and
leave-one-environment-out validation problems.
all_result_rel_paths <- list.files(results_dir, pattern = "\\.csv$", full.names = FALSE, recursive = TRUE)
all_result_rel_paths <- gsub("\\\\", "/", all_result_rel_paths)
structured_idx <- grepl("^CV1/|^CV2/|^CV0/|^CV00/", all_result_rel_paths)
all_result_rel_paths <- all_result_rel_paths[structured_idx]
all_result_files <- file.path(results_dir, all_result_rel_paths)
cv12_idx <- grepl("^CV1/|^CV2/", all_result_rel_paths)
cvloo_idx <- grepl("^CV0/|^CV00/", all_result_rel_paths)
cv12_files <- all_result_files[cv12_idx]
cv12_rel_paths <- all_result_rel_paths[cv12_idx]
cvloo_files <- all_result_files[cvloo_idx]
cvloo_rel_paths <- all_result_rel_paths[cvloo_idx]
cat("Number of CV1/CV2 files:", length(cv12_files), "
")
Number of CV1/CV2 files: 3600
cat("Number of CV0/CV00 files:", length(cvloo_files), "
")
Number of CV0/CV00 files: 14400
if (length(cv12_files) == 0 && length(cvloo_files) == 0) {
stop("No prediction CSV files were found in output/results/.
Run analysis_prediction_run_outputs first.")
}
The CV1 and CV2 files contain the raw
outputs needed to summarize prediction performance when the challenge is
defined on the genotype axis. In the current workflow, repetition and
fold are encoded both in the directory hierarchy and in the filename, so
the script reconstructs those metadata explicitly before building the
summaries.
This design is useful because it keeps the file system organized for quick inspection while still allowing the visualization stage to rebuild unified tables across repetitions and folds.
cv12_list <- vector("list", length(cv12_files))
for (i in seq_along(cv12_files)) {
current_file <- cv12_files[i]
current_rel_path <- cv12_rel_paths[i]
path_parts <- strsplit(current_rel_path, "/")[[1]]
if (length(path_parts) != 5) {
stop(
"Unexpected directory structure for CV1/CV2 file: ",
current_rel_path,
".
Expected pattern CV1/<trait>/repXX/foldXX/<file>.csv or CV2/<trait>/repXX/foldXX/<file>.csv"
)
}
current_cv <- path_parts[1]
trait_from_path <- path_parts[2]
rep_from_path <- as.numeric(gsub("^rep", "", path_parts[3]))
fold_from_path <- as.numeric(gsub("^fold", "", path_parts[4]))
file_name <- sub("\\.csv$", "", basename(current_file))
file_parts <- strsplit(file_name, "_")[[1]]
if (length(file_parts) != 5) {
stop(
"Unexpected filename for CV1/CV2 file: ",
file_name,
".
Expected pattern CV1_<trait>_Eta<model>_repXX_foldXX.csv or CV2_<trait>_Eta<model>_repXX_foldXX.csv"
)
}
current_trait <- file_parts[2]
current_model_label <- file_parts[3]
current_model_number <- as.numeric(gsub("^Eta", "", current_model_label))
current_rep <- as.numeric(gsub("^rep", "", file_parts[4]))
current_fold <- as.numeric(gsub("^fold", "", file_parts[5]))
if (!identical(current_cv, file_parts[1]) || !identical(trait_from_path, current_trait) || !identical(rep_from_path, current_rep) || !identical(fold_from_path, current_fold)) {
stop("Mismatch between path and filename metadata in: ", current_rel_path)
}
current_data <- readr::read_csv(current_file, show_col_types = FALSE)
if (!("Env" %in% names(current_data)) || !("cor" %in% names(current_data))) {
stop(
"Unexpected column structure in file: ",
file_name,
".
The final prediction script should export columns including Env and cor."
)
}
current_data <- current_data %>%
mutate(
RelativePath = current_rel_path,
Fold = current_fold,
CV = current_cv,
Trait = current_trait,
ModelNumber = current_model_number,
Model = current_model_label,
Rep = current_rep
)
cv12_list[[i]] <- current_data
}
cv12_raw <- bind_rows(cv12_list) %>%
left_join(model_catalog, by = c("ModelNumber", "Model"))
if (!("Runtime_sec" %in% names(cv12_raw))) cv12_raw$Runtime_sec <- NA_real_
readr::write_csv(cv12_raw, file.path(tables_dir, "prediction_cv1_cv2_raw.csv"))
The CV0 and CV00 files represent the most
demanding prediction problems in the study because they involve a
held-out environment. Under the current pipeline standard, the held-out
environment is encoded both in the directory hierarchy and in the
filename, so the script reconstructs that information explicitly before
the leave-one-environment-out summaries are built.
This section reads those files, checks the consistency of the
structured paths, and prepares the metadata needed to keep
Env_leave explicit throughout the summaries.
cvloo_list <- vector("list", length(cvloo_files))
for (i in seq_along(cvloo_files)) {
current_file <- cvloo_files[i]
current_rel_path <- cvloo_rel_paths[i]
path_parts <- strsplit(current_rel_path, "/")[[1]]
if (length(path_parts) != 6) {
stop(
"Unexpected directory structure for CV0/CV00 file: ",
current_rel_path,
".
Expected pattern CV0/<Env_leave>/<trait>/repXX/foldXX/<file>.csv or CV00/<Env_leave>/<trait>/repXX/foldXX/<file>.csv"
)
}
current_cv <- path_parts[1]
env_from_path <- path_parts[2]
trait_from_path <- path_parts[3]
rep_from_path <- as.numeric(gsub("^rep", "", path_parts[4]))
fold_from_path <- as.numeric(gsub("^fold", "", path_parts[5]))
file_name <- sub("\\.csv$", "", basename(current_file))
file_parts <- strsplit(file_name, "_")[[1]]
if (length(file_parts) < 6) {
stop(
"Unexpected filename for CV0/CV00 file: ",
file_name,
".
Expected pattern CV0_<trait>_<Env_leave>_Eta<model>_repXX_foldXX.csv or CV00_<trait>_<Env_leave>_Eta<model>_repXX_foldXX.csv"
)
}
current_trait <- file_parts[2]
current_model_label <- file_parts[length(file_parts) - 2]
current_model_number <- as.numeric(gsub("^Eta", "", current_model_label))
current_rep <- as.numeric(gsub("^rep", "", file_parts[length(file_parts) - 1]))
current_fold <- as.numeric(gsub("^fold", "", file_parts[length(file_parts)]))
current_env_leave <- paste(file_parts[3:(length(file_parts) - 3)], collapse = "_")
if (!identical(current_cv, file_parts[1]) || !identical(env_from_path, current_env_leave) || !identical(trait_from_path, current_trait) || !identical(rep_from_path, current_rep) || !identical(fold_from_path, current_fold)) {
stop("Mismatch between path and filename metadata in: ", current_rel_path)
}
current_data <- readr::read_csv(current_file, show_col_types = FALSE)
if (!("Env" %in% names(current_data)) || !("cor" %in% names(current_data))) {
stop(
"Unexpected column structure in file: ",
file_name,
".
The final prediction script should export columns including Env and cor."
)
}
current_data <- current_data %>%
mutate(
RelativePath = current_rel_path,
Fold = current_fold,
CV = current_cv,
Trait = current_trait,
Env_leave = current_env_leave,
ModelNumber = current_model_number,
Model = current_model_label,
Rep = current_rep
)
cvloo_list[[i]] <- current_data
}
cvloo_raw <- bind_rows(cvloo_list) %>%
left_join(model_catalog, by = c("ModelNumber", "Model"))
if (!("Runtime_sec" %in% names(cvloo_raw))) cvloo_raw$Runtime_sec <- NA_real_
readr::write_csv(cvloo_raw, file.path(tables_dir, "prediction_cv0_cv00_raw.csv"))
readr::write_csv(model_catalog, file.path(tables_dir, "prediction_model_catalog.csv"))
This stage builds the summaries for CV1 and
CV2 in a stepwise way: first by environment and fold, then
by environment within repetition, then by repetition, and finally by
model-level means and standard deviations across repetitions.
Once the raw CV1 and CV2 files have been
assembled, the next goal is to summarize them in a form that supports
interpretation rather than file inspection. The summaries move from
lower-level information to increasingly aggregated views, so that each
model can be evaluated in terms of its typical predictive behavior
across repetitions, folds, and environments.
This hierarchy is important because raw prediction files are too granular for interpretation. What matters at this stage is the stable performance pattern of each model under each validation scenario.
cv12_env_fold <- cv12_raw %>%
group_by( ModelNumber,
Model,
Group,
Pathway,
KernelFamily,
WeatherStatus,
Description,
ShortDescription,
Trait,
CV,
Rep,
Fold,
Env ) %>%
summarise( EnvCorrelation = mean(cor, na.rm = TRUE),
ValidationCount = sum(!is.na(cor)),
MeanRuntimeSec = mean(Runtime_sec, na.rm = TRUE),
.groups = "drop" ) %>%
mutate( EnvCorrelation = ifelse(is.nan(EnvCorrelation), NA_real_, EnvCorrelation),
MeanRuntimeSec = ifelse(is.nan(MeanRuntimeSec), NA_real_, MeanRuntimeSec) ) %>%
filter(!is.na(EnvCorrelation), ValidationCount > 0)
cv12_env_rep <- cv12_env_fold %>%
group_by( ModelNumber,
Model,
Group,
Pathway,
KernelFamily,
WeatherStatus,
Description,
ShortDescription,
Trait,
CV,
Rep,
Env ) %>%
summarise( EnvCorrelation = weighted.mean(EnvCorrelation, w = ValidationCount, na.rm = TRUE),
ValidationCount = sum(ValidationCount, na.rm = TRUE),
MeanRuntimeSec = mean(MeanRuntimeSec, na.rm = TRUE),
.groups = "drop" )
cv12_rep_summary <- cv12_env_rep %>%
group_by( ModelNumber,
Model,
Group,
Pathway,
KernelFamily,
WeatherStatus,
Description,
ShortDescription,
Trait,
CV,
Rep ) %>%
summarise( WeightedCorrelation = weighted.mean(EnvCorrelation, w = ValidationCount, na.rm = TRUE),
MeanRuntimeSec = mean(MeanRuntimeSec, na.rm = TRUE),
.groups = "drop" )
cv12_summary <- cv12_rep_summary %>%
group_by( ModelNumber,
Model,
Group,
Pathway,
KernelFamily,
WeatherStatus,
Description,
ShortDescription,
Trait,
CV ) %>%
summarise( MeanCorrelation = mean(WeightedCorrelation, na.rm = TRUE),
SDCorrelation = sd(WeightedCorrelation, na.rm = TRUE),
NumberOfRepetitions = n(),
MeanRuntimeSec = mean(MeanRuntimeSec, na.rm = TRUE),
.groups = "drop" ) %>%
mutate( SDCorrelation = ifelse(is.na(SDCorrelation), 0, SDCorrelation) )
readr::write_csv(cv12_env_fold, file.path(tables_dir, "prediction_cv1_cv2_by_rep_fold_env.csv"))
readr::write_csv(cv12_env_rep, file.path(tables_dir, "prediction_cv1_cv2_by_rep_env.csv"))
readr::write_csv(cv12_rep_summary, file.path(tables_dir, "prediction_cv1_cv2_by_rep.csv"))
readr::write_csv(cv12_summary, file.path(tables_dir, "prediction_cv1_cv2_summary.csv"))
For leave-one-environment-out scenarios, the script first restricts
the summaries to rows in which Env == Env_leave. This keeps
only the held-out-environment component that is conceptually relevant
for CV0 and CV00.
The summaries for CV0 and CV00 follow the
same general logic as the CV1/CV2 summaries, but they keep
the held-out environment explicit. This distinction is essential because
predictive performance in leave-one-environment-out settings can vary
strongly across environments.
By preserving Env_leave in the final tables, the script
allows the reader to see not only which models perform well on average,
but also whether that behavior is stable across the different
environmental contexts.
cvloo_env_filtered <- cvloo_raw %>%
filter(Env == Env_leave)
cvloo_env_fold <- cvloo_env_filtered %>%
group_by( ModelNumber,
Model,
Group,
Pathway,
KernelFamily,
WeatherStatus,
Description,
ShortDescription,
Trait,
CV,
Env_leave,
Rep,
Fold,
Env ) %>%
summarise( LOEOCorrelation = mean(cor, na.rm = TRUE),
ValidationCount = sum(!is.na(cor)),
MeanRuntimeSec = mean(Runtime_sec, na.rm = TRUE),
.groups = "drop" ) %>%
mutate( LOEOCorrelation = ifelse(is.nan(LOEOCorrelation), NA_real_, LOEOCorrelation),
MeanRuntimeSec = ifelse(is.nan(MeanRuntimeSec), NA_real_, MeanRuntimeSec) ) %>%
filter(!is.na(LOEOCorrelation), ValidationCount > 0)
cvloo_rep_summary <- cvloo_env_fold %>%
group_by( ModelNumber,
Model,
Group,
Pathway,
KernelFamily,
WeatherStatus,
Description,
ShortDescription,
Trait,
CV,
Env_leave,
Rep ) %>%
summarise( LOEOCorrelation = weighted.mean(LOEOCorrelation, w = ValidationCount, na.rm = TRUE),
ValidationCount = sum(ValidationCount, na.rm = TRUE),
MeanRuntimeSec = mean(MeanRuntimeSec, na.rm = TRUE),
.groups = "drop" )
cvloo_summary <- cvloo_rep_summary %>%
group_by( ModelNumber,
Model,
Group,
Pathway,
KernelFamily,
WeatherStatus,
Description,
ShortDescription,
Trait,
CV,
Env_leave ) %>%
summarise( MeanCorrelation = mean(LOEOCorrelation, na.rm = TRUE),
SDCorrelation = sd(LOEOCorrelation, na.rm = TRUE),
NumberOfRuns = n(),
MeanRuntimeSec = mean(MeanRuntimeSec, na.rm = TRUE),
.groups = "drop" ) %>%
mutate( SDCorrelation = ifelse(is.na(SDCorrelation), 0, SDCorrelation) )
readr::write_csv(cvloo_env_fold, file.path(tables_dir, "prediction_cv0_cv00_by_rep_fold_env.csv"))
readr::write_csv(cvloo_rep_summary, file.path(tables_dir, "prediction_cv0_cv00_by_run.csv"))
readr::write_csv(cvloo_summary, file.path(tables_dir, "prediction_cv0_cv00_summary.csv"))
The summary tables describe model performance, but they do not yet
answer the comparative questions that motivated the reduced pipeline.
Those questions require derived contrasts, especially between models
without and with W, and between different kernel families
within the same pathway.
The tables built in this section reorganize the summaries into analytical comparisons that are easier to interpret and easier to carry into manuscript-oriented outputs.
cv12_w_effect <- comparison_pairs %>%
left_join( cv12_summary %>% select(Trait, CV, Model, MeanCorrelation, SDCorrelation),
by = c("WithoutW" = "Model") ) %>%
rename( MeanWithoutW = MeanCorrelation, SDWithoutW = SDCorrelation ) %>%
left_join( cv12_summary %>% select(Trait, CV, Model, MeanCorrelation, SDCorrelation),
by = c("WithW" = "Model", "Trait", "CV") ) %>%
rename( MeanWithW = MeanCorrelation, SDWithW = SDCorrelation ) %>%
mutate( DeltaWithW = MeanWithW - MeanWithoutW ) %>%
arrange(Trait, CV, Comparison)
cvloo_w_effect <- comparison_pairs %>%
left_join( cvloo_summary %>% select(Trait, CV, Env_leave, Model, MeanCorrelation, SDCorrelation),
by = c("WithoutW" = "Model") ) %>%
rename( MeanWithoutW = MeanCorrelation, SDWithoutW = SDCorrelation ) %>%
left_join( cvloo_summary %>% select(Trait, CV, Env_leave, Model, MeanCorrelation, SDCorrelation),
by = c("WithW" = "Model", "Trait", "CV", "Env_leave") ) %>%
rename( MeanWithW = MeanCorrelation, SDWithW = SDCorrelation ) %>%
mutate( DeltaWithW = MeanWithW - MeanWithoutW ) %>%
arrange(Trait, CV, Env_leave, Comparison)
cv12_kernel_family_compare <- cv12_summary %>%
select(Trait, CV, Pathway, WeatherStatus, KernelFamily, MeanCorrelation) %>%
pivot_wider(names_from = KernelFamily, values_from = MeanCorrelation) %>%
mutate( Delta_Gaussian_vs_Linear = Gaussian - Linear,
Delta_ArcCos_vs_Linear = `Arc-cosine` - Linear,
Delta_ArcCos_vs_Gaussian = `Arc-cosine` - Gaussian ) %>%
arrange(Trait, CV, Pathway, WeatherStatus)
cvloo_kernel_family_compare <- cvloo_summary %>%
select(Trait, CV, Env_leave, Pathway, WeatherStatus, KernelFamily, MeanCorrelation) %>%
pivot_wider(names_from = KernelFamily, values_from = MeanCorrelation) %>%
mutate( Delta_Gaussian_vs_Linear = Gaussian - Linear,
Delta_ArcCos_vs_Linear = `Arc-cosine` - Linear,
Delta_ArcCos_vs_Gaussian = `Arc-cosine` - Gaussian ) %>%
arrange(Trait, CV, Env_leave, Pathway, WeatherStatus)
readr::write_csv(cv12_w_effect, file.path(tables_dir, "prediction_cv1_cv2_w_effect_pairs.csv"))
readr::write_csv(cvloo_w_effect, file.path(tables_dir, "prediction_cv0_cv00_w_effect_pairs.csv"))
readr::write_csv(cv12_kernel_family_compare,
file.path(tables_dir, "prediction_cv1_cv2_kernel_family_compare.csv"))
readr::write_csv(cvloo_kernel_family_compare,
file.path(tables_dir, "prediction_cv0_cv00_kernel_family_compare.csv"))
The full summaries are useful for traceability, but they are often too dense for quick inspection. For that reason, this stage also produces compact display tables that preserve the main analytical information while making the results easier to read in reports, supplementary material, or classroom discussion.
These reduced tables are especially useful when the reader wants to compare pathways, kernel families, or the relative position of the best-performing models without scanning the full outputs.
cv12_table_display <- cv12_summary %>%
arrange(Trait, CV, Pathway, KernelFamily, WeatherStatus) %>%
mutate( MeanCorrelation = round(MeanCorrelation, 3),
SDCorrelation = round(SDCorrelation, 3),
MeanRuntimeSec = round(MeanRuntimeSec, 2) ) %>%
select( Trait,
CV,
Pathway,
KernelFamily,
WeatherStatus,
ShortDescription,
MeanCorrelation,
SDCorrelation,
NumberOfRepetitions,
MeanRuntimeSec )
cvloo_table_display <- cvloo_summary %>%
arrange(Trait, CV, Env_leave, Pathway, KernelFamily, WeatherStatus) %>%
mutate( MeanCorrelation = round(MeanCorrelation, 3),
SDCorrelation = round(SDCorrelation, 3),
MeanRuntimeSec = round(MeanRuntimeSec, 2) ) %>%
select( Trait,
CV,
Env_leave,
Pathway,
KernelFamily,
WeatherStatus,
ShortDescription,
MeanCorrelation,
SDCorrelation,
NumberOfRuns,
MeanRuntimeSec )
cv12_top3 <- cv12_summary %>%
group_by(Trait, CV) %>%
slice_max(order_by = MeanCorrelation, n = 3, with_ties = FALSE) %>%
ungroup() %>%
mutate( MeanCorrelation = round(MeanCorrelation, 3), SDCorrelation = round(SDCorrelation, 3) ) %>%
select(Trait, CV, ShortDescription, MeanCorrelation, SDCorrelation)
cvloo_top3 <- cvloo_summary %>%
group_by(Trait, CV, Env_leave) %>%
slice_max(order_by = MeanCorrelation, n = 3, with_ties = FALSE) %>%
ungroup() %>%
mutate( MeanCorrelation = round(MeanCorrelation, 3), SDCorrelation = round(SDCorrelation, 3) ) %>%
select(Trait, CV, Env_leave, ShortDescription, MeanCorrelation, SDCorrelation)
readr::write_csv(cv12_table_display, file.path(tables_dir, "prediction_cv1_cv2_display_table.csv"))
readr::write_csv(cvloo_table_display, file.path(tables_dir, "prediction_cv0_cv00_display_table.csv"))
readr::write_csv(cv12_top3, file.path(tables_dir, "prediction_cv1_cv2_top3.csv"))
readr::write_csv(cvloo_top3, file.path(tables_dir, "prediction_cv0_cv00_top3.csv"))
A compact ranking is often the easiest way to communicate the strongest results of a prediction study. The Top-3 tables below identify the best-performing models within each validation setting and help the reader quickly see which pathways dominate under each prediction problem.
The first table focuses on CV1 and CV2,
where the challenge is defined around new or partially observed
genotypes.
cv12_top3 %>%
knitr::kable( caption = "Top 3 models for each trait and validation scheme in CV1 and CV2.",
align = "llccc" ) %>%
kableExtra::kable_styling( bootstrap_options = c("striped", "hover", "condensed", "responsive"),
full_width = FALSE,
position = "left" )
| Trait | CV | ShortDescription | MeanCorrelation | SDCorrelation |
|---|---|---|---|---|
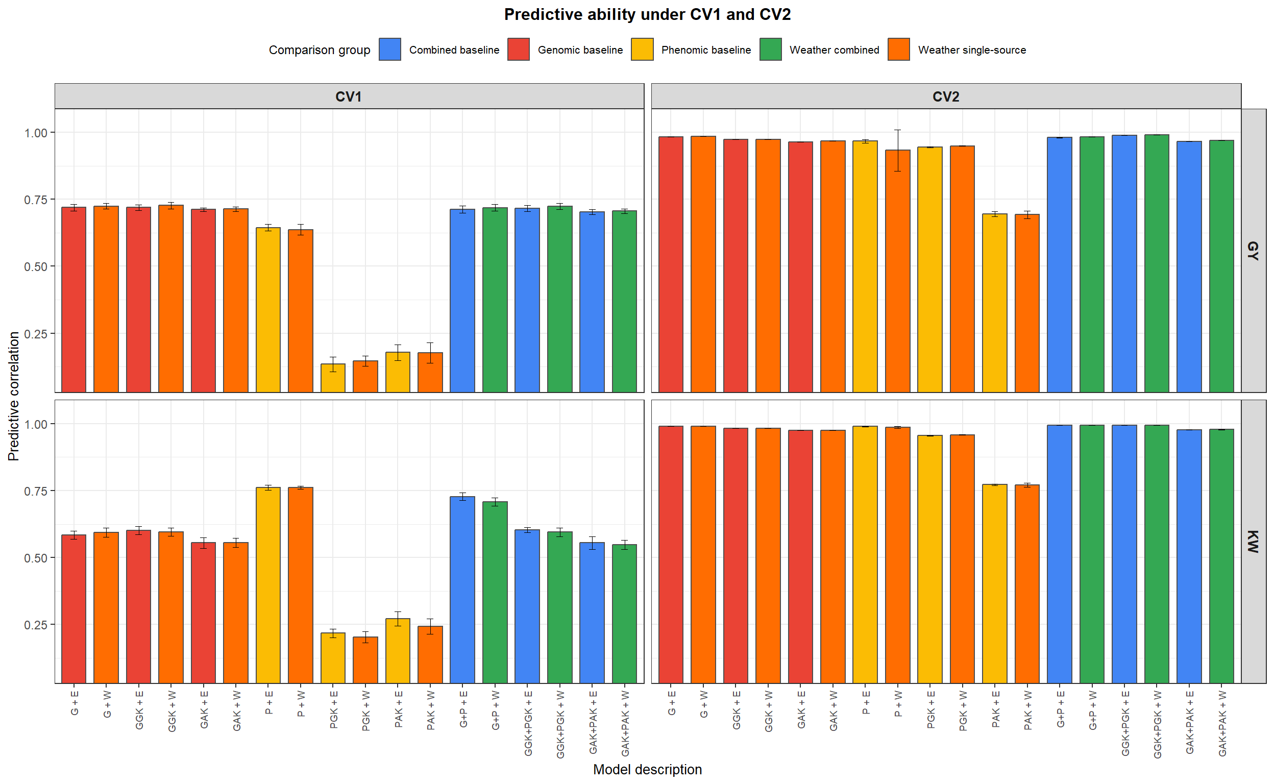
| GY | CV1 | GGK + W | 0.727 | 0.012 |
| GY | CV1 | G + W | 0.725 | 0.011 |
| GY | CV1 | GGK+PGK + W | 0.723 | 0.011 |
| GY | CV2 | GGK+PGK + W | 0.991 | 0.000 |
| GY | CV2 | GGK+PGK + E | 0.989 | 0.000 |
| GY | CV2 | G + W | 0.984 | 0.000 |
| KW | CV1 | P + E | 0.762 | 0.010 |
| KW | CV1 | P + W | 0.761 | 0.005 |
| KW | CV1 | G+P + E | 0.728 | 0.015 |
| KW | CV2 | G+P + W | 0.994 | 0.001 |
| KW | CV2 | GGK+PGK + W | 0.994 | 0.000 |
| KW | CV2 | G+P + E | 0.994 | 0.000 |
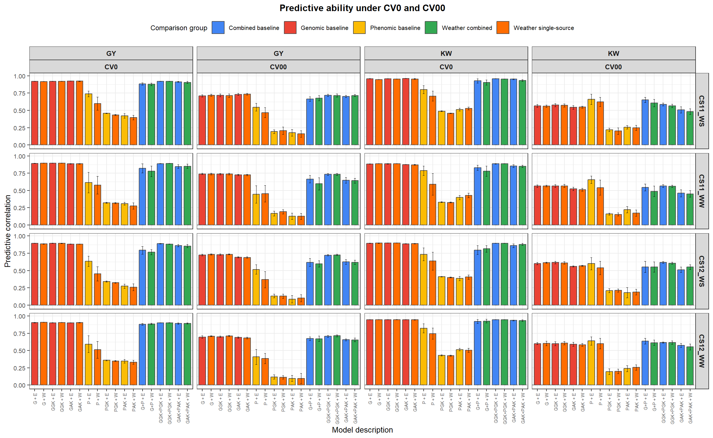
The second table focuses on CV0 and CV00,
where performance is also conditioned by the held-out environment.
cvloo_top3 %>%
knitr::kable( caption = "Top 3 models for each trait, validation scheme, and held-out environment in CV0 and CV00.",
align = "lllccc" ) %>%
kableExtra::kable_styling( bootstrap_options = c("striped", "hover", "condensed", "responsive"),
full_width = FALSE,
position = "left" )
| Trait | CV | Env_leave | ShortDescription | MeanCorrelation | SDCorrelation |
|---|---|---|---|---|---|
| GY | CV0 | CS11_WS | GAK + E | 0.926 | 0.000 |
| GY | CV0 | CS11_WS | GAK + W | 0.924 | 0.003 |
| GY | CV0 | CS11_WS | GGK + E | 0.923 | 0.000 |
| GY | CV0 | CS11_WW | GGK + W | 0.896 | 0.000 |
| GY | CV0 | CS11_WW | G + W | 0.896 | 0.000 |
| GY | CV0 | CS11_WW | GGK + E | 0.894 | 0.001 |
| GY | CV0 | CS12_WS | GGK + E | 0.896 | 0.001 |
| GY | CV0 | CS12_WS | G + E | 0.894 | 0.001 |
| GY | CV0 | CS12_WS | GGK + W | 0.893 | 0.001 |
| GY | CV0 | CS12_WW | G + W | 0.909 | 0.000 |
| GY | CV0 | CS12_WW | GGK + W | 0.907 | 0.000 |
| GY | CV0 | CS12_WW | G + E | 0.904 | 0.001 |
| GY | CV00 | CS11_WS | GAK + W | 0.735 | 0.014 |
| GY | CV00 | CS11_WS | GAK + E | 0.732 | 0.013 |
| GY | CV00 | CS11_WS | G + W | 0.720 | 0.016 |
| GY | CV00 | CS11_WW | G + E | 0.741 | 0.010 |
| GY | CV00 | CS11_WW | GGK + W | 0.740 | 0.013 |
| GY | CV00 | CS11_WW | G + W | 0.738 | 0.012 |
| GY | CV00 | CS12_WS | GGK + W | 0.734 | 0.007 |
| GY | CV00 | CS12_WS | G + W | 0.733 | 0.007 |
| GY | CV00 | CS12_WS | GGK + E | 0.730 | 0.011 |
| GY | CV00 | CS12_WW | GGK+PGK + W | 0.714 | 0.013 |
| GY | CV00 | CS12_WW | GGK + W | 0.713 | 0.009 |
| GY | CV00 | CS12_WW | G + W | 0.710 | 0.008 |
| KW | CV0 | CS11_WS | GAK + E | 0.961 | 0.000 |
| KW | CV0 | CS11_WS | GGK + E | 0.960 | 0.000 |
| KW | CV0 | CS11_WS | G + E | 0.960 | 0.000 |
| KW | CV0 | CS11_WW | G + W | 0.889 | 0.000 |
| KW | CV0 | CS11_WW | GGK+PGK + W | 0.888 | 0.001 |
| KW | CV0 | CS11_WW | GGK + W | 0.887 | 0.001 |
| KW | CV0 | CS12_WS | GGK + W | 0.899 | 0.001 |
| KW | CV0 | CS12_WS | GGK + E | 0.898 | 0.001 |
| KW | CV0 | CS12_WS | G + W | 0.897 | 0.001 |
| KW | CV0 | CS12_WW | GGK + W | 0.949 | 0.000 |
| KW | CV0 | CS12_WW | GGK+PGK + W | 0.948 | 0.000 |
| KW | CV0 | CS12_WW | G + W | 0.948 | 0.000 |
| KW | CV00 | CS11_WS | P + E | 0.662 | 0.074 |
| KW | CV00 | CS11_WS | G+P + E | 0.654 | 0.036 |
| KW | CV00 | CS11_WS | P + W | 0.624 | 0.068 |
| KW | CV00 | CS11_WW | P + E | 0.656 | 0.054 |
| KW | CV00 | CS11_WW | GGK + W | 0.567 | 0.023 |
| KW | CV00 | CS11_WW | GGK+PGK + E | 0.566 | 0.021 |
| KW | CV00 | CS12_WS | GGK+PGK + E | 0.619 | 0.013 |
| KW | CV00 | CS12_WS | GGK + E | 0.616 | 0.017 |
| KW | CV00 | CS12_WS | G + W | 0.613 | 0.009 |
| KW | CV00 | CS12_WW | P + E | 0.640 | 0.061 |
| KW | CV00 | CS12_WW | G+P + E | 0.636 | 0.041 |
| KW | CV00 | CS12_WW | GGK+PGK + E | 0.617 | 0.010 |
These tables isolate one of the main scientific questions of the project: whether adding weather information improves prediction. Because the comparisons are defined through carefully matched model pairs, the resulting contrasts are easier to interpret than raw model-by-model inspection.
The first table presents the effect of adding W under
CV1 and CV2.
cv12_w_effect %>%
mutate( MeanWithoutW = round(MeanWithoutW, 3),
MeanWithW = round(MeanWithW, 3),
DeltaWithW = round(DeltaWithW, 3) ) %>%
knitr::kable( caption = "Pairwise comparison of models without and with the weather kernel (W) in CV1 and CV2.",
align = "lllccccc" ) %>%
kableExtra::kable_styling( bootstrap_options = c("striped", "hover", "condensed", "responsive"),
full_width = FALSE,
position = "left" ) %>%
kableExtra::scroll_box(width = "100%", height = "320px")
| Comparison | WithoutW | WithW | Trait | CV | MeanWithoutW | SDWithoutW | MeanWithW | SDWithW | DeltaWithW |
|---|---|---|---|---|---|---|---|---|---|
| Combined Gaussian | Eta8 | Eta15 | GY | CV1 | 0.717 | 0.0117158 | 0.723 | 0.0112130 | 0.006 |
| Combined arc-cosine | Eta9 | Eta18 | GY | CV1 | 0.703 | 0.0100091 | 0.706 | 0.0087728 | 0.003 |
| Combined linear | Eta7 | Eta12 | GY | CV1 | 0.713 | 0.0134212 | 0.719 | 0.0124435 | 0.006 |
| Genomic Gaussian | Eta3 | Eta13 | GY | CV1 | 0.719 | 0.0106337 | 0.727 | 0.0120687 | 0.008 |
| Genomic arc-cosine | Eta5 | Eta16 | GY | CV1 | 0.711 | 0.0065960 | 0.714 | 0.0083470 | 0.002 |
| Genomic linear | Eta1 | Eta10 | GY | CV1 | 0.719 | 0.0128201 | 0.725 | 0.0109925 | 0.005 |
| Phenomic Gaussian | Eta4 | Eta14 | GY | CV1 | 0.134 | 0.0274657 | 0.147 | 0.0191283 | 0.013 |
| Phenomic arc-cosine | Eta6 | Eta17 | GY | CV1 | 0.178 | 0.0296188 | 0.177 | 0.0380569 | -0.001 |
| Phenomic linear | Eta2 | Eta11 | GY | CV1 | 0.645 | 0.0121966 | 0.637 | 0.0196734 | -0.008 |
| Combined Gaussian | Eta8 | Eta15 | GY | CV2 | 0.989 | 0.0001216 | 0.991 | 0.0000983 | 0.002 |
| Combined arc-cosine | Eta9 | Eta18 | GY | CV2 | 0.966 | 0.0004052 | 0.970 | 0.0005673 | 0.004 |
| Combined linear | Eta7 | Eta12 | GY | CV2 | 0.980 | 0.0002151 | 0.982 | 0.0001190 | 0.002 |
| Genomic Gaussian | Eta3 | Eta13 | GY | CV2 | 0.973 | 0.0001704 | 0.974 | 0.0001302 | 0.001 |
| Genomic arc-cosine | Eta5 | Eta16 | GY | CV2 | 0.964 | 0.0005435 | 0.968 | 0.0003975 | 0.004 |
| Genomic linear | Eta1 | Eta10 | GY | CV2 | 0.982 | 0.0001184 | 0.984 | 0.0001054 | 0.002 |
| Phenomic Gaussian | Eta4 | Eta14 | GY | CV2 | 0.945 | 0.0015159 | 0.949 | 0.0012284 | 0.004 |
| Phenomic arc-cosine | Eta6 | Eta17 | GY | CV2 | 0.695 | 0.0090873 | 0.692 | 0.0137389 | -0.003 |
| Phenomic linear | Eta2 | Eta11 | GY | CV2 | 0.967 | 0.0067725 | 0.933 | 0.0773312 | -0.034 |
| Combined Gaussian | Eta8 | Eta15 | KW | CV1 | 0.603 | 0.0099057 | 0.595 | 0.0156243 | -0.008 |
| Combined arc-cosine | Eta9 | Eta18 | KW | CV1 | 0.555 | 0.0239686 | 0.548 | 0.0173955 | -0.007 |
| Combined linear | Eta7 | Eta12 | KW | CV1 | 0.728 | 0.0145741 | 0.708 | 0.0150303 | -0.019 |
| Genomic Gaussian | Eta3 | Eta13 | KW | CV1 | 0.602 | 0.0147757 | 0.595 | 0.0149952 | -0.006 |
| Genomic arc-cosine | Eta5 | Eta16 | KW | CV1 | 0.555 | 0.0199137 | 0.555 | 0.0168190 | 0.000 |
| Genomic linear | Eta1 | Eta10 | KW | CV1 | 0.585 | 0.0151765 | 0.594 | 0.0179071 | 0.009 |
| Phenomic Gaussian | Eta4 | Eta14 | KW | CV1 | 0.218 | 0.0160546 | 0.203 | 0.0203866 | -0.015 |
| Phenomic arc-cosine | Eta6 | Eta17 | KW | CV1 | 0.271 | 0.0271355 | 0.243 | 0.0285264 | -0.028 |
| Phenomic linear | Eta2 | Eta11 | KW | CV1 | 0.762 | 0.0099625 | 0.761 | 0.0053242 | 0.000 |
| Combined Gaussian | Eta8 | Eta15 | KW | CV2 | 0.993 | 0.0000316 | 0.994 | 0.0000388 | 0.001 |
| Combined arc-cosine | Eta9 | Eta18 | KW | CV2 | 0.977 | 0.0002182 | 0.978 | 0.0008926 | 0.001 |
| Combined linear | Eta7 | Eta12 | KW | CV2 | 0.994 | 0.0002515 | 0.994 | 0.0005010 | 0.000 |
| Genomic Gaussian | Eta3 | Eta13 | KW | CV2 | 0.982 | 0.0001168 | 0.983 | 0.0001170 | 0.001 |
| Genomic arc-cosine | Eta5 | Eta16 | KW | CV2 | 0.974 | 0.0001071 | 0.975 | 0.0003408 | 0.001 |
| Genomic linear | Eta1 | Eta10 | KW | CV2 | 0.989 | 0.0000573 | 0.990 | 0.0000506 | 0.001 |
| Phenomic Gaussian | Eta4 | Eta14 | KW | CV2 | 0.955 | 0.0008444 | 0.958 | 0.0010135 | 0.003 |
| Phenomic arc-cosine | Eta6 | Eta17 | KW | CV2 | 0.772 | 0.0028779 | 0.771 | 0.0079429 | -0.001 |
| Phenomic linear | Eta2 | Eta11 | KW | CV2 | 0.989 | 0.0011764 | 0.986 | 0.0042936 | -0.003 |
The second table presents the same type of contrast under
CV0 and CV00, where generalization to new
environments becomes part of the prediction problem.
cvloo_w_effect %>%
mutate( MeanWithoutW = round(MeanWithoutW, 3),
MeanWithW = round(MeanWithW, 3),
DeltaWithW = round(DeltaWithW, 3) ) %>%
knitr::kable( caption = "Pairwise comparison of models without and with the weather kernel (W) in CV0 and CV00.",
align = "llllccccc" ) %>%
kableExtra::kable_styling( bootstrap_options = c("striped", "hover", "condensed", "responsive"),
full_width = FALSE,
position = "left" ) %>%
kableExtra::scroll_box(width = "100%", height = "320px")
| Comparison | WithoutW | WithW | Trait | CV | Env_leave | MeanWithoutW | SDWithoutW | MeanWithW | SDWithW | DeltaWithW |
|---|---|---|---|---|---|---|---|---|---|---|
| Combined Gaussian | Eta8 | Eta15 | GY | CV0 | CS11_WS | 0.922 | 0.0006408 | 0.921 | 0.0005517 | -0.001 |
| Combined arc-cosine | Eta9 | Eta18 | GY | CV0 | CS11_WS | 0.915 | 0.0064663 | 0.906 | 0.0159762 | -0.008 |
| Combined linear | Eta7 | Eta12 | GY | CV0 | CS11_WS | 0.884 | 0.0160582 | 0.878 | 0.0198771 | -0.006 |
| Genomic Gaussian | Eta3 | Eta13 | GY | CV0 | CS11_WS | 0.923 | 0.0004691 | 0.922 | 0.0003833 | 0.000 |
| Genomic arc-cosine | Eta5 | Eta16 | GY | CV0 | CS11_WS | 0.926 | 0.0002212 | 0.924 | 0.0031137 | -0.001 |
| Genomic linear | Eta1 | Eta10 | GY | CV0 | CS11_WS | 0.921 | 0.0005552 | 0.916 | 0.0004999 | -0.005 |
| Phenomic Gaussian | Eta4 | Eta14 | GY | CV0 | CS11_WS | 0.460 | 0.0046790 | 0.434 | 0.0085978 | -0.026 |
| Phenomic arc-cosine | Eta6 | Eta17 | GY | CV0 | CS11_WS | 0.421 | 0.0327846 | 0.398 | 0.0327840 | -0.022 |
| Phenomic linear | Eta2 | Eta11 | GY | CV0 | CS11_WS | 0.740 | 0.0417897 | 0.600 | 0.0937367 | -0.140 |
| Combined Gaussian | Eta8 | Eta15 | GY | CV0 | CS11_WW | 0.889 | 0.0007587 | 0.891 | 0.0012022 | 0.002 |
| Combined arc-cosine | Eta9 | Eta18 | GY | CV0 | CS11_WW | 0.848 | 0.0282177 | 0.850 | 0.0307368 | 0.003 |
| Combined linear | Eta7 | Eta12 | GY | CV0 | CS11_WW | 0.822 | 0.0652425 | 0.778 | 0.0747105 | -0.043 |
| Genomic Gaussian | Eta3 | Eta13 | GY | CV0 | CS11_WW | 0.894 | 0.0005965 | 0.896 | 0.0004316 | 0.002 |
| Genomic arc-cosine | Eta5 | Eta16 | GY | CV0 | CS11_WW | 0.885 | 0.0005851 | 0.886 | 0.0031297 | 0.000 |
| Genomic linear | Eta1 | Eta10 | GY | CV0 | CS11_WW | 0.893 | 0.0005283 | 0.896 | 0.0004761 | 0.002 |
| Phenomic Gaussian | Eta4 | Eta14 | GY | CV0 | CS11_WW | 0.323 | 0.0079081 | 0.318 | 0.0074471 | -0.005 |
| Phenomic arc-cosine | Eta6 | Eta17 | GY | CV0 | CS11_WW | 0.310 | 0.0198619 | 0.275 | 0.0443295 | -0.034 |
| Phenomic linear | Eta2 | Eta11 | GY | CV0 | CS11_WW | 0.615 | 0.1492622 | 0.578 | 0.1292014 | -0.038 |
| Combined Gaussian | Eta8 | Eta15 | GY | CV0 | CS12_WS | 0.889 | 0.0008715 | 0.884 | 0.0007198 | -0.005 |
| Combined arc-cosine | Eta9 | Eta18 | GY | CV0 | CS12_WS | 0.861 | 0.0164014 | 0.855 | 0.0214819 | -0.006 |
| Combined linear | Eta7 | Eta12 | GY | CV0 | CS12_WS | 0.794 | 0.0574106 | 0.765 | 0.0375478 | -0.029 |
| Genomic Gaussian | Eta3 | Eta13 | GY | CV0 | CS12_WS | 0.896 | 0.0007279 | 0.893 | 0.0011026 | -0.003 |
| Genomic arc-cosine | Eta5 | Eta16 | GY | CV0 | CS12_WS | 0.884 | 0.0006309 | 0.883 | 0.0006255 | 0.000 |
| Genomic linear | Eta1 | Eta10 | GY | CV0 | CS12_WS | 0.894 | 0.0011375 | 0.885 | 0.0006739 | -0.010 |
| Phenomic Gaussian | Eta4 | Eta14 | GY | CV0 | CS12_WS | 0.342 | 0.0078015 | 0.323 | 0.0078257 | -0.020 |
| Phenomic arc-cosine | Eta6 | Eta17 | GY | CV0 | CS12_WS | 0.273 | 0.0322555 | 0.257 | 0.0491397 | -0.016 |
| Phenomic linear | Eta2 | Eta11 | GY | CV0 | CS12_WS | 0.634 | 0.0757856 | 0.454 | 0.1025718 | -0.180 |
| Combined Gaussian | Eta8 | Eta15 | GY | CV0 | CS12_WW | 0.902 | 0.0005695 | 0.904 | 0.0004415 | 0.002 |
| Combined arc-cosine | Eta9 | Eta18 | GY | CV0 | CS12_WW | 0.892 | 0.0095946 | 0.894 | 0.0083430 | 0.003 |
| Combined linear | Eta7 | Eta12 | GY | CV0 | CS12_WW | 0.881 | 0.0134864 | 0.887 | 0.0098103 | 0.006 |
| Genomic Gaussian | Eta3 | Eta13 | GY | CV0 | CS12_WW | 0.904 | 0.0004100 | 0.907 | 0.0004159 | 0.004 |
| Genomic arc-cosine | Eta5 | Eta16 | GY | CV0 | CS12_WW | 0.902 | 0.0004584 | 0.904 | 0.0005408 | 0.002 |
| Genomic linear | Eta1 | Eta10 | GY | CV0 | CS12_WW | 0.904 | 0.0005270 | 0.909 | 0.0004207 | 0.005 |
| Phenomic Gaussian | Eta4 | Eta14 | GY | CV0 | CS12_WW | 0.359 | 0.0074689 | 0.350 | 0.0064624 | -0.009 |
| Phenomic arc-cosine | Eta6 | Eta17 | GY | CV0 | CS12_WW | 0.347 | 0.0265095 | 0.332 | 0.0285925 | -0.015 |
| Phenomic linear | Eta2 | Eta11 | GY | CV0 | CS12_WW | 0.592 | 0.1219799 | 0.512 | 0.1222827 | -0.081 |
| Combined Gaussian | Eta8 | Eta15 | GY | CV00 | CS11_WS | 0.719 | 0.0156232 | 0.716 | 0.0232356 | -0.003 |
| Combined arc-cosine | Eta9 | Eta18 | GY | CV00 | CS11_WS | 0.702 | 0.0164750 | 0.715 | 0.0144928 | 0.014 |
| Combined linear | Eta7 | Eta12 | GY | CV00 | CS11_WS | 0.666 | 0.0336890 | 0.677 | 0.0357095 | 0.011 |
| Genomic Gaussian | Eta3 | Eta13 | GY | CV00 | CS11_WS | 0.717 | 0.0210367 | 0.716 | 0.0249825 | -0.002 |
| Genomic arc-cosine | Eta5 | Eta16 | GY | CV00 | CS11_WS | 0.732 | 0.0133004 | 0.735 | 0.0139247 | 0.003 |
| Genomic linear | Eta1 | Eta10 | GY | CV00 | CS11_WS | 0.710 | 0.0164292 | 0.720 | 0.0158158 | 0.011 |
| Phenomic Gaussian | Eta4 | Eta14 | GY | CV00 | CS11_WS | 0.192 | 0.0265772 | 0.207 | 0.0534662 | 0.014 |
| Phenomic arc-cosine | Eta6 | Eta17 | GY | CV00 | CS11_WS | 0.176 | 0.0470906 | 0.160 | 0.0463932 | -0.017 |
| Phenomic linear | Eta2 | Eta11 | GY | CV00 | CS11_WS | 0.547 | 0.0547123 | 0.468 | 0.0727954 | -0.079 |
| Combined Gaussian | Eta8 | Eta15 | GY | CV00 | CS11_WW | 0.734 | 0.0147333 | 0.734 | 0.0146172 | 0.000 |
| Combined arc-cosine | Eta9 | Eta18 | GY | CV00 | CS11_WW | 0.648 | 0.0420356 | 0.643 | 0.0355772 | -0.005 |
| Combined linear | Eta7 | Eta12 | GY | CV00 | CS11_WW | 0.664 | 0.0551344 | 0.597 | 0.0889922 | -0.067 |
| Genomic Gaussian | Eta3 | Eta13 | GY | CV00 | CS11_WW | 0.738 | 0.0106728 | 0.740 | 0.0125027 | 0.003 |
| Genomic arc-cosine | Eta5 | Eta16 | GY | CV00 | CS11_WW | 0.724 | 0.0092225 | 0.725 | 0.0099241 | 0.000 |
| Genomic linear | Eta1 | Eta10 | GY | CV00 | CS11_WW | 0.741 | 0.0102739 | 0.738 | 0.0121891 | -0.002 |
| Phenomic Gaussian | Eta4 | Eta14 | GY | CV00 | CS11_WW | 0.167 | 0.0334714 | 0.192 | 0.0319594 | 0.025 |
| Phenomic arc-cosine | Eta6 | Eta17 | GY | CV00 | CS11_WW | 0.128 | 0.0454014 | 0.126 | 0.0436496 | -0.002 |
| Phenomic linear | Eta2 | Eta11 | GY | CV00 | CS11_WW | 0.444 | 0.1253345 | 0.453 | 0.1196363 | 0.009 |
| Combined Gaussian | Eta8 | Eta15 | GY | CV00 | CS12_WS | 0.722 | 0.0106525 | 0.727 | 0.0110813 | 0.005 |
| Combined arc-cosine | Eta9 | Eta18 | GY | CV00 | CS12_WS | 0.624 | 0.0366770 | 0.620 | 0.0290091 | -0.004 |
| Combined linear | Eta7 | Eta12 | GY | CV00 | CS12_WS | 0.617 | 0.0577406 | 0.598 | 0.0459783 | -0.019 |
| Genomic Gaussian | Eta3 | Eta13 | GY | CV00 | CS12_WS | 0.730 | 0.0105024 | 0.734 | 0.0068753 | 0.004 |
| Genomic arc-cosine | Eta5 | Eta16 | GY | CV00 | CS12_WS | 0.693 | 0.0081952 | 0.690 | 0.0113171 | -0.003 |
| Genomic linear | Eta1 | Eta10 | GY | CV00 | CS12_WS | 0.725 | 0.0120592 | 0.733 | 0.0073064 | 0.008 |
| Phenomic Gaussian | Eta4 | Eta14 | GY | CV00 | CS12_WS | 0.132 | 0.0265251 | 0.129 | 0.0316274 | -0.003 |
| Phenomic arc-cosine | Eta6 | Eta17 | GY | CV00 | CS12_WS | 0.086 | 0.0531555 | 0.101 | 0.0517042 | 0.015 |
| Phenomic linear | Eta2 | Eta11 | GY | CV00 | CS12_WS | 0.517 | 0.0691137 | 0.369 | 0.1174927 | -0.148 |
| Combined Gaussian | Eta8 | Eta15 | GY | CV00 | CS12_WW | 0.706 | 0.0153052 | 0.714 | 0.0127669 | 0.008 |
| Combined arc-cosine | Eta9 | Eta18 | GY | CV00 | CS12_WW | 0.656 | 0.0155661 | 0.656 | 0.0259759 | 0.000 |
| Combined linear | Eta7 | Eta12 | GY | CV00 | CS12_WW | 0.674 | 0.0268594 | 0.672 | 0.0388784 | -0.001 |
| Genomic Gaussian | Eta3 | Eta13 | GY | CV00 | CS12_WW | 0.701 | 0.0098703 | 0.713 | 0.0086880 | 0.012 |
| Genomic arc-cosine | Eta5 | Eta16 | GY | CV00 | CS12_WW | 0.691 | 0.0100686 | 0.682 | 0.0124059 | -0.008 |
| Genomic linear | Eta1 | Eta10 | GY | CV00 | CS12_WW | 0.696 | 0.0179032 | 0.710 | 0.0075409 | 0.013 |
| Phenomic Gaussian | Eta4 | Eta14 | GY | CV00 | CS12_WW | 0.119 | 0.0317911 | 0.114 | 0.0242938 | -0.005 |
| Phenomic arc-cosine | Eta6 | Eta17 | GY | CV00 | CS12_WW | 0.098 | 0.0427283 | 0.096 | 0.0740510 | -0.002 |
| Phenomic linear | Eta2 | Eta11 | GY | CV00 | CS12_WW | 0.410 | 0.1100689 | 0.386 | 0.0734259 | -0.024 |
| Combined Gaussian | Eta8 | Eta15 | KW | CV0 | CS11_WS | 0.959 | 0.0004251 | 0.955 | 0.0004242 | -0.004 |
| Combined arc-cosine | Eta9 | Eta18 | KW | CV0 | CS11_WS | 0.952 | 0.0060164 | 0.934 | 0.0117906 | -0.018 |
| Combined linear | Eta7 | Eta12 | KW | CV0 | CS11_WS | 0.928 | 0.0303599 | 0.904 | 0.0373431 | -0.025 |
| Genomic Gaussian | Eta3 | Eta13 | KW | CV0 | CS11_WS | 0.960 | 0.0001845 | 0.953 | 0.0003107 | -0.008 |
| Genomic arc-cosine | Eta5 | Eta16 | KW | CV0 | CS11_WS | 0.961 | 0.0001712 | 0.955 | 0.0059577 | -0.006 |
| Genomic linear | Eta1 | Eta10 | KW | CV0 | CS11_WS | 0.960 | 0.0003318 | 0.945 | 0.0003220 | -0.015 |
| Phenomic Gaussian | Eta4 | Eta14 | KW | CV0 | CS11_WS | 0.488 | 0.0064600 | 0.459 | 0.0053104 | -0.029 |
| Phenomic arc-cosine | Eta6 | Eta17 | KW | CV0 | CS11_WS | 0.514 | 0.0207448 | 0.529 | 0.0219561 | 0.015 |
| Phenomic linear | Eta2 | Eta11 | KW | CV0 | CS11_WS | 0.800 | 0.0569121 | 0.708 | 0.0720481 | -0.093 |
| Combined Gaussian | Eta8 | Eta15 | KW | CV0 | CS11_WW | 0.886 | 0.0008546 | 0.888 | 0.0008502 | 0.002 |
| Combined arc-cosine | Eta9 | Eta18 | KW | CV0 | CS11_WW | 0.855 | 0.0194615 | 0.850 | 0.0175722 | -0.005 |
| Combined linear | Eta7 | Eta12 | KW | CV0 | CS11_WW | 0.829 | 0.0365791 | 0.780 | 0.0736196 | -0.048 |
| Genomic Gaussian | Eta3 | Eta13 | KW | CV0 | CS11_WW | 0.885 | 0.0011692 | 0.887 | 0.0010117 | 0.002 |
| Genomic arc-cosine | Eta5 | Eta16 | KW | CV0 | CS11_WW | 0.874 | 0.0006841 | 0.873 | 0.0064145 | -0.002 |
| Genomic linear | Eta1 | Eta10 | KW | CV0 | CS11_WW | 0.885 | 0.0011861 | 0.889 | 0.0003511 | 0.004 |
| Phenomic Gaussian | Eta4 | Eta14 | KW | CV0 | CS11_WW | 0.331 | 0.0051097 | 0.327 | 0.0063766 | -0.004 |
| Phenomic arc-cosine | Eta6 | Eta17 | KW | CV0 | CS11_WW | 0.399 | 0.0311944 | 0.429 | 0.0314922 | 0.029 |
| Phenomic linear | Eta2 | Eta11 | KW | CV0 | CS11_WW | 0.787 | 0.0671637 | 0.591 | 0.1578071 | -0.196 |
| Combined Gaussian | Eta8 | Eta15 | KW | CV0 | CS12_WS | 0.894 | 0.0011841 | 0.894 | 0.0009434 | 0.001 |
| Combined arc-cosine | Eta9 | Eta18 | KW | CV0 | CS12_WS | 0.860 | 0.0250670 | 0.880 | 0.0136477 | 0.020 |
| Combined linear | Eta7 | Eta12 | KW | CV0 | CS12_WS | 0.797 | 0.0640268 | 0.816 | 0.0478818 | 0.018 |
| Genomic Gaussian | Eta3 | Eta13 | KW | CV0 | CS12_WS | 0.898 | 0.0011057 | 0.899 | 0.0005593 | 0.001 |
| Genomic arc-cosine | Eta5 | Eta16 | KW | CV0 | CS12_WS | 0.888 | 0.0005409 | 0.889 | 0.0010068 | 0.001 |
| Genomic linear | Eta1 | Eta10 | KW | CV0 | CS12_WS | 0.896 | 0.0008220 | 0.897 | 0.0010396 | 0.001 |
| Phenomic Gaussian | Eta4 | Eta14 | KW | CV0 | CS12_WS | 0.410 | 0.0043472 | 0.400 | 0.0055684 | -0.010 |
| Phenomic arc-cosine | Eta6 | Eta17 | KW | CV0 | CS12_WS | 0.385 | 0.0316524 | 0.407 | 0.0309957 | 0.022 |
| Phenomic linear | Eta2 | Eta11 | KW | CV0 | CS12_WS | 0.735 | 0.0917405 | 0.638 | 0.1303465 | -0.097 |
| Combined Gaussian | Eta8 | Eta15 | KW | CV0 | CS12_WW | 0.947 | 0.0004264 | 0.948 | 0.0003331 | 0.001 |
| Combined arc-cosine | Eta9 | Eta18 | KW | CV0 | CS12_WW | 0.938 | 0.0061385 | 0.935 | 0.0105933 | -0.003 |
| Combined linear | Eta7 | Eta12 | KW | CV0 | CS12_WW | 0.922 | 0.0305936 | 0.928 | 0.0256338 | 0.006 |
| Genomic Gaussian | Eta3 | Eta13 | KW | CV0 | CS12_WW | 0.947 | 0.0002290 | 0.949 | 0.0002453 | 0.002 |
| Genomic arc-cosine | Eta5 | Eta16 | KW | CV0 | CS12_WW | 0.947 | 0.0002183 | 0.946 | 0.0021284 | -0.001 |
| Genomic linear | Eta1 | Eta10 | KW | CV0 | CS12_WW | 0.947 | 0.0002957 | 0.948 | 0.0003126 | 0.002 |
| Phenomic Gaussian | Eta4 | Eta14 | KW | CV0 | CS12_WW | 0.431 | 0.0074450 | 0.429 | 0.0085145 | -0.003 |
| Phenomic arc-cosine | Eta6 | Eta17 | KW | CV0 | CS12_WW | 0.514 | 0.0186631 | 0.504 | 0.0290988 | -0.010 |
| Phenomic linear | Eta2 | Eta11 | KW | CV0 | CS12_WW | 0.824 | 0.0658355 | 0.746 | 0.0805916 | -0.078 |
| Combined Gaussian | Eta8 | Eta15 | KW | CV00 | CS11_WS | 0.586 | 0.0209643 | 0.566 | 0.0260974 | -0.020 |
| Combined arc-cosine | Eta9 | Eta18 | KW | CV00 | CS11_WS | 0.508 | 0.0472672 | 0.484 | 0.0409598 | -0.025 |
| Combined linear | Eta7 | Eta12 | KW | CV00 | CS11_WS | 0.654 | 0.0360532 | 0.608 | 0.0548281 | -0.045 |
| Genomic Gaussian | Eta3 | Eta13 | KW | CV00 | CS11_WS | 0.578 | 0.0220801 | 0.573 | 0.0223042 | -0.005 |
| Genomic arc-cosine | Eta5 | Eta16 | KW | CV00 | CS11_WS | 0.544 | 0.0268564 | 0.548 | 0.0163422 | 0.004 |
| Genomic linear | Eta1 | Eta10 | KW | CV00 | CS11_WS | 0.565 | 0.0200134 | 0.562 | 0.0174611 | -0.003 |
| Phenomic Gaussian | Eta4 | Eta14 | KW | CV00 | CS11_WS | 0.218 | 0.0243076 | 0.202 | 0.0472486 | -0.016 |
| Phenomic arc-cosine | Eta6 | Eta17 | KW | CV00 | CS11_WS | 0.256 | 0.0252293 | 0.249 | 0.0365030 | -0.007 |
| Phenomic linear | Eta2 | Eta11 | KW | CV00 | CS11_WS | 0.662 | 0.0743260 | 0.624 | 0.0680554 | -0.038 |
| Combined Gaussian | Eta8 | Eta15 | KW | CV00 | CS11_WW | 0.566 | 0.0212727 | 0.562 | 0.0166412 | -0.004 |
| Combined arc-cosine | Eta9 | Eta18 | KW | CV00 | CS11_WW | 0.460 | 0.0504655 | 0.451 | 0.0487862 | -0.009 |
| Combined linear | Eta7 | Eta12 | KW | CV00 | CS11_WW | 0.544 | 0.0496768 | 0.488 | 0.0776466 | -0.056 |
| Genomic Gaussian | Eta3 | Eta13 | KW | CV00 | CS11_WW | 0.565 | 0.0197142 | 0.567 | 0.0234297 | 0.002 |
| Genomic arc-cosine | Eta5 | Eta16 | KW | CV00 | CS11_WW | 0.525 | 0.0245290 | 0.511 | 0.0208822 | -0.014 |
| Genomic linear | Eta1 | Eta10 | KW | CV00 | CS11_WW | 0.563 | 0.0179097 | 0.565 | 0.0130631 | 0.002 |
| Phenomic Gaussian | Eta4 | Eta14 | KW | CV00 | CS11_WW | 0.160 | 0.0141550 | 0.153 | 0.0236371 | -0.007 |
| Phenomic arc-cosine | Eta6 | Eta17 | KW | CV00 | CS11_WW | 0.222 | 0.0454472 | 0.172 | 0.0459169 | -0.050 |
| Phenomic linear | Eta2 | Eta11 | KW | CV00 | CS11_WW | 0.656 | 0.0537020 | 0.541 | 0.1089787 | -0.115 |
| Combined Gaussian | Eta8 | Eta15 | KW | CV00 | CS12_WS | 0.619 | 0.0125596 | 0.607 | 0.0129271 | -0.012 |
| Combined arc-cosine | Eta9 | Eta18 | KW | CV00 | CS12_WS | 0.511 | 0.0392188 | 0.550 | 0.0346599 | 0.039 |
| Combined linear | Eta7 | Eta12 | KW | CV00 | CS12_WS | 0.553 | 0.0799328 | 0.552 | 0.0729139 | -0.001 |
| Genomic Gaussian | Eta3 | Eta13 | KW | CV00 | CS12_WS | 0.616 | 0.0174929 | 0.611 | 0.0169350 | -0.005 |
| Genomic arc-cosine | Eta5 | Eta16 | KW | CV00 | CS12_WS | 0.560 | 0.0085485 | 0.569 | 0.0098365 | 0.009 |
| Genomic linear | Eta1 | Eta10 | KW | CV00 | CS12_WS | 0.602 | 0.0156413 | 0.613 | 0.0088231 | 0.011 |
| Phenomic Gaussian | Eta4 | Eta14 | KW | CV00 | CS12_WS | 0.209 | 0.0273382 | 0.212 | 0.0227339 | 0.003 |
| Phenomic arc-cosine | Eta6 | Eta17 | KW | CV00 | CS12_WS | 0.180 | 0.0753962 | 0.189 | 0.0409106 | 0.009 |
| Phenomic linear | Eta2 | Eta11 | KW | CV00 | CS12_WS | 0.600 | 0.0894934 | 0.538 | 0.0973559 | -0.062 |
| Combined Gaussian | Eta8 | Eta15 | KW | CV00 | CS12_WW | 0.617 | 0.0102124 | 0.615 | 0.0248406 | -0.002 |
| Combined arc-cosine | Eta9 | Eta18 | KW | CV00 | CS12_WW | 0.576 | 0.0306078 | 0.554 | 0.0430405 | -0.022 |
| Combined linear | Eta7 | Eta12 | KW | CV00 | CS12_WW | 0.636 | 0.0411822 | 0.614 | 0.0398958 | -0.022 |
| Genomic Gaussian | Eta3 | Eta13 | KW | CV00 | CS12_WW | 0.600 | 0.0272165 | 0.609 | 0.0237787 | 0.009 |
| Genomic arc-cosine | Eta5 | Eta16 | KW | CV00 | CS12_WW | 0.591 | 0.0295687 | 0.585 | 0.0195874 | -0.006 |
| Genomic linear | Eta1 | Eta10 | KW | CV00 | CS12_WW | 0.601 | 0.0150357 | 0.603 | 0.0329311 | 0.001 |
| Phenomic Gaussian | Eta4 | Eta14 | KW | CV00 | CS12_WW | 0.197 | 0.0414129 | 0.198 | 0.0328087 | 0.002 |
| Phenomic arc-cosine | Eta6 | Eta17 | KW | CV00 | CS12_WW | 0.239 | 0.0433968 | 0.256 | 0.0392577 | 0.017 |
| Phenomic linear | Eta2 | Eta11 | KW | CV00 | CS12_WW | 0.640 | 0.0608590 | 0.602 | 0.0751970 | -0.038 |
Kernel choice is another central analytical decision in this project. Rather than treating the linear, Gaussian, and arc-cosine formulations as isolated models, this section compares them within each pathway so that the effect of kernel family can be interpreted directly.
The first table reports these comparisons for CV1 and
CV2.
cv12_kernel_family_compare %>%
mutate( Linear = round(Linear, 3),
Gaussian = round(Gaussian, 3),
`Arc-cosine` = round(`Arc-cosine`, 3),
Delta_Gaussian_vs_Linear = round(Delta_Gaussian_vs_Linear, 3),
Delta_ArcCos_vs_Linear = round(Delta_ArcCos_vs_Linear, 3),
Delta_ArcCos_vs_Gaussian = round(Delta_ArcCos_vs_Gaussian, 3) ) %>%
knitr::kable( caption = "Comparison of kernel families within each analytical pathway in CV1 and CV2.",
align = "llllcccccc" ) %>%
kableExtra::kable_styling( bootstrap_options = c("striped", "hover", "condensed", "responsive"),
full_width = FALSE,
position = "left" ) %>%
kableExtra::scroll_box(width = "100%", height = "320px")
| Trait | CV | Pathway | WeatherStatus | Linear | Gaussian | Arc-cosine | Delta_Gaussian_vs_Linear | Delta_ArcCos_vs_Linear | Delta_ArcCos_vs_Gaussian |
|---|---|---|---|---|---|---|---|---|---|
| GY | CV1 | Combined G + P pathway | With W | 0.719 | 0.723 | 0.706 | 0.004 | -0.013 | -0.017 |
| GY | CV1 | Combined G + P pathway | Without W | 0.713 | 0.717 | 0.703 | 0.004 | -0.010 | -0.014 |
| GY | CV1 | Genomic pathway | With W | 0.725 | 0.727 | 0.714 | 0.003 | -0.011 | -0.014 |
| GY | CV1 | Genomic pathway | Without W | 0.719 | 0.719 | 0.711 | 0.000 | -0.008 | -0.008 |
| GY | CV1 | Phenomic pathway | With W | 0.637 | 0.147 | 0.177 | -0.490 | -0.460 | 0.030 |
| GY | CV1 | Phenomic pathway | Without W | 0.645 | 0.134 | 0.178 | -0.510 | -0.467 | 0.043 |
| GY | CV2 | Combined G + P pathway | With W | 0.982 | 0.991 | 0.970 | 0.008 | -0.012 | -0.021 |
| GY | CV2 | Combined G + P pathway | Without W | 0.980 | 0.989 | 0.966 | 0.008 | -0.014 | -0.023 |
| GY | CV2 | Genomic pathway | With W | 0.984 | 0.974 | 0.968 | -0.010 | -0.016 | -0.006 |
| GY | CV2 | Genomic pathway | Without W | 0.982 | 0.973 | 0.964 | -0.009 | -0.019 | -0.009 |
| GY | CV2 | Phenomic pathway | With W | 0.933 | 0.949 | 0.692 | 0.016 | -0.241 | -0.257 |
| GY | CV2 | Phenomic pathway | Without W | 0.967 | 0.945 | 0.695 | -0.022 | -0.272 | -0.249 |
| KW | CV1 | Combined G + P pathway | With W | 0.708 | 0.595 | 0.548 | -0.113 | -0.160 | -0.047 |
| KW | CV1 | Combined G + P pathway | Without W | 0.728 | 0.603 | 0.555 | -0.124 | -0.173 | -0.048 |
| KW | CV1 | Genomic pathway | With W | 0.594 | 0.595 | 0.555 | 0.002 | -0.038 | -0.040 |
| KW | CV1 | Genomic pathway | Without W | 0.585 | 0.602 | 0.555 | 0.017 | -0.030 | -0.047 |
| KW | CV1 | Phenomic pathway | With W | 0.761 | 0.203 | 0.243 | -0.558 | -0.519 | 0.040 |
| KW | CV1 | Phenomic pathway | Without W | 0.762 | 0.218 | 0.271 | -0.544 | -0.491 | 0.054 |
| KW | CV2 | Combined G + P pathway | With W | 0.994 | 0.994 | 0.978 | 0.000 | -0.016 | -0.016 |
| KW | CV2 | Combined G + P pathway | Without W | 0.994 | 0.993 | 0.977 | -0.001 | -0.017 | -0.016 |
| KW | CV2 | Genomic pathway | With W | 0.990 | 0.983 | 0.975 | -0.007 | -0.015 | -0.008 |
| KW | CV2 | Genomic pathway | Without W | 0.989 | 0.982 | 0.974 | -0.007 | -0.015 | -0.008 |
| KW | CV2 | Phenomic pathway | With W | 0.986 | 0.958 | 0.771 | -0.028 | -0.215 | -0.187 |
| KW | CV2 | Phenomic pathway | Without W | 0.989 | 0.955 | 0.772 | -0.034 | -0.217 | -0.183 |
The second table reports the same comparisons for CV0
and CV00, where the results must be read together with the
held-out environment structure.
cvloo_kernel_family_compare %>%
mutate( Linear = round(Linear, 3),
Gaussian = round(Gaussian, 3),
`Arc-cosine` = round(`Arc-cosine`, 3),
Delta_Gaussian_vs_Linear = round(Delta_Gaussian_vs_Linear, 3),
Delta_ArcCos_vs_Linear = round(Delta_ArcCos_vs_Linear, 3),
Delta_ArcCos_vs_Gaussian = round(Delta_ArcCos_vs_Gaussian, 3) ) %>%
knitr::kable( caption = "Comparison of kernel families within each analytical pathway in CV0 and CV00.",
align = "lllllcccccc" ) %>%
kableExtra::kable_styling( bootstrap_options = c("striped", "hover", "condensed", "responsive"),
full_width = FALSE,
position = "left" ) %>%
kableExtra::scroll_box(width = "100%", height = "320px")
| Trait | CV | Env_leave | Pathway | WeatherStatus | Linear | Gaussian | Arc-cosine | Delta_Gaussian_vs_Linear | Delta_ArcCos_vs_Linear | Delta_ArcCos_vs_Gaussian |
|---|---|---|---|---|---|---|---|---|---|---|
| GY | CV0 | CS11_WS | Combined G + P pathway | With W | 0.878 | 0.921 | 0.906 | 0.042 | 0.028 | -0.014 |
| GY | CV0 | CS11_WS | Combined G + P pathway | Without W | 0.884 | 0.922 | 0.915 | 0.037 | 0.030 | -0.007 |
| GY | CV0 | CS11_WS | Genomic pathway | With W | 0.916 | 0.922 | 0.924 | 0.006 | 0.008 | 0.002 |
| GY | CV0 | CS11_WS | Genomic pathway | Without W | 0.921 | 0.923 | 0.926 | 0.001 | 0.004 | 0.003 |
| GY | CV0 | CS11_WS | Phenomic pathway | With W | 0.600 | 0.434 | 0.398 | -0.166 | -0.201 | -0.036 |
| GY | CV0 | CS11_WS | Phenomic pathway | Without W | 0.740 | 0.460 | 0.421 | -0.280 | -0.319 | -0.039 |
| GY | CV0 | CS11_WW | Combined G + P pathway | With W | 0.778 | 0.891 | 0.850 | 0.113 | 0.072 | -0.041 |
| GY | CV0 | CS11_WW | Combined G + P pathway | Without W | 0.822 | 0.889 | 0.848 | 0.067 | 0.026 | -0.041 |
| GY | CV0 | CS11_WW | Genomic pathway | With W | 0.896 | 0.896 | 0.886 | 0.000 | -0.010 | -0.010 |
| GY | CV0 | CS11_WW | Genomic pathway | Without W | 0.893 | 0.894 | 0.885 | 0.001 | -0.008 | -0.009 |
| GY | CV0 | CS11_WW | Phenomic pathway | With W | 0.578 | 0.318 | 0.275 | -0.259 | -0.302 | -0.043 |
| GY | CV0 | CS11_WW | Phenomic pathway | Without W | 0.615 | 0.323 | 0.310 | -0.292 | -0.305 | -0.013 |
| GY | CV0 | CS12_WS | Combined G + P pathway | With W | 0.765 | 0.884 | 0.855 | 0.119 | 0.090 | -0.029 |
| GY | CV0 | CS12_WS | Combined G + P pathway | Without W | 0.794 | 0.889 | 0.861 | 0.095 | 0.067 | -0.028 |
| GY | CV0 | CS12_WS | Genomic pathway | With W | 0.885 | 0.893 | 0.883 | 0.008 | -0.001 | -0.009 |
| GY | CV0 | CS12_WS | Genomic pathway | Without W | 0.894 | 0.896 | 0.884 | 0.002 | -0.011 | -0.012 |
| GY | CV0 | CS12_WS | Phenomic pathway | With W | 0.454 | 0.323 | 0.257 | -0.131 | -0.196 | -0.065 |
| GY | CV0 | CS12_WS | Phenomic pathway | Without W | 0.634 | 0.342 | 0.273 | -0.292 | -0.361 | -0.069 |
| GY | CV0 | CS12_WW | Combined G + P pathway | With W | 0.887 | 0.904 | 0.894 | 0.017 | 0.007 | -0.009 |
| GY | CV0 | CS12_WW | Combined G + P pathway | Without W | 0.881 | 0.902 | 0.892 | 0.021 | 0.011 | -0.010 |
| GY | CV0 | CS12_WW | Genomic pathway | With W | 0.909 | 0.907 | 0.904 | -0.002 | -0.005 | -0.003 |
| GY | CV0 | CS12_WW | Genomic pathway | Without W | 0.904 | 0.904 | 0.902 | -0.001 | -0.002 | -0.001 |
| GY | CV0 | CS12_WW | Phenomic pathway | With W | 0.512 | 0.350 | 0.332 | -0.161 | -0.180 | -0.018 |
| GY | CV0 | CS12_WW | Phenomic pathway | Without W | 0.592 | 0.359 | 0.347 | -0.234 | -0.246 | -0.012 |
| GY | CV00 | CS11_WS | Combined G + P pathway | With W | 0.677 | 0.716 | 0.715 | 0.039 | 0.038 | -0.001 |
| GY | CV00 | CS11_WS | Combined G + P pathway | Without W | 0.666 | 0.719 | 0.702 | 0.053 | 0.036 | -0.017 |
| GY | CV00 | CS11_WS | Genomic pathway | With W | 0.720 | 0.716 | 0.735 | -0.005 | 0.015 | 0.019 |
| GY | CV00 | CS11_WS | Genomic pathway | Without W | 0.710 | 0.717 | 0.732 | 0.007 | 0.023 | 0.015 |
| GY | CV00 | CS11_WS | Phenomic pathway | With W | 0.468 | 0.207 | 0.160 | -0.261 | -0.308 | -0.047 |
| GY | CV00 | CS11_WS | Phenomic pathway | Without W | 0.547 | 0.192 | 0.176 | -0.355 | -0.371 | -0.016 |
| GY | CV00 | CS11_WW | Combined G + P pathway | With W | 0.597 | 0.734 | 0.643 | 0.137 | 0.046 | -0.091 |
| GY | CV00 | CS11_WW | Combined G + P pathway | Without W | 0.664 | 0.734 | 0.648 | 0.070 | -0.016 | -0.086 |
| GY | CV00 | CS11_WW | Genomic pathway | With W | 0.738 | 0.740 | 0.725 | 0.002 | -0.014 | -0.016 |
| GY | CV00 | CS11_WW | Genomic pathway | Without W | 0.741 | 0.738 | 0.724 | -0.003 | -0.016 | -0.013 |
| GY | CV00 | CS11_WW | Phenomic pathway | With W | 0.453 | 0.192 | 0.126 | -0.261 | -0.327 | -0.066 |
| GY | CV00 | CS11_WW | Phenomic pathway | Without W | 0.444 | 0.167 | 0.128 | -0.277 | -0.316 | -0.039 |
| GY | CV00 | CS12_WS | Combined G + P pathway | With W | 0.598 | 0.727 | 0.620 | 0.129 | 0.022 | -0.107 |
| GY | CV00 | CS12_WS | Combined G + P pathway | Without W | 0.617 | 0.722 | 0.624 | 0.105 | 0.007 | -0.098 |
| GY | CV00 | CS12_WS | Genomic pathway | With W | 0.733 | 0.734 | 0.690 | 0.001 | -0.044 | -0.044 |
| GY | CV00 | CS12_WS | Genomic pathway | Without W | 0.725 | 0.730 | 0.693 | 0.005 | -0.033 | -0.037 |
| GY | CV00 | CS12_WS | Phenomic pathway | With W | 0.369 | 0.129 | 0.101 | -0.240 | -0.268 | -0.028 |
| GY | CV00 | CS12_WS | Phenomic pathway | Without W | 0.517 | 0.132 | 0.086 | -0.385 | -0.431 | -0.046 |
| GY | CV00 | CS12_WW | Combined G + P pathway | With W | 0.672 | 0.714 | 0.656 | 0.042 | -0.016 | -0.058 |
| GY | CV00 | CS12_WW | Combined G + P pathway | Without W | 0.674 | 0.706 | 0.656 | 0.032 | -0.018 | -0.050 |
| GY | CV00 | CS12_WW | Genomic pathway | With W | 0.710 | 0.713 | 0.682 | 0.003 | -0.027 | -0.031 |
| GY | CV00 | CS12_WW | Genomic pathway | Without W | 0.696 | 0.701 | 0.691 | 0.005 | -0.006 | -0.011 |
| GY | CV00 | CS12_WW | Phenomic pathway | With W | 0.386 | 0.114 | 0.096 | -0.272 | -0.290 | -0.018 |
| GY | CV00 | CS12_WW | Phenomic pathway | Without W | 0.410 | 0.119 | 0.098 | -0.291 | -0.312 | -0.021 |
| KW | CV0 | CS11_WS | Combined G + P pathway | With W | 0.904 | 0.955 | 0.934 | 0.051 | 0.030 | -0.021 |
| KW | CV0 | CS11_WS | Combined G + P pathway | Without W | 0.928 | 0.959 | 0.952 | 0.031 | 0.024 | -0.007 |
| KW | CV0 | CS11_WS | Genomic pathway | With W | 0.945 | 0.953 | 0.955 | 0.008 | 0.010 | 0.002 |
| KW | CV0 | CS11_WS | Genomic pathway | Without W | 0.960 | 0.960 | 0.961 | 0.000 | 0.001 | 0.001 |
| KW | CV0 | CS11_WS | Phenomic pathway | With W | 0.708 | 0.459 | 0.529 | -0.249 | -0.179 | 0.070 |
| KW | CV0 | CS11_WS | Phenomic pathway | Without W | 0.800 | 0.488 | 0.514 | -0.312 | -0.287 | 0.025 |
| KW | CV0 | CS11_WW | Combined G + P pathway | With W | 0.780 | 0.888 | 0.850 | 0.108 | 0.070 | -0.038 |
| KW | CV0 | CS11_WW | Combined G + P pathway | Without W | 0.829 | 0.886 | 0.855 | 0.057 | 0.026 | -0.031 |
| KW | CV0 | CS11_WW | Genomic pathway | With W | 0.889 | 0.887 | 0.873 | -0.002 | -0.016 | -0.015 |
| KW | CV0 | CS11_WW | Genomic pathway | Without W | 0.885 | 0.885 | 0.874 | 0.000 | -0.011 | -0.011 |
| KW | CV0 | CS11_WW | Phenomic pathway | With W | 0.591 | 0.327 | 0.429 | -0.263 | -0.162 | 0.101 |
| KW | CV0 | CS11_WW | Phenomic pathway | Without W | 0.787 | 0.331 | 0.399 | -0.455 | -0.387 | 0.068 |
| KW | CV0 | CS12_WS | Combined G + P pathway | With W | 0.816 | 0.894 | 0.880 | 0.079 | 0.064 | -0.015 |
| KW | CV0 | CS12_WS | Combined G + P pathway | Without W | 0.797 | 0.894 | 0.860 | 0.097 | 0.062 | -0.034 |
| KW | CV0 | CS12_WS | Genomic pathway | With W | 0.897 | 0.899 | 0.889 | 0.002 | -0.009 | -0.011 |
| KW | CV0 | CS12_WS | Genomic pathway | Without W | 0.896 | 0.898 | 0.888 | 0.002 | -0.008 | -0.010 |
| KW | CV0 | CS12_WS | Phenomic pathway | With W | 0.638 | 0.400 | 0.407 | -0.238 | -0.231 | 0.007 |
| KW | CV0 | CS12_WS | Phenomic pathway | Without W | 0.735 | 0.410 | 0.385 | -0.325 | -0.350 | -0.025 |
| KW | CV0 | CS12_WW | Combined G + P pathway | With W | 0.928 | 0.948 | 0.935 | 0.020 | 0.007 | -0.013 |
| KW | CV0 | CS12_WW | Combined G + P pathway | Without W | 0.922 | 0.947 | 0.938 | 0.025 | 0.015 | -0.010 |
| KW | CV0 | CS12_WW | Genomic pathway | With W | 0.948 | 0.949 | 0.946 | 0.001 | -0.002 | -0.003 |
| KW | CV0 | CS12_WW | Genomic pathway | Without W | 0.947 | 0.947 | 0.947 | 0.001 | 0.000 | 0.000 |
| KW | CV0 | CS12_WW | Phenomic pathway | With W | 0.746 | 0.429 | 0.504 | -0.318 | -0.242 | 0.076 |
| KW | CV0 | CS12_WW | Phenomic pathway | Without W | 0.824 | 0.431 | 0.514 | -0.393 | -0.310 | 0.083 |
| KW | CV00 | CS11_WS | Combined G + P pathway | With W | 0.608 | 0.566 | 0.484 | -0.042 | -0.125 | -0.083 |
| KW | CV00 | CS11_WS | Combined G + P pathway | Without W | 0.654 | 0.586 | 0.508 | -0.068 | -0.145 | -0.078 |
| KW | CV00 | CS11_WS | Genomic pathway | With W | 0.562 | 0.573 | 0.548 | 0.010 | -0.015 | -0.025 |
| KW | CV00 | CS11_WS | Genomic pathway | Without W | 0.565 | 0.578 | 0.544 | 0.012 | -0.021 | -0.034 |
| KW | CV00 | CS11_WS | Phenomic pathway | With W | 0.624 | 0.202 | 0.249 | -0.422 | -0.375 | 0.047 |
| KW | CV00 | CS11_WS | Phenomic pathway | Without W | 0.662 | 0.218 | 0.256 | -0.444 | -0.407 | 0.038 |
| KW | CV00 | CS11_WW | Combined G + P pathway | With W | 0.488 | 0.562 | 0.451 | 0.073 | -0.037 | -0.111 |
| KW | CV00 | CS11_WW | Combined G + P pathway | Without W | 0.544 | 0.566 | 0.460 | 0.021 | -0.085 | -0.106 |
| KW | CV00 | CS11_WW | Genomic pathway | With W | 0.565 | 0.567 | 0.511 | 0.002 | -0.054 | -0.056 |
| KW | CV00 | CS11_WW | Genomic pathway | Without W | 0.563 | 0.565 | 0.525 | 0.001 | -0.039 | -0.040 |
| KW | CV00 | CS11_WW | Phenomic pathway | With W | 0.541 | 0.153 | 0.172 | -0.388 | -0.369 | 0.019 |
| KW | CV00 | CS11_WW | Phenomic pathway | Without W | 0.656 | 0.160 | 0.222 | -0.496 | -0.434 | 0.062 |
| KW | CV00 | CS12_WS | Combined G + P pathway | With W | 0.552 | 0.607 | 0.550 | 0.055 | -0.002 | -0.057 |
| KW | CV00 | CS12_WS | Combined G + P pathway | Without W | 0.553 | 0.619 | 0.511 | 0.066 | -0.042 | -0.108 |
| KW | CV00 | CS12_WS | Genomic pathway | With W | 0.613 | 0.611 | 0.569 | -0.001 | -0.044 | -0.043 |
| KW | CV00 | CS12_WS | Genomic pathway | Without W | 0.602 | 0.616 | 0.560 | 0.014 | -0.042 | -0.056 |
| KW | CV00 | CS12_WS | Phenomic pathway | With W | 0.538 | 0.212 | 0.189 | -0.327 | -0.349 | -0.022 |
| KW | CV00 | CS12_WS | Phenomic pathway | Without W | 0.600 | 0.209 | 0.180 | -0.391 | -0.420 | -0.029 |
| KW | CV00 | CS12_WW | Combined G + P pathway | With W | 0.614 | 0.615 | 0.554 | 0.001 | -0.061 | -0.061 |
| KW | CV00 | CS12_WW | Combined G + P pathway | Without W | 0.636 | 0.617 | 0.576 | -0.019 | -0.060 | -0.041 |
| KW | CV00 | CS12_WW | Genomic pathway | With W | 0.603 | 0.609 | 0.585 | 0.006 | -0.018 | -0.024 |
| KW | CV00 | CS12_WW | Genomic pathway | Without W | 0.601 | 0.600 | 0.591 | -0.001 | -0.010 | -0.009 |
| KW | CV00 | CS12_WW | Phenomic pathway | With W | 0.602 | 0.198 | 0.256 | -0.404 | -0.346 | 0.057 |
| KW | CV00 | CS12_WW | Phenomic pathway | Without W | 0.640 | 0.197 | 0.239 | -0.443 | -0.401 | 0.042 |
The figures produced in this stage are visual summaries of the final
model catalog. Their role is to condense the numerical tables into
patterns that can be recognized quickly, especially when the reader
wants to compare pathways, kernel families, and the presence or absence
of W.
The first figure summarizes predictive ability under CV1
and CV2, combining mean predictive correlations with
uncertainty bars across models.
cv12_plot_data <- cv12_summary %>%
mutate( ShortDescription = factor(ShortDescription, levels = model_catalog$ShortDescription) )
lower_limit_cv12 <- min(cv12_plot_data$MeanCorrelation - cv12_plot_data$SDCorrelation, na.rm = TRUE)
upper_limit_cv12 <- max(cv12_plot_data$MeanCorrelation + cv12_plot_data$SDCorrelation, na.rm = TRUE)
p_cv12 <- ggplot(cv12_plot_data, aes(x = ShortDescription, y = MeanCorrelation, fill = Group)) +
geom_col(width = 0.75, color = "grey30") +
geom_errorbar( aes( ymin = MeanCorrelation - SDCorrelation, ymax = MeanCorrelation + SDCorrelation ),
width = 0.20,
linewidth = 0.35 ) +
facet_grid(Trait ~ CV) +
geom_hline(yintercept = 0, linetype = "dashed", color = "grey40") +
coord_cartesian(ylim = c(lower_limit_cv12 - 0.03, upper_limit_cv12 + 0.03)) +
scale_x_discrete(name = "Model description") +
scale_y_continuous(name = "Predictive correlation") +
ggthemes::scale_fill_gdocs(name = "Comparison group") +
theme_bw() +
theme( plot.title = element_text(face = "bold", size = 12, hjust = 0.5),
strip.text = element_text(face = "bold", size = 10),
axis.text.x = element_text(angle = 90, vjust = 0.5, hjust = 1, size = 7),
axis.text.y = element_text(size = 9),
axis.title = element_text(size = 10),
legend.position = "top",
legend.title = element_text(size = 9),
legend.text = element_text(size = 8) ) +
labs(title = "Predictive ability under CV1 and CV2")
p_cv12

ggsave(file.path(figures_dir, "prediction_cv1_cv2.tiff"),
plot = p_cv12,
width = 14,
height = 8,
dpi = 300,
bg = "white")
The second figure summarizes predictive ability under
CV0 and CV00, keeping the held-out
environments explicit in the layout so that environmental differences
remain visible.
cvloo_plot_data <- cvloo_summary %>%
mutate( ShortDescription = factor(ShortDescription, levels = model_catalog$ShortDescription),
Env_leave = factor(Env_leave, levels = c("CS11_WS", "CS11_WW", "CS12_WS", "CS12_WW")) )
lower_limit_cvloo <- min(cvloo_plot_data$MeanCorrelation - cvloo_plot_data$SDCorrelation, na.rm = TRUE)
upper_limit_cvloo <- max(cvloo_plot_data$MeanCorrelation + cvloo_plot_data$SDCorrelation, na.rm = TRUE)
p_cvloo <- ggplot(cvloo_plot_data, aes(x = ShortDescription, y = MeanCorrelation, fill = Group)) +
geom_col(width = 0.75, color = "grey30") +
geom_errorbar( aes( ymin = MeanCorrelation - SDCorrelation, ymax = MeanCorrelation + SDCorrelation ),
width = 0.20,
linewidth = 0.35,
na.rm = TRUE ) +
facet_grid(Env_leave ~ Trait + CV) +
geom_hline(yintercept = 0, linetype = "dashed", color = "grey40") +
coord_cartesian(ylim = c(lower_limit_cvloo - 0.03, upper_limit_cvloo + 0.03)) +
scale_x_discrete(name = "Model description") +
scale_y_continuous(name = "Predictive correlation") +
ggthemes::scale_fill_gdocs(name = "Comparison group") +
theme_bw() +
theme( plot.title = element_text(face = "bold", size = 12, hjust = 0.5),
strip.text = element_text(face = "bold", size = 9),
axis.text.x = element_text(angle = 90, vjust = 0.5, hjust = 1, size = 6),
axis.text.y = element_text(size = 8),
axis.title = element_text(size = 10),
legend.position = "top",
legend.title = element_text(size = 9),
legend.text = element_text(size = 8) ) +
labs(title = "Predictive ability under CV0 and CV00")
p_cvloo

ggsave(file.path(figures_dir, "prediction_cv0_cv00.tiff"),
plot = p_cvloo,
width = 16,
height = 12,
dpi = 300,
bg = "white")
This tutorialized version is aligned with the current prediction
workflow based on analysis_prediction_run_outputs.Rmd. It
expects files in which:
CV0 and CV00 carry the held-out
environment label in both the directory hierarchy and the filename;output/results/;CV0 and CV00 still require the
Env == Env_leave filter for the held-out-environment
summaries.After this stage, the pipeline is ready to move from technical
summarization to manuscript-oriented interpretation. The tables written
to output/tables/ are the main bridge between the
computational workflow and the final discussion of results.