Last updated: 2023-05-11

Checks: 7 0

Knit directory: NMD-analysis/

This reproducible R Markdown analysis was created with workflowr (version 1.7.0). The Checks tab describes the reproducibility checks that were applied when the results were created. The Past versions tab lists the development history.


Great! Since the R Markdown file has been committed to the Git repository, you know the exact version of the code that produced these results.

Great job! The global environment was empty. Objects defined in the global environment can affect the analysis in your R Markdown file in unknown ways. For reproduciblity it’s best to always run the code in an empty environment.

The command set.seed(20230314) was run prior to running the code in the R Markdown file. Setting a seed ensures that any results that rely on randomness, e.g. subsampling or permutations, are reproducible.

Great job! Recording the operating system, R version, and package versions is critical for reproducibility.

Nice! There were no cached chunks for this analysis, so you can be confident that you successfully produced the results during this run.

Great job! Using relative paths to the files within your workflowr project makes it easier to run your code on other machines.

Great! You are using Git for version control. Tracking code development and connecting the code version to the results is critical for reproducibility.

The results in this page were generated with repository version 6025d0f. See the Past versions tab to see a history of the changes made to the R Markdown and HTML files.

Note that you need to be careful to ensure that all relevant files for the analysis have been committed to Git prior to generating the results (you can use wflow_publish or wflow_git_commit). workflowr only checks the R Markdown file, but you know if there are other scripts or data files that it depends on. Below is the status of the Git repository when the results were generated:


Ignored files:
    Ignored:    .Rhistory
    Ignored:    .Rproj.user/
    Ignored:    analysis/Differential-transcript-usage.nb.html
    Ignored:    analysis/Enichment-analysis-fgsea.nb.html
    Ignored:    analysis/Enichment-analysis-goseq.nb.html

Untracked files:
    Untracked:  PCA.png
    Untracked:  PCA_plot.pdf
    Untracked:  PCA_transcript.png
    Untracked:  analysis/Differential-transcript-usage.Rmd
    Untracked:  analysis/UPF3B_KD.Rmd
    Untracked:  analysis/transcript-preprocessing.Rmd
    Untracked:  code/eisaR.R
    Untracked:  code/external_code/
    Untracked:  data/LTK_Sample Metafile_V3.txt
    Untracked:  data/Mus_musculus.GRCm39.105__nifs.tsv
    Untracked:  data/data.txt
    Untracked:  data/data2.txt
    Untracked:  data/fastqc/
    Untracked:  data/nif_output/
    Untracked:  data/samples.txt
    Untracked:  output/DEG-limma-results.Rda
    Untracked:  output/DEG-list.Rda
    Untracked:  output/DEG/
    Untracked:  output/EISA/
    Untracked:  output/ISAR/
    Untracked:  output/QC/
    Untracked:  output/Transcript/
    Untracked:  output/isoformSwitchAnalyzeR_isoform_AA_complete.fasta
    Untracked:  output/isoformSwitchAnalyzeR_isoform_AA_subset_1_of_3.fasta
    Untracked:  output/isoformSwitchAnalyzeR_isoform_AA_subset_2_of_3.fasta
    Untracked:  output/isoformSwitchAnalyzeR_isoform_AA_subset_3_of_3.fasta
    Untracked:  output/isoformSwitchAnalyzeR_isoform_nt.fasta
    Untracked:  output/limma-matrices.Rda
    Untracked:  tmp/

Unstaged changes:
    Modified:   analysis/RNA-stability.Rmd
    Modified:   analysis/_site.yml
    Modified:   code/functions.R
    Modified:   code/libraries.R

Note that any generated files, e.g. HTML, png, CSS, etc., are not included in this status report because it is ok for generated content to have uncommitted changes.


These are the previous versions of the repository in which changes were made to the R Markdown (analysis/Enichment-analysis-fgsea.Rmd) and HTML (docs/Enichment-analysis-fgsea.html) files. If you’ve configured a remote Git repository (see ?wflow_git_remote), click on the hyperlinks in the table below to view the files as they were in that past version.

File Version Author Date Message
Rmd 6025d0f unawaz1996 2023-05-11 wflow_publish(c("analysis/index.Rmd", "analysis/Differential-transcript-expression.Rmd",
html 650317e unawaz1996 2023-03-22 Build site.
html 1f4ee28 unawaz1996 2023-03-22 Build site.
Rmd 917d8df unawaz1996 2023-03-22 wflow_publish(c("analysis/index.Rmd", "analysis/Enichment-analysis-fgsea.Rmd",
html 109186b unawaz1996 2023-03-22 Build site.
html 19b20b1 unawaz1996 2023-03-22 Build site.
Rmd f17fc63 unawaz1996 2023-03-22 Adding fgsea results

Fast gene set enrichment analysis

Fast Gene Set Enrichment Analysis implements a fast version of the gsea algorithm. As a result, more permutations are made to get more fine grained p-values.

fgsea results can be interpreted as following:

  • ES: Enrichment score which is calculated based on the rank
  • NES: Normalized Enrichment Score

Datasets

Hallmark Gene sets

C2 genesets

Using the MSigDB genesets as above, we will conduct a fgsea analysis on the sets of interest including KEGG, Wikipathways and Reactome. In our analysis, we will be using 2,465 gene sets in total.

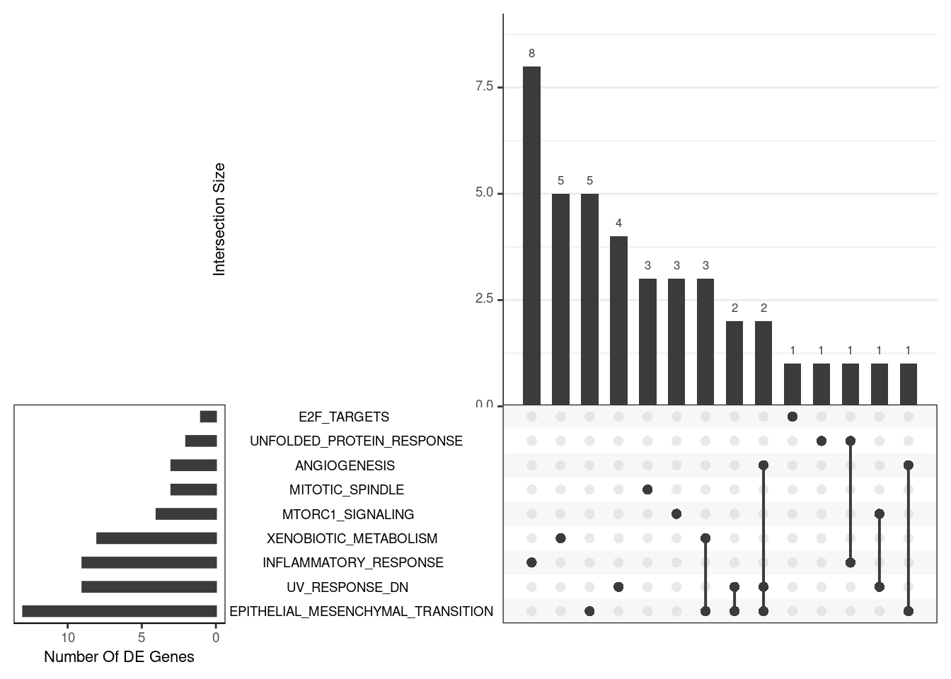
  1. UPF3B KD vs Controls
  • KEGG pathways
*UpSet plot indicating distribution of DE genes within all significant gene sets. Gene sets were restricted to those with an FDR < 0.05 and at least 5 DE genes*

UpSet plot indicating distribution of DE genes within all significant gene sets. Gene sets were restricted to those with an FDR < 0.05 and at least 5 DE genes

Version Author Date
1f4ee28 unawaz1996 2023-03-22
  • Reactome
*UpSet plot indicating distribution of DE genes within all significant gene sets. Gene sets were restricted to those with an FDR < 0.05 and at least 5 DE genes*

UpSet plot indicating distribution of DE genes within all significant gene sets. Gene sets were restricted to those with an FDR < 0.05 and at least 5 DE genes

Version Author Date
1f4ee28 unawaz1996 2023-03-22
19b20b1 unawaz1996 2023-03-22
  • Wikipathways
*UpSet plot indicating distribution of DE genes within all significant gene sets. Gene sets were restricted to those with an FDR < 0.05 and at least 5 DE genes*

UpSet plot indicating distribution of DE genes within all significant gene sets. Gene sets were restricted to those with an FDR < 0.05 and at least 5 DE genes

Version Author Date
1f4ee28 unawaz1996 2023-03-22
  1. UPF3A KD
  • KEGG pathways
*UpSet plot indicating distribution of DE genes within all significant gene sets. Gene sets were restricted to those with an FDR < 0.05 and at least 5 DE genes*

UpSet plot indicating distribution of DE genes within all significant gene sets. Gene sets were restricted to those with an FDR < 0.05 and at least 5 DE genes

Version Author Date
1f4ee28 unawaz1996 2023-03-22
19b20b1 unawaz1996 2023-03-22
  • Reactome
*UpSet plot indicating distribution of DE genes within all significant gene sets. Gene sets were restricted to those with an FDR < 0.05 and at least 5 DE genes*

UpSet plot indicating distribution of DE genes within all significant gene sets. Gene sets were restricted to those with an FDR < 0.05 and at least 5 DE genes

Version Author Date
1f4ee28 unawaz1996 2023-03-22
19b20b1 unawaz1996 2023-03-22
  • Wikipathways
*UpSet plot indicating distribution of DE genes within all significant gene sets. Gene sets were restricted to those with an FDR < 0.05 and at least 5 DE genes*

UpSet plot indicating distribution of DE genes within all significant gene sets. Gene sets were restricted to those with an FDR < 0.05 and at least 5 DE genes

Version Author Date
1f4ee28 unawaz1996 2023-03-22
19b20b1 unawaz1996 2023-03-22
  1. Double KDs
  • KEGG pathways
*UpSet plot indicating distribution of DE genes within all significant gene sets. Gene sets were restricted to those with an FDR < 0.05 and at least 5 DE genes*

UpSet plot indicating distribution of DE genes within all significant gene sets. Gene sets were restricted to those with an FDR < 0.05 and at least 5 DE genes

Version Author Date
1f4ee28 unawaz1996 2023-03-22
  • Reactome
*UpSet plot indicating distribution of DE genes within all significant gene sets. Gene sets were restricted to those with an FDR < 0.05 and at least 8 DE genes*

UpSet plot indicating distribution of DE genes within all significant gene sets. Gene sets were restricted to those with an FDR < 0.05 and at least 8 DE genes

Version Author Date
650317e unawaz1996 2023-03-22
1f4ee28 unawaz1996 2023-03-22
  • Wikipathways
*UpSet plot indicating distribution of DE genes within all significant gene sets. Gene sets were restricted to those with an FDR < 0.05 and at least 5 DE genes*

UpSet plot indicating distribution of DE genes within all significant gene sets. Gene sets were restricted to those with an FDR < 0.05 and at least 5 DE genes

Version Author Date
1f4ee28 unawaz1996 2023-03-22
  1. UPF3A OE
  • KEGG pathways
  • Reactome
  • Wikipathways
  1. UPF3A OE UPF3B KD
  • KEGG pathways
*UpSet plot indicating distribution of DE genes within all significant gene sets. Gene sets were restricted to those with an FDR < 0.05 and at least 5 DE genes*

UpSet plot indicating distribution of DE genes within all significant gene sets. Gene sets were restricted to those with an FDR < 0.05 and at least 5 DE genes

Version Author Date
1f4ee28 unawaz1996 2023-03-22
  • Reactome
*UpSet plot indicating distribution of DE genes within all significant gene sets. Gene sets were restricted to those with an FDR < 0.05 and at least 5 DE genes*

UpSet plot indicating distribution of DE genes within all significant gene sets. Gene sets were restricted to those with an FDR < 0.05 and at least 5 DE genes

Version Author Date
650317e unawaz1996 2023-03-22
1f4ee28 unawaz1996 2023-03-22
  • Wikipathways
*UpSet plot indicating distribution of DE genes within all significant gene sets. Gene sets were restricted to those with an FDR < 0.05 and at least 5 DE genes*

UpSet plot indicating distribution of DE genes within all significant gene sets. Gene sets were restricted to those with an FDR < 0.05 and at least 5 DE genes

Version Author Date
1f4ee28 unawaz1996 2023-03-22

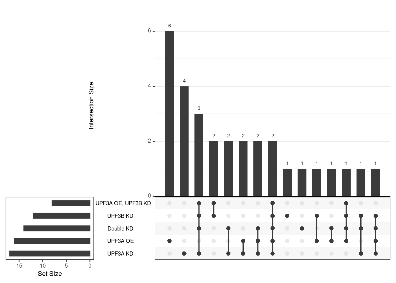
Summary of results from all comparisons

Hallmark sets

UPF3B vs Controls

Version Author Date
1f4ee28 unawaz1996 2023-03-22

UPF3A vs Controls

Version Author Date
1f4ee28 unawaz1996 2023-03-22

Double KD vs Controls

Version Author Date
1f4ee28 unawaz1996 2023-03-22

UPF3A OE vs Controls

Version Author Date
1f4ee28 unawaz1996 2023-03-22

UPF3A OE, UPF3B KD

Version Author Date
1f4ee28 unawaz1996 2023-03-22

Gene sets enriched in all comparisons

Version Author Date
1f4ee28 unawaz1996 2023-03-22

Version Author Date
650317e unawaz1996 2023-03-22
1f4ee28 unawaz1996 2023-03-22

R version 4.2.2 Patched (2022-11-10 r83330)
Platform: x86_64-pc-linux-gnu (64-bit)
Running under: Ubuntu 22.04.2 LTS

Matrix products: default
BLAS:   /usr/lib/x86_64-linux-gnu/blas/libblas.so.3.10.0
LAPACK: /usr/lib/x86_64-linux-gnu/lapack/liblapack.so.3.10.0

locale:
 [1] LC_CTYPE=en_AU.UTF-8       LC_NUMERIC=C              
 [3] LC_TIME=en_AU.UTF-8        LC_COLLATE=en_AU.UTF-8    
 [5] LC_MONETARY=en_AU.UTF-8    LC_MESSAGES=en_AU.UTF-8   
 [7] LC_PAPER=en_AU.UTF-8       LC_NAME=C                 
 [9] LC_ADDRESS=C               LC_TELEPHONE=C            
[11] LC_MEASUREMENT=en_AU.UTF-8 LC_IDENTIFICATION=C       

attached base packages:
 [1] grid      stats4    tools     stats     graphics  grDevices utils    
 [8] datasets  methods   base     

other attached packages:
 [1] IsoformSwitchAnalyzeR_2.01.04 pfamAnalyzeR_0.99.0          
 [3] sva_3.46.0                    genefilter_1.80.3            
 [5] mgcv_1.8-42                   nlme_3.1-162                 
 [7] satuRn_1.6.0                  DEXSeq_1.44.0                
 [9] BiocParallel_1.32.6           ggrepel_0.9.3                
[11] pander_0.6.5                  msigdbr_7.5.1                
[13] cowplot_1.1.1                 ngsReports_2.0.3             
[15] patchwork_1.1.2               VennDiagram_1.7.3            
[17] futile.logger_1.4.3           UpSetR_1.4.0                 
[19] fgsea_1.24.0                  GOplot_1.0.2                 
[21] RColorBrewer_1.1-3            gridExtra_2.3                
[23] ggdendro_0.1.23               AnnotationHub_3.6.0          
[25] BiocFileCache_2.6.1           dbplyr_2.3.2                 
[27] openxlsx_4.2.5.2              ggiraph_0.8.7                
[29] wasabi_1.0.1                  sleuth_0.30.1                
[31] DT_0.27                       VennDetail_1.14.0            
[33] msigdb_1.6.0                  GSEABase_1.60.0              
[35] graph_1.76.0                  annotate_1.76.0              
[37] XML_3.99-0.14                 pheatmap_1.0.12              
[39] ggvenn_0.1.10                 MetBrewer_0.2.0              
[41] ggpubr_0.6.0                  venn_1.11                    
[43] viridis_0.6.2                 viridisLite_0.4.1            
[45] tximeta_1.16.1                tximport_1.26.1              
[47] goseq_1.50.0                  geneLenDataBase_1.34.0       
[49] BiasedUrn_2.0.9               org.Mm.eg.db_3.16.0          
[51] EnsDb.Mmusculus.v79_2.99.0    ensembldb_2.22.0             
[53] AnnotationFilter_1.22.0       GenomicFeatures_1.50.4       
[55] AnnotationDbi_1.60.2          biomaRt_2.54.1               
[57] edgeR_3.40.2                  limma_3.54.2                 
[59] DESeq2_1.38.3                 SummarizedExperiment_1.28.0  
[61] Biobase_2.58.0                MatrixGenerics_1.10.0        
[63] matrixStats_0.63.0            GenomicRanges_1.50.2         
[65] GenomeInfoDb_1.34.9           IRanges_2.32.0               
[67] S4Vectors_0.36.2              BiocGenerics_0.44.0          
[69] corrplot_0.92                 lubridate_1.9.2              
[71] forcats_1.0.0                 purrr_1.0.1                  
[73] readr_2.1.4                   tidyverse_2.0.0              
[75] stringr_1.5.0                 tidyr_1.3.0                  
[77] scales_1.2.1                  data.table_1.14.8            
[79] readxl_1.4.2                  tibble_3.2.1                 
[81] magrittr_2.0.3                reshape2_1.4.4               
[83] ggplot2_3.4.2                 dplyr_1.1.1                  
[85] workflowr_1.7.0              

loaded via a namespace (and not attached):
  [1] rappdirs_0.3.3                rtracklayer_1.58.0           
  [3] bit64_4.0.5                   knitr_1.42                   
  [5] DelayedArray_0.24.0           hwriter_1.3.2.1              
  [7] KEGGREST_1.38.0               RCurl_1.98-1.12              
  [9] generics_0.1.3                callr_3.7.3                  
 [11] lambda.r_1.2.4                RSQLite_2.3.1                
 [13] bit_4.0.5                     tzdb_0.3.0                   
 [15] xml2_1.3.3                    httpuv_1.6.9                 
 [17] xfun_0.38                     hms_1.1.3                    
 [19] jquerylib_0.1.4               babelgene_22.9               
 [21] evaluate_0.20                 promises_1.2.0.1             
 [23] fansi_1.0.4                   restfulr_0.0.15              
 [25] progress_1.2.2                DBI_1.1.3                    
 [27] geneplotter_1.76.0            htmlwidgets_1.6.2            
 [29] ellipsis_0.3.2                crosstalk_1.2.0              
 [31] backports_1.4.1               locfdr_1.1-8                 
 [33] vctrs_0.6.1                   abind_1.4-5                  
 [35] cachem_1.0.7                  withr_2.5.0                  
 [37] BSgenome_1.66.3               GenomicAlignments_1.34.1     
 [39] prettyunits_1.1.1             lazyeval_0.2.2               
 [41] crayon_1.5.2                  labeling_0.4.2               
 [43] pkgconfig_2.0.3               ProtGenerics_1.30.0          
 [45] rlang_1.1.0                   lifecycle_1.0.3              
 [47] filelock_1.0.2                cellranger_1.1.0             
 [49] rprojroot_2.0.3               Matrix_1.5-3                 
 [51] carData_3.0-5                 boot_1.3-28.1                
 [53] Rhdf5lib_1.20.0               zoo_1.8-11                   
 [55] whisker_0.4.1                 processx_3.8.0               
 [57] png_0.1-8                     rjson_0.2.21                 
 [59] bitops_1.0-7                  getPass_0.2-2                
 [61] rhdf5filters_1.10.1           Biostrings_2.66.0            
 [63] blob_1.2.4                    rstatix_0.7.2                
 [65] ggsignif_0.6.4                memoise_2.0.1                
 [67] plyr_1.8.8                    zlibbioc_1.44.0              
 [69] compiler_4.2.2                BiocIO_1.8.0                 
 [71] Rsamtools_2.14.0              cli_3.6.1                    
 [73] XVector_0.38.0                pbapply_1.7-0                
 [75] ps_1.7.4                      formatR_1.14                 
 [77] MASS_7.3-58.3                 tidyselect_1.2.0             
 [79] stringi_1.7.12                highr_0.10                   
 [81] yaml_2.3.7                    locfit_1.5-9.7               
 [83] sass_0.4.5                    fastmatch_1.1-3              
 [85] timechange_0.2.0              parallel_4.2.2               
 [87] rstudioapi_0.14               uuid_1.1-0                   
 [89] git2r_0.31.0                  farver_2.1.1                 
 [91] digest_0.6.31                 BiocManager_1.30.20          
 [93] shiny_1.7.4                   Rcpp_1.0.10                  
 [95] car_3.1-2                     broom_1.0.4                  
 [97] BiocVersion_3.16.0            later_1.3.0                  
 [99] httr_1.4.5                    colorspace_2.1-0             
[101] fs_1.6.1                      splines_4.2.2                
[103] statmod_1.5.0                 plotly_4.10.1                
[105] systemfonts_1.0.4             xtable_1.8-4                 
[107] jsonlite_1.8.4                futile.options_1.0.1         
[109] R6_2.5.1                      pillar_1.9.0                 
[111] htmltools_0.5.5               mime_0.12                    
[113] glue_1.6.2                    fastmap_1.1.1                
[115] interactiveDisplayBase_1.36.0 codetools_0.2-19             
[117] utf8_1.2.3                    lattice_0.20-45              
[119] bslib_0.4.2                   curl_5.0.0                   
[121] zip_2.2.2                     GO.db_3.16.0                 
[123] survival_3.5-5                admisc_0.31                  
[125] rmarkdown_2.21                munsell_0.5.0                
[127] rhdf5_2.42.0                  GenomeInfoDbData_1.2.9       
[129] gtable_0.3.3