Last updated: 2023-08-01

Checks: 7 0

Knit directory: TranscriptDE-code/analysis/

This reproducible R Markdown analysis was created with workflowr (version 1.7.0). The Checks tab describes the reproducibility checks that were applied when the results were created. The Past versions tab lists the development history.


Great! Since the R Markdown file has been committed to the Git repository, you know the exact version of the code that produced these results.

Great job! The global environment was empty. Objects defined in the global environment can affect the analysis in your R Markdown file in unknown ways. For reproduciblity it’s best to always run the code in an empty environment.

The command set.seed(20221115) was run prior to running the code in the R Markdown file. Setting a seed ensures that any results that rely on randomness, e.g. subsampling or permutations, are reproducible.

Great job! Recording the operating system, R version, and package versions is critical for reproducibility.

Nice! There were no cached chunks for this analysis, so you can be confident that you successfully produced the results during this run.

Great job! Using relative paths to the files within your workflowr project makes it easier to run your code on other machines.

Great! You are using Git for version control. Tracking code development and connecting the code version to the results is critical for reproducibility.

The results in this page were generated with repository version 38d0392. See the Past versions tab to see a history of the changes made to the R Markdown and HTML files.

Note that you need to be careful to ensure that all relevant files for the analysis have been committed to Git prior to generating the results (you can use wflow_publish or wflow_git_commit). workflowr only checks the R Markdown file, but you know if there are other scripts or data files that it depends on. Below is the status of the Git repository when the results were generated:


Ignored files:
    Ignored:    .DS_Store
    Ignored:    .Rhistory
    Ignored:    .Rproj.user/
    Ignored:    ._.DS_Store
    Ignored:    .gitignore
    Ignored:    TranscriptDE-code.Rproj
    Ignored:    code/.DS_Store
    Ignored:    code/._.DS_Store
    Ignored:    code/lung-se/data/slurm-10685114.out
    Ignored:    code/lung-se/salmon/.RData
    Ignored:    code/lung-se/salmon/runWasabi.Rout
    Ignored:    code/lung-se/salmon/slurm-10685171.out
    Ignored:    code/lung-se/salmon/slurm-10694099.out
    Ignored:    code/lung/data/slurm-10678225.out
    Ignored:    code/lung/index/slurm-10679764.out
    Ignored:    code/lung/index/slurm-10679768.out
    Ignored:    code/lung/index/slurm-10684814.out
    Ignored:    code/lung/salmon/.RData
    Ignored:    code/lung/salmon/runWasabi.Rout
    Ignored:    code/lung/salmon/slurm-10681840.out
    Ignored:    code/lung/salmon/slurm-10681872.out
    Ignored:    code/lung/salmon/slurm-10684950.out
    Ignored:    code/lung/salmon/slurm-10694066.out
    Ignored:    code/pkg/.Rhistory
    Ignored:    code/pkg/.Rproj.user/
    Ignored:    code/pkg/pkg.Rproj
    Ignored:    code/pkg/src/RcppExports.o
    Ignored:    code/pkg/src/pkg.so
    Ignored:    code/pkg/src/rcpparma_hello_world.o
    Ignored:    data/annotation/hg38/
    Ignored:    data/annotation/mm39/
    Ignored:    data/annotation/sequins/._rnasequin_annotation_2.4.gtf
    Ignored:    data/annotation/sequins/._rnasequin_decoychr_2.4.fa
    Ignored:    data/annotation/sequins/._rnasequin_decoychr_2.4.fa.fai
    Ignored:    data/annotation/sequins/._rnasequin_genes_2.4.tsv
    Ignored:    data/annotation/sequins/._rnasequin_isoforms_2.4.tsv
    Ignored:    data/annotation/sequins/._rnasequin_sequences_2.4.fa
    Ignored:    data/lung-se/fastq/
    Ignored:    data/lung-se/misc/._filereport_read_run_PRJNA341465_tsv.txt
    Ignored:    data/lung/fastq/
    Ignored:    data/lung/index/
    Ignored:    data/lung/misc/._filereport_read_run_PRJNA723287_tsv.txt
    Ignored:    ignore/
    Ignored:    misc/.DS_Store
    Ignored:    misc/._.DS_Store
    Ignored:    misc/casestudy.Rmd/._figure6.png
    Ignored:    misc/casestudy.Rmd/._suppfigure_maplot.png
    Ignored:    misc/casestudy.Rmd/._suppfigure_overdispersion.png
    Ignored:    misc/casestudy.Rmd/._suppfigure_venn.png
    Ignored:    misc/casestudy.Rmd/._supptable_gene.tex
    Ignored:    misc/casestudy.Rmd/._supptable_overdispersion.tex
    Ignored:    misc/simulation-paper.Rmd/._figure2.png
    Ignored:    misc/simulation-paper.Rmd/._figure5.png
    Ignored:    output/.DS_Store
    Ignored:    output/._.DS_Store
    Ignored:    output/lung-se/
    Ignored:    output/lung/
    Ignored:    output/quasi_poisson/
    Ignored:    output/simulation/

Untracked files:
    Untracked:  misc/casestudy.Rmd/figure2.pdf
    Untracked:  misc/casestudy.Rmd/figure7.pdf
    Untracked:  misc/simulation-paper.Rmd/figure6.pdf

Unstaged changes:
    Modified:   misc/casestudy.Rmd/figure1.pdf
    Deleted:    misc/casestudy.Rmd/figure6.pdf
    Deleted:    misc/simulation-paper.Rmd/figure2.pdf
    Modified:   misc/simulation-paper.Rmd/figure3.pdf
    Modified:   misc/simulation-paper.Rmd/figure4.pdf
    Modified:   misc/simulation-paper.Rmd/figure5.pdf

Note that any generated files, e.g. HTML, png, CSS, etc., are not included in this status report because it is ok for generated content to have uncommitted changes.


These are the previous versions of the repository in which changes were made to the R Markdown (analysis/simulation-paper.Rmd) and HTML (docs/simulation-paper.html) files. If you’ve configured a remote Git repository (see ?wflow_git_remote), click on the hyperlinks in the table below to view the files as they were in that past version.

File Version Author Date Message
Rmd 38d0392 Pedro Baldoni 2023-07-31 Adding BCV plots
html 3e11809 Pedro Baldoni 2023-06-05 Build site.
Rmd 6a74264 Pedro Baldoni 2023-06-05 Producing figures in PDF format for the main paper
html 6a74264 Pedro Baldoni 2023-06-05 Producing figures in PDF format for the main paper
html bfd4304 Pedro Baldoni 2023-05-21 Build site.
Rmd 1a75b18 Pedro Baldoni 2023-05-21 updating results of single-end experiments
html 5610c90 Pedro Baldoni 2023-02-24 Build site.
html f01c7b4 Pedro Baldoni 2023-02-23 Build site.
Rmd e2ef9d6 Pedro Baldoni 2023-02-23 Removing cache
html 24d66f4 Pedro Baldoni 2023-02-17 Build site.
Rmd 9b79374 Pedro Baldoni 2023-02-17 Fix typo with sans family
html 6a33f36 Pedro Baldoni 2023-02-17 Build site.
Rmd d42adad Pedro Baldoni 2023-02-17 Presenting histograms
html 38286e3 Pedro Baldoni 2023-02-17 Build site.
html b8e3979 Pedro Baldoni 2023-02-17 Build site.
Rmd 57b0d00 Pedro Baldoni 2023-02-17 Renaming repo and organizing main page
html 57b0d00 Pedro Baldoni 2023-02-17 Renaming repo and organizing main page
Rmd 623d429 Pedro Baldoni 2023-01-23 Splitting figures
html 623d429 Pedro Baldoni 2023-01-23 Splitting figures
Rmd 49c9a94 Pedro Baldoni 2023-01-19 Expanding panels to multiple figures
html 49c9a94 Pedro Baldoni 2023-01-19 Expanding panels to multiple figures
Rmd 4276bfc Pedro Baldoni 2023-01-06 Organizing output of latex table
html 4276bfc Pedro Baldoni 2023-01-06 Organizing output of latex table
Rmd a8c51af Pedro Baldoni 2023-01-05 Updating simulation-paper report
html a8c51af Pedro Baldoni 2023-01-05 Updating simulation-paper report
Rmd d34d4e6 Pedro Baldoni 2022-11-24 Adding simulation-paper-report
html d34d4e6 Pedro Baldoni 2022-11-24 Adding simulation-paper-report

Introduction

In this report, we present the analysis of the simulations for the catchSalmon/catchKallisto manuscript. These simulations aim to generate typical RNA-seq data from mouse experiments. This report focuses on the results presented in the main paper only. For a comprehensive report of the results, please refer to the complete report.

Setup

We load necessary libraries and set up the rendering options below.

knitr::opts_chunk$set(dev = "png",
                      dpi = 300,
                      dev.args = list(type = "cairo-png"),
                      root.dir = '.',
                      autodep = TRUE)

options(knitr.kable.NA = "-")
library(data.table)
library(ggplot2)
library(thematic)
library(plyr)
library(magrittr)
library(limma)
library(edgeR)
library(BiocParallel)
library(devtools)
library(purrr)
library(readr)
library(ggpubr)
library(kableExtra)
library(patchwork)
library(ragg)
load_all('../code/pkg/')

I use the functions below to produce the histogram plot shown in this report and to quickly subset data tables for specific scenarios.

cleanPlot <- function(x,fig){
  if (x == max(seq_along(fig))) {
    y <- fig[[x]]
  } else{
    y <- fig[[x]] + theme(axis.title.x = element_blank(),
                          axis.text.x = element_blank(),
                          axis.ticks.x = element_blank())
  }
  if (x > 1) {
    y <- y + theme(strip.background.x = element_blank(),
                   strip.text.x = element_blank())
  }
  return(y)
}

subsetDT <- function(x,scenario,panel = NULL,tx.per.gene = NULL, plot = TRUE){
  if(isTRUE(plot)){
    if(panel %in% c('A','B')){
      out <- x[Genome == scenario['genome'] &
                 FC == ifelse(panel == 'A','fc2','fc1') & 
                 Length == scenario['length'] &
                 Reads == scenario['read'] & 
                 Quantifier == scenario['quantifier'] & 
                 Scenario == scenario['scenario'],]
    } else{
      out <- x[Genome == scenario['genome'] &
                 FC == 'fc1' & 
                 Length == scenario['length'] &
                 Reads == scenario['read'] & 
                 Quantifier == scenario['quantifier'] & 
                 Scenario == scenario['scenario'] &
                 TxPerGene == tx.per.gene ,]
    }
  } else{
    out <- x[Genome == scenario['genome'] &
               FC == 'fc2' & 
               Quantifier == scenario['quantifier'] & 
               TxPerGene == scenario['txpergene'],]
  }
  return(out)
}

Analysis

Here we begin summarizing the results to generate the figures presented in the main paper.

Data wrangling

Below I set up the file paths.

path.misc <- file.path('../misc',knitr::current_input())
dir.create(path.misc,recursive = TRUE,showWarnings = FALSE)

path.fdr <- 
  list.files('../output/simulation/summary','fdr.tsv.gz',recursive = TRUE,full.names = TRUE)
path.metrics <- 
  list.files('../output/simulation/summary','metrics.tsv.gz',recursive = TRUE,full.names = TRUE)
path.time <- 
  list.files('../output/simulation/summary','time.tsv.gz',recursive = TRUE,full.names = TRUE)
path.quantile <- 
  list.files('../output/simulation/summary','quantile.tsv.gz',recursive = TRUE,full.names = TRUE)
path.pvalue <- 
  list.files('../output/simulation/summary','pvalue.tsv.gz',recursive = TRUE,full.names = TRUE)
path.overdispersion <- 
  list.files('../output/simulation/summary','overdispersion.tsv.gz',recursive = TRUE,full.names = TRUE)

Loading all summarized results below.

# Loading datasets
dt.fdr <- do.call(rbind,lapply(path.fdr,fread))
dt.metrics <- do.call(rbind,lapply(path.metrics,fread))
dt.time <- do.call(rbind,lapply(path.time,fread))
dt.quantile <- do.call(rbind,lapply(path.quantile,fread))
dt.pvalue <- do.call(rbind,lapply(path.pvalue,fread))
dt.overdispersion <- do.call(rbind,lapply(path.overdispersion,fread))

Some data wrangling below.

# Changing labels
dt.fdr$TxPerGene %<>%
  mapvalues(from = paste0(c(2, 3, 4, 5, 9999), 'TxPerGene'),
            to = c(paste0("#Tx/Gene = ", c(2, 3, 4, 5)), 'All Transcripts'))
dt.fdr$LibsPerGroup %<>%
  mapvalues(from = paste0(c(3, 5, 10), 'libsPerGroup'),
            to = paste0('#Lib/Group = ', c(3, 5, 10))) %>%
  factor(levels = paste0('#Lib/Group = ', c(3, 5, 10)))
dt.fdr$Quantifier %<>% mapvalues(from = 'salmon', to = 'Salmon')
dt.fdr$Length %<>% mapvalues(from = paste0('readlen-', seq(50, 150, 25)),
                             to = paste0(seq(50, 150, 25), 'bp'))

dt.metrics$TxPerGene %<>%
  mapvalues(from = paste0(c(2, 3, 4, 5, 9999), 'TxPerGene'),
            to = c(paste0("#Tx/Gene = ", c(2, 3, 4, 5)), 'All Transcripts'))
dt.metrics$LibsPerGroup %<>%
  mapvalues(from = paste0(c(3, 5, 10), 'libsPerGroup'),
            to = paste0('#Lib/Group = ', c(3, 5, 10))) %>%
  factor(levels = paste0('#Lib/Group = ', c(3, 5, 10)))
dt.metrics$Quantifier %<>% mapvalues(from = 'salmon', to = 'Salmon')
dt.metrics$Length %<>% mapvalues(from = paste0('readlen-', seq(50, 150, 25)),
                                 to = paste0(seq(50, 150, 25), 'bp'))

dt.time$TxPerGene %<>%
  mapvalues(from = paste0(c(2, 3, 4, 5, 9999), 'TxPerGene'),
            to = c(paste0("#Tx/Gene = ", c(2, 3, 4, 5)), 'All Transcripts'))
dt.time$LibsPerGroup %<>%
  mapvalues(from = paste0(c(3, 5, 10), 'libsPerGroup'),
            to = paste0('#Lib/Group = ', c(3, 5, 10))) %>%
  factor(levels = paste0('#Lib/Group = ', c(3, 5, 10)))
dt.time$Quantifier %<>% mapvalues(from = 'salmon', to = 'Salmon')
dt.time$Length %<>% mapvalues(from = paste0('readlen-', seq(50, 150, 25)),
                              to = paste0(seq(50, 150, 25), 'bp'))

dt.quantile$TxPerGene %<>%
  mapvalues(from = paste0(c(2, 3, 4, 5, 9999), 'TxPerGene'),
            to = c(paste0("#Tx/Gene = ", c(2, 3, 4, 5)), 'All Transcripts'))
dt.quantile$LibsPerGroup %<>%
  mapvalues(from = paste0(c(3, 5, 10), 'libsPerGroup'),
            to = paste0('#Lib/Group = ', c(3, 5, 10))) %>%
  factor(levels = paste0('#Lib/Group = ', c(3, 5, 10)))
dt.quantile$Quantifier %<>% mapvalues(from = 'salmon', to = 'Salmon')
dt.quantile$Length %<>% mapvalues(from = paste0('readlen-', seq(50, 150, 25)),
                                  to = paste0(seq(50, 150, 25), 'bp'))

dt.pvalue$TxPerGene %<>%
  mapvalues(from = paste0(c(2, 3, 4, 5, 9999), 'TxPerGene'),
            to = c(paste0("#Tx/Gene = ", c(2, 3, 4, 5)), 'All Transcripts'))
dt.pvalue$LibsPerGroup %<>%
  mapvalues(from = paste0(c(3, 5, 10), 'libsPerGroup'),
            to = paste0('#Lib/Group = ', c(3, 5, 10))) %>%
  factor(levels = paste0('#Lib/Group = ', c(3, 5, 10)))
dt.pvalue$Quantifier %<>% mapvalues(from = 'salmon', to = 'Salmon')
dt.pvalue$Length %<>% mapvalues(from = paste0('readlen-', seq(50, 150, 25)),
                                to = paste0(seq(50, 150, 25), 'bp'))

dt.overdispersion$TxPerGene %<>%
  mapvalues(from = paste0(c(2, 3, 4, 5, 9999), 'TxPerGene'),
            to = c(paste0("#Tx/Gene = ", c(2, 3, 4, 5)), 'All Transcripts'))
dt.overdispersion$LibsPerGroup %<>%
  mapvalues(from = paste0(c(3, 5, 10), 'libsPerGroup'),
            to = paste0('#Lib/Group = ', c(3, 5, 10))) %>%
  factor(levels = paste0('#Lib/Group = ', c(3, 5, 10)))
dt.overdispersion$Quantifier %<>% mapvalues(from = 'salmon', to = 'Salmon')
dt.overdispersion$Length %<>% mapvalues(from = paste0('readlen-', seq(50, 150, 25)),
                                        to = paste0(seq(50, 150, 25), 'bp'))

All the simulated scenarios are generated below.

dt.scenario <- expand.grid('genome' = 'mm39',
                           'length' = c('50bp','75bp','100bp','125bp','150bp'),
                           'read' = c('single-end','paired-end'),
                           'quantifier' = c('Salmon','kallisto'),
                           'scenario' = c('balanced','unbalanced'),
                           stringsAsFactors = FALSE)
dt.scenario <- as.data.table(dt.scenario)

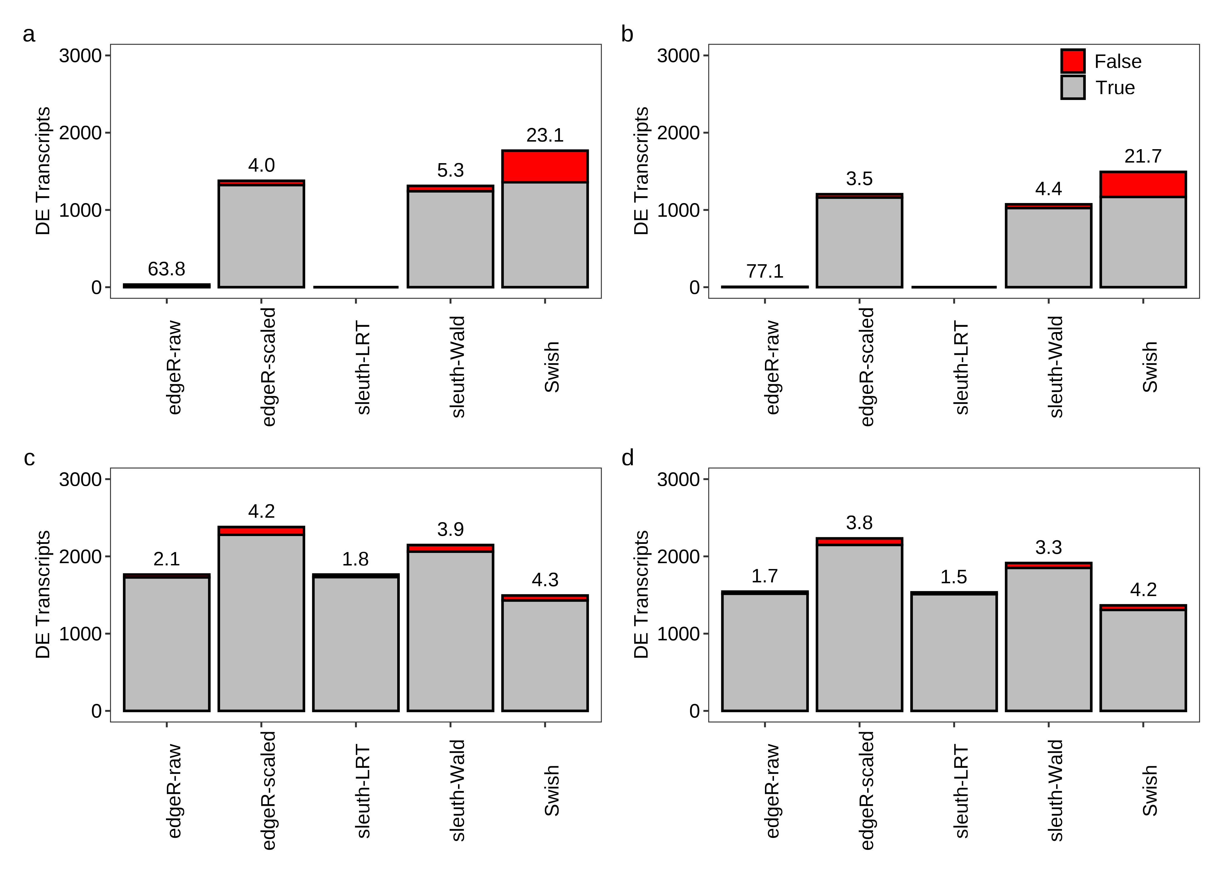
Power plot & False discovery rate

Below we generate Figure 3 of the main paper.

scenario.balanced <- as.character(dt.scenario[length == '100bp' &
                                                read == 'paired-end' &
                                                quantifier == 'Salmon' &
                                                scenario == 'balanced',])
scenario.unbalanced <- as.character(dt.scenario[length == '100bp' &
                                                  read == 'paired-end' &
                                                  quantifier == 'Salmon' &
                                                  scenario == 'unbalanced',])
names(scenario.balanced) <- colnames(dt.scenario)
names(scenario.unbalanced) <- colnames(dt.scenario)


dt.power <- rbind(subsetDT(dt.metrics,scenario.balanced,'A'),
                  subsetDT(dt.metrics,scenario.unbalanced,'A'))

dt.power <- dt.power[LibsPerGroup != '#Lib/Group = 10',]

dt.power$LibsPerGroup %<>% mapvalues(from = paste0('#Lib/Group = ', c(3, 5)),
                                     to = paste0(c(3,5),' samples per group'))

dt.power$Scenario %<>% 
  mapvalues(from = c('balanced','unbalanced'),
            to = c('Equal library sizes','Unequal library sizes'))

dt.power[, FDR := roundPretty(ifelse((FP+TP) == 0,NA,100*FP/(FP+TP)),1)]

dt.power <- dt.power[TxPerGene == 'All Transcripts',]

sub.byvar <- 
  colnames(dt.power)[-which(colnames(dt.power) %in% c('P.SIG','TP','FP'))]

gap <- 0.05*max(dt.power$TP + dt.power$FP)

x.melt <- melt(dt.power,id.vars = sub.byvar,
               measure.vars = c('TP','FP'),
               variable.name = 'Type',
               value.name = 'Value')
x.melt$Type <- 
  factor(x.melt$Type,
         levels = c('FP','TP'),
         labels = c('False','True'))

plot.power <- function(df.bar,df.txt,scenario,library,legend = FALSE, base_size = 8){
  tb.bar <- df.bar[Scenario == scenario & LibsPerGroup == library,]
  tb.txt <- df.txt[Scenario == scenario & LibsPerGroup == library,][FDR != 'NA',]
  
  ggplot(tb.bar,aes(x = Method,y = Value,fill = Type)) +
    geom_col(colour = 'black') +
    geom_text(aes(x = Method,y = (TP + FP) + gap,label = FDR),
              vjust = 0,data = tb.txt,size = base_size/.pt,inherit.aes = FALSE) +
    scale_fill_manual(values = c('#ff0000','#bebebe')) +
    labs(x = NULL,y = paste('DE Transcripts')) +
    scale_y_continuous(limits = c(0,3000)) +
    theme_bw(base_size = base_size,base_family = 'sans') +
    theme(panel.grid = element_blank(),
          axis.text.x = element_text(angle = 90),
          axis.text = element_text(colour = 'black',size = base_size)) +
    if (legend == TRUE) theme(legend.background = element_rect(fill = alpha('white', 0)),
                              legend.text = element_text(size = base_size),
                              legend.position = c(0.80,0.90),legend.title = element_blank(),
                              legend.key.size = unit(0.75,"line")) else theme(legend.position = 'none')
}

fig.power.a <- plot.power(df.bar = x.melt,df.txt = dt.power,scenario = 'Equal library sizes',library = '3 samples per group')
fig.power.b <- plot.power(df.bar = x.melt,df.txt = dt.power,scenario = 'Unequal library sizes',library = '3 samples per group',legend = TRUE)
fig.power.c <- plot.power(df.bar = x.melt,df.txt = dt.power,scenario = 'Equal library sizes',library = '5 samples per group')
fig.power.d <- plot.power(df.bar = x.melt,df.txt = dt.power,scenario = 'Unequal library sizes',library = '5 samples per group')

fig.power <- (fig.power.a + fig.power.b) / (fig.power.c + fig.power.d) +
  plot_annotation(tag_levels = 'a') +
  theme(plot.tag = element_text(size = 8))

ggsave(plot = fig.power,
       filename = file.path(path.misc,"figure3.pdf"),
       device = 'pdf',width = 5,height = 5,units = 'in',dpi = 300)

fig.power

Version Author Date
623d429 Pedro Baldoni 2023-01-23
49c9a94 Pedro Baldoni 2023-01-19
5dcd60b Pedro Baldoni 2023-01-04
d34d4e6 Pedro Baldoni 2022-11-24

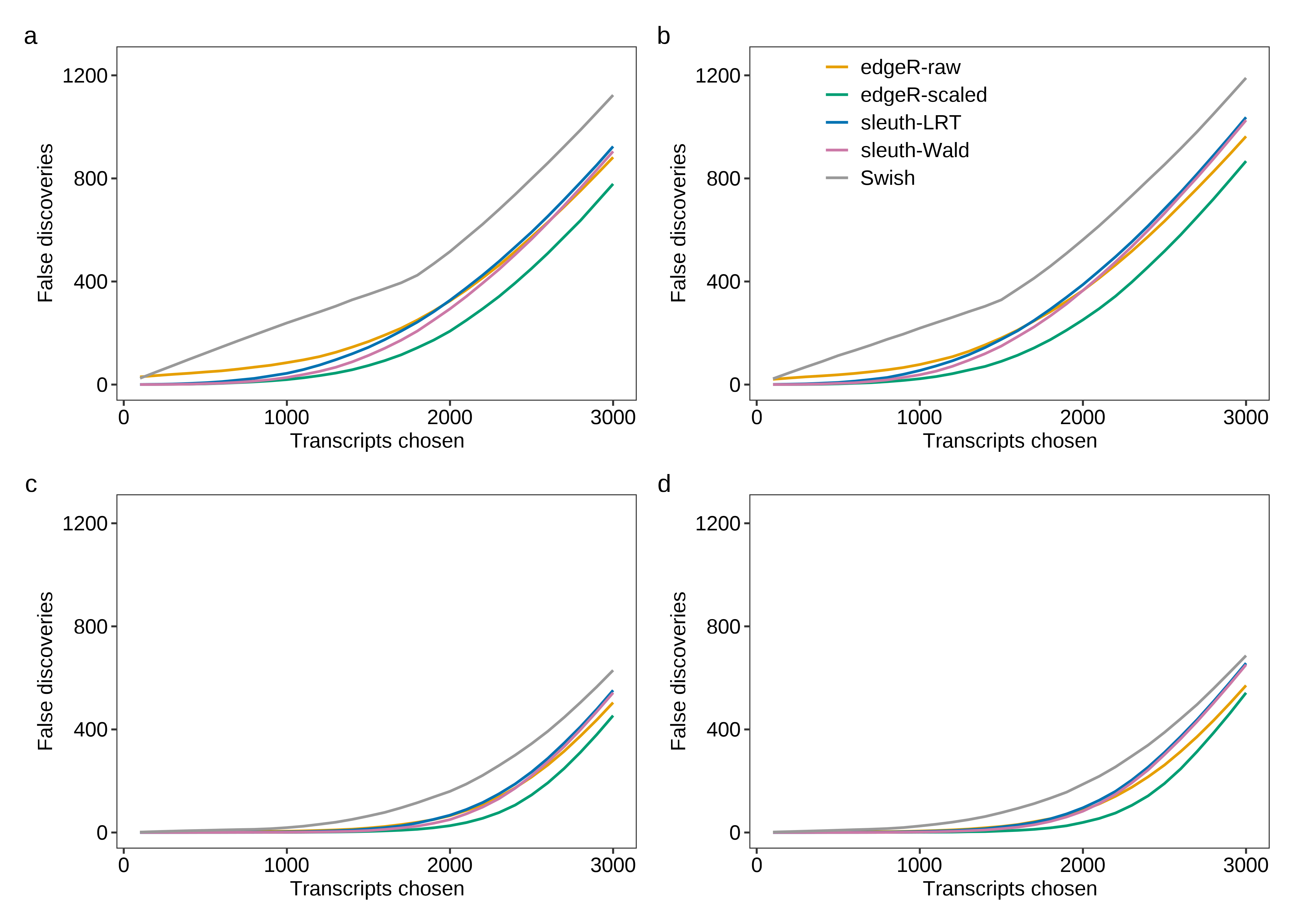
Then, we generate Figure 4 below.

dt.fdr.plot <- rbind(subsetDT(dt.fdr,scenario.balanced,'A'),
                     subsetDT(dt.fdr,scenario.unbalanced,'A'))

dt.fdr.plot <- dt.fdr.plot[LibsPerGroup != "#Lib/Group = 10",]

dt.fdr.plot$LibsPerGroup %<>% 
  mapvalues(from = paste0('#Lib/Group = ', c(3, 5)),
            to = paste0(c(3,5),' samples per group'))

dt.fdr.plot$Scenario %<>% 
  mapvalues(from = c('balanced','unbalanced'),
            to = c('Equal library sizes','Unequal library sizes'))

dt.fdr.plot <- dt.fdr.plot[TxPerGene == 'All Transcripts',]

plot.fdr <- function(df.line,scenario,library,legend = FALSE,base_size = 8){
  tb.bar <- df.line[Scenario == scenario & LibsPerGroup == library,]
  
  ggplot(tb.bar,aes(x = N,y = FDR,color = Method,group = Method)) +
    geom_line(linewidth = 0.5) +
    scale_color_manual(values = methodsNames()$color) +
    scale_y_continuous(limits = c(0,1250)) +
    labs(y = 'False discoveries',x = 'Transcripts chosen') +
    theme_bw(base_size = base_size,base_family = 'sans') +
    theme(panel.grid = element_blank(),
          axis.text = element_text(colour = 'black',size = base_size)) +
    if (legend == TRUE) theme(legend.background = element_rect(fill = alpha('white', 0)),
                              legend.direction = 'vertical',
                              legend.position = c(0.3,0.8),
                              legend.text = element_text(size = base_size),
                              legend.title = element_blank(),
                              legend.key.size = unit(0.75,"line")) else theme(legend.position = 'none')
}

fig.fdr.a <- plot.fdr(df.line = dt.fdr.plot,scenario = 'Equal library sizes',library = '3 samples per group')
fig.fdr.b <- plot.fdr(df.line = dt.fdr.plot,scenario = 'Unequal library sizes',library = '3 samples per group',legend = TRUE)
fig.fdr.c <- plot.fdr(df.line = dt.fdr.plot,scenario = 'Equal library sizes',library = '5 samples per group')
fig.fdr.d <- plot.fdr(df.line = dt.fdr.plot,scenario = 'Unequal library sizes',library = '5 samples per group')

fig.fdr <- (fig.fdr.a + fig.fdr.b) / (fig.fdr.c + fig.fdr.d) +
  plot_annotation(tag_levels = 'a')

ggsave(plot = fig.fdr,
       filename = file.path(path.misc,"figure4.pdf"),
       device = 'pdf',width = 5,height = 5,units = 'in',dpi = 300)

fig.fdr

Version Author Date
623d429 Pedro Baldoni 2023-01-23
5dcd60b Pedro Baldoni 2023-01-04
d34d4e6 Pedro Baldoni 2022-11-24

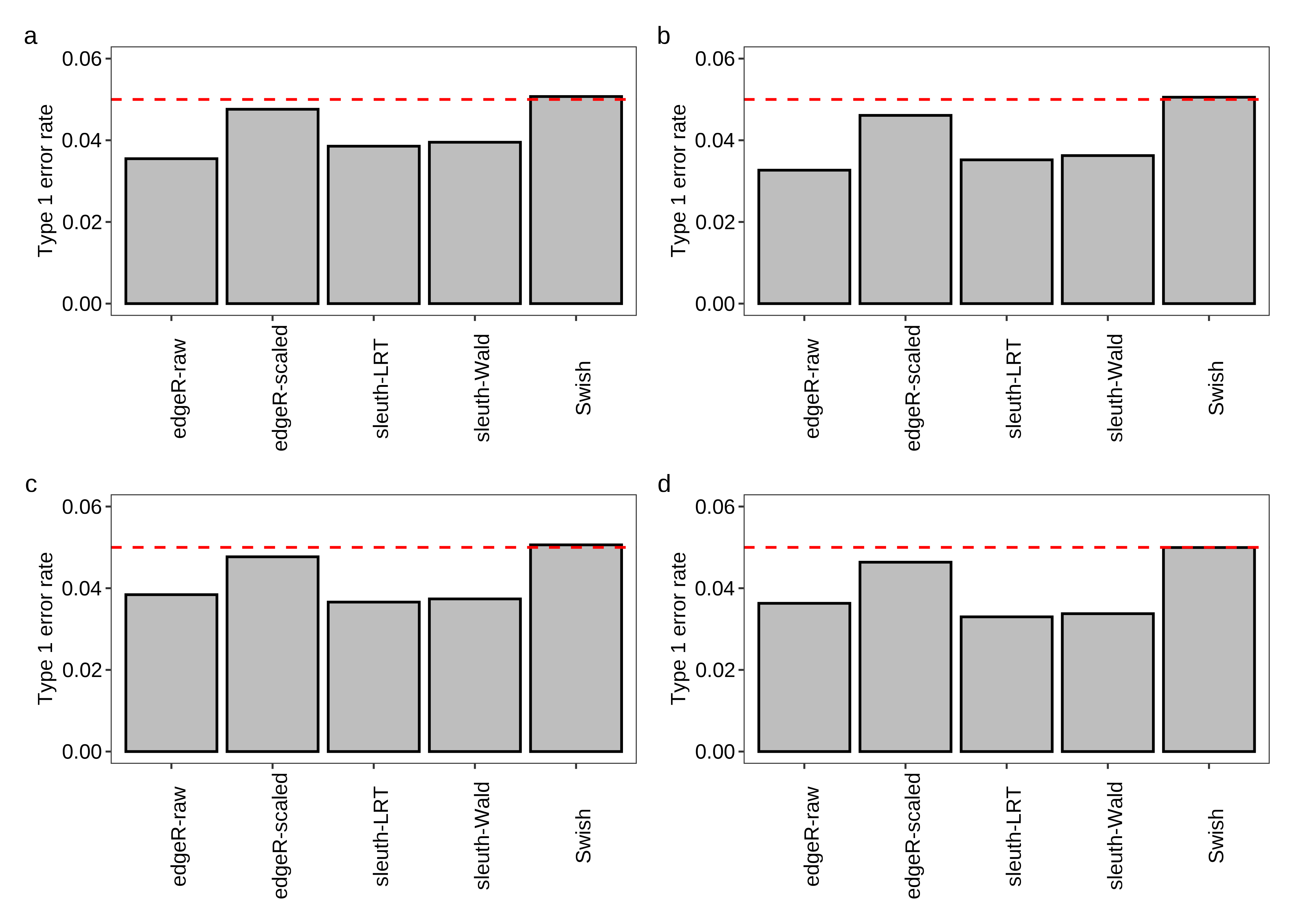
Type 1 error

Figure 5 is created below.

dt.type1error <- rbind(subsetDT(dt.metrics,scenario.balanced,'B'),
                       subsetDT(dt.metrics,scenario.unbalanced,'B'))

dt.type1error <- dt.type1error[LibsPerGroup != "#Lib/Group = 10",]

dt.type1error$LibsPerGroup %<>% 
  mapvalues(from = paste0('#Lib/Group = ', c(3, 5)),
            to = paste0(c(3,5),' samples per group'))

dt.type1error$Scenario %<>% 
  mapvalues(from = c('balanced','unbalanced'),
            to = c('Equal library sizes','Unequal library sizes'))

dt.type1error[, FDR := roundPretty(ifelse((FP+TP) == 0,NA,100*FP/(FP+TP)),1)]

dt.type1error <- dt.type1error[TxPerGene == 'All Transcripts',]


sub.byvar <- 
  colnames(dt.type1error)[-which(colnames(dt.type1error) %in% c('P.SIG','TP','FP'))]

x.melt <- 
  melt(dt.type1error,id.vars = sub.byvar,
       measure.vars = c('P.SIG'),variable.name = 'Type',value.name = 'Value')

plot.type1error <- function(df.bar,scenario,library,legend = FALSE,base_size = 8){
  tb.bar <- df.bar[Scenario == scenario & LibsPerGroup == library,]
  
  ggplot(tb.bar,aes(x = Method,y = Value)) +
    geom_col(fill = "#bebebe",col = 'black') +
    geom_hline(yintercept = 0.05,color = '#ff0000',linetype = 'dashed',linewidth = 0.5) +
    labs(x = NULL,y = paste('Type 1 error rate')) +
    scale_y_continuous(limits = c(0,0.06),breaks = c(0,0.02,0.04,0.06)) +
    theme_bw(base_size = base_size,base_family = 'sans') +
    theme(panel.grid = element_blank(),
          axis.text.x = element_text(angle = 90),
          axis.text = element_text(colour = 'black',size = base_size))
}

fig.type1error.a <- plot.type1error(df.bar = x.melt,scenario = 'Equal library sizes',library = '3 samples per group')
fig.type1error.b <- plot.type1error(df.bar = x.melt,scenario = 'Unequal library sizes',library = '3 samples per group')
fig.type1error.c <- plot.type1error(df.bar = x.melt,scenario = 'Equal library sizes',library = '5 samples per group')
fig.type1error.d <- plot.type1error(df.bar = x.melt,scenario = 'Unequal library sizes',library = '5 samples per group')

fig.type1error <- (fig.type1error.a + fig.type1error.b) / (fig.type1error.c + fig.type1error.d) +
  plot_annotation(tag_levels = 'a')

ggsave(plot = fig.type1error,
       filename = file.path(path.misc,"figure5.pdf"),
       device = 'pdf',width = 5,height = 5,units = 'in',dpi = 300)

fig.type1error

Version Author Date
623d429 Pedro Baldoni 2023-01-23
49c9a94 Pedro Baldoni 2023-01-19
5dcd60b Pedro Baldoni 2023-01-04
d34d4e6 Pedro Baldoni 2022-11-24

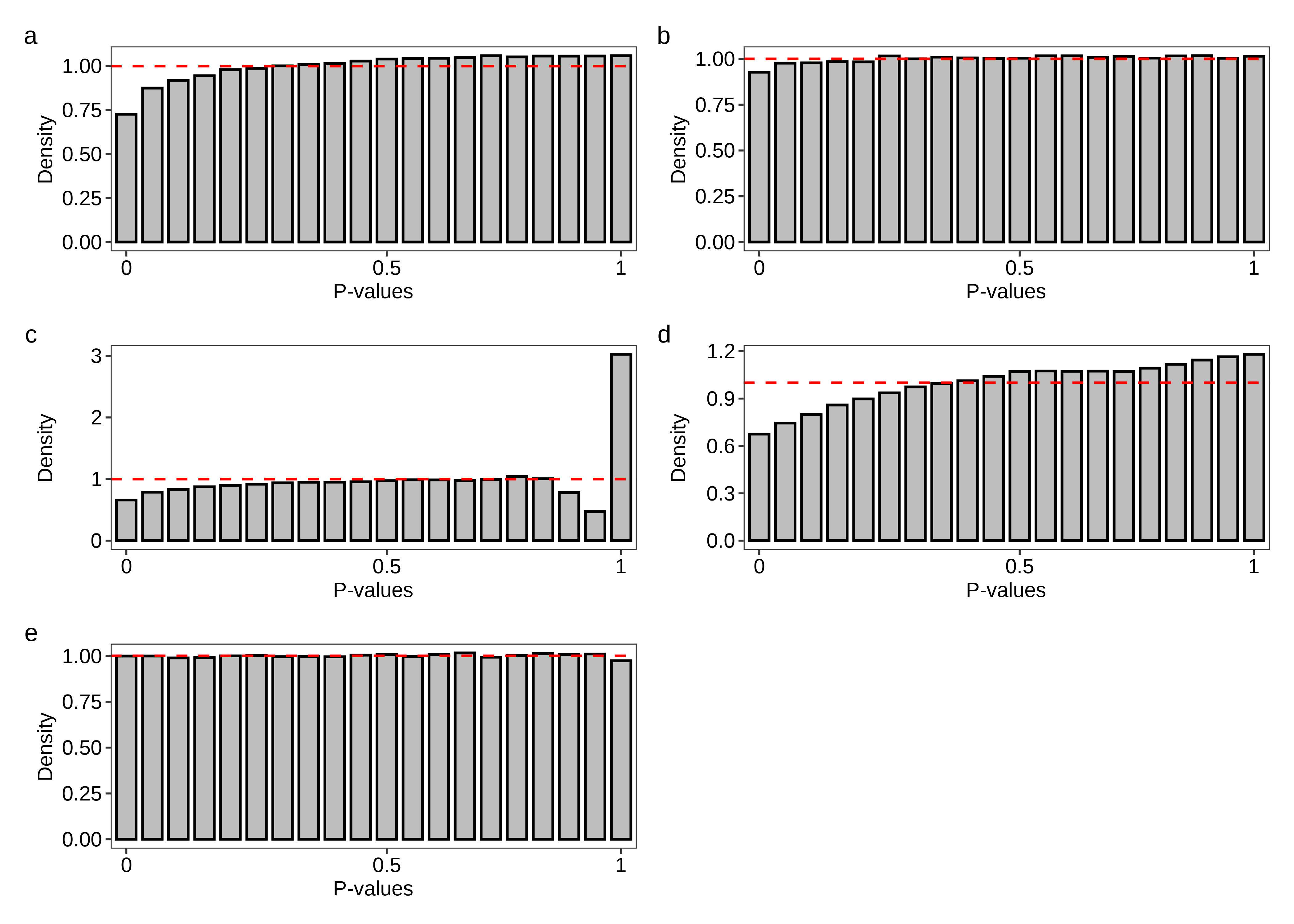
Finally, we generate Figure 6.

dt.pvalue.plot <- subsetDT(dt.pvalue,scenario.unbalanced,'C','All Transcripts')
dt.pvalue.plot <- dt.pvalue.plot[LibsPerGroup == '#Lib/Group = 5',]

plot.hist <- function(df.hist,method,legend = FALSE,base_size = 8){
  tb.bar <- df.hist[Method == method,]
  
  ggplot(data = tb.bar,aes(x = PValue,y = Density.Avg)) +
    geom_col(fill = "#bebebe",col = 'black',position = position_dodge(),width = 0.75) +
    geom_hline(yintercept = 1,col = '#ff0000',linetype = 'dashed',linewidth = 0.5) +
    scale_x_discrete(breaks = c("(0.00-0.05]","(0.50-0.55]","(0.95-1.00]"),
                     labels = c(0.00,0.50,1.00)) +
    labs(x = 'P-values',y = 'Density') +
    theme_bw(base_size = base_size,base_family = 'sans') +
    theme(panel.grid = element_blank(),
          axis.text = element_text(colour = 'black',size = base_size))
}

fig.hist.a <- plot.hist(df.hist = dt.pvalue.plot,method = 'edgeR-raw')
fig.hist.b <- plot.hist(df.hist = dt.pvalue.plot,method = 'edgeR-scaled')
fig.hist.c <- plot.hist(df.hist = dt.pvalue.plot,method = 'sleuth-LRT')
fig.hist.d <- plot.hist(df.hist = dt.pvalue.plot,method = 'sleuth-Wald')
fig.hist.e <- plot.hist(df.hist = dt.pvalue.plot,method = 'Swish')

design <- c(
  area(1,1),area(1,2),
  area(2,1),area(2,2),
  area(3,1)
)

fig.hist <- fig.hist.a + fig.hist.b + fig.hist.c + fig.hist.d + fig.hist.e +
  plot_layout(design = design) +
  plot_annotation(tag_levels = 'a')

ggsave(plot = fig.hist,
       filename = file.path(path.misc,"figure6.pdf"),
       device = 'pdf',width = 5,height = 7.5,units = 'in',dpi = 300)

fig.hist

Version Author Date
6a33f36 Pedro Baldoni 2023-02-17
623d429 Pedro Baldoni 2023-01-23
49c9a94 Pedro Baldoni 2023-01-19
5dcd60b Pedro Baldoni 2023-01-04
d34d4e6 Pedro Baldoni 2022-11-24

Read type

Below we generate Table 1 of the main paper.

# Overdispersion fold-change
dt.sigma2 <- dt.overdispersion[TxPerGene == 'All Transcripts' & 
                                 Quantifier == 'Salmon' & 
                                 Scenario == 'unbalanced' & 
                                 FC == 'fc2' &
                                 LibsPerGroup != '#Lib/Group = 10',]

dt.sigma2 <- dt.sigma2[,-c(1,3,5,6,8,10:15)]

dt.sigma2.150.PE <- dt.sigma2[Length == '150bp' & Reads == 'paired-end',][,-c(1,2)]
setnames(dt.sigma2.150.PE,old = 'Mean',new = 'Mean.150.PE')

dt.sigma2 <- merge(dt.sigma2,dt.sigma2.150.PE,by = c('LibsPerGroup'),
                   all.x=TRUE,sort = FALSE)

dt.sigma2[,FC := Mean - Mean.150.PE]

dt.sigma2.3 <- dt.sigma2[LibsPerGroup == '#Lib/Group = 3',]
dt.sigma2.5 <- dt.sigma2[LibsPerGroup == '#Lib/Group = 5',]

dt.sigma2.3 <- dcast(dt.sigma2.3,LibsPerGroup + Length ~ Reads,value.var = 'FC')
dt.sigma2.5 <- dcast(dt.sigma2.5,LibsPerGroup + Length ~ Reads,value.var = 'FC')

setnames(dt.sigma2.3,
         old = c('paired-end','single-end'),
         new = c('FC.PE','FC.SE'))
setnames(dt.sigma2.5,
         old = c('paired-end','single-end'),
         new = c('FC.PE','FC.SE'))

setcolorder(dt.sigma2.3,neworder = c('LibsPerGroup','Length','FC.PE','FC.SE'))
setcolorder(dt.sigma2.5,neworder = c('LibsPerGroup','Length','FC.PE','FC.SE'))

dt.sigma2.long <- rbind(dt.sigma2.3,dt.sigma2.5)
dt.sigma2.long$LibsPerGroup %<>% 
  mapvalues(from = c('#Lib/Group = 3','#Lib/Group = 5'),to = c(3,5))
dt.sigma2.long$Length %<>% factor(levels = paste0(seq(50,150,25),'bp'))
dt.sigma2.long <- dt.sigma2.long[order(LibsPerGroup,Length),]

# Power and FDR
dt.scenario.table <- 
  expand.grid('genome' = 'mm39',
              'quantifier' = c('Salmon','kallisto'),
              'txpergene' = c(paste0('#Tx/Gene = ',2:5),'All Transcripts'),
              stringsAsFactors = FALSE)

dt.scenario.table <- as.data.table(dt.scenario.table)

scenario.table <- 
  dt.scenario.table[quantifier == 'Salmon' & txpergene == 'All Transcripts',]
scenario.table <- as.character(scenario.table)
names(scenario.table) <- colnames(dt.scenario.table)

dt.table <- subsetDT(dt.metrics,scenario = scenario.table,plot = FALSE)
dt.table <- dt.table[Method == 'edgeR-scaled' &
                       Scenario == 'unbalanced' &
                       LibsPerGroup != '#Lib/Group = 10',]

dt.table[,Power := TP/3000]
dt.table[,FDR := ifelse((FP+TP) == 0,NA,FP/(FP+TP))]

dt.table.3 <- dt.table[LibsPerGroup == '#Lib/Group = 3',][,-c(1,3,5,6,8:12)]
dt.table.5 <- dt.table[LibsPerGroup == '#Lib/Group = 5',][,-c(1,3,5,6,8:12)]

dt.table.3 <- dcast(dt.table.3,LibsPerGroup + Length ~ Reads,value.var = c('Power','FDR'))
dt.table.5 <- dcast(dt.table.5,LibsPerGroup + Length ~ Reads,value.var = c('Power','FDR'))

setnames(dt.table.3,
         old = c('Power_paired-end','Power_single-end','FDR_paired-end','FDR_single-end'),
         new = c('Power.PE','Power.SE','FDR.PE','FDR.SE'))
setnames(dt.table.5,
         old = c('Power_paired-end','Power_single-end','FDR_paired-end','FDR_single-end'),
         new = c('Power.PE','Power.SE','FDR.PE','FDR.SE'))

setcolorder(dt.table.3,neworder = c('LibsPerGroup','Length','Power.SE','FDR.SE','Power.PE','FDR.PE'))
setcolorder(dt.table.5,neworder = c('LibsPerGroup','Length','Power.SE','FDR.SE','Power.PE','FDR.PE'))

dt.table.long <- rbind(dt.table.3,dt.table.5)
dt.table.long$LibsPerGroup %<>% mapvalues(from = c('#Lib/Group = 3','#Lib/Group = 5'),to = c(3,5))
dt.table.long$Length %<>% factor(levels = paste0(seq(50,150,25),'bp'))
dt.table.long <- dt.table.long[order(LibsPerGroup,Length),]

# Organizing tables

dt.table.sigma2 <- 
  merge(dt.table.long,dt.sigma2.long,
        all.x = TRUE,by = c('LibsPerGroup','Length'),sort = FALSE)

setcolorder(dt.table.sigma2,
            neworder = c('LibsPerGroup','Length',
                         'FC.SE','Power.SE','FDR.SE',
                         'FC.PE','Power.PE','FDR.PE'))

dt.table.sigma2[,Length := gsub('bp','',Length)]
dt.table.sigma2$LibsPerGroup %<>% mapvalues(from = c(3,5),to = c('Three','Five'))

tb <- kbl(dt.table.sigma2,digits = 3,format = 'latex',escape = FALSE,booktabs = TRUE,
          align = c('c','r',rep('r',6)),
          col.names = linebreak(c('Samples per\ngroup','Read Length\n(bp)',
                                  'Mapping Ambiguity\nlog-FC','Power','FDR',
                                  'Mapping Ambiguity\nlog-FC','Power','FDR'),align = "c")) %>%
  add_header_above(c(" " = 2, "Single-end Read" = 3, "Paired-end Read" = 3)) %>%
  collapse_rows(1, latex_hline = 'major')

save_kable(tb,file = file.path(path.misc,"table1.tex"))

Speed

In the main paper we also comment on methods’ performance regarding computing time. The table below present such numbers.

dt.time[, .(min =60*min(Time),
            mean = 60*mean(Time),
            med = 60*median(Time),
          max = 60*max(Time)),by = c('Quantifier','LibsPerGroup','Method')]
    Quantifier    LibsPerGroup       Method      min       mean        med
 1:   kallisto #Lib/Group = 10   sleuth-LRT 82.17615 121.016101 120.034750
 2:   kallisto #Lib/Group = 10  sleuth-Wald 70.17770  94.505086  94.504450
 3:   kallisto #Lib/Group = 10        Swish 82.49180 107.369005 108.558900
 4:   kallisto #Lib/Group = 10 edgeR-scaled 18.42285  24.523588  24.777975
 5:   kallisto #Lib/Group = 10    edgeR-raw 18.74970  25.577671  25.852075
 6:     Salmon #Lib/Group = 10   sleuth-LRT 88.06350 129.512314 130.150425
 7:     Salmon #Lib/Group = 10  sleuth-Wald 74.41825 100.213976 100.572475
 8:     Salmon #Lib/Group = 10        Swish 74.73545  96.503472  97.155575
 9:     Salmon #Lib/Group = 10 edgeR-scaled 12.73215  16.662010  16.812175
10:     Salmon #Lib/Group = 10    edgeR-raw 13.02015  17.524209  17.723825
11:   kallisto  #Lib/Group = 3   sleuth-LRT 48.90445 114.777883 117.900825
12:   kallisto  #Lib/Group = 3  sleuth-Wald 34.58840  85.275455  87.065625
13:   kallisto  #Lib/Group = 3        Swish 34.37065  45.465593  44.626050
14:   kallisto  #Lib/Group = 3 edgeR-scaled  7.03775   9.823749   9.811000
15:   kallisto  #Lib/Group = 3    edgeR-raw  7.41345  10.634582  10.534025
16:     Salmon  #Lib/Group = 3   sleuth-LRT 45.96170 112.039833 113.554825
17:     Salmon  #Lib/Group = 3  sleuth-Wald 31.45615  81.714932  83.387850
18:     Salmon  #Lib/Group = 3        Swish 31.83835  42.791656  42.444400
19:     Salmon  #Lib/Group = 3 edgeR-scaled  5.03500   6.981560   6.968950
20:     Salmon  #Lib/Group = 3    edgeR-raw  5.34300   7.697310   7.773125
21:   kallisto  #Lib/Group = 5   sleuth-LRT 61.24195 150.971167 155.360425
22:   kallisto  #Lib/Group = 5  sleuth-Wald 46.10565 121.186748 123.230125
23:   kallisto  #Lib/Group = 5        Swish 50.51140  64.607524  64.502500
24:   kallisto  #Lib/Group = 5 edgeR-scaled 10.49230  14.251279  14.349650
25:   kallisto  #Lib/Group = 5    edgeR-raw 10.87865  15.045484  15.178575
26:     Salmon  #Lib/Group = 5   sleuth-LRT 55.51295 149.997005 154.280775
27:     Salmon  #Lib/Group = 5  sleuth-Wald 41.56545 119.838872 120.990575
28:     Salmon  #Lib/Group = 5        Swish 46.06595  59.589219  59.646250
29:     Salmon  #Lib/Group = 5 edgeR-scaled  7.21000   9.741031   9.840850
30:     Salmon  #Lib/Group = 5    edgeR-raw  7.54285  10.564921  10.732775
    Quantifier    LibsPerGroup       Method      min       mean        med
          max
 1: 162.29385
 2: 118.90330
 3: 129.86270
 4:  29.97945
 5:  31.75405
 6: 176.43940
 7: 131.24655
 8: 120.01060
 9:  21.74150
10:  22.03945
11: 239.02190
12: 163.38015
13:  64.40590
14:  14.38945
15:  18.12705
16: 291.38200
17: 148.87335
18:  85.81485
19:   9.84275
20:  10.67450
21: 248.24995
22: 203.70500
23:  81.35545
24:  18.53090
25:  19.54600
26: 247.50205
27: 199.06345
28:  77.99000
29:  12.95745
30:  13.80970
          max

sessionInfo()
R version 4.3.0 (2023-04-21)
Platform: x86_64-pc-linux-gnu (64-bit)
Running under: CentOS Linux 7 (Core)

Matrix products: default
BLAS:   /stornext/System/data/apps/R/R-4.3.0/lib64/R/lib/libRblas.so 
LAPACK: /stornext/System/data/apps/R/R-4.3.0/lib64/R/lib/libRlapack.so;  LAPACK version 3.11.0

locale:
 [1] LC_CTYPE=en_US.UTF-8       LC_NUMERIC=C              
 [3] LC_TIME=en_US.UTF-8        LC_COLLATE=en_US.UTF-8    
 [5] LC_MONETARY=en_US.UTF-8    LC_MESSAGES=en_US.UTF-8   
 [7] LC_PAPER=en_US.UTF-8       LC_NAME=C                 
 [9] LC_ADDRESS=C               LC_TELEPHONE=C            
[11] LC_MEASUREMENT=en_US.UTF-8 LC_IDENTIFICATION=C       

time zone: UTC
tzcode source: system (glibc)

attached base packages:
[1] stats     graphics  grDevices utils     datasets  methods   base     

other attached packages:
 [1] pkg_1.0             ragg_1.2.5          patchwork_1.1.2    
 [4] kableExtra_1.3.4    ggpubr_0.6.0        readr_2.1.4        
 [7] purrr_1.0.1         devtools_2.4.5      usethis_2.2.2      
[10] BiocParallel_1.34.2 edgeR_3.42.4        limma_3.56.2       
[13] magrittr_2.0.3      plyr_1.8.8          thematic_0.1.2.1   
[16] ggplot2_3.4.2       data.table_1.14.8   workflowr_1.7.0    

loaded via a namespace (and not attached):
  [1] splines_4.3.0                 later_1.3.1                  
  [3] BiocIO_1.10.0                 bitops_1.0-7                 
  [5] filelock_1.0.2                R.oo_1.25.0                  
  [7] tibble_3.2.1                  XML_3.99-0.14                
  [9] lifecycle_1.0.3               rstatix_0.7.2                
 [11] rprojroot_2.0.3               ensembldb_2.24.0             
 [13] processx_3.8.2                lattice_0.21-8               
 [15] backports_1.4.1               sass_0.4.6                   
 [17] rmarkdown_2.23                jquerylib_0.1.4              
 [19] yaml_2.3.7                    remotes_2.4.2                
 [21] httpuv_1.6.11                 sessioninfo_1.2.2            
 [23] pkgbuild_1.4.2                DBI_1.1.3                    
 [25] abind_1.4-5                   pkgload_1.3.2.1              
 [27] zlibbioc_1.46.0               rvest_1.0.3                  
 [29] GenomicRanges_1.52.0          R.utils_2.12.2               
 [31] AnnotationFilter_1.24.0       BiocGenerics_0.46.0          
 [33] RCurl_1.98-1.12               rappdirs_0.3.3               
 [35] git2r_0.32.0                  GenomeInfoDbData_1.2.10      
 [37] wasabi_1.0.1                  IRanges_2.34.1               
 [39] S4Vectors_0.38.1              fishpond_2.6.2               
 [41] svglite_2.1.1                 DelayedArray_0.26.6          
 [43] codetools_0.2-19              xml2_1.3.5                   
 [45] tidyselect_1.2.0              farver_2.1.1                 
 [47] matrixStats_1.0.0             stats4_4.3.0                 
 [49] BiocFileCache_2.8.0           webshot_0.5.5                
 [51] showtext_0.9-6                GenomicAlignments_1.36.0     
 [53] jsonlite_1.8.7                ellipsis_0.3.2               
 [55] systemfonts_1.0.4             tools_4.3.0                  
 [57] progress_1.2.2                Rcpp_1.0.11                  
 [59] glue_1.6.2                    svMisc_1.2.3                 
 [61] xfun_0.39                     MatrixGenerics_1.12.2        
 [63] GenomeInfoDb_1.36.1           dplyr_1.1.2                  
 [65] withr_2.5.0                   BiocManager_1.30.21          
 [67] fastmap_1.1.1                 rhdf5filters_1.12.1          
 [69] fansi_1.0.4                   callr_3.7.3                  
 [71] digest_0.6.33                 R6_2.5.1                     
 [73] mime_0.12                     textshaping_0.3.6            
 [75] colorspace_2.1-0              gtools_3.9.4                 
 [77] biomaRt_2.56.1                RSQLite_2.3.1                
 [79] R.methodsS3_1.8.2             utf8_1.2.3                   
 [81] tidyr_1.3.0                   generics_0.1.3               
 [83] tximeta_1.18.0                rtracklayer_1.60.0           
 [85] S4Arrays_1.0.4                prettyunits_1.1.1            
 [87] httr_1.4.6                    htmlwidgets_1.6.2            
 [89] whisker_0.4.1                 pkgconfig_2.0.3              
 [91] gtable_0.3.3                  blob_1.2.4                   
 [93] SingleCellExperiment_1.22.0   XVector_0.40.0               
 [95] htmltools_0.5.5               carData_3.0-5                
 [97] sysfonts_0.8.8                profvis_0.3.8                
 [99] ProtGenerics_1.32.0           sleuth_0.30.0                
[101] scales_1.2.1                  Biobase_2.60.0               
[103] Rsubread_2.14.2               png_0.1-8                    
[105] knitr_1.43                    rstudioapi_0.15.0            
[107] tzdb_0.4.0                    rjson_0.2.21                 
[109] curl_5.0.1                    showtextdb_3.0               
[111] cachem_1.0.8                  rhdf5_2.44.0                 
[113] stringr_1.5.0                 BiocVersion_3.17.1           
[115] parallel_4.3.0                miniUI_0.1.1.1               
[117] AnnotationDbi_1.62.2          restfulr_0.0.15              
[119] desc_1.4.2                    pillar_1.9.0                 
[121] grid_4.3.0                    vctrs_0.6.3                  
[123] urlchecker_1.0.1              promises_1.2.0.1             
[125] car_3.1-2                     dbplyr_2.3.3                 
[127] xtable_1.8-4                  tximport_1.28.0              
[129] evaluate_0.21                 GenomicFeatures_1.52.1       
[131] Rsamtools_2.16.0              cli_3.6.1                    
[133] locfit_1.5-9.8                compiler_4.3.0               
[135] rlang_1.1.1                   crayon_1.5.2                 
[137] ggsignif_0.6.4                labeling_0.4.2               
[139] ps_1.7.5                      getPass_0.2-2                
[141] fs_1.6.2                      stringi_1.7.12               
[143] viridisLite_0.4.2             munsell_0.5.0                
[145] Biostrings_2.68.1             lazyeval_0.2.2               
[147] Matrix_1.6-0                  hms_1.1.3                    
[149] bit64_4.0.5                   Rhdf5lib_1.22.0              
[151] KEGGREST_1.40.0               shiny_1.7.4.1                
[153] highr_0.10                    SummarizedExperiment_1.30.2  
[155] interactiveDisplayBase_1.38.0 AnnotationHub_3.8.0          
[157] broom_1.0.5                   memoise_2.0.1                
[159] bslib_0.5.0                   bit_4.0.5