Last updated: 2021-08-06
Checks: 7 0
Knit directory: emlr_mod_v_XXX/
This reproducible R Markdown analysis was created with workflowr (version 1.6.2). The Checks tab describes the reproducibility checks that were applied when the results were created. The Past versions tab lists the development history.
Great! Since the R Markdown file has been committed to the Git repository, you know the exact version of the code that produced these results.
Great job! The global environment was empty. Objects defined in the global environment can affect the analysis in your R Markdown file in unknown ways. For reproduciblity it’s best to always run the code in an empty environment.
The command set.seed(20200707) was run prior to running the code in the R Markdown file. Setting a seed ensures that any results that rely on randomness, e.g. subsampling or permutations, are reproducible.
Great job! Recording the operating system, R version, and package versions is critical for reproducibility.
Nice! There were no cached chunks for this analysis, so you can be confident that you successfully produced the results during this run.
Great job! Using relative paths to the files within your workflowr project makes it easier to run your code on other machines.
Great! You are using Git for version control. Tracking code development and connecting the code version to the results is critical for reproducibility.
The results in this page were generated with repository version 90f70da. See the Past versions tab to see a history of the changes made to the R Markdown and HTML files.
Note that you need to be careful to ensure that all relevant files for the analysis have been committed to Git prior to generating the results (you can use wflow_publish or wflow_git_commit). workflowr only checks the R Markdown file, but you know if there are other scripts or data files that it depends on. Below is the status of the Git repository when the results were generated:
Ignored files:
Ignored: .Rhistory
Ignored: .Rproj.user/
Unstaged changes:
Modified: analysis/config_parameterization_local.Rmd
Modified: data/auxillary/params_local.rds
Note that any generated files, e.g. HTML, png, CSS, etc., are not included in this status report because it is ok for generated content to have uncommitted changes.
These are the previous versions of the repository in which changes were made to the R Markdown (analysis/analysis_others.Rmd) and HTML (docs/analysis_others.html) files. If you’ve configured a remote Git repository (see ?wflow_git_remote), click on the hyperlinks in the table below to view the files as they were in that past version.
| File | Version | Author | Date | Message |
|---|---|---|---|---|
| html | f6552d8 | Donghe-Zhu | 2021-08-06 | update with commit |
| html | 496fa02 | Donghe-Zhu | 2021-08-05 | Build site. |
| html | 19ecfe2 | Donghe-Zhu | 2021-08-05 | Build site. |
| html | 3253031 | Donghe-Zhu | 2021-08-05 | Build site. |
| html | 6c70952 | Donghe-Zhu | 2021-08-01 | Build site. |
| html | 2666bd7 | Donghe-Zhu | 2021-08-01 | Build site. |
| html | e51cfa2 | Donghe-Zhu | 2021-08-01 | Build site. |
| html | 78cbc18 | Donghe-Zhu | 2021-08-01 | Build site. |
| html | c55d4d7 | Donghe-Zhu | 2021-08-01 | Build site. |
| html | 26741db | Donghe-Zhu | 2021-08-01 | Build site. |
| html | ca539b5 | Donghe-Zhu | 2021-08-01 | Build site. |
| html | 1e98138 | Donghe-Zhu | 2021-08-01 | Build site. |
| html | 777b9e9 | Donghe-Zhu | 2021-08-01 | Build site. |
| html | b110c47 | Donghe-Zhu | 2021-08-01 | Build site. |
| html | 3611a48 | Donghe-Zhu | 2021-08-01 | Build site. |
| html | af832ef | Donghe-Zhu | 2021-07-31 | Build site. |
| html | 016f9ed | Donghe-Zhu | 2021-07-31 | Build site. |
| html | 2080ac5 | Donghe-Zhu | 2021-07-31 | Build site. |
| html | 50f0a16 | Donghe-Zhu | 2021-07-31 | Build site. |
| html | 1682579 | Donghe-Zhu | 2021-07-31 | Build site. |
| html | 9fa8832 | Donghe-Zhu | 2021-07-31 | Build site. |
| html | 4abf542 | Donghe-Zhu | 2021-07-31 | Build site. |
| html | a2483f0 | Donghe-Zhu | 2021-07-31 | Build site. |
| html | 3300527 | Donghe-Zhu | 2021-07-31 | Build site. |
| html | afeb6fd | Donghe-Zhu | 2021-07-31 | Build site. |
| html | cb3ef32 | Donghe-Zhu | 2021-07-31 | Build site. |
| html | 6528618 | Donghe-Zhu | 2021-07-31 | Build site. |
| html | f50925e | Donghe-Zhu | 2021-07-31 | Build site. |
| html | f4de2f3 | Donghe-Zhu | 2021-07-30 | Build site. |
| html | 43bc7b4 | Donghe-Zhu | 2021-07-30 | Build site. |
| html | f8c34a8 | Donghe-Zhu | 2021-07-30 | Build site. |
| html | 4f897c4 | Donghe-Zhu | 2021-07-30 | Build site. |
| html | 0f6e960 | Donghe-Zhu | 2021-07-30 | Build site. |
| html | fe067ea | Donghe-Zhu | 2021-07-30 | Build site. |
| html | fbca39a | Donghe-Zhu | 2021-07-30 | Build site. |
| html | f945f95 | Donghe-Zhu | 2021-07-30 | Build site. |
| html | a3006cd | Donghe-Zhu | 2021-07-30 | Build site. |
| html | a55ffdc | Donghe-Zhu | 2021-07-30 | Build site. |
| html | d5e4458 | Donghe-Zhu | 2021-07-30 | Build site. |
| html | 10a97ef | Donghe-Zhu | 2021-07-30 | Build site. |
| html | 1c501fd | Donghe-Zhu | 2021-07-30 | Build site. |
| html | 68bce3f | Donghe-Zhu | 2021-07-30 | Build site. |
| html | 400c457 | Donghe-Zhu | 2021-07-29 | Build site. |
| html | 3ba7852 | Donghe-Zhu | 2021-07-29 | Build site. |
| html | 422d5fd | Donghe-Zhu | 2021-07-29 | Build site. |
| html | ec68363 | Donghe-Zhu | 2021-07-28 | Build site. |
| html | d3018f6 | Donghe-Zhu | 2021-07-28 | Build site. |
| html | b8ba2c4 | Donghe-Zhu | 2021-07-28 | Build site. |
| html | a4ddd84 | Donghe-Zhu | 2021-07-27 | Build site. |
| html | 7ef49ab | Donghe-Zhu | 2021-07-27 | Build site. |
| html | da818c0 | Donghe-Zhu | 2021-07-27 | Build site. |
| html | 8623898 | Donghe-Zhu | 2021-07-27 | Build site. |
| html | f84b77c | Donghe-Zhu | 2021-07-27 | Build site. |
| html | 70ad9a5 | Donghe-Zhu | 2021-07-27 | Build site. |
| html | 0d0b48d | Donghe-Zhu | 2021-07-27 | Build site. |
| html | d0d97c6 | Donghe-Zhu | 2021-07-27 | Build site. |
| html | 829510d | Donghe-Zhu | 2021-07-27 | Build site. |
| html | 780627d | Donghe-Zhu | 2021-07-27 | Build site. |
| html | e9838c9 | Donghe-Zhu | 2021-07-27 | Build site. |
| html | 2777f33 | Donghe-Zhu | 2021-07-27 | Build site. |
| html | d19760f | Donghe-Zhu | 2021-07-27 | Build site. |
| html | cac5680 | Donghe-Zhu | 2021-07-23 | Build site. |
| html | 7bb279a | Donghe-Zhu | 2021-07-23 | Build site. |
| html | d52eac4 | Donghe-Zhu | 2021-07-23 | Build site. |
| html | dcf34b1 | Donghe-Zhu | 2021-07-23 | Build site. |
| html | 419cb72 | Donghe-Zhu | 2021-07-22 | Build site. |
| html | 9447d10 | Donghe-Zhu | 2021-07-22 | Build site. |
| html | 639c9a0 | Donghe-Zhu | 2021-07-22 | Build site. |
| html | 25bb96f | Donghe-Zhu | 2021-07-22 | Build site. |
| html | cdc98a3 | Donghe-Zhu | 2021-07-22 | Build site. |
| html | e4805a1 | Donghe-Zhu | 2021-07-22 | Build site. |
| html | 7957fd1 | Donghe-Zhu | 2021-07-21 | Build site. |
| html | b94be4e | Donghe-Zhu | 2021-07-21 | Build site. |
| html | 9950e70 | Donghe-Zhu | 2021-07-21 | Build site. |
| html | 698b6f0 | Donghe-Zhu | 2021-07-20 | Build site. |
| html | d84a1cb | Donghe-Zhu | 2021-07-20 | Build site. |
| html | 4dce223 | Donghe-Zhu | 2021-07-20 | Build site. |
| html | 6f28c0c | Donghe-Zhu | 2021-07-20 | Build site. |
| html | db1e7b7 | Donghe-Zhu | 2021-07-19 | Build site. |
| html | ff0575d | Donghe-Zhu | 2021-07-19 | Build site. |
| html | 5d60eac | Donghe-Zhu | 2021-07-19 | Build site. |
| html | 57d0420 | Donghe-Zhu | 2021-07-16 | Build site. |
| html | c1be8f6 | Donghe-Zhu | 2021-07-16 | 1 |
| html | 26a7c15 | Donghe-Zhu | 2021-07-16 | Build site. |
| html | 046902b | Donghe-Zhu | 2021-07-16 | Build site. |
| html | 3d4ac14 | Donghe-Zhu | 2021-07-15 | Build site. |
| html | be6fff9 | Donghe-Zhu | 2021-07-15 | Build site. |
| html | b473472 | Donghe-Zhu | 2021-07-15 | Build site. |
| html | 363270a | Donghe-Zhu | 2021-07-15 | Build site. |
| html | 8b75a03 | Donghe-Zhu | 2021-07-15 | Build site. |
| html | 294f8ca | Donghe-Zhu | 2021-07-15 | Build site. |
| html | a01e135 | Donghe-Zhu | 2021-07-07 | Build site. |
| html | bc83ef2 | Donghe-Zhu | 2021-07-07 | Build site. |
| html | 75e7b07 | Donghe-Zhu | 2021-07-06 | Build site. |
| html | 697aa6d | Donghe-Zhu | 2021-07-06 | Build site. |
| html | d52e2de | Donghe-Zhu | 2021-07-06 | Build site. |
| html | f2bde6b | Donghe-Zhu | 2021-07-06 | Build site. |
| html | 1133f28 | Donghe-Zhu | 2021-07-06 | Build site. |
| html | fe3a1cd | Donghe-Zhu | 2021-07-06 | Build site. |
| html | d9cdf15 | Donghe-Zhu | 2021-07-06 | Build site. |
| html | ee4cd2d | Donghe-Zhu | 2021-07-06 | Build site. |
| html | 93821c1 | Donghe-Zhu | 2021-07-05 | Build site. |
| html | d44db8e | Donghe-Zhu | 2021-07-05 | Build site. |
| html | 20b3436 | Donghe-Zhu | 2021-07-05 | Build site. |
| html | d982ea5 | Donghe-Zhu | 2021-07-05 | Build site. |
| html | 7397e53 | Donghe-Zhu | 2021-07-05 | Build site. |
| html | f2e4805 | Donghe-Zhu | 2021-07-05 | Build site. |
| html | e2d011a | Donghe-Zhu | 2021-07-05 | Build site. |
| html | 85e0349 | Donghe-Zhu | 2021-07-05 | Build site. |
| html | 6ee0146 | Donghe-Zhu | 2021-07-05 | Build site. |
| html | a482a6b | Donghe-Zhu | 2021-07-05 | Build site. |
| html | f59f1b3 | Donghe-Zhu | 2021-07-05 | Build site. |
| html | 116bcab | Donghe-Zhu | 2021-07-04 | Build site. |
| html | cb1c8dc | Donghe-Zhu | 2021-07-04 | Build site. |
| html | c9bdd83 | Donghe-Zhu | 2021-07-04 | Build site. |
| html | 1920ad9 | Donghe-Zhu | 2021-07-04 | Build site. |
| html | 0b02791 | Donghe-Zhu | 2021-06-25 | change random subset files |
| html | caf62d8 | Donghe-Zhu | 2021-06-25 | Build site. |
| html | 90a9da5 | Donghe-Zhu | 2021-06-25 | Build site. |
| html | bb413c8 | Donghe-Zhu | 2021-06-25 | Build site. |
| html | e7a5266 | Donghe-Zhu | 2021-06-24 | Build site. |
| html | 7c57720 | Donghe-Zhu | 2021-06-24 | Build site. |
| html | b5b95a9 | Donghe-Zhu | 2021-06-24 | Build site. |
| html | 472aad4 | Donghe-Zhu | 2021-06-24 | Build site. |
| Rmd | 76ce72b | Donghe-Zhu | 2021-06-24 | local rebuild |
| html | d517836 | Donghe-Zhu | 2021-06-24 | 0 |
| html | 9221bfe | Donghe-Zhu | 2021-06-24 | Build site. |
| html | bff5fbf | Donghe-Zhu | 2021-06-23 | Build site. |
| html | 256a616 | Donghe-Zhu | 2021-06-23 | Build site. |
| html | 00072e2 | Donghe-Zhu | 2021-06-23 | Build site. |
| Rmd | 71d2509 | Donghe-Zhu | 2021-06-23 | local rebuild |
| html | 61cae2b | Donghe-Zhu | 2021-06-20 | 1 |
| html | d20c383 | Donghe-Zhu | 2021-06-18 | Build site. |
| html | b0874a2 | Donghe-Zhu | 2021-06-17 | Build site. |
| html | 72c2f2e | Donghe-Zhu | 2021-06-15 | Build site. |
| html | d97dcb6 | Donghe-Zhu | 2021-06-08 | 1 |
| html | 25dda1d | Donghe-Zhu | 2021-06-08 | Build site. |
| html | bd2bcc3 | Donghe-Zhu | 2021-06-08 | Build site. |
| html | e9b27d7 | Donghe-Zhu | 2021-06-07 | Build site. |
| html | 7ae0d4b | Donghe-Zhu | 2021-06-07 | Build site. |
| html | 325391f | Donghe-Zhu | 2021-06-07 | Build site. |
| html | ed89970 | Donghe-Zhu | 2021-06-07 | Build site. |
| html | df37958 | Donghe-Zhu | 2021-06-07 | 1 |
| html | 812bf63 | Donghe-Zhu | 2021-06-06 | Build site. |
| html | 65c89c8 | Donghe-Zhu | 2021-06-06 | Build site. |
| html | 9baa3b2 | Donghe-Zhu | 2021-06-06 | debug |
| html | b7d99cf | Donghe-Zhu | 2021-06-06 | Build site. |
| html | 5d8fa90 | Donghe-Zhu | 2021-06-06 | Build site. |
| html | dbe2a95 | Donghe-Zhu | 2021-05-28 | Build site. |
| html | d50b039 | Donghe-Zhu | 2021-05-28 | Build site. |
| html | 441ebe5 | Donghe-Zhu | 2021-05-28 | Build site. |
| html | 6262ad3 | Donghe-Zhu | 2021-05-28 | Build site. |
| html | a61aa77 | Donghe-Zhu | 2021-05-28 | Build site. |
| html | b8dbce4 | Donghe-Zhu | 2021-05-28 | Build site. |
| html | 94a833e | Donghe-Zhu | 2021-05-27 | Build site. |
| html | 5e0bd64 | Donghe-Zhu | 2021-05-27 | Build site. |
| html | af1eadd | Donghe-Zhu | 2021-05-27 | Build site. |
| html | 9179bfe | Donghe-Zhu | 2021-05-27 | Build site. |
| html | 28cbe5e | Donghe-Zhu | 2021-05-27 | Build site. |
| html | a618f02 | Donghe-Zhu | 2021-05-27 | Build site. |
| html | 4623e38 | Donghe-Zhu | 2021-05-27 | Build site. |
| html | b81bb49 | Donghe-Zhu | 2021-05-27 | Build site. |
| html | 951e188 | Donghe-Zhu | 2021-05-27 | Build site. |
| html | e377833 | Donghe-Zhu | 2021-05-26 | Build site. |
| html | 2705a04 | Donghe-Zhu | 2021-03-28 | Build site. |
| html | cd5f759 | Donghe-Zhu | 2021-03-28 | Build site. |
| html | 75dda4d | Donghe-Zhu | 2021-03-27 | Build site. |
| html | 0b19f6e | Donghe-Zhu | 2021-03-27 | Build site. |
| html | e2704ca | Donghe-Zhu | 2021-03-27 | Build site. |
| html | 3061a0b | Donghe-Zhu | 2021-03-27 | Build site. |
| html | b883157 | Donghe-Zhu | 2021-03-27 | Build site. |
| html | 0c20513 | Donghe-Zhu | 2021-03-26 | Build site. |
| html | d19654d | Donghe-Zhu | 2021-03-26 | Build site. |
| html | 6c53dbf | Donghe-Zhu | 2021-03-25 | Build site. |
| html | 1914a11 | Donghe-Zhu | 2021-03-24 | Build site. |
| html | 8be810e | Donghe-Zhu | 2021-03-23 | Build site. |
| html | bf19764 | Donghe-Zhu | 2021-03-22 | Build site. |
| html | 3ec9d3d | Donghe-Zhu | 2021-03-22 | Build site. |
| html | 134ace1 | Donghe-Zhu | 2021-03-22 | Build site. |
| html | f6d70a4 | Donghe-Zhu | 2021-03-22 | Build site. |
| html | 183443b | Donghe-Zhu | 2021-03-21 | Build site. |
| html | 2e6976b | Donghe-Zhu | 2021-03-21 | Build site. |
| html | 51a42bd | Donghe-Zhu | 2021-03-16 | Build site. |
| html | f745381 | Donghe-Zhu | 2021-03-16 | Build site. |
| html | aecbf75 | Donghe-Zhu | 2021-03-14 | Build site. |
| html | 1b2a0c2 | Donghe-Zhu | 2021-03-14 | Build site. |
| html | 6733e48 | Donghe-Zhu | 2021-03-12 | Build site. |
| html | ba71e6a | Donghe-Zhu | 2021-03-12 | Build site. |
| html | 9dbf5bd | Donghe-Zhu | 2021-03-11 | Build site. |
| html | a49df30 | Donghe-Zhu | 2021-03-11 | Build site. |
| html | b3348a5 | Donghe-Zhu | 2021-03-11 | Build site. |
| html | 1c24ff7 | Donghe-Zhu | 2021-03-10 | Build site. |
| html | 94ce5a8 | Donghe-Zhu | 2021-03-10 | Build site. |
| html | db33928 | Donghe-Zhu | 2021-03-10 | Build site. |
| html | 3d1f470 | Donghe-Zhu | 2021-03-10 | Build site. |
| html | 9b7bc66 | Donghe-Zhu | 2021-03-10 | Build site. |
| html | 4168b43 | Donghe-Zhu | 2021-03-10 | Build site. |
| html | 5365f80 | Donghe-Zhu | 2021-03-10 | Build site. |
| html | 2b6c392 | Donghe-Zhu | 2021-03-10 | Build site. |
| html | 9f58753 | Donghe-Zhu | 2021-03-10 | Build site. |
| html | f2a7146 | Donghe-Zhu | 2021-03-10 | Build site. |
| html | fd528ed | Donghe-Zhu | 2021-03-10 | Build site. |
| html | 9d5a62c | Donghe-Zhu | 2021-03-10 | Build site. |
| html | 5d1e70b | Donghe-Zhu | 2021-03-10 | Build site. |
| html | 2093979 | Donghe-Zhu | 2021-03-10 | Build site. |
| html | b865899 | Donghe-Zhu | 2021-03-10 | Build site. |
| html | cc2a956 | Donghe-Zhu | 2021-03-10 | Build site. |
| html | 60689fb | Donghe-Zhu | 2021-03-10 | Build site. |
| html | 9230b52 | Donghe-Zhu | 2021-03-10 | Build site. |
| html | dba33c8 | Donghe-Zhu | 2021-03-09 | Build site. |
| html | 17f1c4a | Donghe-Zhu | 2021-03-09 | Build site. |
| html | c024d1a | Donghe-Zhu | 2021-03-09 | Build site. |
| html | 02f7242 | Donghe-Zhu | 2021-03-09 | Build site. |
| html | 6f50bc6 | Donghe-Zhu | 2021-03-09 | Build site. |
| html | 1691156 | Donghe-Zhu | 2021-03-08 | Build site. |
| html | c0ceaf8 | Donghe-Zhu | 2021-03-08 | Build site. |
| html | 058e0a1 | Donghe-Zhu | 2021-03-08 | Build site. |
| html | 112dea0 | Donghe-Zhu | 2021-03-08 | Build site. |
| html | 1843412 | Donghe-Zhu | 2021-03-08 | Build site. |
| html | 65b0cef | Donghe-Zhu | 2021-03-07 | Build site. |
| html | 4083a6c | Donghe-Zhu | 2021-03-07 | Build site. |
| html | 3fbbfa4 | Donghe-Zhu | 2021-03-07 | Build site. |
| html | 627c8fb | Donghe-Zhu | 2021-03-07 | Build site. |
| html | 3607f4d | Donghe-Zhu | 2021-03-07 | Build site. |
| html | 9ef3222 | Donghe-Zhu | 2021-03-05 | Build site. |
| html | 8c1e978 | Donghe-Zhu | 2021-03-05 | Build site. |
| html | 865f68c | Donghe-Zhu | 2021-03-05 | Build site. |
| html | ee69bc1 | Donghe-Zhu | 2021-03-05 | Build site. |
| html | a79291f | Donghe-Zhu | 2021-03-05 | Build site. |
| html | e8c6f30 | Donghe-Zhu | 2021-03-04 | Build site. |
| html | 59288fe | Donghe-Zhu | 2021-03-04 | Build site. |
| html | 731abc8 | Donghe-Zhu | 2021-03-04 | Build site. |
| html | e2a5a33 | Donghe-Zhu | 2021-03-04 | Build site. |
| html | c7892c1 | Donghe-Zhu | 2021-03-04 | Build site. |
| html | 924430b | Donghe-Zhu | 2021-03-03 | Build site. |
| html | 0d0bca1 | Donghe-Zhu | 2021-03-03 | Build site. |
| html | cb63c16 | Donghe-Zhu | 2021-03-03 | Build site. |
| html | ffda45a | Donghe-Zhu | 2021-03-03 | Build site. |
| html | 691ba81 | Donghe-Zhu | 2021-03-03 | Build site. |
| html | c5e45a2 | Donghe-Zhu | 2021-03-03 | Build site. |
| html | 89c3e58 | Donghe-Zhu | 2021-03-03 | Build site. |
| html | c407a50 | Donghe-Zhu | 2021-03-03 | Build site. |
| html | c911669 | Donghe-Zhu | 2021-03-03 | Build site. |
| html | b71c719 | Donghe-Zhu | 2021-03-01 | Build site. |
| html | 13666ca | Donghe-Zhu | 2021-03-01 | Build site. |
| html | c6e60fe | Donghe-Zhu | 2021-03-01 | Build site. |
| html | 7a388f7 | Donghe-Zhu | 2021-03-01 | Build site. |
| html | 799e913 | Donghe-Zhu | 2021-03-01 | Build site. |
| html | 66ff99f | Donghe-Zhu | 2021-03-01 | Build site. |
| html | ac9bb7a | Donghe-Zhu | 2021-02-28 | Build site. |
| html | efdc047 | Donghe-Zhu | 2021-02-28 | Build site. |
| html | e9a7418 | Donghe-Zhu | 2021-02-28 | Build site. |
| html | e152917 | Donghe-Zhu | 2021-02-28 | Build site. |
| html | feb991c | Donghe-Zhu | 2021-02-27 | Build site. |
| html | 287123c | Donghe-Zhu | 2021-02-27 | Build site. |
| html | 54d5b5b | Donghe-Zhu | 2021-02-27 | Build site. |
| html | 330f064 | Donghe-Zhu | 2021-02-27 | Build site. |
| html | adbc9bc | Donghe-Zhu | 2021-02-27 | Build site. |
| html | 5937141 | Donghe-Zhu | 2021-02-27 | Build site. |
| html | 4414bbf | Donghe-Zhu | 2021-02-27 | Build site. |
| html | a265efb | Donghe-Zhu | 2021-02-27 | Build site. |
| html | 19edd1e | Donghe-Zhu | 2021-02-27 | Build site. |
| html | f20483f | Donghe-Zhu | 2021-02-26 | Build site. |
| html | 6a2c7b3 | Donghe-Zhu | 2021-02-25 | Build site. |
| html | 02b976d | Donghe-Zhu | 2021-02-24 | Build site. |
| html | 354c224 | Donghe-Zhu | 2021-02-24 | Build site. |
| html | 1a0a88a | Donghe-Zhu | 2021-02-24 | Build site. |
| html | 57f701e | Donghe-Zhu | 2021-02-24 | Build site. |
| html | 06f3149 | Donghe-Zhu | 2021-02-16 | Build site. |
| html | 401eab3 | Donghe-Zhu | 2021-02-15 | Build site. |
| html | e3bba84 | Donghe-Zhu | 2021-02-15 | Build site. |
| html | 5dce4b1 | Donghe-Zhu | 2021-02-15 | Build site. |
| html | 4469a0c | Donghe-Zhu | 2021-02-13 | Build site. |
| html | 5ae6a69 | Donghe-Zhu | 2021-02-10 | Build site. |
| html | 05385dc | Donghe-Zhu | 2021-02-10 | Build site. |
| html | f791ae4 | Donghe-Zhu | 2021-02-09 | Build site. |
| html | f71ae34 | Donghe-Zhu | 2021-02-09 | Build site. |
| html | c011832 | Donghe-Zhu | 2021-02-09 | Build site. |
| html | a145fa7 | Donghe-Zhu | 2021-02-09 | Build site. |
| html | c344e42 | Donghe-Zhu | 2021-02-08 | Build site. |
| html | 2f095d7 | Donghe-Zhu | 2021-02-07 | Build site. |
| html | 2305044 | Donghe-Zhu | 2021-02-07 | Build site. |
| html | 1fad5f1 | Donghe-Zhu | 2021-02-07 | Build site. |
| html | ca03c39 | Donghe-Zhu | 2021-02-07 | Build site. |
| Rmd | b8981f0 | Donghe-Zhu | 2021-02-07 | local rebuild |
| html | e2ffc14 | Donghe-Zhu | 2021-02-05 | Build site. |
| html | cd7c52c | Donghe-Zhu | 2021-02-04 | Build site. |
| html | bcf84f4 | Donghe-Zhu | 2021-02-02 | Build site. |
| html | a518739 | Donghe-Zhu | 2021-02-01 | Build site. |
| html | 61666de | Donghe-Zhu | 2021-01-31 | Build site. |
| html | 865b582 | Donghe-Zhu | 2021-01-31 | Build site. |
| html | 3e68089 | Donghe-Zhu | 2021-01-31 | Build site. |
| html | ecf335c | Donghe-Zhu | 2021-01-31 | Build site. |
| html | a618965 | Donghe-Zhu | 2021-01-31 | Build site. |
| html | 59e006e | Donghe-Zhu | 2021-01-31 | Build site. |
| html | a1c8f87 | Donghe-Zhu | 2021-01-31 | Build site. |
| html | ae5c18f | Donghe-Zhu | 2021-01-31 | Build site. |
| html | b50fe52 | Donghe-Zhu | 2021-01-31 | Build site. |
| html | ac99ae5 | jens-daniel-mueller | 2021-01-29 | code review |
| html | b5bdcaf | Donghe-Zhu | 2021-01-29 | Build site. |
| html | 442010d | Donghe-Zhu | 2021-01-29 | Build site. |
| html | 372adf5 | Donghe-Zhu | 2021-01-29 | Build site. |
| html | af8788e | Donghe-Zhu | 2021-01-29 | Build site. |
| html | 21c91c9 | Donghe-Zhu | 2021-01-29 | Build site. |
| html | eded038 | Donghe-Zhu | 2021-01-29 | Build site. |
| html | 541d4dd | Donghe-Zhu | 2021-01-29 | Build site. |
| html | 6a75576 | Donghe-Zhu | 2021-01-28 | Build site. |
| html | 16fba40 | Donghe-Zhu | 2021-01-28 | Build site. |
| html | 12bc567 | Donghe-Zhu | 2021-01-27 | Build site. |
| html | ceed31b | Donghe-Zhu | 2021-01-27 | Build site. |
| html | 342402d | Donghe-Zhu | 2021-01-27 | Build site. |
| html | 5bad5c2 | Donghe-Zhu | 2021-01-27 | Build site. |
| html | 61efb56 | Donghe-Zhu | 2021-01-25 | Build site. |
| html | 48f638e | Donghe-Zhu | 2021-01-25 | Build site. |
| html | c1cec47 | Donghe-Zhu | 2021-01-25 | Build site. |
| html | 05ffb0c | Donghe-Zhu | 2021-01-25 | Build site. |
| html | 8b97165 | Donghe-Zhu | 2021-01-25 | Build site. |
| html | c569946 | Donghe-Zhu | 2021-01-24 | Build site. |
| html | a2f0d56 | Donghe-Zhu | 2021-01-23 | Build site. |
| html | 28509fc | Donghe-Zhu | 2021-01-23 | Build site. |
| html | 4c28e4a | Donghe-Zhu | 2021-01-22 | Build site. |
| html | 24cc264 | jens-daniel-mueller | 2021-01-22 | cleaned /docs before creating copies |
| html | 88eb28f | Donghe-Zhu | 2021-01-21 | Build site. |
| html | 2679490 | Donghe-Zhu | 2021-01-21 | Build site. |
| html | 7891955 | Donghe-Zhu | 2021-01-21 | Build site. |
| html | d4cf1cb | Donghe-Zhu | 2021-01-21 | Build site. |
| html | 1f3e5b6 | jens-daniel-mueller | 2021-01-20 | Build site. |
| html | 0e7bdf1 | jens-daniel-mueller | 2021-01-15 | cleaning template repository |
| html | 73cbef3 | jens-daniel-mueller | 2021-01-15 | Build site. |
| html | 4571843 | jens-daniel-mueller | 2021-01-14 | revision and html deleted for template copying |
| html | 23151cd | jens-daniel-mueller | 2021-01-14 | Build site. |
| html | b3564aa | jens-daniel-mueller | 2021-01-14 | Build site. |
| Rmd | 88db051 | jens-daniel-mueller | 2021-01-14 | local rebuild after revision |
| html | 8d032c3 | jens-daniel-mueller | 2021-01-14 | Build site. |
| html | 022871c | Donghe-Zhu | 2021-01-13 | Build site. |
| Rmd | d44f36f | Donghe-Zhu | 2021-01-13 | reorder analysis final |
Cant estimates from this sensitivity case:
cant_3d <-
read_csv(paste(path_version_data,
"cant_3d.csv",
sep = ""))
cant_zonal <-
read_csv(paste(path_version_data,
"cant_zonal.csv",
sep = ""))
cant_predictor_zonal <-
read_csv(paste(path_version_data,
"cant_predictor_zonal.csv",
sep = ""))
Target variable (cstar_tref) estimates from this sensitivity case:
target_3d <-
read_csv(paste(path_version_data,
"target_3d.csv",
sep = ""))
target_zonal <-
read_csv(paste(path_version_data,
"target_zonal.csv",
sep = ""))
Cleaned synthetic model subset file as used in this sensitivity case.
GLODAP <-
read_csv(paste(
path_version_data,
"GLODAPv2.2020_MLR_fitting_ready.csv",
sep = ""
))
cant_gamma_maps <- m_cant_slab(cant_3d)
cant_gamma_maps <- cant_gamma_maps %>%
arrange(gamma_slab, eras)
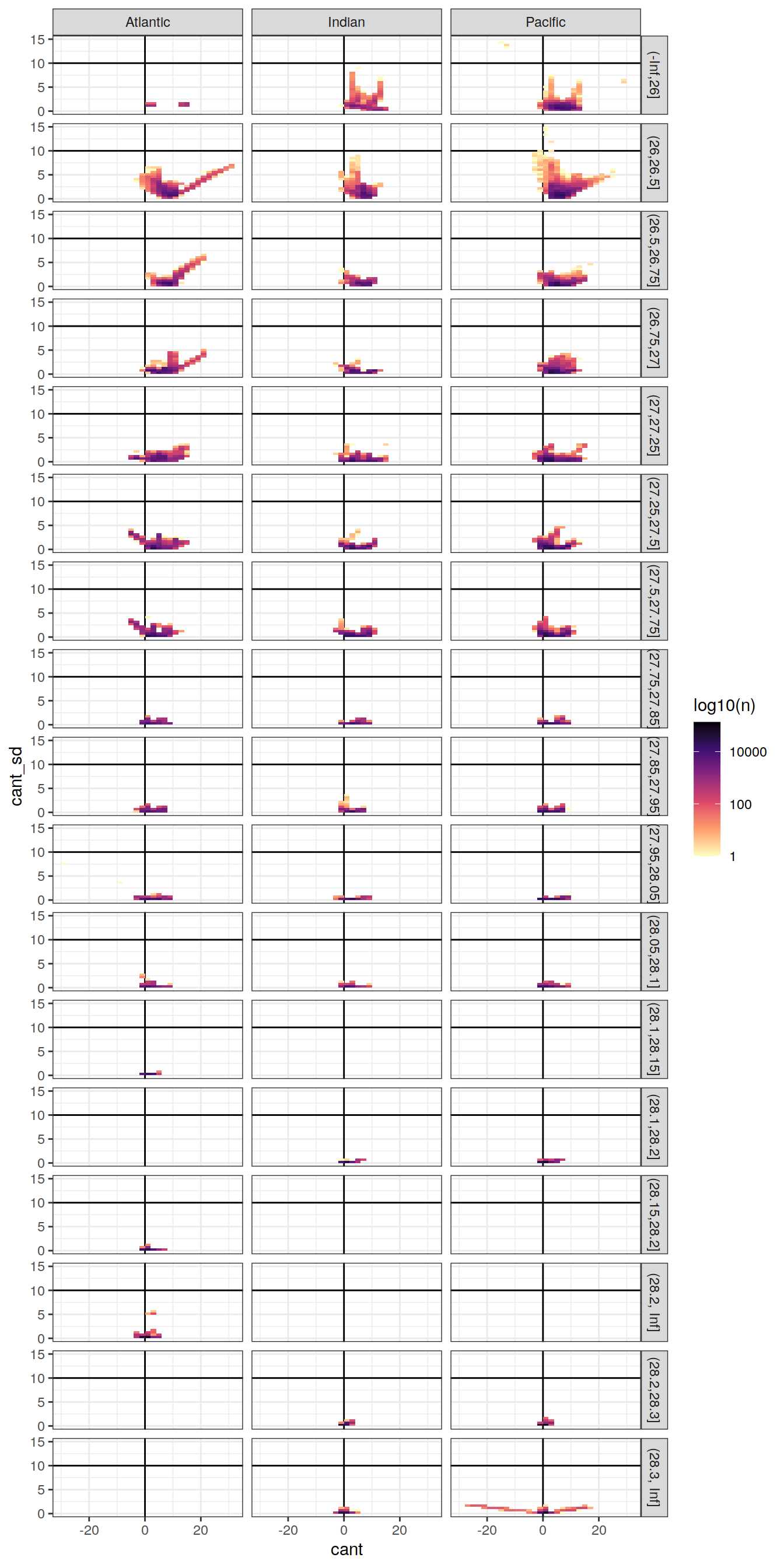
Standard deviation across Cant from all MLR models was calculate for each grid cell (XYZ). The zonal mean of this standard deviation should reflect the uncertainty associated to the predictor selection within each slab and era.
for (i_basin_AIP in unique(cant_zonal$basin_AIP)) {
for (i_eras in unique(cant_zonal$eras)) {
print(
p_section_zonal(
df = cant_zonal %>%
filter(basin_AIP == i_basin_AIP,
eras == i_eras),
var = "cant_sd_mean",
gamma = "gamma_mean",
legend_title = "sd",
title_text = "Zonal mean section of SD across models",
subtitle_text =
paste("Basin:", i_basin_AIP, "| eras:", i_eras)
)
)
}
}

| Version | Author | Date |
|---|---|---|
| 90f70da | Donghe-Zhu | 2021-08-06 |
| 496fa02 | Donghe-Zhu | 2021-08-05 |
| 19ecfe2 | Donghe-Zhu | 2021-08-05 |
| 3253031 | Donghe-Zhu | 2021-08-05 |
| 6c70952 | Donghe-Zhu | 2021-08-01 |
| 2666bd7 | Donghe-Zhu | 2021-08-01 |
| e51cfa2 | Donghe-Zhu | 2021-08-01 |
| 78cbc18 | Donghe-Zhu | 2021-08-01 |
| c55d4d7 | Donghe-Zhu | 2021-08-01 |
| 26741db | Donghe-Zhu | 2021-08-01 |
| ca539b5 | Donghe-Zhu | 2021-08-01 |
| 1e98138 | Donghe-Zhu | 2021-08-01 |
| 777b9e9 | Donghe-Zhu | 2021-08-01 |
| b110c47 | Donghe-Zhu | 2021-08-01 |
| 3611a48 | Donghe-Zhu | 2021-08-01 |
| af832ef | Donghe-Zhu | 2021-07-31 |
| 016f9ed | Donghe-Zhu | 2021-07-31 |
| 2080ac5 | Donghe-Zhu | 2021-07-31 |
| 50f0a16 | Donghe-Zhu | 2021-07-31 |
| 1682579 | Donghe-Zhu | 2021-07-31 |
| 9fa8832 | Donghe-Zhu | 2021-07-31 |
| 4abf542 | Donghe-Zhu | 2021-07-31 |
| a2483f0 | Donghe-Zhu | 2021-07-31 |
| 3300527 | Donghe-Zhu | 2021-07-31 |
| afeb6fd | Donghe-Zhu | 2021-07-31 |
| cb3ef32 | Donghe-Zhu | 2021-07-31 |
| 6528618 | Donghe-Zhu | 2021-07-31 |
| f50925e | Donghe-Zhu | 2021-07-31 |
| f4de2f3 | Donghe-Zhu | 2021-07-30 |
| 43bc7b4 | Donghe-Zhu | 2021-07-30 |
| f8c34a8 | Donghe-Zhu | 2021-07-30 |
| 4f897c4 | Donghe-Zhu | 2021-07-30 |
| 0f6e960 | Donghe-Zhu | 2021-07-30 |
| fe067ea | Donghe-Zhu | 2021-07-30 |
| fbca39a | Donghe-Zhu | 2021-07-30 |
| f945f95 | Donghe-Zhu | 2021-07-30 |
| a3006cd | Donghe-Zhu | 2021-07-30 |
| a55ffdc | Donghe-Zhu | 2021-07-30 |
| d5e4458 | Donghe-Zhu | 2021-07-30 |
| 10a97ef | Donghe-Zhu | 2021-07-30 |
| 1c501fd | Donghe-Zhu | 2021-07-30 |
| 68bce3f | Donghe-Zhu | 2021-07-30 |
| 400c457 | Donghe-Zhu | 2021-07-29 |
| 3ba7852 | Donghe-Zhu | 2021-07-29 |
| ec68363 | Donghe-Zhu | 2021-07-28 |
| d3018f6 | Donghe-Zhu | 2021-07-28 |
| b8ba2c4 | Donghe-Zhu | 2021-07-28 |
| a4ddd84 | Donghe-Zhu | 2021-07-27 |
| 7ef49ab | Donghe-Zhu | 2021-07-27 |
| da818c0 | Donghe-Zhu | 2021-07-27 |
| 8623898 | Donghe-Zhu | 2021-07-27 |
| f84b77c | Donghe-Zhu | 2021-07-27 |
| 70ad9a5 | Donghe-Zhu | 2021-07-27 |
| 0d0b48d | Donghe-Zhu | 2021-07-27 |
| d0d97c6 | Donghe-Zhu | 2021-07-27 |
| 829510d | Donghe-Zhu | 2021-07-27 |
| 780627d | Donghe-Zhu | 2021-07-27 |
| e9838c9 | Donghe-Zhu | 2021-07-27 |
| 2777f33 | Donghe-Zhu | 2021-07-27 |
| d19760f | Donghe-Zhu | 2021-07-27 |
| cac5680 | Donghe-Zhu | 2021-07-23 |
| 7bb279a | Donghe-Zhu | 2021-07-23 |
| d52eac4 | Donghe-Zhu | 2021-07-23 |
| dcf34b1 | Donghe-Zhu | 2021-07-23 |
| 419cb72 | Donghe-Zhu | 2021-07-22 |
| 9447d10 | Donghe-Zhu | 2021-07-22 |
| 639c9a0 | Donghe-Zhu | 2021-07-22 |
| 25bb96f | Donghe-Zhu | 2021-07-22 |
| cdc98a3 | Donghe-Zhu | 2021-07-22 |
| e4805a1 | Donghe-Zhu | 2021-07-22 |
| 7957fd1 | Donghe-Zhu | 2021-07-21 |
| b94be4e | Donghe-Zhu | 2021-07-21 |
| 9950e70 | Donghe-Zhu | 2021-07-21 |
| 698b6f0 | Donghe-Zhu | 2021-07-20 |
| d84a1cb | Donghe-Zhu | 2021-07-20 |
| 4dce223 | Donghe-Zhu | 2021-07-20 |
| 6f28c0c | Donghe-Zhu | 2021-07-20 |
| db1e7b7 | Donghe-Zhu | 2021-07-19 |
| ff0575d | Donghe-Zhu | 2021-07-19 |
| 5d60eac | Donghe-Zhu | 2021-07-19 |
| 57d0420 | Donghe-Zhu | 2021-07-16 |
| c1be8f6 | Donghe-Zhu | 2021-07-16 |
| 26a7c15 | Donghe-Zhu | 2021-07-16 |
| 046902b | Donghe-Zhu | 2021-07-16 |
| 3d4ac14 | Donghe-Zhu | 2021-07-15 |
| be6fff9 | Donghe-Zhu | 2021-07-15 |
| b473472 | Donghe-Zhu | 2021-07-15 |
| 363270a | Donghe-Zhu | 2021-07-15 |
| 8b75a03 | Donghe-Zhu | 2021-07-15 |
| a01e135 | Donghe-Zhu | 2021-07-07 |
| bc83ef2 | Donghe-Zhu | 2021-07-07 |
| 75e7b07 | Donghe-Zhu | 2021-07-06 |
| 697aa6d | Donghe-Zhu | 2021-07-06 |
| d52e2de | Donghe-Zhu | 2021-07-06 |
| f2bde6b | Donghe-Zhu | 2021-07-06 |
| 1133f28 | Donghe-Zhu | 2021-07-06 |
| fe3a1cd | Donghe-Zhu | 2021-07-06 |
| d9cdf15 | Donghe-Zhu | 2021-07-06 |
| ee4cd2d | Donghe-Zhu | 2021-07-06 |
| 93821c1 | Donghe-Zhu | 2021-07-05 |
| d44db8e | Donghe-Zhu | 2021-07-05 |
| 20b3436 | Donghe-Zhu | 2021-07-05 |
| d982ea5 | Donghe-Zhu | 2021-07-05 |
| 7397e53 | Donghe-Zhu | 2021-07-05 |
| f2e4805 | Donghe-Zhu | 2021-07-05 |
| e2d011a | Donghe-Zhu | 2021-07-05 |
| 85e0349 | Donghe-Zhu | 2021-07-05 |
| 6ee0146 | Donghe-Zhu | 2021-07-05 |
| a482a6b | Donghe-Zhu | 2021-07-05 |
| f59f1b3 | Donghe-Zhu | 2021-07-05 |
| 116bcab | Donghe-Zhu | 2021-07-04 |
| cb1c8dc | Donghe-Zhu | 2021-07-04 |
| c9bdd83 | Donghe-Zhu | 2021-07-04 |
| 1920ad9 | Donghe-Zhu | 2021-07-04 |
| 0b02791 | Donghe-Zhu | 2021-06-25 |
| caf62d8 | Donghe-Zhu | 2021-06-25 |
| 90a9da5 | Donghe-Zhu | 2021-06-25 |
| bb413c8 | Donghe-Zhu | 2021-06-25 |
| e7a5266 | Donghe-Zhu | 2021-06-24 |
| 7c57720 | Donghe-Zhu | 2021-06-24 |
| b5b95a9 | Donghe-Zhu | 2021-06-24 |
| 472aad4 | Donghe-Zhu | 2021-06-24 |
| d517836 | Donghe-Zhu | 2021-06-24 |
| 9221bfe | Donghe-Zhu | 2021-06-24 |
| bff5fbf | Donghe-Zhu | 2021-06-23 |
| 256a616 | Donghe-Zhu | 2021-06-23 |
| 00072e2 | Donghe-Zhu | 2021-06-23 |
| 7431530 | Donghe-Zhu | 2021-06-20 |
| d20c383 | Donghe-Zhu | 2021-06-18 |
| b0874a2 | Donghe-Zhu | 2021-06-17 |
| 72c2f2e | Donghe-Zhu | 2021-06-15 |
| d97dcb6 | Donghe-Zhu | 2021-06-08 |
| 25dda1d | Donghe-Zhu | 2021-06-08 |
| bd2bcc3 | Donghe-Zhu | 2021-06-08 |
| e9b27d7 | Donghe-Zhu | 2021-06-07 |
| 7ae0d4b | Donghe-Zhu | 2021-06-07 |
| 325391f | Donghe-Zhu | 2021-06-07 |
| ed89970 | Donghe-Zhu | 2021-06-07 |
| df37958 | Donghe-Zhu | 2021-06-07 |
| 812bf63 | Donghe-Zhu | 2021-06-06 |
| 65c89c8 | Donghe-Zhu | 2021-06-06 |
| 9baa3b2 | Donghe-Zhu | 2021-06-06 |
| b7d99cf | Donghe-Zhu | 2021-06-06 |
| 5d8fa90 | Donghe-Zhu | 2021-06-06 |
| dbe2a95 | Donghe-Zhu | 2021-05-28 |
| d50b039 | Donghe-Zhu | 2021-05-28 |
| 441ebe5 | Donghe-Zhu | 2021-05-28 |
| 6262ad3 | Donghe-Zhu | 2021-05-28 |
| a61aa77 | Donghe-Zhu | 2021-05-28 |
| b8dbce4 | Donghe-Zhu | 2021-05-28 |
| 94a833e | Donghe-Zhu | 2021-05-27 |
| 5e0bd64 | Donghe-Zhu | 2021-05-27 |
| af1eadd | Donghe-Zhu | 2021-05-27 |
| 9179bfe | Donghe-Zhu | 2021-05-27 |
| 28cbe5e | Donghe-Zhu | 2021-05-27 |
| a618f02 | Donghe-Zhu | 2021-05-27 |
| 4623e38 | Donghe-Zhu | 2021-05-27 |
| b81bb49 | Donghe-Zhu | 2021-05-27 |
| 951e188 | Donghe-Zhu | 2021-05-27 |
| e377833 | Donghe-Zhu | 2021-05-26 |
| 2705a04 | Donghe-Zhu | 2021-03-28 |
| cd5f759 | Donghe-Zhu | 2021-03-28 |
| 75dda4d | Donghe-Zhu | 2021-03-27 |
| 0b19f6e | Donghe-Zhu | 2021-03-27 |
| e2704ca | Donghe-Zhu | 2021-03-27 |
| 3061a0b | Donghe-Zhu | 2021-03-27 |
| b883157 | Donghe-Zhu | 2021-03-27 |
| d19654d | Donghe-Zhu | 2021-03-26 |
| 6c53dbf | Donghe-Zhu | 2021-03-25 |
| 1914a11 | Donghe-Zhu | 2021-03-24 |
| 8be810e | Donghe-Zhu | 2021-03-23 |
| bf19764 | Donghe-Zhu | 2021-03-22 |
| 3ec9d3d | Donghe-Zhu | 2021-03-22 |
| 134ace1 | Donghe-Zhu | 2021-03-22 |
| f6d70a4 | Donghe-Zhu | 2021-03-22 |
| 183443b | Donghe-Zhu | 2021-03-21 |
| 2e6976b | Donghe-Zhu | 2021-03-21 |
| 51a42bd | Donghe-Zhu | 2021-03-16 |
| f745381 | Donghe-Zhu | 2021-03-16 |
| aecbf75 | Donghe-Zhu | 2021-03-14 |
| 1b2a0c2 | Donghe-Zhu | 2021-03-14 |
| 6733e48 | Donghe-Zhu | 2021-03-12 |
| ba71e6a | Donghe-Zhu | 2021-03-12 |
| 9dbf5bd | Donghe-Zhu | 2021-03-11 |
| a49df30 | Donghe-Zhu | 2021-03-11 |
| b3348a5 | Donghe-Zhu | 2021-03-11 |
| 1c24ff7 | Donghe-Zhu | 2021-03-10 |
| 94ce5a8 | Donghe-Zhu | 2021-03-10 |
| db33928 | Donghe-Zhu | 2021-03-10 |
| 3d1f470 | Donghe-Zhu | 2021-03-10 |
| 9b7bc66 | Donghe-Zhu | 2021-03-10 |
| 4168b43 | Donghe-Zhu | 2021-03-10 |
| 5365f80 | Donghe-Zhu | 2021-03-10 |
| 2b6c392 | Donghe-Zhu | 2021-03-10 |
| 9f58753 | Donghe-Zhu | 2021-03-10 |
| f2a7146 | Donghe-Zhu | 2021-03-10 |
| fd528ed | Donghe-Zhu | 2021-03-10 |
| 9d5a62c | Donghe-Zhu | 2021-03-10 |
| 5d1e70b | Donghe-Zhu | 2021-03-10 |
| 2093979 | Donghe-Zhu | 2021-03-10 |
| b865899 | Donghe-Zhu | 2021-03-10 |
| cc2a956 | Donghe-Zhu | 2021-03-10 |
| 60689fb | Donghe-Zhu | 2021-03-10 |
| dba33c8 | Donghe-Zhu | 2021-03-09 |
| 17f1c4a | Donghe-Zhu | 2021-03-09 |
| c024d1a | Donghe-Zhu | 2021-03-09 |
| 02f7242 | Donghe-Zhu | 2021-03-09 |
| 6f50bc6 | Donghe-Zhu | 2021-03-09 |
| 1691156 | Donghe-Zhu | 2021-03-08 |
| c0ceaf8 | Donghe-Zhu | 2021-03-08 |
| 112dea0 | Donghe-Zhu | 2021-03-08 |
| 1843412 | Donghe-Zhu | 2021-03-08 |
| 3fbbfa4 | Donghe-Zhu | 2021-03-07 |
| 627c8fb | Donghe-Zhu | 2021-03-07 |
| 9ef3222 | Donghe-Zhu | 2021-03-05 |
| 8c1e978 | Donghe-Zhu | 2021-03-05 |
| 865f68c | Donghe-Zhu | 2021-03-05 |
| ee69bc1 | Donghe-Zhu | 2021-03-05 |
| a79291f | Donghe-Zhu | 2021-03-05 |
| e8c6f30 | Donghe-Zhu | 2021-03-04 |
| 59288fe | Donghe-Zhu | 2021-03-04 |
| 731abc8 | Donghe-Zhu | 2021-03-04 |
| e2a5a33 | Donghe-Zhu | 2021-03-04 |
| c7892c1 | Donghe-Zhu | 2021-03-04 |
| 924430b | Donghe-Zhu | 2021-03-03 |
| 0d0bca1 | Donghe-Zhu | 2021-03-03 |
| cb63c16 | Donghe-Zhu | 2021-03-03 |
| ffda45a | Donghe-Zhu | 2021-03-03 |
| 691ba81 | Donghe-Zhu | 2021-03-03 |
| c5e45a2 | Donghe-Zhu | 2021-03-03 |
| 89c3e58 | Donghe-Zhu | 2021-03-03 |
| c407a50 | Donghe-Zhu | 2021-03-03 |
| c911669 | Donghe-Zhu | 2021-03-03 |
| 13666ca | Donghe-Zhu | 2021-03-01 |
| c6e60fe | Donghe-Zhu | 2021-03-01 |
| 7a388f7 | Donghe-Zhu | 2021-03-01 |
| 799e913 | Donghe-Zhu | 2021-03-01 |
| 66ff99f | Donghe-Zhu | 2021-03-01 |
| ac9bb7a | Donghe-Zhu | 2021-02-28 |
| efdc047 | Donghe-Zhu | 2021-02-28 |
| e9a7418 | Donghe-Zhu | 2021-02-28 |
| e152917 | Donghe-Zhu | 2021-02-28 |
| 287123c | Donghe-Zhu | 2021-02-27 |
| 54d5b5b | Donghe-Zhu | 2021-02-27 |
| 330f064 | Donghe-Zhu | 2021-02-27 |
| adbc9bc | Donghe-Zhu | 2021-02-27 |
| 5937141 | Donghe-Zhu | 2021-02-27 |
| 4414bbf | Donghe-Zhu | 2021-02-27 |
| a265efb | Donghe-Zhu | 2021-02-27 |
| 19edd1e | Donghe-Zhu | 2021-02-27 |
| f20483f | Donghe-Zhu | 2021-02-26 |
| 6a2c7b3 | Donghe-Zhu | 2021-02-25 |
| 354c224 | Donghe-Zhu | 2021-02-24 |
| 1a0a88a | Donghe-Zhu | 2021-02-24 |
| 57f701e | Donghe-Zhu | 2021-02-24 |
| 06f3149 | Donghe-Zhu | 2021-02-16 |
| 401eab3 | Donghe-Zhu | 2021-02-15 |
| e3bba84 | Donghe-Zhu | 2021-02-15 |
| 5dce4b1 | Donghe-Zhu | 2021-02-15 |
| 4469a0c | Donghe-Zhu | 2021-02-13 |
| 5ae6a69 | Donghe-Zhu | 2021-02-10 |
| 05385dc | Donghe-Zhu | 2021-02-10 |
| f791ae4 | Donghe-Zhu | 2021-02-09 |
| f71ae34 | Donghe-Zhu | 2021-02-09 |
| c011832 | Donghe-Zhu | 2021-02-09 |
| a145fa7 | Donghe-Zhu | 2021-02-09 |
| c344e42 | Donghe-Zhu | 2021-02-08 |
| 2f095d7 | Donghe-Zhu | 2021-02-07 |
| 2305044 | Donghe-Zhu | 2021-02-07 |
| 1fad5f1 | Donghe-Zhu | 2021-02-07 |
| ca03c39 | Donghe-Zhu | 2021-02-07 |
| e2ffc14 | Donghe-Zhu | 2021-02-05 |
| cd7c52c | Donghe-Zhu | 2021-02-04 |
| bcf84f4 | Donghe-Zhu | 2021-02-02 |
| a518739 | Donghe-Zhu | 2021-02-01 |
| 61666de | Donghe-Zhu | 2021-01-31 |
| 865b582 | Donghe-Zhu | 2021-01-31 |
| 3e68089 | Donghe-Zhu | 2021-01-31 |
| ecf335c | Donghe-Zhu | 2021-01-31 |
| a618965 | Donghe-Zhu | 2021-01-31 |
| 59e006e | Donghe-Zhu | 2021-01-31 |
| a1c8f87 | Donghe-Zhu | 2021-01-31 |
| b50fe52 | Donghe-Zhu | 2021-01-31 |
| ac99ae5 | jens-daniel-mueller | 2021-01-29 |
| b5bdcaf | Donghe-Zhu | 2021-01-29 |
| 442010d | Donghe-Zhu | 2021-01-29 |
| 372adf5 | Donghe-Zhu | 2021-01-29 |
| af8788e | Donghe-Zhu | 2021-01-29 |
| 21c91c9 | Donghe-Zhu | 2021-01-29 |
| eded038 | Donghe-Zhu | 2021-01-29 |
| 541d4dd | Donghe-Zhu | 2021-01-29 |
| 6a75576 | Donghe-Zhu | 2021-01-28 |
| 16fba40 | Donghe-Zhu | 2021-01-28 |
| 12bc567 | Donghe-Zhu | 2021-01-27 |
| ceed31b | Donghe-Zhu | 2021-01-27 |
| 342402d | Donghe-Zhu | 2021-01-27 |
| 5bad5c2 | Donghe-Zhu | 2021-01-27 |
| 61efb56 | Donghe-Zhu | 2021-01-25 |
| 48f638e | Donghe-Zhu | 2021-01-25 |
| c1cec47 | Donghe-Zhu | 2021-01-25 |
| 05ffb0c | Donghe-Zhu | 2021-01-25 |
| 8b97165 | Donghe-Zhu | 2021-01-25 |
| c569946 | Donghe-Zhu | 2021-01-24 |
| a2f0d56 | Donghe-Zhu | 2021-01-23 |
| 28509fc | Donghe-Zhu | 2021-01-23 |
| 4c28e4a | Donghe-Zhu | 2021-01-22 |
| 24cc264 | jens-daniel-mueller | 2021-01-22 |
| 7891955 | Donghe-Zhu | 2021-01-21 |
| d4cf1cb | Donghe-Zhu | 2021-01-21 |
| 1f3e5b6 | jens-daniel-mueller | 2021-01-20 |
| 0e7bdf1 | jens-daniel-mueller | 2021-01-15 |
| 4571843 | jens-daniel-mueller | 2021-01-14 |
| b3564aa | jens-daniel-mueller | 2021-01-14 |
| 8d032c3 | jens-daniel-mueller | 2021-01-14 |
| 022871c | Donghe-Zhu | 2021-01-13 |

| Version | Author | Date |
|---|---|---|
| 90f70da | Donghe-Zhu | 2021-08-06 |
| 496fa02 | Donghe-Zhu | 2021-08-05 |
| 19ecfe2 | Donghe-Zhu | 2021-08-05 |
| 3253031 | Donghe-Zhu | 2021-08-05 |
| 6c70952 | Donghe-Zhu | 2021-08-01 |
| 2666bd7 | Donghe-Zhu | 2021-08-01 |
| e51cfa2 | Donghe-Zhu | 2021-08-01 |
| 78cbc18 | Donghe-Zhu | 2021-08-01 |
| c55d4d7 | Donghe-Zhu | 2021-08-01 |
| 26741db | Donghe-Zhu | 2021-08-01 |
| ca539b5 | Donghe-Zhu | 2021-08-01 |
| 1e98138 | Donghe-Zhu | 2021-08-01 |
| 777b9e9 | Donghe-Zhu | 2021-08-01 |
| b110c47 | Donghe-Zhu | 2021-08-01 |
| 3611a48 | Donghe-Zhu | 2021-08-01 |
| af832ef | Donghe-Zhu | 2021-07-31 |
| 016f9ed | Donghe-Zhu | 2021-07-31 |
| 2080ac5 | Donghe-Zhu | 2021-07-31 |
| 50f0a16 | Donghe-Zhu | 2021-07-31 |
| 1682579 | Donghe-Zhu | 2021-07-31 |
| 9fa8832 | Donghe-Zhu | 2021-07-31 |
| 4abf542 | Donghe-Zhu | 2021-07-31 |
| a2483f0 | Donghe-Zhu | 2021-07-31 |
| 3300527 | Donghe-Zhu | 2021-07-31 |
| afeb6fd | Donghe-Zhu | 2021-07-31 |
| cb3ef32 | Donghe-Zhu | 2021-07-31 |
| 6528618 | Donghe-Zhu | 2021-07-31 |
| f50925e | Donghe-Zhu | 2021-07-31 |
| f4de2f3 | Donghe-Zhu | 2021-07-30 |
| 43bc7b4 | Donghe-Zhu | 2021-07-30 |
| f8c34a8 | Donghe-Zhu | 2021-07-30 |
| 4f897c4 | Donghe-Zhu | 2021-07-30 |
| 0f6e960 | Donghe-Zhu | 2021-07-30 |
| fe067ea | Donghe-Zhu | 2021-07-30 |
| fbca39a | Donghe-Zhu | 2021-07-30 |
| f945f95 | Donghe-Zhu | 2021-07-30 |
| a3006cd | Donghe-Zhu | 2021-07-30 |
| a55ffdc | Donghe-Zhu | 2021-07-30 |
| d5e4458 | Donghe-Zhu | 2021-07-30 |
| 10a97ef | Donghe-Zhu | 2021-07-30 |
| 1c501fd | Donghe-Zhu | 2021-07-30 |
| 68bce3f | Donghe-Zhu | 2021-07-30 |
| 400c457 | Donghe-Zhu | 2021-07-29 |
| 3ba7852 | Donghe-Zhu | 2021-07-29 |
| ec68363 | Donghe-Zhu | 2021-07-28 |
| d3018f6 | Donghe-Zhu | 2021-07-28 |
| b8ba2c4 | Donghe-Zhu | 2021-07-28 |
| a4ddd84 | Donghe-Zhu | 2021-07-27 |
| 7ef49ab | Donghe-Zhu | 2021-07-27 |
| da818c0 | Donghe-Zhu | 2021-07-27 |
| 8623898 | Donghe-Zhu | 2021-07-27 |
| f84b77c | Donghe-Zhu | 2021-07-27 |
| 70ad9a5 | Donghe-Zhu | 2021-07-27 |
| 0d0b48d | Donghe-Zhu | 2021-07-27 |
| d0d97c6 | Donghe-Zhu | 2021-07-27 |
| 829510d | Donghe-Zhu | 2021-07-27 |
| 780627d | Donghe-Zhu | 2021-07-27 |
| e9838c9 | Donghe-Zhu | 2021-07-27 |
| 2777f33 | Donghe-Zhu | 2021-07-27 |
| d19760f | Donghe-Zhu | 2021-07-27 |
| cac5680 | Donghe-Zhu | 2021-07-23 |
| 7bb279a | Donghe-Zhu | 2021-07-23 |
| d52eac4 | Donghe-Zhu | 2021-07-23 |
| dcf34b1 | Donghe-Zhu | 2021-07-23 |
| 419cb72 | Donghe-Zhu | 2021-07-22 |
| 9447d10 | Donghe-Zhu | 2021-07-22 |
| 639c9a0 | Donghe-Zhu | 2021-07-22 |
| 25bb96f | Donghe-Zhu | 2021-07-22 |
| cdc98a3 | Donghe-Zhu | 2021-07-22 |
| e4805a1 | Donghe-Zhu | 2021-07-22 |
| 7957fd1 | Donghe-Zhu | 2021-07-21 |
| b94be4e | Donghe-Zhu | 2021-07-21 |
| 9950e70 | Donghe-Zhu | 2021-07-21 |
| 698b6f0 | Donghe-Zhu | 2021-07-20 |
| d84a1cb | Donghe-Zhu | 2021-07-20 |
| 4dce223 | Donghe-Zhu | 2021-07-20 |
| 6f28c0c | Donghe-Zhu | 2021-07-20 |
| db1e7b7 | Donghe-Zhu | 2021-07-19 |
| ff0575d | Donghe-Zhu | 2021-07-19 |
| 5d60eac | Donghe-Zhu | 2021-07-19 |
| 57d0420 | Donghe-Zhu | 2021-07-16 |
| c1be8f6 | Donghe-Zhu | 2021-07-16 |
| 26a7c15 | Donghe-Zhu | 2021-07-16 |
| 046902b | Donghe-Zhu | 2021-07-16 |
| 3d4ac14 | Donghe-Zhu | 2021-07-15 |
| be6fff9 | Donghe-Zhu | 2021-07-15 |
| b473472 | Donghe-Zhu | 2021-07-15 |
| 363270a | Donghe-Zhu | 2021-07-15 |
| 8b75a03 | Donghe-Zhu | 2021-07-15 |
| a01e135 | Donghe-Zhu | 2021-07-07 |
| bc83ef2 | Donghe-Zhu | 2021-07-07 |
| 75e7b07 | Donghe-Zhu | 2021-07-06 |
| 697aa6d | Donghe-Zhu | 2021-07-06 |
| d52e2de | Donghe-Zhu | 2021-07-06 |
| f2bde6b | Donghe-Zhu | 2021-07-06 |
| 1133f28 | Donghe-Zhu | 2021-07-06 |
| fe3a1cd | Donghe-Zhu | 2021-07-06 |
| d9cdf15 | Donghe-Zhu | 2021-07-06 |
| ee4cd2d | Donghe-Zhu | 2021-07-06 |
| 93821c1 | Donghe-Zhu | 2021-07-05 |
| d44db8e | Donghe-Zhu | 2021-07-05 |
| 20b3436 | Donghe-Zhu | 2021-07-05 |
| d982ea5 | Donghe-Zhu | 2021-07-05 |
| 7397e53 | Donghe-Zhu | 2021-07-05 |
| f2e4805 | Donghe-Zhu | 2021-07-05 |
| e2d011a | Donghe-Zhu | 2021-07-05 |
| 85e0349 | Donghe-Zhu | 2021-07-05 |
| 6ee0146 | Donghe-Zhu | 2021-07-05 |
| a482a6b | Donghe-Zhu | 2021-07-05 |
| f59f1b3 | Donghe-Zhu | 2021-07-05 |
| 116bcab | Donghe-Zhu | 2021-07-04 |
| cb1c8dc | Donghe-Zhu | 2021-07-04 |
| c9bdd83 | Donghe-Zhu | 2021-07-04 |
| 1920ad9 | Donghe-Zhu | 2021-07-04 |
| 0b02791 | Donghe-Zhu | 2021-06-25 |
| caf62d8 | Donghe-Zhu | 2021-06-25 |
| 90a9da5 | Donghe-Zhu | 2021-06-25 |
| bb413c8 | Donghe-Zhu | 2021-06-25 |
| e7a5266 | Donghe-Zhu | 2021-06-24 |
| 7c57720 | Donghe-Zhu | 2021-06-24 |
| b5b95a9 | Donghe-Zhu | 2021-06-24 |
| 472aad4 | Donghe-Zhu | 2021-06-24 |
| d517836 | Donghe-Zhu | 2021-06-24 |
| 9221bfe | Donghe-Zhu | 2021-06-24 |
| bff5fbf | Donghe-Zhu | 2021-06-23 |
| 256a616 | Donghe-Zhu | 2021-06-23 |
| 00072e2 | Donghe-Zhu | 2021-06-23 |
| 7431530 | Donghe-Zhu | 2021-06-20 |
| d20c383 | Donghe-Zhu | 2021-06-18 |
| b0874a2 | Donghe-Zhu | 2021-06-17 |
| 72c2f2e | Donghe-Zhu | 2021-06-15 |
| d97dcb6 | Donghe-Zhu | 2021-06-08 |
| 25dda1d | Donghe-Zhu | 2021-06-08 |
| bd2bcc3 | Donghe-Zhu | 2021-06-08 |
| e9b27d7 | Donghe-Zhu | 2021-06-07 |
| 7ae0d4b | Donghe-Zhu | 2021-06-07 |
| 325391f | Donghe-Zhu | 2021-06-07 |
| ed89970 | Donghe-Zhu | 2021-06-07 |
| df37958 | Donghe-Zhu | 2021-06-07 |
| 812bf63 | Donghe-Zhu | 2021-06-06 |
| 65c89c8 | Donghe-Zhu | 2021-06-06 |
| 9baa3b2 | Donghe-Zhu | 2021-06-06 |
| b7d99cf | Donghe-Zhu | 2021-06-06 |
| 5d8fa90 | Donghe-Zhu | 2021-06-06 |
| dbe2a95 | Donghe-Zhu | 2021-05-28 |
| d50b039 | Donghe-Zhu | 2021-05-28 |
| 441ebe5 | Donghe-Zhu | 2021-05-28 |
| 6262ad3 | Donghe-Zhu | 2021-05-28 |
| a61aa77 | Donghe-Zhu | 2021-05-28 |
| b8dbce4 | Donghe-Zhu | 2021-05-28 |
| 94a833e | Donghe-Zhu | 2021-05-27 |
| 5e0bd64 | Donghe-Zhu | 2021-05-27 |
| af1eadd | Donghe-Zhu | 2021-05-27 |
| 9179bfe | Donghe-Zhu | 2021-05-27 |
| 28cbe5e | Donghe-Zhu | 2021-05-27 |
| a618f02 | Donghe-Zhu | 2021-05-27 |
| 4623e38 | Donghe-Zhu | 2021-05-27 |
| b81bb49 | Donghe-Zhu | 2021-05-27 |
| 951e188 | Donghe-Zhu | 2021-05-27 |
| e377833 | Donghe-Zhu | 2021-05-26 |
| 2705a04 | Donghe-Zhu | 2021-03-28 |
| cd5f759 | Donghe-Zhu | 2021-03-28 |
| 75dda4d | Donghe-Zhu | 2021-03-27 |
| 0b19f6e | Donghe-Zhu | 2021-03-27 |
| e2704ca | Donghe-Zhu | 2021-03-27 |
| 3061a0b | Donghe-Zhu | 2021-03-27 |
| b883157 | Donghe-Zhu | 2021-03-27 |
| d19654d | Donghe-Zhu | 2021-03-26 |
| 6c53dbf | Donghe-Zhu | 2021-03-25 |
| 1914a11 | Donghe-Zhu | 2021-03-24 |
| 8be810e | Donghe-Zhu | 2021-03-23 |
| bf19764 | Donghe-Zhu | 2021-03-22 |
| 3ec9d3d | Donghe-Zhu | 2021-03-22 |
| 134ace1 | Donghe-Zhu | 2021-03-22 |
| f6d70a4 | Donghe-Zhu | 2021-03-22 |
| 183443b | Donghe-Zhu | 2021-03-21 |
| 2e6976b | Donghe-Zhu | 2021-03-21 |
| 51a42bd | Donghe-Zhu | 2021-03-16 |
| f745381 | Donghe-Zhu | 2021-03-16 |
| aecbf75 | Donghe-Zhu | 2021-03-14 |
| 1b2a0c2 | Donghe-Zhu | 2021-03-14 |
| 6733e48 | Donghe-Zhu | 2021-03-12 |
| ba71e6a | Donghe-Zhu | 2021-03-12 |
| 9dbf5bd | Donghe-Zhu | 2021-03-11 |
| a49df30 | Donghe-Zhu | 2021-03-11 |
| b3348a5 | Donghe-Zhu | 2021-03-11 |
| 1c24ff7 | Donghe-Zhu | 2021-03-10 |
| 94ce5a8 | Donghe-Zhu | 2021-03-10 |
| db33928 | Donghe-Zhu | 2021-03-10 |
| 3d1f470 | Donghe-Zhu | 2021-03-10 |
| 9b7bc66 | Donghe-Zhu | 2021-03-10 |
| 4168b43 | Donghe-Zhu | 2021-03-10 |
| 5365f80 | Donghe-Zhu | 2021-03-10 |
| 2b6c392 | Donghe-Zhu | 2021-03-10 |
| 9f58753 | Donghe-Zhu | 2021-03-10 |
| f2a7146 | Donghe-Zhu | 2021-03-10 |
| fd528ed | Donghe-Zhu | 2021-03-10 |
| 9d5a62c | Donghe-Zhu | 2021-03-10 |
| 5d1e70b | Donghe-Zhu | 2021-03-10 |
| 2093979 | Donghe-Zhu | 2021-03-10 |
| b865899 | Donghe-Zhu | 2021-03-10 |
| cc2a956 | Donghe-Zhu | 2021-03-10 |
| 60689fb | Donghe-Zhu | 2021-03-10 |
| dba33c8 | Donghe-Zhu | 2021-03-09 |
| 17f1c4a | Donghe-Zhu | 2021-03-09 |
| c024d1a | Donghe-Zhu | 2021-03-09 |
| 02f7242 | Donghe-Zhu | 2021-03-09 |
| 6f50bc6 | Donghe-Zhu | 2021-03-09 |
| 1691156 | Donghe-Zhu | 2021-03-08 |
| c0ceaf8 | Donghe-Zhu | 2021-03-08 |
| 112dea0 | Donghe-Zhu | 2021-03-08 |
| 1843412 | Donghe-Zhu | 2021-03-08 |
| 3fbbfa4 | Donghe-Zhu | 2021-03-07 |
| 627c8fb | Donghe-Zhu | 2021-03-07 |
| 9ef3222 | Donghe-Zhu | 2021-03-05 |
| 8c1e978 | Donghe-Zhu | 2021-03-05 |
| 865f68c | Donghe-Zhu | 2021-03-05 |
| ee69bc1 | Donghe-Zhu | 2021-03-05 |
| a79291f | Donghe-Zhu | 2021-03-05 |
| e8c6f30 | Donghe-Zhu | 2021-03-04 |
| 59288fe | Donghe-Zhu | 2021-03-04 |
| 731abc8 | Donghe-Zhu | 2021-03-04 |
| e2a5a33 | Donghe-Zhu | 2021-03-04 |
| c7892c1 | Donghe-Zhu | 2021-03-04 |
| 924430b | Donghe-Zhu | 2021-03-03 |
| 0d0bca1 | Donghe-Zhu | 2021-03-03 |
| cb63c16 | Donghe-Zhu | 2021-03-03 |
| ffda45a | Donghe-Zhu | 2021-03-03 |
| 691ba81 | Donghe-Zhu | 2021-03-03 |
| c5e45a2 | Donghe-Zhu | 2021-03-03 |
| 89c3e58 | Donghe-Zhu | 2021-03-03 |
| c407a50 | Donghe-Zhu | 2021-03-03 |
| c911669 | Donghe-Zhu | 2021-03-03 |
| 13666ca | Donghe-Zhu | 2021-03-01 |
| c6e60fe | Donghe-Zhu | 2021-03-01 |
| 7a388f7 | Donghe-Zhu | 2021-03-01 |
| 799e913 | Donghe-Zhu | 2021-03-01 |
| 66ff99f | Donghe-Zhu | 2021-03-01 |
| ac9bb7a | Donghe-Zhu | 2021-02-28 |
| efdc047 | Donghe-Zhu | 2021-02-28 |
| e9a7418 | Donghe-Zhu | 2021-02-28 |
| e152917 | Donghe-Zhu | 2021-02-28 |
| 287123c | Donghe-Zhu | 2021-02-27 |
| 54d5b5b | Donghe-Zhu | 2021-02-27 |
| 330f064 | Donghe-Zhu | 2021-02-27 |
| adbc9bc | Donghe-Zhu | 2021-02-27 |
| 5937141 | Donghe-Zhu | 2021-02-27 |
| 4414bbf | Donghe-Zhu | 2021-02-27 |
| a265efb | Donghe-Zhu | 2021-02-27 |
| 19edd1e | Donghe-Zhu | 2021-02-27 |
| f20483f | Donghe-Zhu | 2021-02-26 |
| 6a2c7b3 | Donghe-Zhu | 2021-02-25 |
| 354c224 | Donghe-Zhu | 2021-02-24 |
| 1a0a88a | Donghe-Zhu | 2021-02-24 |
| 57f701e | Donghe-Zhu | 2021-02-24 |
| 06f3149 | Donghe-Zhu | 2021-02-16 |
| 401eab3 | Donghe-Zhu | 2021-02-15 |
| e3bba84 | Donghe-Zhu | 2021-02-15 |
| 5dce4b1 | Donghe-Zhu | 2021-02-15 |
| 4469a0c | Donghe-Zhu | 2021-02-13 |
| 5ae6a69 | Donghe-Zhu | 2021-02-10 |
| 05385dc | Donghe-Zhu | 2021-02-10 |
| f791ae4 | Donghe-Zhu | 2021-02-09 |
| c011832 | Donghe-Zhu | 2021-02-09 |
| a145fa7 | Donghe-Zhu | 2021-02-09 |
| c344e42 | Donghe-Zhu | 2021-02-08 |
| 2f095d7 | Donghe-Zhu | 2021-02-07 |
| 2305044 | Donghe-Zhu | 2021-02-07 |
| 1fad5f1 | Donghe-Zhu | 2021-02-07 |
| ca03c39 | Donghe-Zhu | 2021-02-07 |
| e2ffc14 | Donghe-Zhu | 2021-02-05 |
| cd7c52c | Donghe-Zhu | 2021-02-04 |
| bcf84f4 | Donghe-Zhu | 2021-02-02 |
| a518739 | Donghe-Zhu | 2021-02-01 |
| 61666de | Donghe-Zhu | 2021-01-31 |
| 865b582 | Donghe-Zhu | 2021-01-31 |
| 3e68089 | Donghe-Zhu | 2021-01-31 |
| ecf335c | Donghe-Zhu | 2021-01-31 |
| a618965 | Donghe-Zhu | 2021-01-31 |
| 59e006e | Donghe-Zhu | 2021-01-31 |
| a1c8f87 | Donghe-Zhu | 2021-01-31 |
| b50fe52 | Donghe-Zhu | 2021-01-31 |
| ac99ae5 | jens-daniel-mueller | 2021-01-29 |
| b5bdcaf | Donghe-Zhu | 2021-01-29 |
| 442010d | Donghe-Zhu | 2021-01-29 |
| 372adf5 | Donghe-Zhu | 2021-01-29 |
| af8788e | Donghe-Zhu | 2021-01-29 |
| 21c91c9 | Donghe-Zhu | 2021-01-29 |
| eded038 | Donghe-Zhu | 2021-01-29 |
| 541d4dd | Donghe-Zhu | 2021-01-29 |
| 6a75576 | Donghe-Zhu | 2021-01-28 |
| 16fba40 | Donghe-Zhu | 2021-01-28 |
| 12bc567 | Donghe-Zhu | 2021-01-27 |
| ceed31b | Donghe-Zhu | 2021-01-27 |
| 342402d | Donghe-Zhu | 2021-01-27 |
| 5bad5c2 | Donghe-Zhu | 2021-01-27 |
| 61efb56 | Donghe-Zhu | 2021-01-25 |
| 48f638e | Donghe-Zhu | 2021-01-25 |
| c1cec47 | Donghe-Zhu | 2021-01-25 |
| 05ffb0c | Donghe-Zhu | 2021-01-25 |
| 8b97165 | Donghe-Zhu | 2021-01-25 |
| c569946 | Donghe-Zhu | 2021-01-24 |
| a2f0d56 | Donghe-Zhu | 2021-01-23 |
| 28509fc | Donghe-Zhu | 2021-01-23 |
| 4c28e4a | Donghe-Zhu | 2021-01-22 |
| 24cc264 | jens-daniel-mueller | 2021-01-22 |
| 7891955 | Donghe-Zhu | 2021-01-21 |
| d4cf1cb | Donghe-Zhu | 2021-01-21 |
| 1f3e5b6 | jens-daniel-mueller | 2021-01-20 |
| 0e7bdf1 | jens-daniel-mueller | 2021-01-15 |
| 4571843 | jens-daniel-mueller | 2021-01-14 |
| b3564aa | jens-daniel-mueller | 2021-01-14 |
| 8d032c3 | jens-daniel-mueller | 2021-01-14 |
| 022871c | Donghe-Zhu | 2021-01-13 |

| Version | Author | Date |
|---|---|---|
| 90f70da | Donghe-Zhu | 2021-08-06 |
| 496fa02 | Donghe-Zhu | 2021-08-05 |
| 19ecfe2 | Donghe-Zhu | 2021-08-05 |
| 3253031 | Donghe-Zhu | 2021-08-05 |
| 6c70952 | Donghe-Zhu | 2021-08-01 |
| 2666bd7 | Donghe-Zhu | 2021-08-01 |
| e51cfa2 | Donghe-Zhu | 2021-08-01 |
| 78cbc18 | Donghe-Zhu | 2021-08-01 |
| c55d4d7 | Donghe-Zhu | 2021-08-01 |
| 26741db | Donghe-Zhu | 2021-08-01 |
| ca539b5 | Donghe-Zhu | 2021-08-01 |
| 1e98138 | Donghe-Zhu | 2021-08-01 |
| 777b9e9 | Donghe-Zhu | 2021-08-01 |
| b110c47 | Donghe-Zhu | 2021-08-01 |
| 3611a48 | Donghe-Zhu | 2021-08-01 |
| af832ef | Donghe-Zhu | 2021-07-31 |
| 016f9ed | Donghe-Zhu | 2021-07-31 |
| 2080ac5 | Donghe-Zhu | 2021-07-31 |
| 50f0a16 | Donghe-Zhu | 2021-07-31 |
| 1682579 | Donghe-Zhu | 2021-07-31 |
| 9fa8832 | Donghe-Zhu | 2021-07-31 |
| 4abf542 | Donghe-Zhu | 2021-07-31 |
| a2483f0 | Donghe-Zhu | 2021-07-31 |
| 3300527 | Donghe-Zhu | 2021-07-31 |
| afeb6fd | Donghe-Zhu | 2021-07-31 |
| cb3ef32 | Donghe-Zhu | 2021-07-31 |
| 6528618 | Donghe-Zhu | 2021-07-31 |
| f50925e | Donghe-Zhu | 2021-07-31 |
| f4de2f3 | Donghe-Zhu | 2021-07-30 |
| 43bc7b4 | Donghe-Zhu | 2021-07-30 |
| f8c34a8 | Donghe-Zhu | 2021-07-30 |
| 4f897c4 | Donghe-Zhu | 2021-07-30 |
| 0f6e960 | Donghe-Zhu | 2021-07-30 |
| fe067ea | Donghe-Zhu | 2021-07-30 |
| fbca39a | Donghe-Zhu | 2021-07-30 |
| f945f95 | Donghe-Zhu | 2021-07-30 |
| a3006cd | Donghe-Zhu | 2021-07-30 |
| a55ffdc | Donghe-Zhu | 2021-07-30 |
| d5e4458 | Donghe-Zhu | 2021-07-30 |
| 10a97ef | Donghe-Zhu | 2021-07-30 |
| 1c501fd | Donghe-Zhu | 2021-07-30 |
| 68bce3f | Donghe-Zhu | 2021-07-30 |
| 400c457 | Donghe-Zhu | 2021-07-29 |
| 3ba7852 | Donghe-Zhu | 2021-07-29 |
| ec68363 | Donghe-Zhu | 2021-07-28 |
| d3018f6 | Donghe-Zhu | 2021-07-28 |
| b8ba2c4 | Donghe-Zhu | 2021-07-28 |
| a4ddd84 | Donghe-Zhu | 2021-07-27 |
| 7ef49ab | Donghe-Zhu | 2021-07-27 |
| da818c0 | Donghe-Zhu | 2021-07-27 |
| 8623898 | Donghe-Zhu | 2021-07-27 |
| f84b77c | Donghe-Zhu | 2021-07-27 |
| 70ad9a5 | Donghe-Zhu | 2021-07-27 |
| 0d0b48d | Donghe-Zhu | 2021-07-27 |
| d0d97c6 | Donghe-Zhu | 2021-07-27 |
| 829510d | Donghe-Zhu | 2021-07-27 |
| 780627d | Donghe-Zhu | 2021-07-27 |
| e9838c9 | Donghe-Zhu | 2021-07-27 |
| 2777f33 | Donghe-Zhu | 2021-07-27 |
| d19760f | Donghe-Zhu | 2021-07-27 |
| cac5680 | Donghe-Zhu | 2021-07-23 |
| 7bb279a | Donghe-Zhu | 2021-07-23 |
| d52eac4 | Donghe-Zhu | 2021-07-23 |
| dcf34b1 | Donghe-Zhu | 2021-07-23 |
| 9447d10 | Donghe-Zhu | 2021-07-22 |
| cdc98a3 | Donghe-Zhu | 2021-07-22 |
| e4805a1 | Donghe-Zhu | 2021-07-22 |
| 7957fd1 | Donghe-Zhu | 2021-07-21 |
| b94be4e | Donghe-Zhu | 2021-07-21 |
| 9950e70 | Donghe-Zhu | 2021-07-21 |
| d84a1cb | Donghe-Zhu | 2021-07-20 |
| 6f28c0c | Donghe-Zhu | 2021-07-20 |
| db1e7b7 | Donghe-Zhu | 2021-07-19 |
| ff0575d | Donghe-Zhu | 2021-07-19 |
| 5d60eac | Donghe-Zhu | 2021-07-19 |
| 57d0420 | Donghe-Zhu | 2021-07-16 |
| c1be8f6 | Donghe-Zhu | 2021-07-16 |
| 26a7c15 | Donghe-Zhu | 2021-07-16 |
| 046902b | Donghe-Zhu | 2021-07-16 |
| 3d4ac14 | Donghe-Zhu | 2021-07-15 |
| be6fff9 | Donghe-Zhu | 2021-07-15 |
| b473472 | Donghe-Zhu | 2021-07-15 |
| 363270a | Donghe-Zhu | 2021-07-15 |
| 8b75a03 | Donghe-Zhu | 2021-07-15 |
| a01e135 | Donghe-Zhu | 2021-07-07 |
| bc83ef2 | Donghe-Zhu | 2021-07-07 |
| 75e7b07 | Donghe-Zhu | 2021-07-06 |
| 697aa6d | Donghe-Zhu | 2021-07-06 |
| d52e2de | Donghe-Zhu | 2021-07-06 |
| f2bde6b | Donghe-Zhu | 2021-07-06 |
| 1133f28 | Donghe-Zhu | 2021-07-06 |
| fe3a1cd | Donghe-Zhu | 2021-07-06 |
| d9cdf15 | Donghe-Zhu | 2021-07-06 |
| ee4cd2d | Donghe-Zhu | 2021-07-06 |
| 93821c1 | Donghe-Zhu | 2021-07-05 |
| d44db8e | Donghe-Zhu | 2021-07-05 |
| 20b3436 | Donghe-Zhu | 2021-07-05 |
| d982ea5 | Donghe-Zhu | 2021-07-05 |
| 7397e53 | Donghe-Zhu | 2021-07-05 |
| f2e4805 | Donghe-Zhu | 2021-07-05 |
| e2d011a | Donghe-Zhu | 2021-07-05 |
| 85e0349 | Donghe-Zhu | 2021-07-05 |
| 6ee0146 | Donghe-Zhu | 2021-07-05 |
| a482a6b | Donghe-Zhu | 2021-07-05 |
| f59f1b3 | Donghe-Zhu | 2021-07-05 |
| 116bcab | Donghe-Zhu | 2021-07-04 |
| cb1c8dc | Donghe-Zhu | 2021-07-04 |
| c9bdd83 | Donghe-Zhu | 2021-07-04 |
| 1920ad9 | Donghe-Zhu | 2021-07-04 |
| 0b02791 | Donghe-Zhu | 2021-06-25 |
| caf62d8 | Donghe-Zhu | 2021-06-25 |
| 90a9da5 | Donghe-Zhu | 2021-06-25 |
| bb413c8 | Donghe-Zhu | 2021-06-25 |
| e7a5266 | Donghe-Zhu | 2021-06-24 |
| 7c57720 | Donghe-Zhu | 2021-06-24 |
| b5b95a9 | Donghe-Zhu | 2021-06-24 |
| 472aad4 | Donghe-Zhu | 2021-06-24 |
| d517836 | Donghe-Zhu | 2021-06-24 |
| 9221bfe | Donghe-Zhu | 2021-06-24 |
| bff5fbf | Donghe-Zhu | 2021-06-23 |
| 256a616 | Donghe-Zhu | 2021-06-23 |
| 00072e2 | Donghe-Zhu | 2021-06-23 |
| 7431530 | Donghe-Zhu | 2021-06-20 |
| d20c383 | Donghe-Zhu | 2021-06-18 |
| b0874a2 | Donghe-Zhu | 2021-06-17 |
| 72c2f2e | Donghe-Zhu | 2021-06-15 |
| d97dcb6 | Donghe-Zhu | 2021-06-08 |
| 25dda1d | Donghe-Zhu | 2021-06-08 |
| bd2bcc3 | Donghe-Zhu | 2021-06-08 |
| e9b27d7 | Donghe-Zhu | 2021-06-07 |
| 7ae0d4b | Donghe-Zhu | 2021-06-07 |
| 325391f | Donghe-Zhu | 2021-06-07 |
| ed89970 | Donghe-Zhu | 2021-06-07 |
| df37958 | Donghe-Zhu | 2021-06-07 |
| 812bf63 | Donghe-Zhu | 2021-06-06 |
| 65c89c8 | Donghe-Zhu | 2021-06-06 |
| 9baa3b2 | Donghe-Zhu | 2021-06-06 |
| b7d99cf | Donghe-Zhu | 2021-06-06 |
| 5d8fa90 | Donghe-Zhu | 2021-06-06 |
| dbe2a95 | Donghe-Zhu | 2021-05-28 |
| d50b039 | Donghe-Zhu | 2021-05-28 |
| 441ebe5 | Donghe-Zhu | 2021-05-28 |
| 6262ad3 | Donghe-Zhu | 2021-05-28 |
| a61aa77 | Donghe-Zhu | 2021-05-28 |
| b8dbce4 | Donghe-Zhu | 2021-05-28 |
| 94a833e | Donghe-Zhu | 2021-05-27 |
| 5e0bd64 | Donghe-Zhu | 2021-05-27 |
| af1eadd | Donghe-Zhu | 2021-05-27 |
| 9179bfe | Donghe-Zhu | 2021-05-27 |
| 28cbe5e | Donghe-Zhu | 2021-05-27 |
| a618f02 | Donghe-Zhu | 2021-05-27 |
| 4623e38 | Donghe-Zhu | 2021-05-27 |
| b81bb49 | Donghe-Zhu | 2021-05-27 |
| 951e188 | Donghe-Zhu | 2021-05-27 |
| e377833 | Donghe-Zhu | 2021-05-26 |
| 2705a04 | Donghe-Zhu | 2021-03-28 |
| cd5f759 | Donghe-Zhu | 2021-03-28 |
| 75dda4d | Donghe-Zhu | 2021-03-27 |
| 0b19f6e | Donghe-Zhu | 2021-03-27 |
| e2704ca | Donghe-Zhu | 2021-03-27 |
| 3061a0b | Donghe-Zhu | 2021-03-27 |
| b883157 | Donghe-Zhu | 2021-03-27 |
| d19654d | Donghe-Zhu | 2021-03-26 |
| 6c53dbf | Donghe-Zhu | 2021-03-25 |
| 1914a11 | Donghe-Zhu | 2021-03-24 |
| 8be810e | Donghe-Zhu | 2021-03-23 |
| bf19764 | Donghe-Zhu | 2021-03-22 |
| 3ec9d3d | Donghe-Zhu | 2021-03-22 |
| 134ace1 | Donghe-Zhu | 2021-03-22 |
| f6d70a4 | Donghe-Zhu | 2021-03-22 |
| 183443b | Donghe-Zhu | 2021-03-21 |
| 2e6976b | Donghe-Zhu | 2021-03-21 |
| 51a42bd | Donghe-Zhu | 2021-03-16 |
| f745381 | Donghe-Zhu | 2021-03-16 |
| aecbf75 | Donghe-Zhu | 2021-03-14 |
| 1b2a0c2 | Donghe-Zhu | 2021-03-14 |
| 6733e48 | Donghe-Zhu | 2021-03-12 |
| ba71e6a | Donghe-Zhu | 2021-03-12 |
| 9dbf5bd | Donghe-Zhu | 2021-03-11 |
| a49df30 | Donghe-Zhu | 2021-03-11 |
| b3348a5 | Donghe-Zhu | 2021-03-11 |
| 1c24ff7 | Donghe-Zhu | 2021-03-10 |
| 94ce5a8 | Donghe-Zhu | 2021-03-10 |
| db33928 | Donghe-Zhu | 2021-03-10 |
| 3d1f470 | Donghe-Zhu | 2021-03-10 |
| 9b7bc66 | Donghe-Zhu | 2021-03-10 |
| 4168b43 | Donghe-Zhu | 2021-03-10 |
| 5365f80 | Donghe-Zhu | 2021-03-10 |
| 9f58753 | Donghe-Zhu | 2021-03-10 |
| f2a7146 | Donghe-Zhu | 2021-03-10 |
| fd528ed | Donghe-Zhu | 2021-03-10 |
| 9d5a62c | Donghe-Zhu | 2021-03-10 |
| 5d1e70b | Donghe-Zhu | 2021-03-10 |
| 2093979 | Donghe-Zhu | 2021-03-10 |
| b865899 | Donghe-Zhu | 2021-03-10 |
| cc2a956 | Donghe-Zhu | 2021-03-10 |
| 60689fb | Donghe-Zhu | 2021-03-10 |
| dba33c8 | Donghe-Zhu | 2021-03-09 |
| 17f1c4a | Donghe-Zhu | 2021-03-09 |
| c024d1a | Donghe-Zhu | 2021-03-09 |
| 02f7242 | Donghe-Zhu | 2021-03-09 |
| 6f50bc6 | Donghe-Zhu | 2021-03-09 |
| 1691156 | Donghe-Zhu | 2021-03-08 |
| c0ceaf8 | Donghe-Zhu | 2021-03-08 |
| 058e0a1 | Donghe-Zhu | 2021-03-08 |
| 112dea0 | Donghe-Zhu | 2021-03-08 |
| 1843412 | Donghe-Zhu | 2021-03-08 |
| 3fbbfa4 | Donghe-Zhu | 2021-03-07 |
| 627c8fb | Donghe-Zhu | 2021-03-07 |
| 9ef3222 | Donghe-Zhu | 2021-03-05 |
| 8c1e978 | Donghe-Zhu | 2021-03-05 |
| 865f68c | Donghe-Zhu | 2021-03-05 |
| ee69bc1 | Donghe-Zhu | 2021-03-05 |
| a79291f | Donghe-Zhu | 2021-03-05 |
| e8c6f30 | Donghe-Zhu | 2021-03-04 |
| 59288fe | Donghe-Zhu | 2021-03-04 |
| 731abc8 | Donghe-Zhu | 2021-03-04 |
| e2a5a33 | Donghe-Zhu | 2021-03-04 |
| c7892c1 | Donghe-Zhu | 2021-03-04 |
| 924430b | Donghe-Zhu | 2021-03-03 |
| 0d0bca1 | Donghe-Zhu | 2021-03-03 |
| cb63c16 | Donghe-Zhu | 2021-03-03 |
| 691ba81 | Donghe-Zhu | 2021-03-03 |
| c5e45a2 | Donghe-Zhu | 2021-03-03 |
| 89c3e58 | Donghe-Zhu | 2021-03-03 |
| c407a50 | Donghe-Zhu | 2021-03-03 |
| c911669 | Donghe-Zhu | 2021-03-03 |
| 13666ca | Donghe-Zhu | 2021-03-01 |
| c6e60fe | Donghe-Zhu | 2021-03-01 |
| 7a388f7 | Donghe-Zhu | 2021-03-01 |
| 799e913 | Donghe-Zhu | 2021-03-01 |
| 66ff99f | Donghe-Zhu | 2021-03-01 |
| ac9bb7a | Donghe-Zhu | 2021-02-28 |
| efdc047 | Donghe-Zhu | 2021-02-28 |
| e9a7418 | Donghe-Zhu | 2021-02-28 |
| e152917 | Donghe-Zhu | 2021-02-28 |
| 287123c | Donghe-Zhu | 2021-02-27 |
| 54d5b5b | Donghe-Zhu | 2021-02-27 |
| 330f064 | Donghe-Zhu | 2021-02-27 |
| adbc9bc | Donghe-Zhu | 2021-02-27 |
| 5937141 | Donghe-Zhu | 2021-02-27 |
| 4414bbf | Donghe-Zhu | 2021-02-27 |
| a265efb | Donghe-Zhu | 2021-02-27 |
| 19edd1e | Donghe-Zhu | 2021-02-27 |
| f20483f | Donghe-Zhu | 2021-02-26 |
| 6a2c7b3 | Donghe-Zhu | 2021-02-25 |
| 354c224 | Donghe-Zhu | 2021-02-24 |
| 1a0a88a | Donghe-Zhu | 2021-02-24 |
| 57f701e | Donghe-Zhu | 2021-02-24 |
| 06f3149 | Donghe-Zhu | 2021-02-16 |
| e3bba84 | Donghe-Zhu | 2021-02-15 |
| 5dce4b1 | Donghe-Zhu | 2021-02-15 |
| 4469a0c | Donghe-Zhu | 2021-02-13 |
| 5ae6a69 | Donghe-Zhu | 2021-02-10 |
| 05385dc | Donghe-Zhu | 2021-02-10 |
| f791ae4 | Donghe-Zhu | 2021-02-09 |
| f71ae34 | Donghe-Zhu | 2021-02-09 |
| c011832 | Donghe-Zhu | 2021-02-09 |
| a145fa7 | Donghe-Zhu | 2021-02-09 |
| c344e42 | Donghe-Zhu | 2021-02-08 |
| 2f095d7 | Donghe-Zhu | 2021-02-07 |
| 2305044 | Donghe-Zhu | 2021-02-07 |
| 1fad5f1 | Donghe-Zhu | 2021-02-07 |
| ca03c39 | Donghe-Zhu | 2021-02-07 |
| e2ffc14 | Donghe-Zhu | 2021-02-05 |
| cd7c52c | Donghe-Zhu | 2021-02-04 |
| bcf84f4 | Donghe-Zhu | 2021-02-02 |
| a518739 | Donghe-Zhu | 2021-02-01 |
| 61666de | Donghe-Zhu | 2021-01-31 |
| 865b582 | Donghe-Zhu | 2021-01-31 |
| 3e68089 | Donghe-Zhu | 2021-01-31 |
| ecf335c | Donghe-Zhu | 2021-01-31 |
| a618965 | Donghe-Zhu | 2021-01-31 |
| 59e006e | Donghe-Zhu | 2021-01-31 |
| a1c8f87 | Donghe-Zhu | 2021-01-31 |
| ae5c18f | Donghe-Zhu | 2021-01-31 |
| b50fe52 | Donghe-Zhu | 2021-01-31 |
| ac99ae5 | jens-daniel-mueller | 2021-01-29 |
| b5bdcaf | Donghe-Zhu | 2021-01-29 |
| 442010d | Donghe-Zhu | 2021-01-29 |
| 372adf5 | Donghe-Zhu | 2021-01-29 |
| af8788e | Donghe-Zhu | 2021-01-29 |
| 21c91c9 | Donghe-Zhu | 2021-01-29 |
| eded038 | Donghe-Zhu | 2021-01-29 |
| 541d4dd | Donghe-Zhu | 2021-01-29 |
| 6a75576 | Donghe-Zhu | 2021-01-28 |
| 16fba40 | Donghe-Zhu | 2021-01-28 |
| 12bc567 | Donghe-Zhu | 2021-01-27 |
| ceed31b | Donghe-Zhu | 2021-01-27 |
| 342402d | Donghe-Zhu | 2021-01-27 |
| 5bad5c2 | Donghe-Zhu | 2021-01-27 |
| 61efb56 | Donghe-Zhu | 2021-01-25 |
| 48f638e | Donghe-Zhu | 2021-01-25 |
| c1cec47 | Donghe-Zhu | 2021-01-25 |
| 05ffb0c | Donghe-Zhu | 2021-01-25 |
| 8b97165 | Donghe-Zhu | 2021-01-25 |
| c569946 | Donghe-Zhu | 2021-01-24 |
| a2f0d56 | Donghe-Zhu | 2021-01-23 |
| 28509fc | Donghe-Zhu | 2021-01-23 |
| 4c28e4a | Donghe-Zhu | 2021-01-22 |
| 24cc264 | jens-daniel-mueller | 2021-01-22 |
| 7891955 | Donghe-Zhu | 2021-01-21 |
| d4cf1cb | Donghe-Zhu | 2021-01-21 |
| 1f3e5b6 | jens-daniel-mueller | 2021-01-20 |
| 0e7bdf1 | jens-daniel-mueller | 2021-01-15 |
| 4571843 | jens-daniel-mueller | 2021-01-14 |
| b3564aa | jens-daniel-mueller | 2021-01-14 |
| 8d032c3 | jens-daniel-mueller | 2021-01-14 |
| 022871c | Donghe-Zhu | 2021-01-13 |

| Version | Author | Date |
|---|---|---|
| 90f70da | Donghe-Zhu | 2021-08-06 |
| 496fa02 | Donghe-Zhu | 2021-08-05 |
| 19ecfe2 | Donghe-Zhu | 2021-08-05 |
| 3253031 | Donghe-Zhu | 2021-08-05 |
| 6c70952 | Donghe-Zhu | 2021-08-01 |
| 2666bd7 | Donghe-Zhu | 2021-08-01 |
| e51cfa2 | Donghe-Zhu | 2021-08-01 |
| 78cbc18 | Donghe-Zhu | 2021-08-01 |
| c55d4d7 | Donghe-Zhu | 2021-08-01 |
| 26741db | Donghe-Zhu | 2021-08-01 |
| ca539b5 | Donghe-Zhu | 2021-08-01 |
| 1e98138 | Donghe-Zhu | 2021-08-01 |
| 777b9e9 | Donghe-Zhu | 2021-08-01 |
| b110c47 | Donghe-Zhu | 2021-08-01 |
| 3611a48 | Donghe-Zhu | 2021-08-01 |
| af832ef | Donghe-Zhu | 2021-07-31 |
| 016f9ed | Donghe-Zhu | 2021-07-31 |
| 2080ac5 | Donghe-Zhu | 2021-07-31 |
| 50f0a16 | Donghe-Zhu | 2021-07-31 |
| 1682579 | Donghe-Zhu | 2021-07-31 |
| 9fa8832 | Donghe-Zhu | 2021-07-31 |
| 4abf542 | Donghe-Zhu | 2021-07-31 |
| a2483f0 | Donghe-Zhu | 2021-07-31 |
| 3300527 | Donghe-Zhu | 2021-07-31 |
| afeb6fd | Donghe-Zhu | 2021-07-31 |
| cb3ef32 | Donghe-Zhu | 2021-07-31 |
| 6528618 | Donghe-Zhu | 2021-07-31 |
| f50925e | Donghe-Zhu | 2021-07-31 |
| f4de2f3 | Donghe-Zhu | 2021-07-30 |
| 43bc7b4 | Donghe-Zhu | 2021-07-30 |
| f8c34a8 | Donghe-Zhu | 2021-07-30 |
| 4f897c4 | Donghe-Zhu | 2021-07-30 |
| 0f6e960 | Donghe-Zhu | 2021-07-30 |
| fe067ea | Donghe-Zhu | 2021-07-30 |
| fbca39a | Donghe-Zhu | 2021-07-30 |
| f945f95 | Donghe-Zhu | 2021-07-30 |
| a3006cd | Donghe-Zhu | 2021-07-30 |
| a55ffdc | Donghe-Zhu | 2021-07-30 |
| d5e4458 | Donghe-Zhu | 2021-07-30 |
| 10a97ef | Donghe-Zhu | 2021-07-30 |
| 1c501fd | Donghe-Zhu | 2021-07-30 |
| 68bce3f | Donghe-Zhu | 2021-07-30 |
| 400c457 | Donghe-Zhu | 2021-07-29 |
| 3ba7852 | Donghe-Zhu | 2021-07-29 |
| ec68363 | Donghe-Zhu | 2021-07-28 |
| d3018f6 | Donghe-Zhu | 2021-07-28 |
| b8ba2c4 | Donghe-Zhu | 2021-07-28 |
| a4ddd84 | Donghe-Zhu | 2021-07-27 |
| 7ef49ab | Donghe-Zhu | 2021-07-27 |
| da818c0 | Donghe-Zhu | 2021-07-27 |
| 8623898 | Donghe-Zhu | 2021-07-27 |
| f84b77c | Donghe-Zhu | 2021-07-27 |
| 70ad9a5 | Donghe-Zhu | 2021-07-27 |
| 0d0b48d | Donghe-Zhu | 2021-07-27 |
| d0d97c6 | Donghe-Zhu | 2021-07-27 |
| 829510d | Donghe-Zhu | 2021-07-27 |
| 780627d | Donghe-Zhu | 2021-07-27 |
| e9838c9 | Donghe-Zhu | 2021-07-27 |
| 2777f33 | Donghe-Zhu | 2021-07-27 |
| d19760f | Donghe-Zhu | 2021-07-27 |
| cac5680 | Donghe-Zhu | 2021-07-23 |
| 7bb279a | Donghe-Zhu | 2021-07-23 |
| d52eac4 | Donghe-Zhu | 2021-07-23 |
| dcf34b1 | Donghe-Zhu | 2021-07-23 |
| 9447d10 | Donghe-Zhu | 2021-07-22 |
| cdc98a3 | Donghe-Zhu | 2021-07-22 |
| e4805a1 | Donghe-Zhu | 2021-07-22 |
| 7957fd1 | Donghe-Zhu | 2021-07-21 |
| b94be4e | Donghe-Zhu | 2021-07-21 |
| 9950e70 | Donghe-Zhu | 2021-07-21 |
| d84a1cb | Donghe-Zhu | 2021-07-20 |
| 6f28c0c | Donghe-Zhu | 2021-07-20 |
| db1e7b7 | Donghe-Zhu | 2021-07-19 |
| ff0575d | Donghe-Zhu | 2021-07-19 |
| 5d60eac | Donghe-Zhu | 2021-07-19 |
| 57d0420 | Donghe-Zhu | 2021-07-16 |
| c1be8f6 | Donghe-Zhu | 2021-07-16 |
| 26a7c15 | Donghe-Zhu | 2021-07-16 |
| 046902b | Donghe-Zhu | 2021-07-16 |
| 3d4ac14 | Donghe-Zhu | 2021-07-15 |
| be6fff9 | Donghe-Zhu | 2021-07-15 |
| b473472 | Donghe-Zhu | 2021-07-15 |
| 363270a | Donghe-Zhu | 2021-07-15 |
| 8b75a03 | Donghe-Zhu | 2021-07-15 |
| a01e135 | Donghe-Zhu | 2021-07-07 |
| bc83ef2 | Donghe-Zhu | 2021-07-07 |
| 75e7b07 | Donghe-Zhu | 2021-07-06 |
| 697aa6d | Donghe-Zhu | 2021-07-06 |
| d52e2de | Donghe-Zhu | 2021-07-06 |
| f2bde6b | Donghe-Zhu | 2021-07-06 |
| 1133f28 | Donghe-Zhu | 2021-07-06 |
| fe3a1cd | Donghe-Zhu | 2021-07-06 |
| d9cdf15 | Donghe-Zhu | 2021-07-06 |
| ee4cd2d | Donghe-Zhu | 2021-07-06 |
| 93821c1 | Donghe-Zhu | 2021-07-05 |
| d44db8e | Donghe-Zhu | 2021-07-05 |
| 20b3436 | Donghe-Zhu | 2021-07-05 |
| d982ea5 | Donghe-Zhu | 2021-07-05 |
| 7397e53 | Donghe-Zhu | 2021-07-05 |
| f2e4805 | Donghe-Zhu | 2021-07-05 |
| e2d011a | Donghe-Zhu | 2021-07-05 |
| 85e0349 | Donghe-Zhu | 2021-07-05 |
| 6ee0146 | Donghe-Zhu | 2021-07-05 |
| a482a6b | Donghe-Zhu | 2021-07-05 |
| f59f1b3 | Donghe-Zhu | 2021-07-05 |
| 116bcab | Donghe-Zhu | 2021-07-04 |
| cb1c8dc | Donghe-Zhu | 2021-07-04 |
| c9bdd83 | Donghe-Zhu | 2021-07-04 |
| 1920ad9 | Donghe-Zhu | 2021-07-04 |
| 0b02791 | Donghe-Zhu | 2021-06-25 |
| caf62d8 | Donghe-Zhu | 2021-06-25 |
| 90a9da5 | Donghe-Zhu | 2021-06-25 |
| bb413c8 | Donghe-Zhu | 2021-06-25 |
| e7a5266 | Donghe-Zhu | 2021-06-24 |
| 7c57720 | Donghe-Zhu | 2021-06-24 |
| b5b95a9 | Donghe-Zhu | 2021-06-24 |
| 472aad4 | Donghe-Zhu | 2021-06-24 |
| d517836 | Donghe-Zhu | 2021-06-24 |
| 9221bfe | Donghe-Zhu | 2021-06-24 |
| bff5fbf | Donghe-Zhu | 2021-06-23 |
| 256a616 | Donghe-Zhu | 2021-06-23 |
| 00072e2 | Donghe-Zhu | 2021-06-23 |
| 7431530 | Donghe-Zhu | 2021-06-20 |
| d20c383 | Donghe-Zhu | 2021-06-18 |
| b0874a2 | Donghe-Zhu | 2021-06-17 |
| 72c2f2e | Donghe-Zhu | 2021-06-15 |
| d97dcb6 | Donghe-Zhu | 2021-06-08 |
| 25dda1d | Donghe-Zhu | 2021-06-08 |
| bd2bcc3 | Donghe-Zhu | 2021-06-08 |
| e9b27d7 | Donghe-Zhu | 2021-06-07 |
| 7ae0d4b | Donghe-Zhu | 2021-06-07 |
| 325391f | Donghe-Zhu | 2021-06-07 |
| ed89970 | Donghe-Zhu | 2021-06-07 |
| df37958 | Donghe-Zhu | 2021-06-07 |
| 812bf63 | Donghe-Zhu | 2021-06-06 |
| 65c89c8 | Donghe-Zhu | 2021-06-06 |
| 9baa3b2 | Donghe-Zhu | 2021-06-06 |
| b7d99cf | Donghe-Zhu | 2021-06-06 |
| 5d8fa90 | Donghe-Zhu | 2021-06-06 |
| dbe2a95 | Donghe-Zhu | 2021-05-28 |
| d50b039 | Donghe-Zhu | 2021-05-28 |
| 441ebe5 | Donghe-Zhu | 2021-05-28 |
| 6262ad3 | Donghe-Zhu | 2021-05-28 |
| a61aa77 | Donghe-Zhu | 2021-05-28 |
| b8dbce4 | Donghe-Zhu | 2021-05-28 |
| 94a833e | Donghe-Zhu | 2021-05-27 |
| 5e0bd64 | Donghe-Zhu | 2021-05-27 |
| af1eadd | Donghe-Zhu | 2021-05-27 |
| 9179bfe | Donghe-Zhu | 2021-05-27 |
| 28cbe5e | Donghe-Zhu | 2021-05-27 |
| a618f02 | Donghe-Zhu | 2021-05-27 |
| 4623e38 | Donghe-Zhu | 2021-05-27 |
| b81bb49 | Donghe-Zhu | 2021-05-27 |
| 951e188 | Donghe-Zhu | 2021-05-27 |
| e377833 | Donghe-Zhu | 2021-05-26 |
| 2705a04 | Donghe-Zhu | 2021-03-28 |
| cd5f759 | Donghe-Zhu | 2021-03-28 |
| 75dda4d | Donghe-Zhu | 2021-03-27 |
| 0b19f6e | Donghe-Zhu | 2021-03-27 |
| e2704ca | Donghe-Zhu | 2021-03-27 |
| 3061a0b | Donghe-Zhu | 2021-03-27 |
| b883157 | Donghe-Zhu | 2021-03-27 |
| d19654d | Donghe-Zhu | 2021-03-26 |
| 6c53dbf | Donghe-Zhu | 2021-03-25 |
| 1914a11 | Donghe-Zhu | 2021-03-24 |
| 8be810e | Donghe-Zhu | 2021-03-23 |
| bf19764 | Donghe-Zhu | 2021-03-22 |
| 3ec9d3d | Donghe-Zhu | 2021-03-22 |
| 134ace1 | Donghe-Zhu | 2021-03-22 |
| f6d70a4 | Donghe-Zhu | 2021-03-22 |
| 183443b | Donghe-Zhu | 2021-03-21 |
| 2e6976b | Donghe-Zhu | 2021-03-21 |
| 51a42bd | Donghe-Zhu | 2021-03-16 |
| f745381 | Donghe-Zhu | 2021-03-16 |
| aecbf75 | Donghe-Zhu | 2021-03-14 |
| 1b2a0c2 | Donghe-Zhu | 2021-03-14 |
| 6733e48 | Donghe-Zhu | 2021-03-12 |
| ba71e6a | Donghe-Zhu | 2021-03-12 |
| 9dbf5bd | Donghe-Zhu | 2021-03-11 |
| a49df30 | Donghe-Zhu | 2021-03-11 |
| b3348a5 | Donghe-Zhu | 2021-03-11 |
| 1c24ff7 | Donghe-Zhu | 2021-03-10 |
| 94ce5a8 | Donghe-Zhu | 2021-03-10 |
| db33928 | Donghe-Zhu | 2021-03-10 |
| 3d1f470 | Donghe-Zhu | 2021-03-10 |
| 9b7bc66 | Donghe-Zhu | 2021-03-10 |
| 4168b43 | Donghe-Zhu | 2021-03-10 |
| 5365f80 | Donghe-Zhu | 2021-03-10 |
| 9f58753 | Donghe-Zhu | 2021-03-10 |
| f2a7146 | Donghe-Zhu | 2021-03-10 |
| fd528ed | Donghe-Zhu | 2021-03-10 |
| 9d5a62c | Donghe-Zhu | 2021-03-10 |
| 5d1e70b | Donghe-Zhu | 2021-03-10 |
| 2093979 | Donghe-Zhu | 2021-03-10 |
| b865899 | Donghe-Zhu | 2021-03-10 |
| cc2a956 | Donghe-Zhu | 2021-03-10 |
| 60689fb | Donghe-Zhu | 2021-03-10 |
| dba33c8 | Donghe-Zhu | 2021-03-09 |
| 17f1c4a | Donghe-Zhu | 2021-03-09 |
| c024d1a | Donghe-Zhu | 2021-03-09 |
| 02f7242 | Donghe-Zhu | 2021-03-09 |
| 6f50bc6 | Donghe-Zhu | 2021-03-09 |
| 1691156 | Donghe-Zhu | 2021-03-08 |
| c0ceaf8 | Donghe-Zhu | 2021-03-08 |
| 058e0a1 | Donghe-Zhu | 2021-03-08 |
| 112dea0 | Donghe-Zhu | 2021-03-08 |
| 1843412 | Donghe-Zhu | 2021-03-08 |
| 3fbbfa4 | Donghe-Zhu | 2021-03-07 |
| 627c8fb | Donghe-Zhu | 2021-03-07 |
| 9ef3222 | Donghe-Zhu | 2021-03-05 |
| 8c1e978 | Donghe-Zhu | 2021-03-05 |
| 865f68c | Donghe-Zhu | 2021-03-05 |
| ee69bc1 | Donghe-Zhu | 2021-03-05 |
| a79291f | Donghe-Zhu | 2021-03-05 |
| e8c6f30 | Donghe-Zhu | 2021-03-04 |
| 59288fe | Donghe-Zhu | 2021-03-04 |
| 731abc8 | Donghe-Zhu | 2021-03-04 |
| e2a5a33 | Donghe-Zhu | 2021-03-04 |
| c7892c1 | Donghe-Zhu | 2021-03-04 |
| 924430b | Donghe-Zhu | 2021-03-03 |
| 0d0bca1 | Donghe-Zhu | 2021-03-03 |
| cb63c16 | Donghe-Zhu | 2021-03-03 |
| 691ba81 | Donghe-Zhu | 2021-03-03 |
| c5e45a2 | Donghe-Zhu | 2021-03-03 |
| 89c3e58 | Donghe-Zhu | 2021-03-03 |
| c407a50 | Donghe-Zhu | 2021-03-03 |
| c911669 | Donghe-Zhu | 2021-03-03 |
| 13666ca | Donghe-Zhu | 2021-03-01 |
| c6e60fe | Donghe-Zhu | 2021-03-01 |
| 7a388f7 | Donghe-Zhu | 2021-03-01 |
| 799e913 | Donghe-Zhu | 2021-03-01 |
| 66ff99f | Donghe-Zhu | 2021-03-01 |
| ac9bb7a | Donghe-Zhu | 2021-02-28 |
| efdc047 | Donghe-Zhu | 2021-02-28 |
| e9a7418 | Donghe-Zhu | 2021-02-28 |
| e152917 | Donghe-Zhu | 2021-02-28 |
| 287123c | Donghe-Zhu | 2021-02-27 |
| 54d5b5b | Donghe-Zhu | 2021-02-27 |
| 330f064 | Donghe-Zhu | 2021-02-27 |
| adbc9bc | Donghe-Zhu | 2021-02-27 |
| 5937141 | Donghe-Zhu | 2021-02-27 |
| 4414bbf | Donghe-Zhu | 2021-02-27 |
| a265efb | Donghe-Zhu | 2021-02-27 |
| 19edd1e | Donghe-Zhu | 2021-02-27 |
| f20483f | Donghe-Zhu | 2021-02-26 |
| 6a2c7b3 | Donghe-Zhu | 2021-02-25 |
| 354c224 | Donghe-Zhu | 2021-02-24 |
| 1a0a88a | Donghe-Zhu | 2021-02-24 |
| 57f701e | Donghe-Zhu | 2021-02-24 |
| 06f3149 | Donghe-Zhu | 2021-02-16 |
| e3bba84 | Donghe-Zhu | 2021-02-15 |
| 5dce4b1 | Donghe-Zhu | 2021-02-15 |
| 4469a0c | Donghe-Zhu | 2021-02-13 |
| 5ae6a69 | Donghe-Zhu | 2021-02-10 |
| 05385dc | Donghe-Zhu | 2021-02-10 |
| f791ae4 | Donghe-Zhu | 2021-02-09 |
| c011832 | Donghe-Zhu | 2021-02-09 |
| a145fa7 | Donghe-Zhu | 2021-02-09 |
| c344e42 | Donghe-Zhu | 2021-02-08 |
| 2f095d7 | Donghe-Zhu | 2021-02-07 |
| 2305044 | Donghe-Zhu | 2021-02-07 |
| 1fad5f1 | Donghe-Zhu | 2021-02-07 |
| ca03c39 | Donghe-Zhu | 2021-02-07 |
| e2ffc14 | Donghe-Zhu | 2021-02-05 |
| cd7c52c | Donghe-Zhu | 2021-02-04 |
| bcf84f4 | Donghe-Zhu | 2021-02-02 |
| a518739 | Donghe-Zhu | 2021-02-01 |
| 61666de | Donghe-Zhu | 2021-01-31 |
| 865b582 | Donghe-Zhu | 2021-01-31 |
| 3e68089 | Donghe-Zhu | 2021-01-31 |
| ecf335c | Donghe-Zhu | 2021-01-31 |
| a618965 | Donghe-Zhu | 2021-01-31 |
| 59e006e | Donghe-Zhu | 2021-01-31 |
| a1c8f87 | Donghe-Zhu | 2021-01-31 |
| ae5c18f | Donghe-Zhu | 2021-01-31 |
| b50fe52 | Donghe-Zhu | 2021-01-31 |
| ac99ae5 | jens-daniel-mueller | 2021-01-29 |
| b5bdcaf | Donghe-Zhu | 2021-01-29 |
| 442010d | Donghe-Zhu | 2021-01-29 |
| 372adf5 | Donghe-Zhu | 2021-01-29 |
| af8788e | Donghe-Zhu | 2021-01-29 |
| 21c91c9 | Donghe-Zhu | 2021-01-29 |
| eded038 | Donghe-Zhu | 2021-01-29 |
| 541d4dd | Donghe-Zhu | 2021-01-29 |
| 6a75576 | Donghe-Zhu | 2021-01-28 |
| 16fba40 | Donghe-Zhu | 2021-01-28 |
| 12bc567 | Donghe-Zhu | 2021-01-27 |
| ceed31b | Donghe-Zhu | 2021-01-27 |
| 342402d | Donghe-Zhu | 2021-01-27 |
| 5bad5c2 | Donghe-Zhu | 2021-01-27 |
| 61efb56 | Donghe-Zhu | 2021-01-25 |
| 48f638e | Donghe-Zhu | 2021-01-25 |
| c1cec47 | Donghe-Zhu | 2021-01-25 |
| 05ffb0c | Donghe-Zhu | 2021-01-25 |
| 8b97165 | Donghe-Zhu | 2021-01-25 |
| c569946 | Donghe-Zhu | 2021-01-24 |
| a2f0d56 | Donghe-Zhu | 2021-01-23 |
| 28509fc | Donghe-Zhu | 2021-01-23 |
| 4c28e4a | Donghe-Zhu | 2021-01-22 |
| 24cc264 | jens-daniel-mueller | 2021-01-22 |
| 7891955 | Donghe-Zhu | 2021-01-21 |
| d4cf1cb | Donghe-Zhu | 2021-01-21 |
| 1f3e5b6 | jens-daniel-mueller | 2021-01-20 |
| 0e7bdf1 | jens-daniel-mueller | 2021-01-15 |
| 4571843 | jens-daniel-mueller | 2021-01-14 |
| b3564aa | jens-daniel-mueller | 2021-01-14 |
| 8d032c3 | jens-daniel-mueller | 2021-01-14 |
| 022871c | Donghe-Zhu | 2021-01-13 |

| Version | Author | Date |
|---|---|---|
| 90f70da | Donghe-Zhu | 2021-08-06 |
| 496fa02 | Donghe-Zhu | 2021-08-05 |
| 19ecfe2 | Donghe-Zhu | 2021-08-05 |
| 3253031 | Donghe-Zhu | 2021-08-05 |
| 6c70952 | Donghe-Zhu | 2021-08-01 |
| 2666bd7 | Donghe-Zhu | 2021-08-01 |
| e51cfa2 | Donghe-Zhu | 2021-08-01 |
| 78cbc18 | Donghe-Zhu | 2021-08-01 |
| c55d4d7 | Donghe-Zhu | 2021-08-01 |
| 26741db | Donghe-Zhu | 2021-08-01 |
| ca539b5 | Donghe-Zhu | 2021-08-01 |
| 1e98138 | Donghe-Zhu | 2021-08-01 |
| 777b9e9 | Donghe-Zhu | 2021-08-01 |
| b110c47 | Donghe-Zhu | 2021-08-01 |
| 3611a48 | Donghe-Zhu | 2021-08-01 |
| af832ef | Donghe-Zhu | 2021-07-31 |
| 016f9ed | Donghe-Zhu | 2021-07-31 |
| 2080ac5 | Donghe-Zhu | 2021-07-31 |
| 50f0a16 | Donghe-Zhu | 2021-07-31 |
| 1682579 | Donghe-Zhu | 2021-07-31 |
| 9fa8832 | Donghe-Zhu | 2021-07-31 |
| 4abf542 | Donghe-Zhu | 2021-07-31 |
| a2483f0 | Donghe-Zhu | 2021-07-31 |
| 3300527 | Donghe-Zhu | 2021-07-31 |
| afeb6fd | Donghe-Zhu | 2021-07-31 |
| cb3ef32 | Donghe-Zhu | 2021-07-31 |
| 6528618 | Donghe-Zhu | 2021-07-31 |
| f50925e | Donghe-Zhu | 2021-07-31 |
| f4de2f3 | Donghe-Zhu | 2021-07-30 |
| 43bc7b4 | Donghe-Zhu | 2021-07-30 |
| f8c34a8 | Donghe-Zhu | 2021-07-30 |
| 4f897c4 | Donghe-Zhu | 2021-07-30 |
| 0f6e960 | Donghe-Zhu | 2021-07-30 |
| fe067ea | Donghe-Zhu | 2021-07-30 |
| fbca39a | Donghe-Zhu | 2021-07-30 |
| f945f95 | Donghe-Zhu | 2021-07-30 |
| a3006cd | Donghe-Zhu | 2021-07-30 |
| a55ffdc | Donghe-Zhu | 2021-07-30 |
| d5e4458 | Donghe-Zhu | 2021-07-30 |
| 10a97ef | Donghe-Zhu | 2021-07-30 |
| 1c501fd | Donghe-Zhu | 2021-07-30 |
| 68bce3f | Donghe-Zhu | 2021-07-30 |
| 400c457 | Donghe-Zhu | 2021-07-29 |
| 3ba7852 | Donghe-Zhu | 2021-07-29 |
| ec68363 | Donghe-Zhu | 2021-07-28 |
| d3018f6 | Donghe-Zhu | 2021-07-28 |
| b8ba2c4 | Donghe-Zhu | 2021-07-28 |
| a4ddd84 | Donghe-Zhu | 2021-07-27 |
| 7ef49ab | Donghe-Zhu | 2021-07-27 |
| da818c0 | Donghe-Zhu | 2021-07-27 |
| 8623898 | Donghe-Zhu | 2021-07-27 |
| f84b77c | Donghe-Zhu | 2021-07-27 |
| 70ad9a5 | Donghe-Zhu | 2021-07-27 |
| 0d0b48d | Donghe-Zhu | 2021-07-27 |
| d0d97c6 | Donghe-Zhu | 2021-07-27 |
| 829510d | Donghe-Zhu | 2021-07-27 |
| 780627d | Donghe-Zhu | 2021-07-27 |
| e9838c9 | Donghe-Zhu | 2021-07-27 |
| 2777f33 | Donghe-Zhu | 2021-07-27 |
| d19760f | Donghe-Zhu | 2021-07-27 |
| cac5680 | Donghe-Zhu | 2021-07-23 |
| 7bb279a | Donghe-Zhu | 2021-07-23 |
| d52eac4 | Donghe-Zhu | 2021-07-23 |
| dcf34b1 | Donghe-Zhu | 2021-07-23 |
| 9447d10 | Donghe-Zhu | 2021-07-22 |
| cdc98a3 | Donghe-Zhu | 2021-07-22 |
| e4805a1 | Donghe-Zhu | 2021-07-22 |
| 7957fd1 | Donghe-Zhu | 2021-07-21 |
| b94be4e | Donghe-Zhu | 2021-07-21 |
| 9950e70 | Donghe-Zhu | 2021-07-21 |
| d84a1cb | Donghe-Zhu | 2021-07-20 |
| 6f28c0c | Donghe-Zhu | 2021-07-20 |
| db1e7b7 | Donghe-Zhu | 2021-07-19 |
| ff0575d | Donghe-Zhu | 2021-07-19 |
| 5d60eac | Donghe-Zhu | 2021-07-19 |
| 57d0420 | Donghe-Zhu | 2021-07-16 |
| c1be8f6 | Donghe-Zhu | 2021-07-16 |
| 26a7c15 | Donghe-Zhu | 2021-07-16 |
| 046902b | Donghe-Zhu | 2021-07-16 |
| 3d4ac14 | Donghe-Zhu | 2021-07-15 |
| be6fff9 | Donghe-Zhu | 2021-07-15 |
| b473472 | Donghe-Zhu | 2021-07-15 |
| 363270a | Donghe-Zhu | 2021-07-15 |
| 8b75a03 | Donghe-Zhu | 2021-07-15 |
| a01e135 | Donghe-Zhu | 2021-07-07 |
| bc83ef2 | Donghe-Zhu | 2021-07-07 |
| 75e7b07 | Donghe-Zhu | 2021-07-06 |
| 697aa6d | Donghe-Zhu | 2021-07-06 |
| d52e2de | Donghe-Zhu | 2021-07-06 |
| f2bde6b | Donghe-Zhu | 2021-07-06 |
| 1133f28 | Donghe-Zhu | 2021-07-06 |
| fe3a1cd | Donghe-Zhu | 2021-07-06 |
| d9cdf15 | Donghe-Zhu | 2021-07-06 |
| ee4cd2d | Donghe-Zhu | 2021-07-06 |
| 93821c1 | Donghe-Zhu | 2021-07-05 |
| d44db8e | Donghe-Zhu | 2021-07-05 |
| 20b3436 | Donghe-Zhu | 2021-07-05 |
| d982ea5 | Donghe-Zhu | 2021-07-05 |
| 7397e53 | Donghe-Zhu | 2021-07-05 |
| f2e4805 | Donghe-Zhu | 2021-07-05 |
| e2d011a | Donghe-Zhu | 2021-07-05 |
| 85e0349 | Donghe-Zhu | 2021-07-05 |
| 6ee0146 | Donghe-Zhu | 2021-07-05 |
| a482a6b | Donghe-Zhu | 2021-07-05 |
| f59f1b3 | Donghe-Zhu | 2021-07-05 |
| 116bcab | Donghe-Zhu | 2021-07-04 |
| cb1c8dc | Donghe-Zhu | 2021-07-04 |
| c9bdd83 | Donghe-Zhu | 2021-07-04 |
| 1920ad9 | Donghe-Zhu | 2021-07-04 |
| 0b02791 | Donghe-Zhu | 2021-06-25 |
| caf62d8 | Donghe-Zhu | 2021-06-25 |
| 90a9da5 | Donghe-Zhu | 2021-06-25 |
| bb413c8 | Donghe-Zhu | 2021-06-25 |
| e7a5266 | Donghe-Zhu | 2021-06-24 |
| 7c57720 | Donghe-Zhu | 2021-06-24 |
| b5b95a9 | Donghe-Zhu | 2021-06-24 |
| 472aad4 | Donghe-Zhu | 2021-06-24 |
| d517836 | Donghe-Zhu | 2021-06-24 |
| 9221bfe | Donghe-Zhu | 2021-06-24 |
| bff5fbf | Donghe-Zhu | 2021-06-23 |
| 256a616 | Donghe-Zhu | 2021-06-23 |
| 00072e2 | Donghe-Zhu | 2021-06-23 |
| 7431530 | Donghe-Zhu | 2021-06-20 |
| d20c383 | Donghe-Zhu | 2021-06-18 |
| b0874a2 | Donghe-Zhu | 2021-06-17 |
| 72c2f2e | Donghe-Zhu | 2021-06-15 |
| d97dcb6 | Donghe-Zhu | 2021-06-08 |
| 25dda1d | Donghe-Zhu | 2021-06-08 |
| bd2bcc3 | Donghe-Zhu | 2021-06-08 |
| e9b27d7 | Donghe-Zhu | 2021-06-07 |
| 7ae0d4b | Donghe-Zhu | 2021-06-07 |
| 325391f | Donghe-Zhu | 2021-06-07 |
| ed89970 | Donghe-Zhu | 2021-06-07 |
| df37958 | Donghe-Zhu | 2021-06-07 |
| 812bf63 | Donghe-Zhu | 2021-06-06 |
| 65c89c8 | Donghe-Zhu | 2021-06-06 |
| 9baa3b2 | Donghe-Zhu | 2021-06-06 |
| b7d99cf | Donghe-Zhu | 2021-06-06 |
| 5d8fa90 | Donghe-Zhu | 2021-06-06 |
| dbe2a95 | Donghe-Zhu | 2021-05-28 |
| d50b039 | Donghe-Zhu | 2021-05-28 |
| 441ebe5 | Donghe-Zhu | 2021-05-28 |
| 6262ad3 | Donghe-Zhu | 2021-05-28 |
| a61aa77 | Donghe-Zhu | 2021-05-28 |
| b8dbce4 | Donghe-Zhu | 2021-05-28 |
| 94a833e | Donghe-Zhu | 2021-05-27 |
| 5e0bd64 | Donghe-Zhu | 2021-05-27 |
| af1eadd | Donghe-Zhu | 2021-05-27 |
| 9179bfe | Donghe-Zhu | 2021-05-27 |
| 28cbe5e | Donghe-Zhu | 2021-05-27 |
| a618f02 | Donghe-Zhu | 2021-05-27 |
| 4623e38 | Donghe-Zhu | 2021-05-27 |
| b81bb49 | Donghe-Zhu | 2021-05-27 |
| 951e188 | Donghe-Zhu | 2021-05-27 |
| e377833 | Donghe-Zhu | 2021-05-26 |
| 2705a04 | Donghe-Zhu | 2021-03-28 |
| cd5f759 | Donghe-Zhu | 2021-03-28 |
| 75dda4d | Donghe-Zhu | 2021-03-27 |
| 0b19f6e | Donghe-Zhu | 2021-03-27 |
| e2704ca | Donghe-Zhu | 2021-03-27 |
| 3061a0b | Donghe-Zhu | 2021-03-27 |
| b883157 | Donghe-Zhu | 2021-03-27 |
| d19654d | Donghe-Zhu | 2021-03-26 |
| 6c53dbf | Donghe-Zhu | 2021-03-25 |
| 1914a11 | Donghe-Zhu | 2021-03-24 |
| 8be810e | Donghe-Zhu | 2021-03-23 |
| bf19764 | Donghe-Zhu | 2021-03-22 |
| 3ec9d3d | Donghe-Zhu | 2021-03-22 |
| 134ace1 | Donghe-Zhu | 2021-03-22 |
| f6d70a4 | Donghe-Zhu | 2021-03-22 |
| 183443b | Donghe-Zhu | 2021-03-21 |
| 2e6976b | Donghe-Zhu | 2021-03-21 |
| 51a42bd | Donghe-Zhu | 2021-03-16 |
| f745381 | Donghe-Zhu | 2021-03-16 |
| aecbf75 | Donghe-Zhu | 2021-03-14 |
| 1b2a0c2 | Donghe-Zhu | 2021-03-14 |
| 6733e48 | Donghe-Zhu | 2021-03-12 |
| ba71e6a | Donghe-Zhu | 2021-03-12 |
| 9dbf5bd | Donghe-Zhu | 2021-03-11 |
| a49df30 | Donghe-Zhu | 2021-03-11 |
| b3348a5 | Donghe-Zhu | 2021-03-11 |
| 1c24ff7 | Donghe-Zhu | 2021-03-10 |
| 94ce5a8 | Donghe-Zhu | 2021-03-10 |
| db33928 | Donghe-Zhu | 2021-03-10 |
| 3d1f470 | Donghe-Zhu | 2021-03-10 |
| 9b7bc66 | Donghe-Zhu | 2021-03-10 |
| 4168b43 | Donghe-Zhu | 2021-03-10 |
| 5365f80 | Donghe-Zhu | 2021-03-10 |
| 9f58753 | Donghe-Zhu | 2021-03-10 |
| f2a7146 | Donghe-Zhu | 2021-03-10 |
| fd528ed | Donghe-Zhu | 2021-03-10 |
| 9d5a62c | Donghe-Zhu | 2021-03-10 |
| 5d1e70b | Donghe-Zhu | 2021-03-10 |
| 2093979 | Donghe-Zhu | 2021-03-10 |
| b865899 | Donghe-Zhu | 2021-03-10 |
| cc2a956 | Donghe-Zhu | 2021-03-10 |
| 60689fb | Donghe-Zhu | 2021-03-10 |
| dba33c8 | Donghe-Zhu | 2021-03-09 |
| 17f1c4a | Donghe-Zhu | 2021-03-09 |
| c024d1a | Donghe-Zhu | 2021-03-09 |
| 02f7242 | Donghe-Zhu | 2021-03-09 |
| 6f50bc6 | Donghe-Zhu | 2021-03-09 |
| 1691156 | Donghe-Zhu | 2021-03-08 |
| c0ceaf8 | Donghe-Zhu | 2021-03-08 |
| 058e0a1 | Donghe-Zhu | 2021-03-08 |
| 112dea0 | Donghe-Zhu | 2021-03-08 |
| 1843412 | Donghe-Zhu | 2021-03-08 |
| 3fbbfa4 | Donghe-Zhu | 2021-03-07 |
| 627c8fb | Donghe-Zhu | 2021-03-07 |
| 9ef3222 | Donghe-Zhu | 2021-03-05 |
| 8c1e978 | Donghe-Zhu | 2021-03-05 |
| 865f68c | Donghe-Zhu | 2021-03-05 |
| ee69bc1 | Donghe-Zhu | 2021-03-05 |
| a79291f | Donghe-Zhu | 2021-03-05 |
| e8c6f30 | Donghe-Zhu | 2021-03-04 |
| 59288fe | Donghe-Zhu | 2021-03-04 |
| 731abc8 | Donghe-Zhu | 2021-03-04 |
| e2a5a33 | Donghe-Zhu | 2021-03-04 |
| c7892c1 | Donghe-Zhu | 2021-03-04 |
| 924430b | Donghe-Zhu | 2021-03-03 |
| 0d0bca1 | Donghe-Zhu | 2021-03-03 |
| cb63c16 | Donghe-Zhu | 2021-03-03 |
| 691ba81 | Donghe-Zhu | 2021-03-03 |
| c5e45a2 | Donghe-Zhu | 2021-03-03 |
| 89c3e58 | Donghe-Zhu | 2021-03-03 |
| c407a50 | Donghe-Zhu | 2021-03-03 |
| c911669 | Donghe-Zhu | 2021-03-03 |
| 13666ca | Donghe-Zhu | 2021-03-01 |
| c6e60fe | Donghe-Zhu | 2021-03-01 |
| 7a388f7 | Donghe-Zhu | 2021-03-01 |
| 799e913 | Donghe-Zhu | 2021-03-01 |
| 66ff99f | Donghe-Zhu | 2021-03-01 |
| ac9bb7a | Donghe-Zhu | 2021-02-28 |
| efdc047 | Donghe-Zhu | 2021-02-28 |
| e9a7418 | Donghe-Zhu | 2021-02-28 |
| e152917 | Donghe-Zhu | 2021-02-28 |
| 287123c | Donghe-Zhu | 2021-02-27 |
| 54d5b5b | Donghe-Zhu | 2021-02-27 |
| 330f064 | Donghe-Zhu | 2021-02-27 |
| adbc9bc | Donghe-Zhu | 2021-02-27 |
| 5937141 | Donghe-Zhu | 2021-02-27 |
| 4414bbf | Donghe-Zhu | 2021-02-27 |
| a265efb | Donghe-Zhu | 2021-02-27 |
| 19edd1e | Donghe-Zhu | 2021-02-27 |
| f20483f | Donghe-Zhu | 2021-02-26 |
| 6a2c7b3 | Donghe-Zhu | 2021-02-25 |
| 354c224 | Donghe-Zhu | 2021-02-24 |
| 1a0a88a | Donghe-Zhu | 2021-02-24 |
| 57f701e | Donghe-Zhu | 2021-02-24 |
| 06f3149 | Donghe-Zhu | 2021-02-16 |
| e3bba84 | Donghe-Zhu | 2021-02-15 |
| 5dce4b1 | Donghe-Zhu | 2021-02-15 |
| 4469a0c | Donghe-Zhu | 2021-02-13 |
| 5ae6a69 | Donghe-Zhu | 2021-02-10 |
| 05385dc | Donghe-Zhu | 2021-02-10 |
| f791ae4 | Donghe-Zhu | 2021-02-09 |
| f71ae34 | Donghe-Zhu | 2021-02-09 |
| c011832 | Donghe-Zhu | 2021-02-09 |
| a145fa7 | Donghe-Zhu | 2021-02-09 |
| c344e42 | Donghe-Zhu | 2021-02-08 |
| 2f095d7 | Donghe-Zhu | 2021-02-07 |
| 2305044 | Donghe-Zhu | 2021-02-07 |
| 1fad5f1 | Donghe-Zhu | 2021-02-07 |
| ca03c39 | Donghe-Zhu | 2021-02-07 |
| e2ffc14 | Donghe-Zhu | 2021-02-05 |
| cd7c52c | Donghe-Zhu | 2021-02-04 |
| bcf84f4 | Donghe-Zhu | 2021-02-02 |
| a518739 | Donghe-Zhu | 2021-02-01 |
| 61666de | Donghe-Zhu | 2021-01-31 |
| 865b582 | Donghe-Zhu | 2021-01-31 |
| 3e68089 | Donghe-Zhu | 2021-01-31 |
| ecf335c | Donghe-Zhu | 2021-01-31 |
| a618965 | Donghe-Zhu | 2021-01-31 |
| 59e006e | Donghe-Zhu | 2021-01-31 |
| ae5c18f | Donghe-Zhu | 2021-01-31 |
| b50fe52 | Donghe-Zhu | 2021-01-31 |
| ac99ae5 | jens-daniel-mueller | 2021-01-29 |
| b5bdcaf | Donghe-Zhu | 2021-01-29 |
| 442010d | Donghe-Zhu | 2021-01-29 |
| 372adf5 | Donghe-Zhu | 2021-01-29 |
| af8788e | Donghe-Zhu | 2021-01-29 |
| 21c91c9 | Donghe-Zhu | 2021-01-29 |
| eded038 | Donghe-Zhu | 2021-01-29 |
| 541d4dd | Donghe-Zhu | 2021-01-29 |
| 6a75576 | Donghe-Zhu | 2021-01-28 |
| 16fba40 | Donghe-Zhu | 2021-01-28 |
| 12bc567 | Donghe-Zhu | 2021-01-27 |
| ceed31b | Donghe-Zhu | 2021-01-27 |
| 342402d | Donghe-Zhu | 2021-01-27 |
| 5bad5c2 | Donghe-Zhu | 2021-01-27 |
| 61efb56 | Donghe-Zhu | 2021-01-25 |
| 48f638e | Donghe-Zhu | 2021-01-25 |
| c1cec47 | Donghe-Zhu | 2021-01-25 |
| 05ffb0c | Donghe-Zhu | 2021-01-25 |
| 8b97165 | Donghe-Zhu | 2021-01-25 |
| c569946 | Donghe-Zhu | 2021-01-24 |
| a2f0d56 | Donghe-Zhu | 2021-01-23 |
| 4c28e4a | Donghe-Zhu | 2021-01-22 |
| 24cc264 | jens-daniel-mueller | 2021-01-22 |
| 7891955 | Donghe-Zhu | 2021-01-21 |
| d4cf1cb | Donghe-Zhu | 2021-01-21 |
| 1f3e5b6 | jens-daniel-mueller | 2021-01-20 |
| 0e7bdf1 | jens-daniel-mueller | 2021-01-15 |
| 4571843 | jens-daniel-mueller | 2021-01-14 |
| b3564aa | jens-daniel-mueller | 2021-01-14 |
| 8d032c3 | jens-daniel-mueller | 2021-01-14 |
| 022871c | Donghe-Zhu | 2021-01-13 |

| Version | Author | Date |
|---|---|---|
| 90f70da | Donghe-Zhu | 2021-08-06 |
| 496fa02 | Donghe-Zhu | 2021-08-05 |
| 19ecfe2 | Donghe-Zhu | 2021-08-05 |
| 3253031 | Donghe-Zhu | 2021-08-05 |
| 6c70952 | Donghe-Zhu | 2021-08-01 |
| 2666bd7 | Donghe-Zhu | 2021-08-01 |
| e51cfa2 | Donghe-Zhu | 2021-08-01 |
| 78cbc18 | Donghe-Zhu | 2021-08-01 |
| c55d4d7 | Donghe-Zhu | 2021-08-01 |
| 26741db | Donghe-Zhu | 2021-08-01 |
| ca539b5 | Donghe-Zhu | 2021-08-01 |
| 1e98138 | Donghe-Zhu | 2021-08-01 |
| 777b9e9 | Donghe-Zhu | 2021-08-01 |
| b110c47 | Donghe-Zhu | 2021-08-01 |
| 3611a48 | Donghe-Zhu | 2021-08-01 |
| af832ef | Donghe-Zhu | 2021-07-31 |
| 016f9ed | Donghe-Zhu | 2021-07-31 |
| 2080ac5 | Donghe-Zhu | 2021-07-31 |
| 50f0a16 | Donghe-Zhu | 2021-07-31 |
| 1682579 | Donghe-Zhu | 2021-07-31 |
| 9fa8832 | Donghe-Zhu | 2021-07-31 |
| 4abf542 | Donghe-Zhu | 2021-07-31 |
| a2483f0 | Donghe-Zhu | 2021-07-31 |
| 3300527 | Donghe-Zhu | 2021-07-31 |
| afeb6fd | Donghe-Zhu | 2021-07-31 |
| cb3ef32 | Donghe-Zhu | 2021-07-31 |
| 6528618 | Donghe-Zhu | 2021-07-31 |
| f50925e | Donghe-Zhu | 2021-07-31 |
| f4de2f3 | Donghe-Zhu | 2021-07-30 |
| 43bc7b4 | Donghe-Zhu | 2021-07-30 |
| f8c34a8 | Donghe-Zhu | 2021-07-30 |
| 4f897c4 | Donghe-Zhu | 2021-07-30 |
| 0f6e960 | Donghe-Zhu | 2021-07-30 |
| fe067ea | Donghe-Zhu | 2021-07-30 |
| fbca39a | Donghe-Zhu | 2021-07-30 |
| f945f95 | Donghe-Zhu | 2021-07-30 |
| a3006cd | Donghe-Zhu | 2021-07-30 |
| a55ffdc | Donghe-Zhu | 2021-07-30 |
| d5e4458 | Donghe-Zhu | 2021-07-30 |
| 10a97ef | Donghe-Zhu | 2021-07-30 |
| 1c501fd | Donghe-Zhu | 2021-07-30 |
| 68bce3f | Donghe-Zhu | 2021-07-30 |
| 400c457 | Donghe-Zhu | 2021-07-29 |
| 3ba7852 | Donghe-Zhu | 2021-07-29 |
| ec68363 | Donghe-Zhu | 2021-07-28 |
| d3018f6 | Donghe-Zhu | 2021-07-28 |
| b8ba2c4 | Donghe-Zhu | 2021-07-28 |
| a4ddd84 | Donghe-Zhu | 2021-07-27 |
| 7ef49ab | Donghe-Zhu | 2021-07-27 |
| da818c0 | Donghe-Zhu | 2021-07-27 |
| 8623898 | Donghe-Zhu | 2021-07-27 |
| f84b77c | Donghe-Zhu | 2021-07-27 |
| 70ad9a5 | Donghe-Zhu | 2021-07-27 |
| 0d0b48d | Donghe-Zhu | 2021-07-27 |
| d0d97c6 | Donghe-Zhu | 2021-07-27 |
| 829510d | Donghe-Zhu | 2021-07-27 |
| 780627d | Donghe-Zhu | 2021-07-27 |
| e9838c9 | Donghe-Zhu | 2021-07-27 |
| 2777f33 | Donghe-Zhu | 2021-07-27 |
| d19760f | Donghe-Zhu | 2021-07-27 |
| cac5680 | Donghe-Zhu | 2021-07-23 |
| 7bb279a | Donghe-Zhu | 2021-07-23 |
| d52eac4 | Donghe-Zhu | 2021-07-23 |
| dcf34b1 | Donghe-Zhu | 2021-07-23 |
| 9447d10 | Donghe-Zhu | 2021-07-22 |
| cdc98a3 | Donghe-Zhu | 2021-07-22 |
| e4805a1 | Donghe-Zhu | 2021-07-22 |
| 7957fd1 | Donghe-Zhu | 2021-07-21 |
| b94be4e | Donghe-Zhu | 2021-07-21 |
| 9950e70 | Donghe-Zhu | 2021-07-21 |
| d84a1cb | Donghe-Zhu | 2021-07-20 |
| 6f28c0c | Donghe-Zhu | 2021-07-20 |
| db1e7b7 | Donghe-Zhu | 2021-07-19 |
| ff0575d | Donghe-Zhu | 2021-07-19 |
| 5d60eac | Donghe-Zhu | 2021-07-19 |
| 57d0420 | Donghe-Zhu | 2021-07-16 |
| c1be8f6 | Donghe-Zhu | 2021-07-16 |
| 26a7c15 | Donghe-Zhu | 2021-07-16 |
| 046902b | Donghe-Zhu | 2021-07-16 |
| 3d4ac14 | Donghe-Zhu | 2021-07-15 |
| be6fff9 | Donghe-Zhu | 2021-07-15 |
| b473472 | Donghe-Zhu | 2021-07-15 |
| 363270a | Donghe-Zhu | 2021-07-15 |
| 8b75a03 | Donghe-Zhu | 2021-07-15 |
| a01e135 | Donghe-Zhu | 2021-07-07 |
| bc83ef2 | Donghe-Zhu | 2021-07-07 |
| 75e7b07 | Donghe-Zhu | 2021-07-06 |
| 697aa6d | Donghe-Zhu | 2021-07-06 |
| d52e2de | Donghe-Zhu | 2021-07-06 |
| f2bde6b | Donghe-Zhu | 2021-07-06 |
| 1133f28 | Donghe-Zhu | 2021-07-06 |
| fe3a1cd | Donghe-Zhu | 2021-07-06 |
| d9cdf15 | Donghe-Zhu | 2021-07-06 |
| ee4cd2d | Donghe-Zhu | 2021-07-06 |
| 93821c1 | Donghe-Zhu | 2021-07-05 |
| 20b3436 | Donghe-Zhu | 2021-07-05 |
| d982ea5 | Donghe-Zhu | 2021-07-05 |
| 7397e53 | Donghe-Zhu | 2021-07-05 |
| f2e4805 | Donghe-Zhu | 2021-07-05 |
| e2d011a | Donghe-Zhu | 2021-07-05 |
| 85e0349 | Donghe-Zhu | 2021-07-05 |
| 6ee0146 | Donghe-Zhu | 2021-07-05 |
| a482a6b | Donghe-Zhu | 2021-07-05 |
| f59f1b3 | Donghe-Zhu | 2021-07-05 |
| 116bcab | Donghe-Zhu | 2021-07-04 |
| cb1c8dc | Donghe-Zhu | 2021-07-04 |
| c9bdd83 | Donghe-Zhu | 2021-07-04 |
| 1920ad9 | Donghe-Zhu | 2021-07-04 |
| 0b02791 | Donghe-Zhu | 2021-06-25 |
| caf62d8 | Donghe-Zhu | 2021-06-25 |
| 90a9da5 | Donghe-Zhu | 2021-06-25 |
| bb413c8 | Donghe-Zhu | 2021-06-25 |
| e7a5266 | Donghe-Zhu | 2021-06-24 |
| 7c57720 | Donghe-Zhu | 2021-06-24 |
| b5b95a9 | Donghe-Zhu | 2021-06-24 |
| 472aad4 | Donghe-Zhu | 2021-06-24 |
| d517836 | Donghe-Zhu | 2021-06-24 |
| 9221bfe | Donghe-Zhu | 2021-06-24 |
| bff5fbf | Donghe-Zhu | 2021-06-23 |
| 256a616 | Donghe-Zhu | 2021-06-23 |
| 00072e2 | Donghe-Zhu | 2021-06-23 |
| 7431530 | Donghe-Zhu | 2021-06-20 |
| b0874a2 | Donghe-Zhu | 2021-06-17 |
| 72c2f2e | Donghe-Zhu | 2021-06-15 |
| d97dcb6 | Donghe-Zhu | 2021-06-08 |
| 25dda1d | Donghe-Zhu | 2021-06-08 |
| bd2bcc3 | Donghe-Zhu | 2021-06-08 |
| e9b27d7 | Donghe-Zhu | 2021-06-07 |
| 7ae0d4b | Donghe-Zhu | 2021-06-07 |
| 325391f | Donghe-Zhu | 2021-06-07 |
| ed89970 | Donghe-Zhu | 2021-06-07 |
| df37958 | Donghe-Zhu | 2021-06-07 |
| 812bf63 | Donghe-Zhu | 2021-06-06 |
| 65c89c8 | Donghe-Zhu | 2021-06-06 |
| 9baa3b2 | Donghe-Zhu | 2021-06-06 |
| b7d99cf | Donghe-Zhu | 2021-06-06 |
| 5d8fa90 | Donghe-Zhu | 2021-06-06 |
| dbe2a95 | Donghe-Zhu | 2021-05-28 |
| d50b039 | Donghe-Zhu | 2021-05-28 |
| 441ebe5 | Donghe-Zhu | 2021-05-28 |
| 6262ad3 | Donghe-Zhu | 2021-05-28 |
| a61aa77 | Donghe-Zhu | 2021-05-28 |
| b8dbce4 | Donghe-Zhu | 2021-05-28 |
| 94a833e | Donghe-Zhu | 2021-05-27 |
| 5e0bd64 | Donghe-Zhu | 2021-05-27 |
| af1eadd | Donghe-Zhu | 2021-05-27 |
| 9179bfe | Donghe-Zhu | 2021-05-27 |
| 28cbe5e | Donghe-Zhu | 2021-05-27 |
| a618f02 | Donghe-Zhu | 2021-05-27 |
| 4623e38 | Donghe-Zhu | 2021-05-27 |
| b81bb49 | Donghe-Zhu | 2021-05-27 |
| 951e188 | Donghe-Zhu | 2021-05-27 |
| e377833 | Donghe-Zhu | 2021-05-26 |
| 2705a04 | Donghe-Zhu | 2021-03-28 |
| cd5f759 | Donghe-Zhu | 2021-03-28 |
| 75dda4d | Donghe-Zhu | 2021-03-27 |
| 0b19f6e | Donghe-Zhu | 2021-03-27 |
| e2704ca | Donghe-Zhu | 2021-03-27 |
| 3061a0b | Donghe-Zhu | 2021-03-27 |
| b883157 | Donghe-Zhu | 2021-03-27 |
| d19654d | Donghe-Zhu | 2021-03-26 |
| 6c53dbf | Donghe-Zhu | 2021-03-25 |
| 1914a11 | Donghe-Zhu | 2021-03-24 |
| 8be810e | Donghe-Zhu | 2021-03-23 |
| bf19764 | Donghe-Zhu | 2021-03-22 |
| 3ec9d3d | Donghe-Zhu | 2021-03-22 |
| 134ace1 | Donghe-Zhu | 2021-03-22 |
| f6d70a4 | Donghe-Zhu | 2021-03-22 |
| 183443b | Donghe-Zhu | 2021-03-21 |
| 2e6976b | Donghe-Zhu | 2021-03-21 |
| 51a42bd | Donghe-Zhu | 2021-03-16 |
| f745381 | Donghe-Zhu | 2021-03-16 |
| aecbf75 | Donghe-Zhu | 2021-03-14 |
| 1b2a0c2 | Donghe-Zhu | 2021-03-14 |
| 6733e48 | Donghe-Zhu | 2021-03-12 |
| ba71e6a | Donghe-Zhu | 2021-03-12 |
| 9dbf5bd | Donghe-Zhu | 2021-03-11 |
| a49df30 | Donghe-Zhu | 2021-03-11 |
| b3348a5 | Donghe-Zhu | 2021-03-11 |
| 1c24ff7 | Donghe-Zhu | 2021-03-10 |
| 94ce5a8 | Donghe-Zhu | 2021-03-10 |
| db33928 | Donghe-Zhu | 2021-03-10 |
| 3d1f470 | Donghe-Zhu | 2021-03-10 |
| 9b7bc66 | Donghe-Zhu | 2021-03-10 |
| 4168b43 | Donghe-Zhu | 2021-03-10 |
| 5365f80 | Donghe-Zhu | 2021-03-10 |
| 9f58753 | Donghe-Zhu | 2021-03-10 |
| f2a7146 | Donghe-Zhu | 2021-03-10 |
| fd528ed | Donghe-Zhu | 2021-03-10 |
| 9d5a62c | Donghe-Zhu | 2021-03-10 |
| 5d1e70b | Donghe-Zhu | 2021-03-10 |
| 2093979 | Donghe-Zhu | 2021-03-10 |
| b865899 | Donghe-Zhu | 2021-03-10 |
| cc2a956 | Donghe-Zhu | 2021-03-10 |
| 60689fb | Donghe-Zhu | 2021-03-10 |
| dba33c8 | Donghe-Zhu | 2021-03-09 |
| 17f1c4a | Donghe-Zhu | 2021-03-09 |
| 02f7242 | Donghe-Zhu | 2021-03-09 |
| 6f50bc6 | Donghe-Zhu | 2021-03-09 |
| 1691156 | Donghe-Zhu | 2021-03-08 |
| c0ceaf8 | Donghe-Zhu | 2021-03-08 |
| 058e0a1 | Donghe-Zhu | 2021-03-08 |
| 112dea0 | Donghe-Zhu | 2021-03-08 |
| 1843412 | Donghe-Zhu | 2021-03-08 |
| 3fbbfa4 | Donghe-Zhu | 2021-03-07 |
| 627c8fb | Donghe-Zhu | 2021-03-07 |
| 9ef3222 | Donghe-Zhu | 2021-03-05 |
| 8c1e978 | Donghe-Zhu | 2021-03-05 |
| 865f68c | Donghe-Zhu | 2021-03-05 |
| ee69bc1 | Donghe-Zhu | 2021-03-05 |
| a79291f | Donghe-Zhu | 2021-03-05 |
| e8c6f30 | Donghe-Zhu | 2021-03-04 |
| 59288fe | Donghe-Zhu | 2021-03-04 |
| 731abc8 | Donghe-Zhu | 2021-03-04 |
| e2a5a33 | Donghe-Zhu | 2021-03-04 |
| c7892c1 | Donghe-Zhu | 2021-03-04 |
| 924430b | Donghe-Zhu | 2021-03-03 |
| 0d0bca1 | Donghe-Zhu | 2021-03-03 |
| cb63c16 | Donghe-Zhu | 2021-03-03 |
| 691ba81 | Donghe-Zhu | 2021-03-03 |
| c5e45a2 | Donghe-Zhu | 2021-03-03 |
| 89c3e58 | Donghe-Zhu | 2021-03-03 |
| c407a50 | Donghe-Zhu | 2021-03-03 |
| c911669 | Donghe-Zhu | 2021-03-03 |
| 13666ca | Donghe-Zhu | 2021-03-01 |
| c6e60fe | Donghe-Zhu | 2021-03-01 |
| 7a388f7 | Donghe-Zhu | 2021-03-01 |
| 799e913 | Donghe-Zhu | 2021-03-01 |
| 66ff99f | Donghe-Zhu | 2021-03-01 |
| ac9bb7a | Donghe-Zhu | 2021-02-28 |
| efdc047 | Donghe-Zhu | 2021-02-28 |
| e9a7418 | Donghe-Zhu | 2021-02-28 |
| e152917 | Donghe-Zhu | 2021-02-28 |
| 287123c | Donghe-Zhu | 2021-02-27 |
| 54d5b5b | Donghe-Zhu | 2021-02-27 |
| 330f064 | Donghe-Zhu | 2021-02-27 |
| adbc9bc | Donghe-Zhu | 2021-02-27 |
| 5937141 | Donghe-Zhu | 2021-02-27 |
| 4414bbf | Donghe-Zhu | 2021-02-27 |
| a265efb | Donghe-Zhu | 2021-02-27 |
| 19edd1e | Donghe-Zhu | 2021-02-27 |
| f20483f | Donghe-Zhu | 2021-02-26 |
| 6a2c7b3 | Donghe-Zhu | 2021-02-25 |
| 354c224 | Donghe-Zhu | 2021-02-24 |
| 1a0a88a | Donghe-Zhu | 2021-02-24 |
| 57f701e | Donghe-Zhu | 2021-02-24 |
| 06f3149 | Donghe-Zhu | 2021-02-16 |
| e3bba84 | Donghe-Zhu | 2021-02-15 |
| 5dce4b1 | Donghe-Zhu | 2021-02-15 |
| 4469a0c | Donghe-Zhu | 2021-02-13 |
| 5ae6a69 | Donghe-Zhu | 2021-02-10 |
| 05385dc | Donghe-Zhu | 2021-02-10 |
| f791ae4 | Donghe-Zhu | 2021-02-09 |
| c011832 | Donghe-Zhu | 2021-02-09 |
| a145fa7 | Donghe-Zhu | 2021-02-09 |
| c344e42 | Donghe-Zhu | 2021-02-08 |
| 2f095d7 | Donghe-Zhu | 2021-02-07 |
| 2305044 | Donghe-Zhu | 2021-02-07 |
| 1fad5f1 | Donghe-Zhu | 2021-02-07 |
| ca03c39 | Donghe-Zhu | 2021-02-07 |
| e2ffc14 | Donghe-Zhu | 2021-02-05 |
| cd7c52c | Donghe-Zhu | 2021-02-04 |
| bcf84f4 | Donghe-Zhu | 2021-02-02 |
| a518739 | Donghe-Zhu | 2021-02-01 |
| 61666de | Donghe-Zhu | 2021-01-31 |
| 865b582 | Donghe-Zhu | 2021-01-31 |
| 3e68089 | Donghe-Zhu | 2021-01-31 |
| ecf335c | Donghe-Zhu | 2021-01-31 |
| a618965 | Donghe-Zhu | 2021-01-31 |
| 59e006e | Donghe-Zhu | 2021-01-31 |
| ae5c18f | Donghe-Zhu | 2021-01-31 |
| b50fe52 | Donghe-Zhu | 2021-01-31 |
| ac99ae5 | jens-daniel-mueller | 2021-01-29 |
| b5bdcaf | Donghe-Zhu | 2021-01-29 |
| 442010d | Donghe-Zhu | 2021-01-29 |
| 372adf5 | Donghe-Zhu | 2021-01-29 |
| af8788e | Donghe-Zhu | 2021-01-29 |
| 21c91c9 | Donghe-Zhu | 2021-01-29 |
| eded038 | Donghe-Zhu | 2021-01-29 |
| 541d4dd | Donghe-Zhu | 2021-01-29 |
| 6a75576 | Donghe-Zhu | 2021-01-28 |
| 16fba40 | Donghe-Zhu | 2021-01-28 |
| 12bc567 | Donghe-Zhu | 2021-01-27 |
| ceed31b | Donghe-Zhu | 2021-01-27 |
| 342402d | Donghe-Zhu | 2021-01-27 |
| 5bad5c2 | Donghe-Zhu | 2021-01-27 |
| 61efb56 | Donghe-Zhu | 2021-01-25 |
| 48f638e | Donghe-Zhu | 2021-01-25 |
| c1cec47 | Donghe-Zhu | 2021-01-25 |
| 05ffb0c | Donghe-Zhu | 2021-01-25 |
| 8b97165 | Donghe-Zhu | 2021-01-25 |
| c569946 | Donghe-Zhu | 2021-01-24 |
| a2f0d56 | Donghe-Zhu | 2021-01-23 |
| 4c28e4a | Donghe-Zhu | 2021-01-22 |
| 24cc264 | jens-daniel-mueller | 2021-01-22 |
| 7891955 | Donghe-Zhu | 2021-01-21 |
| d4cf1cb | Donghe-Zhu | 2021-01-21 |
| 1f3e5b6 | jens-daniel-mueller | 2021-01-20 |
| 0e7bdf1 | jens-daniel-mueller | 2021-01-15 |
| 4571843 | jens-daniel-mueller | 2021-01-14 |
| b3564aa | jens-daniel-mueller | 2021-01-14 |
| 8d032c3 | jens-daniel-mueller | 2021-01-14 |
| 022871c | Donghe-Zhu | 2021-01-13 |
Standard deviation of mean cant values was calculate across all longitudes. This standard deviation should reflect the zonal variability of cant within the basin and era.
for (i_basin_AIP in unique(cant_zonal$basin_AIP)) {
for (i_eras in unique(cant_zonal$eras)) {
print(
p_section_zonal(
df = cant_zonal %>%
filter(basin_AIP == i_basin_AIP,
eras == i_eras),
var = "cant_sd",
gamma = "gamma_mean",
legend_title = "sd",
title_text = "Zonal mean section of Cant SD",
subtitle_text =
paste("Basin:", i_basin_AIP, "| eras:", i_eras)
)
)
}
}

| Version | Author | Date |
|---|---|---|
| 90f70da | Donghe-Zhu | 2021-08-06 |
| 496fa02 | Donghe-Zhu | 2021-08-05 |
| 19ecfe2 | Donghe-Zhu | 2021-08-05 |
| 3253031 | Donghe-Zhu | 2021-08-05 |
| 6c70952 | Donghe-Zhu | 2021-08-01 |
| 2666bd7 | Donghe-Zhu | 2021-08-01 |
| e51cfa2 | Donghe-Zhu | 2021-08-01 |
| 78cbc18 | Donghe-Zhu | 2021-08-01 |
| c55d4d7 | Donghe-Zhu | 2021-08-01 |
| 26741db | Donghe-Zhu | 2021-08-01 |
| ca539b5 | Donghe-Zhu | 2021-08-01 |
| 1e98138 | Donghe-Zhu | 2021-08-01 |
| 777b9e9 | Donghe-Zhu | 2021-08-01 |
| b110c47 | Donghe-Zhu | 2021-08-01 |
| 3611a48 | Donghe-Zhu | 2021-08-01 |
| af832ef | Donghe-Zhu | 2021-07-31 |
| 016f9ed | Donghe-Zhu | 2021-07-31 |
| 2080ac5 | Donghe-Zhu | 2021-07-31 |
| 50f0a16 | Donghe-Zhu | 2021-07-31 |
| 1682579 | Donghe-Zhu | 2021-07-31 |
| 9fa8832 | Donghe-Zhu | 2021-07-31 |
| 4abf542 | Donghe-Zhu | 2021-07-31 |
| a2483f0 | Donghe-Zhu | 2021-07-31 |
| 3300527 | Donghe-Zhu | 2021-07-31 |
| afeb6fd | Donghe-Zhu | 2021-07-31 |
| cb3ef32 | Donghe-Zhu | 2021-07-31 |
| 6528618 | Donghe-Zhu | 2021-07-31 |
| f50925e | Donghe-Zhu | 2021-07-31 |
| f4de2f3 | Donghe-Zhu | 2021-07-30 |
| 43bc7b4 | Donghe-Zhu | 2021-07-30 |
| f8c34a8 | Donghe-Zhu | 2021-07-30 |
| 4f897c4 | Donghe-Zhu | 2021-07-30 |
| 0f6e960 | Donghe-Zhu | 2021-07-30 |
| fe067ea | Donghe-Zhu | 2021-07-30 |
| fbca39a | Donghe-Zhu | 2021-07-30 |
| f945f95 | Donghe-Zhu | 2021-07-30 |
| a3006cd | Donghe-Zhu | 2021-07-30 |
| a55ffdc | Donghe-Zhu | 2021-07-30 |
| d5e4458 | Donghe-Zhu | 2021-07-30 |
| 10a97ef | Donghe-Zhu | 2021-07-30 |
| 1c501fd | Donghe-Zhu | 2021-07-30 |
| 68bce3f | Donghe-Zhu | 2021-07-30 |
| 400c457 | Donghe-Zhu | 2021-07-29 |
| 3ba7852 | Donghe-Zhu | 2021-07-29 |
| ec68363 | Donghe-Zhu | 2021-07-28 |
| d3018f6 | Donghe-Zhu | 2021-07-28 |
| b8ba2c4 | Donghe-Zhu | 2021-07-28 |
| a4ddd84 | Donghe-Zhu | 2021-07-27 |
| 7ef49ab | Donghe-Zhu | 2021-07-27 |
| da818c0 | Donghe-Zhu | 2021-07-27 |
| 8623898 | Donghe-Zhu | 2021-07-27 |
| f84b77c | Donghe-Zhu | 2021-07-27 |
| 70ad9a5 | Donghe-Zhu | 2021-07-27 |
| 0d0b48d | Donghe-Zhu | 2021-07-27 |
| d0d97c6 | Donghe-Zhu | 2021-07-27 |
| 829510d | Donghe-Zhu | 2021-07-27 |
| 780627d | Donghe-Zhu | 2021-07-27 |
| e9838c9 | Donghe-Zhu | 2021-07-27 |
| 2777f33 | Donghe-Zhu | 2021-07-27 |
| d19760f | Donghe-Zhu | 2021-07-27 |
| cac5680 | Donghe-Zhu | 2021-07-23 |
| 7bb279a | Donghe-Zhu | 2021-07-23 |
| d52eac4 | Donghe-Zhu | 2021-07-23 |
| dcf34b1 | Donghe-Zhu | 2021-07-23 |
| 419cb72 | Donghe-Zhu | 2021-07-22 |
| 9447d10 | Donghe-Zhu | 2021-07-22 |
| 639c9a0 | Donghe-Zhu | 2021-07-22 |
| 25bb96f | Donghe-Zhu | 2021-07-22 |
| cdc98a3 | Donghe-Zhu | 2021-07-22 |
| e4805a1 | Donghe-Zhu | 2021-07-22 |
| 7957fd1 | Donghe-Zhu | 2021-07-21 |
| b94be4e | Donghe-Zhu | 2021-07-21 |
| 9950e70 | Donghe-Zhu | 2021-07-21 |
| 698b6f0 | Donghe-Zhu | 2021-07-20 |
| d84a1cb | Donghe-Zhu | 2021-07-20 |
| 4dce223 | Donghe-Zhu | 2021-07-20 |
| 6f28c0c | Donghe-Zhu | 2021-07-20 |
| db1e7b7 | Donghe-Zhu | 2021-07-19 |
| ff0575d | Donghe-Zhu | 2021-07-19 |
| 5d60eac | Donghe-Zhu | 2021-07-19 |
| 57d0420 | Donghe-Zhu | 2021-07-16 |
| c1be8f6 | Donghe-Zhu | 2021-07-16 |
| 26a7c15 | Donghe-Zhu | 2021-07-16 |
| 046902b | Donghe-Zhu | 2021-07-16 |
| 3d4ac14 | Donghe-Zhu | 2021-07-15 |
| be6fff9 | Donghe-Zhu | 2021-07-15 |
| b473472 | Donghe-Zhu | 2021-07-15 |
| 363270a | Donghe-Zhu | 2021-07-15 |
| 8b75a03 | Donghe-Zhu | 2021-07-15 |
| a01e135 | Donghe-Zhu | 2021-07-07 |
| bc83ef2 | Donghe-Zhu | 2021-07-07 |
| 75e7b07 | Donghe-Zhu | 2021-07-06 |
| 697aa6d | Donghe-Zhu | 2021-07-06 |
| d52e2de | Donghe-Zhu | 2021-07-06 |
| f2bde6b | Donghe-Zhu | 2021-07-06 |
| 1133f28 | Donghe-Zhu | 2021-07-06 |
| fe3a1cd | Donghe-Zhu | 2021-07-06 |
| d9cdf15 | Donghe-Zhu | 2021-07-06 |
| ee4cd2d | Donghe-Zhu | 2021-07-06 |
| 93821c1 | Donghe-Zhu | 2021-07-05 |
| d44db8e | Donghe-Zhu | 2021-07-05 |
| 20b3436 | Donghe-Zhu | 2021-07-05 |
| d982ea5 | Donghe-Zhu | 2021-07-05 |
| 7397e53 | Donghe-Zhu | 2021-07-05 |
| f2e4805 | Donghe-Zhu | 2021-07-05 |
| e2d011a | Donghe-Zhu | 2021-07-05 |
| 85e0349 | Donghe-Zhu | 2021-07-05 |
| 6ee0146 | Donghe-Zhu | 2021-07-05 |
| a482a6b | Donghe-Zhu | 2021-07-05 |
| f59f1b3 | Donghe-Zhu | 2021-07-05 |
| 116bcab | Donghe-Zhu | 2021-07-04 |
| cb1c8dc | Donghe-Zhu | 2021-07-04 |
| c9bdd83 | Donghe-Zhu | 2021-07-04 |
| 1920ad9 | Donghe-Zhu | 2021-07-04 |
| 0b02791 | Donghe-Zhu | 2021-06-25 |
| caf62d8 | Donghe-Zhu | 2021-06-25 |
| 90a9da5 | Donghe-Zhu | 2021-06-25 |
| bb413c8 | Donghe-Zhu | 2021-06-25 |
| e7a5266 | Donghe-Zhu | 2021-06-24 |
| 7c57720 | Donghe-Zhu | 2021-06-24 |
| b5b95a9 | Donghe-Zhu | 2021-06-24 |
| 472aad4 | Donghe-Zhu | 2021-06-24 |
| d517836 | Donghe-Zhu | 2021-06-24 |
| 9221bfe | Donghe-Zhu | 2021-06-24 |
| bff5fbf | Donghe-Zhu | 2021-06-23 |
| 256a616 | Donghe-Zhu | 2021-06-23 |
| 00072e2 | Donghe-Zhu | 2021-06-23 |
| 7431530 | Donghe-Zhu | 2021-06-20 |
| d20c383 | Donghe-Zhu | 2021-06-18 |
| b0874a2 | Donghe-Zhu | 2021-06-17 |
| 72c2f2e | Donghe-Zhu | 2021-06-15 |
| d97dcb6 | Donghe-Zhu | 2021-06-08 |
| 25dda1d | Donghe-Zhu | 2021-06-08 |
| bd2bcc3 | Donghe-Zhu | 2021-06-08 |
| e9b27d7 | Donghe-Zhu | 2021-06-07 |
| 7ae0d4b | Donghe-Zhu | 2021-06-07 |
| 325391f | Donghe-Zhu | 2021-06-07 |
| ed89970 | Donghe-Zhu | 2021-06-07 |
| df37958 | Donghe-Zhu | 2021-06-07 |
| 812bf63 | Donghe-Zhu | 2021-06-06 |
| 65c89c8 | Donghe-Zhu | 2021-06-06 |
| 9baa3b2 | Donghe-Zhu | 2021-06-06 |
| b7d99cf | Donghe-Zhu | 2021-06-06 |
| 5d8fa90 | Donghe-Zhu | 2021-06-06 |
| dbe2a95 | Donghe-Zhu | 2021-05-28 |
| d50b039 | Donghe-Zhu | 2021-05-28 |
| 441ebe5 | Donghe-Zhu | 2021-05-28 |
| 6262ad3 | Donghe-Zhu | 2021-05-28 |
| a61aa77 | Donghe-Zhu | 2021-05-28 |
| b8dbce4 | Donghe-Zhu | 2021-05-28 |
| 94a833e | Donghe-Zhu | 2021-05-27 |
| 5e0bd64 | Donghe-Zhu | 2021-05-27 |
| af1eadd | Donghe-Zhu | 2021-05-27 |
| 9179bfe | Donghe-Zhu | 2021-05-27 |
| 28cbe5e | Donghe-Zhu | 2021-05-27 |
| a618f02 | Donghe-Zhu | 2021-05-27 |
| 4623e38 | Donghe-Zhu | 2021-05-27 |
| b81bb49 | Donghe-Zhu | 2021-05-27 |
| 951e188 | Donghe-Zhu | 2021-05-27 |
| e377833 | Donghe-Zhu | 2021-05-26 |
| 2705a04 | Donghe-Zhu | 2021-03-28 |
| cd5f759 | Donghe-Zhu | 2021-03-28 |
| 75dda4d | Donghe-Zhu | 2021-03-27 |
| 0b19f6e | Donghe-Zhu | 2021-03-27 |
| e2704ca | Donghe-Zhu | 2021-03-27 |
| 3061a0b | Donghe-Zhu | 2021-03-27 |
| b883157 | Donghe-Zhu | 2021-03-27 |
| d19654d | Donghe-Zhu | 2021-03-26 |
| 6c53dbf | Donghe-Zhu | 2021-03-25 |
| 1914a11 | Donghe-Zhu | 2021-03-24 |
| 8be810e | Donghe-Zhu | 2021-03-23 |
| bf19764 | Donghe-Zhu | 2021-03-22 |
| 3ec9d3d | Donghe-Zhu | 2021-03-22 |
| 134ace1 | Donghe-Zhu | 2021-03-22 |
| f6d70a4 | Donghe-Zhu | 2021-03-22 |
| 183443b | Donghe-Zhu | 2021-03-21 |
| 2e6976b | Donghe-Zhu | 2021-03-21 |
| 51a42bd | Donghe-Zhu | 2021-03-16 |
| f745381 | Donghe-Zhu | 2021-03-16 |
| aecbf75 | Donghe-Zhu | 2021-03-14 |
| 1b2a0c2 | Donghe-Zhu | 2021-03-14 |
| 6733e48 | Donghe-Zhu | 2021-03-12 |
| ba71e6a | Donghe-Zhu | 2021-03-12 |
| 9dbf5bd | Donghe-Zhu | 2021-03-11 |
| a49df30 | Donghe-Zhu | 2021-03-11 |
| b3348a5 | Donghe-Zhu | 2021-03-11 |
| 1c24ff7 | Donghe-Zhu | 2021-03-10 |
| 94ce5a8 | Donghe-Zhu | 2021-03-10 |
| db33928 | Donghe-Zhu | 2021-03-10 |
| 3d1f470 | Donghe-Zhu | 2021-03-10 |
| 9b7bc66 | Donghe-Zhu | 2021-03-10 |
| 4168b43 | Donghe-Zhu | 2021-03-10 |
| 5365f80 | Donghe-Zhu | 2021-03-10 |
| 2b6c392 | Donghe-Zhu | 2021-03-10 |
| 9f58753 | Donghe-Zhu | 2021-03-10 |
| f2a7146 | Donghe-Zhu | 2021-03-10 |
| fd528ed | Donghe-Zhu | 2021-03-10 |
| 9d5a62c | Donghe-Zhu | 2021-03-10 |
| 5d1e70b | Donghe-Zhu | 2021-03-10 |
| 2093979 | Donghe-Zhu | 2021-03-10 |
| b865899 | Donghe-Zhu | 2021-03-10 |
| cc2a956 | Donghe-Zhu | 2021-03-10 |
| 60689fb | Donghe-Zhu | 2021-03-10 |
| 9230b52 | Donghe-Zhu | 2021-03-10 |
| dba33c8 | Donghe-Zhu | 2021-03-09 |
| 17f1c4a | Donghe-Zhu | 2021-03-09 |
| c024d1a | Donghe-Zhu | 2021-03-09 |
| 02f7242 | Donghe-Zhu | 2021-03-09 |
| 6f50bc6 | Donghe-Zhu | 2021-03-09 |
| 1691156 | Donghe-Zhu | 2021-03-08 |
| c0ceaf8 | Donghe-Zhu | 2021-03-08 |
| 112dea0 | Donghe-Zhu | 2021-03-08 |
| 1843412 | Donghe-Zhu | 2021-03-08 |
| 3fbbfa4 | Donghe-Zhu | 2021-03-07 |
| 627c8fb | Donghe-Zhu | 2021-03-07 |
| 9ef3222 | Donghe-Zhu | 2021-03-05 |
| 8c1e978 | Donghe-Zhu | 2021-03-05 |
| 865f68c | Donghe-Zhu | 2021-03-05 |
| ee69bc1 | Donghe-Zhu | 2021-03-05 |
| a79291f | Donghe-Zhu | 2021-03-05 |
| e8c6f30 | Donghe-Zhu | 2021-03-04 |
| 59288fe | Donghe-Zhu | 2021-03-04 |
| 731abc8 | Donghe-Zhu | 2021-03-04 |
| e2a5a33 | Donghe-Zhu | 2021-03-04 |
| c7892c1 | Donghe-Zhu | 2021-03-04 |
| 924430b | Donghe-Zhu | 2021-03-03 |
| 0d0bca1 | Donghe-Zhu | 2021-03-03 |
| cb63c16 | Donghe-Zhu | 2021-03-03 |
| ffda45a | Donghe-Zhu | 2021-03-03 |
| 691ba81 | Donghe-Zhu | 2021-03-03 |
| c5e45a2 | Donghe-Zhu | 2021-03-03 |
| 89c3e58 | Donghe-Zhu | 2021-03-03 |
| c407a50 | Donghe-Zhu | 2021-03-03 |
| c911669 | Donghe-Zhu | 2021-03-03 |
| b71c719 | Donghe-Zhu | 2021-03-01 |
| 13666ca | Donghe-Zhu | 2021-03-01 |
| c6e60fe | Donghe-Zhu | 2021-03-01 |
| 7a388f7 | Donghe-Zhu | 2021-03-01 |
| 799e913 | Donghe-Zhu | 2021-03-01 |
| 66ff99f | Donghe-Zhu | 2021-03-01 |
| ac9bb7a | Donghe-Zhu | 2021-02-28 |
| efdc047 | Donghe-Zhu | 2021-02-28 |
| e9a7418 | Donghe-Zhu | 2021-02-28 |
| e152917 | Donghe-Zhu | 2021-02-28 |
| 287123c | Donghe-Zhu | 2021-02-27 |
| 54d5b5b | Donghe-Zhu | 2021-02-27 |
| 330f064 | Donghe-Zhu | 2021-02-27 |
| adbc9bc | Donghe-Zhu | 2021-02-27 |
| 5937141 | Donghe-Zhu | 2021-02-27 |
| 4414bbf | Donghe-Zhu | 2021-02-27 |
| a265efb | Donghe-Zhu | 2021-02-27 |
| 19edd1e | Donghe-Zhu | 2021-02-27 |
| f20483f | Donghe-Zhu | 2021-02-26 |
| 6a2c7b3 | Donghe-Zhu | 2021-02-25 |
| 354c224 | Donghe-Zhu | 2021-02-24 |
| 1a0a88a | Donghe-Zhu | 2021-02-24 |
| 57f701e | Donghe-Zhu | 2021-02-24 |
| 06f3149 | Donghe-Zhu | 2021-02-16 |
| 401eab3 | Donghe-Zhu | 2021-02-15 |
| e3bba84 | Donghe-Zhu | 2021-02-15 |
| 5dce4b1 | Donghe-Zhu | 2021-02-15 |
| 4469a0c | Donghe-Zhu | 2021-02-13 |
| 5ae6a69 | Donghe-Zhu | 2021-02-10 |
| 05385dc | Donghe-Zhu | 2021-02-10 |
| f791ae4 | Donghe-Zhu | 2021-02-09 |
| f71ae34 | Donghe-Zhu | 2021-02-09 |
| c011832 | Donghe-Zhu | 2021-02-09 |
| a145fa7 | Donghe-Zhu | 2021-02-09 |
| c344e42 | Donghe-Zhu | 2021-02-08 |
| 2f095d7 | Donghe-Zhu | 2021-02-07 |
| 2305044 | Donghe-Zhu | 2021-02-07 |
| 1fad5f1 | Donghe-Zhu | 2021-02-07 |
| ca03c39 | Donghe-Zhu | 2021-02-07 |
| e2ffc14 | Donghe-Zhu | 2021-02-05 |
| cd7c52c | Donghe-Zhu | 2021-02-04 |
| bcf84f4 | Donghe-Zhu | 2021-02-02 |
| a518739 | Donghe-Zhu | 2021-02-01 |
| 61666de | Donghe-Zhu | 2021-01-31 |
| 865b582 | Donghe-Zhu | 2021-01-31 |
| 3e68089 | Donghe-Zhu | 2021-01-31 |
| ecf335c | Donghe-Zhu | 2021-01-31 |
| a618965 | Donghe-Zhu | 2021-01-31 |
| 59e006e | Donghe-Zhu | 2021-01-31 |
| a1c8f87 | Donghe-Zhu | 2021-01-31 |
| b50fe52 | Donghe-Zhu | 2021-01-31 |
| ac99ae5 | jens-daniel-mueller | 2021-01-29 |
| b5bdcaf | Donghe-Zhu | 2021-01-29 |
| 442010d | Donghe-Zhu | 2021-01-29 |
| 372adf5 | Donghe-Zhu | 2021-01-29 |
| af8788e | Donghe-Zhu | 2021-01-29 |
| 21c91c9 | Donghe-Zhu | 2021-01-29 |
| eded038 | Donghe-Zhu | 2021-01-29 |
| 541d4dd | Donghe-Zhu | 2021-01-29 |
| 6a75576 | Donghe-Zhu | 2021-01-28 |
| 16fba40 | Donghe-Zhu | 2021-01-28 |
| 12bc567 | Donghe-Zhu | 2021-01-27 |
| ceed31b | Donghe-Zhu | 2021-01-27 |
| 342402d | Donghe-Zhu | 2021-01-27 |
| 5bad5c2 | Donghe-Zhu | 2021-01-27 |
| 61efb56 | Donghe-Zhu | 2021-01-25 |
| 48f638e | Donghe-Zhu | 2021-01-25 |
| c1cec47 | Donghe-Zhu | 2021-01-25 |
| 05ffb0c | Donghe-Zhu | 2021-01-25 |
| 8b97165 | Donghe-Zhu | 2021-01-25 |
| c569946 | Donghe-Zhu | 2021-01-24 |
| a2f0d56 | Donghe-Zhu | 2021-01-23 |
| 28509fc | Donghe-Zhu | 2021-01-23 |
| 4c28e4a | Donghe-Zhu | 2021-01-22 |
| 24cc264 | jens-daniel-mueller | 2021-01-22 |
| 2679490 | Donghe-Zhu | 2021-01-21 |
| 7891955 | Donghe-Zhu | 2021-01-21 |
| d4cf1cb | Donghe-Zhu | 2021-01-21 |
| 1f3e5b6 | jens-daniel-mueller | 2021-01-20 |
| 0e7bdf1 | jens-daniel-mueller | 2021-01-15 |
| 4571843 | jens-daniel-mueller | 2021-01-14 |
| b3564aa | jens-daniel-mueller | 2021-01-14 |
| 8d032c3 | jens-daniel-mueller | 2021-01-14 |
| 022871c | Donghe-Zhu | 2021-01-13 |

| Version | Author | Date |
|---|---|---|
| 90f70da | Donghe-Zhu | 2021-08-06 |
| 496fa02 | Donghe-Zhu | 2021-08-05 |
| 19ecfe2 | Donghe-Zhu | 2021-08-05 |
| 3253031 | Donghe-Zhu | 2021-08-05 |
| 6c70952 | Donghe-Zhu | 2021-08-01 |
| 2666bd7 | Donghe-Zhu | 2021-08-01 |
| e51cfa2 | Donghe-Zhu | 2021-08-01 |
| 78cbc18 | Donghe-Zhu | 2021-08-01 |
| c55d4d7 | Donghe-Zhu | 2021-08-01 |
| 26741db | Donghe-Zhu | 2021-08-01 |
| ca539b5 | Donghe-Zhu | 2021-08-01 |
| 1e98138 | Donghe-Zhu | 2021-08-01 |
| 777b9e9 | Donghe-Zhu | 2021-08-01 |
| b110c47 | Donghe-Zhu | 2021-08-01 |
| 3611a48 | Donghe-Zhu | 2021-08-01 |
| af832ef | Donghe-Zhu | 2021-07-31 |
| 016f9ed | Donghe-Zhu | 2021-07-31 |
| 2080ac5 | Donghe-Zhu | 2021-07-31 |
| 50f0a16 | Donghe-Zhu | 2021-07-31 |
| 1682579 | Donghe-Zhu | 2021-07-31 |
| 9fa8832 | Donghe-Zhu | 2021-07-31 |
| 4abf542 | Donghe-Zhu | 2021-07-31 |
| a2483f0 | Donghe-Zhu | 2021-07-31 |
| 3300527 | Donghe-Zhu | 2021-07-31 |
| afeb6fd | Donghe-Zhu | 2021-07-31 |
| cb3ef32 | Donghe-Zhu | 2021-07-31 |
| 6528618 | Donghe-Zhu | 2021-07-31 |
| f50925e | Donghe-Zhu | 2021-07-31 |
| f4de2f3 | Donghe-Zhu | 2021-07-30 |
| 43bc7b4 | Donghe-Zhu | 2021-07-30 |
| f8c34a8 | Donghe-Zhu | 2021-07-30 |
| 4f897c4 | Donghe-Zhu | 2021-07-30 |
| 0f6e960 | Donghe-Zhu | 2021-07-30 |
| fe067ea | Donghe-Zhu | 2021-07-30 |
| fbca39a | Donghe-Zhu | 2021-07-30 |
| f945f95 | Donghe-Zhu | 2021-07-30 |
| a3006cd | Donghe-Zhu | 2021-07-30 |
| a55ffdc | Donghe-Zhu | 2021-07-30 |
| d5e4458 | Donghe-Zhu | 2021-07-30 |
| 10a97ef | Donghe-Zhu | 2021-07-30 |
| 1c501fd | Donghe-Zhu | 2021-07-30 |
| 68bce3f | Donghe-Zhu | 2021-07-30 |
| 400c457 | Donghe-Zhu | 2021-07-29 |
| 3ba7852 | Donghe-Zhu | 2021-07-29 |
| ec68363 | Donghe-Zhu | 2021-07-28 |
| d3018f6 | Donghe-Zhu | 2021-07-28 |
| b8ba2c4 | Donghe-Zhu | 2021-07-28 |
| a4ddd84 | Donghe-Zhu | 2021-07-27 |
| 7ef49ab | Donghe-Zhu | 2021-07-27 |
| da818c0 | Donghe-Zhu | 2021-07-27 |
| 8623898 | Donghe-Zhu | 2021-07-27 |
| f84b77c | Donghe-Zhu | 2021-07-27 |
| 70ad9a5 | Donghe-Zhu | 2021-07-27 |
| 0d0b48d | Donghe-Zhu | 2021-07-27 |
| d0d97c6 | Donghe-Zhu | 2021-07-27 |
| 829510d | Donghe-Zhu | 2021-07-27 |
| 780627d | Donghe-Zhu | 2021-07-27 |
| e9838c9 | Donghe-Zhu | 2021-07-27 |
| 2777f33 | Donghe-Zhu | 2021-07-27 |
| d19760f | Donghe-Zhu | 2021-07-27 |
| cac5680 | Donghe-Zhu | 2021-07-23 |
| 7bb279a | Donghe-Zhu | 2021-07-23 |
| d52eac4 | Donghe-Zhu | 2021-07-23 |
| dcf34b1 | Donghe-Zhu | 2021-07-23 |
| 419cb72 | Donghe-Zhu | 2021-07-22 |
| 9447d10 | Donghe-Zhu | 2021-07-22 |
| 639c9a0 | Donghe-Zhu | 2021-07-22 |
| 25bb96f | Donghe-Zhu | 2021-07-22 |
| cdc98a3 | Donghe-Zhu | 2021-07-22 |
| e4805a1 | Donghe-Zhu | 2021-07-22 |
| 7957fd1 | Donghe-Zhu | 2021-07-21 |
| b94be4e | Donghe-Zhu | 2021-07-21 |
| 9950e70 | Donghe-Zhu | 2021-07-21 |
| 698b6f0 | Donghe-Zhu | 2021-07-20 |
| d84a1cb | Donghe-Zhu | 2021-07-20 |
| 4dce223 | Donghe-Zhu | 2021-07-20 |
| 6f28c0c | Donghe-Zhu | 2021-07-20 |
| db1e7b7 | Donghe-Zhu | 2021-07-19 |
| ff0575d | Donghe-Zhu | 2021-07-19 |
| 5d60eac | Donghe-Zhu | 2021-07-19 |
| 57d0420 | Donghe-Zhu | 2021-07-16 |
| c1be8f6 | Donghe-Zhu | 2021-07-16 |
| 26a7c15 | Donghe-Zhu | 2021-07-16 |
| 046902b | Donghe-Zhu | 2021-07-16 |
| 3d4ac14 | Donghe-Zhu | 2021-07-15 |
| be6fff9 | Donghe-Zhu | 2021-07-15 |
| b473472 | Donghe-Zhu | 2021-07-15 |
| 363270a | Donghe-Zhu | 2021-07-15 |
| 8b75a03 | Donghe-Zhu | 2021-07-15 |
| a01e135 | Donghe-Zhu | 2021-07-07 |
| bc83ef2 | Donghe-Zhu | 2021-07-07 |
| 75e7b07 | Donghe-Zhu | 2021-07-06 |
| 697aa6d | Donghe-Zhu | 2021-07-06 |
| d52e2de | Donghe-Zhu | 2021-07-06 |
| f2bde6b | Donghe-Zhu | 2021-07-06 |
| 1133f28 | Donghe-Zhu | 2021-07-06 |
| fe3a1cd | Donghe-Zhu | 2021-07-06 |
| d9cdf15 | Donghe-Zhu | 2021-07-06 |
| ee4cd2d | Donghe-Zhu | 2021-07-06 |
| 93821c1 | Donghe-Zhu | 2021-07-05 |
| d44db8e | Donghe-Zhu | 2021-07-05 |
| 20b3436 | Donghe-Zhu | 2021-07-05 |
| d982ea5 | Donghe-Zhu | 2021-07-05 |
| 7397e53 | Donghe-Zhu | 2021-07-05 |
| f2e4805 | Donghe-Zhu | 2021-07-05 |
| e2d011a | Donghe-Zhu | 2021-07-05 |
| 85e0349 | Donghe-Zhu | 2021-07-05 |
| 6ee0146 | Donghe-Zhu | 2021-07-05 |
| a482a6b | Donghe-Zhu | 2021-07-05 |
| f59f1b3 | Donghe-Zhu | 2021-07-05 |
| 116bcab | Donghe-Zhu | 2021-07-04 |
| cb1c8dc | Donghe-Zhu | 2021-07-04 |
| c9bdd83 | Donghe-Zhu | 2021-07-04 |
| 1920ad9 | Donghe-Zhu | 2021-07-04 |
| 0b02791 | Donghe-Zhu | 2021-06-25 |
| caf62d8 | Donghe-Zhu | 2021-06-25 |
| 90a9da5 | Donghe-Zhu | 2021-06-25 |
| bb413c8 | Donghe-Zhu | 2021-06-25 |
| e7a5266 | Donghe-Zhu | 2021-06-24 |
| 7c57720 | Donghe-Zhu | 2021-06-24 |
| b5b95a9 | Donghe-Zhu | 2021-06-24 |
| 472aad4 | Donghe-Zhu | 2021-06-24 |
| d517836 | Donghe-Zhu | 2021-06-24 |
| 9221bfe | Donghe-Zhu | 2021-06-24 |
| bff5fbf | Donghe-Zhu | 2021-06-23 |
| 256a616 | Donghe-Zhu | 2021-06-23 |
| 00072e2 | Donghe-Zhu | 2021-06-23 |
| 7431530 | Donghe-Zhu | 2021-06-20 |
| d20c383 | Donghe-Zhu | 2021-06-18 |
| b0874a2 | Donghe-Zhu | 2021-06-17 |
| 72c2f2e | Donghe-Zhu | 2021-06-15 |
| d97dcb6 | Donghe-Zhu | 2021-06-08 |
| 25dda1d | Donghe-Zhu | 2021-06-08 |
| bd2bcc3 | Donghe-Zhu | 2021-06-08 |
| e9b27d7 | Donghe-Zhu | 2021-06-07 |
| 7ae0d4b | Donghe-Zhu | 2021-06-07 |
| 325391f | Donghe-Zhu | 2021-06-07 |
| ed89970 | Donghe-Zhu | 2021-06-07 |
| df37958 | Donghe-Zhu | 2021-06-07 |
| 812bf63 | Donghe-Zhu | 2021-06-06 |
| 65c89c8 | Donghe-Zhu | 2021-06-06 |
| 9baa3b2 | Donghe-Zhu | 2021-06-06 |
| b7d99cf | Donghe-Zhu | 2021-06-06 |
| 5d8fa90 | Donghe-Zhu | 2021-06-06 |
| dbe2a95 | Donghe-Zhu | 2021-05-28 |
| d50b039 | Donghe-Zhu | 2021-05-28 |
| 441ebe5 | Donghe-Zhu | 2021-05-28 |
| 6262ad3 | Donghe-Zhu | 2021-05-28 |
| a61aa77 | Donghe-Zhu | 2021-05-28 |
| b8dbce4 | Donghe-Zhu | 2021-05-28 |
| 94a833e | Donghe-Zhu | 2021-05-27 |
| 5e0bd64 | Donghe-Zhu | 2021-05-27 |
| af1eadd | Donghe-Zhu | 2021-05-27 |
| 9179bfe | Donghe-Zhu | 2021-05-27 |
| 28cbe5e | Donghe-Zhu | 2021-05-27 |
| a618f02 | Donghe-Zhu | 2021-05-27 |
| 4623e38 | Donghe-Zhu | 2021-05-27 |
| b81bb49 | Donghe-Zhu | 2021-05-27 |
| 951e188 | Donghe-Zhu | 2021-05-27 |
| e377833 | Donghe-Zhu | 2021-05-26 |
| 2705a04 | Donghe-Zhu | 2021-03-28 |
| cd5f759 | Donghe-Zhu | 2021-03-28 |
| 75dda4d | Donghe-Zhu | 2021-03-27 |
| 0b19f6e | Donghe-Zhu | 2021-03-27 |
| e2704ca | Donghe-Zhu | 2021-03-27 |
| 3061a0b | Donghe-Zhu | 2021-03-27 |
| b883157 | Donghe-Zhu | 2021-03-27 |
| d19654d | Donghe-Zhu | 2021-03-26 |
| 6c53dbf | Donghe-Zhu | 2021-03-25 |
| 1914a11 | Donghe-Zhu | 2021-03-24 |
| 8be810e | Donghe-Zhu | 2021-03-23 |
| bf19764 | Donghe-Zhu | 2021-03-22 |
| 3ec9d3d | Donghe-Zhu | 2021-03-22 |
| 134ace1 | Donghe-Zhu | 2021-03-22 |
| f6d70a4 | Donghe-Zhu | 2021-03-22 |
| 183443b | Donghe-Zhu | 2021-03-21 |
| 2e6976b | Donghe-Zhu | 2021-03-21 |
| 51a42bd | Donghe-Zhu | 2021-03-16 |
| f745381 | Donghe-Zhu | 2021-03-16 |
| aecbf75 | Donghe-Zhu | 2021-03-14 |
| 1b2a0c2 | Donghe-Zhu | 2021-03-14 |
| 6733e48 | Donghe-Zhu | 2021-03-12 |
| ba71e6a | Donghe-Zhu | 2021-03-12 |
| 9dbf5bd | Donghe-Zhu | 2021-03-11 |
| a49df30 | Donghe-Zhu | 2021-03-11 |
| b3348a5 | Donghe-Zhu | 2021-03-11 |
| 1c24ff7 | Donghe-Zhu | 2021-03-10 |
| 94ce5a8 | Donghe-Zhu | 2021-03-10 |
| db33928 | Donghe-Zhu | 2021-03-10 |
| 3d1f470 | Donghe-Zhu | 2021-03-10 |
| 9b7bc66 | Donghe-Zhu | 2021-03-10 |
| 4168b43 | Donghe-Zhu | 2021-03-10 |
| 5365f80 | Donghe-Zhu | 2021-03-10 |
| 2b6c392 | Donghe-Zhu | 2021-03-10 |
| 9f58753 | Donghe-Zhu | 2021-03-10 |
| f2a7146 | Donghe-Zhu | 2021-03-10 |
| fd528ed | Donghe-Zhu | 2021-03-10 |
| 9d5a62c | Donghe-Zhu | 2021-03-10 |
| 5d1e70b | Donghe-Zhu | 2021-03-10 |
| 2093979 | Donghe-Zhu | 2021-03-10 |
| b865899 | Donghe-Zhu | 2021-03-10 |
| cc2a956 | Donghe-Zhu | 2021-03-10 |
| 60689fb | Donghe-Zhu | 2021-03-10 |
| 9230b52 | Donghe-Zhu | 2021-03-10 |
| dba33c8 | Donghe-Zhu | 2021-03-09 |
| 17f1c4a | Donghe-Zhu | 2021-03-09 |
| c024d1a | Donghe-Zhu | 2021-03-09 |
| 02f7242 | Donghe-Zhu | 2021-03-09 |
| 6f50bc6 | Donghe-Zhu | 2021-03-09 |
| 1691156 | Donghe-Zhu | 2021-03-08 |
| c0ceaf8 | Donghe-Zhu | 2021-03-08 |
| 112dea0 | Donghe-Zhu | 2021-03-08 |
| 1843412 | Donghe-Zhu | 2021-03-08 |
| 3fbbfa4 | Donghe-Zhu | 2021-03-07 |
| 627c8fb | Donghe-Zhu | 2021-03-07 |
| 9ef3222 | Donghe-Zhu | 2021-03-05 |
| 8c1e978 | Donghe-Zhu | 2021-03-05 |
| 865f68c | Donghe-Zhu | 2021-03-05 |
| ee69bc1 | Donghe-Zhu | 2021-03-05 |
| a79291f | Donghe-Zhu | 2021-03-05 |
| e8c6f30 | Donghe-Zhu | 2021-03-04 |
| 59288fe | Donghe-Zhu | 2021-03-04 |
| 731abc8 | Donghe-Zhu | 2021-03-04 |
| e2a5a33 | Donghe-Zhu | 2021-03-04 |
| c7892c1 | Donghe-Zhu | 2021-03-04 |
| 924430b | Donghe-Zhu | 2021-03-03 |
| 0d0bca1 | Donghe-Zhu | 2021-03-03 |
| cb63c16 | Donghe-Zhu | 2021-03-03 |
| ffda45a | Donghe-Zhu | 2021-03-03 |
| 691ba81 | Donghe-Zhu | 2021-03-03 |
| c5e45a2 | Donghe-Zhu | 2021-03-03 |
| 89c3e58 | Donghe-Zhu | 2021-03-03 |
| c407a50 | Donghe-Zhu | 2021-03-03 |
| c911669 | Donghe-Zhu | 2021-03-03 |
| b71c719 | Donghe-Zhu | 2021-03-01 |
| 13666ca | Donghe-Zhu | 2021-03-01 |
| c6e60fe | Donghe-Zhu | 2021-03-01 |
| 7a388f7 | Donghe-Zhu | 2021-03-01 |
| 799e913 | Donghe-Zhu | 2021-03-01 |
| 66ff99f | Donghe-Zhu | 2021-03-01 |
| ac9bb7a | Donghe-Zhu | 2021-02-28 |
| efdc047 | Donghe-Zhu | 2021-02-28 |
| e9a7418 | Donghe-Zhu | 2021-02-28 |
| e152917 | Donghe-Zhu | 2021-02-28 |
| 287123c | Donghe-Zhu | 2021-02-27 |
| 54d5b5b | Donghe-Zhu | 2021-02-27 |
| 330f064 | Donghe-Zhu | 2021-02-27 |
| adbc9bc | Donghe-Zhu | 2021-02-27 |
| 5937141 | Donghe-Zhu | 2021-02-27 |
| 4414bbf | Donghe-Zhu | 2021-02-27 |
| a265efb | Donghe-Zhu | 2021-02-27 |
| 19edd1e | Donghe-Zhu | 2021-02-27 |
| f20483f | Donghe-Zhu | 2021-02-26 |
| 6a2c7b3 | Donghe-Zhu | 2021-02-25 |
| 354c224 | Donghe-Zhu | 2021-02-24 |
| 1a0a88a | Donghe-Zhu | 2021-02-24 |
| 57f701e | Donghe-Zhu | 2021-02-24 |
| 06f3149 | Donghe-Zhu | 2021-02-16 |
| 401eab3 | Donghe-Zhu | 2021-02-15 |
| e3bba84 | Donghe-Zhu | 2021-02-15 |
| 5dce4b1 | Donghe-Zhu | 2021-02-15 |
| 4469a0c | Donghe-Zhu | 2021-02-13 |
| 5ae6a69 | Donghe-Zhu | 2021-02-10 |
| 05385dc | Donghe-Zhu | 2021-02-10 |
| f791ae4 | Donghe-Zhu | 2021-02-09 |
| c011832 | Donghe-Zhu | 2021-02-09 |
| a145fa7 | Donghe-Zhu | 2021-02-09 |
| c344e42 | Donghe-Zhu | 2021-02-08 |
| 2f095d7 | Donghe-Zhu | 2021-02-07 |
| 2305044 | Donghe-Zhu | 2021-02-07 |
| 1fad5f1 | Donghe-Zhu | 2021-02-07 |
| ca03c39 | Donghe-Zhu | 2021-02-07 |
| e2ffc14 | Donghe-Zhu | 2021-02-05 |
| cd7c52c | Donghe-Zhu | 2021-02-04 |
| bcf84f4 | Donghe-Zhu | 2021-02-02 |
| a518739 | Donghe-Zhu | 2021-02-01 |
| 61666de | Donghe-Zhu | 2021-01-31 |
| 865b582 | Donghe-Zhu | 2021-01-31 |
| 3e68089 | Donghe-Zhu | 2021-01-31 |
| ecf335c | Donghe-Zhu | 2021-01-31 |
| a618965 | Donghe-Zhu | 2021-01-31 |
| 59e006e | Donghe-Zhu | 2021-01-31 |
| a1c8f87 | Donghe-Zhu | 2021-01-31 |
| b50fe52 | Donghe-Zhu | 2021-01-31 |
| ac99ae5 | jens-daniel-mueller | 2021-01-29 |
| b5bdcaf | Donghe-Zhu | 2021-01-29 |
| 442010d | Donghe-Zhu | 2021-01-29 |
| 372adf5 | Donghe-Zhu | 2021-01-29 |
| af8788e | Donghe-Zhu | 2021-01-29 |
| 21c91c9 | Donghe-Zhu | 2021-01-29 |
| eded038 | Donghe-Zhu | 2021-01-29 |
| 541d4dd | Donghe-Zhu | 2021-01-29 |
| 6a75576 | Donghe-Zhu | 2021-01-28 |
| 16fba40 | Donghe-Zhu | 2021-01-28 |
| 12bc567 | Donghe-Zhu | 2021-01-27 |
| ceed31b | Donghe-Zhu | 2021-01-27 |
| 342402d | Donghe-Zhu | 2021-01-27 |
| 5bad5c2 | Donghe-Zhu | 2021-01-27 |
| 61efb56 | Donghe-Zhu | 2021-01-25 |
| 48f638e | Donghe-Zhu | 2021-01-25 |
| c1cec47 | Donghe-Zhu | 2021-01-25 |
| 05ffb0c | Donghe-Zhu | 2021-01-25 |
| 8b97165 | Donghe-Zhu | 2021-01-25 |
| c569946 | Donghe-Zhu | 2021-01-24 |
| a2f0d56 | Donghe-Zhu | 2021-01-23 |
| 28509fc | Donghe-Zhu | 2021-01-23 |
| 4c28e4a | Donghe-Zhu | 2021-01-22 |
| 24cc264 | jens-daniel-mueller | 2021-01-22 |
| 2679490 | Donghe-Zhu | 2021-01-21 |
| 7891955 | Donghe-Zhu | 2021-01-21 |
| d4cf1cb | Donghe-Zhu | 2021-01-21 |
| 1f3e5b6 | jens-daniel-mueller | 2021-01-20 |
| 0e7bdf1 | jens-daniel-mueller | 2021-01-15 |
| 4571843 | jens-daniel-mueller | 2021-01-14 |
| b3564aa | jens-daniel-mueller | 2021-01-14 |
| 8d032c3 | jens-daniel-mueller | 2021-01-14 |
| 022871c | Donghe-Zhu | 2021-01-13 |

| Version | Author | Date |
|---|---|---|
| 90f70da | Donghe-Zhu | 2021-08-06 |
| 496fa02 | Donghe-Zhu | 2021-08-05 |
| 19ecfe2 | Donghe-Zhu | 2021-08-05 |
| 3253031 | Donghe-Zhu | 2021-08-05 |
| 6c70952 | Donghe-Zhu | 2021-08-01 |
| 2666bd7 | Donghe-Zhu | 2021-08-01 |
| e51cfa2 | Donghe-Zhu | 2021-08-01 |
| 78cbc18 | Donghe-Zhu | 2021-08-01 |
| c55d4d7 | Donghe-Zhu | 2021-08-01 |
| 26741db | Donghe-Zhu | 2021-08-01 |
| ca539b5 | Donghe-Zhu | 2021-08-01 |
| 1e98138 | Donghe-Zhu | 2021-08-01 |
| 777b9e9 | Donghe-Zhu | 2021-08-01 |
| b110c47 | Donghe-Zhu | 2021-08-01 |
| 3611a48 | Donghe-Zhu | 2021-08-01 |
| af832ef | Donghe-Zhu | 2021-07-31 |
| 016f9ed | Donghe-Zhu | 2021-07-31 |
| 2080ac5 | Donghe-Zhu | 2021-07-31 |
| 50f0a16 | Donghe-Zhu | 2021-07-31 |
| 1682579 | Donghe-Zhu | 2021-07-31 |
| 9fa8832 | Donghe-Zhu | 2021-07-31 |
| 4abf542 | Donghe-Zhu | 2021-07-31 |
| a2483f0 | Donghe-Zhu | 2021-07-31 |
| 3300527 | Donghe-Zhu | 2021-07-31 |
| afeb6fd | Donghe-Zhu | 2021-07-31 |
| cb3ef32 | Donghe-Zhu | 2021-07-31 |
| 6528618 | Donghe-Zhu | 2021-07-31 |
| f50925e | Donghe-Zhu | 2021-07-31 |
| f4de2f3 | Donghe-Zhu | 2021-07-30 |
| 43bc7b4 | Donghe-Zhu | 2021-07-30 |
| f8c34a8 | Donghe-Zhu | 2021-07-30 |
| 4f897c4 | Donghe-Zhu | 2021-07-30 |
| 0f6e960 | Donghe-Zhu | 2021-07-30 |
| fe067ea | Donghe-Zhu | 2021-07-30 |
| fbca39a | Donghe-Zhu | 2021-07-30 |
| f945f95 | Donghe-Zhu | 2021-07-30 |
| a3006cd | Donghe-Zhu | 2021-07-30 |
| a55ffdc | Donghe-Zhu | 2021-07-30 |
| d5e4458 | Donghe-Zhu | 2021-07-30 |
| 10a97ef | Donghe-Zhu | 2021-07-30 |
| 1c501fd | Donghe-Zhu | 2021-07-30 |
| 68bce3f | Donghe-Zhu | 2021-07-30 |
| 400c457 | Donghe-Zhu | 2021-07-29 |
| 3ba7852 | Donghe-Zhu | 2021-07-29 |
| ec68363 | Donghe-Zhu | 2021-07-28 |
| d3018f6 | Donghe-Zhu | 2021-07-28 |
| b8ba2c4 | Donghe-Zhu | 2021-07-28 |
| a4ddd84 | Donghe-Zhu | 2021-07-27 |
| 7ef49ab | Donghe-Zhu | 2021-07-27 |
| da818c0 | Donghe-Zhu | 2021-07-27 |
| 8623898 | Donghe-Zhu | 2021-07-27 |
| f84b77c | Donghe-Zhu | 2021-07-27 |
| 70ad9a5 | Donghe-Zhu | 2021-07-27 |
| 0d0b48d | Donghe-Zhu | 2021-07-27 |
| d0d97c6 | Donghe-Zhu | 2021-07-27 |
| 829510d | Donghe-Zhu | 2021-07-27 |
| 780627d | Donghe-Zhu | 2021-07-27 |
| e9838c9 | Donghe-Zhu | 2021-07-27 |
| 2777f33 | Donghe-Zhu | 2021-07-27 |
| d19760f | Donghe-Zhu | 2021-07-27 |
| cac5680 | Donghe-Zhu | 2021-07-23 |
| 7bb279a | Donghe-Zhu | 2021-07-23 |
| d52eac4 | Donghe-Zhu | 2021-07-23 |
| dcf34b1 | Donghe-Zhu | 2021-07-23 |
| 9447d10 | Donghe-Zhu | 2021-07-22 |
| cdc98a3 | Donghe-Zhu | 2021-07-22 |
| e4805a1 | Donghe-Zhu | 2021-07-22 |
| 7957fd1 | Donghe-Zhu | 2021-07-21 |
| b94be4e | Donghe-Zhu | 2021-07-21 |
| 9950e70 | Donghe-Zhu | 2021-07-21 |
| d84a1cb | Donghe-Zhu | 2021-07-20 |
| 6f28c0c | Donghe-Zhu | 2021-07-20 |
| db1e7b7 | Donghe-Zhu | 2021-07-19 |
| ff0575d | Donghe-Zhu | 2021-07-19 |
| 5d60eac | Donghe-Zhu | 2021-07-19 |
| 57d0420 | Donghe-Zhu | 2021-07-16 |
| c1be8f6 | Donghe-Zhu | 2021-07-16 |
| 26a7c15 | Donghe-Zhu | 2021-07-16 |
| 046902b | Donghe-Zhu | 2021-07-16 |
| 3d4ac14 | Donghe-Zhu | 2021-07-15 |
| be6fff9 | Donghe-Zhu | 2021-07-15 |
| b473472 | Donghe-Zhu | 2021-07-15 |
| 363270a | Donghe-Zhu | 2021-07-15 |
| 8b75a03 | Donghe-Zhu | 2021-07-15 |
| a01e135 | Donghe-Zhu | 2021-07-07 |
| bc83ef2 | Donghe-Zhu | 2021-07-07 |
| 75e7b07 | Donghe-Zhu | 2021-07-06 |
| 697aa6d | Donghe-Zhu | 2021-07-06 |
| d52e2de | Donghe-Zhu | 2021-07-06 |
| f2bde6b | Donghe-Zhu | 2021-07-06 |
| 1133f28 | Donghe-Zhu | 2021-07-06 |
| fe3a1cd | Donghe-Zhu | 2021-07-06 |
| d9cdf15 | Donghe-Zhu | 2021-07-06 |
| ee4cd2d | Donghe-Zhu | 2021-07-06 |
| 93821c1 | Donghe-Zhu | 2021-07-05 |
| d44db8e | Donghe-Zhu | 2021-07-05 |
| 20b3436 | Donghe-Zhu | 2021-07-05 |
| d982ea5 | Donghe-Zhu | 2021-07-05 |
| 7397e53 | Donghe-Zhu | 2021-07-05 |
| f2e4805 | Donghe-Zhu | 2021-07-05 |
| e2d011a | Donghe-Zhu | 2021-07-05 |
| 85e0349 | Donghe-Zhu | 2021-07-05 |
| 6ee0146 | Donghe-Zhu | 2021-07-05 |
| a482a6b | Donghe-Zhu | 2021-07-05 |
| f59f1b3 | Donghe-Zhu | 2021-07-05 |
| 116bcab | Donghe-Zhu | 2021-07-04 |
| cb1c8dc | Donghe-Zhu | 2021-07-04 |
| c9bdd83 | Donghe-Zhu | 2021-07-04 |
| 1920ad9 | Donghe-Zhu | 2021-07-04 |
| 0b02791 | Donghe-Zhu | 2021-06-25 |
| caf62d8 | Donghe-Zhu | 2021-06-25 |
| 90a9da5 | Donghe-Zhu | 2021-06-25 |
| bb413c8 | Donghe-Zhu | 2021-06-25 |
| e7a5266 | Donghe-Zhu | 2021-06-24 |
| 7c57720 | Donghe-Zhu | 2021-06-24 |
| b5b95a9 | Donghe-Zhu | 2021-06-24 |
| 472aad4 | Donghe-Zhu | 2021-06-24 |
| d517836 | Donghe-Zhu | 2021-06-24 |
| 9221bfe | Donghe-Zhu | 2021-06-24 |
| bff5fbf | Donghe-Zhu | 2021-06-23 |
| 256a616 | Donghe-Zhu | 2021-06-23 |
| 00072e2 | Donghe-Zhu | 2021-06-23 |
| 7431530 | Donghe-Zhu | 2021-06-20 |
| d20c383 | Donghe-Zhu | 2021-06-18 |
| b0874a2 | Donghe-Zhu | 2021-06-17 |
| 72c2f2e | Donghe-Zhu | 2021-06-15 |
| d97dcb6 | Donghe-Zhu | 2021-06-08 |
| 25dda1d | Donghe-Zhu | 2021-06-08 |
| bd2bcc3 | Donghe-Zhu | 2021-06-08 |
| e9b27d7 | Donghe-Zhu | 2021-06-07 |
| 7ae0d4b | Donghe-Zhu | 2021-06-07 |
| 325391f | Donghe-Zhu | 2021-06-07 |
| ed89970 | Donghe-Zhu | 2021-06-07 |
| df37958 | Donghe-Zhu | 2021-06-07 |
| 812bf63 | Donghe-Zhu | 2021-06-06 |
| 65c89c8 | Donghe-Zhu | 2021-06-06 |
| 9baa3b2 | Donghe-Zhu | 2021-06-06 |
| b7d99cf | Donghe-Zhu | 2021-06-06 |
| 5d8fa90 | Donghe-Zhu | 2021-06-06 |
| dbe2a95 | Donghe-Zhu | 2021-05-28 |
| d50b039 | Donghe-Zhu | 2021-05-28 |
| 441ebe5 | Donghe-Zhu | 2021-05-28 |
| 6262ad3 | Donghe-Zhu | 2021-05-28 |
| a61aa77 | Donghe-Zhu | 2021-05-28 |
| b8dbce4 | Donghe-Zhu | 2021-05-28 |
| 94a833e | Donghe-Zhu | 2021-05-27 |
| 5e0bd64 | Donghe-Zhu | 2021-05-27 |
| af1eadd | Donghe-Zhu | 2021-05-27 |
| 9179bfe | Donghe-Zhu | 2021-05-27 |
| 28cbe5e | Donghe-Zhu | 2021-05-27 |
| a618f02 | Donghe-Zhu | 2021-05-27 |
| 4623e38 | Donghe-Zhu | 2021-05-27 |
| b81bb49 | Donghe-Zhu | 2021-05-27 |
| 951e188 | Donghe-Zhu | 2021-05-27 |
| e377833 | Donghe-Zhu | 2021-05-26 |
| 2705a04 | Donghe-Zhu | 2021-03-28 |
| cd5f759 | Donghe-Zhu | 2021-03-28 |
| 75dda4d | Donghe-Zhu | 2021-03-27 |
| 0b19f6e | Donghe-Zhu | 2021-03-27 |
| e2704ca | Donghe-Zhu | 2021-03-27 |
| 3061a0b | Donghe-Zhu | 2021-03-27 |
| b883157 | Donghe-Zhu | 2021-03-27 |
| d19654d | Donghe-Zhu | 2021-03-26 |
| 6c53dbf | Donghe-Zhu | 2021-03-25 |
| 1914a11 | Donghe-Zhu | 2021-03-24 |
| 8be810e | Donghe-Zhu | 2021-03-23 |
| bf19764 | Donghe-Zhu | 2021-03-22 |
| 3ec9d3d | Donghe-Zhu | 2021-03-22 |
| 134ace1 | Donghe-Zhu | 2021-03-22 |
| f6d70a4 | Donghe-Zhu | 2021-03-22 |
| 183443b | Donghe-Zhu | 2021-03-21 |
| 2e6976b | Donghe-Zhu | 2021-03-21 |
| 51a42bd | Donghe-Zhu | 2021-03-16 |
| f745381 | Donghe-Zhu | 2021-03-16 |
| aecbf75 | Donghe-Zhu | 2021-03-14 |
| 1b2a0c2 | Donghe-Zhu | 2021-03-14 |
| 6733e48 | Donghe-Zhu | 2021-03-12 |
| ba71e6a | Donghe-Zhu | 2021-03-12 |
| 9dbf5bd | Donghe-Zhu | 2021-03-11 |
| a49df30 | Donghe-Zhu | 2021-03-11 |
| b3348a5 | Donghe-Zhu | 2021-03-11 |
| 1c24ff7 | Donghe-Zhu | 2021-03-10 |
| 94ce5a8 | Donghe-Zhu | 2021-03-10 |
| db33928 | Donghe-Zhu | 2021-03-10 |
| 3d1f470 | Donghe-Zhu | 2021-03-10 |
| 9b7bc66 | Donghe-Zhu | 2021-03-10 |
| 4168b43 | Donghe-Zhu | 2021-03-10 |
| 5365f80 | Donghe-Zhu | 2021-03-10 |
| 9f58753 | Donghe-Zhu | 2021-03-10 |
| f2a7146 | Donghe-Zhu | 2021-03-10 |
| fd528ed | Donghe-Zhu | 2021-03-10 |
| 9d5a62c | Donghe-Zhu | 2021-03-10 |
| 5d1e70b | Donghe-Zhu | 2021-03-10 |
| 2093979 | Donghe-Zhu | 2021-03-10 |
| b865899 | Donghe-Zhu | 2021-03-10 |
| cc2a956 | Donghe-Zhu | 2021-03-10 |
| 60689fb | Donghe-Zhu | 2021-03-10 |
| 9230b52 | Donghe-Zhu | 2021-03-10 |
| dba33c8 | Donghe-Zhu | 2021-03-09 |
| 17f1c4a | Donghe-Zhu | 2021-03-09 |
| c024d1a | Donghe-Zhu | 2021-03-09 |
| 02f7242 | Donghe-Zhu | 2021-03-09 |
| 6f50bc6 | Donghe-Zhu | 2021-03-09 |
| 1691156 | Donghe-Zhu | 2021-03-08 |
| c0ceaf8 | Donghe-Zhu | 2021-03-08 |
| 058e0a1 | Donghe-Zhu | 2021-03-08 |
| 112dea0 | Donghe-Zhu | 2021-03-08 |
| 1843412 | Donghe-Zhu | 2021-03-08 |
| 3fbbfa4 | Donghe-Zhu | 2021-03-07 |
| 627c8fb | Donghe-Zhu | 2021-03-07 |
| 9ef3222 | Donghe-Zhu | 2021-03-05 |
| 8c1e978 | Donghe-Zhu | 2021-03-05 |
| 865f68c | Donghe-Zhu | 2021-03-05 |
| ee69bc1 | Donghe-Zhu | 2021-03-05 |
| a79291f | Donghe-Zhu | 2021-03-05 |
| e8c6f30 | Donghe-Zhu | 2021-03-04 |
| 59288fe | Donghe-Zhu | 2021-03-04 |
| 731abc8 | Donghe-Zhu | 2021-03-04 |
| e2a5a33 | Donghe-Zhu | 2021-03-04 |
| c7892c1 | Donghe-Zhu | 2021-03-04 |
| 924430b | Donghe-Zhu | 2021-03-03 |
| 0d0bca1 | Donghe-Zhu | 2021-03-03 |
| cb63c16 | Donghe-Zhu | 2021-03-03 |
| 691ba81 | Donghe-Zhu | 2021-03-03 |
| c5e45a2 | Donghe-Zhu | 2021-03-03 |
| 89c3e58 | Donghe-Zhu | 2021-03-03 |
| c407a50 | Donghe-Zhu | 2021-03-03 |
| c911669 | Donghe-Zhu | 2021-03-03 |
| b71c719 | Donghe-Zhu | 2021-03-01 |
| 13666ca | Donghe-Zhu | 2021-03-01 |
| c6e60fe | Donghe-Zhu | 2021-03-01 |
| 7a388f7 | Donghe-Zhu | 2021-03-01 |
| 799e913 | Donghe-Zhu | 2021-03-01 |
| 66ff99f | Donghe-Zhu | 2021-03-01 |
| ac9bb7a | Donghe-Zhu | 2021-02-28 |
| efdc047 | Donghe-Zhu | 2021-02-28 |
| e9a7418 | Donghe-Zhu | 2021-02-28 |
| e152917 | Donghe-Zhu | 2021-02-28 |
| 287123c | Donghe-Zhu | 2021-02-27 |
| 54d5b5b | Donghe-Zhu | 2021-02-27 |
| 330f064 | Donghe-Zhu | 2021-02-27 |
| adbc9bc | Donghe-Zhu | 2021-02-27 |
| 5937141 | Donghe-Zhu | 2021-02-27 |
| 4414bbf | Donghe-Zhu | 2021-02-27 |
| a265efb | Donghe-Zhu | 2021-02-27 |
| 19edd1e | Donghe-Zhu | 2021-02-27 |
| f20483f | Donghe-Zhu | 2021-02-26 |
| 6a2c7b3 | Donghe-Zhu | 2021-02-25 |
| 354c224 | Donghe-Zhu | 2021-02-24 |
| 1a0a88a | Donghe-Zhu | 2021-02-24 |
| 57f701e | Donghe-Zhu | 2021-02-24 |
| 06f3149 | Donghe-Zhu | 2021-02-16 |
| 401eab3 | Donghe-Zhu | 2021-02-15 |
| e3bba84 | Donghe-Zhu | 2021-02-15 |
| 5dce4b1 | Donghe-Zhu | 2021-02-15 |
| 4469a0c | Donghe-Zhu | 2021-02-13 |
| 5ae6a69 | Donghe-Zhu | 2021-02-10 |
| 05385dc | Donghe-Zhu | 2021-02-10 |
| f791ae4 | Donghe-Zhu | 2021-02-09 |
| f71ae34 | Donghe-Zhu | 2021-02-09 |
| c011832 | Donghe-Zhu | 2021-02-09 |
| a145fa7 | Donghe-Zhu | 2021-02-09 |
| c344e42 | Donghe-Zhu | 2021-02-08 |
| 2f095d7 | Donghe-Zhu | 2021-02-07 |
| 2305044 | Donghe-Zhu | 2021-02-07 |
| 1fad5f1 | Donghe-Zhu | 2021-02-07 |
| ca03c39 | Donghe-Zhu | 2021-02-07 |
| e2ffc14 | Donghe-Zhu | 2021-02-05 |
| cd7c52c | Donghe-Zhu | 2021-02-04 |
| bcf84f4 | Donghe-Zhu | 2021-02-02 |
| a518739 | Donghe-Zhu | 2021-02-01 |
| 61666de | Donghe-Zhu | 2021-01-31 |
| 865b582 | Donghe-Zhu | 2021-01-31 |
| 3e68089 | Donghe-Zhu | 2021-01-31 |
| ecf335c | Donghe-Zhu | 2021-01-31 |
| a618965 | Donghe-Zhu | 2021-01-31 |
| 59e006e | Donghe-Zhu | 2021-01-31 |
| a1c8f87 | Donghe-Zhu | 2021-01-31 |
| ae5c18f | Donghe-Zhu | 2021-01-31 |
| b50fe52 | Donghe-Zhu | 2021-01-31 |
| ac99ae5 | jens-daniel-mueller | 2021-01-29 |
| b5bdcaf | Donghe-Zhu | 2021-01-29 |
| 442010d | Donghe-Zhu | 2021-01-29 |
| 372adf5 | Donghe-Zhu | 2021-01-29 |
| af8788e | Donghe-Zhu | 2021-01-29 |
| 21c91c9 | Donghe-Zhu | 2021-01-29 |
| eded038 | Donghe-Zhu | 2021-01-29 |
| 541d4dd | Donghe-Zhu | 2021-01-29 |
| 6a75576 | Donghe-Zhu | 2021-01-28 |
| 16fba40 | Donghe-Zhu | 2021-01-28 |
| 12bc567 | Donghe-Zhu | 2021-01-27 |
| ceed31b | Donghe-Zhu | 2021-01-27 |
| 342402d | Donghe-Zhu | 2021-01-27 |
| 5bad5c2 | Donghe-Zhu | 2021-01-27 |
| 61efb56 | Donghe-Zhu | 2021-01-25 |
| 48f638e | Donghe-Zhu | 2021-01-25 |
| c1cec47 | Donghe-Zhu | 2021-01-25 |
| 05ffb0c | Donghe-Zhu | 2021-01-25 |
| 8b97165 | Donghe-Zhu | 2021-01-25 |
| c569946 | Donghe-Zhu | 2021-01-24 |
| a2f0d56 | Donghe-Zhu | 2021-01-23 |
| 28509fc | Donghe-Zhu | 2021-01-23 |
| 4c28e4a | Donghe-Zhu | 2021-01-22 |
| 24cc264 | jens-daniel-mueller | 2021-01-22 |
| 2679490 | Donghe-Zhu | 2021-01-21 |
| 7891955 | Donghe-Zhu | 2021-01-21 |
| d4cf1cb | Donghe-Zhu | 2021-01-21 |
| 1f3e5b6 | jens-daniel-mueller | 2021-01-20 |
| 0e7bdf1 | jens-daniel-mueller | 2021-01-15 |
| 4571843 | jens-daniel-mueller | 2021-01-14 |
| b3564aa | jens-daniel-mueller | 2021-01-14 |
| 8d032c3 | jens-daniel-mueller | 2021-01-14 |
| 022871c | Donghe-Zhu | 2021-01-13 |

| Version | Author | Date |
|---|---|---|
| 90f70da | Donghe-Zhu | 2021-08-06 |
| 496fa02 | Donghe-Zhu | 2021-08-05 |
| 19ecfe2 | Donghe-Zhu | 2021-08-05 |
| 3253031 | Donghe-Zhu | 2021-08-05 |
| 6c70952 | Donghe-Zhu | 2021-08-01 |
| 2666bd7 | Donghe-Zhu | 2021-08-01 |
| e51cfa2 | Donghe-Zhu | 2021-08-01 |
| 78cbc18 | Donghe-Zhu | 2021-08-01 |
| c55d4d7 | Donghe-Zhu | 2021-08-01 |
| 26741db | Donghe-Zhu | 2021-08-01 |
| ca539b5 | Donghe-Zhu | 2021-08-01 |
| 1e98138 | Donghe-Zhu | 2021-08-01 |
| 777b9e9 | Donghe-Zhu | 2021-08-01 |
| b110c47 | Donghe-Zhu | 2021-08-01 |
| 3611a48 | Donghe-Zhu | 2021-08-01 |
| af832ef | Donghe-Zhu | 2021-07-31 |
| 016f9ed | Donghe-Zhu | 2021-07-31 |
| 2080ac5 | Donghe-Zhu | 2021-07-31 |
| 50f0a16 | Donghe-Zhu | 2021-07-31 |
| 1682579 | Donghe-Zhu | 2021-07-31 |
| 9fa8832 | Donghe-Zhu | 2021-07-31 |
| 4abf542 | Donghe-Zhu | 2021-07-31 |
| a2483f0 | Donghe-Zhu | 2021-07-31 |
| 3300527 | Donghe-Zhu | 2021-07-31 |
| afeb6fd | Donghe-Zhu | 2021-07-31 |
| cb3ef32 | Donghe-Zhu | 2021-07-31 |
| 6528618 | Donghe-Zhu | 2021-07-31 |
| f50925e | Donghe-Zhu | 2021-07-31 |
| f4de2f3 | Donghe-Zhu | 2021-07-30 |
| 43bc7b4 | Donghe-Zhu | 2021-07-30 |
| f8c34a8 | Donghe-Zhu | 2021-07-30 |
| 4f897c4 | Donghe-Zhu | 2021-07-30 |
| 0f6e960 | Donghe-Zhu | 2021-07-30 |
| fe067ea | Donghe-Zhu | 2021-07-30 |
| fbca39a | Donghe-Zhu | 2021-07-30 |
| f945f95 | Donghe-Zhu | 2021-07-30 |
| a3006cd | Donghe-Zhu | 2021-07-30 |
| a55ffdc | Donghe-Zhu | 2021-07-30 |
| d5e4458 | Donghe-Zhu | 2021-07-30 |
| 10a97ef | Donghe-Zhu | 2021-07-30 |
| 1c501fd | Donghe-Zhu | 2021-07-30 |
| 68bce3f | Donghe-Zhu | 2021-07-30 |
| 400c457 | Donghe-Zhu | 2021-07-29 |
| 3ba7852 | Donghe-Zhu | 2021-07-29 |
| ec68363 | Donghe-Zhu | 2021-07-28 |
| d3018f6 | Donghe-Zhu | 2021-07-28 |
| b8ba2c4 | Donghe-Zhu | 2021-07-28 |
| a4ddd84 | Donghe-Zhu | 2021-07-27 |
| 7ef49ab | Donghe-Zhu | 2021-07-27 |
| da818c0 | Donghe-Zhu | 2021-07-27 |
| 8623898 | Donghe-Zhu | 2021-07-27 |
| f84b77c | Donghe-Zhu | 2021-07-27 |
| 70ad9a5 | Donghe-Zhu | 2021-07-27 |
| 0d0b48d | Donghe-Zhu | 2021-07-27 |
| d0d97c6 | Donghe-Zhu | 2021-07-27 |
| 829510d | Donghe-Zhu | 2021-07-27 |
| 780627d | Donghe-Zhu | 2021-07-27 |
| e9838c9 | Donghe-Zhu | 2021-07-27 |
| 2777f33 | Donghe-Zhu | 2021-07-27 |
| d19760f | Donghe-Zhu | 2021-07-27 |
| cac5680 | Donghe-Zhu | 2021-07-23 |
| 7bb279a | Donghe-Zhu | 2021-07-23 |
| d52eac4 | Donghe-Zhu | 2021-07-23 |
| dcf34b1 | Donghe-Zhu | 2021-07-23 |
| 9447d10 | Donghe-Zhu | 2021-07-22 |
| cdc98a3 | Donghe-Zhu | 2021-07-22 |
| e4805a1 | Donghe-Zhu | 2021-07-22 |
| 7957fd1 | Donghe-Zhu | 2021-07-21 |
| b94be4e | Donghe-Zhu | 2021-07-21 |
| 9950e70 | Donghe-Zhu | 2021-07-21 |
| d84a1cb | Donghe-Zhu | 2021-07-20 |
| 6f28c0c | Donghe-Zhu | 2021-07-20 |
| db1e7b7 | Donghe-Zhu | 2021-07-19 |
| ff0575d | Donghe-Zhu | 2021-07-19 |
| 5d60eac | Donghe-Zhu | 2021-07-19 |
| 57d0420 | Donghe-Zhu | 2021-07-16 |
| c1be8f6 | Donghe-Zhu | 2021-07-16 |
| 26a7c15 | Donghe-Zhu | 2021-07-16 |
| 046902b | Donghe-Zhu | 2021-07-16 |
| 3d4ac14 | Donghe-Zhu | 2021-07-15 |
| be6fff9 | Donghe-Zhu | 2021-07-15 |
| b473472 | Donghe-Zhu | 2021-07-15 |
| 363270a | Donghe-Zhu | 2021-07-15 |
| 8b75a03 | Donghe-Zhu | 2021-07-15 |
| a01e135 | Donghe-Zhu | 2021-07-07 |
| bc83ef2 | Donghe-Zhu | 2021-07-07 |
| 75e7b07 | Donghe-Zhu | 2021-07-06 |
| 697aa6d | Donghe-Zhu | 2021-07-06 |
| d52e2de | Donghe-Zhu | 2021-07-06 |
| f2bde6b | Donghe-Zhu | 2021-07-06 |
| 1133f28 | Donghe-Zhu | 2021-07-06 |
| fe3a1cd | Donghe-Zhu | 2021-07-06 |
| d9cdf15 | Donghe-Zhu | 2021-07-06 |
| ee4cd2d | Donghe-Zhu | 2021-07-06 |
| 93821c1 | Donghe-Zhu | 2021-07-05 |
| d44db8e | Donghe-Zhu | 2021-07-05 |
| 20b3436 | Donghe-Zhu | 2021-07-05 |
| d982ea5 | Donghe-Zhu | 2021-07-05 |
| 7397e53 | Donghe-Zhu | 2021-07-05 |
| f2e4805 | Donghe-Zhu | 2021-07-05 |
| e2d011a | Donghe-Zhu | 2021-07-05 |
| 85e0349 | Donghe-Zhu | 2021-07-05 |
| 6ee0146 | Donghe-Zhu | 2021-07-05 |
| a482a6b | Donghe-Zhu | 2021-07-05 |
| f59f1b3 | Donghe-Zhu | 2021-07-05 |
| 116bcab | Donghe-Zhu | 2021-07-04 |
| cb1c8dc | Donghe-Zhu | 2021-07-04 |
| c9bdd83 | Donghe-Zhu | 2021-07-04 |
| 1920ad9 | Donghe-Zhu | 2021-07-04 |
| 0b02791 | Donghe-Zhu | 2021-06-25 |
| caf62d8 | Donghe-Zhu | 2021-06-25 |
| 90a9da5 | Donghe-Zhu | 2021-06-25 |
| bb413c8 | Donghe-Zhu | 2021-06-25 |
| e7a5266 | Donghe-Zhu | 2021-06-24 |
| 7c57720 | Donghe-Zhu | 2021-06-24 |
| b5b95a9 | Donghe-Zhu | 2021-06-24 |
| 472aad4 | Donghe-Zhu | 2021-06-24 |
| d517836 | Donghe-Zhu | 2021-06-24 |
| 9221bfe | Donghe-Zhu | 2021-06-24 |
| bff5fbf | Donghe-Zhu | 2021-06-23 |
| 256a616 | Donghe-Zhu | 2021-06-23 |
| 00072e2 | Donghe-Zhu | 2021-06-23 |
| 7431530 | Donghe-Zhu | 2021-06-20 |
| d20c383 | Donghe-Zhu | 2021-06-18 |
| b0874a2 | Donghe-Zhu | 2021-06-17 |
| 72c2f2e | Donghe-Zhu | 2021-06-15 |
| d97dcb6 | Donghe-Zhu | 2021-06-08 |
| 25dda1d | Donghe-Zhu | 2021-06-08 |
| bd2bcc3 | Donghe-Zhu | 2021-06-08 |
| e9b27d7 | Donghe-Zhu | 2021-06-07 |
| 7ae0d4b | Donghe-Zhu | 2021-06-07 |
| 325391f | Donghe-Zhu | 2021-06-07 |
| ed89970 | Donghe-Zhu | 2021-06-07 |
| df37958 | Donghe-Zhu | 2021-06-07 |
| 812bf63 | Donghe-Zhu | 2021-06-06 |
| 65c89c8 | Donghe-Zhu | 2021-06-06 |
| 9baa3b2 | Donghe-Zhu | 2021-06-06 |
| b7d99cf | Donghe-Zhu | 2021-06-06 |
| 5d8fa90 | Donghe-Zhu | 2021-06-06 |
| dbe2a95 | Donghe-Zhu | 2021-05-28 |
| d50b039 | Donghe-Zhu | 2021-05-28 |
| 441ebe5 | Donghe-Zhu | 2021-05-28 |
| 6262ad3 | Donghe-Zhu | 2021-05-28 |
| a61aa77 | Donghe-Zhu | 2021-05-28 |
| b8dbce4 | Donghe-Zhu | 2021-05-28 |
| 94a833e | Donghe-Zhu | 2021-05-27 |
| 5e0bd64 | Donghe-Zhu | 2021-05-27 |
| af1eadd | Donghe-Zhu | 2021-05-27 |
| 9179bfe | Donghe-Zhu | 2021-05-27 |
| 28cbe5e | Donghe-Zhu | 2021-05-27 |
| a618f02 | Donghe-Zhu | 2021-05-27 |
| 4623e38 | Donghe-Zhu | 2021-05-27 |
| b81bb49 | Donghe-Zhu | 2021-05-27 |
| 951e188 | Donghe-Zhu | 2021-05-27 |
| e377833 | Donghe-Zhu | 2021-05-26 |
| 2705a04 | Donghe-Zhu | 2021-03-28 |
| cd5f759 | Donghe-Zhu | 2021-03-28 |
| 75dda4d | Donghe-Zhu | 2021-03-27 |
| 0b19f6e | Donghe-Zhu | 2021-03-27 |
| e2704ca | Donghe-Zhu | 2021-03-27 |
| 3061a0b | Donghe-Zhu | 2021-03-27 |
| b883157 | Donghe-Zhu | 2021-03-27 |
| d19654d | Donghe-Zhu | 2021-03-26 |
| 6c53dbf | Donghe-Zhu | 2021-03-25 |
| 1914a11 | Donghe-Zhu | 2021-03-24 |
| 8be810e | Donghe-Zhu | 2021-03-23 |
| bf19764 | Donghe-Zhu | 2021-03-22 |
| 3ec9d3d | Donghe-Zhu | 2021-03-22 |
| 134ace1 | Donghe-Zhu | 2021-03-22 |
| f6d70a4 | Donghe-Zhu | 2021-03-22 |
| 183443b | Donghe-Zhu | 2021-03-21 |
| 2e6976b | Donghe-Zhu | 2021-03-21 |
| 51a42bd | Donghe-Zhu | 2021-03-16 |
| f745381 | Donghe-Zhu | 2021-03-16 |
| aecbf75 | Donghe-Zhu | 2021-03-14 |
| 1b2a0c2 | Donghe-Zhu | 2021-03-14 |
| 6733e48 | Donghe-Zhu | 2021-03-12 |
| ba71e6a | Donghe-Zhu | 2021-03-12 |
| 9dbf5bd | Donghe-Zhu | 2021-03-11 |
| a49df30 | Donghe-Zhu | 2021-03-11 |
| b3348a5 | Donghe-Zhu | 2021-03-11 |
| 1c24ff7 | Donghe-Zhu | 2021-03-10 |
| 94ce5a8 | Donghe-Zhu | 2021-03-10 |
| db33928 | Donghe-Zhu | 2021-03-10 |
| 3d1f470 | Donghe-Zhu | 2021-03-10 |
| 9b7bc66 | Donghe-Zhu | 2021-03-10 |
| 4168b43 | Donghe-Zhu | 2021-03-10 |
| 5365f80 | Donghe-Zhu | 2021-03-10 |
| 9f58753 | Donghe-Zhu | 2021-03-10 |
| f2a7146 | Donghe-Zhu | 2021-03-10 |
| fd528ed | Donghe-Zhu | 2021-03-10 |
| 9d5a62c | Donghe-Zhu | 2021-03-10 |
| 5d1e70b | Donghe-Zhu | 2021-03-10 |
| 2093979 | Donghe-Zhu | 2021-03-10 |
| b865899 | Donghe-Zhu | 2021-03-10 |
| cc2a956 | Donghe-Zhu | 2021-03-10 |
| 60689fb | Donghe-Zhu | 2021-03-10 |
| 9230b52 | Donghe-Zhu | 2021-03-10 |
| dba33c8 | Donghe-Zhu | 2021-03-09 |
| 17f1c4a | Donghe-Zhu | 2021-03-09 |
| c024d1a | Donghe-Zhu | 2021-03-09 |
| 02f7242 | Donghe-Zhu | 2021-03-09 |
| 6f50bc6 | Donghe-Zhu | 2021-03-09 |
| 1691156 | Donghe-Zhu | 2021-03-08 |
| c0ceaf8 | Donghe-Zhu | 2021-03-08 |
| 058e0a1 | Donghe-Zhu | 2021-03-08 |
| 112dea0 | Donghe-Zhu | 2021-03-08 |
| 1843412 | Donghe-Zhu | 2021-03-08 |
| 3fbbfa4 | Donghe-Zhu | 2021-03-07 |
| 627c8fb | Donghe-Zhu | 2021-03-07 |
| 9ef3222 | Donghe-Zhu | 2021-03-05 |
| 8c1e978 | Donghe-Zhu | 2021-03-05 |
| 865f68c | Donghe-Zhu | 2021-03-05 |
| ee69bc1 | Donghe-Zhu | 2021-03-05 |
| a79291f | Donghe-Zhu | 2021-03-05 |
| e8c6f30 | Donghe-Zhu | 2021-03-04 |
| 59288fe | Donghe-Zhu | 2021-03-04 |
| 731abc8 | Donghe-Zhu | 2021-03-04 |
| e2a5a33 | Donghe-Zhu | 2021-03-04 |
| c7892c1 | Donghe-Zhu | 2021-03-04 |
| 924430b | Donghe-Zhu | 2021-03-03 |
| 0d0bca1 | Donghe-Zhu | 2021-03-03 |
| cb63c16 | Donghe-Zhu | 2021-03-03 |
| 691ba81 | Donghe-Zhu | 2021-03-03 |
| c5e45a2 | Donghe-Zhu | 2021-03-03 |
| 89c3e58 | Donghe-Zhu | 2021-03-03 |
| c407a50 | Donghe-Zhu | 2021-03-03 |
| c911669 | Donghe-Zhu | 2021-03-03 |
| b71c719 | Donghe-Zhu | 2021-03-01 |
| 13666ca | Donghe-Zhu | 2021-03-01 |
| c6e60fe | Donghe-Zhu | 2021-03-01 |
| 7a388f7 | Donghe-Zhu | 2021-03-01 |
| 799e913 | Donghe-Zhu | 2021-03-01 |
| 66ff99f | Donghe-Zhu | 2021-03-01 |
| ac9bb7a | Donghe-Zhu | 2021-02-28 |
| efdc047 | Donghe-Zhu | 2021-02-28 |
| e9a7418 | Donghe-Zhu | 2021-02-28 |
| e152917 | Donghe-Zhu | 2021-02-28 |
| 287123c | Donghe-Zhu | 2021-02-27 |
| 54d5b5b | Donghe-Zhu | 2021-02-27 |
| 330f064 | Donghe-Zhu | 2021-02-27 |
| adbc9bc | Donghe-Zhu | 2021-02-27 |
| 5937141 | Donghe-Zhu | 2021-02-27 |
| 4414bbf | Donghe-Zhu | 2021-02-27 |
| a265efb | Donghe-Zhu | 2021-02-27 |
| 19edd1e | Donghe-Zhu | 2021-02-27 |
| f20483f | Donghe-Zhu | 2021-02-26 |
| 6a2c7b3 | Donghe-Zhu | 2021-02-25 |
| 354c224 | Donghe-Zhu | 2021-02-24 |
| 1a0a88a | Donghe-Zhu | 2021-02-24 |
| 57f701e | Donghe-Zhu | 2021-02-24 |
| 06f3149 | Donghe-Zhu | 2021-02-16 |
| 401eab3 | Donghe-Zhu | 2021-02-15 |
| e3bba84 | Donghe-Zhu | 2021-02-15 |
| 5dce4b1 | Donghe-Zhu | 2021-02-15 |
| 4469a0c | Donghe-Zhu | 2021-02-13 |
| 5ae6a69 | Donghe-Zhu | 2021-02-10 |
| 05385dc | Donghe-Zhu | 2021-02-10 |
| f791ae4 | Donghe-Zhu | 2021-02-09 |
| c011832 | Donghe-Zhu | 2021-02-09 |
| a145fa7 | Donghe-Zhu | 2021-02-09 |
| c344e42 | Donghe-Zhu | 2021-02-08 |
| 2f095d7 | Donghe-Zhu | 2021-02-07 |
| 2305044 | Donghe-Zhu | 2021-02-07 |
| 1fad5f1 | Donghe-Zhu | 2021-02-07 |
| ca03c39 | Donghe-Zhu | 2021-02-07 |
| e2ffc14 | Donghe-Zhu | 2021-02-05 |
| cd7c52c | Donghe-Zhu | 2021-02-04 |
| bcf84f4 | Donghe-Zhu | 2021-02-02 |
| a518739 | Donghe-Zhu | 2021-02-01 |
| 61666de | Donghe-Zhu | 2021-01-31 |
| 865b582 | Donghe-Zhu | 2021-01-31 |
| 3e68089 | Donghe-Zhu | 2021-01-31 |
| ecf335c | Donghe-Zhu | 2021-01-31 |
| a618965 | Donghe-Zhu | 2021-01-31 |
| 59e006e | Donghe-Zhu | 2021-01-31 |
| a1c8f87 | Donghe-Zhu | 2021-01-31 |
| ae5c18f | Donghe-Zhu | 2021-01-31 |
| b50fe52 | Donghe-Zhu | 2021-01-31 |
| ac99ae5 | jens-daniel-mueller | 2021-01-29 |
| b5bdcaf | Donghe-Zhu | 2021-01-29 |
| 442010d | Donghe-Zhu | 2021-01-29 |
| 372adf5 | Donghe-Zhu | 2021-01-29 |
| af8788e | Donghe-Zhu | 2021-01-29 |
| 21c91c9 | Donghe-Zhu | 2021-01-29 |
| eded038 | Donghe-Zhu | 2021-01-29 |
| 541d4dd | Donghe-Zhu | 2021-01-29 |
| 6a75576 | Donghe-Zhu | 2021-01-28 |
| 16fba40 | Donghe-Zhu | 2021-01-28 |
| 12bc567 | Donghe-Zhu | 2021-01-27 |
| ceed31b | Donghe-Zhu | 2021-01-27 |
| 342402d | Donghe-Zhu | 2021-01-27 |
| 5bad5c2 | Donghe-Zhu | 2021-01-27 |
| 61efb56 | Donghe-Zhu | 2021-01-25 |
| 48f638e | Donghe-Zhu | 2021-01-25 |
| c1cec47 | Donghe-Zhu | 2021-01-25 |
| 05ffb0c | Donghe-Zhu | 2021-01-25 |
| 8b97165 | Donghe-Zhu | 2021-01-25 |
| c569946 | Donghe-Zhu | 2021-01-24 |
| a2f0d56 | Donghe-Zhu | 2021-01-23 |
| 28509fc | Donghe-Zhu | 2021-01-23 |
| 4c28e4a | Donghe-Zhu | 2021-01-22 |
| 24cc264 | jens-daniel-mueller | 2021-01-22 |
| 2679490 | Donghe-Zhu | 2021-01-21 |
| 7891955 | Donghe-Zhu | 2021-01-21 |
| d4cf1cb | Donghe-Zhu | 2021-01-21 |
| 1f3e5b6 | jens-daniel-mueller | 2021-01-20 |
| 0e7bdf1 | jens-daniel-mueller | 2021-01-15 |
| 4571843 | jens-daniel-mueller | 2021-01-14 |
| b3564aa | jens-daniel-mueller | 2021-01-14 |
| 8d032c3 | jens-daniel-mueller | 2021-01-14 |
| 022871c | Donghe-Zhu | 2021-01-13 |

| Version | Author | Date |
|---|---|---|
| 90f70da | Donghe-Zhu | 2021-08-06 |
| 496fa02 | Donghe-Zhu | 2021-08-05 |
| 19ecfe2 | Donghe-Zhu | 2021-08-05 |
| 3253031 | Donghe-Zhu | 2021-08-05 |
| 6c70952 | Donghe-Zhu | 2021-08-01 |
| 2666bd7 | Donghe-Zhu | 2021-08-01 |
| e51cfa2 | Donghe-Zhu | 2021-08-01 |
| 78cbc18 | Donghe-Zhu | 2021-08-01 |
| c55d4d7 | Donghe-Zhu | 2021-08-01 |
| 26741db | Donghe-Zhu | 2021-08-01 |
| ca539b5 | Donghe-Zhu | 2021-08-01 |
| 1e98138 | Donghe-Zhu | 2021-08-01 |
| 777b9e9 | Donghe-Zhu | 2021-08-01 |
| b110c47 | Donghe-Zhu | 2021-08-01 |
| 3611a48 | Donghe-Zhu | 2021-08-01 |
| af832ef | Donghe-Zhu | 2021-07-31 |
| 016f9ed | Donghe-Zhu | 2021-07-31 |
| 2080ac5 | Donghe-Zhu | 2021-07-31 |
| 50f0a16 | Donghe-Zhu | 2021-07-31 |
| 1682579 | Donghe-Zhu | 2021-07-31 |
| 9fa8832 | Donghe-Zhu | 2021-07-31 |
| 4abf542 | Donghe-Zhu | 2021-07-31 |
| a2483f0 | Donghe-Zhu | 2021-07-31 |
| 3300527 | Donghe-Zhu | 2021-07-31 |
| afeb6fd | Donghe-Zhu | 2021-07-31 |
| cb3ef32 | Donghe-Zhu | 2021-07-31 |
| 6528618 | Donghe-Zhu | 2021-07-31 |
| f50925e | Donghe-Zhu | 2021-07-31 |
| f4de2f3 | Donghe-Zhu | 2021-07-30 |
| 43bc7b4 | Donghe-Zhu | 2021-07-30 |
| f8c34a8 | Donghe-Zhu | 2021-07-30 |
| 4f897c4 | Donghe-Zhu | 2021-07-30 |
| 0f6e960 | Donghe-Zhu | 2021-07-30 |
| fe067ea | Donghe-Zhu | 2021-07-30 |
| fbca39a | Donghe-Zhu | 2021-07-30 |
| f945f95 | Donghe-Zhu | 2021-07-30 |
| a3006cd | Donghe-Zhu | 2021-07-30 |
| a55ffdc | Donghe-Zhu | 2021-07-30 |
| d5e4458 | Donghe-Zhu | 2021-07-30 |
| 10a97ef | Donghe-Zhu | 2021-07-30 |
| 1c501fd | Donghe-Zhu | 2021-07-30 |
| 68bce3f | Donghe-Zhu | 2021-07-30 |
| 400c457 | Donghe-Zhu | 2021-07-29 |
| 3ba7852 | Donghe-Zhu | 2021-07-29 |
| ec68363 | Donghe-Zhu | 2021-07-28 |
| d3018f6 | Donghe-Zhu | 2021-07-28 |
| b8ba2c4 | Donghe-Zhu | 2021-07-28 |
| a4ddd84 | Donghe-Zhu | 2021-07-27 |
| 7ef49ab | Donghe-Zhu | 2021-07-27 |
| da818c0 | Donghe-Zhu | 2021-07-27 |
| 8623898 | Donghe-Zhu | 2021-07-27 |
| f84b77c | Donghe-Zhu | 2021-07-27 |
| 70ad9a5 | Donghe-Zhu | 2021-07-27 |
| 0d0b48d | Donghe-Zhu | 2021-07-27 |
| d0d97c6 | Donghe-Zhu | 2021-07-27 |
| 829510d | Donghe-Zhu | 2021-07-27 |
| 780627d | Donghe-Zhu | 2021-07-27 |
| e9838c9 | Donghe-Zhu | 2021-07-27 |
| 2777f33 | Donghe-Zhu | 2021-07-27 |
| d19760f | Donghe-Zhu | 2021-07-27 |
| cac5680 | Donghe-Zhu | 2021-07-23 |
| 7bb279a | Donghe-Zhu | 2021-07-23 |
| d52eac4 | Donghe-Zhu | 2021-07-23 |
| dcf34b1 | Donghe-Zhu | 2021-07-23 |
| 9447d10 | Donghe-Zhu | 2021-07-22 |
| cdc98a3 | Donghe-Zhu | 2021-07-22 |
| e4805a1 | Donghe-Zhu | 2021-07-22 |
| 7957fd1 | Donghe-Zhu | 2021-07-21 |
| b94be4e | Donghe-Zhu | 2021-07-21 |
| 9950e70 | Donghe-Zhu | 2021-07-21 |
| d84a1cb | Donghe-Zhu | 2021-07-20 |
| 6f28c0c | Donghe-Zhu | 2021-07-20 |
| db1e7b7 | Donghe-Zhu | 2021-07-19 |
| ff0575d | Donghe-Zhu | 2021-07-19 |
| 5d60eac | Donghe-Zhu | 2021-07-19 |
| 57d0420 | Donghe-Zhu | 2021-07-16 |
| c1be8f6 | Donghe-Zhu | 2021-07-16 |
| 26a7c15 | Donghe-Zhu | 2021-07-16 |
| 046902b | Donghe-Zhu | 2021-07-16 |
| 3d4ac14 | Donghe-Zhu | 2021-07-15 |
| be6fff9 | Donghe-Zhu | 2021-07-15 |
| b473472 | Donghe-Zhu | 2021-07-15 |
| 363270a | Donghe-Zhu | 2021-07-15 |
| 8b75a03 | Donghe-Zhu | 2021-07-15 |
| a01e135 | Donghe-Zhu | 2021-07-07 |
| bc83ef2 | Donghe-Zhu | 2021-07-07 |
| 75e7b07 | Donghe-Zhu | 2021-07-06 |
| 697aa6d | Donghe-Zhu | 2021-07-06 |
| d52e2de | Donghe-Zhu | 2021-07-06 |
| f2bde6b | Donghe-Zhu | 2021-07-06 |
| 1133f28 | Donghe-Zhu | 2021-07-06 |
| fe3a1cd | Donghe-Zhu | 2021-07-06 |
| d9cdf15 | Donghe-Zhu | 2021-07-06 |
| ee4cd2d | Donghe-Zhu | 2021-07-06 |
| 93821c1 | Donghe-Zhu | 2021-07-05 |
| d44db8e | Donghe-Zhu | 2021-07-05 |
| 20b3436 | Donghe-Zhu | 2021-07-05 |
| d982ea5 | Donghe-Zhu | 2021-07-05 |
| 7397e53 | Donghe-Zhu | 2021-07-05 |
| f2e4805 | Donghe-Zhu | 2021-07-05 |
| e2d011a | Donghe-Zhu | 2021-07-05 |
| 85e0349 | Donghe-Zhu | 2021-07-05 |
| 6ee0146 | Donghe-Zhu | 2021-07-05 |
| a482a6b | Donghe-Zhu | 2021-07-05 |
| f59f1b3 | Donghe-Zhu | 2021-07-05 |
| 116bcab | Donghe-Zhu | 2021-07-04 |
| cb1c8dc | Donghe-Zhu | 2021-07-04 |
| c9bdd83 | Donghe-Zhu | 2021-07-04 |
| 1920ad9 | Donghe-Zhu | 2021-07-04 |
| 0b02791 | Donghe-Zhu | 2021-06-25 |
| caf62d8 | Donghe-Zhu | 2021-06-25 |
| 90a9da5 | Donghe-Zhu | 2021-06-25 |
| bb413c8 | Donghe-Zhu | 2021-06-25 |
| e7a5266 | Donghe-Zhu | 2021-06-24 |
| 7c57720 | Donghe-Zhu | 2021-06-24 |
| b5b95a9 | Donghe-Zhu | 2021-06-24 |
| 472aad4 | Donghe-Zhu | 2021-06-24 |
| d517836 | Donghe-Zhu | 2021-06-24 |
| 9221bfe | Donghe-Zhu | 2021-06-24 |
| bff5fbf | Donghe-Zhu | 2021-06-23 |
| 256a616 | Donghe-Zhu | 2021-06-23 |
| 00072e2 | Donghe-Zhu | 2021-06-23 |
| 7431530 | Donghe-Zhu | 2021-06-20 |
| d20c383 | Donghe-Zhu | 2021-06-18 |
| b0874a2 | Donghe-Zhu | 2021-06-17 |
| 72c2f2e | Donghe-Zhu | 2021-06-15 |
| d97dcb6 | Donghe-Zhu | 2021-06-08 |
| 25dda1d | Donghe-Zhu | 2021-06-08 |
| bd2bcc3 | Donghe-Zhu | 2021-06-08 |
| e9b27d7 | Donghe-Zhu | 2021-06-07 |
| 7ae0d4b | Donghe-Zhu | 2021-06-07 |
| 325391f | Donghe-Zhu | 2021-06-07 |
| ed89970 | Donghe-Zhu | 2021-06-07 |
| df37958 | Donghe-Zhu | 2021-06-07 |
| 812bf63 | Donghe-Zhu | 2021-06-06 |
| 65c89c8 | Donghe-Zhu | 2021-06-06 |
| 9baa3b2 | Donghe-Zhu | 2021-06-06 |
| b7d99cf | Donghe-Zhu | 2021-06-06 |
| 5d8fa90 | Donghe-Zhu | 2021-06-06 |
| dbe2a95 | Donghe-Zhu | 2021-05-28 |
| d50b039 | Donghe-Zhu | 2021-05-28 |
| 441ebe5 | Donghe-Zhu | 2021-05-28 |
| 6262ad3 | Donghe-Zhu | 2021-05-28 |
| a61aa77 | Donghe-Zhu | 2021-05-28 |
| b8dbce4 | Donghe-Zhu | 2021-05-28 |
| 94a833e | Donghe-Zhu | 2021-05-27 |
| 5e0bd64 | Donghe-Zhu | 2021-05-27 |
| af1eadd | Donghe-Zhu | 2021-05-27 |
| 9179bfe | Donghe-Zhu | 2021-05-27 |
| 28cbe5e | Donghe-Zhu | 2021-05-27 |
| a618f02 | Donghe-Zhu | 2021-05-27 |
| 4623e38 | Donghe-Zhu | 2021-05-27 |
| b81bb49 | Donghe-Zhu | 2021-05-27 |
| 951e188 | Donghe-Zhu | 2021-05-27 |
| e377833 | Donghe-Zhu | 2021-05-26 |
| 2705a04 | Donghe-Zhu | 2021-03-28 |
| cd5f759 | Donghe-Zhu | 2021-03-28 |
| 75dda4d | Donghe-Zhu | 2021-03-27 |
| 0b19f6e | Donghe-Zhu | 2021-03-27 |
| e2704ca | Donghe-Zhu | 2021-03-27 |
| 3061a0b | Donghe-Zhu | 2021-03-27 |
| b883157 | Donghe-Zhu | 2021-03-27 |
| d19654d | Donghe-Zhu | 2021-03-26 |
| 6c53dbf | Donghe-Zhu | 2021-03-25 |
| 1914a11 | Donghe-Zhu | 2021-03-24 |
| 8be810e | Donghe-Zhu | 2021-03-23 |
| bf19764 | Donghe-Zhu | 2021-03-22 |
| 3ec9d3d | Donghe-Zhu | 2021-03-22 |
| 134ace1 | Donghe-Zhu | 2021-03-22 |
| f6d70a4 | Donghe-Zhu | 2021-03-22 |
| 183443b | Donghe-Zhu | 2021-03-21 |
| 2e6976b | Donghe-Zhu | 2021-03-21 |
| 51a42bd | Donghe-Zhu | 2021-03-16 |
| f745381 | Donghe-Zhu | 2021-03-16 |
| aecbf75 | Donghe-Zhu | 2021-03-14 |
| 1b2a0c2 | Donghe-Zhu | 2021-03-14 |
| 6733e48 | Donghe-Zhu | 2021-03-12 |
| ba71e6a | Donghe-Zhu | 2021-03-12 |
| 9dbf5bd | Donghe-Zhu | 2021-03-11 |
| a49df30 | Donghe-Zhu | 2021-03-11 |
| b3348a5 | Donghe-Zhu | 2021-03-11 |
| 1c24ff7 | Donghe-Zhu | 2021-03-10 |
| 94ce5a8 | Donghe-Zhu | 2021-03-10 |
| db33928 | Donghe-Zhu | 2021-03-10 |
| 3d1f470 | Donghe-Zhu | 2021-03-10 |
| 9b7bc66 | Donghe-Zhu | 2021-03-10 |
| 4168b43 | Donghe-Zhu | 2021-03-10 |
| 5365f80 | Donghe-Zhu | 2021-03-10 |
| 9f58753 | Donghe-Zhu | 2021-03-10 |
| f2a7146 | Donghe-Zhu | 2021-03-10 |
| fd528ed | Donghe-Zhu | 2021-03-10 |
| 9d5a62c | Donghe-Zhu | 2021-03-10 |
| 5d1e70b | Donghe-Zhu | 2021-03-10 |
| 2093979 | Donghe-Zhu | 2021-03-10 |
| b865899 | Donghe-Zhu | 2021-03-10 |
| cc2a956 | Donghe-Zhu | 2021-03-10 |
| 60689fb | Donghe-Zhu | 2021-03-10 |
| 9230b52 | Donghe-Zhu | 2021-03-10 |
| dba33c8 | Donghe-Zhu | 2021-03-09 |
| 17f1c4a | Donghe-Zhu | 2021-03-09 |
| c024d1a | Donghe-Zhu | 2021-03-09 |
| 02f7242 | Donghe-Zhu | 2021-03-09 |
| 6f50bc6 | Donghe-Zhu | 2021-03-09 |
| 1691156 | Donghe-Zhu | 2021-03-08 |
| c0ceaf8 | Donghe-Zhu | 2021-03-08 |
| 058e0a1 | Donghe-Zhu | 2021-03-08 |
| 112dea0 | Donghe-Zhu | 2021-03-08 |
| 1843412 | Donghe-Zhu | 2021-03-08 |
| 3fbbfa4 | Donghe-Zhu | 2021-03-07 |
| 627c8fb | Donghe-Zhu | 2021-03-07 |
| 9ef3222 | Donghe-Zhu | 2021-03-05 |
| 8c1e978 | Donghe-Zhu | 2021-03-05 |
| 865f68c | Donghe-Zhu | 2021-03-05 |
| ee69bc1 | Donghe-Zhu | 2021-03-05 |
| a79291f | Donghe-Zhu | 2021-03-05 |
| e8c6f30 | Donghe-Zhu | 2021-03-04 |
| 59288fe | Donghe-Zhu | 2021-03-04 |
| 731abc8 | Donghe-Zhu | 2021-03-04 |
| e2a5a33 | Donghe-Zhu | 2021-03-04 |
| c7892c1 | Donghe-Zhu | 2021-03-04 |
| 924430b | Donghe-Zhu | 2021-03-03 |
| 0d0bca1 | Donghe-Zhu | 2021-03-03 |
| cb63c16 | Donghe-Zhu | 2021-03-03 |
| 691ba81 | Donghe-Zhu | 2021-03-03 |
| c5e45a2 | Donghe-Zhu | 2021-03-03 |
| 89c3e58 | Donghe-Zhu | 2021-03-03 |
| c407a50 | Donghe-Zhu | 2021-03-03 |
| c911669 | Donghe-Zhu | 2021-03-03 |
| b71c719 | Donghe-Zhu | 2021-03-01 |
| 13666ca | Donghe-Zhu | 2021-03-01 |
| c6e60fe | Donghe-Zhu | 2021-03-01 |
| 7a388f7 | Donghe-Zhu | 2021-03-01 |
| 799e913 | Donghe-Zhu | 2021-03-01 |
| 66ff99f | Donghe-Zhu | 2021-03-01 |
| ac9bb7a | Donghe-Zhu | 2021-02-28 |
| efdc047 | Donghe-Zhu | 2021-02-28 |
| e9a7418 | Donghe-Zhu | 2021-02-28 |
| e152917 | Donghe-Zhu | 2021-02-28 |
| 287123c | Donghe-Zhu | 2021-02-27 |
| 54d5b5b | Donghe-Zhu | 2021-02-27 |
| 330f064 | Donghe-Zhu | 2021-02-27 |
| adbc9bc | Donghe-Zhu | 2021-02-27 |
| 5937141 | Donghe-Zhu | 2021-02-27 |
| 4414bbf | Donghe-Zhu | 2021-02-27 |
| a265efb | Donghe-Zhu | 2021-02-27 |
| 19edd1e | Donghe-Zhu | 2021-02-27 |
| f20483f | Donghe-Zhu | 2021-02-26 |
| 6a2c7b3 | Donghe-Zhu | 2021-02-25 |
| 354c224 | Donghe-Zhu | 2021-02-24 |
| 1a0a88a | Donghe-Zhu | 2021-02-24 |
| 57f701e | Donghe-Zhu | 2021-02-24 |
| 06f3149 | Donghe-Zhu | 2021-02-16 |
| 401eab3 | Donghe-Zhu | 2021-02-15 |
| e3bba84 | Donghe-Zhu | 2021-02-15 |
| 5dce4b1 | Donghe-Zhu | 2021-02-15 |
| 4469a0c | Donghe-Zhu | 2021-02-13 |
| 5ae6a69 | Donghe-Zhu | 2021-02-10 |
| 05385dc | Donghe-Zhu | 2021-02-10 |
| f791ae4 | Donghe-Zhu | 2021-02-09 |
| f71ae34 | Donghe-Zhu | 2021-02-09 |
| c011832 | Donghe-Zhu | 2021-02-09 |
| a145fa7 | Donghe-Zhu | 2021-02-09 |
| c344e42 | Donghe-Zhu | 2021-02-08 |
| 2f095d7 | Donghe-Zhu | 2021-02-07 |
| 2305044 | Donghe-Zhu | 2021-02-07 |
| 1fad5f1 | Donghe-Zhu | 2021-02-07 |
| ca03c39 | Donghe-Zhu | 2021-02-07 |
| e2ffc14 | Donghe-Zhu | 2021-02-05 |
| cd7c52c | Donghe-Zhu | 2021-02-04 |
| bcf84f4 | Donghe-Zhu | 2021-02-02 |
| a518739 | Donghe-Zhu | 2021-02-01 |
| 61666de | Donghe-Zhu | 2021-01-31 |
| 865b582 | Donghe-Zhu | 2021-01-31 |
| 3e68089 | Donghe-Zhu | 2021-01-31 |
| ecf335c | Donghe-Zhu | 2021-01-31 |
| a618965 | Donghe-Zhu | 2021-01-31 |
| 59e006e | Donghe-Zhu | 2021-01-31 |
| ae5c18f | Donghe-Zhu | 2021-01-31 |
| b50fe52 | Donghe-Zhu | 2021-01-31 |
| ac99ae5 | jens-daniel-mueller | 2021-01-29 |
| b5bdcaf | Donghe-Zhu | 2021-01-29 |
| 442010d | Donghe-Zhu | 2021-01-29 |
| 372adf5 | Donghe-Zhu | 2021-01-29 |
| af8788e | Donghe-Zhu | 2021-01-29 |
| 21c91c9 | Donghe-Zhu | 2021-01-29 |
| eded038 | Donghe-Zhu | 2021-01-29 |
| 541d4dd | Donghe-Zhu | 2021-01-29 |
| 6a75576 | Donghe-Zhu | 2021-01-28 |
| 16fba40 | Donghe-Zhu | 2021-01-28 |
| 12bc567 | Donghe-Zhu | 2021-01-27 |
| ceed31b | Donghe-Zhu | 2021-01-27 |
| 342402d | Donghe-Zhu | 2021-01-27 |
| 5bad5c2 | Donghe-Zhu | 2021-01-27 |
| 61efb56 | Donghe-Zhu | 2021-01-25 |
| 48f638e | Donghe-Zhu | 2021-01-25 |
| c1cec47 | Donghe-Zhu | 2021-01-25 |
| 05ffb0c | Donghe-Zhu | 2021-01-25 |
| 8b97165 | Donghe-Zhu | 2021-01-25 |
| c569946 | Donghe-Zhu | 2021-01-24 |
| a2f0d56 | Donghe-Zhu | 2021-01-23 |
| 4c28e4a | Donghe-Zhu | 2021-01-22 |
| 24cc264 | jens-daniel-mueller | 2021-01-22 |
| 2679490 | Donghe-Zhu | 2021-01-21 |
| 7891955 | Donghe-Zhu | 2021-01-21 |
| d4cf1cb | Donghe-Zhu | 2021-01-21 |
| 1f3e5b6 | jens-daniel-mueller | 2021-01-20 |
| 0e7bdf1 | jens-daniel-mueller | 2021-01-15 |
| 4571843 | jens-daniel-mueller | 2021-01-14 |
| b3564aa | jens-daniel-mueller | 2021-01-14 |
| 8d032c3 | jens-daniel-mueller | 2021-01-14 |
| 022871c | Donghe-Zhu | 2021-01-13 |

| Version | Author | Date |
|---|---|---|
| 90f70da | Donghe-Zhu | 2021-08-06 |
| 496fa02 | Donghe-Zhu | 2021-08-05 |
| 19ecfe2 | Donghe-Zhu | 2021-08-05 |
| 3253031 | Donghe-Zhu | 2021-08-05 |
| 6c70952 | Donghe-Zhu | 2021-08-01 |
| 2666bd7 | Donghe-Zhu | 2021-08-01 |
| e51cfa2 | Donghe-Zhu | 2021-08-01 |
| 78cbc18 | Donghe-Zhu | 2021-08-01 |
| c55d4d7 | Donghe-Zhu | 2021-08-01 |
| 26741db | Donghe-Zhu | 2021-08-01 |
| ca539b5 | Donghe-Zhu | 2021-08-01 |
| 1e98138 | Donghe-Zhu | 2021-08-01 |
| 777b9e9 | Donghe-Zhu | 2021-08-01 |
| b110c47 | Donghe-Zhu | 2021-08-01 |
| 3611a48 | Donghe-Zhu | 2021-08-01 |
| af832ef | Donghe-Zhu | 2021-07-31 |
| 016f9ed | Donghe-Zhu | 2021-07-31 |
| 2080ac5 | Donghe-Zhu | 2021-07-31 |
| 50f0a16 | Donghe-Zhu | 2021-07-31 |
| 1682579 | Donghe-Zhu | 2021-07-31 |
| 9fa8832 | Donghe-Zhu | 2021-07-31 |
| 4abf542 | Donghe-Zhu | 2021-07-31 |
| a2483f0 | Donghe-Zhu | 2021-07-31 |
| 3300527 | Donghe-Zhu | 2021-07-31 |
| afeb6fd | Donghe-Zhu | 2021-07-31 |
| cb3ef32 | Donghe-Zhu | 2021-07-31 |
| 6528618 | Donghe-Zhu | 2021-07-31 |
| f50925e | Donghe-Zhu | 2021-07-31 |
| f4de2f3 | Donghe-Zhu | 2021-07-30 |
| 43bc7b4 | Donghe-Zhu | 2021-07-30 |
| f8c34a8 | Donghe-Zhu | 2021-07-30 |
| 4f897c4 | Donghe-Zhu | 2021-07-30 |
| 0f6e960 | Donghe-Zhu | 2021-07-30 |
| fe067ea | Donghe-Zhu | 2021-07-30 |
| fbca39a | Donghe-Zhu | 2021-07-30 |
| f945f95 | Donghe-Zhu | 2021-07-30 |
| a3006cd | Donghe-Zhu | 2021-07-30 |
| a55ffdc | Donghe-Zhu | 2021-07-30 |
| d5e4458 | Donghe-Zhu | 2021-07-30 |
| 10a97ef | Donghe-Zhu | 2021-07-30 |
| 1c501fd | Donghe-Zhu | 2021-07-30 |
| 68bce3f | Donghe-Zhu | 2021-07-30 |
| 400c457 | Donghe-Zhu | 2021-07-29 |
| 3ba7852 | Donghe-Zhu | 2021-07-29 |
| ec68363 | Donghe-Zhu | 2021-07-28 |
| d3018f6 | Donghe-Zhu | 2021-07-28 |
| b8ba2c4 | Donghe-Zhu | 2021-07-28 |
| a4ddd84 | Donghe-Zhu | 2021-07-27 |
| 7ef49ab | Donghe-Zhu | 2021-07-27 |
| da818c0 | Donghe-Zhu | 2021-07-27 |
| 8623898 | Donghe-Zhu | 2021-07-27 |
| f84b77c | Donghe-Zhu | 2021-07-27 |
| 70ad9a5 | Donghe-Zhu | 2021-07-27 |
| 0d0b48d | Donghe-Zhu | 2021-07-27 |
| d0d97c6 | Donghe-Zhu | 2021-07-27 |
| 829510d | Donghe-Zhu | 2021-07-27 |
| 780627d | Donghe-Zhu | 2021-07-27 |
| e9838c9 | Donghe-Zhu | 2021-07-27 |
| 2777f33 | Donghe-Zhu | 2021-07-27 |
| d19760f | Donghe-Zhu | 2021-07-27 |
| cac5680 | Donghe-Zhu | 2021-07-23 |
| 7bb279a | Donghe-Zhu | 2021-07-23 |
| d52eac4 | Donghe-Zhu | 2021-07-23 |
| dcf34b1 | Donghe-Zhu | 2021-07-23 |
| 9447d10 | Donghe-Zhu | 2021-07-22 |
| cdc98a3 | Donghe-Zhu | 2021-07-22 |
| e4805a1 | Donghe-Zhu | 2021-07-22 |
| 7957fd1 | Donghe-Zhu | 2021-07-21 |
| b94be4e | Donghe-Zhu | 2021-07-21 |
| 9950e70 | Donghe-Zhu | 2021-07-21 |
| d84a1cb | Donghe-Zhu | 2021-07-20 |
| 6f28c0c | Donghe-Zhu | 2021-07-20 |
| db1e7b7 | Donghe-Zhu | 2021-07-19 |
| ff0575d | Donghe-Zhu | 2021-07-19 |
| 5d60eac | Donghe-Zhu | 2021-07-19 |
| 57d0420 | Donghe-Zhu | 2021-07-16 |
| c1be8f6 | Donghe-Zhu | 2021-07-16 |
| 26a7c15 | Donghe-Zhu | 2021-07-16 |
| 046902b | Donghe-Zhu | 2021-07-16 |
| 3d4ac14 | Donghe-Zhu | 2021-07-15 |
| be6fff9 | Donghe-Zhu | 2021-07-15 |
| b473472 | Donghe-Zhu | 2021-07-15 |
| 363270a | Donghe-Zhu | 2021-07-15 |
| 8b75a03 | Donghe-Zhu | 2021-07-15 |
| a01e135 | Donghe-Zhu | 2021-07-07 |
| bc83ef2 | Donghe-Zhu | 2021-07-07 |
| 75e7b07 | Donghe-Zhu | 2021-07-06 |
| 697aa6d | Donghe-Zhu | 2021-07-06 |
| d52e2de | Donghe-Zhu | 2021-07-06 |
| f2bde6b | Donghe-Zhu | 2021-07-06 |
| 1133f28 | Donghe-Zhu | 2021-07-06 |
| fe3a1cd | Donghe-Zhu | 2021-07-06 |
| d9cdf15 | Donghe-Zhu | 2021-07-06 |
| ee4cd2d | Donghe-Zhu | 2021-07-06 |
| 93821c1 | Donghe-Zhu | 2021-07-05 |
| d44db8e | Donghe-Zhu | 2021-07-05 |
| 20b3436 | Donghe-Zhu | 2021-07-05 |
| d982ea5 | Donghe-Zhu | 2021-07-05 |
| 7397e53 | Donghe-Zhu | 2021-07-05 |
| f2e4805 | Donghe-Zhu | 2021-07-05 |
| e2d011a | Donghe-Zhu | 2021-07-05 |
| 85e0349 | Donghe-Zhu | 2021-07-05 |
| 6ee0146 | Donghe-Zhu | 2021-07-05 |
| a482a6b | Donghe-Zhu | 2021-07-05 |
| f59f1b3 | Donghe-Zhu | 2021-07-05 |
| 116bcab | Donghe-Zhu | 2021-07-04 |
| cb1c8dc | Donghe-Zhu | 2021-07-04 |
| c9bdd83 | Donghe-Zhu | 2021-07-04 |
| 1920ad9 | Donghe-Zhu | 2021-07-04 |
| 0b02791 | Donghe-Zhu | 2021-06-25 |
| caf62d8 | Donghe-Zhu | 2021-06-25 |
| 90a9da5 | Donghe-Zhu | 2021-06-25 |
| bb413c8 | Donghe-Zhu | 2021-06-25 |
| e7a5266 | Donghe-Zhu | 2021-06-24 |
| 7c57720 | Donghe-Zhu | 2021-06-24 |
| b5b95a9 | Donghe-Zhu | 2021-06-24 |
| 472aad4 | Donghe-Zhu | 2021-06-24 |
| d517836 | Donghe-Zhu | 2021-06-24 |
| 9221bfe | Donghe-Zhu | 2021-06-24 |
| bff5fbf | Donghe-Zhu | 2021-06-23 |
| 256a616 | Donghe-Zhu | 2021-06-23 |
| 00072e2 | Donghe-Zhu | 2021-06-23 |
| 7431530 | Donghe-Zhu | 2021-06-20 |
| b0874a2 | Donghe-Zhu | 2021-06-17 |
| 72c2f2e | Donghe-Zhu | 2021-06-15 |
| d97dcb6 | Donghe-Zhu | 2021-06-08 |
| 25dda1d | Donghe-Zhu | 2021-06-08 |
| bd2bcc3 | Donghe-Zhu | 2021-06-08 |
| e9b27d7 | Donghe-Zhu | 2021-06-07 |
| 7ae0d4b | Donghe-Zhu | 2021-06-07 |
| 325391f | Donghe-Zhu | 2021-06-07 |
| ed89970 | Donghe-Zhu | 2021-06-07 |
| df37958 | Donghe-Zhu | 2021-06-07 |
| 812bf63 | Donghe-Zhu | 2021-06-06 |
| 65c89c8 | Donghe-Zhu | 2021-06-06 |
| 9baa3b2 | Donghe-Zhu | 2021-06-06 |
| b7d99cf | Donghe-Zhu | 2021-06-06 |
| 5d8fa90 | Donghe-Zhu | 2021-06-06 |
| dbe2a95 | Donghe-Zhu | 2021-05-28 |
| d50b039 | Donghe-Zhu | 2021-05-28 |
| 441ebe5 | Donghe-Zhu | 2021-05-28 |
| 6262ad3 | Donghe-Zhu | 2021-05-28 |
| a61aa77 | Donghe-Zhu | 2021-05-28 |
| b8dbce4 | Donghe-Zhu | 2021-05-28 |
| 94a833e | Donghe-Zhu | 2021-05-27 |
| 5e0bd64 | Donghe-Zhu | 2021-05-27 |
| af1eadd | Donghe-Zhu | 2021-05-27 |
| 9179bfe | Donghe-Zhu | 2021-05-27 |
| 28cbe5e | Donghe-Zhu | 2021-05-27 |
| a618f02 | Donghe-Zhu | 2021-05-27 |
| 4623e38 | Donghe-Zhu | 2021-05-27 |
| b81bb49 | Donghe-Zhu | 2021-05-27 |
| 951e188 | Donghe-Zhu | 2021-05-27 |
| e377833 | Donghe-Zhu | 2021-05-26 |
| 2705a04 | Donghe-Zhu | 2021-03-28 |
| cd5f759 | Donghe-Zhu | 2021-03-28 |
| 75dda4d | Donghe-Zhu | 2021-03-27 |
| 0b19f6e | Donghe-Zhu | 2021-03-27 |
| e2704ca | Donghe-Zhu | 2021-03-27 |
| 3061a0b | Donghe-Zhu | 2021-03-27 |
| b883157 | Donghe-Zhu | 2021-03-27 |
| d19654d | Donghe-Zhu | 2021-03-26 |
| 6c53dbf | Donghe-Zhu | 2021-03-25 |
| 1914a11 | Donghe-Zhu | 2021-03-24 |
| 8be810e | Donghe-Zhu | 2021-03-23 |
| bf19764 | Donghe-Zhu | 2021-03-22 |
| 3ec9d3d | Donghe-Zhu | 2021-03-22 |
| 134ace1 | Donghe-Zhu | 2021-03-22 |
| f6d70a4 | Donghe-Zhu | 2021-03-22 |
| 183443b | Donghe-Zhu | 2021-03-21 |
| 2e6976b | Donghe-Zhu | 2021-03-21 |
| 51a42bd | Donghe-Zhu | 2021-03-16 |
| f745381 | Donghe-Zhu | 2021-03-16 |
| aecbf75 | Donghe-Zhu | 2021-03-14 |
| 1b2a0c2 | Donghe-Zhu | 2021-03-14 |
| 6733e48 | Donghe-Zhu | 2021-03-12 |
| ba71e6a | Donghe-Zhu | 2021-03-12 |
| 9dbf5bd | Donghe-Zhu | 2021-03-11 |
| a49df30 | Donghe-Zhu | 2021-03-11 |
| b3348a5 | Donghe-Zhu | 2021-03-11 |
| 1c24ff7 | Donghe-Zhu | 2021-03-10 |
| 94ce5a8 | Donghe-Zhu | 2021-03-10 |
| db33928 | Donghe-Zhu | 2021-03-10 |
| 3d1f470 | Donghe-Zhu | 2021-03-10 |
| 9b7bc66 | Donghe-Zhu | 2021-03-10 |
| 4168b43 | Donghe-Zhu | 2021-03-10 |
| 5365f80 | Donghe-Zhu | 2021-03-10 |
| 9f58753 | Donghe-Zhu | 2021-03-10 |
| f2a7146 | Donghe-Zhu | 2021-03-10 |
| fd528ed | Donghe-Zhu | 2021-03-10 |
| 9d5a62c | Donghe-Zhu | 2021-03-10 |
| 5d1e70b | Donghe-Zhu | 2021-03-10 |
| 2093979 | Donghe-Zhu | 2021-03-10 |
| b865899 | Donghe-Zhu | 2021-03-10 |
| cc2a956 | Donghe-Zhu | 2021-03-10 |
| 60689fb | Donghe-Zhu | 2021-03-10 |
| 9230b52 | Donghe-Zhu | 2021-03-10 |
| dba33c8 | Donghe-Zhu | 2021-03-09 |
| 17f1c4a | Donghe-Zhu | 2021-03-09 |
| c024d1a | Donghe-Zhu | 2021-03-09 |
| 02f7242 | Donghe-Zhu | 2021-03-09 |
| 6f50bc6 | Donghe-Zhu | 2021-03-09 |
| 1691156 | Donghe-Zhu | 2021-03-08 |
| c0ceaf8 | Donghe-Zhu | 2021-03-08 |
| 058e0a1 | Donghe-Zhu | 2021-03-08 |
| 112dea0 | Donghe-Zhu | 2021-03-08 |
| 1843412 | Donghe-Zhu | 2021-03-08 |
| 3fbbfa4 | Donghe-Zhu | 2021-03-07 |
| 627c8fb | Donghe-Zhu | 2021-03-07 |
| 9ef3222 | Donghe-Zhu | 2021-03-05 |
| 8c1e978 | Donghe-Zhu | 2021-03-05 |
| 865f68c | Donghe-Zhu | 2021-03-05 |
| ee69bc1 | Donghe-Zhu | 2021-03-05 |
| a79291f | Donghe-Zhu | 2021-03-05 |
| e8c6f30 | Donghe-Zhu | 2021-03-04 |
| 59288fe | Donghe-Zhu | 2021-03-04 |
| 731abc8 | Donghe-Zhu | 2021-03-04 |
| e2a5a33 | Donghe-Zhu | 2021-03-04 |
| c7892c1 | Donghe-Zhu | 2021-03-04 |
| 924430b | Donghe-Zhu | 2021-03-03 |
| 0d0bca1 | Donghe-Zhu | 2021-03-03 |
| cb63c16 | Donghe-Zhu | 2021-03-03 |
| 691ba81 | Donghe-Zhu | 2021-03-03 |
| c5e45a2 | Donghe-Zhu | 2021-03-03 |
| 89c3e58 | Donghe-Zhu | 2021-03-03 |
| c407a50 | Donghe-Zhu | 2021-03-03 |
| c911669 | Donghe-Zhu | 2021-03-03 |
| b71c719 | Donghe-Zhu | 2021-03-01 |
| 13666ca | Donghe-Zhu | 2021-03-01 |
| c6e60fe | Donghe-Zhu | 2021-03-01 |
| 7a388f7 | Donghe-Zhu | 2021-03-01 |
| 799e913 | Donghe-Zhu | 2021-03-01 |
| 66ff99f | Donghe-Zhu | 2021-03-01 |
| ac9bb7a | Donghe-Zhu | 2021-02-28 |
| efdc047 | Donghe-Zhu | 2021-02-28 |
| e9a7418 | Donghe-Zhu | 2021-02-28 |
| e152917 | Donghe-Zhu | 2021-02-28 |
| 287123c | Donghe-Zhu | 2021-02-27 |
| 54d5b5b | Donghe-Zhu | 2021-02-27 |
| 330f064 | Donghe-Zhu | 2021-02-27 |
| adbc9bc | Donghe-Zhu | 2021-02-27 |
| 5937141 | Donghe-Zhu | 2021-02-27 |
| 4414bbf | Donghe-Zhu | 2021-02-27 |
| a265efb | Donghe-Zhu | 2021-02-27 |
| 19edd1e | Donghe-Zhu | 2021-02-27 |
| f20483f | Donghe-Zhu | 2021-02-26 |
| 6a2c7b3 | Donghe-Zhu | 2021-02-25 |
| 354c224 | Donghe-Zhu | 2021-02-24 |
| 1a0a88a | Donghe-Zhu | 2021-02-24 |
| 57f701e | Donghe-Zhu | 2021-02-24 |
| 06f3149 | Donghe-Zhu | 2021-02-16 |
| 401eab3 | Donghe-Zhu | 2021-02-15 |
| e3bba84 | Donghe-Zhu | 2021-02-15 |
| 5dce4b1 | Donghe-Zhu | 2021-02-15 |
| 4469a0c | Donghe-Zhu | 2021-02-13 |
| 5ae6a69 | Donghe-Zhu | 2021-02-10 |
| 05385dc | Donghe-Zhu | 2021-02-10 |
| f791ae4 | Donghe-Zhu | 2021-02-09 |
| c011832 | Donghe-Zhu | 2021-02-09 |
| a145fa7 | Donghe-Zhu | 2021-02-09 |
| c344e42 | Donghe-Zhu | 2021-02-08 |
| 2f095d7 | Donghe-Zhu | 2021-02-07 |
| 2305044 | Donghe-Zhu | 2021-02-07 |
| 1fad5f1 | Donghe-Zhu | 2021-02-07 |
| ca03c39 | Donghe-Zhu | 2021-02-07 |
| e2ffc14 | Donghe-Zhu | 2021-02-05 |
| cd7c52c | Donghe-Zhu | 2021-02-04 |
| bcf84f4 | Donghe-Zhu | 2021-02-02 |
| a518739 | Donghe-Zhu | 2021-02-01 |
| 61666de | Donghe-Zhu | 2021-01-31 |
| 865b582 | Donghe-Zhu | 2021-01-31 |
| 3e68089 | Donghe-Zhu | 2021-01-31 |
| ecf335c | Donghe-Zhu | 2021-01-31 |
| a618965 | Donghe-Zhu | 2021-01-31 |
| 59e006e | Donghe-Zhu | 2021-01-31 |
| ae5c18f | Donghe-Zhu | 2021-01-31 |
| b50fe52 | Donghe-Zhu | 2021-01-31 |
| ac99ae5 | jens-daniel-mueller | 2021-01-29 |
| b5bdcaf | Donghe-Zhu | 2021-01-29 |
| 442010d | Donghe-Zhu | 2021-01-29 |
| 372adf5 | Donghe-Zhu | 2021-01-29 |
| af8788e | Donghe-Zhu | 2021-01-29 |
| 21c91c9 | Donghe-Zhu | 2021-01-29 |
| eded038 | Donghe-Zhu | 2021-01-29 |
| 541d4dd | Donghe-Zhu | 2021-01-29 |
| 6a75576 | Donghe-Zhu | 2021-01-28 |
| 16fba40 | Donghe-Zhu | 2021-01-28 |
| 12bc567 | Donghe-Zhu | 2021-01-27 |
| ceed31b | Donghe-Zhu | 2021-01-27 |
| 342402d | Donghe-Zhu | 2021-01-27 |
| 5bad5c2 | Donghe-Zhu | 2021-01-27 |
| 61efb56 | Donghe-Zhu | 2021-01-25 |
| 48f638e | Donghe-Zhu | 2021-01-25 |
| c1cec47 | Donghe-Zhu | 2021-01-25 |
| 05ffb0c | Donghe-Zhu | 2021-01-25 |
| 8b97165 | Donghe-Zhu | 2021-01-25 |
| c569946 | Donghe-Zhu | 2021-01-24 |
| a2f0d56 | Donghe-Zhu | 2021-01-23 |
| 4c28e4a | Donghe-Zhu | 2021-01-22 |
| 24cc264 | jens-daniel-mueller | 2021-01-22 |
| 2679490 | Donghe-Zhu | 2021-01-21 |
| 7891955 | Donghe-Zhu | 2021-01-21 |
| d4cf1cb | Donghe-Zhu | 2021-01-21 |
| 1f3e5b6 | jens-daniel-mueller | 2021-01-20 |
| 0e7bdf1 | jens-daniel-mueller | 2021-01-15 |
| 4571843 | jens-daniel-mueller | 2021-01-14 |
| b3564aa | jens-daniel-mueller | 2021-01-14 |
| 8d032c3 | jens-daniel-mueller | 2021-01-14 |
| 022871c | Donghe-Zhu | 2021-01-13 |
if (params_local$MLR_number > 1) {
cant_3d %>%
ggplot(aes(cant, cant_sd)) +
geom_vline(xintercept = 0) +
geom_hline(yintercept = 10) +
geom_bin2d() +
scale_fill_viridis_c(option = "magma",
direction = -1,
trans = "log10",
name = "log10(n)") +
facet_grid(basin_AIP ~ eras)
}

| Version | Author | Date |
|---|---|---|
| 90f70da | Donghe-Zhu | 2021-08-06 |
| 496fa02 | Donghe-Zhu | 2021-08-05 |
| 19ecfe2 | Donghe-Zhu | 2021-08-05 |
| 3253031 | Donghe-Zhu | 2021-08-05 |
| 6c70952 | Donghe-Zhu | 2021-08-01 |
| 2666bd7 | Donghe-Zhu | 2021-08-01 |
| e51cfa2 | Donghe-Zhu | 2021-08-01 |
| 78cbc18 | Donghe-Zhu | 2021-08-01 |
| c55d4d7 | Donghe-Zhu | 2021-08-01 |
| 26741db | Donghe-Zhu | 2021-08-01 |
| ca539b5 | Donghe-Zhu | 2021-08-01 |
| 1e98138 | Donghe-Zhu | 2021-08-01 |
| 777b9e9 | Donghe-Zhu | 2021-08-01 |
| b110c47 | Donghe-Zhu | 2021-08-01 |
| 3611a48 | Donghe-Zhu | 2021-08-01 |
| af832ef | Donghe-Zhu | 2021-07-31 |
| 016f9ed | Donghe-Zhu | 2021-07-31 |
| 2080ac5 | Donghe-Zhu | 2021-07-31 |
| 50f0a16 | Donghe-Zhu | 2021-07-31 |
| 1682579 | Donghe-Zhu | 2021-07-31 |
| 9fa8832 | Donghe-Zhu | 2021-07-31 |
| 4abf542 | Donghe-Zhu | 2021-07-31 |
| a2483f0 | Donghe-Zhu | 2021-07-31 |
| 3300527 | Donghe-Zhu | 2021-07-31 |
| afeb6fd | Donghe-Zhu | 2021-07-31 |
| cb3ef32 | Donghe-Zhu | 2021-07-31 |
| 6528618 | Donghe-Zhu | 2021-07-31 |
| f50925e | Donghe-Zhu | 2021-07-31 |
| f4de2f3 | Donghe-Zhu | 2021-07-30 |
| 43bc7b4 | Donghe-Zhu | 2021-07-30 |
| f8c34a8 | Donghe-Zhu | 2021-07-30 |
| 4f897c4 | Donghe-Zhu | 2021-07-30 |
| 0f6e960 | Donghe-Zhu | 2021-07-30 |
| fe067ea | Donghe-Zhu | 2021-07-30 |
| fbca39a | Donghe-Zhu | 2021-07-30 |
| f945f95 | Donghe-Zhu | 2021-07-30 |
| a3006cd | Donghe-Zhu | 2021-07-30 |
| a55ffdc | Donghe-Zhu | 2021-07-30 |
| d5e4458 | Donghe-Zhu | 2021-07-30 |
| 10a97ef | Donghe-Zhu | 2021-07-30 |
| 1c501fd | Donghe-Zhu | 2021-07-30 |
| 68bce3f | Donghe-Zhu | 2021-07-30 |
| 400c457 | Donghe-Zhu | 2021-07-29 |
| 3ba7852 | Donghe-Zhu | 2021-07-29 |
| ec68363 | Donghe-Zhu | 2021-07-28 |
| d3018f6 | Donghe-Zhu | 2021-07-28 |
| b8ba2c4 | Donghe-Zhu | 2021-07-28 |
| a4ddd84 | Donghe-Zhu | 2021-07-27 |
| 7ef49ab | Donghe-Zhu | 2021-07-27 |
| da818c0 | Donghe-Zhu | 2021-07-27 |
| 8623898 | Donghe-Zhu | 2021-07-27 |
| f84b77c | Donghe-Zhu | 2021-07-27 |
| 70ad9a5 | Donghe-Zhu | 2021-07-27 |
| 0d0b48d | Donghe-Zhu | 2021-07-27 |
| d0d97c6 | Donghe-Zhu | 2021-07-27 |
| 829510d | Donghe-Zhu | 2021-07-27 |
| 780627d | Donghe-Zhu | 2021-07-27 |
| e9838c9 | Donghe-Zhu | 2021-07-27 |
| 2777f33 | Donghe-Zhu | 2021-07-27 |
| d19760f | Donghe-Zhu | 2021-07-27 |
| cac5680 | Donghe-Zhu | 2021-07-23 |
| 7bb279a | Donghe-Zhu | 2021-07-23 |
| d52eac4 | Donghe-Zhu | 2021-07-23 |
| dcf34b1 | Donghe-Zhu | 2021-07-23 |
| 419cb72 | Donghe-Zhu | 2021-07-22 |
| 9447d10 | Donghe-Zhu | 2021-07-22 |
| 639c9a0 | Donghe-Zhu | 2021-07-22 |
| 25bb96f | Donghe-Zhu | 2021-07-22 |
| cdc98a3 | Donghe-Zhu | 2021-07-22 |
| e4805a1 | Donghe-Zhu | 2021-07-22 |
| 7957fd1 | Donghe-Zhu | 2021-07-21 |
| b94be4e | Donghe-Zhu | 2021-07-21 |
| 9950e70 | Donghe-Zhu | 2021-07-21 |
| 698b6f0 | Donghe-Zhu | 2021-07-20 |
| d84a1cb | Donghe-Zhu | 2021-07-20 |
| 4dce223 | Donghe-Zhu | 2021-07-20 |
| 6f28c0c | Donghe-Zhu | 2021-07-20 |
| db1e7b7 | Donghe-Zhu | 2021-07-19 |
| ff0575d | Donghe-Zhu | 2021-07-19 |
| 5d60eac | Donghe-Zhu | 2021-07-19 |
| 57d0420 | Donghe-Zhu | 2021-07-16 |
| c1be8f6 | Donghe-Zhu | 2021-07-16 |
| 26a7c15 | Donghe-Zhu | 2021-07-16 |
| 046902b | Donghe-Zhu | 2021-07-16 |
| 3d4ac14 | Donghe-Zhu | 2021-07-15 |
| be6fff9 | Donghe-Zhu | 2021-07-15 |
| b473472 | Donghe-Zhu | 2021-07-15 |
| 363270a | Donghe-Zhu | 2021-07-15 |
| 8b75a03 | Donghe-Zhu | 2021-07-15 |
| a01e135 | Donghe-Zhu | 2021-07-07 |
| bc83ef2 | Donghe-Zhu | 2021-07-07 |
| 75e7b07 | Donghe-Zhu | 2021-07-06 |
| 697aa6d | Donghe-Zhu | 2021-07-06 |
| d52e2de | Donghe-Zhu | 2021-07-06 |
| f2bde6b | Donghe-Zhu | 2021-07-06 |
| 1133f28 | Donghe-Zhu | 2021-07-06 |
| fe3a1cd | Donghe-Zhu | 2021-07-06 |
| d9cdf15 | Donghe-Zhu | 2021-07-06 |
| ee4cd2d | Donghe-Zhu | 2021-07-06 |
| 93821c1 | Donghe-Zhu | 2021-07-05 |
| d44db8e | Donghe-Zhu | 2021-07-05 |
| 20b3436 | Donghe-Zhu | 2021-07-05 |
| d982ea5 | Donghe-Zhu | 2021-07-05 |
| 7397e53 | Donghe-Zhu | 2021-07-05 |
| f2e4805 | Donghe-Zhu | 2021-07-05 |
| e2d011a | Donghe-Zhu | 2021-07-05 |
| 85e0349 | Donghe-Zhu | 2021-07-05 |
| 6ee0146 | Donghe-Zhu | 2021-07-05 |
| a482a6b | Donghe-Zhu | 2021-07-05 |
| f59f1b3 | Donghe-Zhu | 2021-07-05 |
| 116bcab | Donghe-Zhu | 2021-07-04 |
| cb1c8dc | Donghe-Zhu | 2021-07-04 |
| c9bdd83 | Donghe-Zhu | 2021-07-04 |
| 1920ad9 | Donghe-Zhu | 2021-07-04 |
| 0b02791 | Donghe-Zhu | 2021-06-25 |
| caf62d8 | Donghe-Zhu | 2021-06-25 |
| 90a9da5 | Donghe-Zhu | 2021-06-25 |
| bb413c8 | Donghe-Zhu | 2021-06-25 |
| e7a5266 | Donghe-Zhu | 2021-06-24 |
| 7c57720 | Donghe-Zhu | 2021-06-24 |
| b5b95a9 | Donghe-Zhu | 2021-06-24 |
| 472aad4 | Donghe-Zhu | 2021-06-24 |
| d517836 | Donghe-Zhu | 2021-06-24 |
| 9221bfe | Donghe-Zhu | 2021-06-24 |
| bff5fbf | Donghe-Zhu | 2021-06-23 |
| 256a616 | Donghe-Zhu | 2021-06-23 |
| 00072e2 | Donghe-Zhu | 2021-06-23 |
| 7431530 | Donghe-Zhu | 2021-06-20 |
| d20c383 | Donghe-Zhu | 2021-06-18 |
| b0874a2 | Donghe-Zhu | 2021-06-17 |
| 72c2f2e | Donghe-Zhu | 2021-06-15 |
| d97dcb6 | Donghe-Zhu | 2021-06-08 |
| 25dda1d | Donghe-Zhu | 2021-06-08 |
| bd2bcc3 | Donghe-Zhu | 2021-06-08 |
| e9b27d7 | Donghe-Zhu | 2021-06-07 |
| 7ae0d4b | Donghe-Zhu | 2021-06-07 |
| 325391f | Donghe-Zhu | 2021-06-07 |
| ed89970 | Donghe-Zhu | 2021-06-07 |
| df37958 | Donghe-Zhu | 2021-06-07 |
| 812bf63 | Donghe-Zhu | 2021-06-06 |
| 65c89c8 | Donghe-Zhu | 2021-06-06 |
| 9baa3b2 | Donghe-Zhu | 2021-06-06 |
| b7d99cf | Donghe-Zhu | 2021-06-06 |
| 5d8fa90 | Donghe-Zhu | 2021-06-06 |
| dbe2a95 | Donghe-Zhu | 2021-05-28 |
| d50b039 | Donghe-Zhu | 2021-05-28 |
| 441ebe5 | Donghe-Zhu | 2021-05-28 |
| 6262ad3 | Donghe-Zhu | 2021-05-28 |
| a61aa77 | Donghe-Zhu | 2021-05-28 |
| b8dbce4 | Donghe-Zhu | 2021-05-28 |
| 94a833e | Donghe-Zhu | 2021-05-27 |
| 5e0bd64 | Donghe-Zhu | 2021-05-27 |
| af1eadd | Donghe-Zhu | 2021-05-27 |
| 9179bfe | Donghe-Zhu | 2021-05-27 |
| 28cbe5e | Donghe-Zhu | 2021-05-27 |
| a618f02 | Donghe-Zhu | 2021-05-27 |
| 4623e38 | Donghe-Zhu | 2021-05-27 |
| b81bb49 | Donghe-Zhu | 2021-05-27 |
| 951e188 | Donghe-Zhu | 2021-05-27 |
| e377833 | Donghe-Zhu | 2021-05-26 |
| 2705a04 | Donghe-Zhu | 2021-03-28 |
| cd5f759 | Donghe-Zhu | 2021-03-28 |
| 75dda4d | Donghe-Zhu | 2021-03-27 |
| 0b19f6e | Donghe-Zhu | 2021-03-27 |
| e2704ca | Donghe-Zhu | 2021-03-27 |
| 3061a0b | Donghe-Zhu | 2021-03-27 |
| b883157 | Donghe-Zhu | 2021-03-27 |
| d19654d | Donghe-Zhu | 2021-03-26 |
| 6c53dbf | Donghe-Zhu | 2021-03-25 |
| 1914a11 | Donghe-Zhu | 2021-03-24 |
| 8be810e | Donghe-Zhu | 2021-03-23 |
| bf19764 | Donghe-Zhu | 2021-03-22 |
| 3ec9d3d | Donghe-Zhu | 2021-03-22 |
| 134ace1 | Donghe-Zhu | 2021-03-22 |
| f6d70a4 | Donghe-Zhu | 2021-03-22 |
| 183443b | Donghe-Zhu | 2021-03-21 |
| 2e6976b | Donghe-Zhu | 2021-03-21 |
| 51a42bd | Donghe-Zhu | 2021-03-16 |
| f745381 | Donghe-Zhu | 2021-03-16 |
| aecbf75 | Donghe-Zhu | 2021-03-14 |
| 1b2a0c2 | Donghe-Zhu | 2021-03-14 |
| 6733e48 | Donghe-Zhu | 2021-03-12 |
| ba71e6a | Donghe-Zhu | 2021-03-12 |
| 9dbf5bd | Donghe-Zhu | 2021-03-11 |
| a49df30 | Donghe-Zhu | 2021-03-11 |
| b3348a5 | Donghe-Zhu | 2021-03-11 |
| 1c24ff7 | Donghe-Zhu | 2021-03-10 |
| 94ce5a8 | Donghe-Zhu | 2021-03-10 |
| db33928 | Donghe-Zhu | 2021-03-10 |
| 3d1f470 | Donghe-Zhu | 2021-03-10 |
| 9b7bc66 | Donghe-Zhu | 2021-03-10 |
| 4168b43 | Donghe-Zhu | 2021-03-10 |
| 5365f80 | Donghe-Zhu | 2021-03-10 |
| 2b6c392 | Donghe-Zhu | 2021-03-10 |
| 9f58753 | Donghe-Zhu | 2021-03-10 |
| f2a7146 | Donghe-Zhu | 2021-03-10 |
| fd528ed | Donghe-Zhu | 2021-03-10 |
| 9d5a62c | Donghe-Zhu | 2021-03-10 |
| 5d1e70b | Donghe-Zhu | 2021-03-10 |
| 2093979 | Donghe-Zhu | 2021-03-10 |
| b865899 | Donghe-Zhu | 2021-03-10 |
| cc2a956 | Donghe-Zhu | 2021-03-10 |
| 60689fb | Donghe-Zhu | 2021-03-10 |
| dba33c8 | Donghe-Zhu | 2021-03-09 |
| 17f1c4a | Donghe-Zhu | 2021-03-09 |
| c024d1a | Donghe-Zhu | 2021-03-09 |
| 02f7242 | Donghe-Zhu | 2021-03-09 |
| 6f50bc6 | Donghe-Zhu | 2021-03-09 |
| 1691156 | Donghe-Zhu | 2021-03-08 |
| c0ceaf8 | Donghe-Zhu | 2021-03-08 |
| 058e0a1 | Donghe-Zhu | 2021-03-08 |
| 112dea0 | Donghe-Zhu | 2021-03-08 |
| 1843412 | Donghe-Zhu | 2021-03-08 |
| 3fbbfa4 | Donghe-Zhu | 2021-03-07 |
| 627c8fb | Donghe-Zhu | 2021-03-07 |
| 9ef3222 | Donghe-Zhu | 2021-03-05 |
| 8c1e978 | Donghe-Zhu | 2021-03-05 |
| 865f68c | Donghe-Zhu | 2021-03-05 |
| ee69bc1 | Donghe-Zhu | 2021-03-05 |
| a79291f | Donghe-Zhu | 2021-03-05 |
| e8c6f30 | Donghe-Zhu | 2021-03-04 |
| 59288fe | Donghe-Zhu | 2021-03-04 |
| 731abc8 | Donghe-Zhu | 2021-03-04 |
| e2a5a33 | Donghe-Zhu | 2021-03-04 |
| c7892c1 | Donghe-Zhu | 2021-03-04 |
| 924430b | Donghe-Zhu | 2021-03-03 |
| 0d0bca1 | Donghe-Zhu | 2021-03-03 |
| cb63c16 | Donghe-Zhu | 2021-03-03 |
| ffda45a | Donghe-Zhu | 2021-03-03 |
| 691ba81 | Donghe-Zhu | 2021-03-03 |
| c5e45a2 | Donghe-Zhu | 2021-03-03 |
| 89c3e58 | Donghe-Zhu | 2021-03-03 |
| c407a50 | Donghe-Zhu | 2021-03-03 |
| c911669 | Donghe-Zhu | 2021-03-03 |
| b71c719 | Donghe-Zhu | 2021-03-01 |
| 13666ca | Donghe-Zhu | 2021-03-01 |
| c6e60fe | Donghe-Zhu | 2021-03-01 |
| 7a388f7 | Donghe-Zhu | 2021-03-01 |
| 799e913 | Donghe-Zhu | 2021-03-01 |
| 66ff99f | Donghe-Zhu | 2021-03-01 |
| ac9bb7a | Donghe-Zhu | 2021-02-28 |
| efdc047 | Donghe-Zhu | 2021-02-28 |
| e9a7418 | Donghe-Zhu | 2021-02-28 |
| e152917 | Donghe-Zhu | 2021-02-28 |
| 287123c | Donghe-Zhu | 2021-02-27 |
| 54d5b5b | Donghe-Zhu | 2021-02-27 |
| 330f064 | Donghe-Zhu | 2021-02-27 |
| adbc9bc | Donghe-Zhu | 2021-02-27 |
| 5937141 | Donghe-Zhu | 2021-02-27 |
| 4414bbf | Donghe-Zhu | 2021-02-27 |
| a265efb | Donghe-Zhu | 2021-02-27 |
| 19edd1e | Donghe-Zhu | 2021-02-27 |
| f20483f | Donghe-Zhu | 2021-02-26 |
| 6a2c7b3 | Donghe-Zhu | 2021-02-25 |
| 354c224 | Donghe-Zhu | 2021-02-24 |
| 1a0a88a | Donghe-Zhu | 2021-02-24 |
| 57f701e | Donghe-Zhu | 2021-02-24 |
| 06f3149 | Donghe-Zhu | 2021-02-16 |
| 401eab3 | Donghe-Zhu | 2021-02-15 |
| e3bba84 | Donghe-Zhu | 2021-02-15 |
| 5dce4b1 | Donghe-Zhu | 2021-02-15 |
| 4469a0c | Donghe-Zhu | 2021-02-13 |
| 5ae6a69 | Donghe-Zhu | 2021-02-10 |
| 05385dc | Donghe-Zhu | 2021-02-10 |
| f791ae4 | Donghe-Zhu | 2021-02-09 |
| f71ae34 | Donghe-Zhu | 2021-02-09 |
| c011832 | Donghe-Zhu | 2021-02-09 |
| a145fa7 | Donghe-Zhu | 2021-02-09 |
| c344e42 | Donghe-Zhu | 2021-02-08 |
| 2f095d7 | Donghe-Zhu | 2021-02-07 |
| 2305044 | Donghe-Zhu | 2021-02-07 |
| 1fad5f1 | Donghe-Zhu | 2021-02-07 |
| ca03c39 | Donghe-Zhu | 2021-02-07 |
| e2ffc14 | Donghe-Zhu | 2021-02-05 |
| cd7c52c | Donghe-Zhu | 2021-02-04 |
| bcf84f4 | Donghe-Zhu | 2021-02-02 |
| a518739 | Donghe-Zhu | 2021-02-01 |
| 61666de | Donghe-Zhu | 2021-01-31 |
| 865b582 | Donghe-Zhu | 2021-01-31 |
| 3e68089 | Donghe-Zhu | 2021-01-31 |
| ecf335c | Donghe-Zhu | 2021-01-31 |
| a618965 | Donghe-Zhu | 2021-01-31 |
| 59e006e | Donghe-Zhu | 2021-01-31 |
| a1c8f87 | Donghe-Zhu | 2021-01-31 |
| ae5c18f | Donghe-Zhu | 2021-01-31 |
| b50fe52 | Donghe-Zhu | 2021-01-31 |
| ac99ae5 | jens-daniel-mueller | 2021-01-29 |
| b5bdcaf | Donghe-Zhu | 2021-01-29 |
| 442010d | Donghe-Zhu | 2021-01-29 |
| 372adf5 | Donghe-Zhu | 2021-01-29 |
| af8788e | Donghe-Zhu | 2021-01-29 |
| 21c91c9 | Donghe-Zhu | 2021-01-29 |
| eded038 | Donghe-Zhu | 2021-01-29 |
| 541d4dd | Donghe-Zhu | 2021-01-29 |
| 6a75576 | Donghe-Zhu | 2021-01-28 |
| 16fba40 | Donghe-Zhu | 2021-01-28 |
| 12bc567 | Donghe-Zhu | 2021-01-27 |
| ceed31b | Donghe-Zhu | 2021-01-27 |
| 342402d | Donghe-Zhu | 2021-01-27 |
| 5bad5c2 | Donghe-Zhu | 2021-01-27 |
| 61efb56 | Donghe-Zhu | 2021-01-25 |
| 48f638e | Donghe-Zhu | 2021-01-25 |
| c1cec47 | Donghe-Zhu | 2021-01-25 |
| 05ffb0c | Donghe-Zhu | 2021-01-25 |
| 8b97165 | Donghe-Zhu | 2021-01-25 |
| c569946 | Donghe-Zhu | 2021-01-24 |
| a2f0d56 | Donghe-Zhu | 2021-01-23 |
| 28509fc | Donghe-Zhu | 2021-01-23 |
| 4c28e4a | Donghe-Zhu | 2021-01-22 |
| 24cc264 | jens-daniel-mueller | 2021-01-22 |
| 7891955 | Donghe-Zhu | 2021-01-21 |
| d4cf1cb | Donghe-Zhu | 2021-01-21 |
| 1f3e5b6 | jens-daniel-mueller | 2021-01-20 |
| 0e7bdf1 | jens-daniel-mueller | 2021-01-15 |
| 4571843 | jens-daniel-mueller | 2021-01-14 |
| b3564aa | jens-daniel-mueller | 2021-01-14 |
| 8d032c3 | jens-daniel-mueller | 2021-01-14 |
| 022871c | Donghe-Zhu | 2021-01-13 |
if (params_local$MLR_number > 1) {
cant_3d %>%
ggplot(aes(cant, cant_sd)) +
geom_vline(xintercept = 0) +
geom_hline(yintercept = 10) +
geom_bin2d() +
scale_fill_viridis_c(option = "magma",
direction = -1,
trans = "log10",
name = "log10(n)") +
facet_grid(gamma_slab ~ basin_AIP)
}

| Version | Author | Date |
|---|---|---|
| 90f70da | Donghe-Zhu | 2021-08-06 |
| 496fa02 | Donghe-Zhu | 2021-08-05 |
| 19ecfe2 | Donghe-Zhu | 2021-08-05 |
| 3253031 | Donghe-Zhu | 2021-08-05 |
| 6c70952 | Donghe-Zhu | 2021-08-01 |
| 2666bd7 | Donghe-Zhu | 2021-08-01 |
| e51cfa2 | Donghe-Zhu | 2021-08-01 |
| 78cbc18 | Donghe-Zhu | 2021-08-01 |
| c55d4d7 | Donghe-Zhu | 2021-08-01 |
| 26741db | Donghe-Zhu | 2021-08-01 |
| ca539b5 | Donghe-Zhu | 2021-08-01 |
| 1e98138 | Donghe-Zhu | 2021-08-01 |
| 777b9e9 | Donghe-Zhu | 2021-08-01 |
| b110c47 | Donghe-Zhu | 2021-08-01 |
| 3611a48 | Donghe-Zhu | 2021-08-01 |
| af832ef | Donghe-Zhu | 2021-07-31 |
| 016f9ed | Donghe-Zhu | 2021-07-31 |
| 2080ac5 | Donghe-Zhu | 2021-07-31 |
| 50f0a16 | Donghe-Zhu | 2021-07-31 |
| 1682579 | Donghe-Zhu | 2021-07-31 |
| 9fa8832 | Donghe-Zhu | 2021-07-31 |
| 4abf542 | Donghe-Zhu | 2021-07-31 |
| a2483f0 | Donghe-Zhu | 2021-07-31 |
| 3300527 | Donghe-Zhu | 2021-07-31 |
| afeb6fd | Donghe-Zhu | 2021-07-31 |
| cb3ef32 | Donghe-Zhu | 2021-07-31 |
| 6528618 | Donghe-Zhu | 2021-07-31 |
| f50925e | Donghe-Zhu | 2021-07-31 |
| f4de2f3 | Donghe-Zhu | 2021-07-30 |
| 43bc7b4 | Donghe-Zhu | 2021-07-30 |
| f8c34a8 | Donghe-Zhu | 2021-07-30 |
| 4f897c4 | Donghe-Zhu | 2021-07-30 |
| 0f6e960 | Donghe-Zhu | 2021-07-30 |
| fe067ea | Donghe-Zhu | 2021-07-30 |
| fbca39a | Donghe-Zhu | 2021-07-30 |
| f945f95 | Donghe-Zhu | 2021-07-30 |
| a3006cd | Donghe-Zhu | 2021-07-30 |
| a55ffdc | Donghe-Zhu | 2021-07-30 |
| d5e4458 | Donghe-Zhu | 2021-07-30 |
| 10a97ef | Donghe-Zhu | 2021-07-30 |
| 1c501fd | Donghe-Zhu | 2021-07-30 |
| 68bce3f | Donghe-Zhu | 2021-07-30 |
| 400c457 | Donghe-Zhu | 2021-07-29 |
| 3ba7852 | Donghe-Zhu | 2021-07-29 |
| ec68363 | Donghe-Zhu | 2021-07-28 |
| d3018f6 | Donghe-Zhu | 2021-07-28 |
| b8ba2c4 | Donghe-Zhu | 2021-07-28 |
| a4ddd84 | Donghe-Zhu | 2021-07-27 |
| 7ef49ab | Donghe-Zhu | 2021-07-27 |
| da818c0 | Donghe-Zhu | 2021-07-27 |
| 8623898 | Donghe-Zhu | 2021-07-27 |
| f84b77c | Donghe-Zhu | 2021-07-27 |
| 70ad9a5 | Donghe-Zhu | 2021-07-27 |
| 0d0b48d | Donghe-Zhu | 2021-07-27 |
| d0d97c6 | Donghe-Zhu | 2021-07-27 |
| 829510d | Donghe-Zhu | 2021-07-27 |
| 780627d | Donghe-Zhu | 2021-07-27 |
| e9838c9 | Donghe-Zhu | 2021-07-27 |
| 2777f33 | Donghe-Zhu | 2021-07-27 |
| d19760f | Donghe-Zhu | 2021-07-27 |
| cac5680 | Donghe-Zhu | 2021-07-23 |
| 7bb279a | Donghe-Zhu | 2021-07-23 |
| d52eac4 | Donghe-Zhu | 2021-07-23 |
| dcf34b1 | Donghe-Zhu | 2021-07-23 |
| 419cb72 | Donghe-Zhu | 2021-07-22 |
| 9447d10 | Donghe-Zhu | 2021-07-22 |
| 639c9a0 | Donghe-Zhu | 2021-07-22 |
| 25bb96f | Donghe-Zhu | 2021-07-22 |
| cdc98a3 | Donghe-Zhu | 2021-07-22 |
| e4805a1 | Donghe-Zhu | 2021-07-22 |
| 7957fd1 | Donghe-Zhu | 2021-07-21 |
| b94be4e | Donghe-Zhu | 2021-07-21 |
| 9950e70 | Donghe-Zhu | 2021-07-21 |
| 698b6f0 | Donghe-Zhu | 2021-07-20 |
| d84a1cb | Donghe-Zhu | 2021-07-20 |
| 4dce223 | Donghe-Zhu | 2021-07-20 |
| 6f28c0c | Donghe-Zhu | 2021-07-20 |
| db1e7b7 | Donghe-Zhu | 2021-07-19 |
| ff0575d | Donghe-Zhu | 2021-07-19 |
| 5d60eac | Donghe-Zhu | 2021-07-19 |
| 57d0420 | Donghe-Zhu | 2021-07-16 |
| c1be8f6 | Donghe-Zhu | 2021-07-16 |
| 26a7c15 | Donghe-Zhu | 2021-07-16 |
| 046902b | Donghe-Zhu | 2021-07-16 |
| 3d4ac14 | Donghe-Zhu | 2021-07-15 |
| be6fff9 | Donghe-Zhu | 2021-07-15 |
| b473472 | Donghe-Zhu | 2021-07-15 |
| 363270a | Donghe-Zhu | 2021-07-15 |
| 8b75a03 | Donghe-Zhu | 2021-07-15 |
| a01e135 | Donghe-Zhu | 2021-07-07 |
| bc83ef2 | Donghe-Zhu | 2021-07-07 |
| 75e7b07 | Donghe-Zhu | 2021-07-06 |
| 697aa6d | Donghe-Zhu | 2021-07-06 |
| d52e2de | Donghe-Zhu | 2021-07-06 |
| f2bde6b | Donghe-Zhu | 2021-07-06 |
| 1133f28 | Donghe-Zhu | 2021-07-06 |
| fe3a1cd | Donghe-Zhu | 2021-07-06 |
| d9cdf15 | Donghe-Zhu | 2021-07-06 |
| ee4cd2d | Donghe-Zhu | 2021-07-06 |
| 93821c1 | Donghe-Zhu | 2021-07-05 |
| d44db8e | Donghe-Zhu | 2021-07-05 |
| 20b3436 | Donghe-Zhu | 2021-07-05 |
| d982ea5 | Donghe-Zhu | 2021-07-05 |
| 7397e53 | Donghe-Zhu | 2021-07-05 |
| f2e4805 | Donghe-Zhu | 2021-07-05 |
| e2d011a | Donghe-Zhu | 2021-07-05 |
| 85e0349 | Donghe-Zhu | 2021-07-05 |
| 6ee0146 | Donghe-Zhu | 2021-07-05 |
| a482a6b | Donghe-Zhu | 2021-07-05 |
| f59f1b3 | Donghe-Zhu | 2021-07-05 |
| 116bcab | Donghe-Zhu | 2021-07-04 |
| cb1c8dc | Donghe-Zhu | 2021-07-04 |
| c9bdd83 | Donghe-Zhu | 2021-07-04 |
| 1920ad9 | Donghe-Zhu | 2021-07-04 |
| 0b02791 | Donghe-Zhu | 2021-06-25 |
| caf62d8 | Donghe-Zhu | 2021-06-25 |
| 90a9da5 | Donghe-Zhu | 2021-06-25 |
| bb413c8 | Donghe-Zhu | 2021-06-25 |
| e7a5266 | Donghe-Zhu | 2021-06-24 |
| 7c57720 | Donghe-Zhu | 2021-06-24 |
| b5b95a9 | Donghe-Zhu | 2021-06-24 |
| 472aad4 | Donghe-Zhu | 2021-06-24 |
| d517836 | Donghe-Zhu | 2021-06-24 |
| 9221bfe | Donghe-Zhu | 2021-06-24 |
| bff5fbf | Donghe-Zhu | 2021-06-23 |
| 256a616 | Donghe-Zhu | 2021-06-23 |
| 00072e2 | Donghe-Zhu | 2021-06-23 |
| 7431530 | Donghe-Zhu | 2021-06-20 |
| d20c383 | Donghe-Zhu | 2021-06-18 |
| b0874a2 | Donghe-Zhu | 2021-06-17 |
| 72c2f2e | Donghe-Zhu | 2021-06-15 |
| d97dcb6 | Donghe-Zhu | 2021-06-08 |
| 25dda1d | Donghe-Zhu | 2021-06-08 |
| bd2bcc3 | Donghe-Zhu | 2021-06-08 |
| e9b27d7 | Donghe-Zhu | 2021-06-07 |
| 7ae0d4b | Donghe-Zhu | 2021-06-07 |
| 325391f | Donghe-Zhu | 2021-06-07 |
| ed89970 | Donghe-Zhu | 2021-06-07 |
| df37958 | Donghe-Zhu | 2021-06-07 |
| 812bf63 | Donghe-Zhu | 2021-06-06 |
| 65c89c8 | Donghe-Zhu | 2021-06-06 |
| 9baa3b2 | Donghe-Zhu | 2021-06-06 |
| b7d99cf | Donghe-Zhu | 2021-06-06 |
| 5d8fa90 | Donghe-Zhu | 2021-06-06 |
| dbe2a95 | Donghe-Zhu | 2021-05-28 |
| d50b039 | Donghe-Zhu | 2021-05-28 |
| 441ebe5 | Donghe-Zhu | 2021-05-28 |
| 6262ad3 | Donghe-Zhu | 2021-05-28 |
| a61aa77 | Donghe-Zhu | 2021-05-28 |
| b8dbce4 | Donghe-Zhu | 2021-05-28 |
| 94a833e | Donghe-Zhu | 2021-05-27 |
| 5e0bd64 | Donghe-Zhu | 2021-05-27 |
| af1eadd | Donghe-Zhu | 2021-05-27 |
| 9179bfe | Donghe-Zhu | 2021-05-27 |
| 28cbe5e | Donghe-Zhu | 2021-05-27 |
| a618f02 | Donghe-Zhu | 2021-05-27 |
| 4623e38 | Donghe-Zhu | 2021-05-27 |
| b81bb49 | Donghe-Zhu | 2021-05-27 |
| 951e188 | Donghe-Zhu | 2021-05-27 |
| e377833 | Donghe-Zhu | 2021-05-26 |
| 2705a04 | Donghe-Zhu | 2021-03-28 |
| cd5f759 | Donghe-Zhu | 2021-03-28 |
| 75dda4d | Donghe-Zhu | 2021-03-27 |
| 0b19f6e | Donghe-Zhu | 2021-03-27 |
| e2704ca | Donghe-Zhu | 2021-03-27 |
| 3061a0b | Donghe-Zhu | 2021-03-27 |
| b883157 | Donghe-Zhu | 2021-03-27 |
| d19654d | Donghe-Zhu | 2021-03-26 |
| 6c53dbf | Donghe-Zhu | 2021-03-25 |
| 1914a11 | Donghe-Zhu | 2021-03-24 |
| 8be810e | Donghe-Zhu | 2021-03-23 |
| bf19764 | Donghe-Zhu | 2021-03-22 |
| 3ec9d3d | Donghe-Zhu | 2021-03-22 |
| 134ace1 | Donghe-Zhu | 2021-03-22 |
| f6d70a4 | Donghe-Zhu | 2021-03-22 |
| 183443b | Donghe-Zhu | 2021-03-21 |
| 2e6976b | Donghe-Zhu | 2021-03-21 |
| 51a42bd | Donghe-Zhu | 2021-03-16 |
| f745381 | Donghe-Zhu | 2021-03-16 |
| aecbf75 | Donghe-Zhu | 2021-03-14 |
| 1b2a0c2 | Donghe-Zhu | 2021-03-14 |
| 6733e48 | Donghe-Zhu | 2021-03-12 |
| ba71e6a | Donghe-Zhu | 2021-03-12 |
| 9dbf5bd | Donghe-Zhu | 2021-03-11 |
| a49df30 | Donghe-Zhu | 2021-03-11 |
| b3348a5 | Donghe-Zhu | 2021-03-11 |
| 1c24ff7 | Donghe-Zhu | 2021-03-10 |
| 94ce5a8 | Donghe-Zhu | 2021-03-10 |
| db33928 | Donghe-Zhu | 2021-03-10 |
| 3d1f470 | Donghe-Zhu | 2021-03-10 |
| 9b7bc66 | Donghe-Zhu | 2021-03-10 |
| 4168b43 | Donghe-Zhu | 2021-03-10 |
| 5365f80 | Donghe-Zhu | 2021-03-10 |
| 2b6c392 | Donghe-Zhu | 2021-03-10 |
| 9f58753 | Donghe-Zhu | 2021-03-10 |
| f2a7146 | Donghe-Zhu | 2021-03-10 |
| fd528ed | Donghe-Zhu | 2021-03-10 |
| 9d5a62c | Donghe-Zhu | 2021-03-10 |
| 5d1e70b | Donghe-Zhu | 2021-03-10 |
| 2093979 | Donghe-Zhu | 2021-03-10 |
| b865899 | Donghe-Zhu | 2021-03-10 |
| cc2a956 | Donghe-Zhu | 2021-03-10 |
| 60689fb | Donghe-Zhu | 2021-03-10 |
| dba33c8 | Donghe-Zhu | 2021-03-09 |
| 17f1c4a | Donghe-Zhu | 2021-03-09 |
| c024d1a | Donghe-Zhu | 2021-03-09 |
| 02f7242 | Donghe-Zhu | 2021-03-09 |
| 6f50bc6 | Donghe-Zhu | 2021-03-09 |
| 1691156 | Donghe-Zhu | 2021-03-08 |
| c0ceaf8 | Donghe-Zhu | 2021-03-08 |
| 058e0a1 | Donghe-Zhu | 2021-03-08 |
| 112dea0 | Donghe-Zhu | 2021-03-08 |
| 1843412 | Donghe-Zhu | 2021-03-08 |
| 3fbbfa4 | Donghe-Zhu | 2021-03-07 |
| 627c8fb | Donghe-Zhu | 2021-03-07 |
| 9ef3222 | Donghe-Zhu | 2021-03-05 |
| 8c1e978 | Donghe-Zhu | 2021-03-05 |
| 865f68c | Donghe-Zhu | 2021-03-05 |
| ee69bc1 | Donghe-Zhu | 2021-03-05 |
| a79291f | Donghe-Zhu | 2021-03-05 |
| e8c6f30 | Donghe-Zhu | 2021-03-04 |
| 59288fe | Donghe-Zhu | 2021-03-04 |
| 731abc8 | Donghe-Zhu | 2021-03-04 |
| e2a5a33 | Donghe-Zhu | 2021-03-04 |
| c7892c1 | Donghe-Zhu | 2021-03-04 |
| 924430b | Donghe-Zhu | 2021-03-03 |
| 0d0bca1 | Donghe-Zhu | 2021-03-03 |
| cb63c16 | Donghe-Zhu | 2021-03-03 |
| ffda45a | Donghe-Zhu | 2021-03-03 |
| 691ba81 | Donghe-Zhu | 2021-03-03 |
| c5e45a2 | Donghe-Zhu | 2021-03-03 |
| 89c3e58 | Donghe-Zhu | 2021-03-03 |
| c407a50 | Donghe-Zhu | 2021-03-03 |
| c911669 | Donghe-Zhu | 2021-03-03 |
| b71c719 | Donghe-Zhu | 2021-03-01 |
| 13666ca | Donghe-Zhu | 2021-03-01 |
| c6e60fe | Donghe-Zhu | 2021-03-01 |
| 7a388f7 | Donghe-Zhu | 2021-03-01 |
| 799e913 | Donghe-Zhu | 2021-03-01 |
| 66ff99f | Donghe-Zhu | 2021-03-01 |
| ac9bb7a | Donghe-Zhu | 2021-02-28 |
| efdc047 | Donghe-Zhu | 2021-02-28 |
| e9a7418 | Donghe-Zhu | 2021-02-28 |
| e152917 | Donghe-Zhu | 2021-02-28 |
| 287123c | Donghe-Zhu | 2021-02-27 |
| 54d5b5b | Donghe-Zhu | 2021-02-27 |
| 330f064 | Donghe-Zhu | 2021-02-27 |
| adbc9bc | Donghe-Zhu | 2021-02-27 |
| 5937141 | Donghe-Zhu | 2021-02-27 |
| 4414bbf | Donghe-Zhu | 2021-02-27 |
| a265efb | Donghe-Zhu | 2021-02-27 |
| 19edd1e | Donghe-Zhu | 2021-02-27 |
| f20483f | Donghe-Zhu | 2021-02-26 |
| 6a2c7b3 | Donghe-Zhu | 2021-02-25 |
| 354c224 | Donghe-Zhu | 2021-02-24 |
| 1a0a88a | Donghe-Zhu | 2021-02-24 |
| 57f701e | Donghe-Zhu | 2021-02-24 |
| 06f3149 | Donghe-Zhu | 2021-02-16 |
| 401eab3 | Donghe-Zhu | 2021-02-15 |
| e3bba84 | Donghe-Zhu | 2021-02-15 |
| 5dce4b1 | Donghe-Zhu | 2021-02-15 |
| 4469a0c | Donghe-Zhu | 2021-02-13 |
| 5ae6a69 | Donghe-Zhu | 2021-02-10 |
| 05385dc | Donghe-Zhu | 2021-02-10 |
| f791ae4 | Donghe-Zhu | 2021-02-09 |
| f71ae34 | Donghe-Zhu | 2021-02-09 |
| c011832 | Donghe-Zhu | 2021-02-09 |
| a145fa7 | Donghe-Zhu | 2021-02-09 |
| c344e42 | Donghe-Zhu | 2021-02-08 |
| 2f095d7 | Donghe-Zhu | 2021-02-07 |
| 2305044 | Donghe-Zhu | 2021-02-07 |
| 1fad5f1 | Donghe-Zhu | 2021-02-07 |
| ca03c39 | Donghe-Zhu | 2021-02-07 |
| e2ffc14 | Donghe-Zhu | 2021-02-05 |
| cd7c52c | Donghe-Zhu | 2021-02-04 |
| bcf84f4 | Donghe-Zhu | 2021-02-02 |
| a518739 | Donghe-Zhu | 2021-02-01 |
| 61666de | Donghe-Zhu | 2021-01-31 |
| 865b582 | Donghe-Zhu | 2021-01-31 |
| 3e68089 | Donghe-Zhu | 2021-01-31 |
| ecf335c | Donghe-Zhu | 2021-01-31 |
| a618965 | Donghe-Zhu | 2021-01-31 |
| 59e006e | Donghe-Zhu | 2021-01-31 |
| a1c8f87 | Donghe-Zhu | 2021-01-31 |
| ae5c18f | Donghe-Zhu | 2021-01-31 |
| b50fe52 | Donghe-Zhu | 2021-01-31 |
| ac99ae5 | jens-daniel-mueller | 2021-01-29 |
| b5bdcaf | Donghe-Zhu | 2021-01-29 |
| 442010d | Donghe-Zhu | 2021-01-29 |
| 372adf5 | Donghe-Zhu | 2021-01-29 |
| af8788e | Donghe-Zhu | 2021-01-29 |
| 21c91c9 | Donghe-Zhu | 2021-01-29 |
| eded038 | Donghe-Zhu | 2021-01-29 |
| 541d4dd | Donghe-Zhu | 2021-01-29 |
| 6a75576 | Donghe-Zhu | 2021-01-28 |
| 16fba40 | Donghe-Zhu | 2021-01-28 |
| 12bc567 | Donghe-Zhu | 2021-01-27 |
| ceed31b | Donghe-Zhu | 2021-01-27 |
| 342402d | Donghe-Zhu | 2021-01-27 |
| 5bad5c2 | Donghe-Zhu | 2021-01-27 |
| 61efb56 | Donghe-Zhu | 2021-01-25 |
| 48f638e | Donghe-Zhu | 2021-01-25 |
| c1cec47 | Donghe-Zhu | 2021-01-25 |
| 05ffb0c | Donghe-Zhu | 2021-01-25 |
| 8b97165 | Donghe-Zhu | 2021-01-25 |
| c569946 | Donghe-Zhu | 2021-01-24 |
| a2f0d56 | Donghe-Zhu | 2021-01-23 |
| 28509fc | Donghe-Zhu | 2021-01-23 |
| 4c28e4a | Donghe-Zhu | 2021-01-22 |
| 24cc264 | jens-daniel-mueller | 2021-01-22 |
| 7891955 | Donghe-Zhu | 2021-01-21 |
| d4cf1cb | Donghe-Zhu | 2021-01-21 |
| 1f3e5b6 | jens-daniel-mueller | 2021-01-20 |
| 0e7bdf1 | jens-daniel-mueller | 2021-01-15 |
| 4571843 | jens-daniel-mueller | 2021-01-14 |
| b3564aa | jens-daniel-mueller | 2021-01-14 |
| 8d032c3 | jens-daniel-mueller | 2021-01-14 |
| 022871c | Donghe-Zhu | 2021-01-13 |
cant_zonal %>%
ggplot(aes(cant_mean, cant_sd)) +
geom_vline(xintercept = 0) +
geom_hline(yintercept = 10) +
geom_bin2d() +
scale_fill_viridis_c(option = "magma",
direction = -1,
trans = "log10",
name = "log10(n)") +
facet_grid(basin_AIP ~ eras)

| Version | Author | Date |
|---|---|---|
| 90f70da | Donghe-Zhu | 2021-08-06 |
| 496fa02 | Donghe-Zhu | 2021-08-05 |
| 19ecfe2 | Donghe-Zhu | 2021-08-05 |
| 3253031 | Donghe-Zhu | 2021-08-05 |
| 6c70952 | Donghe-Zhu | 2021-08-01 |
| 2666bd7 | Donghe-Zhu | 2021-08-01 |
| e51cfa2 | Donghe-Zhu | 2021-08-01 |
| 78cbc18 | Donghe-Zhu | 2021-08-01 |
| c55d4d7 | Donghe-Zhu | 2021-08-01 |
| 26741db | Donghe-Zhu | 2021-08-01 |
| ca539b5 | Donghe-Zhu | 2021-08-01 |
| 1e98138 | Donghe-Zhu | 2021-08-01 |
| 777b9e9 | Donghe-Zhu | 2021-08-01 |
| b110c47 | Donghe-Zhu | 2021-08-01 |
| 3611a48 | Donghe-Zhu | 2021-08-01 |
| af832ef | Donghe-Zhu | 2021-07-31 |
| 016f9ed | Donghe-Zhu | 2021-07-31 |
| 2080ac5 | Donghe-Zhu | 2021-07-31 |
| 50f0a16 | Donghe-Zhu | 2021-07-31 |
| 1682579 | Donghe-Zhu | 2021-07-31 |
| 9fa8832 | Donghe-Zhu | 2021-07-31 |
| 4abf542 | Donghe-Zhu | 2021-07-31 |
| a2483f0 | Donghe-Zhu | 2021-07-31 |
| 3300527 | Donghe-Zhu | 2021-07-31 |
| afeb6fd | Donghe-Zhu | 2021-07-31 |
| cb3ef32 | Donghe-Zhu | 2021-07-31 |
| 6528618 | Donghe-Zhu | 2021-07-31 |
| f50925e | Donghe-Zhu | 2021-07-31 |
| f4de2f3 | Donghe-Zhu | 2021-07-30 |
| 43bc7b4 | Donghe-Zhu | 2021-07-30 |
| f8c34a8 | Donghe-Zhu | 2021-07-30 |
| 4f897c4 | Donghe-Zhu | 2021-07-30 |
| 0f6e960 | Donghe-Zhu | 2021-07-30 |
| fe067ea | Donghe-Zhu | 2021-07-30 |
| fbca39a | Donghe-Zhu | 2021-07-30 |
| f945f95 | Donghe-Zhu | 2021-07-30 |
| a3006cd | Donghe-Zhu | 2021-07-30 |
| a55ffdc | Donghe-Zhu | 2021-07-30 |
| d5e4458 | Donghe-Zhu | 2021-07-30 |
| 10a97ef | Donghe-Zhu | 2021-07-30 |
| 1c501fd | Donghe-Zhu | 2021-07-30 |
| 68bce3f | Donghe-Zhu | 2021-07-30 |
| 400c457 | Donghe-Zhu | 2021-07-29 |
| 3ba7852 | Donghe-Zhu | 2021-07-29 |
| ec68363 | Donghe-Zhu | 2021-07-28 |
| d3018f6 | Donghe-Zhu | 2021-07-28 |
| b8ba2c4 | Donghe-Zhu | 2021-07-28 |
| a4ddd84 | Donghe-Zhu | 2021-07-27 |
| 7ef49ab | Donghe-Zhu | 2021-07-27 |
| da818c0 | Donghe-Zhu | 2021-07-27 |
| 8623898 | Donghe-Zhu | 2021-07-27 |
| f84b77c | Donghe-Zhu | 2021-07-27 |
| 70ad9a5 | Donghe-Zhu | 2021-07-27 |
| 0d0b48d | Donghe-Zhu | 2021-07-27 |
| d0d97c6 | Donghe-Zhu | 2021-07-27 |
| 829510d | Donghe-Zhu | 2021-07-27 |
| 780627d | Donghe-Zhu | 2021-07-27 |
| e9838c9 | Donghe-Zhu | 2021-07-27 |
| 2777f33 | Donghe-Zhu | 2021-07-27 |
| d19760f | Donghe-Zhu | 2021-07-27 |
| cac5680 | Donghe-Zhu | 2021-07-23 |
| 7bb279a | Donghe-Zhu | 2021-07-23 |
| d52eac4 | Donghe-Zhu | 2021-07-23 |
| dcf34b1 | Donghe-Zhu | 2021-07-23 |
| 419cb72 | Donghe-Zhu | 2021-07-22 |
| 9447d10 | Donghe-Zhu | 2021-07-22 |
| 639c9a0 | Donghe-Zhu | 2021-07-22 |
| 25bb96f | Donghe-Zhu | 2021-07-22 |
| cdc98a3 | Donghe-Zhu | 2021-07-22 |
| e4805a1 | Donghe-Zhu | 2021-07-22 |
| 7957fd1 | Donghe-Zhu | 2021-07-21 |
| b94be4e | Donghe-Zhu | 2021-07-21 |
| 9950e70 | Donghe-Zhu | 2021-07-21 |
| 698b6f0 | Donghe-Zhu | 2021-07-20 |
| d84a1cb | Donghe-Zhu | 2021-07-20 |
| 4dce223 | Donghe-Zhu | 2021-07-20 |
| 6f28c0c | Donghe-Zhu | 2021-07-20 |
| db1e7b7 | Donghe-Zhu | 2021-07-19 |
| ff0575d | Donghe-Zhu | 2021-07-19 |
| 5d60eac | Donghe-Zhu | 2021-07-19 |
| 57d0420 | Donghe-Zhu | 2021-07-16 |
| c1be8f6 | Donghe-Zhu | 2021-07-16 |
| 26a7c15 | Donghe-Zhu | 2021-07-16 |
| 046902b | Donghe-Zhu | 2021-07-16 |
| 3d4ac14 | Donghe-Zhu | 2021-07-15 |
| be6fff9 | Donghe-Zhu | 2021-07-15 |
| b473472 | Donghe-Zhu | 2021-07-15 |
| 363270a | Donghe-Zhu | 2021-07-15 |
| 8b75a03 | Donghe-Zhu | 2021-07-15 |
| a01e135 | Donghe-Zhu | 2021-07-07 |
| bc83ef2 | Donghe-Zhu | 2021-07-07 |
| 75e7b07 | Donghe-Zhu | 2021-07-06 |
| 697aa6d | Donghe-Zhu | 2021-07-06 |
| d52e2de | Donghe-Zhu | 2021-07-06 |
| f2bde6b | Donghe-Zhu | 2021-07-06 |
| 1133f28 | Donghe-Zhu | 2021-07-06 |
| fe3a1cd | Donghe-Zhu | 2021-07-06 |
| d9cdf15 | Donghe-Zhu | 2021-07-06 |
| ee4cd2d | Donghe-Zhu | 2021-07-06 |
| 93821c1 | Donghe-Zhu | 2021-07-05 |
| d44db8e | Donghe-Zhu | 2021-07-05 |
| 20b3436 | Donghe-Zhu | 2021-07-05 |
| d982ea5 | Donghe-Zhu | 2021-07-05 |
| 7397e53 | Donghe-Zhu | 2021-07-05 |
| f2e4805 | Donghe-Zhu | 2021-07-05 |
| e2d011a | Donghe-Zhu | 2021-07-05 |
| 85e0349 | Donghe-Zhu | 2021-07-05 |
| 6ee0146 | Donghe-Zhu | 2021-07-05 |
| a482a6b | Donghe-Zhu | 2021-07-05 |
| f59f1b3 | Donghe-Zhu | 2021-07-05 |
| 116bcab | Donghe-Zhu | 2021-07-04 |
| cb1c8dc | Donghe-Zhu | 2021-07-04 |
| c9bdd83 | Donghe-Zhu | 2021-07-04 |
| 1920ad9 | Donghe-Zhu | 2021-07-04 |
| 0b02791 | Donghe-Zhu | 2021-06-25 |
| caf62d8 | Donghe-Zhu | 2021-06-25 |
| 90a9da5 | Donghe-Zhu | 2021-06-25 |
| bb413c8 | Donghe-Zhu | 2021-06-25 |
| e7a5266 | Donghe-Zhu | 2021-06-24 |
| 7c57720 | Donghe-Zhu | 2021-06-24 |
| b5b95a9 | Donghe-Zhu | 2021-06-24 |
| 472aad4 | Donghe-Zhu | 2021-06-24 |
| d517836 | Donghe-Zhu | 2021-06-24 |
| 9221bfe | Donghe-Zhu | 2021-06-24 |
| bff5fbf | Donghe-Zhu | 2021-06-23 |
| 256a616 | Donghe-Zhu | 2021-06-23 |
| 00072e2 | Donghe-Zhu | 2021-06-23 |
| 7431530 | Donghe-Zhu | 2021-06-20 |
| d20c383 | Donghe-Zhu | 2021-06-18 |
| b0874a2 | Donghe-Zhu | 2021-06-17 |
| 72c2f2e | Donghe-Zhu | 2021-06-15 |
| d97dcb6 | Donghe-Zhu | 2021-06-08 |
| 25dda1d | Donghe-Zhu | 2021-06-08 |
| bd2bcc3 | Donghe-Zhu | 2021-06-08 |
| e9b27d7 | Donghe-Zhu | 2021-06-07 |
| 7ae0d4b | Donghe-Zhu | 2021-06-07 |
| 325391f | Donghe-Zhu | 2021-06-07 |
| ed89970 | Donghe-Zhu | 2021-06-07 |
| df37958 | Donghe-Zhu | 2021-06-07 |
| 812bf63 | Donghe-Zhu | 2021-06-06 |
| 65c89c8 | Donghe-Zhu | 2021-06-06 |
| 9baa3b2 | Donghe-Zhu | 2021-06-06 |
| b7d99cf | Donghe-Zhu | 2021-06-06 |
| 5d8fa90 | Donghe-Zhu | 2021-06-06 |
| dbe2a95 | Donghe-Zhu | 2021-05-28 |
| d50b039 | Donghe-Zhu | 2021-05-28 |
| 441ebe5 | Donghe-Zhu | 2021-05-28 |
| 6262ad3 | Donghe-Zhu | 2021-05-28 |
| a61aa77 | Donghe-Zhu | 2021-05-28 |
| b8dbce4 | Donghe-Zhu | 2021-05-28 |
| 94a833e | Donghe-Zhu | 2021-05-27 |
| 5e0bd64 | Donghe-Zhu | 2021-05-27 |
| af1eadd | Donghe-Zhu | 2021-05-27 |
| 9179bfe | Donghe-Zhu | 2021-05-27 |
| 28cbe5e | Donghe-Zhu | 2021-05-27 |
| a618f02 | Donghe-Zhu | 2021-05-27 |
| 4623e38 | Donghe-Zhu | 2021-05-27 |
| b81bb49 | Donghe-Zhu | 2021-05-27 |
| 951e188 | Donghe-Zhu | 2021-05-27 |
| e377833 | Donghe-Zhu | 2021-05-26 |
| 2705a04 | Donghe-Zhu | 2021-03-28 |
| cd5f759 | Donghe-Zhu | 2021-03-28 |
| 75dda4d | Donghe-Zhu | 2021-03-27 |
| 0b19f6e | Donghe-Zhu | 2021-03-27 |
| e2704ca | Donghe-Zhu | 2021-03-27 |
| 3061a0b | Donghe-Zhu | 2021-03-27 |
| b883157 | Donghe-Zhu | 2021-03-27 |
| d19654d | Donghe-Zhu | 2021-03-26 |
| 6c53dbf | Donghe-Zhu | 2021-03-25 |
| 1914a11 | Donghe-Zhu | 2021-03-24 |
| 8be810e | Donghe-Zhu | 2021-03-23 |
| bf19764 | Donghe-Zhu | 2021-03-22 |
| 3ec9d3d | Donghe-Zhu | 2021-03-22 |
| 134ace1 | Donghe-Zhu | 2021-03-22 |
| f6d70a4 | Donghe-Zhu | 2021-03-22 |
| 183443b | Donghe-Zhu | 2021-03-21 |
| 2e6976b | Donghe-Zhu | 2021-03-21 |
| 51a42bd | Donghe-Zhu | 2021-03-16 |
| f745381 | Donghe-Zhu | 2021-03-16 |
| aecbf75 | Donghe-Zhu | 2021-03-14 |
| 1b2a0c2 | Donghe-Zhu | 2021-03-14 |
| 6733e48 | Donghe-Zhu | 2021-03-12 |
| ba71e6a | Donghe-Zhu | 2021-03-12 |
| 9dbf5bd | Donghe-Zhu | 2021-03-11 |
| a49df30 | Donghe-Zhu | 2021-03-11 |
| b3348a5 | Donghe-Zhu | 2021-03-11 |
| 1c24ff7 | Donghe-Zhu | 2021-03-10 |
| 94ce5a8 | Donghe-Zhu | 2021-03-10 |
| db33928 | Donghe-Zhu | 2021-03-10 |
| 3d1f470 | Donghe-Zhu | 2021-03-10 |
| 9b7bc66 | Donghe-Zhu | 2021-03-10 |
| 4168b43 | Donghe-Zhu | 2021-03-10 |
| 5365f80 | Donghe-Zhu | 2021-03-10 |
| 2b6c392 | Donghe-Zhu | 2021-03-10 |
| 9f58753 | Donghe-Zhu | 2021-03-10 |
| f2a7146 | Donghe-Zhu | 2021-03-10 |
| fd528ed | Donghe-Zhu | 2021-03-10 |
| 9d5a62c | Donghe-Zhu | 2021-03-10 |
| 5d1e70b | Donghe-Zhu | 2021-03-10 |
| 2093979 | Donghe-Zhu | 2021-03-10 |
| b865899 | Donghe-Zhu | 2021-03-10 |
| cc2a956 | Donghe-Zhu | 2021-03-10 |
| 60689fb | Donghe-Zhu | 2021-03-10 |
| 9230b52 | Donghe-Zhu | 2021-03-10 |
| dba33c8 | Donghe-Zhu | 2021-03-09 |
| 17f1c4a | Donghe-Zhu | 2021-03-09 |
| c024d1a | Donghe-Zhu | 2021-03-09 |
| 02f7242 | Donghe-Zhu | 2021-03-09 |
| 6f50bc6 | Donghe-Zhu | 2021-03-09 |
| 1691156 | Donghe-Zhu | 2021-03-08 |
| c0ceaf8 | Donghe-Zhu | 2021-03-08 |
| 058e0a1 | Donghe-Zhu | 2021-03-08 |
| 112dea0 | Donghe-Zhu | 2021-03-08 |
| 1843412 | Donghe-Zhu | 2021-03-08 |
| 3fbbfa4 | Donghe-Zhu | 2021-03-07 |
| 627c8fb | Donghe-Zhu | 2021-03-07 |
| 9ef3222 | Donghe-Zhu | 2021-03-05 |
| 8c1e978 | Donghe-Zhu | 2021-03-05 |
| 865f68c | Donghe-Zhu | 2021-03-05 |
| ee69bc1 | Donghe-Zhu | 2021-03-05 |
| a79291f | Donghe-Zhu | 2021-03-05 |
| e8c6f30 | Donghe-Zhu | 2021-03-04 |
| 59288fe | Donghe-Zhu | 2021-03-04 |
| 731abc8 | Donghe-Zhu | 2021-03-04 |
| e2a5a33 | Donghe-Zhu | 2021-03-04 |
| c7892c1 | Donghe-Zhu | 2021-03-04 |
| 924430b | Donghe-Zhu | 2021-03-03 |
| 0d0bca1 | Donghe-Zhu | 2021-03-03 |
| cb63c16 | Donghe-Zhu | 2021-03-03 |
| ffda45a | Donghe-Zhu | 2021-03-03 |
| 691ba81 | Donghe-Zhu | 2021-03-03 |
| c5e45a2 | Donghe-Zhu | 2021-03-03 |
| 89c3e58 | Donghe-Zhu | 2021-03-03 |
| c407a50 | Donghe-Zhu | 2021-03-03 |
| c911669 | Donghe-Zhu | 2021-03-03 |
| b71c719 | Donghe-Zhu | 2021-03-01 |
| 13666ca | Donghe-Zhu | 2021-03-01 |
| c6e60fe | Donghe-Zhu | 2021-03-01 |
| 7a388f7 | Donghe-Zhu | 2021-03-01 |
| 799e913 | Donghe-Zhu | 2021-03-01 |
| 66ff99f | Donghe-Zhu | 2021-03-01 |
| ac9bb7a | Donghe-Zhu | 2021-02-28 |
| efdc047 | Donghe-Zhu | 2021-02-28 |
| e9a7418 | Donghe-Zhu | 2021-02-28 |
| e152917 | Donghe-Zhu | 2021-02-28 |
| 287123c | Donghe-Zhu | 2021-02-27 |
| 54d5b5b | Donghe-Zhu | 2021-02-27 |
| 330f064 | Donghe-Zhu | 2021-02-27 |
| adbc9bc | Donghe-Zhu | 2021-02-27 |
| 5937141 | Donghe-Zhu | 2021-02-27 |
| 4414bbf | Donghe-Zhu | 2021-02-27 |
| a265efb | Donghe-Zhu | 2021-02-27 |
| 19edd1e | Donghe-Zhu | 2021-02-27 |
| f20483f | Donghe-Zhu | 2021-02-26 |
| 6a2c7b3 | Donghe-Zhu | 2021-02-25 |
| 354c224 | Donghe-Zhu | 2021-02-24 |
| 1a0a88a | Donghe-Zhu | 2021-02-24 |
| 57f701e | Donghe-Zhu | 2021-02-24 |
| 06f3149 | Donghe-Zhu | 2021-02-16 |
| 401eab3 | Donghe-Zhu | 2021-02-15 |
| e3bba84 | Donghe-Zhu | 2021-02-15 |
| 5dce4b1 | Donghe-Zhu | 2021-02-15 |
| 4469a0c | Donghe-Zhu | 2021-02-13 |
| 5ae6a69 | Donghe-Zhu | 2021-02-10 |
| 05385dc | Donghe-Zhu | 2021-02-10 |
| f791ae4 | Donghe-Zhu | 2021-02-09 |
| f71ae34 | Donghe-Zhu | 2021-02-09 |
| c011832 | Donghe-Zhu | 2021-02-09 |
| a145fa7 | Donghe-Zhu | 2021-02-09 |
| c344e42 | Donghe-Zhu | 2021-02-08 |
| 2f095d7 | Donghe-Zhu | 2021-02-07 |
| 2305044 | Donghe-Zhu | 2021-02-07 |
| 1fad5f1 | Donghe-Zhu | 2021-02-07 |
| ca03c39 | Donghe-Zhu | 2021-02-07 |
| e2ffc14 | Donghe-Zhu | 2021-02-05 |
| cd7c52c | Donghe-Zhu | 2021-02-04 |
| bcf84f4 | Donghe-Zhu | 2021-02-02 |
| a518739 | Donghe-Zhu | 2021-02-01 |
| 61666de | Donghe-Zhu | 2021-01-31 |
| 865b582 | Donghe-Zhu | 2021-01-31 |
| 3e68089 | Donghe-Zhu | 2021-01-31 |
| ecf335c | Donghe-Zhu | 2021-01-31 |
| a618965 | Donghe-Zhu | 2021-01-31 |
| 59e006e | Donghe-Zhu | 2021-01-31 |
| a1c8f87 | Donghe-Zhu | 2021-01-31 |
| ae5c18f | Donghe-Zhu | 2021-01-31 |
| b50fe52 | Donghe-Zhu | 2021-01-31 |
| ac99ae5 | jens-daniel-mueller | 2021-01-29 |
| b5bdcaf | Donghe-Zhu | 2021-01-29 |
| 442010d | Donghe-Zhu | 2021-01-29 |
| 372adf5 | Donghe-Zhu | 2021-01-29 |
| af8788e | Donghe-Zhu | 2021-01-29 |
| 21c91c9 | Donghe-Zhu | 2021-01-29 |
| eded038 | Donghe-Zhu | 2021-01-29 |
| 541d4dd | Donghe-Zhu | 2021-01-29 |
| 6a75576 | Donghe-Zhu | 2021-01-28 |
| 16fba40 | Donghe-Zhu | 2021-01-28 |
| 12bc567 | Donghe-Zhu | 2021-01-27 |
| ceed31b | Donghe-Zhu | 2021-01-27 |
| 342402d | Donghe-Zhu | 2021-01-27 |
| 5bad5c2 | Donghe-Zhu | 2021-01-27 |
| 61efb56 | Donghe-Zhu | 2021-01-25 |
| 48f638e | Donghe-Zhu | 2021-01-25 |
| c1cec47 | Donghe-Zhu | 2021-01-25 |
| 05ffb0c | Donghe-Zhu | 2021-01-25 |
| 8b97165 | Donghe-Zhu | 2021-01-25 |
| c569946 | Donghe-Zhu | 2021-01-24 |
| a2f0d56 | Donghe-Zhu | 2021-01-23 |
| 28509fc | Donghe-Zhu | 2021-01-23 |
| 4c28e4a | Donghe-Zhu | 2021-01-22 |
| 24cc264 | jens-daniel-mueller | 2021-01-22 |
| 2679490 | Donghe-Zhu | 2021-01-21 |
| 7891955 | Donghe-Zhu | 2021-01-21 |
| d4cf1cb | Donghe-Zhu | 2021-01-21 |
| 1f3e5b6 | jens-daniel-mueller | 2021-01-20 |
| 0e7bdf1 | jens-daniel-mueller | 2021-01-15 |
| 4571843 | jens-daniel-mueller | 2021-01-14 |
| b3564aa | jens-daniel-mueller | 2021-01-14 |
| 8d032c3 | jens-daniel-mueller | 2021-01-14 |
| 022871c | Donghe-Zhu | 2021-01-13 |
cant_zonal %>%
ggplot(aes(cant_mean, cant_sd)) +
geom_vline(xintercept = 0) +
geom_hline(yintercept = 10) +
geom_bin2d() +
scale_fill_viridis_c(option = "magma",
direction = -1,
trans = "log10",
name = "log10(n)") +
facet_grid(gamma_slab ~ basin_AIP)

| Version | Author | Date |
|---|---|---|
| 90f70da | Donghe-Zhu | 2021-08-06 |
| 496fa02 | Donghe-Zhu | 2021-08-05 |
| 19ecfe2 | Donghe-Zhu | 2021-08-05 |
| 3253031 | Donghe-Zhu | 2021-08-05 |
| 6c70952 | Donghe-Zhu | 2021-08-01 |
| 2666bd7 | Donghe-Zhu | 2021-08-01 |
| e51cfa2 | Donghe-Zhu | 2021-08-01 |
| 78cbc18 | Donghe-Zhu | 2021-08-01 |
| c55d4d7 | Donghe-Zhu | 2021-08-01 |
| 26741db | Donghe-Zhu | 2021-08-01 |
| ca539b5 | Donghe-Zhu | 2021-08-01 |
| 1e98138 | Donghe-Zhu | 2021-08-01 |
| 777b9e9 | Donghe-Zhu | 2021-08-01 |
| b110c47 | Donghe-Zhu | 2021-08-01 |
| 3611a48 | Donghe-Zhu | 2021-08-01 |
| af832ef | Donghe-Zhu | 2021-07-31 |
| 016f9ed | Donghe-Zhu | 2021-07-31 |
| 2080ac5 | Donghe-Zhu | 2021-07-31 |
| 50f0a16 | Donghe-Zhu | 2021-07-31 |
| 1682579 | Donghe-Zhu | 2021-07-31 |
| 9fa8832 | Donghe-Zhu | 2021-07-31 |
| 4abf542 | Donghe-Zhu | 2021-07-31 |
| a2483f0 | Donghe-Zhu | 2021-07-31 |
| 3300527 | Donghe-Zhu | 2021-07-31 |
| afeb6fd | Donghe-Zhu | 2021-07-31 |
| cb3ef32 | Donghe-Zhu | 2021-07-31 |
| 6528618 | Donghe-Zhu | 2021-07-31 |
| f50925e | Donghe-Zhu | 2021-07-31 |
| f4de2f3 | Donghe-Zhu | 2021-07-30 |
| 43bc7b4 | Donghe-Zhu | 2021-07-30 |
| f8c34a8 | Donghe-Zhu | 2021-07-30 |
| 4f897c4 | Donghe-Zhu | 2021-07-30 |
| 0f6e960 | Donghe-Zhu | 2021-07-30 |
| fe067ea | Donghe-Zhu | 2021-07-30 |
| fbca39a | Donghe-Zhu | 2021-07-30 |
| f945f95 | Donghe-Zhu | 2021-07-30 |
| a3006cd | Donghe-Zhu | 2021-07-30 |
| a55ffdc | Donghe-Zhu | 2021-07-30 |
| d5e4458 | Donghe-Zhu | 2021-07-30 |
| 10a97ef | Donghe-Zhu | 2021-07-30 |
| 1c501fd | Donghe-Zhu | 2021-07-30 |
| 68bce3f | Donghe-Zhu | 2021-07-30 |
| 400c457 | Donghe-Zhu | 2021-07-29 |
| 3ba7852 | Donghe-Zhu | 2021-07-29 |
| ec68363 | Donghe-Zhu | 2021-07-28 |
| d3018f6 | Donghe-Zhu | 2021-07-28 |
| b8ba2c4 | Donghe-Zhu | 2021-07-28 |
| a4ddd84 | Donghe-Zhu | 2021-07-27 |
| 7ef49ab | Donghe-Zhu | 2021-07-27 |
| da818c0 | Donghe-Zhu | 2021-07-27 |
| 8623898 | Donghe-Zhu | 2021-07-27 |
| f84b77c | Donghe-Zhu | 2021-07-27 |
| 70ad9a5 | Donghe-Zhu | 2021-07-27 |
| 0d0b48d | Donghe-Zhu | 2021-07-27 |
| d0d97c6 | Donghe-Zhu | 2021-07-27 |
| 829510d | Donghe-Zhu | 2021-07-27 |
| 780627d | Donghe-Zhu | 2021-07-27 |
| e9838c9 | Donghe-Zhu | 2021-07-27 |
| 2777f33 | Donghe-Zhu | 2021-07-27 |
| d19760f | Donghe-Zhu | 2021-07-27 |
| cac5680 | Donghe-Zhu | 2021-07-23 |
| 7bb279a | Donghe-Zhu | 2021-07-23 |
| d52eac4 | Donghe-Zhu | 2021-07-23 |
| dcf34b1 | Donghe-Zhu | 2021-07-23 |
| 419cb72 | Donghe-Zhu | 2021-07-22 |
| 9447d10 | Donghe-Zhu | 2021-07-22 |
| 639c9a0 | Donghe-Zhu | 2021-07-22 |
| 25bb96f | Donghe-Zhu | 2021-07-22 |
| cdc98a3 | Donghe-Zhu | 2021-07-22 |
| e4805a1 | Donghe-Zhu | 2021-07-22 |
| 7957fd1 | Donghe-Zhu | 2021-07-21 |
| b94be4e | Donghe-Zhu | 2021-07-21 |
| 9950e70 | Donghe-Zhu | 2021-07-21 |
| 698b6f0 | Donghe-Zhu | 2021-07-20 |
| d84a1cb | Donghe-Zhu | 2021-07-20 |
| 4dce223 | Donghe-Zhu | 2021-07-20 |
| 6f28c0c | Donghe-Zhu | 2021-07-20 |
| db1e7b7 | Donghe-Zhu | 2021-07-19 |
| ff0575d | Donghe-Zhu | 2021-07-19 |
| 5d60eac | Donghe-Zhu | 2021-07-19 |
| 57d0420 | Donghe-Zhu | 2021-07-16 |
| c1be8f6 | Donghe-Zhu | 2021-07-16 |
| 26a7c15 | Donghe-Zhu | 2021-07-16 |
| 046902b | Donghe-Zhu | 2021-07-16 |
| 3d4ac14 | Donghe-Zhu | 2021-07-15 |
| be6fff9 | Donghe-Zhu | 2021-07-15 |
| b473472 | Donghe-Zhu | 2021-07-15 |
| 363270a | Donghe-Zhu | 2021-07-15 |
| 8b75a03 | Donghe-Zhu | 2021-07-15 |
| a01e135 | Donghe-Zhu | 2021-07-07 |
| bc83ef2 | Donghe-Zhu | 2021-07-07 |
| 75e7b07 | Donghe-Zhu | 2021-07-06 |
| 697aa6d | Donghe-Zhu | 2021-07-06 |
| d52e2de | Donghe-Zhu | 2021-07-06 |
| f2bde6b | Donghe-Zhu | 2021-07-06 |
| 1133f28 | Donghe-Zhu | 2021-07-06 |
| fe3a1cd | Donghe-Zhu | 2021-07-06 |
| d9cdf15 | Donghe-Zhu | 2021-07-06 |
| ee4cd2d | Donghe-Zhu | 2021-07-06 |
| 93821c1 | Donghe-Zhu | 2021-07-05 |
| d44db8e | Donghe-Zhu | 2021-07-05 |
| 20b3436 | Donghe-Zhu | 2021-07-05 |
| d982ea5 | Donghe-Zhu | 2021-07-05 |
| 7397e53 | Donghe-Zhu | 2021-07-05 |
| f2e4805 | Donghe-Zhu | 2021-07-05 |
| e2d011a | Donghe-Zhu | 2021-07-05 |
| 85e0349 | Donghe-Zhu | 2021-07-05 |
| 6ee0146 | Donghe-Zhu | 2021-07-05 |
| a482a6b | Donghe-Zhu | 2021-07-05 |
| f59f1b3 | Donghe-Zhu | 2021-07-05 |
| 116bcab | Donghe-Zhu | 2021-07-04 |
| cb1c8dc | Donghe-Zhu | 2021-07-04 |
| c9bdd83 | Donghe-Zhu | 2021-07-04 |
| 1920ad9 | Donghe-Zhu | 2021-07-04 |
| 0b02791 | Donghe-Zhu | 2021-06-25 |
| caf62d8 | Donghe-Zhu | 2021-06-25 |
| 90a9da5 | Donghe-Zhu | 2021-06-25 |
| bb413c8 | Donghe-Zhu | 2021-06-25 |
| e7a5266 | Donghe-Zhu | 2021-06-24 |
| 7c57720 | Donghe-Zhu | 2021-06-24 |
| b5b95a9 | Donghe-Zhu | 2021-06-24 |
| 472aad4 | Donghe-Zhu | 2021-06-24 |
| d517836 | Donghe-Zhu | 2021-06-24 |
| 9221bfe | Donghe-Zhu | 2021-06-24 |
| bff5fbf | Donghe-Zhu | 2021-06-23 |
| 256a616 | Donghe-Zhu | 2021-06-23 |
| 00072e2 | Donghe-Zhu | 2021-06-23 |
| 7431530 | Donghe-Zhu | 2021-06-20 |
| d20c383 | Donghe-Zhu | 2021-06-18 |
| b0874a2 | Donghe-Zhu | 2021-06-17 |
| 72c2f2e | Donghe-Zhu | 2021-06-15 |
| d97dcb6 | Donghe-Zhu | 2021-06-08 |
| 25dda1d | Donghe-Zhu | 2021-06-08 |
| bd2bcc3 | Donghe-Zhu | 2021-06-08 |
| e9b27d7 | Donghe-Zhu | 2021-06-07 |
| 7ae0d4b | Donghe-Zhu | 2021-06-07 |
| 325391f | Donghe-Zhu | 2021-06-07 |
| ed89970 | Donghe-Zhu | 2021-06-07 |
| df37958 | Donghe-Zhu | 2021-06-07 |
| 812bf63 | Donghe-Zhu | 2021-06-06 |
| 65c89c8 | Donghe-Zhu | 2021-06-06 |
| 9baa3b2 | Donghe-Zhu | 2021-06-06 |
| b7d99cf | Donghe-Zhu | 2021-06-06 |
| 5d8fa90 | Donghe-Zhu | 2021-06-06 |
| dbe2a95 | Donghe-Zhu | 2021-05-28 |
| d50b039 | Donghe-Zhu | 2021-05-28 |
| 441ebe5 | Donghe-Zhu | 2021-05-28 |
| 6262ad3 | Donghe-Zhu | 2021-05-28 |
| a61aa77 | Donghe-Zhu | 2021-05-28 |
| b8dbce4 | Donghe-Zhu | 2021-05-28 |
| 94a833e | Donghe-Zhu | 2021-05-27 |
| 5e0bd64 | Donghe-Zhu | 2021-05-27 |
| af1eadd | Donghe-Zhu | 2021-05-27 |
| 9179bfe | Donghe-Zhu | 2021-05-27 |
| 28cbe5e | Donghe-Zhu | 2021-05-27 |
| a618f02 | Donghe-Zhu | 2021-05-27 |
| 4623e38 | Donghe-Zhu | 2021-05-27 |
| b81bb49 | Donghe-Zhu | 2021-05-27 |
| 951e188 | Donghe-Zhu | 2021-05-27 |
| e377833 | Donghe-Zhu | 2021-05-26 |
| 2705a04 | Donghe-Zhu | 2021-03-28 |
| cd5f759 | Donghe-Zhu | 2021-03-28 |
| 75dda4d | Donghe-Zhu | 2021-03-27 |
| 0b19f6e | Donghe-Zhu | 2021-03-27 |
| e2704ca | Donghe-Zhu | 2021-03-27 |
| 3061a0b | Donghe-Zhu | 2021-03-27 |
| b883157 | Donghe-Zhu | 2021-03-27 |
| d19654d | Donghe-Zhu | 2021-03-26 |
| 6c53dbf | Donghe-Zhu | 2021-03-25 |
| 1914a11 | Donghe-Zhu | 2021-03-24 |
| 8be810e | Donghe-Zhu | 2021-03-23 |
| bf19764 | Donghe-Zhu | 2021-03-22 |
| 3ec9d3d | Donghe-Zhu | 2021-03-22 |
| 134ace1 | Donghe-Zhu | 2021-03-22 |
| f6d70a4 | Donghe-Zhu | 2021-03-22 |
| 183443b | Donghe-Zhu | 2021-03-21 |
| 2e6976b | Donghe-Zhu | 2021-03-21 |
| 51a42bd | Donghe-Zhu | 2021-03-16 |
| f745381 | Donghe-Zhu | 2021-03-16 |
| aecbf75 | Donghe-Zhu | 2021-03-14 |
| 1b2a0c2 | Donghe-Zhu | 2021-03-14 |
| 6733e48 | Donghe-Zhu | 2021-03-12 |
| ba71e6a | Donghe-Zhu | 2021-03-12 |
| 9dbf5bd | Donghe-Zhu | 2021-03-11 |
| a49df30 | Donghe-Zhu | 2021-03-11 |
| b3348a5 | Donghe-Zhu | 2021-03-11 |
| 1c24ff7 | Donghe-Zhu | 2021-03-10 |
| 94ce5a8 | Donghe-Zhu | 2021-03-10 |
| db33928 | Donghe-Zhu | 2021-03-10 |
| 3d1f470 | Donghe-Zhu | 2021-03-10 |
| 9b7bc66 | Donghe-Zhu | 2021-03-10 |
| 4168b43 | Donghe-Zhu | 2021-03-10 |
| 5365f80 | Donghe-Zhu | 2021-03-10 |
| 2b6c392 | Donghe-Zhu | 2021-03-10 |
| 9f58753 | Donghe-Zhu | 2021-03-10 |
| f2a7146 | Donghe-Zhu | 2021-03-10 |
| fd528ed | Donghe-Zhu | 2021-03-10 |
| 9d5a62c | Donghe-Zhu | 2021-03-10 |
| 5d1e70b | Donghe-Zhu | 2021-03-10 |
| 2093979 | Donghe-Zhu | 2021-03-10 |
| b865899 | Donghe-Zhu | 2021-03-10 |
| cc2a956 | Donghe-Zhu | 2021-03-10 |
| 60689fb | Donghe-Zhu | 2021-03-10 |
| 9230b52 | Donghe-Zhu | 2021-03-10 |
| dba33c8 | Donghe-Zhu | 2021-03-09 |
| 17f1c4a | Donghe-Zhu | 2021-03-09 |
| c024d1a | Donghe-Zhu | 2021-03-09 |
| 02f7242 | Donghe-Zhu | 2021-03-09 |
| 6f50bc6 | Donghe-Zhu | 2021-03-09 |
| 1691156 | Donghe-Zhu | 2021-03-08 |
| c0ceaf8 | Donghe-Zhu | 2021-03-08 |
| 058e0a1 | Donghe-Zhu | 2021-03-08 |
| 112dea0 | Donghe-Zhu | 2021-03-08 |
| 1843412 | Donghe-Zhu | 2021-03-08 |
| 3fbbfa4 | Donghe-Zhu | 2021-03-07 |
| 627c8fb | Donghe-Zhu | 2021-03-07 |
| 9ef3222 | Donghe-Zhu | 2021-03-05 |
| 8c1e978 | Donghe-Zhu | 2021-03-05 |
| 865f68c | Donghe-Zhu | 2021-03-05 |
| ee69bc1 | Donghe-Zhu | 2021-03-05 |
| a79291f | Donghe-Zhu | 2021-03-05 |
| e8c6f30 | Donghe-Zhu | 2021-03-04 |
| 59288fe | Donghe-Zhu | 2021-03-04 |
| 731abc8 | Donghe-Zhu | 2021-03-04 |
| e2a5a33 | Donghe-Zhu | 2021-03-04 |
| c7892c1 | Donghe-Zhu | 2021-03-04 |
| 924430b | Donghe-Zhu | 2021-03-03 |
| 0d0bca1 | Donghe-Zhu | 2021-03-03 |
| cb63c16 | Donghe-Zhu | 2021-03-03 |
| ffda45a | Donghe-Zhu | 2021-03-03 |
| 691ba81 | Donghe-Zhu | 2021-03-03 |
| c5e45a2 | Donghe-Zhu | 2021-03-03 |
| 89c3e58 | Donghe-Zhu | 2021-03-03 |
| c407a50 | Donghe-Zhu | 2021-03-03 |
| c911669 | Donghe-Zhu | 2021-03-03 |
| b71c719 | Donghe-Zhu | 2021-03-01 |
| 13666ca | Donghe-Zhu | 2021-03-01 |
| c6e60fe | Donghe-Zhu | 2021-03-01 |
| 7a388f7 | Donghe-Zhu | 2021-03-01 |
| 799e913 | Donghe-Zhu | 2021-03-01 |
| 66ff99f | Donghe-Zhu | 2021-03-01 |
| ac9bb7a | Donghe-Zhu | 2021-02-28 |
| efdc047 | Donghe-Zhu | 2021-02-28 |
| e9a7418 | Donghe-Zhu | 2021-02-28 |
| e152917 | Donghe-Zhu | 2021-02-28 |
| 287123c | Donghe-Zhu | 2021-02-27 |
| 54d5b5b | Donghe-Zhu | 2021-02-27 |
| 330f064 | Donghe-Zhu | 2021-02-27 |
| adbc9bc | Donghe-Zhu | 2021-02-27 |
| 5937141 | Donghe-Zhu | 2021-02-27 |
| 4414bbf | Donghe-Zhu | 2021-02-27 |
| a265efb | Donghe-Zhu | 2021-02-27 |
| 19edd1e | Donghe-Zhu | 2021-02-27 |
| f20483f | Donghe-Zhu | 2021-02-26 |
| 6a2c7b3 | Donghe-Zhu | 2021-02-25 |
| 354c224 | Donghe-Zhu | 2021-02-24 |
| 1a0a88a | Donghe-Zhu | 2021-02-24 |
| 57f701e | Donghe-Zhu | 2021-02-24 |
| 06f3149 | Donghe-Zhu | 2021-02-16 |
| 401eab3 | Donghe-Zhu | 2021-02-15 |
| e3bba84 | Donghe-Zhu | 2021-02-15 |
| 5dce4b1 | Donghe-Zhu | 2021-02-15 |
| 4469a0c | Donghe-Zhu | 2021-02-13 |
| 5ae6a69 | Donghe-Zhu | 2021-02-10 |
| 05385dc | Donghe-Zhu | 2021-02-10 |
| f791ae4 | Donghe-Zhu | 2021-02-09 |
| f71ae34 | Donghe-Zhu | 2021-02-09 |
| c011832 | Donghe-Zhu | 2021-02-09 |
| a145fa7 | Donghe-Zhu | 2021-02-09 |
| c344e42 | Donghe-Zhu | 2021-02-08 |
| 2f095d7 | Donghe-Zhu | 2021-02-07 |
| 2305044 | Donghe-Zhu | 2021-02-07 |
| 1fad5f1 | Donghe-Zhu | 2021-02-07 |
| ca03c39 | Donghe-Zhu | 2021-02-07 |
| e2ffc14 | Donghe-Zhu | 2021-02-05 |
| cd7c52c | Donghe-Zhu | 2021-02-04 |
| bcf84f4 | Donghe-Zhu | 2021-02-02 |
| a518739 | Donghe-Zhu | 2021-02-01 |
| 61666de | Donghe-Zhu | 2021-01-31 |
| 865b582 | Donghe-Zhu | 2021-01-31 |
| 3e68089 | Donghe-Zhu | 2021-01-31 |
| ecf335c | Donghe-Zhu | 2021-01-31 |
| a618965 | Donghe-Zhu | 2021-01-31 |
| 59e006e | Donghe-Zhu | 2021-01-31 |
| a1c8f87 | Donghe-Zhu | 2021-01-31 |
| ae5c18f | Donghe-Zhu | 2021-01-31 |
| b50fe52 | Donghe-Zhu | 2021-01-31 |
| ac99ae5 | jens-daniel-mueller | 2021-01-29 |
| b5bdcaf | Donghe-Zhu | 2021-01-29 |
| 442010d | Donghe-Zhu | 2021-01-29 |
| 372adf5 | Donghe-Zhu | 2021-01-29 |
| af8788e | Donghe-Zhu | 2021-01-29 |
| 21c91c9 | Donghe-Zhu | 2021-01-29 |
| eded038 | Donghe-Zhu | 2021-01-29 |
| 541d4dd | Donghe-Zhu | 2021-01-29 |
| 6a75576 | Donghe-Zhu | 2021-01-28 |
| 16fba40 | Donghe-Zhu | 2021-01-28 |
| 12bc567 | Donghe-Zhu | 2021-01-27 |
| ceed31b | Donghe-Zhu | 2021-01-27 |
| 342402d | Donghe-Zhu | 2021-01-27 |
| 5bad5c2 | Donghe-Zhu | 2021-01-27 |
| 61efb56 | Donghe-Zhu | 2021-01-25 |
| 48f638e | Donghe-Zhu | 2021-01-25 |
| c1cec47 | Donghe-Zhu | 2021-01-25 |
| 05ffb0c | Donghe-Zhu | 2021-01-25 |
| 8b97165 | Donghe-Zhu | 2021-01-25 |
| c569946 | Donghe-Zhu | 2021-01-24 |
| a2f0d56 | Donghe-Zhu | 2021-01-23 |
| 28509fc | Donghe-Zhu | 2021-01-23 |
| 4c28e4a | Donghe-Zhu | 2021-01-22 |
| 24cc264 | jens-daniel-mueller | 2021-01-22 |
| 2679490 | Donghe-Zhu | 2021-01-21 |
| 7891955 | Donghe-Zhu | 2021-01-21 |
| d4cf1cb | Donghe-Zhu | 2021-01-21 |
| 1f3e5b6 | jens-daniel-mueller | 2021-01-20 |
| 0e7bdf1 | jens-daniel-mueller | 2021-01-15 |
| 4571843 | jens-daniel-mueller | 2021-01-14 |
| b3564aa | jens-daniel-mueller | 2021-01-14 |
| 8d032c3 | jens-daniel-mueller | 2021-01-14 |
| 022871c | Donghe-Zhu | 2021-01-13 |
for (i_var in paste("cant",
c("intercept", params_local$MLR_predictors),
sep = "_")) {
print(
p_section_zonal_divergent_gamma_eras_basin(df = cant_predictor_zonal,
var = i_var,
gamma = "gamma")
)
}

| Version | Author | Date |
|---|---|---|
| 90f70da | Donghe-Zhu | 2021-08-06 |
| 496fa02 | Donghe-Zhu | 2021-08-05 |
| 19ecfe2 | Donghe-Zhu | 2021-08-05 |
| 3253031 | Donghe-Zhu | 2021-08-05 |
| 6c70952 | Donghe-Zhu | 2021-08-01 |
| 2666bd7 | Donghe-Zhu | 2021-08-01 |
| e51cfa2 | Donghe-Zhu | 2021-08-01 |
| 78cbc18 | Donghe-Zhu | 2021-08-01 |
| c55d4d7 | Donghe-Zhu | 2021-08-01 |
| 26741db | Donghe-Zhu | 2021-08-01 |
| ca539b5 | Donghe-Zhu | 2021-08-01 |
| 1e98138 | Donghe-Zhu | 2021-08-01 |
| 777b9e9 | Donghe-Zhu | 2021-08-01 |
| b110c47 | Donghe-Zhu | 2021-08-01 |
| 3611a48 | Donghe-Zhu | 2021-08-01 |
| af832ef | Donghe-Zhu | 2021-07-31 |
| 016f9ed | Donghe-Zhu | 2021-07-31 |
| 2080ac5 | Donghe-Zhu | 2021-07-31 |
| 50f0a16 | Donghe-Zhu | 2021-07-31 |
| 1682579 | Donghe-Zhu | 2021-07-31 |
| 9fa8832 | Donghe-Zhu | 2021-07-31 |
| 4abf542 | Donghe-Zhu | 2021-07-31 |
| a2483f0 | Donghe-Zhu | 2021-07-31 |
| 3300527 | Donghe-Zhu | 2021-07-31 |
| afeb6fd | Donghe-Zhu | 2021-07-31 |
| cb3ef32 | Donghe-Zhu | 2021-07-31 |
| 6528618 | Donghe-Zhu | 2021-07-31 |
| f50925e | Donghe-Zhu | 2021-07-31 |
| f4de2f3 | Donghe-Zhu | 2021-07-30 |
| 43bc7b4 | Donghe-Zhu | 2021-07-30 |
| f8c34a8 | Donghe-Zhu | 2021-07-30 |
| 4f897c4 | Donghe-Zhu | 2021-07-30 |
| 0f6e960 | Donghe-Zhu | 2021-07-30 |
| fe067ea | Donghe-Zhu | 2021-07-30 |
| fbca39a | Donghe-Zhu | 2021-07-30 |
| f945f95 | Donghe-Zhu | 2021-07-30 |
| a3006cd | Donghe-Zhu | 2021-07-30 |
| a55ffdc | Donghe-Zhu | 2021-07-30 |
| d5e4458 | Donghe-Zhu | 2021-07-30 |
| 10a97ef | Donghe-Zhu | 2021-07-30 |
| 1c501fd | Donghe-Zhu | 2021-07-30 |
| 68bce3f | Donghe-Zhu | 2021-07-30 |
| 400c457 | Donghe-Zhu | 2021-07-29 |
| 3ba7852 | Donghe-Zhu | 2021-07-29 |
| ec68363 | Donghe-Zhu | 2021-07-28 |
| d3018f6 | Donghe-Zhu | 2021-07-28 |
| b8ba2c4 | Donghe-Zhu | 2021-07-28 |
| a4ddd84 | Donghe-Zhu | 2021-07-27 |
| 7ef49ab | Donghe-Zhu | 2021-07-27 |
| da818c0 | Donghe-Zhu | 2021-07-27 |
| 8623898 | Donghe-Zhu | 2021-07-27 |
| f84b77c | Donghe-Zhu | 2021-07-27 |
| 70ad9a5 | Donghe-Zhu | 2021-07-27 |
| 0d0b48d | Donghe-Zhu | 2021-07-27 |
| d0d97c6 | Donghe-Zhu | 2021-07-27 |
| 829510d | Donghe-Zhu | 2021-07-27 |
| 780627d | Donghe-Zhu | 2021-07-27 |
| e9838c9 | Donghe-Zhu | 2021-07-27 |
| 2777f33 | Donghe-Zhu | 2021-07-27 |
| d19760f | Donghe-Zhu | 2021-07-27 |
| cac5680 | Donghe-Zhu | 2021-07-23 |
| 7bb279a | Donghe-Zhu | 2021-07-23 |
| d52eac4 | Donghe-Zhu | 2021-07-23 |
| dcf34b1 | Donghe-Zhu | 2021-07-23 |
| 419cb72 | Donghe-Zhu | 2021-07-22 |
| 9447d10 | Donghe-Zhu | 2021-07-22 |
| 639c9a0 | Donghe-Zhu | 2021-07-22 |
| 25bb96f | Donghe-Zhu | 2021-07-22 |
| cdc98a3 | Donghe-Zhu | 2021-07-22 |
| e4805a1 | Donghe-Zhu | 2021-07-22 |
| 7957fd1 | Donghe-Zhu | 2021-07-21 |
| b94be4e | Donghe-Zhu | 2021-07-21 |
| 9950e70 | Donghe-Zhu | 2021-07-21 |
| 698b6f0 | Donghe-Zhu | 2021-07-20 |
| d84a1cb | Donghe-Zhu | 2021-07-20 |
| 4dce223 | Donghe-Zhu | 2021-07-20 |
| 6f28c0c | Donghe-Zhu | 2021-07-20 |
| db1e7b7 | Donghe-Zhu | 2021-07-19 |
| ff0575d | Donghe-Zhu | 2021-07-19 |
| 5d60eac | Donghe-Zhu | 2021-07-19 |
| 57d0420 | Donghe-Zhu | 2021-07-16 |
| c1be8f6 | Donghe-Zhu | 2021-07-16 |
| 26a7c15 | Donghe-Zhu | 2021-07-16 |
| 046902b | Donghe-Zhu | 2021-07-16 |
| 3d4ac14 | Donghe-Zhu | 2021-07-15 |
| be6fff9 | Donghe-Zhu | 2021-07-15 |
| b473472 | Donghe-Zhu | 2021-07-15 |
| 363270a | Donghe-Zhu | 2021-07-15 |
| 8b75a03 | Donghe-Zhu | 2021-07-15 |
| a01e135 | Donghe-Zhu | 2021-07-07 |
| bc83ef2 | Donghe-Zhu | 2021-07-07 |
| 75e7b07 | Donghe-Zhu | 2021-07-06 |
| 697aa6d | Donghe-Zhu | 2021-07-06 |
| d52e2de | Donghe-Zhu | 2021-07-06 |
| f2bde6b | Donghe-Zhu | 2021-07-06 |
| 1133f28 | Donghe-Zhu | 2021-07-06 |
| fe3a1cd | Donghe-Zhu | 2021-07-06 |
| d9cdf15 | Donghe-Zhu | 2021-07-06 |
| ee4cd2d | Donghe-Zhu | 2021-07-06 |
| 93821c1 | Donghe-Zhu | 2021-07-05 |
| d44db8e | Donghe-Zhu | 2021-07-05 |
| 20b3436 | Donghe-Zhu | 2021-07-05 |
| d982ea5 | Donghe-Zhu | 2021-07-05 |
| 7397e53 | Donghe-Zhu | 2021-07-05 |
| f2e4805 | Donghe-Zhu | 2021-07-05 |
| e2d011a | Donghe-Zhu | 2021-07-05 |
| 85e0349 | Donghe-Zhu | 2021-07-05 |
| 6ee0146 | Donghe-Zhu | 2021-07-05 |
| a482a6b | Donghe-Zhu | 2021-07-05 |
| f59f1b3 | Donghe-Zhu | 2021-07-05 |
| 116bcab | Donghe-Zhu | 2021-07-04 |
| cb1c8dc | Donghe-Zhu | 2021-07-04 |
| c9bdd83 | Donghe-Zhu | 2021-07-04 |
| 1920ad9 | Donghe-Zhu | 2021-07-04 |
| 0b02791 | Donghe-Zhu | 2021-06-25 |
| caf62d8 | Donghe-Zhu | 2021-06-25 |
| 90a9da5 | Donghe-Zhu | 2021-06-25 |
| bb413c8 | Donghe-Zhu | 2021-06-25 |
| e7a5266 | Donghe-Zhu | 2021-06-24 |
| 7c57720 | Donghe-Zhu | 2021-06-24 |
| b5b95a9 | Donghe-Zhu | 2021-06-24 |
| 472aad4 | Donghe-Zhu | 2021-06-24 |
| d517836 | Donghe-Zhu | 2021-06-24 |
| 9221bfe | Donghe-Zhu | 2021-06-24 |
| bff5fbf | Donghe-Zhu | 2021-06-23 |
| 256a616 | Donghe-Zhu | 2021-06-23 |
| 00072e2 | Donghe-Zhu | 2021-06-23 |
| 7431530 | Donghe-Zhu | 2021-06-20 |
| d20c383 | Donghe-Zhu | 2021-06-18 |
| b0874a2 | Donghe-Zhu | 2021-06-17 |
| 72c2f2e | Donghe-Zhu | 2021-06-15 |
| d97dcb6 | Donghe-Zhu | 2021-06-08 |
| 25dda1d | Donghe-Zhu | 2021-06-08 |
| bd2bcc3 | Donghe-Zhu | 2021-06-08 |
| e9b27d7 | Donghe-Zhu | 2021-06-07 |
| 7ae0d4b | Donghe-Zhu | 2021-06-07 |
| 325391f | Donghe-Zhu | 2021-06-07 |
| ed89970 | Donghe-Zhu | 2021-06-07 |
| df37958 | Donghe-Zhu | 2021-06-07 |
| 812bf63 | Donghe-Zhu | 2021-06-06 |
| 65c89c8 | Donghe-Zhu | 2021-06-06 |
| 9baa3b2 | Donghe-Zhu | 2021-06-06 |
| b7d99cf | Donghe-Zhu | 2021-06-06 |
| 5d8fa90 | Donghe-Zhu | 2021-06-06 |
| dbe2a95 | Donghe-Zhu | 2021-05-28 |
| d50b039 | Donghe-Zhu | 2021-05-28 |
| 441ebe5 | Donghe-Zhu | 2021-05-28 |
| 6262ad3 | Donghe-Zhu | 2021-05-28 |
| a61aa77 | Donghe-Zhu | 2021-05-28 |
| b8dbce4 | Donghe-Zhu | 2021-05-28 |
| 94a833e | Donghe-Zhu | 2021-05-27 |
| 5e0bd64 | Donghe-Zhu | 2021-05-27 |
| af1eadd | Donghe-Zhu | 2021-05-27 |
| 9179bfe | Donghe-Zhu | 2021-05-27 |
| 28cbe5e | Donghe-Zhu | 2021-05-27 |
| a618f02 | Donghe-Zhu | 2021-05-27 |
| 4623e38 | Donghe-Zhu | 2021-05-27 |
| b81bb49 | Donghe-Zhu | 2021-05-27 |
| 951e188 | Donghe-Zhu | 2021-05-27 |
| e377833 | Donghe-Zhu | 2021-05-26 |
| 2705a04 | Donghe-Zhu | 2021-03-28 |
| cd5f759 | Donghe-Zhu | 2021-03-28 |
| 75dda4d | Donghe-Zhu | 2021-03-27 |
| 0b19f6e | Donghe-Zhu | 2021-03-27 |
| e2704ca | Donghe-Zhu | 2021-03-27 |
| 3061a0b | Donghe-Zhu | 2021-03-27 |
| b883157 | Donghe-Zhu | 2021-03-27 |
| d19654d | Donghe-Zhu | 2021-03-26 |
| 6c53dbf | Donghe-Zhu | 2021-03-25 |
| 1914a11 | Donghe-Zhu | 2021-03-24 |
| 8be810e | Donghe-Zhu | 2021-03-23 |
| bf19764 | Donghe-Zhu | 2021-03-22 |
| 3ec9d3d | Donghe-Zhu | 2021-03-22 |
| 134ace1 | Donghe-Zhu | 2021-03-22 |
| f6d70a4 | Donghe-Zhu | 2021-03-22 |
| 183443b | Donghe-Zhu | 2021-03-21 |
| 2e6976b | Donghe-Zhu | 2021-03-21 |
| 51a42bd | Donghe-Zhu | 2021-03-16 |
| f745381 | Donghe-Zhu | 2021-03-16 |
| aecbf75 | Donghe-Zhu | 2021-03-14 |
| 1b2a0c2 | Donghe-Zhu | 2021-03-14 |
| 6733e48 | Donghe-Zhu | 2021-03-12 |
| ba71e6a | Donghe-Zhu | 2021-03-12 |
| 9dbf5bd | Donghe-Zhu | 2021-03-11 |
| a49df30 | Donghe-Zhu | 2021-03-11 |
| b3348a5 | Donghe-Zhu | 2021-03-11 |
| 1c24ff7 | Donghe-Zhu | 2021-03-10 |
| 94ce5a8 | Donghe-Zhu | 2021-03-10 |
| db33928 | Donghe-Zhu | 2021-03-10 |
| 3d1f470 | Donghe-Zhu | 2021-03-10 |
| 9b7bc66 | Donghe-Zhu | 2021-03-10 |
| 4168b43 | Donghe-Zhu | 2021-03-10 |
| 5365f80 | Donghe-Zhu | 2021-03-10 |
| 2b6c392 | Donghe-Zhu | 2021-03-10 |
| 9f58753 | Donghe-Zhu | 2021-03-10 |
| f2a7146 | Donghe-Zhu | 2021-03-10 |
| fd528ed | Donghe-Zhu | 2021-03-10 |
| 9d5a62c | Donghe-Zhu | 2021-03-10 |
| 5d1e70b | Donghe-Zhu | 2021-03-10 |
| 2093979 | Donghe-Zhu | 2021-03-10 |
| b865899 | Donghe-Zhu | 2021-03-10 |
| cc2a956 | Donghe-Zhu | 2021-03-10 |
| 60689fb | Donghe-Zhu | 2021-03-10 |
| dba33c8 | Donghe-Zhu | 2021-03-09 |
| 17f1c4a | Donghe-Zhu | 2021-03-09 |
| c024d1a | Donghe-Zhu | 2021-03-09 |
| 02f7242 | Donghe-Zhu | 2021-03-09 |
| 6f50bc6 | Donghe-Zhu | 2021-03-09 |
| 1691156 | Donghe-Zhu | 2021-03-08 |
| c0ceaf8 | Donghe-Zhu | 2021-03-08 |
| 058e0a1 | Donghe-Zhu | 2021-03-08 |
| 112dea0 | Donghe-Zhu | 2021-03-08 |
| 1843412 | Donghe-Zhu | 2021-03-08 |
| 3fbbfa4 | Donghe-Zhu | 2021-03-07 |
| 627c8fb | Donghe-Zhu | 2021-03-07 |
| 9ef3222 | Donghe-Zhu | 2021-03-05 |
| 8c1e978 | Donghe-Zhu | 2021-03-05 |
| 865f68c | Donghe-Zhu | 2021-03-05 |
| ee69bc1 | Donghe-Zhu | 2021-03-05 |
| a79291f | Donghe-Zhu | 2021-03-05 |
| e8c6f30 | Donghe-Zhu | 2021-03-04 |
| 59288fe | Donghe-Zhu | 2021-03-04 |
| 731abc8 | Donghe-Zhu | 2021-03-04 |
| e2a5a33 | Donghe-Zhu | 2021-03-04 |
| c7892c1 | Donghe-Zhu | 2021-03-04 |
| 924430b | Donghe-Zhu | 2021-03-03 |
| 0d0bca1 | Donghe-Zhu | 2021-03-03 |
| cb63c16 | Donghe-Zhu | 2021-03-03 |
| ffda45a | Donghe-Zhu | 2021-03-03 |
| 691ba81 | Donghe-Zhu | 2021-03-03 |
| c5e45a2 | Donghe-Zhu | 2021-03-03 |
| 89c3e58 | Donghe-Zhu | 2021-03-03 |
| c407a50 | Donghe-Zhu | 2021-03-03 |
| c911669 | Donghe-Zhu | 2021-03-03 |
| b71c719 | Donghe-Zhu | 2021-03-01 |
| 13666ca | Donghe-Zhu | 2021-03-01 |
| c6e60fe | Donghe-Zhu | 2021-03-01 |
| 7a388f7 | Donghe-Zhu | 2021-03-01 |
| 799e913 | Donghe-Zhu | 2021-03-01 |
| 66ff99f | Donghe-Zhu | 2021-03-01 |
| ac9bb7a | Donghe-Zhu | 2021-02-28 |
| efdc047 | Donghe-Zhu | 2021-02-28 |
| e9a7418 | Donghe-Zhu | 2021-02-28 |
| e152917 | Donghe-Zhu | 2021-02-28 |
| 287123c | Donghe-Zhu | 2021-02-27 |
| 54d5b5b | Donghe-Zhu | 2021-02-27 |
| 330f064 | Donghe-Zhu | 2021-02-27 |
| adbc9bc | Donghe-Zhu | 2021-02-27 |
| 5937141 | Donghe-Zhu | 2021-02-27 |
| 4414bbf | Donghe-Zhu | 2021-02-27 |
| a265efb | Donghe-Zhu | 2021-02-27 |
| 19edd1e | Donghe-Zhu | 2021-02-27 |
| f20483f | Donghe-Zhu | 2021-02-26 |
| 6a2c7b3 | Donghe-Zhu | 2021-02-25 |
| 354c224 | Donghe-Zhu | 2021-02-24 |
| 1a0a88a | Donghe-Zhu | 2021-02-24 |
| 57f701e | Donghe-Zhu | 2021-02-24 |
| 06f3149 | Donghe-Zhu | 2021-02-16 |
| 401eab3 | Donghe-Zhu | 2021-02-15 |
| e3bba84 | Donghe-Zhu | 2021-02-15 |
| 5dce4b1 | Donghe-Zhu | 2021-02-15 |
| 4469a0c | Donghe-Zhu | 2021-02-13 |
| 5ae6a69 | Donghe-Zhu | 2021-02-10 |
| 05385dc | Donghe-Zhu | 2021-02-10 |
| f791ae4 | Donghe-Zhu | 2021-02-09 |
| f71ae34 | Donghe-Zhu | 2021-02-09 |
| c011832 | Donghe-Zhu | 2021-02-09 |
| a145fa7 | Donghe-Zhu | 2021-02-09 |
| c344e42 | Donghe-Zhu | 2021-02-08 |
| 2f095d7 | Donghe-Zhu | 2021-02-07 |
| 2305044 | Donghe-Zhu | 2021-02-07 |
| 1fad5f1 | Donghe-Zhu | 2021-02-07 |
| ca03c39 | Donghe-Zhu | 2021-02-07 |
| e2ffc14 | Donghe-Zhu | 2021-02-05 |
| cd7c52c | Donghe-Zhu | 2021-02-04 |
| bcf84f4 | Donghe-Zhu | 2021-02-02 |
| a518739 | Donghe-Zhu | 2021-02-01 |
| 61666de | Donghe-Zhu | 2021-01-31 |
| 865b582 | Donghe-Zhu | 2021-01-31 |
| 3e68089 | Donghe-Zhu | 2021-01-31 |
| ecf335c | Donghe-Zhu | 2021-01-31 |
| a618965 | Donghe-Zhu | 2021-01-31 |
| 59e006e | Donghe-Zhu | 2021-01-31 |
| a1c8f87 | Donghe-Zhu | 2021-01-31 |
| ae5c18f | Donghe-Zhu | 2021-01-31 |
| b50fe52 | Donghe-Zhu | 2021-01-31 |
| ac99ae5 | jens-daniel-mueller | 2021-01-29 |
| b5bdcaf | Donghe-Zhu | 2021-01-29 |
| 442010d | Donghe-Zhu | 2021-01-29 |
| 372adf5 | Donghe-Zhu | 2021-01-29 |
| af8788e | Donghe-Zhu | 2021-01-29 |
| 21c91c9 | Donghe-Zhu | 2021-01-29 |
| eded038 | Donghe-Zhu | 2021-01-29 |
| 541d4dd | Donghe-Zhu | 2021-01-29 |
| 6a75576 | Donghe-Zhu | 2021-01-28 |
| 16fba40 | Donghe-Zhu | 2021-01-28 |
| 12bc567 | Donghe-Zhu | 2021-01-27 |
| ceed31b | Donghe-Zhu | 2021-01-27 |
| 342402d | Donghe-Zhu | 2021-01-27 |
| 5bad5c2 | Donghe-Zhu | 2021-01-27 |
| 61efb56 | Donghe-Zhu | 2021-01-25 |
| 48f638e | Donghe-Zhu | 2021-01-25 |
| c1cec47 | Donghe-Zhu | 2021-01-25 |
| 05ffb0c | Donghe-Zhu | 2021-01-25 |
| 8b97165 | Donghe-Zhu | 2021-01-25 |
| c569946 | Donghe-Zhu | 2021-01-24 |
| a2f0d56 | Donghe-Zhu | 2021-01-23 |
| 28509fc | Donghe-Zhu | 2021-01-23 |
| 4c28e4a | Donghe-Zhu | 2021-01-22 |
| 24cc264 | jens-daniel-mueller | 2021-01-22 |
| 7891955 | Donghe-Zhu | 2021-01-21 |
| d4cf1cb | Donghe-Zhu | 2021-01-21 |
| 1f3e5b6 | jens-daniel-mueller | 2021-01-20 |
| 0e7bdf1 | jens-daniel-mueller | 2021-01-15 |
| 4571843 | jens-daniel-mueller | 2021-01-14 |
| b3564aa | jens-daniel-mueller | 2021-01-14 |
| 8d032c3 | jens-daniel-mueller | 2021-01-14 |
| 022871c | Donghe-Zhu | 2021-01-13 |

| Version | Author | Date |
|---|---|---|
| 90f70da | Donghe-Zhu | 2021-08-06 |
| 496fa02 | Donghe-Zhu | 2021-08-05 |
| 19ecfe2 | Donghe-Zhu | 2021-08-05 |
| 3253031 | Donghe-Zhu | 2021-08-05 |
| 6c70952 | Donghe-Zhu | 2021-08-01 |
| 2666bd7 | Donghe-Zhu | 2021-08-01 |
| e51cfa2 | Donghe-Zhu | 2021-08-01 |
| 78cbc18 | Donghe-Zhu | 2021-08-01 |
| c55d4d7 | Donghe-Zhu | 2021-08-01 |
| 26741db | Donghe-Zhu | 2021-08-01 |
| ca539b5 | Donghe-Zhu | 2021-08-01 |
| 1e98138 | Donghe-Zhu | 2021-08-01 |
| 777b9e9 | Donghe-Zhu | 2021-08-01 |
| b110c47 | Donghe-Zhu | 2021-08-01 |
| 3611a48 | Donghe-Zhu | 2021-08-01 |
| af832ef | Donghe-Zhu | 2021-07-31 |
| 016f9ed | Donghe-Zhu | 2021-07-31 |
| 2080ac5 | Donghe-Zhu | 2021-07-31 |
| 50f0a16 | Donghe-Zhu | 2021-07-31 |
| 1682579 | Donghe-Zhu | 2021-07-31 |
| 9fa8832 | Donghe-Zhu | 2021-07-31 |
| 4abf542 | Donghe-Zhu | 2021-07-31 |
| a2483f0 | Donghe-Zhu | 2021-07-31 |
| 3300527 | Donghe-Zhu | 2021-07-31 |
| afeb6fd | Donghe-Zhu | 2021-07-31 |
| cb3ef32 | Donghe-Zhu | 2021-07-31 |
| 6528618 | Donghe-Zhu | 2021-07-31 |
| f50925e | Donghe-Zhu | 2021-07-31 |
| f4de2f3 | Donghe-Zhu | 2021-07-30 |
| 43bc7b4 | Donghe-Zhu | 2021-07-30 |
| f8c34a8 | Donghe-Zhu | 2021-07-30 |
| 4f897c4 | Donghe-Zhu | 2021-07-30 |
| 0f6e960 | Donghe-Zhu | 2021-07-30 |
| fe067ea | Donghe-Zhu | 2021-07-30 |
| fbca39a | Donghe-Zhu | 2021-07-30 |
| f945f95 | Donghe-Zhu | 2021-07-30 |
| a3006cd | Donghe-Zhu | 2021-07-30 |
| a55ffdc | Donghe-Zhu | 2021-07-30 |
| d5e4458 | Donghe-Zhu | 2021-07-30 |
| 10a97ef | Donghe-Zhu | 2021-07-30 |
| 1c501fd | Donghe-Zhu | 2021-07-30 |
| 68bce3f | Donghe-Zhu | 2021-07-30 |
| 400c457 | Donghe-Zhu | 2021-07-29 |
| 3ba7852 | Donghe-Zhu | 2021-07-29 |
| ec68363 | Donghe-Zhu | 2021-07-28 |
| d3018f6 | Donghe-Zhu | 2021-07-28 |
| b8ba2c4 | Donghe-Zhu | 2021-07-28 |
| a4ddd84 | Donghe-Zhu | 2021-07-27 |
| 7ef49ab | Donghe-Zhu | 2021-07-27 |
| da818c0 | Donghe-Zhu | 2021-07-27 |
| 8623898 | Donghe-Zhu | 2021-07-27 |
| f84b77c | Donghe-Zhu | 2021-07-27 |
| 70ad9a5 | Donghe-Zhu | 2021-07-27 |
| 0d0b48d | Donghe-Zhu | 2021-07-27 |
| d0d97c6 | Donghe-Zhu | 2021-07-27 |
| 829510d | Donghe-Zhu | 2021-07-27 |
| 780627d | Donghe-Zhu | 2021-07-27 |
| e9838c9 | Donghe-Zhu | 2021-07-27 |
| 2777f33 | Donghe-Zhu | 2021-07-27 |
| d19760f | Donghe-Zhu | 2021-07-27 |
| cac5680 | Donghe-Zhu | 2021-07-23 |
| 7bb279a | Donghe-Zhu | 2021-07-23 |
| d52eac4 | Donghe-Zhu | 2021-07-23 |
| dcf34b1 | Donghe-Zhu | 2021-07-23 |
| 419cb72 | Donghe-Zhu | 2021-07-22 |
| 9447d10 | Donghe-Zhu | 2021-07-22 |
| 639c9a0 | Donghe-Zhu | 2021-07-22 |
| 25bb96f | Donghe-Zhu | 2021-07-22 |
| cdc98a3 | Donghe-Zhu | 2021-07-22 |
| e4805a1 | Donghe-Zhu | 2021-07-22 |
| 7957fd1 | Donghe-Zhu | 2021-07-21 |
| b94be4e | Donghe-Zhu | 2021-07-21 |
| 9950e70 | Donghe-Zhu | 2021-07-21 |
| 698b6f0 | Donghe-Zhu | 2021-07-20 |
| d84a1cb | Donghe-Zhu | 2021-07-20 |
| 4dce223 | Donghe-Zhu | 2021-07-20 |
| 6f28c0c | Donghe-Zhu | 2021-07-20 |
| db1e7b7 | Donghe-Zhu | 2021-07-19 |
| ff0575d | Donghe-Zhu | 2021-07-19 |
| 5d60eac | Donghe-Zhu | 2021-07-19 |
| 57d0420 | Donghe-Zhu | 2021-07-16 |
| c1be8f6 | Donghe-Zhu | 2021-07-16 |
| 26a7c15 | Donghe-Zhu | 2021-07-16 |
| 046902b | Donghe-Zhu | 2021-07-16 |
| 3d4ac14 | Donghe-Zhu | 2021-07-15 |
| be6fff9 | Donghe-Zhu | 2021-07-15 |
| b473472 | Donghe-Zhu | 2021-07-15 |
| 363270a | Donghe-Zhu | 2021-07-15 |
| 8b75a03 | Donghe-Zhu | 2021-07-15 |
| a01e135 | Donghe-Zhu | 2021-07-07 |
| bc83ef2 | Donghe-Zhu | 2021-07-07 |
| 75e7b07 | Donghe-Zhu | 2021-07-06 |
| 697aa6d | Donghe-Zhu | 2021-07-06 |
| d52e2de | Donghe-Zhu | 2021-07-06 |
| f2bde6b | Donghe-Zhu | 2021-07-06 |
| 1133f28 | Donghe-Zhu | 2021-07-06 |
| fe3a1cd | Donghe-Zhu | 2021-07-06 |
| d9cdf15 | Donghe-Zhu | 2021-07-06 |
| ee4cd2d | Donghe-Zhu | 2021-07-06 |
| 93821c1 | Donghe-Zhu | 2021-07-05 |
| d44db8e | Donghe-Zhu | 2021-07-05 |
| 20b3436 | Donghe-Zhu | 2021-07-05 |
| d982ea5 | Donghe-Zhu | 2021-07-05 |
| 7397e53 | Donghe-Zhu | 2021-07-05 |
| f2e4805 | Donghe-Zhu | 2021-07-05 |
| e2d011a | Donghe-Zhu | 2021-07-05 |
| 85e0349 | Donghe-Zhu | 2021-07-05 |
| 6ee0146 | Donghe-Zhu | 2021-07-05 |
| a482a6b | Donghe-Zhu | 2021-07-05 |
| f59f1b3 | Donghe-Zhu | 2021-07-05 |
| 116bcab | Donghe-Zhu | 2021-07-04 |
| cb1c8dc | Donghe-Zhu | 2021-07-04 |
| c9bdd83 | Donghe-Zhu | 2021-07-04 |
| 1920ad9 | Donghe-Zhu | 2021-07-04 |
| 0b02791 | Donghe-Zhu | 2021-06-25 |
| caf62d8 | Donghe-Zhu | 2021-06-25 |
| 90a9da5 | Donghe-Zhu | 2021-06-25 |
| bb413c8 | Donghe-Zhu | 2021-06-25 |
| e7a5266 | Donghe-Zhu | 2021-06-24 |
| 7c57720 | Donghe-Zhu | 2021-06-24 |
| b5b95a9 | Donghe-Zhu | 2021-06-24 |
| 472aad4 | Donghe-Zhu | 2021-06-24 |
| d517836 | Donghe-Zhu | 2021-06-24 |
| 9221bfe | Donghe-Zhu | 2021-06-24 |
| bff5fbf | Donghe-Zhu | 2021-06-23 |
| 256a616 | Donghe-Zhu | 2021-06-23 |
| 00072e2 | Donghe-Zhu | 2021-06-23 |
| 7431530 | Donghe-Zhu | 2021-06-20 |
| d20c383 | Donghe-Zhu | 2021-06-18 |
| b0874a2 | Donghe-Zhu | 2021-06-17 |
| 72c2f2e | Donghe-Zhu | 2021-06-15 |
| d97dcb6 | Donghe-Zhu | 2021-06-08 |
| 25dda1d | Donghe-Zhu | 2021-06-08 |
| bd2bcc3 | Donghe-Zhu | 2021-06-08 |
| e9b27d7 | Donghe-Zhu | 2021-06-07 |
| 7ae0d4b | Donghe-Zhu | 2021-06-07 |
| 325391f | Donghe-Zhu | 2021-06-07 |
| ed89970 | Donghe-Zhu | 2021-06-07 |
| df37958 | Donghe-Zhu | 2021-06-07 |
| 812bf63 | Donghe-Zhu | 2021-06-06 |
| 65c89c8 | Donghe-Zhu | 2021-06-06 |
| 9baa3b2 | Donghe-Zhu | 2021-06-06 |
| b7d99cf | Donghe-Zhu | 2021-06-06 |
| 5d8fa90 | Donghe-Zhu | 2021-06-06 |
| dbe2a95 | Donghe-Zhu | 2021-05-28 |
| d50b039 | Donghe-Zhu | 2021-05-28 |
| 441ebe5 | Donghe-Zhu | 2021-05-28 |
| 6262ad3 | Donghe-Zhu | 2021-05-28 |
| a61aa77 | Donghe-Zhu | 2021-05-28 |
| b8dbce4 | Donghe-Zhu | 2021-05-28 |
| 94a833e | Donghe-Zhu | 2021-05-27 |
| 5e0bd64 | Donghe-Zhu | 2021-05-27 |
| af1eadd | Donghe-Zhu | 2021-05-27 |
| 9179bfe | Donghe-Zhu | 2021-05-27 |
| 28cbe5e | Donghe-Zhu | 2021-05-27 |
| a618f02 | Donghe-Zhu | 2021-05-27 |
| 4623e38 | Donghe-Zhu | 2021-05-27 |
| b81bb49 | Donghe-Zhu | 2021-05-27 |
| 951e188 | Donghe-Zhu | 2021-05-27 |
| e377833 | Donghe-Zhu | 2021-05-26 |
| 2705a04 | Donghe-Zhu | 2021-03-28 |
| cd5f759 | Donghe-Zhu | 2021-03-28 |
| 75dda4d | Donghe-Zhu | 2021-03-27 |
| 0b19f6e | Donghe-Zhu | 2021-03-27 |
| e2704ca | Donghe-Zhu | 2021-03-27 |
| 3061a0b | Donghe-Zhu | 2021-03-27 |
| b883157 | Donghe-Zhu | 2021-03-27 |
| d19654d | Donghe-Zhu | 2021-03-26 |
| 6c53dbf | Donghe-Zhu | 2021-03-25 |
| 1914a11 | Donghe-Zhu | 2021-03-24 |
| 8be810e | Donghe-Zhu | 2021-03-23 |
| bf19764 | Donghe-Zhu | 2021-03-22 |
| 3ec9d3d | Donghe-Zhu | 2021-03-22 |
| 134ace1 | Donghe-Zhu | 2021-03-22 |
| f6d70a4 | Donghe-Zhu | 2021-03-22 |
| 183443b | Donghe-Zhu | 2021-03-21 |
| 2e6976b | Donghe-Zhu | 2021-03-21 |
| 51a42bd | Donghe-Zhu | 2021-03-16 |
| f745381 | Donghe-Zhu | 2021-03-16 |
| aecbf75 | Donghe-Zhu | 2021-03-14 |
| 1b2a0c2 | Donghe-Zhu | 2021-03-14 |
| 6733e48 | Donghe-Zhu | 2021-03-12 |
| ba71e6a | Donghe-Zhu | 2021-03-12 |
| 9dbf5bd | Donghe-Zhu | 2021-03-11 |
| a49df30 | Donghe-Zhu | 2021-03-11 |
| b3348a5 | Donghe-Zhu | 2021-03-11 |
| 1c24ff7 | Donghe-Zhu | 2021-03-10 |
| 94ce5a8 | Donghe-Zhu | 2021-03-10 |
| db33928 | Donghe-Zhu | 2021-03-10 |
| 3d1f470 | Donghe-Zhu | 2021-03-10 |
| 9b7bc66 | Donghe-Zhu | 2021-03-10 |
| 4168b43 | Donghe-Zhu | 2021-03-10 |
| 5365f80 | Donghe-Zhu | 2021-03-10 |
| 2b6c392 | Donghe-Zhu | 2021-03-10 |
| 9f58753 | Donghe-Zhu | 2021-03-10 |
| f2a7146 | Donghe-Zhu | 2021-03-10 |
| fd528ed | Donghe-Zhu | 2021-03-10 |
| 9d5a62c | Donghe-Zhu | 2021-03-10 |
| 5d1e70b | Donghe-Zhu | 2021-03-10 |
| 2093979 | Donghe-Zhu | 2021-03-10 |
| b865899 | Donghe-Zhu | 2021-03-10 |
| cc2a956 | Donghe-Zhu | 2021-03-10 |
| 60689fb | Donghe-Zhu | 2021-03-10 |
| dba33c8 | Donghe-Zhu | 2021-03-09 |
| 17f1c4a | Donghe-Zhu | 2021-03-09 |
| c024d1a | Donghe-Zhu | 2021-03-09 |
| 02f7242 | Donghe-Zhu | 2021-03-09 |
| 6f50bc6 | Donghe-Zhu | 2021-03-09 |
| 1691156 | Donghe-Zhu | 2021-03-08 |
| c0ceaf8 | Donghe-Zhu | 2021-03-08 |
| 058e0a1 | Donghe-Zhu | 2021-03-08 |
| 112dea0 | Donghe-Zhu | 2021-03-08 |
| 1843412 | Donghe-Zhu | 2021-03-08 |
| 3fbbfa4 | Donghe-Zhu | 2021-03-07 |
| 627c8fb | Donghe-Zhu | 2021-03-07 |
| 9ef3222 | Donghe-Zhu | 2021-03-05 |
| 8c1e978 | Donghe-Zhu | 2021-03-05 |
| 865f68c | Donghe-Zhu | 2021-03-05 |
| ee69bc1 | Donghe-Zhu | 2021-03-05 |
| a79291f | Donghe-Zhu | 2021-03-05 |
| e8c6f30 | Donghe-Zhu | 2021-03-04 |
| 59288fe | Donghe-Zhu | 2021-03-04 |
| 731abc8 | Donghe-Zhu | 2021-03-04 |
| e2a5a33 | Donghe-Zhu | 2021-03-04 |
| c7892c1 | Donghe-Zhu | 2021-03-04 |
| 924430b | Donghe-Zhu | 2021-03-03 |
| 0d0bca1 | Donghe-Zhu | 2021-03-03 |
| cb63c16 | Donghe-Zhu | 2021-03-03 |
| ffda45a | Donghe-Zhu | 2021-03-03 |
| 691ba81 | Donghe-Zhu | 2021-03-03 |
| c5e45a2 | Donghe-Zhu | 2021-03-03 |
| 89c3e58 | Donghe-Zhu | 2021-03-03 |
| c407a50 | Donghe-Zhu | 2021-03-03 |
| c911669 | Donghe-Zhu | 2021-03-03 |
| b71c719 | Donghe-Zhu | 2021-03-01 |
| 13666ca | Donghe-Zhu | 2021-03-01 |
| c6e60fe | Donghe-Zhu | 2021-03-01 |
| 7a388f7 | Donghe-Zhu | 2021-03-01 |
| 799e913 | Donghe-Zhu | 2021-03-01 |
| 66ff99f | Donghe-Zhu | 2021-03-01 |
| ac9bb7a | Donghe-Zhu | 2021-02-28 |
| efdc047 | Donghe-Zhu | 2021-02-28 |
| e9a7418 | Donghe-Zhu | 2021-02-28 |
| e152917 | Donghe-Zhu | 2021-02-28 |
| 287123c | Donghe-Zhu | 2021-02-27 |
| 54d5b5b | Donghe-Zhu | 2021-02-27 |
| 330f064 | Donghe-Zhu | 2021-02-27 |
| adbc9bc | Donghe-Zhu | 2021-02-27 |
| 5937141 | Donghe-Zhu | 2021-02-27 |
| 4414bbf | Donghe-Zhu | 2021-02-27 |
| a265efb | Donghe-Zhu | 2021-02-27 |
| 19edd1e | Donghe-Zhu | 2021-02-27 |
| f20483f | Donghe-Zhu | 2021-02-26 |
| 6a2c7b3 | Donghe-Zhu | 2021-02-25 |
| 354c224 | Donghe-Zhu | 2021-02-24 |
| 1a0a88a | Donghe-Zhu | 2021-02-24 |
| 57f701e | Donghe-Zhu | 2021-02-24 |
| 06f3149 | Donghe-Zhu | 2021-02-16 |
| 401eab3 | Donghe-Zhu | 2021-02-15 |
| e3bba84 | Donghe-Zhu | 2021-02-15 |
| 5dce4b1 | Donghe-Zhu | 2021-02-15 |
| 4469a0c | Donghe-Zhu | 2021-02-13 |
| 5ae6a69 | Donghe-Zhu | 2021-02-10 |
| 05385dc | Donghe-Zhu | 2021-02-10 |
| f791ae4 | Donghe-Zhu | 2021-02-09 |
| f71ae34 | Donghe-Zhu | 2021-02-09 |
| c011832 | Donghe-Zhu | 2021-02-09 |
| a145fa7 | Donghe-Zhu | 2021-02-09 |
| c344e42 | Donghe-Zhu | 2021-02-08 |
| 2f095d7 | Donghe-Zhu | 2021-02-07 |
| 2305044 | Donghe-Zhu | 2021-02-07 |
| 1fad5f1 | Donghe-Zhu | 2021-02-07 |
| ca03c39 | Donghe-Zhu | 2021-02-07 |
| e2ffc14 | Donghe-Zhu | 2021-02-05 |
| cd7c52c | Donghe-Zhu | 2021-02-04 |
| bcf84f4 | Donghe-Zhu | 2021-02-02 |
| a518739 | Donghe-Zhu | 2021-02-01 |
| 61666de | Donghe-Zhu | 2021-01-31 |
| 865b582 | Donghe-Zhu | 2021-01-31 |
| 3e68089 | Donghe-Zhu | 2021-01-31 |
| ecf335c | Donghe-Zhu | 2021-01-31 |
| a618965 | Donghe-Zhu | 2021-01-31 |
| 59e006e | Donghe-Zhu | 2021-01-31 |
| a1c8f87 | Donghe-Zhu | 2021-01-31 |
| ae5c18f | Donghe-Zhu | 2021-01-31 |
| b50fe52 | Donghe-Zhu | 2021-01-31 |
| ac99ae5 | jens-daniel-mueller | 2021-01-29 |
| b5bdcaf | Donghe-Zhu | 2021-01-29 |
| 442010d | Donghe-Zhu | 2021-01-29 |
| 372adf5 | Donghe-Zhu | 2021-01-29 |
| af8788e | Donghe-Zhu | 2021-01-29 |
| 21c91c9 | Donghe-Zhu | 2021-01-29 |
| eded038 | Donghe-Zhu | 2021-01-29 |
| 541d4dd | Donghe-Zhu | 2021-01-29 |
| 6a75576 | Donghe-Zhu | 2021-01-28 |
| 16fba40 | Donghe-Zhu | 2021-01-28 |
| 12bc567 | Donghe-Zhu | 2021-01-27 |
| ceed31b | Donghe-Zhu | 2021-01-27 |
| 342402d | Donghe-Zhu | 2021-01-27 |
| 5bad5c2 | Donghe-Zhu | 2021-01-27 |
| 61efb56 | Donghe-Zhu | 2021-01-25 |
| 48f638e | Donghe-Zhu | 2021-01-25 |
| c1cec47 | Donghe-Zhu | 2021-01-25 |
| 05ffb0c | Donghe-Zhu | 2021-01-25 |
| 8b97165 | Donghe-Zhu | 2021-01-25 |
| c569946 | Donghe-Zhu | 2021-01-24 |
| a2f0d56 | Donghe-Zhu | 2021-01-23 |
| 28509fc | Donghe-Zhu | 2021-01-23 |
| 4c28e4a | Donghe-Zhu | 2021-01-22 |
| 24cc264 | jens-daniel-mueller | 2021-01-22 |
| 7891955 | Donghe-Zhu | 2021-01-21 |
| d4cf1cb | Donghe-Zhu | 2021-01-21 |
| 1f3e5b6 | jens-daniel-mueller | 2021-01-20 |
| 0e7bdf1 | jens-daniel-mueller | 2021-01-15 |
| 4571843 | jens-daniel-mueller | 2021-01-14 |
| b3564aa | jens-daniel-mueller | 2021-01-14 |
| 8d032c3 | jens-daniel-mueller | 2021-01-14 |
| 022871c | Donghe-Zhu | 2021-01-13 |

| Version | Author | Date |
|---|---|---|
| 90f70da | Donghe-Zhu | 2021-08-06 |
| 496fa02 | Donghe-Zhu | 2021-08-05 |
| 19ecfe2 | Donghe-Zhu | 2021-08-05 |
| 3253031 | Donghe-Zhu | 2021-08-05 |
| 6c70952 | Donghe-Zhu | 2021-08-01 |
| 2666bd7 | Donghe-Zhu | 2021-08-01 |
| e51cfa2 | Donghe-Zhu | 2021-08-01 |
| 78cbc18 | Donghe-Zhu | 2021-08-01 |
| c55d4d7 | Donghe-Zhu | 2021-08-01 |
| 26741db | Donghe-Zhu | 2021-08-01 |
| ca539b5 | Donghe-Zhu | 2021-08-01 |
| 1e98138 | Donghe-Zhu | 2021-08-01 |
| 777b9e9 | Donghe-Zhu | 2021-08-01 |
| b110c47 | Donghe-Zhu | 2021-08-01 |
| 3611a48 | Donghe-Zhu | 2021-08-01 |
| af832ef | Donghe-Zhu | 2021-07-31 |
| 016f9ed | Donghe-Zhu | 2021-07-31 |
| 2080ac5 | Donghe-Zhu | 2021-07-31 |
| 50f0a16 | Donghe-Zhu | 2021-07-31 |
| 1682579 | Donghe-Zhu | 2021-07-31 |
| 9fa8832 | Donghe-Zhu | 2021-07-31 |
| 4abf542 | Donghe-Zhu | 2021-07-31 |
| a2483f0 | Donghe-Zhu | 2021-07-31 |
| 3300527 | Donghe-Zhu | 2021-07-31 |
| afeb6fd | Donghe-Zhu | 2021-07-31 |
| cb3ef32 | Donghe-Zhu | 2021-07-31 |
| 6528618 | Donghe-Zhu | 2021-07-31 |
| f50925e | Donghe-Zhu | 2021-07-31 |
| f4de2f3 | Donghe-Zhu | 2021-07-30 |
| 43bc7b4 | Donghe-Zhu | 2021-07-30 |
| f8c34a8 | Donghe-Zhu | 2021-07-30 |
| 4f897c4 | Donghe-Zhu | 2021-07-30 |
| 0f6e960 | Donghe-Zhu | 2021-07-30 |
| fe067ea | Donghe-Zhu | 2021-07-30 |
| fbca39a | Donghe-Zhu | 2021-07-30 |
| f945f95 | Donghe-Zhu | 2021-07-30 |
| a3006cd | Donghe-Zhu | 2021-07-30 |
| a55ffdc | Donghe-Zhu | 2021-07-30 |
| d5e4458 | Donghe-Zhu | 2021-07-30 |
| 10a97ef | Donghe-Zhu | 2021-07-30 |
| 1c501fd | Donghe-Zhu | 2021-07-30 |
| 68bce3f | Donghe-Zhu | 2021-07-30 |
| 400c457 | Donghe-Zhu | 2021-07-29 |
| 3ba7852 | Donghe-Zhu | 2021-07-29 |
| ec68363 | Donghe-Zhu | 2021-07-28 |
| d3018f6 | Donghe-Zhu | 2021-07-28 |
| b8ba2c4 | Donghe-Zhu | 2021-07-28 |
| a4ddd84 | Donghe-Zhu | 2021-07-27 |
| 7ef49ab | Donghe-Zhu | 2021-07-27 |
| da818c0 | Donghe-Zhu | 2021-07-27 |
| 8623898 | Donghe-Zhu | 2021-07-27 |
| f84b77c | Donghe-Zhu | 2021-07-27 |
| 70ad9a5 | Donghe-Zhu | 2021-07-27 |
| 0d0b48d | Donghe-Zhu | 2021-07-27 |
| d0d97c6 | Donghe-Zhu | 2021-07-27 |
| 829510d | Donghe-Zhu | 2021-07-27 |
| 780627d | Donghe-Zhu | 2021-07-27 |
| e9838c9 | Donghe-Zhu | 2021-07-27 |
| 2777f33 | Donghe-Zhu | 2021-07-27 |
| d19760f | Donghe-Zhu | 2021-07-27 |
| cac5680 | Donghe-Zhu | 2021-07-23 |
| 7bb279a | Donghe-Zhu | 2021-07-23 |
| d52eac4 | Donghe-Zhu | 2021-07-23 |
| dcf34b1 | Donghe-Zhu | 2021-07-23 |
| 419cb72 | Donghe-Zhu | 2021-07-22 |
| 9447d10 | Donghe-Zhu | 2021-07-22 |
| 639c9a0 | Donghe-Zhu | 2021-07-22 |
| 25bb96f | Donghe-Zhu | 2021-07-22 |
| cdc98a3 | Donghe-Zhu | 2021-07-22 |
| e4805a1 | Donghe-Zhu | 2021-07-22 |
| 7957fd1 | Donghe-Zhu | 2021-07-21 |
| b94be4e | Donghe-Zhu | 2021-07-21 |
| 9950e70 | Donghe-Zhu | 2021-07-21 |
| 698b6f0 | Donghe-Zhu | 2021-07-20 |
| d84a1cb | Donghe-Zhu | 2021-07-20 |
| 4dce223 | Donghe-Zhu | 2021-07-20 |
| 6f28c0c | Donghe-Zhu | 2021-07-20 |
| db1e7b7 | Donghe-Zhu | 2021-07-19 |
| ff0575d | Donghe-Zhu | 2021-07-19 |
| 5d60eac | Donghe-Zhu | 2021-07-19 |
| 57d0420 | Donghe-Zhu | 2021-07-16 |
| c1be8f6 | Donghe-Zhu | 2021-07-16 |
| 26a7c15 | Donghe-Zhu | 2021-07-16 |
| 046902b | Donghe-Zhu | 2021-07-16 |
| 3d4ac14 | Donghe-Zhu | 2021-07-15 |
| be6fff9 | Donghe-Zhu | 2021-07-15 |
| b473472 | Donghe-Zhu | 2021-07-15 |
| 363270a | Donghe-Zhu | 2021-07-15 |
| 8b75a03 | Donghe-Zhu | 2021-07-15 |
| a01e135 | Donghe-Zhu | 2021-07-07 |
| bc83ef2 | Donghe-Zhu | 2021-07-07 |
| 75e7b07 | Donghe-Zhu | 2021-07-06 |
| 697aa6d | Donghe-Zhu | 2021-07-06 |
| d52e2de | Donghe-Zhu | 2021-07-06 |
| f2bde6b | Donghe-Zhu | 2021-07-06 |
| 1133f28 | Donghe-Zhu | 2021-07-06 |
| fe3a1cd | Donghe-Zhu | 2021-07-06 |
| d9cdf15 | Donghe-Zhu | 2021-07-06 |
| ee4cd2d | Donghe-Zhu | 2021-07-06 |
| 93821c1 | Donghe-Zhu | 2021-07-05 |
| d44db8e | Donghe-Zhu | 2021-07-05 |
| 20b3436 | Donghe-Zhu | 2021-07-05 |
| d982ea5 | Donghe-Zhu | 2021-07-05 |
| 7397e53 | Donghe-Zhu | 2021-07-05 |
| f2e4805 | Donghe-Zhu | 2021-07-05 |
| e2d011a | Donghe-Zhu | 2021-07-05 |
| 85e0349 | Donghe-Zhu | 2021-07-05 |
| 6ee0146 | Donghe-Zhu | 2021-07-05 |
| a482a6b | Donghe-Zhu | 2021-07-05 |
| f59f1b3 | Donghe-Zhu | 2021-07-05 |
| 116bcab | Donghe-Zhu | 2021-07-04 |
| cb1c8dc | Donghe-Zhu | 2021-07-04 |
| c9bdd83 | Donghe-Zhu | 2021-07-04 |
| 1920ad9 | Donghe-Zhu | 2021-07-04 |
| 0b02791 | Donghe-Zhu | 2021-06-25 |
| caf62d8 | Donghe-Zhu | 2021-06-25 |
| 90a9da5 | Donghe-Zhu | 2021-06-25 |
| bb413c8 | Donghe-Zhu | 2021-06-25 |
| e7a5266 | Donghe-Zhu | 2021-06-24 |
| 7c57720 | Donghe-Zhu | 2021-06-24 |
| b5b95a9 | Donghe-Zhu | 2021-06-24 |
| 472aad4 | Donghe-Zhu | 2021-06-24 |
| d517836 | Donghe-Zhu | 2021-06-24 |
| 9221bfe | Donghe-Zhu | 2021-06-24 |
| bff5fbf | Donghe-Zhu | 2021-06-23 |
| 256a616 | Donghe-Zhu | 2021-06-23 |
| 00072e2 | Donghe-Zhu | 2021-06-23 |
| 7431530 | Donghe-Zhu | 2021-06-20 |
| d20c383 | Donghe-Zhu | 2021-06-18 |
| b0874a2 | Donghe-Zhu | 2021-06-17 |
| 72c2f2e | Donghe-Zhu | 2021-06-15 |
| d97dcb6 | Donghe-Zhu | 2021-06-08 |
| 25dda1d | Donghe-Zhu | 2021-06-08 |
| bd2bcc3 | Donghe-Zhu | 2021-06-08 |
| e9b27d7 | Donghe-Zhu | 2021-06-07 |
| 7ae0d4b | Donghe-Zhu | 2021-06-07 |
| 325391f | Donghe-Zhu | 2021-06-07 |
| ed89970 | Donghe-Zhu | 2021-06-07 |
| df37958 | Donghe-Zhu | 2021-06-07 |
| 812bf63 | Donghe-Zhu | 2021-06-06 |
| 65c89c8 | Donghe-Zhu | 2021-06-06 |
| 9baa3b2 | Donghe-Zhu | 2021-06-06 |
| b7d99cf | Donghe-Zhu | 2021-06-06 |
| 5d8fa90 | Donghe-Zhu | 2021-06-06 |
| dbe2a95 | Donghe-Zhu | 2021-05-28 |
| d50b039 | Donghe-Zhu | 2021-05-28 |
| 441ebe5 | Donghe-Zhu | 2021-05-28 |
| 6262ad3 | Donghe-Zhu | 2021-05-28 |
| a61aa77 | Donghe-Zhu | 2021-05-28 |
| b8dbce4 | Donghe-Zhu | 2021-05-28 |
| 94a833e | Donghe-Zhu | 2021-05-27 |
| 5e0bd64 | Donghe-Zhu | 2021-05-27 |
| af1eadd | Donghe-Zhu | 2021-05-27 |
| 9179bfe | Donghe-Zhu | 2021-05-27 |
| 28cbe5e | Donghe-Zhu | 2021-05-27 |
| a618f02 | Donghe-Zhu | 2021-05-27 |
| 4623e38 | Donghe-Zhu | 2021-05-27 |
| b81bb49 | Donghe-Zhu | 2021-05-27 |
| 951e188 | Donghe-Zhu | 2021-05-27 |
| e377833 | Donghe-Zhu | 2021-05-26 |
| 2705a04 | Donghe-Zhu | 2021-03-28 |
| cd5f759 | Donghe-Zhu | 2021-03-28 |
| 75dda4d | Donghe-Zhu | 2021-03-27 |
| 0b19f6e | Donghe-Zhu | 2021-03-27 |
| e2704ca | Donghe-Zhu | 2021-03-27 |
| 3061a0b | Donghe-Zhu | 2021-03-27 |
| b883157 | Donghe-Zhu | 2021-03-27 |
| d19654d | Donghe-Zhu | 2021-03-26 |
| 6c53dbf | Donghe-Zhu | 2021-03-25 |
| 1914a11 | Donghe-Zhu | 2021-03-24 |
| 8be810e | Donghe-Zhu | 2021-03-23 |
| bf19764 | Donghe-Zhu | 2021-03-22 |
| 3ec9d3d | Donghe-Zhu | 2021-03-22 |
| 134ace1 | Donghe-Zhu | 2021-03-22 |
| f6d70a4 | Donghe-Zhu | 2021-03-22 |
| 183443b | Donghe-Zhu | 2021-03-21 |
| 2e6976b | Donghe-Zhu | 2021-03-21 |
| 51a42bd | Donghe-Zhu | 2021-03-16 |
| f745381 | Donghe-Zhu | 2021-03-16 |
| aecbf75 | Donghe-Zhu | 2021-03-14 |
| 1b2a0c2 | Donghe-Zhu | 2021-03-14 |
| 6733e48 | Donghe-Zhu | 2021-03-12 |
| ba71e6a | Donghe-Zhu | 2021-03-12 |
| 9dbf5bd | Donghe-Zhu | 2021-03-11 |
| a49df30 | Donghe-Zhu | 2021-03-11 |
| b3348a5 | Donghe-Zhu | 2021-03-11 |
| 1c24ff7 | Donghe-Zhu | 2021-03-10 |
| 94ce5a8 | Donghe-Zhu | 2021-03-10 |
| db33928 | Donghe-Zhu | 2021-03-10 |
| 3d1f470 | Donghe-Zhu | 2021-03-10 |
| 9b7bc66 | Donghe-Zhu | 2021-03-10 |
| 4168b43 | Donghe-Zhu | 2021-03-10 |
| 5365f80 | Donghe-Zhu | 2021-03-10 |
| 2b6c392 | Donghe-Zhu | 2021-03-10 |
| 9f58753 | Donghe-Zhu | 2021-03-10 |
| f2a7146 | Donghe-Zhu | 2021-03-10 |
| fd528ed | Donghe-Zhu | 2021-03-10 |
| 9d5a62c | Donghe-Zhu | 2021-03-10 |
| 5d1e70b | Donghe-Zhu | 2021-03-10 |
| 2093979 | Donghe-Zhu | 2021-03-10 |
| b865899 | Donghe-Zhu | 2021-03-10 |
| cc2a956 | Donghe-Zhu | 2021-03-10 |
| 60689fb | Donghe-Zhu | 2021-03-10 |
| dba33c8 | Donghe-Zhu | 2021-03-09 |
| 17f1c4a | Donghe-Zhu | 2021-03-09 |
| c024d1a | Donghe-Zhu | 2021-03-09 |
| 02f7242 | Donghe-Zhu | 2021-03-09 |
| 6f50bc6 | Donghe-Zhu | 2021-03-09 |
| 1691156 | Donghe-Zhu | 2021-03-08 |
| c0ceaf8 | Donghe-Zhu | 2021-03-08 |
| 058e0a1 | Donghe-Zhu | 2021-03-08 |
| 112dea0 | Donghe-Zhu | 2021-03-08 |
| 1843412 | Donghe-Zhu | 2021-03-08 |
| 3fbbfa4 | Donghe-Zhu | 2021-03-07 |
| 627c8fb | Donghe-Zhu | 2021-03-07 |
| 9ef3222 | Donghe-Zhu | 2021-03-05 |
| 8c1e978 | Donghe-Zhu | 2021-03-05 |
| 865f68c | Donghe-Zhu | 2021-03-05 |
| ee69bc1 | Donghe-Zhu | 2021-03-05 |
| a79291f | Donghe-Zhu | 2021-03-05 |
| e8c6f30 | Donghe-Zhu | 2021-03-04 |
| 59288fe | Donghe-Zhu | 2021-03-04 |
| 731abc8 | Donghe-Zhu | 2021-03-04 |
| e2a5a33 | Donghe-Zhu | 2021-03-04 |
| c7892c1 | Donghe-Zhu | 2021-03-04 |
| 924430b | Donghe-Zhu | 2021-03-03 |
| 0d0bca1 | Donghe-Zhu | 2021-03-03 |
| cb63c16 | Donghe-Zhu | 2021-03-03 |
| ffda45a | Donghe-Zhu | 2021-03-03 |
| 691ba81 | Donghe-Zhu | 2021-03-03 |
| c5e45a2 | Donghe-Zhu | 2021-03-03 |
| 89c3e58 | Donghe-Zhu | 2021-03-03 |
| c407a50 | Donghe-Zhu | 2021-03-03 |
| c911669 | Donghe-Zhu | 2021-03-03 |
| b71c719 | Donghe-Zhu | 2021-03-01 |
| 13666ca | Donghe-Zhu | 2021-03-01 |
| c6e60fe | Donghe-Zhu | 2021-03-01 |
| 7a388f7 | Donghe-Zhu | 2021-03-01 |
| 799e913 | Donghe-Zhu | 2021-03-01 |
| 66ff99f | Donghe-Zhu | 2021-03-01 |
| ac9bb7a | Donghe-Zhu | 2021-02-28 |
| efdc047 | Donghe-Zhu | 2021-02-28 |
| e9a7418 | Donghe-Zhu | 2021-02-28 |
| e152917 | Donghe-Zhu | 2021-02-28 |
| 287123c | Donghe-Zhu | 2021-02-27 |
| 54d5b5b | Donghe-Zhu | 2021-02-27 |
| 330f064 | Donghe-Zhu | 2021-02-27 |
| adbc9bc | Donghe-Zhu | 2021-02-27 |
| 5937141 | Donghe-Zhu | 2021-02-27 |
| 4414bbf | Donghe-Zhu | 2021-02-27 |
| a265efb | Donghe-Zhu | 2021-02-27 |
| 19edd1e | Donghe-Zhu | 2021-02-27 |
| f20483f | Donghe-Zhu | 2021-02-26 |
| 6a2c7b3 | Donghe-Zhu | 2021-02-25 |
| 354c224 | Donghe-Zhu | 2021-02-24 |
| 1a0a88a | Donghe-Zhu | 2021-02-24 |
| 57f701e | Donghe-Zhu | 2021-02-24 |
| 06f3149 | Donghe-Zhu | 2021-02-16 |
| 401eab3 | Donghe-Zhu | 2021-02-15 |
| e3bba84 | Donghe-Zhu | 2021-02-15 |
| 5dce4b1 | Donghe-Zhu | 2021-02-15 |
| 4469a0c | Donghe-Zhu | 2021-02-13 |
| 5ae6a69 | Donghe-Zhu | 2021-02-10 |
| 05385dc | Donghe-Zhu | 2021-02-10 |
| f791ae4 | Donghe-Zhu | 2021-02-09 |
| f71ae34 | Donghe-Zhu | 2021-02-09 |
| c011832 | Donghe-Zhu | 2021-02-09 |
| a145fa7 | Donghe-Zhu | 2021-02-09 |
| c344e42 | Donghe-Zhu | 2021-02-08 |
| 2f095d7 | Donghe-Zhu | 2021-02-07 |
| 2305044 | Donghe-Zhu | 2021-02-07 |
| 1fad5f1 | Donghe-Zhu | 2021-02-07 |
| ca03c39 | Donghe-Zhu | 2021-02-07 |
| e2ffc14 | Donghe-Zhu | 2021-02-05 |
| cd7c52c | Donghe-Zhu | 2021-02-04 |
| bcf84f4 | Donghe-Zhu | 2021-02-02 |
| a518739 | Donghe-Zhu | 2021-02-01 |
| 61666de | Donghe-Zhu | 2021-01-31 |
| 865b582 | Donghe-Zhu | 2021-01-31 |
| 3e68089 | Donghe-Zhu | 2021-01-31 |
| ecf335c | Donghe-Zhu | 2021-01-31 |
| a618965 | Donghe-Zhu | 2021-01-31 |
| 59e006e | Donghe-Zhu | 2021-01-31 |
| a1c8f87 | Donghe-Zhu | 2021-01-31 |
| ae5c18f | Donghe-Zhu | 2021-01-31 |
| b50fe52 | Donghe-Zhu | 2021-01-31 |
| ac99ae5 | jens-daniel-mueller | 2021-01-29 |
| b5bdcaf | Donghe-Zhu | 2021-01-29 |
| 442010d | Donghe-Zhu | 2021-01-29 |
| 372adf5 | Donghe-Zhu | 2021-01-29 |
| af8788e | Donghe-Zhu | 2021-01-29 |
| 21c91c9 | Donghe-Zhu | 2021-01-29 |
| eded038 | Donghe-Zhu | 2021-01-29 |
| 541d4dd | Donghe-Zhu | 2021-01-29 |
| 6a75576 | Donghe-Zhu | 2021-01-28 |
| 16fba40 | Donghe-Zhu | 2021-01-28 |
| 12bc567 | Donghe-Zhu | 2021-01-27 |
| ceed31b | Donghe-Zhu | 2021-01-27 |
| 342402d | Donghe-Zhu | 2021-01-27 |
| 5bad5c2 | Donghe-Zhu | 2021-01-27 |
| 61efb56 | Donghe-Zhu | 2021-01-25 |
| 48f638e | Donghe-Zhu | 2021-01-25 |
| c1cec47 | Donghe-Zhu | 2021-01-25 |
| 05ffb0c | Donghe-Zhu | 2021-01-25 |
| 8b97165 | Donghe-Zhu | 2021-01-25 |
| c569946 | Donghe-Zhu | 2021-01-24 |
| a2f0d56 | Donghe-Zhu | 2021-01-23 |
| 28509fc | Donghe-Zhu | 2021-01-23 |
| 4c28e4a | Donghe-Zhu | 2021-01-22 |
| 24cc264 | jens-daniel-mueller | 2021-01-22 |
| 7891955 | Donghe-Zhu | 2021-01-21 |
| d4cf1cb | Donghe-Zhu | 2021-01-21 |
| 1f3e5b6 | jens-daniel-mueller | 2021-01-20 |
| 0e7bdf1 | jens-daniel-mueller | 2021-01-15 |
| 4571843 | jens-daniel-mueller | 2021-01-14 |
| b3564aa | jens-daniel-mueller | 2021-01-14 |
| 8d032c3 | jens-daniel-mueller | 2021-01-14 |
| 022871c | Donghe-Zhu | 2021-01-13 |

| Version | Author | Date |
|---|---|---|
| 90f70da | Donghe-Zhu | 2021-08-06 |
| 496fa02 | Donghe-Zhu | 2021-08-05 |
| 19ecfe2 | Donghe-Zhu | 2021-08-05 |
| 3253031 | Donghe-Zhu | 2021-08-05 |
| 6c70952 | Donghe-Zhu | 2021-08-01 |
| 2666bd7 | Donghe-Zhu | 2021-08-01 |
| e51cfa2 | Donghe-Zhu | 2021-08-01 |
| 78cbc18 | Donghe-Zhu | 2021-08-01 |
| c55d4d7 | Donghe-Zhu | 2021-08-01 |
| 26741db | Donghe-Zhu | 2021-08-01 |
| ca539b5 | Donghe-Zhu | 2021-08-01 |
| 1e98138 | Donghe-Zhu | 2021-08-01 |
| 777b9e9 | Donghe-Zhu | 2021-08-01 |
| b110c47 | Donghe-Zhu | 2021-08-01 |
| 3611a48 | Donghe-Zhu | 2021-08-01 |
| af832ef | Donghe-Zhu | 2021-07-31 |
| 016f9ed | Donghe-Zhu | 2021-07-31 |
| 2080ac5 | Donghe-Zhu | 2021-07-31 |
| 50f0a16 | Donghe-Zhu | 2021-07-31 |
| 1682579 | Donghe-Zhu | 2021-07-31 |
| 9fa8832 | Donghe-Zhu | 2021-07-31 |
| 4abf542 | Donghe-Zhu | 2021-07-31 |
| a2483f0 | Donghe-Zhu | 2021-07-31 |
| 3300527 | Donghe-Zhu | 2021-07-31 |
| afeb6fd | Donghe-Zhu | 2021-07-31 |
| cb3ef32 | Donghe-Zhu | 2021-07-31 |
| 6528618 | Donghe-Zhu | 2021-07-31 |
| f50925e | Donghe-Zhu | 2021-07-31 |
| f4de2f3 | Donghe-Zhu | 2021-07-30 |
| 43bc7b4 | Donghe-Zhu | 2021-07-30 |
| f8c34a8 | Donghe-Zhu | 2021-07-30 |
| 4f897c4 | Donghe-Zhu | 2021-07-30 |
| 0f6e960 | Donghe-Zhu | 2021-07-30 |
| fe067ea | Donghe-Zhu | 2021-07-30 |
| fbca39a | Donghe-Zhu | 2021-07-30 |
| f945f95 | Donghe-Zhu | 2021-07-30 |
| a3006cd | Donghe-Zhu | 2021-07-30 |
| a55ffdc | Donghe-Zhu | 2021-07-30 |
| d5e4458 | Donghe-Zhu | 2021-07-30 |
| 10a97ef | Donghe-Zhu | 2021-07-30 |
| 1c501fd | Donghe-Zhu | 2021-07-30 |
| 68bce3f | Donghe-Zhu | 2021-07-30 |
| 400c457 | Donghe-Zhu | 2021-07-29 |
| 3ba7852 | Donghe-Zhu | 2021-07-29 |
| ec68363 | Donghe-Zhu | 2021-07-28 |
| d3018f6 | Donghe-Zhu | 2021-07-28 |
| b8ba2c4 | Donghe-Zhu | 2021-07-28 |
| a4ddd84 | Donghe-Zhu | 2021-07-27 |
| 7ef49ab | Donghe-Zhu | 2021-07-27 |
| da818c0 | Donghe-Zhu | 2021-07-27 |
| 8623898 | Donghe-Zhu | 2021-07-27 |
| f84b77c | Donghe-Zhu | 2021-07-27 |
| 70ad9a5 | Donghe-Zhu | 2021-07-27 |
| 0d0b48d | Donghe-Zhu | 2021-07-27 |
| d0d97c6 | Donghe-Zhu | 2021-07-27 |
| 829510d | Donghe-Zhu | 2021-07-27 |
| 780627d | Donghe-Zhu | 2021-07-27 |
| e9838c9 | Donghe-Zhu | 2021-07-27 |
| 2777f33 | Donghe-Zhu | 2021-07-27 |
| d19760f | Donghe-Zhu | 2021-07-27 |
| cac5680 | Donghe-Zhu | 2021-07-23 |
| 7bb279a | Donghe-Zhu | 2021-07-23 |
| d52eac4 | Donghe-Zhu | 2021-07-23 |
| dcf34b1 | Donghe-Zhu | 2021-07-23 |
| 419cb72 | Donghe-Zhu | 2021-07-22 |
| 9447d10 | Donghe-Zhu | 2021-07-22 |
| 639c9a0 | Donghe-Zhu | 2021-07-22 |
| 25bb96f | Donghe-Zhu | 2021-07-22 |
| cdc98a3 | Donghe-Zhu | 2021-07-22 |
| e4805a1 | Donghe-Zhu | 2021-07-22 |
| 7957fd1 | Donghe-Zhu | 2021-07-21 |
| b94be4e | Donghe-Zhu | 2021-07-21 |
| 9950e70 | Donghe-Zhu | 2021-07-21 |
| 698b6f0 | Donghe-Zhu | 2021-07-20 |
| d84a1cb | Donghe-Zhu | 2021-07-20 |
| 4dce223 | Donghe-Zhu | 2021-07-20 |
| 6f28c0c | Donghe-Zhu | 2021-07-20 |
| db1e7b7 | Donghe-Zhu | 2021-07-19 |
| ff0575d | Donghe-Zhu | 2021-07-19 |
| 5d60eac | Donghe-Zhu | 2021-07-19 |
| 57d0420 | Donghe-Zhu | 2021-07-16 |
| c1be8f6 | Donghe-Zhu | 2021-07-16 |
| 26a7c15 | Donghe-Zhu | 2021-07-16 |
| 046902b | Donghe-Zhu | 2021-07-16 |
| 3d4ac14 | Donghe-Zhu | 2021-07-15 |
| be6fff9 | Donghe-Zhu | 2021-07-15 |
| b473472 | Donghe-Zhu | 2021-07-15 |
| 363270a | Donghe-Zhu | 2021-07-15 |
| 8b75a03 | Donghe-Zhu | 2021-07-15 |
| a01e135 | Donghe-Zhu | 2021-07-07 |
| bc83ef2 | Donghe-Zhu | 2021-07-07 |
| 75e7b07 | Donghe-Zhu | 2021-07-06 |
| 697aa6d | Donghe-Zhu | 2021-07-06 |
| d52e2de | Donghe-Zhu | 2021-07-06 |
| f2bde6b | Donghe-Zhu | 2021-07-06 |
| 1133f28 | Donghe-Zhu | 2021-07-06 |
| fe3a1cd | Donghe-Zhu | 2021-07-06 |
| d9cdf15 | Donghe-Zhu | 2021-07-06 |
| ee4cd2d | Donghe-Zhu | 2021-07-06 |
| 93821c1 | Donghe-Zhu | 2021-07-05 |
| d44db8e | Donghe-Zhu | 2021-07-05 |
| 20b3436 | Donghe-Zhu | 2021-07-05 |
| d982ea5 | Donghe-Zhu | 2021-07-05 |
| 7397e53 | Donghe-Zhu | 2021-07-05 |
| f2e4805 | Donghe-Zhu | 2021-07-05 |
| e2d011a | Donghe-Zhu | 2021-07-05 |
| 85e0349 | Donghe-Zhu | 2021-07-05 |
| 6ee0146 | Donghe-Zhu | 2021-07-05 |
| a482a6b | Donghe-Zhu | 2021-07-05 |
| f59f1b3 | Donghe-Zhu | 2021-07-05 |
| 116bcab | Donghe-Zhu | 2021-07-04 |
| cb1c8dc | Donghe-Zhu | 2021-07-04 |
| c9bdd83 | Donghe-Zhu | 2021-07-04 |
| 1920ad9 | Donghe-Zhu | 2021-07-04 |
| 0b02791 | Donghe-Zhu | 2021-06-25 |
| caf62d8 | Donghe-Zhu | 2021-06-25 |
| 90a9da5 | Donghe-Zhu | 2021-06-25 |
| bb413c8 | Donghe-Zhu | 2021-06-25 |
| e7a5266 | Donghe-Zhu | 2021-06-24 |
| 7c57720 | Donghe-Zhu | 2021-06-24 |
| b5b95a9 | Donghe-Zhu | 2021-06-24 |
| 472aad4 | Donghe-Zhu | 2021-06-24 |
| d517836 | Donghe-Zhu | 2021-06-24 |
| 9221bfe | Donghe-Zhu | 2021-06-24 |
| bff5fbf | Donghe-Zhu | 2021-06-23 |
| 256a616 | Donghe-Zhu | 2021-06-23 |
| 00072e2 | Donghe-Zhu | 2021-06-23 |
| 7431530 | Donghe-Zhu | 2021-06-20 |
| d20c383 | Donghe-Zhu | 2021-06-18 |
| b0874a2 | Donghe-Zhu | 2021-06-17 |
| 72c2f2e | Donghe-Zhu | 2021-06-15 |
| d97dcb6 | Donghe-Zhu | 2021-06-08 |
| 25dda1d | Donghe-Zhu | 2021-06-08 |
| bd2bcc3 | Donghe-Zhu | 2021-06-08 |
| e9b27d7 | Donghe-Zhu | 2021-06-07 |
| 7ae0d4b | Donghe-Zhu | 2021-06-07 |
| 325391f | Donghe-Zhu | 2021-06-07 |
| ed89970 | Donghe-Zhu | 2021-06-07 |
| df37958 | Donghe-Zhu | 2021-06-07 |
| 812bf63 | Donghe-Zhu | 2021-06-06 |
| 65c89c8 | Donghe-Zhu | 2021-06-06 |
| 9baa3b2 | Donghe-Zhu | 2021-06-06 |
| b7d99cf | Donghe-Zhu | 2021-06-06 |
| 5d8fa90 | Donghe-Zhu | 2021-06-06 |
| dbe2a95 | Donghe-Zhu | 2021-05-28 |
| d50b039 | Donghe-Zhu | 2021-05-28 |
| 441ebe5 | Donghe-Zhu | 2021-05-28 |
| 6262ad3 | Donghe-Zhu | 2021-05-28 |
| a61aa77 | Donghe-Zhu | 2021-05-28 |
| b8dbce4 | Donghe-Zhu | 2021-05-28 |
| 94a833e | Donghe-Zhu | 2021-05-27 |
| 5e0bd64 | Donghe-Zhu | 2021-05-27 |
| af1eadd | Donghe-Zhu | 2021-05-27 |
| 9179bfe | Donghe-Zhu | 2021-05-27 |
| 28cbe5e | Donghe-Zhu | 2021-05-27 |
| a618f02 | Donghe-Zhu | 2021-05-27 |
| 4623e38 | Donghe-Zhu | 2021-05-27 |
| b81bb49 | Donghe-Zhu | 2021-05-27 |
| 951e188 | Donghe-Zhu | 2021-05-27 |
| e377833 | Donghe-Zhu | 2021-05-26 |
| 2705a04 | Donghe-Zhu | 2021-03-28 |
| cd5f759 | Donghe-Zhu | 2021-03-28 |
| 75dda4d | Donghe-Zhu | 2021-03-27 |
| 0b19f6e | Donghe-Zhu | 2021-03-27 |
| e2704ca | Donghe-Zhu | 2021-03-27 |
| 3061a0b | Donghe-Zhu | 2021-03-27 |
| b883157 | Donghe-Zhu | 2021-03-27 |
| d19654d | Donghe-Zhu | 2021-03-26 |
| 6c53dbf | Donghe-Zhu | 2021-03-25 |
| 1914a11 | Donghe-Zhu | 2021-03-24 |
| 8be810e | Donghe-Zhu | 2021-03-23 |
| bf19764 | Donghe-Zhu | 2021-03-22 |
| 3ec9d3d | Donghe-Zhu | 2021-03-22 |
| 134ace1 | Donghe-Zhu | 2021-03-22 |
| f6d70a4 | Donghe-Zhu | 2021-03-22 |
| 183443b | Donghe-Zhu | 2021-03-21 |
| 2e6976b | Donghe-Zhu | 2021-03-21 |
| 51a42bd | Donghe-Zhu | 2021-03-16 |
| f745381 | Donghe-Zhu | 2021-03-16 |
| aecbf75 | Donghe-Zhu | 2021-03-14 |
| 1b2a0c2 | Donghe-Zhu | 2021-03-14 |
| 6733e48 | Donghe-Zhu | 2021-03-12 |
| ba71e6a | Donghe-Zhu | 2021-03-12 |
| 9dbf5bd | Donghe-Zhu | 2021-03-11 |
| a49df30 | Donghe-Zhu | 2021-03-11 |
| b3348a5 | Donghe-Zhu | 2021-03-11 |
| 1c24ff7 | Donghe-Zhu | 2021-03-10 |
| 94ce5a8 | Donghe-Zhu | 2021-03-10 |
| db33928 | Donghe-Zhu | 2021-03-10 |
| 3d1f470 | Donghe-Zhu | 2021-03-10 |
| 9b7bc66 | Donghe-Zhu | 2021-03-10 |
| 4168b43 | Donghe-Zhu | 2021-03-10 |
| 5365f80 | Donghe-Zhu | 2021-03-10 |
| 2b6c392 | Donghe-Zhu | 2021-03-10 |
| 9f58753 | Donghe-Zhu | 2021-03-10 |
| f2a7146 | Donghe-Zhu | 2021-03-10 |
| fd528ed | Donghe-Zhu | 2021-03-10 |
| 9d5a62c | Donghe-Zhu | 2021-03-10 |
| 5d1e70b | Donghe-Zhu | 2021-03-10 |
| 2093979 | Donghe-Zhu | 2021-03-10 |
| b865899 | Donghe-Zhu | 2021-03-10 |
| cc2a956 | Donghe-Zhu | 2021-03-10 |
| 60689fb | Donghe-Zhu | 2021-03-10 |
| dba33c8 | Donghe-Zhu | 2021-03-09 |
| 17f1c4a | Donghe-Zhu | 2021-03-09 |
| c024d1a | Donghe-Zhu | 2021-03-09 |
| 02f7242 | Donghe-Zhu | 2021-03-09 |
| 6f50bc6 | Donghe-Zhu | 2021-03-09 |
| 1691156 | Donghe-Zhu | 2021-03-08 |
| c0ceaf8 | Donghe-Zhu | 2021-03-08 |
| 058e0a1 | Donghe-Zhu | 2021-03-08 |
| 112dea0 | Donghe-Zhu | 2021-03-08 |
| 1843412 | Donghe-Zhu | 2021-03-08 |
| 3fbbfa4 | Donghe-Zhu | 2021-03-07 |
| 627c8fb | Donghe-Zhu | 2021-03-07 |
| 9ef3222 | Donghe-Zhu | 2021-03-05 |
| 8c1e978 | Donghe-Zhu | 2021-03-05 |
| 865f68c | Donghe-Zhu | 2021-03-05 |
| ee69bc1 | Donghe-Zhu | 2021-03-05 |
| a79291f | Donghe-Zhu | 2021-03-05 |
| e8c6f30 | Donghe-Zhu | 2021-03-04 |
| 59288fe | Donghe-Zhu | 2021-03-04 |
| 731abc8 | Donghe-Zhu | 2021-03-04 |
| e2a5a33 | Donghe-Zhu | 2021-03-04 |
| c7892c1 | Donghe-Zhu | 2021-03-04 |
| 924430b | Donghe-Zhu | 2021-03-03 |
| 0d0bca1 | Donghe-Zhu | 2021-03-03 |
| cb63c16 | Donghe-Zhu | 2021-03-03 |
| ffda45a | Donghe-Zhu | 2021-03-03 |
| 691ba81 | Donghe-Zhu | 2021-03-03 |
| c5e45a2 | Donghe-Zhu | 2021-03-03 |
| 89c3e58 | Donghe-Zhu | 2021-03-03 |
| c407a50 | Donghe-Zhu | 2021-03-03 |
| c911669 | Donghe-Zhu | 2021-03-03 |
| b71c719 | Donghe-Zhu | 2021-03-01 |
| 13666ca | Donghe-Zhu | 2021-03-01 |
| c6e60fe | Donghe-Zhu | 2021-03-01 |
| 7a388f7 | Donghe-Zhu | 2021-03-01 |
| 799e913 | Donghe-Zhu | 2021-03-01 |
| 66ff99f | Donghe-Zhu | 2021-03-01 |
| ac9bb7a | Donghe-Zhu | 2021-02-28 |
| efdc047 | Donghe-Zhu | 2021-02-28 |
| e9a7418 | Donghe-Zhu | 2021-02-28 |
| e152917 | Donghe-Zhu | 2021-02-28 |
| 287123c | Donghe-Zhu | 2021-02-27 |
| 54d5b5b | Donghe-Zhu | 2021-02-27 |
| 330f064 | Donghe-Zhu | 2021-02-27 |
| adbc9bc | Donghe-Zhu | 2021-02-27 |
| 5937141 | Donghe-Zhu | 2021-02-27 |
| 4414bbf | Donghe-Zhu | 2021-02-27 |
| a265efb | Donghe-Zhu | 2021-02-27 |
| 19edd1e | Donghe-Zhu | 2021-02-27 |
| f20483f | Donghe-Zhu | 2021-02-26 |
| 6a2c7b3 | Donghe-Zhu | 2021-02-25 |
| 354c224 | Donghe-Zhu | 2021-02-24 |
| 1a0a88a | Donghe-Zhu | 2021-02-24 |
| 57f701e | Donghe-Zhu | 2021-02-24 |
| 06f3149 | Donghe-Zhu | 2021-02-16 |
| 401eab3 | Donghe-Zhu | 2021-02-15 |
| e3bba84 | Donghe-Zhu | 2021-02-15 |
| 5dce4b1 | Donghe-Zhu | 2021-02-15 |
| 4469a0c | Donghe-Zhu | 2021-02-13 |
| 5ae6a69 | Donghe-Zhu | 2021-02-10 |
| 05385dc | Donghe-Zhu | 2021-02-10 |
| f791ae4 | Donghe-Zhu | 2021-02-09 |
| f71ae34 | Donghe-Zhu | 2021-02-09 |
| c011832 | Donghe-Zhu | 2021-02-09 |
| a145fa7 | Donghe-Zhu | 2021-02-09 |
| c344e42 | Donghe-Zhu | 2021-02-08 |
| 2f095d7 | Donghe-Zhu | 2021-02-07 |
| 2305044 | Donghe-Zhu | 2021-02-07 |
| 1fad5f1 | Donghe-Zhu | 2021-02-07 |
| ca03c39 | Donghe-Zhu | 2021-02-07 |
| e2ffc14 | Donghe-Zhu | 2021-02-05 |
| cd7c52c | Donghe-Zhu | 2021-02-04 |
| bcf84f4 | Donghe-Zhu | 2021-02-02 |
| a518739 | Donghe-Zhu | 2021-02-01 |
| 61666de | Donghe-Zhu | 2021-01-31 |
| 865b582 | Donghe-Zhu | 2021-01-31 |
| 3e68089 | Donghe-Zhu | 2021-01-31 |
| ecf335c | Donghe-Zhu | 2021-01-31 |
| a618965 | Donghe-Zhu | 2021-01-31 |
| 59e006e | Donghe-Zhu | 2021-01-31 |
| a1c8f87 | Donghe-Zhu | 2021-01-31 |
| ae5c18f | Donghe-Zhu | 2021-01-31 |
| b50fe52 | Donghe-Zhu | 2021-01-31 |
| ac99ae5 | jens-daniel-mueller | 2021-01-29 |
| b5bdcaf | Donghe-Zhu | 2021-01-29 |
| 442010d | Donghe-Zhu | 2021-01-29 |
| 372adf5 | Donghe-Zhu | 2021-01-29 |
| af8788e | Donghe-Zhu | 2021-01-29 |
| 21c91c9 | Donghe-Zhu | 2021-01-29 |
| eded038 | Donghe-Zhu | 2021-01-29 |
| 541d4dd | Donghe-Zhu | 2021-01-29 |
| 6a75576 | Donghe-Zhu | 2021-01-28 |
| 16fba40 | Donghe-Zhu | 2021-01-28 |
| 12bc567 | Donghe-Zhu | 2021-01-27 |
| ceed31b | Donghe-Zhu | 2021-01-27 |
| 342402d | Donghe-Zhu | 2021-01-27 |
| 5bad5c2 | Donghe-Zhu | 2021-01-27 |
| 61efb56 | Donghe-Zhu | 2021-01-25 |
| 48f638e | Donghe-Zhu | 2021-01-25 |
| c1cec47 | Donghe-Zhu | 2021-01-25 |
| 05ffb0c | Donghe-Zhu | 2021-01-25 |
| 8b97165 | Donghe-Zhu | 2021-01-25 |
| c569946 | Donghe-Zhu | 2021-01-24 |
| a2f0d56 | Donghe-Zhu | 2021-01-23 |
| 28509fc | Donghe-Zhu | 2021-01-23 |
| 4c28e4a | Donghe-Zhu | 2021-01-22 |
| 24cc264 | jens-daniel-mueller | 2021-01-22 |
| 7891955 | Donghe-Zhu | 2021-01-21 |
| d4cf1cb | Donghe-Zhu | 2021-01-21 |
| 1f3e5b6 | jens-daniel-mueller | 2021-01-20 |
| 0e7bdf1 | jens-daniel-mueller | 2021-01-15 |
| 4571843 | jens-daniel-mueller | 2021-01-14 |
| b3564aa | jens-daniel-mueller | 2021-01-14 |
| 8d032c3 | jens-daniel-mueller | 2021-01-14 |
| 022871c | Donghe-Zhu | 2021-01-13 |

| Version | Author | Date |
|---|---|---|
| 90f70da | Donghe-Zhu | 2021-08-06 |
| 496fa02 | Donghe-Zhu | 2021-08-05 |
| 19ecfe2 | Donghe-Zhu | 2021-08-05 |
| 3253031 | Donghe-Zhu | 2021-08-05 |
| 6c70952 | Donghe-Zhu | 2021-08-01 |
| 2666bd7 | Donghe-Zhu | 2021-08-01 |
| e51cfa2 | Donghe-Zhu | 2021-08-01 |
| 78cbc18 | Donghe-Zhu | 2021-08-01 |
| c55d4d7 | Donghe-Zhu | 2021-08-01 |
| 26741db | Donghe-Zhu | 2021-08-01 |
| ca539b5 | Donghe-Zhu | 2021-08-01 |
| 1e98138 | Donghe-Zhu | 2021-08-01 |
| 777b9e9 | Donghe-Zhu | 2021-08-01 |
| b110c47 | Donghe-Zhu | 2021-08-01 |
| 3611a48 | Donghe-Zhu | 2021-08-01 |
| af832ef | Donghe-Zhu | 2021-07-31 |
| 016f9ed | Donghe-Zhu | 2021-07-31 |
| 2080ac5 | Donghe-Zhu | 2021-07-31 |
| 50f0a16 | Donghe-Zhu | 2021-07-31 |
| 1682579 | Donghe-Zhu | 2021-07-31 |
| 9fa8832 | Donghe-Zhu | 2021-07-31 |
| 4abf542 | Donghe-Zhu | 2021-07-31 |
| a2483f0 | Donghe-Zhu | 2021-07-31 |
| 3300527 | Donghe-Zhu | 2021-07-31 |
| afeb6fd | Donghe-Zhu | 2021-07-31 |
| cb3ef32 | Donghe-Zhu | 2021-07-31 |
| 6528618 | Donghe-Zhu | 2021-07-31 |
| f50925e | Donghe-Zhu | 2021-07-31 |
| f4de2f3 | Donghe-Zhu | 2021-07-30 |
| 43bc7b4 | Donghe-Zhu | 2021-07-30 |
| f8c34a8 | Donghe-Zhu | 2021-07-30 |
| 4f897c4 | Donghe-Zhu | 2021-07-30 |
| 0f6e960 | Donghe-Zhu | 2021-07-30 |
| fe067ea | Donghe-Zhu | 2021-07-30 |
| fbca39a | Donghe-Zhu | 2021-07-30 |
| f945f95 | Donghe-Zhu | 2021-07-30 |
| a3006cd | Donghe-Zhu | 2021-07-30 |
| a55ffdc | Donghe-Zhu | 2021-07-30 |
| d5e4458 | Donghe-Zhu | 2021-07-30 |
| 10a97ef | Donghe-Zhu | 2021-07-30 |
| 1c501fd | Donghe-Zhu | 2021-07-30 |
| 68bce3f | Donghe-Zhu | 2021-07-30 |
| 400c457 | Donghe-Zhu | 2021-07-29 |
| 3ba7852 | Donghe-Zhu | 2021-07-29 |
| ec68363 | Donghe-Zhu | 2021-07-28 |
| d3018f6 | Donghe-Zhu | 2021-07-28 |
| b8ba2c4 | Donghe-Zhu | 2021-07-28 |
| a4ddd84 | Donghe-Zhu | 2021-07-27 |
| 7ef49ab | Donghe-Zhu | 2021-07-27 |
| da818c0 | Donghe-Zhu | 2021-07-27 |
| 8623898 | Donghe-Zhu | 2021-07-27 |
| f84b77c | Donghe-Zhu | 2021-07-27 |
| 70ad9a5 | Donghe-Zhu | 2021-07-27 |
| 0d0b48d | Donghe-Zhu | 2021-07-27 |
| d0d97c6 | Donghe-Zhu | 2021-07-27 |
| 829510d | Donghe-Zhu | 2021-07-27 |
| 780627d | Donghe-Zhu | 2021-07-27 |
| e9838c9 | Donghe-Zhu | 2021-07-27 |
| 2777f33 | Donghe-Zhu | 2021-07-27 |
| d19760f | Donghe-Zhu | 2021-07-27 |
| cac5680 | Donghe-Zhu | 2021-07-23 |
| 7bb279a | Donghe-Zhu | 2021-07-23 |
| d52eac4 | Donghe-Zhu | 2021-07-23 |
| dcf34b1 | Donghe-Zhu | 2021-07-23 |
| 419cb72 | Donghe-Zhu | 2021-07-22 |
| 9447d10 | Donghe-Zhu | 2021-07-22 |
| 639c9a0 | Donghe-Zhu | 2021-07-22 |
| 25bb96f | Donghe-Zhu | 2021-07-22 |
| cdc98a3 | Donghe-Zhu | 2021-07-22 |
| e4805a1 | Donghe-Zhu | 2021-07-22 |
| 7957fd1 | Donghe-Zhu | 2021-07-21 |
| b94be4e | Donghe-Zhu | 2021-07-21 |
| 9950e70 | Donghe-Zhu | 2021-07-21 |
| 698b6f0 | Donghe-Zhu | 2021-07-20 |
| d84a1cb | Donghe-Zhu | 2021-07-20 |
| 4dce223 | Donghe-Zhu | 2021-07-20 |
| 6f28c0c | Donghe-Zhu | 2021-07-20 |
| db1e7b7 | Donghe-Zhu | 2021-07-19 |
| ff0575d | Donghe-Zhu | 2021-07-19 |
| 5d60eac | Donghe-Zhu | 2021-07-19 |
| 57d0420 | Donghe-Zhu | 2021-07-16 |
| c1be8f6 | Donghe-Zhu | 2021-07-16 |
| 26a7c15 | Donghe-Zhu | 2021-07-16 |
| 046902b | Donghe-Zhu | 2021-07-16 |
| 3d4ac14 | Donghe-Zhu | 2021-07-15 |
| be6fff9 | Donghe-Zhu | 2021-07-15 |
| b473472 | Donghe-Zhu | 2021-07-15 |
| 363270a | Donghe-Zhu | 2021-07-15 |
| 8b75a03 | Donghe-Zhu | 2021-07-15 |
| a01e135 | Donghe-Zhu | 2021-07-07 |
| bc83ef2 | Donghe-Zhu | 2021-07-07 |
| 75e7b07 | Donghe-Zhu | 2021-07-06 |
| 697aa6d | Donghe-Zhu | 2021-07-06 |
| d52e2de | Donghe-Zhu | 2021-07-06 |
| f2bde6b | Donghe-Zhu | 2021-07-06 |
| 1133f28 | Donghe-Zhu | 2021-07-06 |
| fe3a1cd | Donghe-Zhu | 2021-07-06 |
| d9cdf15 | Donghe-Zhu | 2021-07-06 |
| ee4cd2d | Donghe-Zhu | 2021-07-06 |
| 93821c1 | Donghe-Zhu | 2021-07-05 |
| d44db8e | Donghe-Zhu | 2021-07-05 |
| 20b3436 | Donghe-Zhu | 2021-07-05 |
| d982ea5 | Donghe-Zhu | 2021-07-05 |
| 7397e53 | Donghe-Zhu | 2021-07-05 |
| f2e4805 | Donghe-Zhu | 2021-07-05 |
| e2d011a | Donghe-Zhu | 2021-07-05 |
| 85e0349 | Donghe-Zhu | 2021-07-05 |
| 6ee0146 | Donghe-Zhu | 2021-07-05 |
| a482a6b | Donghe-Zhu | 2021-07-05 |
| f59f1b3 | Donghe-Zhu | 2021-07-05 |
| 116bcab | Donghe-Zhu | 2021-07-04 |
| cb1c8dc | Donghe-Zhu | 2021-07-04 |
| c9bdd83 | Donghe-Zhu | 2021-07-04 |
| 1920ad9 | Donghe-Zhu | 2021-07-04 |
| 0b02791 | Donghe-Zhu | 2021-06-25 |
| caf62d8 | Donghe-Zhu | 2021-06-25 |
| 90a9da5 | Donghe-Zhu | 2021-06-25 |
| bb413c8 | Donghe-Zhu | 2021-06-25 |
| e7a5266 | Donghe-Zhu | 2021-06-24 |
| 7c57720 | Donghe-Zhu | 2021-06-24 |
| b5b95a9 | Donghe-Zhu | 2021-06-24 |
| 472aad4 | Donghe-Zhu | 2021-06-24 |
| d517836 | Donghe-Zhu | 2021-06-24 |
| 9221bfe | Donghe-Zhu | 2021-06-24 |
| bff5fbf | Donghe-Zhu | 2021-06-23 |
| 256a616 | Donghe-Zhu | 2021-06-23 |
| 00072e2 | Donghe-Zhu | 2021-06-23 |
| 7431530 | Donghe-Zhu | 2021-06-20 |
| d20c383 | Donghe-Zhu | 2021-06-18 |
| b0874a2 | Donghe-Zhu | 2021-06-17 |
| 72c2f2e | Donghe-Zhu | 2021-06-15 |
| d97dcb6 | Donghe-Zhu | 2021-06-08 |
| 25dda1d | Donghe-Zhu | 2021-06-08 |
| bd2bcc3 | Donghe-Zhu | 2021-06-08 |
| e9b27d7 | Donghe-Zhu | 2021-06-07 |
| 7ae0d4b | Donghe-Zhu | 2021-06-07 |
| 325391f | Donghe-Zhu | 2021-06-07 |
| ed89970 | Donghe-Zhu | 2021-06-07 |
| df37958 | Donghe-Zhu | 2021-06-07 |
| 812bf63 | Donghe-Zhu | 2021-06-06 |
| 65c89c8 | Donghe-Zhu | 2021-06-06 |
| 9baa3b2 | Donghe-Zhu | 2021-06-06 |
| b7d99cf | Donghe-Zhu | 2021-06-06 |
| 5d8fa90 | Donghe-Zhu | 2021-06-06 |
| dbe2a95 | Donghe-Zhu | 2021-05-28 |
| d50b039 | Donghe-Zhu | 2021-05-28 |
| 441ebe5 | Donghe-Zhu | 2021-05-28 |
| 6262ad3 | Donghe-Zhu | 2021-05-28 |
| a61aa77 | Donghe-Zhu | 2021-05-28 |
| b8dbce4 | Donghe-Zhu | 2021-05-28 |
| 94a833e | Donghe-Zhu | 2021-05-27 |
| 5e0bd64 | Donghe-Zhu | 2021-05-27 |
| af1eadd | Donghe-Zhu | 2021-05-27 |
| 9179bfe | Donghe-Zhu | 2021-05-27 |
| 28cbe5e | Donghe-Zhu | 2021-05-27 |
| a618f02 | Donghe-Zhu | 2021-05-27 |
| 4623e38 | Donghe-Zhu | 2021-05-27 |
| b81bb49 | Donghe-Zhu | 2021-05-27 |
| 951e188 | Donghe-Zhu | 2021-05-27 |
| e377833 | Donghe-Zhu | 2021-05-26 |
| 2705a04 | Donghe-Zhu | 2021-03-28 |
| cd5f759 | Donghe-Zhu | 2021-03-28 |
| 75dda4d | Donghe-Zhu | 2021-03-27 |
| 0b19f6e | Donghe-Zhu | 2021-03-27 |
| e2704ca | Donghe-Zhu | 2021-03-27 |
| 3061a0b | Donghe-Zhu | 2021-03-27 |
| b883157 | Donghe-Zhu | 2021-03-27 |
| d19654d | Donghe-Zhu | 2021-03-26 |
| 6c53dbf | Donghe-Zhu | 2021-03-25 |
| 1914a11 | Donghe-Zhu | 2021-03-24 |
| 8be810e | Donghe-Zhu | 2021-03-23 |
| bf19764 | Donghe-Zhu | 2021-03-22 |
| 3ec9d3d | Donghe-Zhu | 2021-03-22 |
| 134ace1 | Donghe-Zhu | 2021-03-22 |
| f6d70a4 | Donghe-Zhu | 2021-03-22 |
| 183443b | Donghe-Zhu | 2021-03-21 |
| 2e6976b | Donghe-Zhu | 2021-03-21 |
| 51a42bd | Donghe-Zhu | 2021-03-16 |
| f745381 | Donghe-Zhu | 2021-03-16 |
| aecbf75 | Donghe-Zhu | 2021-03-14 |
| 1b2a0c2 | Donghe-Zhu | 2021-03-14 |
| 6733e48 | Donghe-Zhu | 2021-03-12 |
| ba71e6a | Donghe-Zhu | 2021-03-12 |
| 9dbf5bd | Donghe-Zhu | 2021-03-11 |
| a49df30 | Donghe-Zhu | 2021-03-11 |
| b3348a5 | Donghe-Zhu | 2021-03-11 |
| 1c24ff7 | Donghe-Zhu | 2021-03-10 |
| 94ce5a8 | Donghe-Zhu | 2021-03-10 |
| db33928 | Donghe-Zhu | 2021-03-10 |
| 3d1f470 | Donghe-Zhu | 2021-03-10 |
| 9b7bc66 | Donghe-Zhu | 2021-03-10 |
| 4168b43 | Donghe-Zhu | 2021-03-10 |
| 5365f80 | Donghe-Zhu | 2021-03-10 |
| 2b6c392 | Donghe-Zhu | 2021-03-10 |
| 9f58753 | Donghe-Zhu | 2021-03-10 |
| f2a7146 | Donghe-Zhu | 2021-03-10 |
| fd528ed | Donghe-Zhu | 2021-03-10 |
| 9d5a62c | Donghe-Zhu | 2021-03-10 |
| 5d1e70b | Donghe-Zhu | 2021-03-10 |
| 2093979 | Donghe-Zhu | 2021-03-10 |
| b865899 | Donghe-Zhu | 2021-03-10 |
| cc2a956 | Donghe-Zhu | 2021-03-10 |
| 60689fb | Donghe-Zhu | 2021-03-10 |
| dba33c8 | Donghe-Zhu | 2021-03-09 |
| 17f1c4a | Donghe-Zhu | 2021-03-09 |
| c024d1a | Donghe-Zhu | 2021-03-09 |
| 02f7242 | Donghe-Zhu | 2021-03-09 |
| 6f50bc6 | Donghe-Zhu | 2021-03-09 |
| 1691156 | Donghe-Zhu | 2021-03-08 |
| c0ceaf8 | Donghe-Zhu | 2021-03-08 |
| 058e0a1 | Donghe-Zhu | 2021-03-08 |
| 112dea0 | Donghe-Zhu | 2021-03-08 |
| 1843412 | Donghe-Zhu | 2021-03-08 |
| 3fbbfa4 | Donghe-Zhu | 2021-03-07 |
| 627c8fb | Donghe-Zhu | 2021-03-07 |
| 9ef3222 | Donghe-Zhu | 2021-03-05 |
| 8c1e978 | Donghe-Zhu | 2021-03-05 |
| 865f68c | Donghe-Zhu | 2021-03-05 |
| ee69bc1 | Donghe-Zhu | 2021-03-05 |
| a79291f | Donghe-Zhu | 2021-03-05 |
| e8c6f30 | Donghe-Zhu | 2021-03-04 |
| 59288fe | Donghe-Zhu | 2021-03-04 |
| 731abc8 | Donghe-Zhu | 2021-03-04 |
| e2a5a33 | Donghe-Zhu | 2021-03-04 |
| c7892c1 | Donghe-Zhu | 2021-03-04 |
| 924430b | Donghe-Zhu | 2021-03-03 |
| 0d0bca1 | Donghe-Zhu | 2021-03-03 |
| cb63c16 | Donghe-Zhu | 2021-03-03 |
| ffda45a | Donghe-Zhu | 2021-03-03 |
| 691ba81 | Donghe-Zhu | 2021-03-03 |
| c5e45a2 | Donghe-Zhu | 2021-03-03 |
| 89c3e58 | Donghe-Zhu | 2021-03-03 |
| c407a50 | Donghe-Zhu | 2021-03-03 |
| c911669 | Donghe-Zhu | 2021-03-03 |
| b71c719 | Donghe-Zhu | 2021-03-01 |
| 13666ca | Donghe-Zhu | 2021-03-01 |
| c6e60fe | Donghe-Zhu | 2021-03-01 |
| 7a388f7 | Donghe-Zhu | 2021-03-01 |
| 799e913 | Donghe-Zhu | 2021-03-01 |
| 66ff99f | Donghe-Zhu | 2021-03-01 |
| ac9bb7a | Donghe-Zhu | 2021-02-28 |
| efdc047 | Donghe-Zhu | 2021-02-28 |
| e9a7418 | Donghe-Zhu | 2021-02-28 |
| e152917 | Donghe-Zhu | 2021-02-28 |
| 287123c | Donghe-Zhu | 2021-02-27 |
| 54d5b5b | Donghe-Zhu | 2021-02-27 |
| 330f064 | Donghe-Zhu | 2021-02-27 |
| adbc9bc | Donghe-Zhu | 2021-02-27 |
| 5937141 | Donghe-Zhu | 2021-02-27 |
| 4414bbf | Donghe-Zhu | 2021-02-27 |
| a265efb | Donghe-Zhu | 2021-02-27 |
| 19edd1e | Donghe-Zhu | 2021-02-27 |
| f20483f | Donghe-Zhu | 2021-02-26 |
| 6a2c7b3 | Donghe-Zhu | 2021-02-25 |
| 354c224 | Donghe-Zhu | 2021-02-24 |
| 1a0a88a | Donghe-Zhu | 2021-02-24 |
| 57f701e | Donghe-Zhu | 2021-02-24 |
| 06f3149 | Donghe-Zhu | 2021-02-16 |
| 401eab3 | Donghe-Zhu | 2021-02-15 |
| e3bba84 | Donghe-Zhu | 2021-02-15 |
| 5dce4b1 | Donghe-Zhu | 2021-02-15 |
| 4469a0c | Donghe-Zhu | 2021-02-13 |
| 5ae6a69 | Donghe-Zhu | 2021-02-10 |
| 05385dc | Donghe-Zhu | 2021-02-10 |
| f791ae4 | Donghe-Zhu | 2021-02-09 |
| f71ae34 | Donghe-Zhu | 2021-02-09 |
| c011832 | Donghe-Zhu | 2021-02-09 |
| a145fa7 | Donghe-Zhu | 2021-02-09 |
| c344e42 | Donghe-Zhu | 2021-02-08 |
| 2f095d7 | Donghe-Zhu | 2021-02-07 |
| 2305044 | Donghe-Zhu | 2021-02-07 |
| 1fad5f1 | Donghe-Zhu | 2021-02-07 |
| ca03c39 | Donghe-Zhu | 2021-02-07 |
| e2ffc14 | Donghe-Zhu | 2021-02-05 |
| cd7c52c | Donghe-Zhu | 2021-02-04 |
| bcf84f4 | Donghe-Zhu | 2021-02-02 |
| a518739 | Donghe-Zhu | 2021-02-01 |
| 61666de | Donghe-Zhu | 2021-01-31 |
| 865b582 | Donghe-Zhu | 2021-01-31 |
| 3e68089 | Donghe-Zhu | 2021-01-31 |
| ecf335c | Donghe-Zhu | 2021-01-31 |
| a618965 | Donghe-Zhu | 2021-01-31 |
| 59e006e | Donghe-Zhu | 2021-01-31 |
| a1c8f87 | Donghe-Zhu | 2021-01-31 |
| ae5c18f | Donghe-Zhu | 2021-01-31 |
| b50fe52 | Donghe-Zhu | 2021-01-31 |
| ac99ae5 | jens-daniel-mueller | 2021-01-29 |
| b5bdcaf | Donghe-Zhu | 2021-01-29 |
| 442010d | Donghe-Zhu | 2021-01-29 |
| 372adf5 | Donghe-Zhu | 2021-01-29 |
| af8788e | Donghe-Zhu | 2021-01-29 |
| 21c91c9 | Donghe-Zhu | 2021-01-29 |
| eded038 | Donghe-Zhu | 2021-01-29 |
| 541d4dd | Donghe-Zhu | 2021-01-29 |
| 6a75576 | Donghe-Zhu | 2021-01-28 |
| 16fba40 | Donghe-Zhu | 2021-01-28 |
| 12bc567 | Donghe-Zhu | 2021-01-27 |
| ceed31b | Donghe-Zhu | 2021-01-27 |
| 342402d | Donghe-Zhu | 2021-01-27 |
| 5bad5c2 | Donghe-Zhu | 2021-01-27 |
| 61efb56 | Donghe-Zhu | 2021-01-25 |
| 48f638e | Donghe-Zhu | 2021-01-25 |
| c1cec47 | Donghe-Zhu | 2021-01-25 |
| 05ffb0c | Donghe-Zhu | 2021-01-25 |
| 8b97165 | Donghe-Zhu | 2021-01-25 |
| c569946 | Donghe-Zhu | 2021-01-24 |
| a2f0d56 | Donghe-Zhu | 2021-01-23 |
| 28509fc | Donghe-Zhu | 2021-01-23 |
| 4c28e4a | Donghe-Zhu | 2021-01-22 |
| 24cc264 | jens-daniel-mueller | 2021-01-22 |
| 7891955 | Donghe-Zhu | 2021-01-21 |
| d4cf1cb | Donghe-Zhu | 2021-01-21 |
| 1f3e5b6 | jens-daniel-mueller | 2021-01-20 |
| 0e7bdf1 | jens-daniel-mueller | 2021-01-15 |
| 4571843 | jens-daniel-mueller | 2021-01-14 |
| b3564aa | jens-daniel-mueller | 2021-01-14 |
| 8d032c3 | jens-daniel-mueller | 2021-01-14 |
| 022871c | Donghe-Zhu | 2021-01-13 |

| Version | Author | Date |
|---|---|---|
| 90f70da | Donghe-Zhu | 2021-08-06 |
| 496fa02 | Donghe-Zhu | 2021-08-05 |
| 19ecfe2 | Donghe-Zhu | 2021-08-05 |
| 3253031 | Donghe-Zhu | 2021-08-05 |
| 6c70952 | Donghe-Zhu | 2021-08-01 |
| 2666bd7 | Donghe-Zhu | 2021-08-01 |
| e51cfa2 | Donghe-Zhu | 2021-08-01 |
| 78cbc18 | Donghe-Zhu | 2021-08-01 |
| c55d4d7 | Donghe-Zhu | 2021-08-01 |
| 26741db | Donghe-Zhu | 2021-08-01 |
| ca539b5 | Donghe-Zhu | 2021-08-01 |
| 1e98138 | Donghe-Zhu | 2021-08-01 |
| 777b9e9 | Donghe-Zhu | 2021-08-01 |
| 3611a48 | Donghe-Zhu | 2021-08-01 |
| af832ef | Donghe-Zhu | 2021-07-31 |
| 016f9ed | Donghe-Zhu | 2021-07-31 |
| 2080ac5 | Donghe-Zhu | 2021-07-31 |
| 50f0a16 | Donghe-Zhu | 2021-07-31 |
| 1682579 | Donghe-Zhu | 2021-07-31 |
| 9fa8832 | Donghe-Zhu | 2021-07-31 |
| 4abf542 | Donghe-Zhu | 2021-07-31 |
| a2483f0 | Donghe-Zhu | 2021-07-31 |
| 3300527 | Donghe-Zhu | 2021-07-31 |
| afeb6fd | Donghe-Zhu | 2021-07-31 |
| cb3ef32 | Donghe-Zhu | 2021-07-31 |
| 6528618 | Donghe-Zhu | 2021-07-31 |
| f50925e | Donghe-Zhu | 2021-07-31 |
| f4de2f3 | Donghe-Zhu | 2021-07-30 |
| 43bc7b4 | Donghe-Zhu | 2021-07-30 |
| f8c34a8 | Donghe-Zhu | 2021-07-30 |
| 4f897c4 | Donghe-Zhu | 2021-07-30 |
| 0f6e960 | Donghe-Zhu | 2021-07-30 |
| fe067ea | Donghe-Zhu | 2021-07-30 |
| fbca39a | Donghe-Zhu | 2021-07-30 |
| f945f95 | Donghe-Zhu | 2021-07-30 |
| a3006cd | Donghe-Zhu | 2021-07-30 |
| a55ffdc | Donghe-Zhu | 2021-07-30 |
| d5e4458 | Donghe-Zhu | 2021-07-30 |
| 10a97ef | Donghe-Zhu | 2021-07-30 |
| 1c501fd | Donghe-Zhu | 2021-07-30 |
| 68bce3f | Donghe-Zhu | 2021-07-30 |
| 400c457 | Donghe-Zhu | 2021-07-29 |
| 3ba7852 | Donghe-Zhu | 2021-07-29 |
| ec68363 | Donghe-Zhu | 2021-07-28 |
| d3018f6 | Donghe-Zhu | 2021-07-28 |
| b8ba2c4 | Donghe-Zhu | 2021-07-28 |
| a4ddd84 | Donghe-Zhu | 2021-07-27 |
| 7ef49ab | Donghe-Zhu | 2021-07-27 |
| da818c0 | Donghe-Zhu | 2021-07-27 |
| 8623898 | Donghe-Zhu | 2021-07-27 |
| f84b77c | Donghe-Zhu | 2021-07-27 |
| 70ad9a5 | Donghe-Zhu | 2021-07-27 |
| 0d0b48d | Donghe-Zhu | 2021-07-27 |
| d0d97c6 | Donghe-Zhu | 2021-07-27 |
| 829510d | Donghe-Zhu | 2021-07-27 |
| 780627d | Donghe-Zhu | 2021-07-27 |
| e9838c9 | Donghe-Zhu | 2021-07-27 |
| 2777f33 | Donghe-Zhu | 2021-07-27 |
| d19760f | Donghe-Zhu | 2021-07-27 |
| cac5680 | Donghe-Zhu | 2021-07-23 |
| 7bb279a | Donghe-Zhu | 2021-07-23 |
| d52eac4 | Donghe-Zhu | 2021-07-23 |
| dcf34b1 | Donghe-Zhu | 2021-07-23 |
| 419cb72 | Donghe-Zhu | 2021-07-22 |
| 9447d10 | Donghe-Zhu | 2021-07-22 |
| 639c9a0 | Donghe-Zhu | 2021-07-22 |
| 25bb96f | Donghe-Zhu | 2021-07-22 |
| cdc98a3 | Donghe-Zhu | 2021-07-22 |
| e4805a1 | Donghe-Zhu | 2021-07-22 |
| 7957fd1 | Donghe-Zhu | 2021-07-21 |
| b94be4e | Donghe-Zhu | 2021-07-21 |
| 9950e70 | Donghe-Zhu | 2021-07-21 |
| 698b6f0 | Donghe-Zhu | 2021-07-20 |
| d84a1cb | Donghe-Zhu | 2021-07-20 |
| 4dce223 | Donghe-Zhu | 2021-07-20 |
| 6f28c0c | Donghe-Zhu | 2021-07-20 |
| db1e7b7 | Donghe-Zhu | 2021-07-19 |
| ff0575d | Donghe-Zhu | 2021-07-19 |
| 5d60eac | Donghe-Zhu | 2021-07-19 |
| 57d0420 | Donghe-Zhu | 2021-07-16 |
| c1be8f6 | Donghe-Zhu | 2021-07-16 |
| 26a7c15 | Donghe-Zhu | 2021-07-16 |
| 046902b | Donghe-Zhu | 2021-07-16 |
| 3d4ac14 | Donghe-Zhu | 2021-07-15 |
| be6fff9 | Donghe-Zhu | 2021-07-15 |
| b473472 | Donghe-Zhu | 2021-07-15 |
| 363270a | Donghe-Zhu | 2021-07-15 |
| 8b75a03 | Donghe-Zhu | 2021-07-15 |
| a01e135 | Donghe-Zhu | 2021-07-07 |
| bc83ef2 | Donghe-Zhu | 2021-07-07 |
| 75e7b07 | Donghe-Zhu | 2021-07-06 |
| 697aa6d | Donghe-Zhu | 2021-07-06 |
| d52e2de | Donghe-Zhu | 2021-07-06 |
| f2bde6b | Donghe-Zhu | 2021-07-06 |
| 1133f28 | Donghe-Zhu | 2021-07-06 |
| fe3a1cd | Donghe-Zhu | 2021-07-06 |
| d9cdf15 | Donghe-Zhu | 2021-07-06 |
| ee4cd2d | Donghe-Zhu | 2021-07-06 |
| 93821c1 | Donghe-Zhu | 2021-07-05 |
| d44db8e | Donghe-Zhu | 2021-07-05 |
| 20b3436 | Donghe-Zhu | 2021-07-05 |
| d982ea5 | Donghe-Zhu | 2021-07-05 |
| 7397e53 | Donghe-Zhu | 2021-07-05 |
| f2e4805 | Donghe-Zhu | 2021-07-05 |
| e2d011a | Donghe-Zhu | 2021-07-05 |
| 85e0349 | Donghe-Zhu | 2021-07-05 |
| 6ee0146 | Donghe-Zhu | 2021-07-05 |
| a482a6b | Donghe-Zhu | 2021-07-05 |
| f59f1b3 | Donghe-Zhu | 2021-07-05 |
| 116bcab | Donghe-Zhu | 2021-07-04 |
| cb1c8dc | Donghe-Zhu | 2021-07-04 |
| c9bdd83 | Donghe-Zhu | 2021-07-04 |
| 1920ad9 | Donghe-Zhu | 2021-07-04 |
| 0b02791 | Donghe-Zhu | 2021-06-25 |
| caf62d8 | Donghe-Zhu | 2021-06-25 |
| 90a9da5 | Donghe-Zhu | 2021-06-25 |
| bb413c8 | Donghe-Zhu | 2021-06-25 |
| e7a5266 | Donghe-Zhu | 2021-06-24 |
| 7c57720 | Donghe-Zhu | 2021-06-24 |
| b5b95a9 | Donghe-Zhu | 2021-06-24 |
| 472aad4 | Donghe-Zhu | 2021-06-24 |
| d517836 | Donghe-Zhu | 2021-06-24 |
| 9221bfe | Donghe-Zhu | 2021-06-24 |
| bff5fbf | Donghe-Zhu | 2021-06-23 |
| 256a616 | Donghe-Zhu | 2021-06-23 |
| 00072e2 | Donghe-Zhu | 2021-06-23 |
| 7431530 | Donghe-Zhu | 2021-06-20 |
| d20c383 | Donghe-Zhu | 2021-06-18 |
| b0874a2 | Donghe-Zhu | 2021-06-17 |
| 72c2f2e | Donghe-Zhu | 2021-06-15 |
| d97dcb6 | Donghe-Zhu | 2021-06-08 |
| 25dda1d | Donghe-Zhu | 2021-06-08 |
| bd2bcc3 | Donghe-Zhu | 2021-06-08 |
| e9b27d7 | Donghe-Zhu | 2021-06-07 |
| 7ae0d4b | Donghe-Zhu | 2021-06-07 |
| 325391f | Donghe-Zhu | 2021-06-07 |
| ed89970 | Donghe-Zhu | 2021-06-07 |
| df37958 | Donghe-Zhu | 2021-06-07 |
| 812bf63 | Donghe-Zhu | 2021-06-06 |
| 65c89c8 | Donghe-Zhu | 2021-06-06 |
| 9baa3b2 | Donghe-Zhu | 2021-06-06 |
| b7d99cf | Donghe-Zhu | 2021-06-06 |
| 5d8fa90 | Donghe-Zhu | 2021-06-06 |
| dbe2a95 | Donghe-Zhu | 2021-05-28 |
| d50b039 | Donghe-Zhu | 2021-05-28 |
| 441ebe5 | Donghe-Zhu | 2021-05-28 |
| 6262ad3 | Donghe-Zhu | 2021-05-28 |
| a61aa77 | Donghe-Zhu | 2021-05-28 |
| b8dbce4 | Donghe-Zhu | 2021-05-28 |
| 94a833e | Donghe-Zhu | 2021-05-27 |
| 5e0bd64 | Donghe-Zhu | 2021-05-27 |
| af1eadd | Donghe-Zhu | 2021-05-27 |
| 9179bfe | Donghe-Zhu | 2021-05-27 |
| 28cbe5e | Donghe-Zhu | 2021-05-27 |
| a618f02 | Donghe-Zhu | 2021-05-27 |
| 4623e38 | Donghe-Zhu | 2021-05-27 |
| b81bb49 | Donghe-Zhu | 2021-05-27 |
| 951e188 | Donghe-Zhu | 2021-05-27 |
| e377833 | Donghe-Zhu | 2021-05-26 |
| 2705a04 | Donghe-Zhu | 2021-03-28 |
| cd5f759 | Donghe-Zhu | 2021-03-28 |
| 75dda4d | Donghe-Zhu | 2021-03-27 |
| 0b19f6e | Donghe-Zhu | 2021-03-27 |
| e2704ca | Donghe-Zhu | 2021-03-27 |
| 3061a0b | Donghe-Zhu | 2021-03-27 |
| b883157 | Donghe-Zhu | 2021-03-27 |
| d19654d | Donghe-Zhu | 2021-03-26 |
| 6c53dbf | Donghe-Zhu | 2021-03-25 |
| 1914a11 | Donghe-Zhu | 2021-03-24 |
| 8be810e | Donghe-Zhu | 2021-03-23 |
| bf19764 | Donghe-Zhu | 2021-03-22 |
| 3ec9d3d | Donghe-Zhu | 2021-03-22 |
| 134ace1 | Donghe-Zhu | 2021-03-22 |
| f6d70a4 | Donghe-Zhu | 2021-03-22 |
| 183443b | Donghe-Zhu | 2021-03-21 |
| 2e6976b | Donghe-Zhu | 2021-03-21 |
| 51a42bd | Donghe-Zhu | 2021-03-16 |
| f745381 | Donghe-Zhu | 2021-03-16 |
| aecbf75 | Donghe-Zhu | 2021-03-14 |
| 1b2a0c2 | Donghe-Zhu | 2021-03-14 |
| 6733e48 | Donghe-Zhu | 2021-03-12 |
| ba71e6a | Donghe-Zhu | 2021-03-12 |
| 9dbf5bd | Donghe-Zhu | 2021-03-11 |
| a49df30 | Donghe-Zhu | 2021-03-11 |
| b3348a5 | Donghe-Zhu | 2021-03-11 |
| 1c24ff7 | Donghe-Zhu | 2021-03-10 |
| 94ce5a8 | Donghe-Zhu | 2021-03-10 |
| db33928 | Donghe-Zhu | 2021-03-10 |
| 3d1f470 | Donghe-Zhu | 2021-03-10 |
| 9b7bc66 | Donghe-Zhu | 2021-03-10 |
| 4168b43 | Donghe-Zhu | 2021-03-10 |
| 5365f80 | Donghe-Zhu | 2021-03-10 |
| 2b6c392 | Donghe-Zhu | 2021-03-10 |
| 9f58753 | Donghe-Zhu | 2021-03-10 |
| f2a7146 | Donghe-Zhu | 2021-03-10 |
| fd528ed | Donghe-Zhu | 2021-03-10 |
| 9d5a62c | Donghe-Zhu | 2021-03-10 |
| 5d1e70b | Donghe-Zhu | 2021-03-10 |
| 2093979 | Donghe-Zhu | 2021-03-10 |
| b865899 | Donghe-Zhu | 2021-03-10 |
| cc2a956 | Donghe-Zhu | 2021-03-10 |
| 60689fb | Donghe-Zhu | 2021-03-10 |
| dba33c8 | Donghe-Zhu | 2021-03-09 |
| 17f1c4a | Donghe-Zhu | 2021-03-09 |
| c024d1a | Donghe-Zhu | 2021-03-09 |
| 02f7242 | Donghe-Zhu | 2021-03-09 |
| 6f50bc6 | Donghe-Zhu | 2021-03-09 |
| 1691156 | Donghe-Zhu | 2021-03-08 |
| c0ceaf8 | Donghe-Zhu | 2021-03-08 |
| 058e0a1 | Donghe-Zhu | 2021-03-08 |
| 112dea0 | Donghe-Zhu | 2021-03-08 |
| 1843412 | Donghe-Zhu | 2021-03-08 |
| 3fbbfa4 | Donghe-Zhu | 2021-03-07 |
| 627c8fb | Donghe-Zhu | 2021-03-07 |
| 9ef3222 | Donghe-Zhu | 2021-03-05 |
| 8c1e978 | Donghe-Zhu | 2021-03-05 |
| 865f68c | Donghe-Zhu | 2021-03-05 |
| ee69bc1 | Donghe-Zhu | 2021-03-05 |
| a79291f | Donghe-Zhu | 2021-03-05 |
| e8c6f30 | Donghe-Zhu | 2021-03-04 |
| 59288fe | Donghe-Zhu | 2021-03-04 |
| 731abc8 | Donghe-Zhu | 2021-03-04 |
| e2a5a33 | Donghe-Zhu | 2021-03-04 |
| c7892c1 | Donghe-Zhu | 2021-03-04 |
| 924430b | Donghe-Zhu | 2021-03-03 |
| 0d0bca1 | Donghe-Zhu | 2021-03-03 |
| cb63c16 | Donghe-Zhu | 2021-03-03 |
| ffda45a | Donghe-Zhu | 2021-03-03 |
| 691ba81 | Donghe-Zhu | 2021-03-03 |
| c5e45a2 | Donghe-Zhu | 2021-03-03 |
| 89c3e58 | Donghe-Zhu | 2021-03-03 |
| c407a50 | Donghe-Zhu | 2021-03-03 |
| c911669 | Donghe-Zhu | 2021-03-03 |
| b71c719 | Donghe-Zhu | 2021-03-01 |
| 13666ca | Donghe-Zhu | 2021-03-01 |
| c6e60fe | Donghe-Zhu | 2021-03-01 |
| 7a388f7 | Donghe-Zhu | 2021-03-01 |
| 799e913 | Donghe-Zhu | 2021-03-01 |
| 66ff99f | Donghe-Zhu | 2021-03-01 |
| ac9bb7a | Donghe-Zhu | 2021-02-28 |
| efdc047 | Donghe-Zhu | 2021-02-28 |
| e9a7418 | Donghe-Zhu | 2021-02-28 |
| e152917 | Donghe-Zhu | 2021-02-28 |
| 287123c | Donghe-Zhu | 2021-02-27 |
| 54d5b5b | Donghe-Zhu | 2021-02-27 |
| 330f064 | Donghe-Zhu | 2021-02-27 |
| adbc9bc | Donghe-Zhu | 2021-02-27 |
| 5937141 | Donghe-Zhu | 2021-02-27 |
| 4414bbf | Donghe-Zhu | 2021-02-27 |
| a265efb | Donghe-Zhu | 2021-02-27 |
| 19edd1e | Donghe-Zhu | 2021-02-27 |
| f20483f | Donghe-Zhu | 2021-02-26 |
| 6a2c7b3 | Donghe-Zhu | 2021-02-25 |
| 354c224 | Donghe-Zhu | 2021-02-24 |
| 1a0a88a | Donghe-Zhu | 2021-02-24 |
| 57f701e | Donghe-Zhu | 2021-02-24 |
| 06f3149 | Donghe-Zhu | 2021-02-16 |
| 401eab3 | Donghe-Zhu | 2021-02-15 |
| e3bba84 | Donghe-Zhu | 2021-02-15 |
| 5dce4b1 | Donghe-Zhu | 2021-02-15 |
| 4469a0c | Donghe-Zhu | 2021-02-13 |
| 5ae6a69 | Donghe-Zhu | 2021-02-10 |
| 05385dc | Donghe-Zhu | 2021-02-10 |
| f791ae4 | Donghe-Zhu | 2021-02-09 |
| f71ae34 | Donghe-Zhu | 2021-02-09 |
| c011832 | Donghe-Zhu | 2021-02-09 |
| a145fa7 | Donghe-Zhu | 2021-02-09 |
| c344e42 | Donghe-Zhu | 2021-02-08 |
| 2f095d7 | Donghe-Zhu | 2021-02-07 |
| 2305044 | Donghe-Zhu | 2021-02-07 |
| 1fad5f1 | Donghe-Zhu | 2021-02-07 |
| ca03c39 | Donghe-Zhu | 2021-02-07 |
| e2ffc14 | Donghe-Zhu | 2021-02-05 |
| cd7c52c | Donghe-Zhu | 2021-02-04 |
| bcf84f4 | Donghe-Zhu | 2021-02-02 |
| a518739 | Donghe-Zhu | 2021-02-01 |
| 61666de | Donghe-Zhu | 2021-01-31 |
| 865b582 | Donghe-Zhu | 2021-01-31 |
| 3e68089 | Donghe-Zhu | 2021-01-31 |
| ecf335c | Donghe-Zhu | 2021-01-31 |
| a618965 | Donghe-Zhu | 2021-01-31 |
| 59e006e | Donghe-Zhu | 2021-01-31 |
| a1c8f87 | Donghe-Zhu | 2021-01-31 |
| ae5c18f | Donghe-Zhu | 2021-01-31 |
| b50fe52 | Donghe-Zhu | 2021-01-31 |
| ac99ae5 | jens-daniel-mueller | 2021-01-29 |
| b5bdcaf | Donghe-Zhu | 2021-01-29 |
| 442010d | Donghe-Zhu | 2021-01-29 |
| 372adf5 | Donghe-Zhu | 2021-01-29 |
| af8788e | Donghe-Zhu | 2021-01-29 |
| 21c91c9 | Donghe-Zhu | 2021-01-29 |
| eded038 | Donghe-Zhu | 2021-01-29 |
| 541d4dd | Donghe-Zhu | 2021-01-29 |
| 6a75576 | Donghe-Zhu | 2021-01-28 |
| 16fba40 | Donghe-Zhu | 2021-01-28 |
| 12bc567 | Donghe-Zhu | 2021-01-27 |
| ceed31b | Donghe-Zhu | 2021-01-27 |
| 342402d | Donghe-Zhu | 2021-01-27 |
| 5bad5c2 | Donghe-Zhu | 2021-01-27 |
| 61efb56 | Donghe-Zhu | 2021-01-25 |
| 48f638e | Donghe-Zhu | 2021-01-25 |
| c1cec47 | Donghe-Zhu | 2021-01-25 |
| 05ffb0c | Donghe-Zhu | 2021-01-25 |
| 8b97165 | Donghe-Zhu | 2021-01-25 |
| c569946 | Donghe-Zhu | 2021-01-24 |
| a2f0d56 | Donghe-Zhu | 2021-01-23 |
| 28509fc | Donghe-Zhu | 2021-01-23 |
| 4c28e4a | Donghe-Zhu | 2021-01-22 |
| 24cc264 | jens-daniel-mueller | 2021-01-22 |
| 7891955 | Donghe-Zhu | 2021-01-21 |
| d4cf1cb | Donghe-Zhu | 2021-01-21 |
| 1f3e5b6 | jens-daniel-mueller | 2021-01-20 |
| 0e7bdf1 | jens-daniel-mueller | 2021-01-15 |
| 4571843 | jens-daniel-mueller | 2021-01-14 |
| b3564aa | jens-daniel-mueller | 2021-01-14 |
| 8d032c3 | jens-daniel-mueller | 2021-01-14 |
| 022871c | Donghe-Zhu | 2021-01-13 |

| Version | Author | Date |
|---|---|---|
| 90f70da | Donghe-Zhu | 2021-08-06 |
| 496fa02 | Donghe-Zhu | 2021-08-05 |
| 19ecfe2 | Donghe-Zhu | 2021-08-05 |
| 3253031 | Donghe-Zhu | 2021-08-05 |
| 6c70952 | Donghe-Zhu | 2021-08-01 |
| 2666bd7 | Donghe-Zhu | 2021-08-01 |
| e51cfa2 | Donghe-Zhu | 2021-08-01 |
| 78cbc18 | Donghe-Zhu | 2021-08-01 |
| c55d4d7 | Donghe-Zhu | 2021-08-01 |
| 50f0a16 | Donghe-Zhu | 2021-07-31 |
| 1682579 | Donghe-Zhu | 2021-07-31 |
| 9fa8832 | Donghe-Zhu | 2021-07-31 |
| 4abf542 | Donghe-Zhu | 2021-07-31 |
| a2483f0 | Donghe-Zhu | 2021-07-31 |
| 3300527 | Donghe-Zhu | 2021-07-31 |
| afeb6fd | Donghe-Zhu | 2021-07-31 |
| cb3ef32 | Donghe-Zhu | 2021-07-31 |
| 6528618 | Donghe-Zhu | 2021-07-31 |
| f50925e | Donghe-Zhu | 2021-07-31 |
| f4de2f3 | Donghe-Zhu | 2021-07-30 |
| 43bc7b4 | Donghe-Zhu | 2021-07-30 |
| f8c34a8 | Donghe-Zhu | 2021-07-30 |
| 4f897c4 | Donghe-Zhu | 2021-07-30 |
| 0f6e960 | Donghe-Zhu | 2021-07-30 |
| fe067ea | Donghe-Zhu | 2021-07-30 |
| fbca39a | Donghe-Zhu | 2021-07-30 |
| f945f95 | Donghe-Zhu | 2021-07-30 |
| a3006cd | Donghe-Zhu | 2021-07-30 |
| a55ffdc | Donghe-Zhu | 2021-07-30 |
| d5e4458 | Donghe-Zhu | 2021-07-30 |
| 10a97ef | Donghe-Zhu | 2021-07-30 |
| 1c501fd | Donghe-Zhu | 2021-07-30 |
| 68bce3f | Donghe-Zhu | 2021-07-30 |
| 400c457 | Donghe-Zhu | 2021-07-29 |
| 3ba7852 | Donghe-Zhu | 2021-07-29 |
| ec68363 | Donghe-Zhu | 2021-07-28 |
| d3018f6 | Donghe-Zhu | 2021-07-28 |
| b8ba2c4 | Donghe-Zhu | 2021-07-28 |
| a4ddd84 | Donghe-Zhu | 2021-07-27 |
| 7ef49ab | Donghe-Zhu | 2021-07-27 |
| da818c0 | Donghe-Zhu | 2021-07-27 |
| 8623898 | Donghe-Zhu | 2021-07-27 |
| f84b77c | Donghe-Zhu | 2021-07-27 |
| 70ad9a5 | Donghe-Zhu | 2021-07-27 |
| 0d0b48d | Donghe-Zhu | 2021-07-27 |
| d0d97c6 | Donghe-Zhu | 2021-07-27 |
| 829510d | Donghe-Zhu | 2021-07-27 |
| 780627d | Donghe-Zhu | 2021-07-27 |
| e9838c9 | Donghe-Zhu | 2021-07-27 |
| 2777f33 | Donghe-Zhu | 2021-07-27 |
| d19760f | Donghe-Zhu | 2021-07-27 |
| cac5680 | Donghe-Zhu | 2021-07-23 |
| 7bb279a | Donghe-Zhu | 2021-07-23 |
| d52eac4 | Donghe-Zhu | 2021-07-23 |
| dcf34b1 | Donghe-Zhu | 2021-07-23 |
| 419cb72 | Donghe-Zhu | 2021-07-22 |
| 9447d10 | Donghe-Zhu | 2021-07-22 |
| 639c9a0 | Donghe-Zhu | 2021-07-22 |
| 25bb96f | Donghe-Zhu | 2021-07-22 |
| cdc98a3 | Donghe-Zhu | 2021-07-22 |
| e4805a1 | Donghe-Zhu | 2021-07-22 |
| 7957fd1 | Donghe-Zhu | 2021-07-21 |
| b94be4e | Donghe-Zhu | 2021-07-21 |
| 9950e70 | Donghe-Zhu | 2021-07-21 |
| 698b6f0 | Donghe-Zhu | 2021-07-20 |
| d84a1cb | Donghe-Zhu | 2021-07-20 |
| 4dce223 | Donghe-Zhu | 2021-07-20 |
| 6f28c0c | Donghe-Zhu | 2021-07-20 |
| db1e7b7 | Donghe-Zhu | 2021-07-19 |
| ff0575d | Donghe-Zhu | 2021-07-19 |
| 5d60eac | Donghe-Zhu | 2021-07-19 |
| 57d0420 | Donghe-Zhu | 2021-07-16 |
| c1be8f6 | Donghe-Zhu | 2021-07-16 |
| 26a7c15 | Donghe-Zhu | 2021-07-16 |
| 046902b | Donghe-Zhu | 2021-07-16 |
| 3d4ac14 | Donghe-Zhu | 2021-07-15 |
| be6fff9 | Donghe-Zhu | 2021-07-15 |
| b473472 | Donghe-Zhu | 2021-07-15 |
| 363270a | Donghe-Zhu | 2021-07-15 |
| 8b75a03 | Donghe-Zhu | 2021-07-15 |
| a01e135 | Donghe-Zhu | 2021-07-07 |
| bc83ef2 | Donghe-Zhu | 2021-07-07 |
| 75e7b07 | Donghe-Zhu | 2021-07-06 |
| 697aa6d | Donghe-Zhu | 2021-07-06 |
| d52e2de | Donghe-Zhu | 2021-07-06 |
| f2bde6b | Donghe-Zhu | 2021-07-06 |
| 1133f28 | Donghe-Zhu | 2021-07-06 |
| fe3a1cd | Donghe-Zhu | 2021-07-06 |
| d9cdf15 | Donghe-Zhu | 2021-07-06 |
| ee4cd2d | Donghe-Zhu | 2021-07-06 |
| 93821c1 | Donghe-Zhu | 2021-07-05 |
| d44db8e | Donghe-Zhu | 2021-07-05 |
| 20b3436 | Donghe-Zhu | 2021-07-05 |
| d982ea5 | Donghe-Zhu | 2021-07-05 |
| 7397e53 | Donghe-Zhu | 2021-07-05 |
| f2e4805 | Donghe-Zhu | 2021-07-05 |
| e2d011a | Donghe-Zhu | 2021-07-05 |
| 85e0349 | Donghe-Zhu | 2021-07-05 |
| 6ee0146 | Donghe-Zhu | 2021-07-05 |
| a482a6b | Donghe-Zhu | 2021-07-05 |
| f59f1b3 | Donghe-Zhu | 2021-07-05 |
| 116bcab | Donghe-Zhu | 2021-07-04 |
| cb1c8dc | Donghe-Zhu | 2021-07-04 |
| c9bdd83 | Donghe-Zhu | 2021-07-04 |
| 1920ad9 | Donghe-Zhu | 2021-07-04 |
| 0b02791 | Donghe-Zhu | 2021-06-25 |
| caf62d8 | Donghe-Zhu | 2021-06-25 |
| 90a9da5 | Donghe-Zhu | 2021-06-25 |
| bb413c8 | Donghe-Zhu | 2021-06-25 |
| e7a5266 | Donghe-Zhu | 2021-06-24 |
| 7c57720 | Donghe-Zhu | 2021-06-24 |
| b5b95a9 | Donghe-Zhu | 2021-06-24 |
| 472aad4 | Donghe-Zhu | 2021-06-24 |
| d517836 | Donghe-Zhu | 2021-06-24 |
| 9221bfe | Donghe-Zhu | 2021-06-24 |
| bff5fbf | Donghe-Zhu | 2021-06-23 |
| 256a616 | Donghe-Zhu | 2021-06-23 |
| 00072e2 | Donghe-Zhu | 2021-06-23 |
| 7431530 | Donghe-Zhu | 2021-06-20 |
| d20c383 | Donghe-Zhu | 2021-06-18 |
| b0874a2 | Donghe-Zhu | 2021-06-17 |
| 72c2f2e | Donghe-Zhu | 2021-06-15 |
| d97dcb6 | Donghe-Zhu | 2021-06-08 |
| 25dda1d | Donghe-Zhu | 2021-06-08 |
| bd2bcc3 | Donghe-Zhu | 2021-06-08 |
| e9b27d7 | Donghe-Zhu | 2021-06-07 |
| 7ae0d4b | Donghe-Zhu | 2021-06-07 |
| 325391f | Donghe-Zhu | 2021-06-07 |
| ed89970 | Donghe-Zhu | 2021-06-07 |
| df37958 | Donghe-Zhu | 2021-06-07 |
| 812bf63 | Donghe-Zhu | 2021-06-06 |
| 65c89c8 | Donghe-Zhu | 2021-06-06 |
| 9baa3b2 | Donghe-Zhu | 2021-06-06 |
| b7d99cf | Donghe-Zhu | 2021-06-06 |
| 5d8fa90 | Donghe-Zhu | 2021-06-06 |
| dbe2a95 | Donghe-Zhu | 2021-05-28 |
| d50b039 | Donghe-Zhu | 2021-05-28 |
| 441ebe5 | Donghe-Zhu | 2021-05-28 |
| 6262ad3 | Donghe-Zhu | 2021-05-28 |
| a61aa77 | Donghe-Zhu | 2021-05-28 |
| b8dbce4 | Donghe-Zhu | 2021-05-28 |
| 94a833e | Donghe-Zhu | 2021-05-27 |
| 5e0bd64 | Donghe-Zhu | 2021-05-27 |
| af1eadd | Donghe-Zhu | 2021-05-27 |
| 9179bfe | Donghe-Zhu | 2021-05-27 |
| 28cbe5e | Donghe-Zhu | 2021-05-27 |
| a618f02 | Donghe-Zhu | 2021-05-27 |
| 4623e38 | Donghe-Zhu | 2021-05-27 |
| b81bb49 | Donghe-Zhu | 2021-05-27 |
| 951e188 | Donghe-Zhu | 2021-05-27 |
| e377833 | Donghe-Zhu | 2021-05-26 |
| 2705a04 | Donghe-Zhu | 2021-03-28 |
| cd5f759 | Donghe-Zhu | 2021-03-28 |
| 75dda4d | Donghe-Zhu | 2021-03-27 |
| 0b19f6e | Donghe-Zhu | 2021-03-27 |
| e2704ca | Donghe-Zhu | 2021-03-27 |
| 3061a0b | Donghe-Zhu | 2021-03-27 |
| b883157 | Donghe-Zhu | 2021-03-27 |
| d19654d | Donghe-Zhu | 2021-03-26 |
| 6c53dbf | Donghe-Zhu | 2021-03-25 |
| 1914a11 | Donghe-Zhu | 2021-03-24 |
| 8be810e | Donghe-Zhu | 2021-03-23 |
| bf19764 | Donghe-Zhu | 2021-03-22 |
| 3ec9d3d | Donghe-Zhu | 2021-03-22 |
| 134ace1 | Donghe-Zhu | 2021-03-22 |
| f6d70a4 | Donghe-Zhu | 2021-03-22 |
| 183443b | Donghe-Zhu | 2021-03-21 |
| 2e6976b | Donghe-Zhu | 2021-03-21 |
| 51a42bd | Donghe-Zhu | 2021-03-16 |
| f745381 | Donghe-Zhu | 2021-03-16 |
| aecbf75 | Donghe-Zhu | 2021-03-14 |
| 1b2a0c2 | Donghe-Zhu | 2021-03-14 |
| 6733e48 | Donghe-Zhu | 2021-03-12 |
| ba71e6a | Donghe-Zhu | 2021-03-12 |
| 9dbf5bd | Donghe-Zhu | 2021-03-11 |
| a49df30 | Donghe-Zhu | 2021-03-11 |
| b3348a5 | Donghe-Zhu | 2021-03-11 |
| 1c24ff7 | Donghe-Zhu | 2021-03-10 |
| 94ce5a8 | Donghe-Zhu | 2021-03-10 |
| db33928 | Donghe-Zhu | 2021-03-10 |
| 3d1f470 | Donghe-Zhu | 2021-03-10 |
| 9b7bc66 | Donghe-Zhu | 2021-03-10 |
| 4168b43 | Donghe-Zhu | 2021-03-10 |
| 5365f80 | Donghe-Zhu | 2021-03-10 |
| 2b6c392 | Donghe-Zhu | 2021-03-10 |
| 9f58753 | Donghe-Zhu | 2021-03-10 |
| f2a7146 | Donghe-Zhu | 2021-03-10 |
| fd528ed | Donghe-Zhu | 2021-03-10 |
| 9d5a62c | Donghe-Zhu | 2021-03-10 |
| 5d1e70b | Donghe-Zhu | 2021-03-10 |
| 2093979 | Donghe-Zhu | 2021-03-10 |
| b865899 | Donghe-Zhu | 2021-03-10 |
| cc2a956 | Donghe-Zhu | 2021-03-10 |
| 60689fb | Donghe-Zhu | 2021-03-10 |
| dba33c8 | Donghe-Zhu | 2021-03-09 |
| 17f1c4a | Donghe-Zhu | 2021-03-09 |
| c024d1a | Donghe-Zhu | 2021-03-09 |
| 02f7242 | Donghe-Zhu | 2021-03-09 |
| 6f50bc6 | Donghe-Zhu | 2021-03-09 |
| 1691156 | Donghe-Zhu | 2021-03-08 |
| c0ceaf8 | Donghe-Zhu | 2021-03-08 |
| 058e0a1 | Donghe-Zhu | 2021-03-08 |
| 112dea0 | Donghe-Zhu | 2021-03-08 |
| 1843412 | Donghe-Zhu | 2021-03-08 |
| 3fbbfa4 | Donghe-Zhu | 2021-03-07 |
| 627c8fb | Donghe-Zhu | 2021-03-07 |
| 9ef3222 | Donghe-Zhu | 2021-03-05 |
| 8c1e978 | Donghe-Zhu | 2021-03-05 |
| 865f68c | Donghe-Zhu | 2021-03-05 |
| ee69bc1 | Donghe-Zhu | 2021-03-05 |
| a79291f | Donghe-Zhu | 2021-03-05 |
| e8c6f30 | Donghe-Zhu | 2021-03-04 |
| 59288fe | Donghe-Zhu | 2021-03-04 |
| 731abc8 | Donghe-Zhu | 2021-03-04 |
| e2a5a33 | Donghe-Zhu | 2021-03-04 |
| c7892c1 | Donghe-Zhu | 2021-03-04 |
| 924430b | Donghe-Zhu | 2021-03-03 |
| 0d0bca1 | Donghe-Zhu | 2021-03-03 |
| cb63c16 | Donghe-Zhu | 2021-03-03 |
| ffda45a | Donghe-Zhu | 2021-03-03 |
| 691ba81 | Donghe-Zhu | 2021-03-03 |
| c5e45a2 | Donghe-Zhu | 2021-03-03 |
| 89c3e58 | Donghe-Zhu | 2021-03-03 |
| c407a50 | Donghe-Zhu | 2021-03-03 |
| c911669 | Donghe-Zhu | 2021-03-03 |
| b71c719 | Donghe-Zhu | 2021-03-01 |
| 13666ca | Donghe-Zhu | 2021-03-01 |
| c6e60fe | Donghe-Zhu | 2021-03-01 |
| 7a388f7 | Donghe-Zhu | 2021-03-01 |
| 799e913 | Donghe-Zhu | 2021-03-01 |
| 66ff99f | Donghe-Zhu | 2021-03-01 |
| ac9bb7a | Donghe-Zhu | 2021-02-28 |
| efdc047 | Donghe-Zhu | 2021-02-28 |
| e9a7418 | Donghe-Zhu | 2021-02-28 |
| e152917 | Donghe-Zhu | 2021-02-28 |
| 287123c | Donghe-Zhu | 2021-02-27 |
| 54d5b5b | Donghe-Zhu | 2021-02-27 |
| 330f064 | Donghe-Zhu | 2021-02-27 |
| adbc9bc | Donghe-Zhu | 2021-02-27 |
| 5937141 | Donghe-Zhu | 2021-02-27 |
| 4414bbf | Donghe-Zhu | 2021-02-27 |
| a265efb | Donghe-Zhu | 2021-02-27 |
| 19edd1e | Donghe-Zhu | 2021-02-27 |
| f20483f | Donghe-Zhu | 2021-02-26 |
| 6a2c7b3 | Donghe-Zhu | 2021-02-25 |
| 354c224 | Donghe-Zhu | 2021-02-24 |
| 1a0a88a | Donghe-Zhu | 2021-02-24 |
| 57f701e | Donghe-Zhu | 2021-02-24 |
| 06f3149 | Donghe-Zhu | 2021-02-16 |
| 401eab3 | Donghe-Zhu | 2021-02-15 |
| e3bba84 | Donghe-Zhu | 2021-02-15 |
| 5dce4b1 | Donghe-Zhu | 2021-02-15 |
| 4469a0c | Donghe-Zhu | 2021-02-13 |
| 5ae6a69 | Donghe-Zhu | 2021-02-10 |
| 05385dc | Donghe-Zhu | 2021-02-10 |
| f791ae4 | Donghe-Zhu | 2021-02-09 |
| f71ae34 | Donghe-Zhu | 2021-02-09 |
| c011832 | Donghe-Zhu | 2021-02-09 |
| a145fa7 | Donghe-Zhu | 2021-02-09 |
| c344e42 | Donghe-Zhu | 2021-02-08 |
| 2f095d7 | Donghe-Zhu | 2021-02-07 |
| 2305044 | Donghe-Zhu | 2021-02-07 |
| 1fad5f1 | Donghe-Zhu | 2021-02-07 |
| ca03c39 | Donghe-Zhu | 2021-02-07 |
| e2ffc14 | Donghe-Zhu | 2021-02-05 |
| cd7c52c | Donghe-Zhu | 2021-02-04 |
| bcf84f4 | Donghe-Zhu | 2021-02-02 |
| a518739 | Donghe-Zhu | 2021-02-01 |
| 61666de | Donghe-Zhu | 2021-01-31 |
| 865b582 | Donghe-Zhu | 2021-01-31 |
| 3e68089 | Donghe-Zhu | 2021-01-31 |
| ecf335c | Donghe-Zhu | 2021-01-31 |
| a618965 | Donghe-Zhu | 2021-01-31 |
| 59e006e | Donghe-Zhu | 2021-01-31 |
| a1c8f87 | Donghe-Zhu | 2021-01-31 |
| ae5c18f | Donghe-Zhu | 2021-01-31 |
| b50fe52 | Donghe-Zhu | 2021-01-31 |
| ac99ae5 | jens-daniel-mueller | 2021-01-29 |
| b5bdcaf | Donghe-Zhu | 2021-01-29 |
| 442010d | Donghe-Zhu | 2021-01-29 |
| 372adf5 | Donghe-Zhu | 2021-01-29 |
| af8788e | Donghe-Zhu | 2021-01-29 |
| 21c91c9 | Donghe-Zhu | 2021-01-29 |
| eded038 | Donghe-Zhu | 2021-01-29 |
| 541d4dd | Donghe-Zhu | 2021-01-29 |
| 6a75576 | Donghe-Zhu | 2021-01-28 |
| 16fba40 | Donghe-Zhu | 2021-01-28 |
| 12bc567 | Donghe-Zhu | 2021-01-27 |
| ceed31b | Donghe-Zhu | 2021-01-27 |
| 342402d | Donghe-Zhu | 2021-01-27 |
| 5bad5c2 | Donghe-Zhu | 2021-01-27 |
| 61efb56 | Donghe-Zhu | 2021-01-25 |
| 48f638e | Donghe-Zhu | 2021-01-25 |
| c1cec47 | Donghe-Zhu | 2021-01-25 |
| 05ffb0c | Donghe-Zhu | 2021-01-25 |
| 8b97165 | Donghe-Zhu | 2021-01-25 |
| c569946 | Donghe-Zhu | 2021-01-24 |
| a2f0d56 | Donghe-Zhu | 2021-01-23 |
| 28509fc | Donghe-Zhu | 2021-01-23 |
| 4c28e4a | Donghe-Zhu | 2021-01-22 |
| 24cc264 | jens-daniel-mueller | 2021-01-22 |
| 7891955 | Donghe-Zhu | 2021-01-21 |
| d4cf1cb | Donghe-Zhu | 2021-01-21 |
| 1f3e5b6 | jens-daniel-mueller | 2021-01-20 |
| 0e7bdf1 | jens-daniel-mueller | 2021-01-15 |
| 4571843 | jens-daniel-mueller | 2021-01-14 |
| b3564aa | jens-daniel-mueller | 2021-01-14 |
| 8d032c3 | jens-daniel-mueller | 2021-01-14 |
| 022871c | Donghe-Zhu | 2021-01-13 |

| Version | Author | Date |
|---|---|---|
| 90f70da | Donghe-Zhu | 2021-08-06 |
| 496fa02 | Donghe-Zhu | 2021-08-05 |
| 19ecfe2 | Donghe-Zhu | 2021-08-05 |
| 3253031 | Donghe-Zhu | 2021-08-05 |
| 6c70952 | Donghe-Zhu | 2021-08-01 |
| 2666bd7 | Donghe-Zhu | 2021-08-01 |
| e51cfa2 | Donghe-Zhu | 2021-08-01 |
| 78cbc18 | Donghe-Zhu | 2021-08-01 |
| c55d4d7 | Donghe-Zhu | 2021-08-01 |
| 3300527 | Donghe-Zhu | 2021-07-31 |
| afeb6fd | Donghe-Zhu | 2021-07-31 |
| 0f6e960 | Donghe-Zhu | 2021-07-30 |
| fe067ea | Donghe-Zhu | 2021-07-30 |
| 68bce3f | Donghe-Zhu | 2021-07-30 |
| 400c457 | Donghe-Zhu | 2021-07-29 |
| 3ba7852 | Donghe-Zhu | 2021-07-29 |
| ec68363 | Donghe-Zhu | 2021-07-28 |
| d3018f6 | Donghe-Zhu | 2021-07-28 |
| b8ba2c4 | Donghe-Zhu | 2021-07-28 |
| a4ddd84 | Donghe-Zhu | 2021-07-27 |
| f84b77c | Donghe-Zhu | 2021-07-27 |
| 70ad9a5 | Donghe-Zhu | 2021-07-27 |
| 0d0b48d | Donghe-Zhu | 2021-07-27 |
| e9838c9 | Donghe-Zhu | 2021-07-27 |
| 2777f33 | Donghe-Zhu | 2021-07-27 |
| d19760f | Donghe-Zhu | 2021-07-27 |
| cac5680 | Donghe-Zhu | 2021-07-23 |
| 7bb279a | Donghe-Zhu | 2021-07-23 |
| d52eac4 | Donghe-Zhu | 2021-07-23 |
| dcf34b1 | Donghe-Zhu | 2021-07-23 |
| 419cb72 | Donghe-Zhu | 2021-07-22 |
| 9447d10 | Donghe-Zhu | 2021-07-22 |
| 639c9a0 | Donghe-Zhu | 2021-07-22 |
| 25bb96f | Donghe-Zhu | 2021-07-22 |
| cdc98a3 | Donghe-Zhu | 2021-07-22 |
| e4805a1 | Donghe-Zhu | 2021-07-22 |
| 7957fd1 | Donghe-Zhu | 2021-07-21 |
| b94be4e | Donghe-Zhu | 2021-07-21 |
| 9950e70 | Donghe-Zhu | 2021-07-21 |
| 698b6f0 | Donghe-Zhu | 2021-07-20 |
| d84a1cb | Donghe-Zhu | 2021-07-20 |
| 4dce223 | Donghe-Zhu | 2021-07-20 |
| 6f28c0c | Donghe-Zhu | 2021-07-20 |
| db1e7b7 | Donghe-Zhu | 2021-07-19 |
| ff0575d | Donghe-Zhu | 2021-07-19 |
| 5d60eac | Donghe-Zhu | 2021-07-19 |
| 57d0420 | Donghe-Zhu | 2021-07-16 |
| c1be8f6 | Donghe-Zhu | 2021-07-16 |
| 26a7c15 | Donghe-Zhu | 2021-07-16 |
| 046902b | Donghe-Zhu | 2021-07-16 |
| 3d4ac14 | Donghe-Zhu | 2021-07-15 |
| be6fff9 | Donghe-Zhu | 2021-07-15 |
| b473472 | Donghe-Zhu | 2021-07-15 |
| 363270a | Donghe-Zhu | 2021-07-15 |
| 8b75a03 | Donghe-Zhu | 2021-07-15 |
| a01e135 | Donghe-Zhu | 2021-07-07 |
| bc83ef2 | Donghe-Zhu | 2021-07-07 |
| 75e7b07 | Donghe-Zhu | 2021-07-06 |
| 697aa6d | Donghe-Zhu | 2021-07-06 |
| d52e2de | Donghe-Zhu | 2021-07-06 |
| f2bde6b | Donghe-Zhu | 2021-07-06 |
| 1133f28 | Donghe-Zhu | 2021-07-06 |
| fe3a1cd | Donghe-Zhu | 2021-07-06 |
| d9cdf15 | Donghe-Zhu | 2021-07-06 |
| ee4cd2d | Donghe-Zhu | 2021-07-06 |
| 93821c1 | Donghe-Zhu | 2021-07-05 |
| d44db8e | Donghe-Zhu | 2021-07-05 |
| 20b3436 | Donghe-Zhu | 2021-07-05 |
| d982ea5 | Donghe-Zhu | 2021-07-05 |
| 7397e53 | Donghe-Zhu | 2021-07-05 |
| f2e4805 | Donghe-Zhu | 2021-07-05 |
| e2d011a | Donghe-Zhu | 2021-07-05 |
| 85e0349 | Donghe-Zhu | 2021-07-05 |
| 6ee0146 | Donghe-Zhu | 2021-07-05 |
| a482a6b | Donghe-Zhu | 2021-07-05 |
| f59f1b3 | Donghe-Zhu | 2021-07-05 |
| 116bcab | Donghe-Zhu | 2021-07-04 |
| cb1c8dc | Donghe-Zhu | 2021-07-04 |
| c9bdd83 | Donghe-Zhu | 2021-07-04 |
| 1920ad9 | Donghe-Zhu | 2021-07-04 |
| 0b02791 | Donghe-Zhu | 2021-06-25 |
| caf62d8 | Donghe-Zhu | 2021-06-25 |
| 90a9da5 | Donghe-Zhu | 2021-06-25 |
| bb413c8 | Donghe-Zhu | 2021-06-25 |
| e7a5266 | Donghe-Zhu | 2021-06-24 |
| 7c57720 | Donghe-Zhu | 2021-06-24 |
| b5b95a9 | Donghe-Zhu | 2021-06-24 |
| 472aad4 | Donghe-Zhu | 2021-06-24 |
| d517836 | Donghe-Zhu | 2021-06-24 |
| 9221bfe | Donghe-Zhu | 2021-06-24 |
| bff5fbf | Donghe-Zhu | 2021-06-23 |
| 256a616 | Donghe-Zhu | 2021-06-23 |
| 00072e2 | Donghe-Zhu | 2021-06-23 |
| 7431530 | Donghe-Zhu | 2021-06-20 |
| d20c383 | Donghe-Zhu | 2021-06-18 |
| b0874a2 | Donghe-Zhu | 2021-06-17 |
| 72c2f2e | Donghe-Zhu | 2021-06-15 |
| d97dcb6 | Donghe-Zhu | 2021-06-08 |
| 25dda1d | Donghe-Zhu | 2021-06-08 |
| bd2bcc3 | Donghe-Zhu | 2021-06-08 |
| e9b27d7 | Donghe-Zhu | 2021-06-07 |
| 7ae0d4b | Donghe-Zhu | 2021-06-07 |
| 325391f | Donghe-Zhu | 2021-06-07 |
| ed89970 | Donghe-Zhu | 2021-06-07 |
| df37958 | Donghe-Zhu | 2021-06-07 |
| 812bf63 | Donghe-Zhu | 2021-06-06 |
| 65c89c8 | Donghe-Zhu | 2021-06-06 |
| 9baa3b2 | Donghe-Zhu | 2021-06-06 |
| b7d99cf | Donghe-Zhu | 2021-06-06 |
| 5d8fa90 | Donghe-Zhu | 2021-06-06 |
| dbe2a95 | Donghe-Zhu | 2021-05-28 |
| d50b039 | Donghe-Zhu | 2021-05-28 |
| 441ebe5 | Donghe-Zhu | 2021-05-28 |
| 6262ad3 | Donghe-Zhu | 2021-05-28 |
| a61aa77 | Donghe-Zhu | 2021-05-28 |
| b8dbce4 | Donghe-Zhu | 2021-05-28 |
| 94a833e | Donghe-Zhu | 2021-05-27 |
| 5e0bd64 | Donghe-Zhu | 2021-05-27 |
| af1eadd | Donghe-Zhu | 2021-05-27 |
| 9179bfe | Donghe-Zhu | 2021-05-27 |
| 28cbe5e | Donghe-Zhu | 2021-05-27 |
| a618f02 | Donghe-Zhu | 2021-05-27 |
| 4623e38 | Donghe-Zhu | 2021-05-27 |
| b81bb49 | Donghe-Zhu | 2021-05-27 |
| 951e188 | Donghe-Zhu | 2021-05-27 |
| e377833 | Donghe-Zhu | 2021-05-26 |
| 2705a04 | Donghe-Zhu | 2021-03-28 |
| cd5f759 | Donghe-Zhu | 2021-03-28 |
| 75dda4d | Donghe-Zhu | 2021-03-27 |
| 0b19f6e | Donghe-Zhu | 2021-03-27 |
| e2704ca | Donghe-Zhu | 2021-03-27 |
| 3061a0b | Donghe-Zhu | 2021-03-27 |
| b883157 | Donghe-Zhu | 2021-03-27 |
| d19654d | Donghe-Zhu | 2021-03-26 |
| 6c53dbf | Donghe-Zhu | 2021-03-25 |
| 1914a11 | Donghe-Zhu | 2021-03-24 |
| 8be810e | Donghe-Zhu | 2021-03-23 |
| bf19764 | Donghe-Zhu | 2021-03-22 |
| 3ec9d3d | Donghe-Zhu | 2021-03-22 |
| 134ace1 | Donghe-Zhu | 2021-03-22 |
| f6d70a4 | Donghe-Zhu | 2021-03-22 |
| 183443b | Donghe-Zhu | 2021-03-21 |
| 2e6976b | Donghe-Zhu | 2021-03-21 |
| 51a42bd | Donghe-Zhu | 2021-03-16 |
| f745381 | Donghe-Zhu | 2021-03-16 |
| aecbf75 | Donghe-Zhu | 2021-03-14 |
| 1b2a0c2 | Donghe-Zhu | 2021-03-14 |
| 6733e48 | Donghe-Zhu | 2021-03-12 |
| ba71e6a | Donghe-Zhu | 2021-03-12 |
| 9dbf5bd | Donghe-Zhu | 2021-03-11 |
| a49df30 | Donghe-Zhu | 2021-03-11 |
| b3348a5 | Donghe-Zhu | 2021-03-11 |
| 1c24ff7 | Donghe-Zhu | 2021-03-10 |
| 94ce5a8 | Donghe-Zhu | 2021-03-10 |
| db33928 | Donghe-Zhu | 2021-03-10 |
| 3d1f470 | Donghe-Zhu | 2021-03-10 |
| 9b7bc66 | Donghe-Zhu | 2021-03-10 |
| 4168b43 | Donghe-Zhu | 2021-03-10 |
| 5365f80 | Donghe-Zhu | 2021-03-10 |
| 2b6c392 | Donghe-Zhu | 2021-03-10 |
| 9f58753 | Donghe-Zhu | 2021-03-10 |
| f2a7146 | Donghe-Zhu | 2021-03-10 |
| fd528ed | Donghe-Zhu | 2021-03-10 |
| 9d5a62c | Donghe-Zhu | 2021-03-10 |
| 5d1e70b | Donghe-Zhu | 2021-03-10 |
| 2093979 | Donghe-Zhu | 2021-03-10 |
| b865899 | Donghe-Zhu | 2021-03-10 |
| cc2a956 | Donghe-Zhu | 2021-03-10 |
| 60689fb | Donghe-Zhu | 2021-03-10 |
| dba33c8 | Donghe-Zhu | 2021-03-09 |
| 17f1c4a | Donghe-Zhu | 2021-03-09 |
| c024d1a | Donghe-Zhu | 2021-03-09 |
| 02f7242 | Donghe-Zhu | 2021-03-09 |
| 6f50bc6 | Donghe-Zhu | 2021-03-09 |
| 1691156 | Donghe-Zhu | 2021-03-08 |
| c0ceaf8 | Donghe-Zhu | 2021-03-08 |
| 058e0a1 | Donghe-Zhu | 2021-03-08 |
| 112dea0 | Donghe-Zhu | 2021-03-08 |
| 1843412 | Donghe-Zhu | 2021-03-08 |
| 3fbbfa4 | Donghe-Zhu | 2021-03-07 |
| 627c8fb | Donghe-Zhu | 2021-03-07 |
| 9ef3222 | Donghe-Zhu | 2021-03-05 |
| 8c1e978 | Donghe-Zhu | 2021-03-05 |
| 865f68c | Donghe-Zhu | 2021-03-05 |
| ee69bc1 | Donghe-Zhu | 2021-03-05 |
| a79291f | Donghe-Zhu | 2021-03-05 |
| e8c6f30 | Donghe-Zhu | 2021-03-04 |
| 59288fe | Donghe-Zhu | 2021-03-04 |
| 731abc8 | Donghe-Zhu | 2021-03-04 |
| e2a5a33 | Donghe-Zhu | 2021-03-04 |
| c7892c1 | Donghe-Zhu | 2021-03-04 |
| 924430b | Donghe-Zhu | 2021-03-03 |
| 0d0bca1 | Donghe-Zhu | 2021-03-03 |
| cb63c16 | Donghe-Zhu | 2021-03-03 |
| ffda45a | Donghe-Zhu | 2021-03-03 |
| 691ba81 | Donghe-Zhu | 2021-03-03 |
| c5e45a2 | Donghe-Zhu | 2021-03-03 |
| 89c3e58 | Donghe-Zhu | 2021-03-03 |
| c407a50 | Donghe-Zhu | 2021-03-03 |
| c911669 | Donghe-Zhu | 2021-03-03 |
| b71c719 | Donghe-Zhu | 2021-03-01 |
| 13666ca | Donghe-Zhu | 2021-03-01 |
| c6e60fe | Donghe-Zhu | 2021-03-01 |
| 7a388f7 | Donghe-Zhu | 2021-03-01 |
| 799e913 | Donghe-Zhu | 2021-03-01 |
| 66ff99f | Donghe-Zhu | 2021-03-01 |
| ac9bb7a | Donghe-Zhu | 2021-02-28 |
| efdc047 | Donghe-Zhu | 2021-02-28 |
| e9a7418 | Donghe-Zhu | 2021-02-28 |
| e152917 | Donghe-Zhu | 2021-02-28 |
| 287123c | Donghe-Zhu | 2021-02-27 |
| 54d5b5b | Donghe-Zhu | 2021-02-27 |
| 330f064 | Donghe-Zhu | 2021-02-27 |
| adbc9bc | Donghe-Zhu | 2021-02-27 |
| 5937141 | Donghe-Zhu | 2021-02-27 |
| 4414bbf | Donghe-Zhu | 2021-02-27 |
| a265efb | Donghe-Zhu | 2021-02-27 |
| 19edd1e | Donghe-Zhu | 2021-02-27 |
| f20483f | Donghe-Zhu | 2021-02-26 |
| 6a2c7b3 | Donghe-Zhu | 2021-02-25 |
| 354c224 | Donghe-Zhu | 2021-02-24 |
| 1a0a88a | Donghe-Zhu | 2021-02-24 |
| 57f701e | Donghe-Zhu | 2021-02-24 |
| 06f3149 | Donghe-Zhu | 2021-02-16 |
| 401eab3 | Donghe-Zhu | 2021-02-15 |
| e3bba84 | Donghe-Zhu | 2021-02-15 |
| 5dce4b1 | Donghe-Zhu | 2021-02-15 |
| 4469a0c | Donghe-Zhu | 2021-02-13 |
| 5ae6a69 | Donghe-Zhu | 2021-02-10 |
| 05385dc | Donghe-Zhu | 2021-02-10 |
| f791ae4 | Donghe-Zhu | 2021-02-09 |
| f71ae34 | Donghe-Zhu | 2021-02-09 |
| c011832 | Donghe-Zhu | 2021-02-09 |
| a145fa7 | Donghe-Zhu | 2021-02-09 |
| c344e42 | Donghe-Zhu | 2021-02-08 |
| 2f095d7 | Donghe-Zhu | 2021-02-07 |
| 2305044 | Donghe-Zhu | 2021-02-07 |
| 1fad5f1 | Donghe-Zhu | 2021-02-07 |
| ca03c39 | Donghe-Zhu | 2021-02-07 |
| e2ffc14 | Donghe-Zhu | 2021-02-05 |
| cd7c52c | Donghe-Zhu | 2021-02-04 |
| bcf84f4 | Donghe-Zhu | 2021-02-02 |
| a518739 | Donghe-Zhu | 2021-02-01 |
| 61666de | Donghe-Zhu | 2021-01-31 |
| 865b582 | Donghe-Zhu | 2021-01-31 |
| 3e68089 | Donghe-Zhu | 2021-01-31 |
| ecf335c | Donghe-Zhu | 2021-01-31 |
| a618965 | Donghe-Zhu | 2021-01-31 |
| 59e006e | Donghe-Zhu | 2021-01-31 |
| a1c8f87 | Donghe-Zhu | 2021-01-31 |
| ae5c18f | Donghe-Zhu | 2021-01-31 |
| b50fe52 | Donghe-Zhu | 2021-01-31 |
| ac99ae5 | jens-daniel-mueller | 2021-01-29 |
| b5bdcaf | Donghe-Zhu | 2021-01-29 |
| 442010d | Donghe-Zhu | 2021-01-29 |
| 372adf5 | Donghe-Zhu | 2021-01-29 |
| 6a75576 | Donghe-Zhu | 2021-01-28 |
| 16fba40 | Donghe-Zhu | 2021-01-28 |
| 12bc567 | Donghe-Zhu | 2021-01-27 |
| ceed31b | Donghe-Zhu | 2021-01-27 |
| 342402d | Donghe-Zhu | 2021-01-27 |
| 5bad5c2 | Donghe-Zhu | 2021-01-27 |
| 61efb56 | Donghe-Zhu | 2021-01-25 |
| 48f638e | Donghe-Zhu | 2021-01-25 |
| 05ffb0c | Donghe-Zhu | 2021-01-25 |
| 8b97165 | Donghe-Zhu | 2021-01-25 |
| c569946 | Donghe-Zhu | 2021-01-24 |
| a2f0d56 | Donghe-Zhu | 2021-01-23 |
| 28509fc | Donghe-Zhu | 2021-01-23 |
| 4c28e4a | Donghe-Zhu | 2021-01-22 |
| 24cc264 | jens-daniel-mueller | 2021-01-22 |
| 7891955 | Donghe-Zhu | 2021-01-21 |
| d4cf1cb | Donghe-Zhu | 2021-01-21 |
| 1f3e5b6 | jens-daniel-mueller | 2021-01-20 |
| 0e7bdf1 | jens-daniel-mueller | 2021-01-15 |
| 4571843 | jens-daniel-mueller | 2021-01-14 |
| b3564aa | jens-daniel-mueller | 2021-01-14 |
| 8d032c3 | jens-daniel-mueller | 2021-01-14 |
| 022871c | Donghe-Zhu | 2021-01-13 |
rm(i_var)
The plot below shows the depths of individual gamma slabs (color) together with the synthetic data subset available in the respective slab.
Please note that:
GLODAP_obs_coverage <- GLODAP %>%
count(lat, lon, gamma_slab, era)
map +
geom_raster(data = cant_gamma_maps,
aes(lon, lat, fill = depth_max)) +
geom_raster(data = GLODAP_obs_coverage,
aes(lon, lat), fill = "red") +
facet_grid(gamma_slab ~ era) +
scale_fill_viridis_c(direction = -1) +
theme(axis.ticks = element_blank(),
axis.text = element_blank(),
legend.position = "top")

| Version | Author | Date |
|---|---|---|
| 90f70da | Donghe-Zhu | 2021-08-06 |
| 496fa02 | Donghe-Zhu | 2021-08-05 |
| 19ecfe2 | Donghe-Zhu | 2021-08-05 |
| 3253031 | Donghe-Zhu | 2021-08-05 |
| e51cfa2 | Donghe-Zhu | 2021-08-01 |
| c55d4d7 | Donghe-Zhu | 2021-08-01 |
| ca539b5 | Donghe-Zhu | 2021-08-01 |
| 1e98138 | Donghe-Zhu | 2021-08-01 |
| 777b9e9 | Donghe-Zhu | 2021-08-01 |
| b110c47 | Donghe-Zhu | 2021-08-01 |
| 3300527 | Donghe-Zhu | 2021-07-31 |
| cb3ef32 | Donghe-Zhu | 2021-07-31 |
| 6528618 | Donghe-Zhu | 2021-07-31 |
| f4de2f3 | Donghe-Zhu | 2021-07-30 |
| 43bc7b4 | Donghe-Zhu | 2021-07-30 |
| fe067ea | Donghe-Zhu | 2021-07-30 |
| a55ffdc | Donghe-Zhu | 2021-07-30 |
| d5e4458 | Donghe-Zhu | 2021-07-30 |
| 10a97ef | Donghe-Zhu | 2021-07-30 |
| 68bce3f | Donghe-Zhu | 2021-07-30 |
| 400c457 | Donghe-Zhu | 2021-07-29 |
| 3ba7852 | Donghe-Zhu | 2021-07-29 |
| ec68363 | Donghe-Zhu | 2021-07-28 |
| d3018f6 | Donghe-Zhu | 2021-07-28 |
| b8ba2c4 | Donghe-Zhu | 2021-07-28 |
| a4ddd84 | Donghe-Zhu | 2021-07-27 |
| 7ef49ab | Donghe-Zhu | 2021-07-27 |
| da818c0 | Donghe-Zhu | 2021-07-27 |
| f84b77c | Donghe-Zhu | 2021-07-27 |
| 70ad9a5 | Donghe-Zhu | 2021-07-27 |
| 0d0b48d | Donghe-Zhu | 2021-07-27 |
| d0d97c6 | Donghe-Zhu | 2021-07-27 |
| 829510d | Donghe-Zhu | 2021-07-27 |
| e9838c9 | Donghe-Zhu | 2021-07-27 |
| 2777f33 | Donghe-Zhu | 2021-07-27 |
| d19760f | Donghe-Zhu | 2021-07-27 |
| cac5680 | Donghe-Zhu | 2021-07-23 |
| 7bb279a | Donghe-Zhu | 2021-07-23 |
| d52eac4 | Donghe-Zhu | 2021-07-23 |
| dcf34b1 | Donghe-Zhu | 2021-07-23 |
| 419cb72 | Donghe-Zhu | 2021-07-22 |
| 9447d10 | Donghe-Zhu | 2021-07-22 |
| 639c9a0 | Donghe-Zhu | 2021-07-22 |
| 25bb96f | Donghe-Zhu | 2021-07-22 |
| cdc98a3 | Donghe-Zhu | 2021-07-22 |
| e4805a1 | Donghe-Zhu | 2021-07-22 |
| b94be4e | Donghe-Zhu | 2021-07-21 |
| 9950e70 | Donghe-Zhu | 2021-07-21 |
| 698b6f0 | Donghe-Zhu | 2021-07-20 |
| d84a1cb | Donghe-Zhu | 2021-07-20 |
| 4dce223 | Donghe-Zhu | 2021-07-20 |
| 6f28c0c | Donghe-Zhu | 2021-07-20 |
| db1e7b7 | Donghe-Zhu | 2021-07-19 |
| ff0575d | Donghe-Zhu | 2021-07-19 |
| 5d60eac | Donghe-Zhu | 2021-07-19 |
| 57d0420 | Donghe-Zhu | 2021-07-16 |
| c1be8f6 | Donghe-Zhu | 2021-07-16 |
| 26a7c15 | Donghe-Zhu | 2021-07-16 |
| 046902b | Donghe-Zhu | 2021-07-16 |
| 3d4ac14 | Donghe-Zhu | 2021-07-15 |
| be6fff9 | Donghe-Zhu | 2021-07-15 |
| b473472 | Donghe-Zhu | 2021-07-15 |
| 363270a | Donghe-Zhu | 2021-07-15 |
| 8b75a03 | Donghe-Zhu | 2021-07-15 |
| a01e135 | Donghe-Zhu | 2021-07-07 |
| bc83ef2 | Donghe-Zhu | 2021-07-07 |
| 75e7b07 | Donghe-Zhu | 2021-07-06 |
| 697aa6d | Donghe-Zhu | 2021-07-06 |
| d52e2de | Donghe-Zhu | 2021-07-06 |
| f2bde6b | Donghe-Zhu | 2021-07-06 |
| 1133f28 | Donghe-Zhu | 2021-07-06 |
| fe3a1cd | Donghe-Zhu | 2021-07-06 |
| d9cdf15 | Donghe-Zhu | 2021-07-06 |
| ee4cd2d | Donghe-Zhu | 2021-07-06 |
| 93821c1 | Donghe-Zhu | 2021-07-05 |
| d44db8e | Donghe-Zhu | 2021-07-05 |
| 20b3436 | Donghe-Zhu | 2021-07-05 |
| d982ea5 | Donghe-Zhu | 2021-07-05 |
| 7397e53 | Donghe-Zhu | 2021-07-05 |
| f2e4805 | Donghe-Zhu | 2021-07-05 |
| e2d011a | Donghe-Zhu | 2021-07-05 |
| 85e0349 | Donghe-Zhu | 2021-07-05 |
| 6ee0146 | Donghe-Zhu | 2021-07-05 |
| a482a6b | Donghe-Zhu | 2021-07-05 |
| f59f1b3 | Donghe-Zhu | 2021-07-05 |
| 116bcab | Donghe-Zhu | 2021-07-04 |
| cb1c8dc | Donghe-Zhu | 2021-07-04 |
| c9bdd83 | Donghe-Zhu | 2021-07-04 |
| 1920ad9 | Donghe-Zhu | 2021-07-04 |
| 0b02791 | Donghe-Zhu | 2021-06-25 |
| caf62d8 | Donghe-Zhu | 2021-06-25 |
| 90a9da5 | Donghe-Zhu | 2021-06-25 |
| bb413c8 | Donghe-Zhu | 2021-06-25 |
| e7a5266 | Donghe-Zhu | 2021-06-24 |
| 7c57720 | Donghe-Zhu | 2021-06-24 |
| b5b95a9 | Donghe-Zhu | 2021-06-24 |
| 472aad4 | Donghe-Zhu | 2021-06-24 |
| d517836 | Donghe-Zhu | 2021-06-24 |
| 9221bfe | Donghe-Zhu | 2021-06-24 |
| bff5fbf | Donghe-Zhu | 2021-06-23 |
| 00072e2 | Donghe-Zhu | 2021-06-23 |
| 7431530 | Donghe-Zhu | 2021-06-20 |
| d20c383 | Donghe-Zhu | 2021-06-18 |
| b0874a2 | Donghe-Zhu | 2021-06-17 |
| 72c2f2e | Donghe-Zhu | 2021-06-15 |
| d97dcb6 | Donghe-Zhu | 2021-06-08 |
| 25dda1d | Donghe-Zhu | 2021-06-08 |
| bd2bcc3 | Donghe-Zhu | 2021-06-08 |
| e9b27d7 | Donghe-Zhu | 2021-06-07 |
| 7ae0d4b | Donghe-Zhu | 2021-06-07 |
| 325391f | Donghe-Zhu | 2021-06-07 |
| ed89970 | Donghe-Zhu | 2021-06-07 |
| df37958 | Donghe-Zhu | 2021-06-07 |
| 812bf63 | Donghe-Zhu | 2021-06-06 |
| 65c89c8 | Donghe-Zhu | 2021-06-06 |
| 9baa3b2 | Donghe-Zhu | 2021-06-06 |
| b7d99cf | Donghe-Zhu | 2021-06-06 |
| 5d8fa90 | Donghe-Zhu | 2021-06-06 |
| dbe2a95 | Donghe-Zhu | 2021-05-28 |
| d50b039 | Donghe-Zhu | 2021-05-28 |
| 441ebe5 | Donghe-Zhu | 2021-05-28 |
| 6262ad3 | Donghe-Zhu | 2021-05-28 |
| a61aa77 | Donghe-Zhu | 2021-05-28 |
| b8dbce4 | Donghe-Zhu | 2021-05-28 |
| 94a833e | Donghe-Zhu | 2021-05-27 |
| 5e0bd64 | Donghe-Zhu | 2021-05-27 |
| af1eadd | Donghe-Zhu | 2021-05-27 |
| 9179bfe | Donghe-Zhu | 2021-05-27 |
| 28cbe5e | Donghe-Zhu | 2021-05-27 |
| a618f02 | Donghe-Zhu | 2021-05-27 |
| 4623e38 | Donghe-Zhu | 2021-05-27 |
| b81bb49 | Donghe-Zhu | 2021-05-27 |
| 951e188 | Donghe-Zhu | 2021-05-27 |
| e377833 | Donghe-Zhu | 2021-05-26 |
| 2705a04 | Donghe-Zhu | 2021-03-28 |
| cd5f759 | Donghe-Zhu | 2021-03-28 |
| 75dda4d | Donghe-Zhu | 2021-03-27 |
| 0b19f6e | Donghe-Zhu | 2021-03-27 |
| e2704ca | Donghe-Zhu | 2021-03-27 |
| 3061a0b | Donghe-Zhu | 2021-03-27 |
| b883157 | Donghe-Zhu | 2021-03-27 |
| 1914a11 | Donghe-Zhu | 2021-03-24 |
| bf19764 | Donghe-Zhu | 2021-03-22 |
| 2e6976b | Donghe-Zhu | 2021-03-21 |
| 51a42bd | Donghe-Zhu | 2021-03-16 |
| f745381 | Donghe-Zhu | 2021-03-16 |
| aecbf75 | Donghe-Zhu | 2021-03-14 |
| 1b2a0c2 | Donghe-Zhu | 2021-03-14 |
| 6733e48 | Donghe-Zhu | 2021-03-12 |
| ba71e6a | Donghe-Zhu | 2021-03-12 |
| 9dbf5bd | Donghe-Zhu | 2021-03-11 |
| a49df30 | Donghe-Zhu | 2021-03-11 |
| b3348a5 | Donghe-Zhu | 2021-03-11 |
| 5365f80 | Donghe-Zhu | 2021-03-10 |
| 2b6c392 | Donghe-Zhu | 2021-03-10 |
| 9f58753 | Donghe-Zhu | 2021-03-10 |
| f2a7146 | Donghe-Zhu | 2021-03-10 |
| cc2a956 | Donghe-Zhu | 2021-03-10 |
| 02f7242 | Donghe-Zhu | 2021-03-09 |
| c0ceaf8 | Donghe-Zhu | 2021-03-08 |
| 058e0a1 | Donghe-Zhu | 2021-03-08 |
| 112dea0 | Donghe-Zhu | 2021-03-08 |
| 1843412 | Donghe-Zhu | 2021-03-08 |
| 3fbbfa4 | Donghe-Zhu | 2021-03-07 |
| 627c8fb | Donghe-Zhu | 2021-03-07 |
| 8c1e978 | Donghe-Zhu | 2021-03-05 |
| 865f68c | Donghe-Zhu | 2021-03-05 |
| 59288fe | Donghe-Zhu | 2021-03-04 |
| 731abc8 | Donghe-Zhu | 2021-03-04 |
| e2a5a33 | Donghe-Zhu | 2021-03-04 |
| c7892c1 | Donghe-Zhu | 2021-03-04 |
| 924430b | Donghe-Zhu | 2021-03-03 |
| 0d0bca1 | Donghe-Zhu | 2021-03-03 |
| cb63c16 | Donghe-Zhu | 2021-03-03 |
| ffda45a | Donghe-Zhu | 2021-03-03 |
| 691ba81 | Donghe-Zhu | 2021-03-03 |
| c5e45a2 | Donghe-Zhu | 2021-03-03 |
| 19edd1e | Donghe-Zhu | 2021-02-27 |
| f20483f | Donghe-Zhu | 2021-02-26 |
| 6a2c7b3 | Donghe-Zhu | 2021-02-25 |
| 57f701e | Donghe-Zhu | 2021-02-24 |
| 06f3149 | Donghe-Zhu | 2021-02-16 |
| 4469a0c | Donghe-Zhu | 2021-02-13 |
| 5ae6a69 | Donghe-Zhu | 2021-02-10 |
| 05385dc | Donghe-Zhu | 2021-02-10 |
| f791ae4 | Donghe-Zhu | 2021-02-09 |
| f71ae34 | Donghe-Zhu | 2021-02-09 |
| a145fa7 | Donghe-Zhu | 2021-02-09 |
| c344e42 | Donghe-Zhu | 2021-02-08 |
| 1fad5f1 | Donghe-Zhu | 2021-02-07 |
| ca03c39 | Donghe-Zhu | 2021-02-07 |
| cd7c52c | Donghe-Zhu | 2021-02-04 |
| bcf84f4 | Donghe-Zhu | 2021-02-02 |
| 865b582 | Donghe-Zhu | 2021-01-31 |
| 3e68089 | Donghe-Zhu | 2021-01-31 |
| ecf335c | Donghe-Zhu | 2021-01-31 |
| a618965 | Donghe-Zhu | 2021-01-31 |
| 59e006e | Donghe-Zhu | 2021-01-31 |
| a1c8f87 | Donghe-Zhu | 2021-01-31 |
| b50fe52 | Donghe-Zhu | 2021-01-31 |
| ac99ae5 | jens-daniel-mueller | 2021-01-29 |
| b5bdcaf | Donghe-Zhu | 2021-01-29 |
| 16fba40 | Donghe-Zhu | 2021-01-28 |
| 12bc567 | Donghe-Zhu | 2021-01-27 |
| ceed31b | Donghe-Zhu | 2021-01-27 |
| 342402d | Donghe-Zhu | 2021-01-27 |
| 5bad5c2 | Donghe-Zhu | 2021-01-27 |
| 61efb56 | Donghe-Zhu | 2021-01-25 |
| 48f638e | Donghe-Zhu | 2021-01-25 |
| c569946 | Donghe-Zhu | 2021-01-24 |
| a2f0d56 | Donghe-Zhu | 2021-01-23 |
| 4c28e4a | Donghe-Zhu | 2021-01-22 |
| 24cc264 | jens-daniel-mueller | 2021-01-22 |
| 7891955 | Donghe-Zhu | 2021-01-21 |
| d4cf1cb | Donghe-Zhu | 2021-01-21 |
| 1f3e5b6 | jens-daniel-mueller | 2021-01-20 |
| 0e7bdf1 | jens-daniel-mueller | 2021-01-15 |
| 4571843 | jens-daniel-mueller | 2021-01-14 |
| b3564aa | jens-daniel-mueller | 2021-01-14 |
| 8d032c3 | jens-daniel-mueller | 2021-01-14 |
| 022871c | Donghe-Zhu | 2021-01-13 |
rm(GLODAP_obs_coverage)
The predicted target variable (cstar_tref in this sensitivity case) is based on fitted MLRs and climatological fields of predictor variables, and calculated for each era.
slab_breaks <- c(params_local$slabs_Atl[1:12], Inf)
for (i_basin_AIP in unique(target_zonal$basin_AIP)) {
print(
target_zonal %>%
filter(basin_AIP == i_basin_AIP) %>%
ggplot(aes(lat, depth,
z = !!sym(
paste(params_local$MLR_target, "mean", sep = "_")
))) +
geom_contour_filled(bins = 11) +
scale_fill_viridis_d(name = params_local$MLR_target) +
geom_contour(aes(lat, depth, z = gamma_mean),
breaks = slab_breaks,
col = "white") +
geom_text_contour(
aes(lat, depth, z = gamma_mean),
breaks = slab_breaks,
col = "white",
skip = 1
) +
scale_y_reverse() +
coord_cartesian(expand = 0,
ylim = c(params_global$plotting_depth, 0)) +
scale_x_continuous(breaks = seq(-100, 100, 20)) +
guides(fill = guide_colorsteps(barheight = unit(10, "cm"))) +
facet_grid(era ~ eras,
labeller = labeller(.default = label_both)) +
labs(title = i_basin_AIP)
)
}

| Version | Author | Date |
|---|---|---|
| 90f70da | Donghe-Zhu | 2021-08-06 |
| 496fa02 | Donghe-Zhu | 2021-08-05 |
| 19ecfe2 | Donghe-Zhu | 2021-08-05 |
| 3253031 | Donghe-Zhu | 2021-08-05 |
| 6c70952 | Donghe-Zhu | 2021-08-01 |
| 2666bd7 | Donghe-Zhu | 2021-08-01 |
| e51cfa2 | Donghe-Zhu | 2021-08-01 |
| 78cbc18 | Donghe-Zhu | 2021-08-01 |
| c55d4d7 | Donghe-Zhu | 2021-08-01 |
| 26741db | Donghe-Zhu | 2021-08-01 |
| ca539b5 | Donghe-Zhu | 2021-08-01 |
| 1e98138 | Donghe-Zhu | 2021-08-01 |
| 777b9e9 | Donghe-Zhu | 2021-08-01 |
| b110c47 | Donghe-Zhu | 2021-08-01 |
| 3611a48 | Donghe-Zhu | 2021-08-01 |
| af832ef | Donghe-Zhu | 2021-07-31 |
| 016f9ed | Donghe-Zhu | 2021-07-31 |
| 2080ac5 | Donghe-Zhu | 2021-07-31 |
| 50f0a16 | Donghe-Zhu | 2021-07-31 |
| 1682579 | Donghe-Zhu | 2021-07-31 |
| 9fa8832 | Donghe-Zhu | 2021-07-31 |
| 4abf542 | Donghe-Zhu | 2021-07-31 |
| a2483f0 | Donghe-Zhu | 2021-07-31 |
| 3300527 | Donghe-Zhu | 2021-07-31 |
| afeb6fd | Donghe-Zhu | 2021-07-31 |
| cb3ef32 | Donghe-Zhu | 2021-07-31 |
| 6528618 | Donghe-Zhu | 2021-07-31 |
| f50925e | Donghe-Zhu | 2021-07-31 |
| f4de2f3 | Donghe-Zhu | 2021-07-30 |
| 43bc7b4 | Donghe-Zhu | 2021-07-30 |
| f8c34a8 | Donghe-Zhu | 2021-07-30 |
| 4f897c4 | Donghe-Zhu | 2021-07-30 |
| 0f6e960 | Donghe-Zhu | 2021-07-30 |
| fe067ea | Donghe-Zhu | 2021-07-30 |
| fbca39a | Donghe-Zhu | 2021-07-30 |
| f945f95 | Donghe-Zhu | 2021-07-30 |
| a3006cd | Donghe-Zhu | 2021-07-30 |
| a55ffdc | Donghe-Zhu | 2021-07-30 |
| d5e4458 | Donghe-Zhu | 2021-07-30 |
| 10a97ef | Donghe-Zhu | 2021-07-30 |
| 1c501fd | Donghe-Zhu | 2021-07-30 |
| 68bce3f | Donghe-Zhu | 2021-07-30 |
| 400c457 | Donghe-Zhu | 2021-07-29 |
| 3ba7852 | Donghe-Zhu | 2021-07-29 |
| ec68363 | Donghe-Zhu | 2021-07-28 |
| d3018f6 | Donghe-Zhu | 2021-07-28 |
| b8ba2c4 | Donghe-Zhu | 2021-07-28 |
| a4ddd84 | Donghe-Zhu | 2021-07-27 |
| 7ef49ab | Donghe-Zhu | 2021-07-27 |
| da818c0 | Donghe-Zhu | 2021-07-27 |
| 8623898 | Donghe-Zhu | 2021-07-27 |
| f84b77c | Donghe-Zhu | 2021-07-27 |
| 70ad9a5 | Donghe-Zhu | 2021-07-27 |
| 0d0b48d | Donghe-Zhu | 2021-07-27 |
| d0d97c6 | Donghe-Zhu | 2021-07-27 |
| 829510d | Donghe-Zhu | 2021-07-27 |
| 780627d | Donghe-Zhu | 2021-07-27 |
| e9838c9 | Donghe-Zhu | 2021-07-27 |
| 2777f33 | Donghe-Zhu | 2021-07-27 |
| d19760f | Donghe-Zhu | 2021-07-27 |
| cac5680 | Donghe-Zhu | 2021-07-23 |
| 7bb279a | Donghe-Zhu | 2021-07-23 |
| d52eac4 | Donghe-Zhu | 2021-07-23 |
| dcf34b1 | Donghe-Zhu | 2021-07-23 |
| 419cb72 | Donghe-Zhu | 2021-07-22 |
| 9447d10 | Donghe-Zhu | 2021-07-22 |
| 639c9a0 | Donghe-Zhu | 2021-07-22 |
| 25bb96f | Donghe-Zhu | 2021-07-22 |
| cdc98a3 | Donghe-Zhu | 2021-07-22 |
| e4805a1 | Donghe-Zhu | 2021-07-22 |
| 7957fd1 | Donghe-Zhu | 2021-07-21 |
| b94be4e | Donghe-Zhu | 2021-07-21 |
| 9950e70 | Donghe-Zhu | 2021-07-21 |
| 698b6f0 | Donghe-Zhu | 2021-07-20 |
| d84a1cb | Donghe-Zhu | 2021-07-20 |
| 4dce223 | Donghe-Zhu | 2021-07-20 |
| 6f28c0c | Donghe-Zhu | 2021-07-20 |
| db1e7b7 | Donghe-Zhu | 2021-07-19 |
| ff0575d | Donghe-Zhu | 2021-07-19 |
| 5d60eac | Donghe-Zhu | 2021-07-19 |
| 57d0420 | Donghe-Zhu | 2021-07-16 |
| c1be8f6 | Donghe-Zhu | 2021-07-16 |
| 26a7c15 | Donghe-Zhu | 2021-07-16 |
| 046902b | Donghe-Zhu | 2021-07-16 |
| 3d4ac14 | Donghe-Zhu | 2021-07-15 |
| be6fff9 | Donghe-Zhu | 2021-07-15 |
| b473472 | Donghe-Zhu | 2021-07-15 |
| 363270a | Donghe-Zhu | 2021-07-15 |
| 8b75a03 | Donghe-Zhu | 2021-07-15 |
| a01e135 | Donghe-Zhu | 2021-07-07 |
| bc83ef2 | Donghe-Zhu | 2021-07-07 |
| 75e7b07 | Donghe-Zhu | 2021-07-06 |
| 697aa6d | Donghe-Zhu | 2021-07-06 |
| d52e2de | Donghe-Zhu | 2021-07-06 |
| f2bde6b | Donghe-Zhu | 2021-07-06 |
| 1133f28 | Donghe-Zhu | 2021-07-06 |
| fe3a1cd | Donghe-Zhu | 2021-07-06 |
| d9cdf15 | Donghe-Zhu | 2021-07-06 |
| ee4cd2d | Donghe-Zhu | 2021-07-06 |
| 93821c1 | Donghe-Zhu | 2021-07-05 |
| d44db8e | Donghe-Zhu | 2021-07-05 |
| 20b3436 | Donghe-Zhu | 2021-07-05 |
| d982ea5 | Donghe-Zhu | 2021-07-05 |
| 7397e53 | Donghe-Zhu | 2021-07-05 |
| f2e4805 | Donghe-Zhu | 2021-07-05 |
| e2d011a | Donghe-Zhu | 2021-07-05 |
| 85e0349 | Donghe-Zhu | 2021-07-05 |
| 6ee0146 | Donghe-Zhu | 2021-07-05 |
| a482a6b | Donghe-Zhu | 2021-07-05 |
| f59f1b3 | Donghe-Zhu | 2021-07-05 |
| 116bcab | Donghe-Zhu | 2021-07-04 |
| cb1c8dc | Donghe-Zhu | 2021-07-04 |
| c9bdd83 | Donghe-Zhu | 2021-07-04 |
| 1920ad9 | Donghe-Zhu | 2021-07-04 |
| 0b02791 | Donghe-Zhu | 2021-06-25 |
| caf62d8 | Donghe-Zhu | 2021-06-25 |
| 90a9da5 | Donghe-Zhu | 2021-06-25 |
| bb413c8 | Donghe-Zhu | 2021-06-25 |
| e7a5266 | Donghe-Zhu | 2021-06-24 |
| 7c57720 | Donghe-Zhu | 2021-06-24 |
| b5b95a9 | Donghe-Zhu | 2021-06-24 |
| 472aad4 | Donghe-Zhu | 2021-06-24 |
| d517836 | Donghe-Zhu | 2021-06-24 |
| 9221bfe | Donghe-Zhu | 2021-06-24 |
| bff5fbf | Donghe-Zhu | 2021-06-23 |
| 256a616 | Donghe-Zhu | 2021-06-23 |
| 00072e2 | Donghe-Zhu | 2021-06-23 |
| 7431530 | Donghe-Zhu | 2021-06-20 |
| d20c383 | Donghe-Zhu | 2021-06-18 |
| b0874a2 | Donghe-Zhu | 2021-06-17 |
| 72c2f2e | Donghe-Zhu | 2021-06-15 |
| d97dcb6 | Donghe-Zhu | 2021-06-08 |
| 25dda1d | Donghe-Zhu | 2021-06-08 |
| bd2bcc3 | Donghe-Zhu | 2021-06-08 |
| e9b27d7 | Donghe-Zhu | 2021-06-07 |
| 7ae0d4b | Donghe-Zhu | 2021-06-07 |
| 325391f | Donghe-Zhu | 2021-06-07 |
| ed89970 | Donghe-Zhu | 2021-06-07 |
| df37958 | Donghe-Zhu | 2021-06-07 |
| 812bf63 | Donghe-Zhu | 2021-06-06 |
| 65c89c8 | Donghe-Zhu | 2021-06-06 |
| 9baa3b2 | Donghe-Zhu | 2021-06-06 |
| b7d99cf | Donghe-Zhu | 2021-06-06 |
| 5d8fa90 | Donghe-Zhu | 2021-06-06 |
| dbe2a95 | Donghe-Zhu | 2021-05-28 |
| d50b039 | Donghe-Zhu | 2021-05-28 |
| 441ebe5 | Donghe-Zhu | 2021-05-28 |
| 6262ad3 | Donghe-Zhu | 2021-05-28 |
| a61aa77 | Donghe-Zhu | 2021-05-28 |
| b8dbce4 | Donghe-Zhu | 2021-05-28 |
| 94a833e | Donghe-Zhu | 2021-05-27 |
| 5e0bd64 | Donghe-Zhu | 2021-05-27 |
| af1eadd | Donghe-Zhu | 2021-05-27 |
| 9179bfe | Donghe-Zhu | 2021-05-27 |
| 28cbe5e | Donghe-Zhu | 2021-05-27 |
| a618f02 | Donghe-Zhu | 2021-05-27 |
| 4623e38 | Donghe-Zhu | 2021-05-27 |
| b81bb49 | Donghe-Zhu | 2021-05-27 |
| 951e188 | Donghe-Zhu | 2021-05-27 |
| e377833 | Donghe-Zhu | 2021-05-26 |
| 2705a04 | Donghe-Zhu | 2021-03-28 |
| cd5f759 | Donghe-Zhu | 2021-03-28 |
| 75dda4d | Donghe-Zhu | 2021-03-27 |
| 0b19f6e | Donghe-Zhu | 2021-03-27 |
| e2704ca | Donghe-Zhu | 2021-03-27 |
| 3061a0b | Donghe-Zhu | 2021-03-27 |
| b883157 | Donghe-Zhu | 2021-03-27 |
| d19654d | Donghe-Zhu | 2021-03-26 |
| 6c53dbf | Donghe-Zhu | 2021-03-25 |
| 1914a11 | Donghe-Zhu | 2021-03-24 |
| 8be810e | Donghe-Zhu | 2021-03-23 |
| bf19764 | Donghe-Zhu | 2021-03-22 |
| 3ec9d3d | Donghe-Zhu | 2021-03-22 |
| 134ace1 | Donghe-Zhu | 2021-03-22 |
| f6d70a4 | Donghe-Zhu | 2021-03-22 |
| 183443b | Donghe-Zhu | 2021-03-21 |
| 2e6976b | Donghe-Zhu | 2021-03-21 |
| 51a42bd | Donghe-Zhu | 2021-03-16 |
| f745381 | Donghe-Zhu | 2021-03-16 |
| aecbf75 | Donghe-Zhu | 2021-03-14 |
| 1b2a0c2 | Donghe-Zhu | 2021-03-14 |
| 6733e48 | Donghe-Zhu | 2021-03-12 |
| ba71e6a | Donghe-Zhu | 2021-03-12 |
| 9dbf5bd | Donghe-Zhu | 2021-03-11 |
| a49df30 | Donghe-Zhu | 2021-03-11 |
| b3348a5 | Donghe-Zhu | 2021-03-11 |
| 1c24ff7 | Donghe-Zhu | 2021-03-10 |
| 94ce5a8 | Donghe-Zhu | 2021-03-10 |
| db33928 | Donghe-Zhu | 2021-03-10 |
| 3d1f470 | Donghe-Zhu | 2021-03-10 |
| 9b7bc66 | Donghe-Zhu | 2021-03-10 |
| 4168b43 | Donghe-Zhu | 2021-03-10 |
| 5365f80 | Donghe-Zhu | 2021-03-10 |
| 2b6c392 | Donghe-Zhu | 2021-03-10 |
| 9f58753 | Donghe-Zhu | 2021-03-10 |
| f2a7146 | Donghe-Zhu | 2021-03-10 |
| fd528ed | Donghe-Zhu | 2021-03-10 |
| 9d5a62c | Donghe-Zhu | 2021-03-10 |
| 5d1e70b | Donghe-Zhu | 2021-03-10 |
| 2093979 | Donghe-Zhu | 2021-03-10 |
| b865899 | Donghe-Zhu | 2021-03-10 |
| cc2a956 | Donghe-Zhu | 2021-03-10 |
| 60689fb | Donghe-Zhu | 2021-03-10 |
| dba33c8 | Donghe-Zhu | 2021-03-09 |
| 17f1c4a | Donghe-Zhu | 2021-03-09 |
| c024d1a | Donghe-Zhu | 2021-03-09 |
| 02f7242 | Donghe-Zhu | 2021-03-09 |
| 6f50bc6 | Donghe-Zhu | 2021-03-09 |
| 1691156 | Donghe-Zhu | 2021-03-08 |
| c0ceaf8 | Donghe-Zhu | 2021-03-08 |
| 112dea0 | Donghe-Zhu | 2021-03-08 |
| 1843412 | Donghe-Zhu | 2021-03-08 |
| 3fbbfa4 | Donghe-Zhu | 2021-03-07 |
| 627c8fb | Donghe-Zhu | 2021-03-07 |
| 9ef3222 | Donghe-Zhu | 2021-03-05 |
| 8c1e978 | Donghe-Zhu | 2021-03-05 |
| 865f68c | Donghe-Zhu | 2021-03-05 |
| ee69bc1 | Donghe-Zhu | 2021-03-05 |
| a79291f | Donghe-Zhu | 2021-03-05 |
| e8c6f30 | Donghe-Zhu | 2021-03-04 |
| 59288fe | Donghe-Zhu | 2021-03-04 |
| 731abc8 | Donghe-Zhu | 2021-03-04 |
| e2a5a33 | Donghe-Zhu | 2021-03-04 |
| c7892c1 | Donghe-Zhu | 2021-03-04 |
| 924430b | Donghe-Zhu | 2021-03-03 |
| 0d0bca1 | Donghe-Zhu | 2021-03-03 |
| cb63c16 | Donghe-Zhu | 2021-03-03 |
| ffda45a | Donghe-Zhu | 2021-03-03 |
| 691ba81 | Donghe-Zhu | 2021-03-03 |
| c5e45a2 | Donghe-Zhu | 2021-03-03 |
| 89c3e58 | Donghe-Zhu | 2021-03-03 |
| c407a50 | Donghe-Zhu | 2021-03-03 |
| c911669 | Donghe-Zhu | 2021-03-03 |
| b71c719 | Donghe-Zhu | 2021-03-01 |
| 13666ca | Donghe-Zhu | 2021-03-01 |
| c6e60fe | Donghe-Zhu | 2021-03-01 |
| 7a388f7 | Donghe-Zhu | 2021-03-01 |
| 799e913 | Donghe-Zhu | 2021-03-01 |
| 66ff99f | Donghe-Zhu | 2021-03-01 |
| ac9bb7a | Donghe-Zhu | 2021-02-28 |
| efdc047 | Donghe-Zhu | 2021-02-28 |
| e9a7418 | Donghe-Zhu | 2021-02-28 |
| e152917 | Donghe-Zhu | 2021-02-28 |
| 287123c | Donghe-Zhu | 2021-02-27 |
| 54d5b5b | Donghe-Zhu | 2021-02-27 |
| 330f064 | Donghe-Zhu | 2021-02-27 |
| adbc9bc | Donghe-Zhu | 2021-02-27 |
| 5937141 | Donghe-Zhu | 2021-02-27 |
| 4414bbf | Donghe-Zhu | 2021-02-27 |
| a265efb | Donghe-Zhu | 2021-02-27 |
| 19edd1e | Donghe-Zhu | 2021-02-27 |
| f20483f | Donghe-Zhu | 2021-02-26 |
| 6a2c7b3 | Donghe-Zhu | 2021-02-25 |
| 354c224 | Donghe-Zhu | 2021-02-24 |
| 1a0a88a | Donghe-Zhu | 2021-02-24 |
| 57f701e | Donghe-Zhu | 2021-02-24 |
| 06f3149 | Donghe-Zhu | 2021-02-16 |
| 401eab3 | Donghe-Zhu | 2021-02-15 |
| e3bba84 | Donghe-Zhu | 2021-02-15 |
| 5dce4b1 | Donghe-Zhu | 2021-02-15 |
| 4469a0c | Donghe-Zhu | 2021-02-13 |
| 5ae6a69 | Donghe-Zhu | 2021-02-10 |
| 05385dc | Donghe-Zhu | 2021-02-10 |
| f791ae4 | Donghe-Zhu | 2021-02-09 |
| f71ae34 | Donghe-Zhu | 2021-02-09 |
| c011832 | Donghe-Zhu | 2021-02-09 |
| a145fa7 | Donghe-Zhu | 2021-02-09 |
| c344e42 | Donghe-Zhu | 2021-02-08 |
| 2f095d7 | Donghe-Zhu | 2021-02-07 |
| 2305044 | Donghe-Zhu | 2021-02-07 |
| 1fad5f1 | Donghe-Zhu | 2021-02-07 |
| ca03c39 | Donghe-Zhu | 2021-02-07 |
| e2ffc14 | Donghe-Zhu | 2021-02-05 |
| cd7c52c | Donghe-Zhu | 2021-02-04 |
| bcf84f4 | Donghe-Zhu | 2021-02-02 |
| a518739 | Donghe-Zhu | 2021-02-01 |
| 61666de | Donghe-Zhu | 2021-01-31 |
| 865b582 | Donghe-Zhu | 2021-01-31 |
| 3e68089 | Donghe-Zhu | 2021-01-31 |
| ecf335c | Donghe-Zhu | 2021-01-31 |
| a618965 | Donghe-Zhu | 2021-01-31 |
| 59e006e | Donghe-Zhu | 2021-01-31 |
| a1c8f87 | Donghe-Zhu | 2021-01-31 |
| b50fe52 | Donghe-Zhu | 2021-01-31 |
| ac99ae5 | jens-daniel-mueller | 2021-01-29 |
| b5bdcaf | Donghe-Zhu | 2021-01-29 |
| 442010d | Donghe-Zhu | 2021-01-29 |
| 372adf5 | Donghe-Zhu | 2021-01-29 |
| af8788e | Donghe-Zhu | 2021-01-29 |
| 21c91c9 | Donghe-Zhu | 2021-01-29 |
| eded038 | Donghe-Zhu | 2021-01-29 |
| 541d4dd | Donghe-Zhu | 2021-01-29 |
| 6a75576 | Donghe-Zhu | 2021-01-28 |
| 16fba40 | Donghe-Zhu | 2021-01-28 |
| 12bc567 | Donghe-Zhu | 2021-01-27 |
| ceed31b | Donghe-Zhu | 2021-01-27 |
| 342402d | Donghe-Zhu | 2021-01-27 |
| 5bad5c2 | Donghe-Zhu | 2021-01-27 |
| 61efb56 | Donghe-Zhu | 2021-01-25 |
| 48f638e | Donghe-Zhu | 2021-01-25 |
| c1cec47 | Donghe-Zhu | 2021-01-25 |
| 05ffb0c | Donghe-Zhu | 2021-01-25 |
| 8b97165 | Donghe-Zhu | 2021-01-25 |
| c569946 | Donghe-Zhu | 2021-01-24 |
| a2f0d56 | Donghe-Zhu | 2021-01-23 |
| 28509fc | Donghe-Zhu | 2021-01-23 |
| 4c28e4a | Donghe-Zhu | 2021-01-22 |
| 24cc264 | jens-daniel-mueller | 2021-01-22 |
| 7891955 | Donghe-Zhu | 2021-01-21 |
| d4cf1cb | Donghe-Zhu | 2021-01-21 |
| 1f3e5b6 | jens-daniel-mueller | 2021-01-20 |
| 0e7bdf1 | jens-daniel-mueller | 2021-01-15 |
| 4571843 | jens-daniel-mueller | 2021-01-14 |
| b3564aa | jens-daniel-mueller | 2021-01-14 |
| 8d032c3 | jens-daniel-mueller | 2021-01-14 |
| 022871c | Donghe-Zhu | 2021-01-13 |

| Version | Author | Date |
|---|---|---|
| 90f70da | Donghe-Zhu | 2021-08-06 |
| 496fa02 | Donghe-Zhu | 2021-08-05 |
| 19ecfe2 | Donghe-Zhu | 2021-08-05 |
| 3253031 | Donghe-Zhu | 2021-08-05 |
| 6c70952 | Donghe-Zhu | 2021-08-01 |
| 2666bd7 | Donghe-Zhu | 2021-08-01 |
| e51cfa2 | Donghe-Zhu | 2021-08-01 |
| 78cbc18 | Donghe-Zhu | 2021-08-01 |
| c55d4d7 | Donghe-Zhu | 2021-08-01 |
| 26741db | Donghe-Zhu | 2021-08-01 |
| ca539b5 | Donghe-Zhu | 2021-08-01 |
| 1e98138 | Donghe-Zhu | 2021-08-01 |
| 777b9e9 | Donghe-Zhu | 2021-08-01 |
| b110c47 | Donghe-Zhu | 2021-08-01 |
| 3611a48 | Donghe-Zhu | 2021-08-01 |
| af832ef | Donghe-Zhu | 2021-07-31 |
| 016f9ed | Donghe-Zhu | 2021-07-31 |
| 2080ac5 | Donghe-Zhu | 2021-07-31 |
| 50f0a16 | Donghe-Zhu | 2021-07-31 |
| 1682579 | Donghe-Zhu | 2021-07-31 |
| 9fa8832 | Donghe-Zhu | 2021-07-31 |
| 4abf542 | Donghe-Zhu | 2021-07-31 |
| a2483f0 | Donghe-Zhu | 2021-07-31 |
| 3300527 | Donghe-Zhu | 2021-07-31 |
| afeb6fd | Donghe-Zhu | 2021-07-31 |
| cb3ef32 | Donghe-Zhu | 2021-07-31 |
| 6528618 | Donghe-Zhu | 2021-07-31 |
| f50925e | Donghe-Zhu | 2021-07-31 |
| f4de2f3 | Donghe-Zhu | 2021-07-30 |
| 43bc7b4 | Donghe-Zhu | 2021-07-30 |
| f8c34a8 | Donghe-Zhu | 2021-07-30 |
| 4f897c4 | Donghe-Zhu | 2021-07-30 |
| 0f6e960 | Donghe-Zhu | 2021-07-30 |
| fe067ea | Donghe-Zhu | 2021-07-30 |
| fbca39a | Donghe-Zhu | 2021-07-30 |
| f945f95 | Donghe-Zhu | 2021-07-30 |
| a3006cd | Donghe-Zhu | 2021-07-30 |
| a55ffdc | Donghe-Zhu | 2021-07-30 |
| d5e4458 | Donghe-Zhu | 2021-07-30 |
| 10a97ef | Donghe-Zhu | 2021-07-30 |
| 1c501fd | Donghe-Zhu | 2021-07-30 |
| 68bce3f | Donghe-Zhu | 2021-07-30 |
| 400c457 | Donghe-Zhu | 2021-07-29 |
| 3ba7852 | Donghe-Zhu | 2021-07-29 |
| ec68363 | Donghe-Zhu | 2021-07-28 |
| d3018f6 | Donghe-Zhu | 2021-07-28 |
| b8ba2c4 | Donghe-Zhu | 2021-07-28 |
| a4ddd84 | Donghe-Zhu | 2021-07-27 |
| 7ef49ab | Donghe-Zhu | 2021-07-27 |
| da818c0 | Donghe-Zhu | 2021-07-27 |
| 8623898 | Donghe-Zhu | 2021-07-27 |
| f84b77c | Donghe-Zhu | 2021-07-27 |
| 70ad9a5 | Donghe-Zhu | 2021-07-27 |
| 0d0b48d | Donghe-Zhu | 2021-07-27 |
| d0d97c6 | Donghe-Zhu | 2021-07-27 |
| 829510d | Donghe-Zhu | 2021-07-27 |
| 780627d | Donghe-Zhu | 2021-07-27 |
| e9838c9 | Donghe-Zhu | 2021-07-27 |
| 2777f33 | Donghe-Zhu | 2021-07-27 |
| d19760f | Donghe-Zhu | 2021-07-27 |
| cac5680 | Donghe-Zhu | 2021-07-23 |
| 7bb279a | Donghe-Zhu | 2021-07-23 |
| d52eac4 | Donghe-Zhu | 2021-07-23 |
| dcf34b1 | Donghe-Zhu | 2021-07-23 |
| 419cb72 | Donghe-Zhu | 2021-07-22 |
| 9447d10 | Donghe-Zhu | 2021-07-22 |
| 639c9a0 | Donghe-Zhu | 2021-07-22 |
| 25bb96f | Donghe-Zhu | 2021-07-22 |
| cdc98a3 | Donghe-Zhu | 2021-07-22 |
| e4805a1 | Donghe-Zhu | 2021-07-22 |
| 7957fd1 | Donghe-Zhu | 2021-07-21 |
| b94be4e | Donghe-Zhu | 2021-07-21 |
| 9950e70 | Donghe-Zhu | 2021-07-21 |
| 698b6f0 | Donghe-Zhu | 2021-07-20 |
| d84a1cb | Donghe-Zhu | 2021-07-20 |
| 4dce223 | Donghe-Zhu | 2021-07-20 |
| 6f28c0c | Donghe-Zhu | 2021-07-20 |
| db1e7b7 | Donghe-Zhu | 2021-07-19 |
| ff0575d | Donghe-Zhu | 2021-07-19 |
| 5d60eac | Donghe-Zhu | 2021-07-19 |
| 57d0420 | Donghe-Zhu | 2021-07-16 |
| c1be8f6 | Donghe-Zhu | 2021-07-16 |
| 26a7c15 | Donghe-Zhu | 2021-07-16 |
| 046902b | Donghe-Zhu | 2021-07-16 |
| 3d4ac14 | Donghe-Zhu | 2021-07-15 |
| be6fff9 | Donghe-Zhu | 2021-07-15 |
| b473472 | Donghe-Zhu | 2021-07-15 |
| 363270a | Donghe-Zhu | 2021-07-15 |
| 8b75a03 | Donghe-Zhu | 2021-07-15 |
| a01e135 | Donghe-Zhu | 2021-07-07 |
| bc83ef2 | Donghe-Zhu | 2021-07-07 |
| 75e7b07 | Donghe-Zhu | 2021-07-06 |
| 697aa6d | Donghe-Zhu | 2021-07-06 |
| d52e2de | Donghe-Zhu | 2021-07-06 |
| f2bde6b | Donghe-Zhu | 2021-07-06 |
| 1133f28 | Donghe-Zhu | 2021-07-06 |
| fe3a1cd | Donghe-Zhu | 2021-07-06 |
| d9cdf15 | Donghe-Zhu | 2021-07-06 |
| ee4cd2d | Donghe-Zhu | 2021-07-06 |
| 93821c1 | Donghe-Zhu | 2021-07-05 |
| d44db8e | Donghe-Zhu | 2021-07-05 |
| 20b3436 | Donghe-Zhu | 2021-07-05 |
| d982ea5 | Donghe-Zhu | 2021-07-05 |
| 7397e53 | Donghe-Zhu | 2021-07-05 |
| f2e4805 | Donghe-Zhu | 2021-07-05 |
| e2d011a | Donghe-Zhu | 2021-07-05 |
| 85e0349 | Donghe-Zhu | 2021-07-05 |
| 6ee0146 | Donghe-Zhu | 2021-07-05 |
| a482a6b | Donghe-Zhu | 2021-07-05 |
| f59f1b3 | Donghe-Zhu | 2021-07-05 |
| 116bcab | Donghe-Zhu | 2021-07-04 |
| cb1c8dc | Donghe-Zhu | 2021-07-04 |
| c9bdd83 | Donghe-Zhu | 2021-07-04 |
| 1920ad9 | Donghe-Zhu | 2021-07-04 |
| 0b02791 | Donghe-Zhu | 2021-06-25 |
| caf62d8 | Donghe-Zhu | 2021-06-25 |
| 90a9da5 | Donghe-Zhu | 2021-06-25 |
| bb413c8 | Donghe-Zhu | 2021-06-25 |
| e7a5266 | Donghe-Zhu | 2021-06-24 |
| 7c57720 | Donghe-Zhu | 2021-06-24 |
| b5b95a9 | Donghe-Zhu | 2021-06-24 |
| 472aad4 | Donghe-Zhu | 2021-06-24 |
| d517836 | Donghe-Zhu | 2021-06-24 |
| 9221bfe | Donghe-Zhu | 2021-06-24 |
| bff5fbf | Donghe-Zhu | 2021-06-23 |
| 256a616 | Donghe-Zhu | 2021-06-23 |
| 00072e2 | Donghe-Zhu | 2021-06-23 |
| 7431530 | Donghe-Zhu | 2021-06-20 |
| d20c383 | Donghe-Zhu | 2021-06-18 |
| b0874a2 | Donghe-Zhu | 2021-06-17 |
| 72c2f2e | Donghe-Zhu | 2021-06-15 |
| d97dcb6 | Donghe-Zhu | 2021-06-08 |
| 25dda1d | Donghe-Zhu | 2021-06-08 |
| bd2bcc3 | Donghe-Zhu | 2021-06-08 |
| e9b27d7 | Donghe-Zhu | 2021-06-07 |
| 7ae0d4b | Donghe-Zhu | 2021-06-07 |
| 325391f | Donghe-Zhu | 2021-06-07 |
| ed89970 | Donghe-Zhu | 2021-06-07 |
| df37958 | Donghe-Zhu | 2021-06-07 |
| 812bf63 | Donghe-Zhu | 2021-06-06 |
| 65c89c8 | Donghe-Zhu | 2021-06-06 |
| 9baa3b2 | Donghe-Zhu | 2021-06-06 |
| b7d99cf | Donghe-Zhu | 2021-06-06 |
| 5d8fa90 | Donghe-Zhu | 2021-06-06 |
| dbe2a95 | Donghe-Zhu | 2021-05-28 |
| d50b039 | Donghe-Zhu | 2021-05-28 |
| 441ebe5 | Donghe-Zhu | 2021-05-28 |
| 6262ad3 | Donghe-Zhu | 2021-05-28 |
| a61aa77 | Donghe-Zhu | 2021-05-28 |
| b8dbce4 | Donghe-Zhu | 2021-05-28 |
| 94a833e | Donghe-Zhu | 2021-05-27 |
| 5e0bd64 | Donghe-Zhu | 2021-05-27 |
| af1eadd | Donghe-Zhu | 2021-05-27 |
| 9179bfe | Donghe-Zhu | 2021-05-27 |
| 28cbe5e | Donghe-Zhu | 2021-05-27 |
| a618f02 | Donghe-Zhu | 2021-05-27 |
| 4623e38 | Donghe-Zhu | 2021-05-27 |
| b81bb49 | Donghe-Zhu | 2021-05-27 |
| 951e188 | Donghe-Zhu | 2021-05-27 |
| e377833 | Donghe-Zhu | 2021-05-26 |
| 2705a04 | Donghe-Zhu | 2021-03-28 |
| cd5f759 | Donghe-Zhu | 2021-03-28 |
| 75dda4d | Donghe-Zhu | 2021-03-27 |
| 0b19f6e | Donghe-Zhu | 2021-03-27 |
| e2704ca | Donghe-Zhu | 2021-03-27 |
| 3061a0b | Donghe-Zhu | 2021-03-27 |
| b883157 | Donghe-Zhu | 2021-03-27 |
| d19654d | Donghe-Zhu | 2021-03-26 |
| 6c53dbf | Donghe-Zhu | 2021-03-25 |
| 1914a11 | Donghe-Zhu | 2021-03-24 |
| 8be810e | Donghe-Zhu | 2021-03-23 |
| bf19764 | Donghe-Zhu | 2021-03-22 |
| 3ec9d3d | Donghe-Zhu | 2021-03-22 |
| 134ace1 | Donghe-Zhu | 2021-03-22 |
| f6d70a4 | Donghe-Zhu | 2021-03-22 |
| 183443b | Donghe-Zhu | 2021-03-21 |
| 2e6976b | Donghe-Zhu | 2021-03-21 |
| 51a42bd | Donghe-Zhu | 2021-03-16 |
| f745381 | Donghe-Zhu | 2021-03-16 |
| aecbf75 | Donghe-Zhu | 2021-03-14 |
| 1b2a0c2 | Donghe-Zhu | 2021-03-14 |
| 6733e48 | Donghe-Zhu | 2021-03-12 |
| ba71e6a | Donghe-Zhu | 2021-03-12 |
| 9dbf5bd | Donghe-Zhu | 2021-03-11 |
| a49df30 | Donghe-Zhu | 2021-03-11 |
| b3348a5 | Donghe-Zhu | 2021-03-11 |
| 1c24ff7 | Donghe-Zhu | 2021-03-10 |
| 94ce5a8 | Donghe-Zhu | 2021-03-10 |
| db33928 | Donghe-Zhu | 2021-03-10 |
| 3d1f470 | Donghe-Zhu | 2021-03-10 |
| 9b7bc66 | Donghe-Zhu | 2021-03-10 |
| 4168b43 | Donghe-Zhu | 2021-03-10 |
| 5365f80 | Donghe-Zhu | 2021-03-10 |
| 2b6c392 | Donghe-Zhu | 2021-03-10 |
| 9f58753 | Donghe-Zhu | 2021-03-10 |
| f2a7146 | Donghe-Zhu | 2021-03-10 |
| fd528ed | Donghe-Zhu | 2021-03-10 |
| 9d5a62c | Donghe-Zhu | 2021-03-10 |
| 5d1e70b | Donghe-Zhu | 2021-03-10 |
| 2093979 | Donghe-Zhu | 2021-03-10 |
| b865899 | Donghe-Zhu | 2021-03-10 |
| cc2a956 | Donghe-Zhu | 2021-03-10 |
| 60689fb | Donghe-Zhu | 2021-03-10 |
| dba33c8 | Donghe-Zhu | 2021-03-09 |
| 17f1c4a | Donghe-Zhu | 2021-03-09 |
| c024d1a | Donghe-Zhu | 2021-03-09 |
| 02f7242 | Donghe-Zhu | 2021-03-09 |
| 6f50bc6 | Donghe-Zhu | 2021-03-09 |
| 1691156 | Donghe-Zhu | 2021-03-08 |
| c0ceaf8 | Donghe-Zhu | 2021-03-08 |
| 058e0a1 | Donghe-Zhu | 2021-03-08 |
| 112dea0 | Donghe-Zhu | 2021-03-08 |
| 1843412 | Donghe-Zhu | 2021-03-08 |
| 3fbbfa4 | Donghe-Zhu | 2021-03-07 |
| 627c8fb | Donghe-Zhu | 2021-03-07 |
| 9ef3222 | Donghe-Zhu | 2021-03-05 |
| 8c1e978 | Donghe-Zhu | 2021-03-05 |
| 865f68c | Donghe-Zhu | 2021-03-05 |
| ee69bc1 | Donghe-Zhu | 2021-03-05 |
| a79291f | Donghe-Zhu | 2021-03-05 |
| e8c6f30 | Donghe-Zhu | 2021-03-04 |
| 59288fe | Donghe-Zhu | 2021-03-04 |
| 731abc8 | Donghe-Zhu | 2021-03-04 |
| e2a5a33 | Donghe-Zhu | 2021-03-04 |
| c7892c1 | Donghe-Zhu | 2021-03-04 |
| 924430b | Donghe-Zhu | 2021-03-03 |
| 0d0bca1 | Donghe-Zhu | 2021-03-03 |
| cb63c16 | Donghe-Zhu | 2021-03-03 |
| ffda45a | Donghe-Zhu | 2021-03-03 |
| 691ba81 | Donghe-Zhu | 2021-03-03 |
| c5e45a2 | Donghe-Zhu | 2021-03-03 |
| 89c3e58 | Donghe-Zhu | 2021-03-03 |
| c407a50 | Donghe-Zhu | 2021-03-03 |
| c911669 | Donghe-Zhu | 2021-03-03 |
| b71c719 | Donghe-Zhu | 2021-03-01 |
| 13666ca | Donghe-Zhu | 2021-03-01 |
| c6e60fe | Donghe-Zhu | 2021-03-01 |
| 7a388f7 | Donghe-Zhu | 2021-03-01 |
| 799e913 | Donghe-Zhu | 2021-03-01 |
| 66ff99f | Donghe-Zhu | 2021-03-01 |
| ac9bb7a | Donghe-Zhu | 2021-02-28 |
| efdc047 | Donghe-Zhu | 2021-02-28 |
| e9a7418 | Donghe-Zhu | 2021-02-28 |
| e152917 | Donghe-Zhu | 2021-02-28 |
| 287123c | Donghe-Zhu | 2021-02-27 |
| 54d5b5b | Donghe-Zhu | 2021-02-27 |
| 330f064 | Donghe-Zhu | 2021-02-27 |
| adbc9bc | Donghe-Zhu | 2021-02-27 |
| 5937141 | Donghe-Zhu | 2021-02-27 |
| 4414bbf | Donghe-Zhu | 2021-02-27 |
| a265efb | Donghe-Zhu | 2021-02-27 |
| 19edd1e | Donghe-Zhu | 2021-02-27 |
| f20483f | Donghe-Zhu | 2021-02-26 |
| 6a2c7b3 | Donghe-Zhu | 2021-02-25 |
| 354c224 | Donghe-Zhu | 2021-02-24 |
| 1a0a88a | Donghe-Zhu | 2021-02-24 |
| 57f701e | Donghe-Zhu | 2021-02-24 |
| 06f3149 | Donghe-Zhu | 2021-02-16 |
| 401eab3 | Donghe-Zhu | 2021-02-15 |
| e3bba84 | Donghe-Zhu | 2021-02-15 |
| 5dce4b1 | Donghe-Zhu | 2021-02-15 |
| 4469a0c | Donghe-Zhu | 2021-02-13 |
| 5ae6a69 | Donghe-Zhu | 2021-02-10 |
| 05385dc | Donghe-Zhu | 2021-02-10 |
| f791ae4 | Donghe-Zhu | 2021-02-09 |
| f71ae34 | Donghe-Zhu | 2021-02-09 |
| c011832 | Donghe-Zhu | 2021-02-09 |
| a145fa7 | Donghe-Zhu | 2021-02-09 |
| c344e42 | Donghe-Zhu | 2021-02-08 |
| 2f095d7 | Donghe-Zhu | 2021-02-07 |
| 2305044 | Donghe-Zhu | 2021-02-07 |
| 1fad5f1 | Donghe-Zhu | 2021-02-07 |
| ca03c39 | Donghe-Zhu | 2021-02-07 |
| e2ffc14 | Donghe-Zhu | 2021-02-05 |
| cd7c52c | Donghe-Zhu | 2021-02-04 |
| bcf84f4 | Donghe-Zhu | 2021-02-02 |
| a518739 | Donghe-Zhu | 2021-02-01 |
| 61666de | Donghe-Zhu | 2021-01-31 |
| 865b582 | Donghe-Zhu | 2021-01-31 |
| 3e68089 | Donghe-Zhu | 2021-01-31 |
| ecf335c | Donghe-Zhu | 2021-01-31 |
| a618965 | Donghe-Zhu | 2021-01-31 |
| 59e006e | Donghe-Zhu | 2021-01-31 |
| a1c8f87 | Donghe-Zhu | 2021-01-31 |
| ae5c18f | Donghe-Zhu | 2021-01-31 |
| b50fe52 | Donghe-Zhu | 2021-01-31 |
| ac99ae5 | jens-daniel-mueller | 2021-01-29 |
| b5bdcaf | Donghe-Zhu | 2021-01-29 |
| 442010d | Donghe-Zhu | 2021-01-29 |
| 372adf5 | Donghe-Zhu | 2021-01-29 |
| af8788e | Donghe-Zhu | 2021-01-29 |
| 21c91c9 | Donghe-Zhu | 2021-01-29 |
| eded038 | Donghe-Zhu | 2021-01-29 |
| 541d4dd | Donghe-Zhu | 2021-01-29 |
| 6a75576 | Donghe-Zhu | 2021-01-28 |
| 16fba40 | Donghe-Zhu | 2021-01-28 |
| 12bc567 | Donghe-Zhu | 2021-01-27 |
| ceed31b | Donghe-Zhu | 2021-01-27 |
| 342402d | Donghe-Zhu | 2021-01-27 |
| 5bad5c2 | Donghe-Zhu | 2021-01-27 |
| 61efb56 | Donghe-Zhu | 2021-01-25 |
| 48f638e | Donghe-Zhu | 2021-01-25 |
| c1cec47 | Donghe-Zhu | 2021-01-25 |
| 05ffb0c | Donghe-Zhu | 2021-01-25 |
| 8b97165 | Donghe-Zhu | 2021-01-25 |
| c569946 | Donghe-Zhu | 2021-01-24 |
| a2f0d56 | Donghe-Zhu | 2021-01-23 |
| 28509fc | Donghe-Zhu | 2021-01-23 |
| 4c28e4a | Donghe-Zhu | 2021-01-22 |
| 24cc264 | jens-daniel-mueller | 2021-01-22 |
| 7891955 | Donghe-Zhu | 2021-01-21 |
| d4cf1cb | Donghe-Zhu | 2021-01-21 |
| 1f3e5b6 | jens-daniel-mueller | 2021-01-20 |
| 0e7bdf1 | jens-daniel-mueller | 2021-01-15 |
| 4571843 | jens-daniel-mueller | 2021-01-14 |
| b3564aa | jens-daniel-mueller | 2021-01-14 |
| 8d032c3 | jens-daniel-mueller | 2021-01-14 |
| 022871c | Donghe-Zhu | 2021-01-13 |

| Version | Author | Date |
|---|---|---|
| 90f70da | Donghe-Zhu | 2021-08-06 |
| 496fa02 | Donghe-Zhu | 2021-08-05 |
| 19ecfe2 | Donghe-Zhu | 2021-08-05 |
| 3253031 | Donghe-Zhu | 2021-08-05 |
| 6c70952 | Donghe-Zhu | 2021-08-01 |
| 2666bd7 | Donghe-Zhu | 2021-08-01 |
| e51cfa2 | Donghe-Zhu | 2021-08-01 |
| 78cbc18 | Donghe-Zhu | 2021-08-01 |
| c55d4d7 | Donghe-Zhu | 2021-08-01 |
| 26741db | Donghe-Zhu | 2021-08-01 |
| ca539b5 | Donghe-Zhu | 2021-08-01 |
| 1e98138 | Donghe-Zhu | 2021-08-01 |
| 777b9e9 | Donghe-Zhu | 2021-08-01 |
| b110c47 | Donghe-Zhu | 2021-08-01 |
| 3611a48 | Donghe-Zhu | 2021-08-01 |
| af832ef | Donghe-Zhu | 2021-07-31 |
| 016f9ed | Donghe-Zhu | 2021-07-31 |
| 2080ac5 | Donghe-Zhu | 2021-07-31 |
| 50f0a16 | Donghe-Zhu | 2021-07-31 |
| 1682579 | Donghe-Zhu | 2021-07-31 |
| 9fa8832 | Donghe-Zhu | 2021-07-31 |
| 4abf542 | Donghe-Zhu | 2021-07-31 |
| a2483f0 | Donghe-Zhu | 2021-07-31 |
| 3300527 | Donghe-Zhu | 2021-07-31 |
| afeb6fd | Donghe-Zhu | 2021-07-31 |
| cb3ef32 | Donghe-Zhu | 2021-07-31 |
| 6528618 | Donghe-Zhu | 2021-07-31 |
| f50925e | Donghe-Zhu | 2021-07-31 |
| f4de2f3 | Donghe-Zhu | 2021-07-30 |
| 43bc7b4 | Donghe-Zhu | 2021-07-30 |
| f8c34a8 | Donghe-Zhu | 2021-07-30 |
| 4f897c4 | Donghe-Zhu | 2021-07-30 |
| 0f6e960 | Donghe-Zhu | 2021-07-30 |
| fe067ea | Donghe-Zhu | 2021-07-30 |
| fbca39a | Donghe-Zhu | 2021-07-30 |
| f945f95 | Donghe-Zhu | 2021-07-30 |
| a3006cd | Donghe-Zhu | 2021-07-30 |
| a55ffdc | Donghe-Zhu | 2021-07-30 |
| d5e4458 | Donghe-Zhu | 2021-07-30 |
| 10a97ef | Donghe-Zhu | 2021-07-30 |
| 1c501fd | Donghe-Zhu | 2021-07-30 |
| 68bce3f | Donghe-Zhu | 2021-07-30 |
| 400c457 | Donghe-Zhu | 2021-07-29 |
| 3ba7852 | Donghe-Zhu | 2021-07-29 |
| ec68363 | Donghe-Zhu | 2021-07-28 |
| d3018f6 | Donghe-Zhu | 2021-07-28 |
| b8ba2c4 | Donghe-Zhu | 2021-07-28 |
| a4ddd84 | Donghe-Zhu | 2021-07-27 |
| 7ef49ab | Donghe-Zhu | 2021-07-27 |
| da818c0 | Donghe-Zhu | 2021-07-27 |
| 8623898 | Donghe-Zhu | 2021-07-27 |
| f84b77c | Donghe-Zhu | 2021-07-27 |
| 70ad9a5 | Donghe-Zhu | 2021-07-27 |
| 0d0b48d | Donghe-Zhu | 2021-07-27 |
| d0d97c6 | Donghe-Zhu | 2021-07-27 |
| 829510d | Donghe-Zhu | 2021-07-27 |
| 780627d | Donghe-Zhu | 2021-07-27 |
| e9838c9 | Donghe-Zhu | 2021-07-27 |
| 2777f33 | Donghe-Zhu | 2021-07-27 |
| d19760f | Donghe-Zhu | 2021-07-27 |
| cac5680 | Donghe-Zhu | 2021-07-23 |
| 7bb279a | Donghe-Zhu | 2021-07-23 |
| d52eac4 | Donghe-Zhu | 2021-07-23 |
| dcf34b1 | Donghe-Zhu | 2021-07-23 |
| 419cb72 | Donghe-Zhu | 2021-07-22 |
| 9447d10 | Donghe-Zhu | 2021-07-22 |
| 639c9a0 | Donghe-Zhu | 2021-07-22 |
| 25bb96f | Donghe-Zhu | 2021-07-22 |
| cdc98a3 | Donghe-Zhu | 2021-07-22 |
| e4805a1 | Donghe-Zhu | 2021-07-22 |
| 7957fd1 | Donghe-Zhu | 2021-07-21 |
| b94be4e | Donghe-Zhu | 2021-07-21 |
| 9950e70 | Donghe-Zhu | 2021-07-21 |
| 698b6f0 | Donghe-Zhu | 2021-07-20 |
| d84a1cb | Donghe-Zhu | 2021-07-20 |
| 4dce223 | Donghe-Zhu | 2021-07-20 |
| 6f28c0c | Donghe-Zhu | 2021-07-20 |
| db1e7b7 | Donghe-Zhu | 2021-07-19 |
| ff0575d | Donghe-Zhu | 2021-07-19 |
| 5d60eac | Donghe-Zhu | 2021-07-19 |
| 57d0420 | Donghe-Zhu | 2021-07-16 |
| c1be8f6 | Donghe-Zhu | 2021-07-16 |
| 26a7c15 | Donghe-Zhu | 2021-07-16 |
| 046902b | Donghe-Zhu | 2021-07-16 |
| 3d4ac14 | Donghe-Zhu | 2021-07-15 |
| be6fff9 | Donghe-Zhu | 2021-07-15 |
| b473472 | Donghe-Zhu | 2021-07-15 |
| 363270a | Donghe-Zhu | 2021-07-15 |
| 8b75a03 | Donghe-Zhu | 2021-07-15 |
| a01e135 | Donghe-Zhu | 2021-07-07 |
| bc83ef2 | Donghe-Zhu | 2021-07-07 |
| 75e7b07 | Donghe-Zhu | 2021-07-06 |
| 697aa6d | Donghe-Zhu | 2021-07-06 |
| d52e2de | Donghe-Zhu | 2021-07-06 |
| f2bde6b | Donghe-Zhu | 2021-07-06 |
| 1133f28 | Donghe-Zhu | 2021-07-06 |
| fe3a1cd | Donghe-Zhu | 2021-07-06 |
| d9cdf15 | Donghe-Zhu | 2021-07-06 |
| ee4cd2d | Donghe-Zhu | 2021-07-06 |
| 93821c1 | Donghe-Zhu | 2021-07-05 |
| d44db8e | Donghe-Zhu | 2021-07-05 |
| 20b3436 | Donghe-Zhu | 2021-07-05 |
| d982ea5 | Donghe-Zhu | 2021-07-05 |
| 7397e53 | Donghe-Zhu | 2021-07-05 |
| f2e4805 | Donghe-Zhu | 2021-07-05 |
| e2d011a | Donghe-Zhu | 2021-07-05 |
| 85e0349 | Donghe-Zhu | 2021-07-05 |
| 6ee0146 | Donghe-Zhu | 2021-07-05 |
| a482a6b | Donghe-Zhu | 2021-07-05 |
| f59f1b3 | Donghe-Zhu | 2021-07-05 |
| 116bcab | Donghe-Zhu | 2021-07-04 |
| cb1c8dc | Donghe-Zhu | 2021-07-04 |
| c9bdd83 | Donghe-Zhu | 2021-07-04 |
| 1920ad9 | Donghe-Zhu | 2021-07-04 |
| 0b02791 | Donghe-Zhu | 2021-06-25 |
| caf62d8 | Donghe-Zhu | 2021-06-25 |
| 90a9da5 | Donghe-Zhu | 2021-06-25 |
| bb413c8 | Donghe-Zhu | 2021-06-25 |
| e7a5266 | Donghe-Zhu | 2021-06-24 |
| 7c57720 | Donghe-Zhu | 2021-06-24 |
| b5b95a9 | Donghe-Zhu | 2021-06-24 |
| 472aad4 | Donghe-Zhu | 2021-06-24 |
| d517836 | Donghe-Zhu | 2021-06-24 |
| 9221bfe | Donghe-Zhu | 2021-06-24 |
| bff5fbf | Donghe-Zhu | 2021-06-23 |
| 256a616 | Donghe-Zhu | 2021-06-23 |
| 00072e2 | Donghe-Zhu | 2021-06-23 |
| 7431530 | Donghe-Zhu | 2021-06-20 |
| d20c383 | Donghe-Zhu | 2021-06-18 |
| b0874a2 | Donghe-Zhu | 2021-06-17 |
| 72c2f2e | Donghe-Zhu | 2021-06-15 |
| d97dcb6 | Donghe-Zhu | 2021-06-08 |
| 25dda1d | Donghe-Zhu | 2021-06-08 |
| bd2bcc3 | Donghe-Zhu | 2021-06-08 |
| e9b27d7 | Donghe-Zhu | 2021-06-07 |
| 7ae0d4b | Donghe-Zhu | 2021-06-07 |
| 325391f | Donghe-Zhu | 2021-06-07 |
| ed89970 | Donghe-Zhu | 2021-06-07 |
| df37958 | Donghe-Zhu | 2021-06-07 |
| 812bf63 | Donghe-Zhu | 2021-06-06 |
| 65c89c8 | Donghe-Zhu | 2021-06-06 |
| 9baa3b2 | Donghe-Zhu | 2021-06-06 |
| b7d99cf | Donghe-Zhu | 2021-06-06 |
| 5d8fa90 | Donghe-Zhu | 2021-06-06 |
| dbe2a95 | Donghe-Zhu | 2021-05-28 |
| d50b039 | Donghe-Zhu | 2021-05-28 |
| 441ebe5 | Donghe-Zhu | 2021-05-28 |
| 6262ad3 | Donghe-Zhu | 2021-05-28 |
| a61aa77 | Donghe-Zhu | 2021-05-28 |
| b8dbce4 | Donghe-Zhu | 2021-05-28 |
| 94a833e | Donghe-Zhu | 2021-05-27 |
| 5e0bd64 | Donghe-Zhu | 2021-05-27 |
| af1eadd | Donghe-Zhu | 2021-05-27 |
| 9179bfe | Donghe-Zhu | 2021-05-27 |
| 28cbe5e | Donghe-Zhu | 2021-05-27 |
| a618f02 | Donghe-Zhu | 2021-05-27 |
| 4623e38 | Donghe-Zhu | 2021-05-27 |
| b81bb49 | Donghe-Zhu | 2021-05-27 |
| 951e188 | Donghe-Zhu | 2021-05-27 |
| e377833 | Donghe-Zhu | 2021-05-26 |
| 2705a04 | Donghe-Zhu | 2021-03-28 |
| cd5f759 | Donghe-Zhu | 2021-03-28 |
| 75dda4d | Donghe-Zhu | 2021-03-27 |
| 0b19f6e | Donghe-Zhu | 2021-03-27 |
| e2704ca | Donghe-Zhu | 2021-03-27 |
| 3061a0b | Donghe-Zhu | 2021-03-27 |
| b883157 | Donghe-Zhu | 2021-03-27 |
| d19654d | Donghe-Zhu | 2021-03-26 |
| 6c53dbf | Donghe-Zhu | 2021-03-25 |
| 1914a11 | Donghe-Zhu | 2021-03-24 |
| 8be810e | Donghe-Zhu | 2021-03-23 |
| bf19764 | Donghe-Zhu | 2021-03-22 |
| 3ec9d3d | Donghe-Zhu | 2021-03-22 |
| 134ace1 | Donghe-Zhu | 2021-03-22 |
| f6d70a4 | Donghe-Zhu | 2021-03-22 |
| 183443b | Donghe-Zhu | 2021-03-21 |
| 2e6976b | Donghe-Zhu | 2021-03-21 |
| 51a42bd | Donghe-Zhu | 2021-03-16 |
| f745381 | Donghe-Zhu | 2021-03-16 |
| aecbf75 | Donghe-Zhu | 2021-03-14 |
| 1b2a0c2 | Donghe-Zhu | 2021-03-14 |
| 6733e48 | Donghe-Zhu | 2021-03-12 |
| ba71e6a | Donghe-Zhu | 2021-03-12 |
| 9dbf5bd | Donghe-Zhu | 2021-03-11 |
| a49df30 | Donghe-Zhu | 2021-03-11 |
| b3348a5 | Donghe-Zhu | 2021-03-11 |
| 1c24ff7 | Donghe-Zhu | 2021-03-10 |
| 94ce5a8 | Donghe-Zhu | 2021-03-10 |
| db33928 | Donghe-Zhu | 2021-03-10 |
| 3d1f470 | Donghe-Zhu | 2021-03-10 |
| 9b7bc66 | Donghe-Zhu | 2021-03-10 |
| 4168b43 | Donghe-Zhu | 2021-03-10 |
| 5365f80 | Donghe-Zhu | 2021-03-10 |
| 2b6c392 | Donghe-Zhu | 2021-03-10 |
| 9f58753 | Donghe-Zhu | 2021-03-10 |
| f2a7146 | Donghe-Zhu | 2021-03-10 |
| fd528ed | Donghe-Zhu | 2021-03-10 |
| 9d5a62c | Donghe-Zhu | 2021-03-10 |
| 5d1e70b | Donghe-Zhu | 2021-03-10 |
| 2093979 | Donghe-Zhu | 2021-03-10 |
| b865899 | Donghe-Zhu | 2021-03-10 |
| cc2a956 | Donghe-Zhu | 2021-03-10 |
| 60689fb | Donghe-Zhu | 2021-03-10 |
| dba33c8 | Donghe-Zhu | 2021-03-09 |
| 17f1c4a | Donghe-Zhu | 2021-03-09 |
| c024d1a | Donghe-Zhu | 2021-03-09 |
| 02f7242 | Donghe-Zhu | 2021-03-09 |
| 6f50bc6 | Donghe-Zhu | 2021-03-09 |
| 1691156 | Donghe-Zhu | 2021-03-08 |
| c0ceaf8 | Donghe-Zhu | 2021-03-08 |
| 058e0a1 | Donghe-Zhu | 2021-03-08 |
| 112dea0 | Donghe-Zhu | 2021-03-08 |
| 1843412 | Donghe-Zhu | 2021-03-08 |
| 3fbbfa4 | Donghe-Zhu | 2021-03-07 |
| 627c8fb | Donghe-Zhu | 2021-03-07 |
| 9ef3222 | Donghe-Zhu | 2021-03-05 |
| 8c1e978 | Donghe-Zhu | 2021-03-05 |
| 865f68c | Donghe-Zhu | 2021-03-05 |
| ee69bc1 | Donghe-Zhu | 2021-03-05 |
| a79291f | Donghe-Zhu | 2021-03-05 |
| e8c6f30 | Donghe-Zhu | 2021-03-04 |
| 59288fe | Donghe-Zhu | 2021-03-04 |
| 731abc8 | Donghe-Zhu | 2021-03-04 |
| e2a5a33 | Donghe-Zhu | 2021-03-04 |
| c7892c1 | Donghe-Zhu | 2021-03-04 |
| 924430b | Donghe-Zhu | 2021-03-03 |
| 0d0bca1 | Donghe-Zhu | 2021-03-03 |
| cb63c16 | Donghe-Zhu | 2021-03-03 |
| ffda45a | Donghe-Zhu | 2021-03-03 |
| 691ba81 | Donghe-Zhu | 2021-03-03 |
| c5e45a2 | Donghe-Zhu | 2021-03-03 |
| 89c3e58 | Donghe-Zhu | 2021-03-03 |
| c407a50 | Donghe-Zhu | 2021-03-03 |
| c911669 | Donghe-Zhu | 2021-03-03 |
| b71c719 | Donghe-Zhu | 2021-03-01 |
| 13666ca | Donghe-Zhu | 2021-03-01 |
| c6e60fe | Donghe-Zhu | 2021-03-01 |
| 7a388f7 | Donghe-Zhu | 2021-03-01 |
| 799e913 | Donghe-Zhu | 2021-03-01 |
| 66ff99f | Donghe-Zhu | 2021-03-01 |
| ac9bb7a | Donghe-Zhu | 2021-02-28 |
| efdc047 | Donghe-Zhu | 2021-02-28 |
| e9a7418 | Donghe-Zhu | 2021-02-28 |
| e152917 | Donghe-Zhu | 2021-02-28 |
| 287123c | Donghe-Zhu | 2021-02-27 |
| 54d5b5b | Donghe-Zhu | 2021-02-27 |
| 330f064 | Donghe-Zhu | 2021-02-27 |
| adbc9bc | Donghe-Zhu | 2021-02-27 |
| 5937141 | Donghe-Zhu | 2021-02-27 |
| 4414bbf | Donghe-Zhu | 2021-02-27 |
| a265efb | Donghe-Zhu | 2021-02-27 |
| 19edd1e | Donghe-Zhu | 2021-02-27 |
| f20483f | Donghe-Zhu | 2021-02-26 |
| 6a2c7b3 | Donghe-Zhu | 2021-02-25 |
| 354c224 | Donghe-Zhu | 2021-02-24 |
| 1a0a88a | Donghe-Zhu | 2021-02-24 |
| 57f701e | Donghe-Zhu | 2021-02-24 |
| 06f3149 | Donghe-Zhu | 2021-02-16 |
| 401eab3 | Donghe-Zhu | 2021-02-15 |
| e3bba84 | Donghe-Zhu | 2021-02-15 |
| 5dce4b1 | Donghe-Zhu | 2021-02-15 |
| 4469a0c | Donghe-Zhu | 2021-02-13 |
| 5ae6a69 | Donghe-Zhu | 2021-02-10 |
| 05385dc | Donghe-Zhu | 2021-02-10 |
| f791ae4 | Donghe-Zhu | 2021-02-09 |
| f71ae34 | Donghe-Zhu | 2021-02-09 |
| c011832 | Donghe-Zhu | 2021-02-09 |
| a145fa7 | Donghe-Zhu | 2021-02-09 |
| c344e42 | Donghe-Zhu | 2021-02-08 |
| 2f095d7 | Donghe-Zhu | 2021-02-07 |
| 2305044 | Donghe-Zhu | 2021-02-07 |
| 1fad5f1 | Donghe-Zhu | 2021-02-07 |
| ca03c39 | Donghe-Zhu | 2021-02-07 |
| e2ffc14 | Donghe-Zhu | 2021-02-05 |
| cd7c52c | Donghe-Zhu | 2021-02-04 |
| bcf84f4 | Donghe-Zhu | 2021-02-02 |
| a518739 | Donghe-Zhu | 2021-02-01 |
| 61666de | Donghe-Zhu | 2021-01-31 |
| 865b582 | Donghe-Zhu | 2021-01-31 |
| 3e68089 | Donghe-Zhu | 2021-01-31 |
| ecf335c | Donghe-Zhu | 2021-01-31 |
| a618965 | Donghe-Zhu | 2021-01-31 |
| 59e006e | Donghe-Zhu | 2021-01-31 |
| ae5c18f | Donghe-Zhu | 2021-01-31 |
| b50fe52 | Donghe-Zhu | 2021-01-31 |
| ac99ae5 | jens-daniel-mueller | 2021-01-29 |
| b5bdcaf | Donghe-Zhu | 2021-01-29 |
| 442010d | Donghe-Zhu | 2021-01-29 |
| 372adf5 | Donghe-Zhu | 2021-01-29 |
| af8788e | Donghe-Zhu | 2021-01-29 |
| 21c91c9 | Donghe-Zhu | 2021-01-29 |
| eded038 | Donghe-Zhu | 2021-01-29 |
| 541d4dd | Donghe-Zhu | 2021-01-29 |
| 6a75576 | Donghe-Zhu | 2021-01-28 |
| 16fba40 | Donghe-Zhu | 2021-01-28 |
| 12bc567 | Donghe-Zhu | 2021-01-27 |
| ceed31b | Donghe-Zhu | 2021-01-27 |
| 342402d | Donghe-Zhu | 2021-01-27 |
| 5bad5c2 | Donghe-Zhu | 2021-01-27 |
| 61efb56 | Donghe-Zhu | 2021-01-25 |
| 48f638e | Donghe-Zhu | 2021-01-25 |
| c1cec47 | Donghe-Zhu | 2021-01-25 |
| 05ffb0c | Donghe-Zhu | 2021-01-25 |
| 8b97165 | Donghe-Zhu | 2021-01-25 |
| c569946 | Donghe-Zhu | 2021-01-24 |
| a2f0d56 | Donghe-Zhu | 2021-01-23 |
| 4c28e4a | Donghe-Zhu | 2021-01-22 |
| 24cc264 | jens-daniel-mueller | 2021-01-22 |
| 7891955 | Donghe-Zhu | 2021-01-21 |
| d4cf1cb | Donghe-Zhu | 2021-01-21 |
| 1f3e5b6 | jens-daniel-mueller | 2021-01-20 |
| 0e7bdf1 | jens-daniel-mueller | 2021-01-15 |
| 4571843 | jens-daniel-mueller | 2021-01-14 |
| b3564aa | jens-daniel-mueller | 2021-01-14 |
| 8d032c3 | jens-daniel-mueller | 2021-01-14 |
| 022871c | Donghe-Zhu | 2021-01-13 |
rm(slab_breaks)
sessionInfo()
R version 4.0.3 (2020-10-10)
Platform: x86_64-pc-linux-gnu (64-bit)
Running under: openSUSE Leap 15.2
Matrix products: default
BLAS: /usr/local/R-4.0.3/lib64/R/lib/libRblas.so
LAPACK: /usr/local/R-4.0.3/lib64/R/lib/libRlapack.so
locale:
[1] LC_CTYPE=en_US.UTF-8 LC_NUMERIC=C
[3] LC_TIME=en_US.UTF-8 LC_COLLATE=en_US.UTF-8
[5] LC_MONETARY=en_US.UTF-8 LC_MESSAGES=en_US.UTF-8
[7] LC_PAPER=en_US.UTF-8 LC_NAME=C
[9] LC_ADDRESS=C LC_TELEPHONE=C
[11] LC_MEASUREMENT=en_US.UTF-8 LC_IDENTIFICATION=C
attached base packages:
[1] stats graphics grDevices utils datasets methods base
other attached packages:
[1] gt_0.2.2 kableExtra_1.3.1 marelac_2.1.10 shape_1.4.5
[5] scales_1.1.1 ggforce_0.3.3 metR_0.9.0 scico_1.2.0
[9] patchwork_1.1.1 collapse_1.5.0 forcats_0.5.0 stringr_1.4.0
[13] dplyr_1.0.5 purrr_0.3.4 readr_1.4.0 tidyr_1.1.2
[17] tibble_3.0.4 ggplot2_3.3.3 tidyverse_1.3.0 workflowr_1.6.2
loaded via a namespace (and not attached):
[1] fs_1.5.0 sf_0.9-8 lubridate_1.7.9
[4] gsw_1.0-5 webshot_0.5.2 httr_1.4.2
[7] rprojroot_2.0.2 tools_4.0.3 backports_1.1.10
[10] R6_2.5.0 KernSmooth_2.23-18 DBI_1.1.0
[13] colorspace_2.0-0 withr_2.3.0 tidyselect_1.1.0
[16] compiler_4.0.3 git2r_0.27.1 cli_2.2.0
[19] rvest_0.3.6 xml2_1.3.2 isoband_0.2.3
[22] labeling_0.4.2 checkmate_2.0.0 classInt_0.4-3
[25] digest_0.6.27 rmarkdown_2.5 oce_1.3-0
[28] pkgconfig_2.0.3 htmltools_0.5.0 dbplyr_1.4.4
[31] rlang_0.4.10 readxl_1.3.1 rstudioapi_0.13
[34] farver_2.0.3 generics_0.1.0 jsonlite_1.7.2
[37] magrittr_2.0.1 Matrix_1.2-18 Rcpp_1.0.5
[40] munsell_0.5.0 fansi_0.4.1 lifecycle_1.0.0
[43] stringi_1.5.3 whisker_0.4 yaml_2.2.1
[46] MASS_7.3-53 plyr_1.8.6 grid_4.0.3
[49] blob_1.2.1 parallel_4.0.3 promises_1.1.1
[52] crayon_1.3.4 lattice_0.20-41 haven_2.3.1
[55] hms_0.5.3 seacarb_3.2.15 knitr_1.30
[58] pillar_1.4.7 reprex_0.3.0 glue_1.4.2
[61] evaluate_0.14 RcppArmadillo_0.10.1.2.2 data.table_1.13.6
[64] modelr_0.1.8 vctrs_0.3.6 tweenr_1.0.2
[67] httpuv_1.5.4 testthat_3.0.1 cellranger_1.1.0
[70] gtable_0.3.0 polyclip_1.10-0 assertthat_0.2.1
[73] xfun_0.20 broom_0.7.5 RcppEigen_0.3.3.9.1
[76] e1071_1.7-4 later_1.1.0.1 viridisLite_0.3.0
[79] class_7.3-17 memoise_1.1.0 units_0.6-7
[82] ellipsis_0.3.1 here_1.0.1