Last updated: 2022-06-06

Checks: 6 1

Knit directory: apocrine_signature_mdamb453/

This reproducible R Markdown analysis was created with workflowr (version 1.7.0). The Checks tab describes the reproducibility checks that were applied when the results were created. The Past versions tab lists the development history.


The R Markdown file has unstaged changes. To know which version of the R Markdown file created these results, you’ll want to first commit it to the Git repo. If you’re still working on the analysis, you can ignore this warning. When you’re finished, you can run wflow_publish to commit the R Markdown file and build the HTML.

Great job! The global environment was empty. Objects defined in the global environment can affect the analysis in your R Markdown file in unknown ways. For reproduciblity it’s best to always run the code in an empty environment.

The command set.seed(20220427) was run prior to running the code in the R Markdown file. Setting a seed ensures that any results that rely on randomness, e.g. subsampling or permutations, are reproducible.

Great job! Recording the operating system, R version, and package versions is critical for reproducibility.

Nice! There were no cached chunks for this analysis, so you can be confident that you successfully produced the results during this run.

Great job! Using relative paths to the files within your workflowr project makes it easier to run your code on other machines.

Great! You are using Git for version control. Tracking code development and connecting the code version to the results is critical for reproducibility.

The results in this page were generated with repository version 480c17a. See the Past versions tab to see a history of the changes made to the R Markdown and HTML files.

Note that you need to be careful to ensure that all relevant files for the analysis have been committed to Git prior to generating the results (you can use wflow_publish or wflow_git_commit). workflowr only checks the R Markdown file, but you know if there are other scripts or data files that it depends on. Below is the status of the Git repository when the results were generated:


Ignored files:
    Ignored:    .Rhistory
    Ignored:    .Rproj.user/
    Ignored:    data/bigwig/

Untracked files:
    Untracked:  output/meme/

Unstaged changes:
    Modified:   analysis/comparison.Rmd

Note that any generated files, e.g. HTML, png, CSS, etc., are not included in this status report because it is ok for generated content to have uncommitted changes.


These are the previous versions of the repository in which changes were made to the R Markdown (analysis/comparison.Rmd) and HTML (docs/comparison.html) files. If you’ve configured a remote Git repository (see ?wflow_git_remote), click on the hyperlinks in the table below to view the files as they were in that past version.

File Version Author Date Message
Rmd 480c17a Steve Pederson 2022-06-06 Corrected typo
html 480c17a Steve Pederson 2022-06-06 Corrected typo
Rmd e1088ac Steve Pederson 2022-06-03 revised comparison
html e1088ac Steve Pederson 2022-06-03 revised comparison
Rmd cf12cba Steve Pederson 2022-06-01 Moved AR to the correct section
html cf12cba Steve Pederson 2022-06-01 Moved AR to the correct section
Rmd a6276af Steve Pederson 2022-06-01 Changed HiC plot names to HiChIP
html a6276af Steve Pederson 2022-06-01 Changed HiC plot names to HiChIP
Rmd 8836090 Steve Pederson 2022-05-26 Added motif centrality
html 8836090 Steve Pederson 2022-05-26 Added motif centrality
html 65e26b8 Steve Pederson 2022-05-20 Build site.
Rmd 3a37987 Steve Pederson 2022-05-20 Finished first draft without motifs
Rmd 994ec9a Steve Pederson 2022-05-20 Added enrichment testing
html 994ec9a Steve Pederson 2022-05-20 Added enrichment testing
Rmd 5597186 Steve Pederson 2022-05-19 Added MYC plot
Rmd 1ba686b Steve Pederson 2022-05-19 EOD Wed
Rmd e742af3 Steve Pederson 2022-05-16 Started exploring mapped genes
html e742af3 Steve Pederson 2022-05-16 Started exploring mapped genes
Rmd 792bb98 Steve Pederson 2022-05-13 Added dist to TSS
html 792bb98 Steve Pederson 2022-05-13 Added dist to TSS
Rmd e9956d4 Steve Pederson 2022-05-13 Added 95% CIs for targets
html e9956d4 Steve Pederson 2022-05-13 Added 95% CIs for targets
Rmd 1582607 Steve Pederson 2022-05-12 Started looking at H3K27ac
Rmd 8217e8a Steve Pederson 2022-05-10 Started explorations
html 8217e8a Steve Pederson 2022-05-10 Started explorations

Introduction

library(tidyverse)
library(magrittr)
library(extraChIPs)
library(plyranges)
library(pander)
library(scales)
library(reactable)
library(htmltools)
library(UpSetR)
library(rtracklayer)
library(GenomicInteractions)
library(multcomp)
library(glue)
library(nnet)
library(effects)
library(Gviz)
library(readxl)
library(corrplot)
library(goseq)
library(BSgenome.Hsapiens.UCSC.hg19)
theme_set(theme_bw())
bar_chart <- function(label, width = "100%", height = "16px", fill = "#00bfc4", background = NULL) {
  bar <- div(style = list(background = fill, width = width, height = height))
  chart <- div(style = list(flexGrow = 1, marginLeft = "8px", background = background), bar)
  div(style = list(display = "flex", alignItems = "center"), label, chart)
}
bar_style <- function(width = 1, fill = "#e6e6e6", height = "75%", align = c("left", "right"), color = NULL) {
  align <- match.arg(align)
  if (align == "left") {
    position <- paste0(width * 100, "%")
    image <- sprintf("linear-gradient(90deg, %1$s %2$s, transparent %2$s)", fill, position)
  } else {
    position <- paste0(100 - width * 100, "%")
    image <- sprintf("linear-gradient(90deg, transparent %1$s, %2$s %1$s)", position, fill)
  }
  list(
    backgroundImage = image,
    backgroundSize = paste("100%", height),
    backgroundRepeat = "no-repeat",
    backgroundPosition = "center",
    color = color
  )
}
dht_peaks <- here::here("data", "peaks") %>% 
  list.files(recursive = TRUE, pattern = "oracle", full.names = TRUE) %>% 
  sapply(read_rds, simplify = FALSE) %>% 
  lapply(function(x) x[["DHT"]]) %>% 
  lapply(setNames, nm = c()) %>% 
  setNames(str_extract_all(names(.), "AR|FOXA1|GATA3|TFAP2B"))
dht_consensus <- dht_peaks %>%
  lapply(granges) %>% 
  GRangesList() %>% 
  unlist() %>% 
  reduce() %>% 
  mutate(
    AR = overlapsAny(., dht_peaks$AR),
    FOXA1 = overlapsAny(., dht_peaks$FOXA1),
    GATA3 = overlapsAny(., dht_peaks$GATA3),
    TFAP2B = overlapsAny(., dht_peaks$TFAP2B),
  )
targets <- names(dht_peaks)
sq <- seqinfo(dht_consensus)

Relationship Between Binding Regions

Oracle peaks from the DHT-treated samples in each ChIP target were obtained previously using the GRAVI workflow. AR and GATA3 peaks were derived from the same samples/passages, whilst FOXA1 and TFAP2B ChIP-Seq experiments were performed separately.

cp <- htmltools::tags$em(
  "Summary of all oracle peaks from DHT-treated samples. FOXA1 clearly showed the most binding activity."
)
tbl <- dht_peaks %>% 
  lapply(
    function(x) {
      tibble(
        n = length(x),
        w = median(width(x)),
        kb = sum(width(x)) / 1e3
      )
    }
  ) %>% 
  lapply(list) %>% 
  as_tibble() %>% 
  pivot_longer(cols = everything(), names_to = "target") %>% 
  unnest(everything()) %>% 
  reactable(
    filterable = FALSE, searchable = FALSE,
    columns = list(
      target = colDef(name = "ChIP Target"),
      n = colDef(name = "Total Peaks"),
      w = colDef(name = "Median Width"),
      kb = colDef(name = "Total Width (kb)", format = colFormat(digits = 1))
    ),
    defaultColDef = colDef(
      format = colFormat(separators = TRUE, digits = 0)
    )
  )
div(class = "table",
  div(class = "table-header",
      div(class = "caption", cp),
      tbl
  )
)
Summary of all oracle peaks from DHT-treated samples. FOXA1 clearly showed the most binding activity.

A set of target-agnostic set of binding regions was then defined as the union of all DHT-treat peaks across all targets.

dht_consensus %>% 
  as_tibble() %>% 
  pivot_longer(cols = all_of(targets), names_to = "target", values_to = "bound") %>% 
  dplyr::filter(bound) %>% 
  split(.$target) %>% 
  lapply(pull, "range") %>% 
  fromList() %>% 
  upset(
    sets = rev(targets), keep.order = TRUE, 
    order.by = "freq", 
    set_size.show = TRUE, set_size.scale_max = nrow(.)
  )
Using the union of all binding regions, those which overlapped an oracle peak from each ChIP target are shown

Using the union of all binding regions, those which overlapped an oracle peak from each ChIP target are shown

Version Author Date
e1088ac Steve Pederson 2022-06-03
e742af3 Steve Pederson 2022-05-16
8217e8a Steve Pederson 2022-05-10

H3K27ac Signal

Given the hypothesis that the co-ocurrence of all 4 ChIP targets should be associated with increased transcriptional or regulatory activity, the set of all DHT peaks were then compared to promoters and enhancers derived H2K27ac binding, as detected in the existing GATA3/AR dataset produced by Leila Hosseinzadeh. Any H3K27ac peak detected in this dataset was classified either as a promoter or enhancer, and thus these features can be considered as the complete set of regions with detectable H3K27ac signal from this experiment.

all_gr <- here::here("data", "annotations", "all_gr.rds") %>% 
  read_rds() 
tss <- resize(all_gr$transcript, width = 1)
features <- here::here("data", "h3k27ac") %>% 
  list.files(full.names = TRUE, pattern = "bed$") %>% 
  sapply(import.bed, seqinfo = sq) %>% 
  lapply(granges) %>% 
  setNames(basename(names(.))) %>% 
  setNames(str_remove_all(names(.), "s.bed")) %>% 
  GRangesList() %>% 
  unlist() %>% 
  names_to_column("feature") %>% 
  sort()
dht_consensus %<>% 
  mutate(
    promoter = bestOverlap(., features, var = "feature", missing = "None") == "promoter",
    enhancer = bestOverlap(., features, var = "feature", missing = "None") == "enhancer",
    H3K27ac = promoter | enhancer,
    dist_to_tss = mcols(distanceToNearest(., tss, ignore.strand = TRUE))$distance
  )
fs <- 12
cp <- htmltools::tags$em(
  glue(
    "Summary of all sites, taking the union of all sites with any target bound. ",
    "{comma(length(dht_consensus))} sites were found across all targets. ",
    "Individual ChIP targets can be searched within this table using 't' or 'f' ",
    "to denote True or False. Summaries regarding association with H3K27ac ", 
    "peaks and distance to the nearest TSS are also provided. ",
    "The total numbers of sites overlapping H3K27ac-defined Promoters and ", 
    "Enhancers are shown with the % of sites being relative to to those ", 
    "overlapping H3K27ac-defined features"
  )
)
tbl <- dht_consensus %>%
  as_tibble() %>% 
  group_by(!!!syms(targets)) %>% 
  summarise(
    n = dplyr::n(),
    nH3K27ac = sum(H3K27ac),
    H3K27ac = mean(H3K27ac),
    promoter = sum(promoter),
    enhancer = sum(enhancer),
    d = median(dist_to_tss),
    .groups = "drop"
  ) %>% 
  arrange(desc(n)) %T>%
  write_tsv(
    here::here("output/sites_by_h3k27ac.tsv")
  ) %>% 
  reactable(
    filterable = TRUE,
    pagination = FALSE,
    columns = list(
      AR = colDef(
        cell = function(value) {
          ifelse(value, "\u2714", "\u2716")
        }, 
        style = function(value) {
          cl <- ifelse(value, "forestgreen", "red")
          list(color = cl)
        },
        maxWidth = 60
      ),
      FOXA1 = colDef(
        cell = function(value) {
          ifelse(value, "\u2714", "\u2716")
        }, 
        style = function(value) {
          cl <- ifelse(value, "forestgreen", "red")
          list(color = cl)
        },
        maxWidth = 60
      ),
      GATA3 = colDef(
        cell = function(value) {
          ifelse(value, "\u2714", "\u2716")
        }, 
        style = function(value) {
          cl <- ifelse(value, "forestgreen", "red")
          list(color = cl)
        },
        maxWidth = 60
      ),
      TFAP2B = colDef(
        cell = function(value) {
          ifelse(value, "\u2714", "\u2716")
        }, 
        style = function(value) {
          cl <- ifelse(value, "forestgreen", "red")
          list(color = cl)
        },
        maxWidth = 70
      ),
      n = colDef(
        name = "Nbr. Sites",
        format = colFormat(separators = TRUE),
        maxWidth = 75
      ),
      nH3K27ac = colDef(
        name = "Overlapping H3K27ac",
        format = colFormat(separators = TRUE),
        maxWidth = 85
      ),
      H3K27ac = colDef(
        name = "% H3K27ac Overlap",
        format = colFormat(digits = 1, percent = TRUE),
        style = function(value) {
            bar_style(width = value, align = "right")
        },
        maxWidth = 80
      ),
      promoter = colDef(
        name = "Promoters",
        style = function(value, index) {
            bar_style(
              width = 0.5*(value / .$nH3K27ac[[index]]), align = "right", 
              fill = rgb(1, 0.416, 0.416)
            )
        },
        cell = function(value, index) {
          lb <- glue("{value} ({percent(value / .$nH3K27ac[[index]], 1)})")
          as.character(lb)
        },
        align = "left",
        minWidth = 120
      ),
      enhancer = colDef(
        name = "Enhancers",
        style = function(value, index) {
            bar_style(
              width = 0.5*(value / .$nH3K27ac[[index]]), align = "left", 
              fill = rgb(1, 0.65, 0.2)
            )
        },
        cell = function(value, index) {
          lb <- glue("{value} ({percent(value / .$nH3K27ac[[index]], 1)})")
          as.character(lb)
        },
        align = "right",
        minWidth = 120
      ),
      d = colDef(
        name = "Median Distance to TSS (bp)",
        format = colFormat(digits = 0, separators = TRUE)
      )
    ),
    style = list(fontSize = fs)
  )
div(class = "table",
  div(class = "table-header",
      div(class = "caption", cp),
      tbl
  )
)
Summary of all sites, taking the union of all sites with any target bound. 104,721 sites were found across all targets. Individual ChIP targets can be searched within this table using 't' or 'f' to denote True or False. Summaries regarding association with H3K27ac peaks and distance to the nearest TSS are also provided. The total numbers of sites overlapping H3K27ac-defined Promoters and Enhancers are shown with the % of sites being relative to to those overlapping H3K27ac-defined features

All H3K27ac Peaks

grp_h3k27ac <- dht_consensus %>% 
  as_tibble() %>% 
  dplyr::select(range, all_of(targets), H3K27ac) %>% 
  pivot_longer(cols = all_of(targets), names_to = "targets") %>% 
  dplyr::filter(value) %>% 
  group_by(range, H3K27ac) %>% 
  summarise(targets = paste(targets, collapse = "+"), .groups = "drop")
glm_h3k27ac <- glm(H3K27ac ~ 0 + targets, family = "binomial", data = grp_h3k27ac)

A simple logistic regression model was then run to estimate the probability of overlapping a peak associated with the histone mark H3K27ac for each combination of ChIP targets. Binding of TFAP2\(\beta\) in isolation clearly had the strongest association with H3K27ac peaks, whilst the absence of TFAP2\(\beta\) clearly reduced the likelihood of all other ChIP targets being associated with H3K27ac signal.

inv.logit <- binomial()$linkinv
df <- glm_h3k27ac %>% 
  glht() %>% 
  confint() %>% 
  .[["confint"]] %>% 
  as_tibble(rownames = "targets") %>% 
  mutate(
    n_targets = str_count(targets, "\\+") + 1
  ) %>% 
  arrange(desc(n_targets), desc(targets)) %>% 
  mutate(
    TFAP2B = ifelse(str_detect(targets, "TFAP2B"), "TFAP2B", "No TFAP2B"),
    targets = targets %>% 
      str_remove_all("\\+TFAP2B$") %>% 
      fct_inorder() %>% 
      fct_relabel(str_remove_all, pattern = "targets"),
    p = inv.logit(Estimate),
    across(all_of(c("upr", "lwr")), inv.logit),
    y = case_when(
      str_detect(TFAP2B, "No") ~ as.integer(targets) - 0.2,
      TRUE ~ as.integer(targets) + 0.2
    )
  )
df %>% 
  ggplot(aes(p, y, colour = TFAP2B)) + 
  geom_point() +
  geom_errorbarh(aes(xmin = lwr, xmax = upr), height = 0.4) +
  scale_x_continuous(limits = c(0, 1)) +
  scale_y_continuous(
    breaks = seq_along(levels(df$targets)), labels = levels(df$targets),
    expand = expansion(c(0.02, 0.02))
  ) +
  scale_colour_manual(values = c("black", "red")) +
  labs(x = "Probability of H3K27ac Peak Overlap", y = "Detected Targets")
Family-wise 95% Confidence Intervals for the probability of overlapping an H3K27ac-derived feature, based on the combinations of detected ChIP targets.

Family-wise 95% Confidence Intervals for the probability of overlapping an H3K27ac-derived feature, based on the combinations of detected ChIP targets.

Version Author Date
e1088ac Steve Pederson 2022-06-03
994ec9a Steve Pederson 2022-05-20
e742af3 Steve Pederson 2022-05-16
792bb98 Steve Pederson 2022-05-13
e9956d4 Steve Pederson 2022-05-13

Promoters Only

grp_prom <- dht_consensus %>% 
  as_tibble() %>% 
  dplyr::select(range, all_of(targets), promoter) %>% 
  pivot_longer(cols = all_of(targets), names_to = "targets") %>% 
  dplyr::filter(value) %>% 
  group_by(range, promoter) %>% 
  summarise(targets = paste(targets, collapse = "+"), .groups = "drop")
glm_prom <- glm(promoter ~ 0 + targets, family = "binomial", data = grp_prom)
glm_prom %>% 
  glht() %>% 
  confint() %>% 
  .[["confint"]] %>% 
  as_tibble(rownames = "targets") %>% 
  mutate(
    n_targets = str_count(targets, "\\+") + 1
  ) %>% 
  arrange(desc(n_targets), desc(targets)) %>% 
  mutate(
    targets = fct_inorder(targets) %>% 
      fct_relabel(str_remove_all, pattern = "targets"),
    p = inv.logit(Estimate),
    TFAP2B = ifelse(str_detect(targets, "TFAP2B"), "TFAP2B", "No TFAP2B"),
    across(all_of(c("upr", "lwr")), inv.logit)
  ) %>% 
  ggplot(aes(p, targets)) + 
  geom_point() +
  geom_errorbarh(aes(xmin = lwr, xmax = upr), height = 0.4, colour = "grey20") +
  facet_grid(TFAP2B ~ ., scales = "free_y") +
  scale_x_continuous(limits = c(0, 1)) +
  labs(x = "Probability of Promoter Overlap", y = "Detected Targets")
Family-wise 95% Confidence Intervals for the probability of overlapping an H3K27ac-derived promoter, based on the combinations of detected ChIP targets.

Family-wise 95% Confidence Intervals for the probability of overlapping an H3K27ac-derived promoter, based on the combinations of detected ChIP targets.

Version Author Date
e1088ac Steve Pederson 2022-06-03
994ec9a Steve Pederson 2022-05-20
1ba686b Steve Pederson 2022-05-19

Enhancers Only

grp_enh <- dht_consensus %>% 
  as_tibble() %>% 
  dplyr::select(range, all_of(targets), enhancer) %>% 
  pivot_longer(cols = all_of(targets), names_to = "targets") %>% 
  dplyr::filter(value) %>% 
  group_by(range, enhancer) %>% 
  summarise(targets = paste(targets, collapse = "+"), .groups = "drop")
glm_enh <- glm(enhancer ~ 0 + targets, family = "binomial", data = grp_enh)
glm_enh %>% 
  glht() %>% 
  confint() %>% 
  .[["confint"]] %>% 
  as_tibble(rownames = "targets") %>% 
  mutate(
    n_targets = str_count(targets, "\\+") + 1
  ) %>% 
  arrange(desc(n_targets), desc(targets)) %>% 
  mutate(
    targets = fct_inorder(targets) %>% 
      fct_relabel(str_remove_all, pattern = "targets"),
    p = inv.logit(Estimate),
    TFAP2B = ifelse(str_detect(targets, "TFAP2B"), "TFAP2B", "No TFAP2B"),
    across(all_of(c("upr", "lwr")), inv.logit)
  ) %>% 
  ggplot(aes(p, targets)) + 
  geom_point() +
  geom_errorbarh(aes(xmin = lwr, xmax = upr), height = 0.4, colour = "grey20") +
  facet_grid(TFAP2B ~ ., scales = "free_y") +
  scale_x_continuous(limits = c(0, 1)) +
  labs(x = "Probability of Enhancer Overlap", y = "Detected Targets")
Family-wise 95% Confidence Intervals for the probability of overlapping an H3K27ac-derived enhancer, based on the combinations of detected ChIP targets.

Family-wise 95% Confidence Intervals for the probability of overlapping an H3K27ac-derived enhancer, based on the combinations of detected ChIP targets.

Version Author Date
e1088ac Steve Pederson 2022-06-03
994ec9a Steve Pederson 2022-05-20
1ba686b Steve Pederson 2022-05-19

All Features

df <- dht_consensus %>% 
  as_tibble() %>% 
  mutate(
    ol = case_when(
      promoter ~ "Promoter",
      enhancer ~ "Enhancer",
      TRUE ~ "No H3K27ac"
    ) %>% 
      fct_infreq()
  ) %>% 
  pivot_longer(all_of(targets), names_to = "target") %>% 
  dplyr::filter(value) %>% 
  group_by(range, ol) %>% 
  summarise(
    targets = paste(target, collapse = "+"),
    .groups = "drop"
  ) %>% 
  mutate(n_targets = 1 + str_count(targets, "\\+")) %>% 
  arrange(n_targets, targets) %>% 
  mutate(targets = fct_inorder(targets))
glm_all <- multinom(ol~ 0 + targets, data = df) 
ci_all <- Effect("targets", glm_all, confint = TRUE, confidence.level = 1 - 0.05/15)
list(
  tibble(targets = ci_all$variables$targets$levels) %>% 
    bind_cols(ci_all$prob) %>% 
    pivot_longer(starts_with("prob"), names_to = "ol") %>% 
    mutate(ol = str_remove_all(ol, "prob."), type = "p"),
  tibble(targets = ci_all$variables$targets$levels) %>% 
    bind_cols(ci_all$lower.prob) %>% 
    pivot_longer(starts_with("L.prob"), names_to = "ol") %>% 
    mutate(ol = str_remove_all(ol, "L.prob."), type = "lwr"),
  tibble(targets = ci_all$variables$targets$levels) %>% 
    bind_cols(ci_all$upper.prob) %>% 
    pivot_longer(starts_with("U.prob"), names_to = "ol") %>% 
    mutate(ol = str_remove_all(ol, "U.prob."), type = "upr")
) %>% 
  bind_rows() %>% 
  pivot_wider(names_from = "type", values_from = value) %>% 
  mutate(
    ol = str_replace_all(ol, "\\.", " ") %>% factor(levels = levels(df$ol)),
    TFAP2B = ifelse(str_detect(targets, "TFAP2B"), "TFAP2B", "No TFAP2B"),
    targets = factor(targets, levels = levels(df$targets)) %>% 
      fct_relabel(str_remove_all, pattern = "\\+TFAP2B"),
    y = case_when(
      TFAP2B == "TFAP2B" ~ as.integer(targets) + 0.2,
      TFAP2B != "TFAP2B" ~ as.integer(targets) - 0.2
    )
  ) %>% 
  # dplyr::filter(ol %in% c("Promoter", "Enhancer")) %>% 
  ggplot(aes(p, y, colour = TFAP2B)) +
  geom_point() +
  geom_errorbarh(aes(xmin = lwr, xmax = upr), height = 0.25) +
  facet_grid(.~ol, scales = "free_y", space = "free") +
  scale_y_continuous(
    breaks = str_remove_all(levels(df$targets), "\\+TFAP2B") %>% 
      unique() %>% 
      seq_along(),
    labels = str_remove_all(levels(df$targets), "\\+TFAP2B") %>% 
      unique()
  ) +
  scale_colour_manual(values = c("grey70", rgb(0.9, 0.1, 0.2))) +
  labs(
    x = expression(pi[i]),
    y = "Targets"
  )
Probabilities of group membership for overlapping a promoter, enhancer, or having no H3K27ac overlap. Combinations of ChIP targets are shown based on coincident binding of TFAP2B. Intervals represent 1 - &alpha; Confidence Intervals, as described in the text. Co-binding of TFAP2&beta; was strongly associated with an increased probability of a site being associated with H3K27ac peaks as defined previously.

Probabilities of group membership for overlapping a promoter, enhancer, or having no H3K27ac overlap. Combinations of ChIP targets are shown based on coincident binding of TFAP2B. Intervals represent 1 - α Confidence Intervals, as described in the text. Co-binding of TFAP2β was strongly associated with an increased probability of a site being associated with H3K27ac peaks as defined previously.

Version Author Date
e1088ac Steve Pederson 2022-06-03
994ec9a Steve Pederson 2022-05-20
1ba686b Steve Pederson 2022-05-19

A simple multinomial model was then fit using the possible outcomes (or classes) for each site: 1) Promoter Overlap; 2) Enhancer Overlap, or 3) No H3K27ac overlap. \(1 - \alpha\) confidence intervals for the probability of class membership were then estimated using \(\alpha = 0.05/15\), given there were 15 combinations of transcription factors detected.

Distance to Nearest TSS

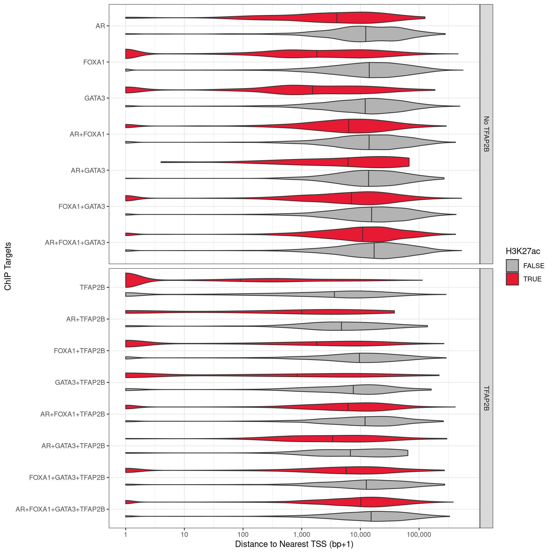
The distance to the nearest TSS was also checked for each of the union peaks, with the vast majority of TFAP2\(\beta\)-only peaks being with 1kb of a TSS, indicating a fundamental role for TFAP2\(\beta\) in transcriptional regulation. These were much further away when bound in combination with other ChIP targets, to the point that most sites where all four were found bound were >3kb from any TSS, suggesting that an alternative role for TFAP2\(\beta\) is enhancer-based gene regulation, when acting in concert with the remaining targets.

dht_consensus %>% 
  as_tibble() %>% 
  dplyr::select(range, all_of(targets), dist_to_tss, H3K27ac) %>% 
  pivot_longer(cols = all_of(targets), names_to = "targets") %>% 
  dplyr::filter(value) %>% 
  group_by(range, dist_to_tss, H3K27ac) %>% 
  arrange(range, targets) %>% 
  summarise(targets = paste(targets, collapse = "+"), .groups = "drop") %>% 
  mutate(
    n_targets = str_count(targets, "\\+") + 1,
    TFAP2B = ifelse(str_detect(targets, "TFAP2B"), "TFAP2B", "No TFAP2B")
  ) %>% 
  arrange(desc(n_targets), desc(targets)) %>% 
  mutate(targets = fct_inorder(targets)) %>% 
  ggplot(aes(dist_to_tss + 1, targets, fill = H3K27ac)) +
  # geom_boxplot() +
  geom_violin(draw_quantiles = 0.5) +
  facet_grid(TFAP2B ~ ., scales = "free_y") +
  scale_x_log10(labels = comma, breaks = 10^seq(0, 5)) +
  scale_fill_manual(values = c("grey70", rgb(0.9, 0.1, 0.2))) +
  labs(x = "Distance to Nearest TSS (bp+1)", y = "ChIP Targets")
Distance to the nearest TSS for all peaks detected with one or more of the required ChIP targets.

Distance to the nearest TSS for all peaks detected with one or more of the required ChIP targets.

Version Author Date
e1088ac Steve Pederson 2022-06-03
a6276af Steve Pederson 2022-06-01
8836090 Steve Pederson 2022-05-26
994ec9a Steve Pederson 2022-05-20
e742af3 Steve Pederson 2022-05-16
792bb98 Steve Pederson 2022-05-13
dht_consensus %>% 
  as_tibble() %>% 
  # sample_n(10000) %>% 
  dplyr::select(range, all_of(targets), dist_to_tss, H3K27ac) %>% 
  pivot_longer(cols = all_of(targets), names_to = "targets") %>% 
  dplyr::filter(value) %>% 
  group_by(range, dist_to_tss, H3K27ac) %>% 
  arrange(range, targets) %>% 
  summarise(targets = paste(targets, collapse = "+"), .groups = "drop") %>% 
  mutate(
    n_targets = str_count(targets, "\\+") + 1,
    TFAP2B = ifelse(str_detect(targets, "TFAP2B"), "TFAP2B", "No TFAP2B")
  ) %>% 
  arrange(desc(n_targets), desc(targets)) %>% 
  mutate(
    targets = str_remove_all(targets, "\\+TFAP2B"),
    targets = fct_inorder(targets)
  ) %>% 
  ggplot(aes(dist_to_tss + 1, stat(density), colour = TFAP2B, linetype = H3K27ac)) +
  geom_density() +
  facet_wrap(.~targets) +
  scale_colour_manual(values = c("grey70", rgb(0.9, 0.1, 0.2))) +
  scale_linetype_manual(values = c(2, 1)) +
  scale_x_log10(labels = comma, breaks = 10^c(0:5))

Comparison With H3K27ac HiChIP Data

fl <- here::here("data", "hichip") %>% 
  list.files(full.names = TRUE, pattern = "gi.+rds") 
hic <- GInteractions()
for (f in fl) {
  hic <- c(hic, read_rds(f))
}
hic <- sort(hic)

H3K27ac-HiChIP obtained from SRA and analysed previously, was additionally included to improve mapping of peaks to genes. Whilst the previous H3K27ac-derived features were obtained from the same passages/experiments as GATA3 and AR, HiChIP data was obtained from a public dataset, not produced with the DRMCRL, and were defined using only the Vehicle controls from an Abemaciclib Vs. Vehicle experiment. Long range interactions were included for bin sizes of 5, 10, 20 and 40 kb. Before proceeding, the comparability of the H3K27ac-HiChIP and H3K27ac-derived features was checked. 93% of HiChIP long-range interactions overlapped a promoter or enhancer derived from H3K27ac ChIP-seq. Conversely, 86% or ChIP-Seq features mapped to a long-range interaction, confirming that the H3K27ac signatures within MDA-MB-453 cells are highly comparable across laboratories.

Comparison To Key Genes

data("grch37.cytobands")
tm <- read_rds(
  here::here("data", "annotations", "trans_models.rds")
)
bwfl <- list(
  AR = here::here("data", "bigwig", "AR") %>% 
    list.files(pattern = "DHT_merged.+bw", full.names = TRUE) %>% 
    BigWigFileList() %>% 
    setNames(
      path(.) %>% 
        basename() %>% 
        str_remove_all("_merged_treat.+")
    ),
  FOXA1 = here::here("data", "bigwig", "FOXA1") %>% 
    list.files(pattern = "DHT_merged.+bw", full.names = TRUE) %>% 
    BigWigFileList() %>% 
    setNames(
      path(.) %>% 
        basename() %>% 
        str_remove_all("_merged_treat.+")
    ),
  GATA3 = here::here("data", "bigwig", "GATA3") %>% 
    list.files(pattern = "DHT_merged.+bw", full.names = TRUE) %>% 
    BigWigFileList() %>% 
    setNames(
      path(.) %>% 
        basename() %>% 
        str_remove_all("_merged_treat.+")
    ),
  TFAP2B = here::here("data", "bigwig", "TFAP2B") %>% 
    list.files(pattern = "DHT_merged.+bw", full.names = TRUE) %>% 
    BigWigFileList() %>% 
    setNames(
      path(.) %>% 
        basename() %>% 
        str_remove_all("_merged_treat.+")
    ),
  H3K27ac = here::here("data", "bigwig", "H3K27ac") %>% 
    list.files(pattern = "merged_DHT.bw", full.names = TRUE) %>% 
    BigWigFileList() %>% 
    setNames(
      path(.) %>% 
        basename() %>% 
        str_extract("DHT|Veh")
    )
) %>% 
  lapply(path) %>% 
  lapply(as.character) %>% 
  BigWigFileList()
y_lim <- here::here("data", "bigwig", targets) %>% 
  sapply(
    list.files, pattern = "merged.*summary", full.names= TRUE, simplify = FALSE
  ) %>% 
  lapply(
    function(x) lapply(x, read_tsv)
  ) %>% 
  lapply(bind_rows) %>% 
  lapply(function(x) c(0, max(x$score))) %>% 
  setNames(basename(names(.)))
y_lim$H3K27ac <- bwfl$H3K27ac %>% 
  import.bw %>% 
  mcols() %>% 
  .[["score"]] %>% 
  max() %>% 
  c(0) %>% 
  range()

Mapping To Detected Genes

rnaseq <- here::here("data", "rnaseq", "dge.rds") %>% 
  read_rds()
counts <- here::here("data", "rnaseq", "counts.out.gz") %>% 
  read_tsv(skip = 1) %>% 
  dplyr::select(Geneid, ends_with("bam")) 
detected <- counts %>%
  pivot_longer(
    cols = ends_with("bam"), names_to = "sample", values_to = "counts"
  ) %>% 
  mutate(detected = counts > 0) %>% 
  group_by(Geneid) %>% 
  summarise(detected = mean(detected) > 0.25, .groups = "drop") %>%
  dplyr::filter(detected) %>% 
  pull("Geneid")
top_table <- here::here("data", "rnaseq", "MDA-MB-453_RNASeq.tsv") %>% 
  read_tsv() # Not a DHT-treatment analysis though...
dht_consensus <- mapByFeature(
  dht_consensus, 
  genes = subset(all_gr$gene, gene_id %in% detected),
  prom = subset(features, feature == "promoter"),
  ## Given we have accuracte H3K27ac HiChIP, better mappings can be gained that way.
  ## Exclude any enhancers which overlap the HiChIP
  enh = subset(features, feature == "enhancer") %>% filter_by_non_overlaps(hic),
  gi = hic
) %>% 
  mutate(mapped = vapply(gene_id, function(x) length(x) > 0, logical(1)))
all_targets <- dht_consensus %>% 
  as_tibble() %>% 
  dplyr::filter(if_all(all_of(targets))) %>% 
  unnest(everything()) %>% 
  distinct(gene_id) %>% 
  pull("gene_id")

In order to more accurately assign genes to actively transcribed genes, the RNA-Seq dataset generated in 2013 studying DHT Vs. Vehicle in MDA-MB-453 cells was used to define the set of genes able to be considered as detected. As this was a polyA dataset, some ncRNA which are not adenylated may be expressed, but will remain as undetected despite this technological limitation. All 21,328 genes with >1 read in at least 1/4 of the samples was considered to be detected, and peaks were only mapped to detected genes.

Mapping was performed using mapByFeature() from the package extraChIP using:

  1. Promoters defined externally using H3K27ac
  2. Only the externally defined enhancers which contained no H3K27ac-HiChIP overlap
  3. H3K27ac HiChIP interactions for long range mapping

No separate enhancers were using in the mapping steps as the H3K27ac-HiChIP interaction were considered to provide clear associations between peaks and target genes. By contrast, the default mapping of mapByFeature() would map all genes within 100kb to any peak considered as an enhancer

90% of detected genes had one or more peaks mapped to them.

Looking specifically at the peaks for which all four targets directly overlapped, 10,250 of the 21,328 detected genes were mapped to at least one directly overlapping binding region.

Apocrine Signature Enrichment

Subtype Gene Signatures

hgnc <- read_csv(
  here::here("data", "external", "hgnc-symbol-check.csv"), skip = 1
) %>% 
  dplyr::select(Gene = Input, gene_name = `Approved symbol`)
apo_ranks <- here::here("data", "external", "ApoGenes.txt") %>% 
  read_tsv() %>% 
  left_join(hgnc) %>% 
  left_join(
    as_tibble(all_gr$gene) %>% 
      dplyr::select(gene_id, gene_name),
    by = "gene_name"
  ) %>% 
  dplyr::select(starts_with("gene_"), ends_with("rank")) %>% 
  dplyr::filter(!is.na(gene_id))
apo_full <- read_excel(
  here::here("data", "external", "Apocrine gene lists.xls"),
  col_names = c(
    "Gene", 
    paste0("ESR1", c("_logFC", "_p")),
    paste0("CLCA2", c("_logFC", "_p")),
    paste0("DCN", c("_logFC", "_p")),
    paste0("GZMA", c("_logFC", "_p")),
    paste0("MX1", c("_logFC", "_p")),
    paste0("TPX2", c("_logFC", "_p")),
    paste0("FABP4", c("_logFC", "_p")),
    paste0("ADM", c("_logFC", "_p")),
    paste0("CD83", c("_logFC", "_p"))
    ),
  col_types = c("text", rep("numeric", 18)),
  skip = 1
) %>% 
  left_join(hgnc) %>% 
  left_join(
    as_tibble(all_gr$gene) %>% 
      dplyr::select(gene_id, gene_name),
    by = "gene_name"
  ) %>% 
  dplyr::select(starts_with("gene", FALSE), matches("_(logFC|p)"))
apo_genesets <- colnames(apo_full) %>% 
  str_subset("_p$") %>% 
  sapply(
    function(x) {
      dplyr::filter(apo_full, !!sym(x) < 0.05, !is.na(gene_name))$gene_name
    },
    simplify = FALSE
  ) %>% 
  setNames(
    str_remove(names(.), pattern = "_p")
  )
genes_by_subtype <- apo_genesets %>% 
  lapply(list) %>% 
  as_tibble() %>% 
  pivot_longer(everything(), names_to = "subtype", values_to = "gene_name") %>% 
  unnest(everything()) %>% 
  split(.$gene_name) %>% 
  lapply(pull, "subtype")

The models for different subtypes, as previously published were loaded, with a signature from each subtype being derived from genes with an adjusted p-value < 0.05, as initially published. This gave 9 different gene-sets with key marker genes denoting the subtypes: ESR1, CLCA2, DCN, GZMA, MX1, TPX2, FABP4, ADM and CD83

apo_genesets %>% 
  fromList() %>% 
  upset(
    sets = rev(names(.)), 
    # keep.order = TRUE,
    order.by = "freq",
    set_size.show = TRUE,
    set_size.scale_max = nrow(.) * 0.4
  )
UpSet plot showing the association between genes contained in each signature. A relatively high degree of similarity was noted between some signature pairs, such as GZMA/CD83 and MX1/GZMA

UpSet plot showing the association between genes contained in each signature. A relatively high degree of similarity was noted between some signature pairs, such as GZMA/CD83 and MX1/GZMA

Version Author Date
e1088ac Steve Pederson 2022-06-03
994ec9a Steve Pederson 2022-05-20
apo_genesets %>% 
  fromList() %>%
  cor() %>% 
  corrplot(
    diag = FALSE, 
    addCoef.col = "grey50",
    addCoefasPercent = TRUE
  )
Correlation plot between signatures based on shared genes between groups

Correlation plot between signatures based on shared genes between groups

Version Author Date
e1088ac Steve Pederson 2022-06-03
994ec9a Steve Pederson 2022-05-20

Enrichment Testing

The set of genes mapped to sites contain all four ChIP targets were then tested for enrichment of any of the defined signatures. Enrichment testing as implemented in goseq was used, incorporating the number of consensus peaks mapped to a gene as the offset term for biased sampling.

All Common Sites

mapped <- all_gr$gene %>% 
  filter(gene_id %in% detected) %>% 
  mutate(gene_width = width) %>% 
  as_tibble() %>% 
  dplyr::select(starts_with("gene")) %>% 
  mutate(
    mapped_to_all = gene_name %in% unlist(filter(dht_consensus, !!!syms(targets))$gene_name),
    n_peaks = table(unlist(dht_consensus$gene_name))[gene_name] %>% 
      as.integer(),
    n_peaks = ifelse(is.na(n_peaks), 0, n_peaks)
  ) %>% 
  distinct(gene_name, .keep_all = TRUE)
goseq_all4 <- structure(
  mapped$mapped_to_all, names = mapped$gene_name
) %>% 
  nullp(bias.data = mapped$n_peaks) %>%  
  goseq(gene2cat = genes_by_subtype) %>% 
  as_tibble() %>% 
  dplyr::select(
    subtype = category,
    p = over_represented_pvalue,
    n_mapped = numDEInCat,
    signature_size = numInCat
  ) %>% 
  mutate(fdr = p.adjust(p, "fdr"))
PWF for biased sampling using the number of peaks mapped to a gene as the bias offset

PWF for biased sampling using the number of peaks mapped to a gene as the bias offset

Version Author Date
e1088ac Steve Pederson 2022-06-03
994ec9a Steve Pederson 2022-05-20
goseq_all4 %>% 
  mutate(`%` = percent(n_mapped / signature_size, accuracy = 0.1)) %>% 
  dplyr::select(
    Subtype = subtype, `Signature Size` = signature_size, `# Mapped` = n_mapped,
    `% Mapped` = `%`, p, FDR = fdr
  ) %>% 
  pander(
    justify = "lrrrrr",
    caption = paste(
      "Results for Subtype enrichment testing using all genes mapped to any ",
      "consensus peak, where all four ChIP targets were considered to be present."
    ),
    emphasize.strong.rows = which(.$FDR < 0.05)
  )
Results for Subtype enrichment testing using all genes mapped to any consensus peak, where all four ChIP targets were considered to be present.
Subtype Signature Size # Mapped % Mapped p FDR
CLCA2 136 104 76.5% 0.001183 0.01065
ESR1 868 538 62.0% 0.07247 0.3261
ADM 123 75 61.0% 0.1586 0.4759
TPX2 333 206 61.9% 0.3267 0.735
DCN 766 443 57.8% 0.7412 0.9502
FABP4 50 22 44.0% 0.9141 0.9502
GZMA 195 97 49.7% 0.9372 0.9502
CD83 400 210 52.5% 0.9445 0.9502
MX1 106 47 44.3% 0.9502 0.9502

H3K27Ac-Associated Common Sites

The same process was then performed restricting the mappings to those sites associated with H3K27ac binding.

mapped_h3k <- all_gr$gene %>% 
  filter(gene_id %in% detected) %>% 
  mutate(gene_width = width) %>% 
  as_tibble() %>% 
  dplyr::select(starts_with("gene")) %>% 
  mutate(
    mapped_to_all = gene_name %in% unlist(filter(dht_consensus, !!!syms(targets), H3K27ac)$gene_name),
    n_peaks = table(unlist(dht_consensus$gene_name))[gene_name] %>% 
      as.integer(),
    n_peaks = ifelse(is.na(n_peaks), 0, n_peaks)
  ) %>% 
  distinct(gene_name, .keep_all = TRUE)
goseq_h3k <- structure(
  mapped_h3k$mapped_to_all, names = mapped_h3k$gene_name
) %>% 
  nullp(bias.data = mapped_h3k$n_peaks) %>%  
  goseq(gene2cat = genes_by_subtype) %>% 
  as_tibble() %>% 
  dplyr::select(
    subtype = category,
    p = over_represented_pvalue,
    n_mapped = numDEInCat,
    signature_size = numInCat
  ) %>% 
  mutate(fdr = p.adjust(p, "fdr"))
PWF for biased sampling using the number of peaks mapped to a gene as the bias offset

PWF for biased sampling using the number of peaks mapped to a gene as the bias offset

Version Author Date
e1088ac Steve Pederson 2022-06-03
994ec9a Steve Pederson 2022-05-20
goseq_h3k %>% 
  mutate(`%` = percent(n_mapped / signature_size, accuracy = 0.1)) %>% 
  dplyr::select(
    Subtype = subtype, `Signature Size` = signature_size, `# Mapped` = n_mapped,
    `% Mapped` = `%`, p, FDR = fdr
  ) %>% 
  pander(
    justify = "lrrrrr",
    caption = paste(
      "Results for Subtype enrichment testing using only genes mapped to a",
      "consensus peak *associated with H3K27ac activity*, and where all four", 
      "ChIP targets were considered to be present."
    ),
    emphasize.strong.rows = which(.$FDR < 0.05)
  )
Results for Subtype enrichment testing using only genes mapped to a consensus peak associated with H3K27ac activity, and where all four ChIP targets were considered to be present.
Subtype Signature Size # Mapped % Mapped p FDR
CLCA2 136 99 72.8% 3.783e-05 0.0003405
ESR1 868 479 55.2% 0.006078 0.02735
ADM 123 64 52.0% 0.183 0.5491
TPX2 333 177 53.2% 0.4041 0.9092
FABP4 50 19 38.0% 0.8337 0.9899
MX1 106 39 36.8% 0.9165 0.9899
GZMA 195 81 41.5% 0.9184 0.9899
DCN 766 366 47.8% 0.9617 0.9899
CD83 400 169 42.2% 0.9899 0.9899

H3K27ac Associated Sites Without TFAP2B

The same process was then performed restricting the mappings to those sites associated with H3K27ac binding, where AR, FOXA1 and GATA3 are all bound but without TFAP2B.

mapped_noap2b <- all_gr$gene %>% 
  filter(gene_id %in% detected) %>% 
  mutate(gene_width = width) %>% 
  as_tibble() %>% 
  dplyr::select(starts_with("gene")) %>% 
  mutate(
    mapped_to_all = gene_name %in% unlist(filter(dht_consensus, AR, FOXA1, GATA3, !TFAP2B, H3K27ac)$gene_name),
    n_peaks = table(unlist(dht_consensus$gene_name))[gene_name] %>% 
      as.integer(),
    n_peaks = ifelse(is.na(n_peaks), 0, n_peaks)
  ) %>% 
  distinct(gene_name, .keep_all = TRUE)
goseq_noap2b <- structure(
  mapped_noap2b$mapped_to_all, names = mapped_noap2b$gene_name
) %>% 
  nullp(bias.data = mapped_noap2b$n_peaks) %>%  
  goseq(gene2cat = genes_by_subtype) %>% 
  as_tibble() %>% 
  dplyr::select(
    subtype = category,
    p = over_represented_pvalue,
    n_mapped = numDEInCat,
    signature_size = numInCat
  ) %>% 
  mutate(fdr = p.adjust(p, "fdr"))
PWF for biased sampling using the number of peaks mapped to a gene as the bias offset

PWF for biased sampling using the number of peaks mapped to a gene as the bias offset

Version Author Date
e1088ac Steve Pederson 2022-06-03
65e26b8 Steve Pederson 2022-05-20
goseq_noap2b %>% 
  mutate(`%` = percent(n_mapped / signature_size, accuracy = 0.1)) %>% 
  dplyr::select(
    Subtype = subtype, `Signature Size` = signature_size, `# Mapped` = n_mapped,
    `% Mapped` = `%`, p, FDR = fdr
  ) %>% 
  pander(
    justify = "lrrrrr",
    caption = paste(
      "Results for Subtype enrichment testing using only genes mapped to a",
      "consensus peak *associated with H3K27ac activity*, and where AR, FOXA1", 
      "and GATA3 were considered to be present, but in the absence of TFAP2B."
    ),
    emphasize.strong.rows = which(.$FDR < 0.05)
  )
Results for Subtype enrichment testing using only genes mapped to a consensus peak associated with H3K27ac activity, and where AR, FOXA1 and GATA3 were considered to be present, but in the absence of TFAP2B.
Subtype Signature Size # Mapped % Mapped p FDR
CLCA2 136 57 41.9% 0.05217 0.4695
DCN 766 231 30.2% 0.1858 0.8361
ESR1 868 268 30.9% 0.3565 0.9153
TPX2 333 99 29.7% 0.7114 0.9153
ADM 123 31 25.2% 0.7388 0.9153
CD83 400 101 25.2% 0.8497 0.9153
MX1 106 21 19.8% 0.8611 0.9153
FABP4 50 9 18.0% 0.8643 0.9153
GZMA 195 42 21.5% 0.9153 0.9153

H3K27ac Associated Sites Without AR

The same process was then performed restricting the mappings to those sites associated with H3K27ac binding, where FOXA1, GATA3 and TFAP2B are all bound but without taking AR binding into account.

mapped_noar <- all_gr$gene %>% 
  filter(gene_id %in% detected) %>% 
  mutate(gene_width = width) %>% 
  as_tibble() %>% 
  dplyr::select(starts_with("gene")) %>% 
  mutate(
    mapped_to_all = gene_name %in% unlist(filter(dht_consensus, FOXA1, GATA3, TFAP2B, H3K27ac)$gene_name),
    n_peaks = table(unlist(dht_consensus$gene_name))[gene_name] %>% 
      as.integer(),
    n_peaks = ifelse(is.na(n_peaks), 0, n_peaks)
  ) %>% 
  distinct(gene_name, .keep_all = TRUE)
goseq_noar <- structure(
  mapped_noar$mapped_to_all, names = mapped_noar$gene_name
) %>% 
  nullp(bias.data = mapped_noar$n_peaks) %>%  
  goseq(gene2cat = genes_by_subtype) %>% 
  as_tibble() %>% 
  dplyr::select(
    subtype = category,
    p = over_represented_pvalue,
    n_mapped = numDEInCat,
    signature_size = numInCat
  ) %>% 
  mutate(fdr = p.adjust(p, "fdr"))
PWF for biased sampling using the number of peaks mapped to a gene as the bias offset

PWF for biased sampling using the number of peaks mapped to a gene as the bias offset

Version Author Date
e1088ac Steve Pederson 2022-06-03
goseq_noar %>% 
  mutate(`%` = percent(n_mapped / signature_size, accuracy = 0.1)) %>% 
  dplyr::select(
    Subtype = subtype, `Signature Size` = signature_size, `# Mapped` = n_mapped,
    `% Mapped` = `%`, p, FDR = fdr
  ) %>% 
  pander(
    justify = "lrrrrr",
    caption = paste(
      "Results for Subtype enrichment testing using only genes mapped to a",
      "consensus peak *associated with H3K27ac activity*, and where FOXA1", 
      "GATA3 and TFAP2B were considered to be present, but in the absence of AR."
    ),
    emphasize.strong.rows = which(.$FDR < 0.05)
  )
Results for Subtype enrichment testing using only genes mapped to a consensus peak associated with H3K27ac activity, and where FOXA1 GATA3 and TFAP2B were considered to be present, but in the absence of AR.
Subtype Signature Size # Mapped % Mapped p FDR
CLCA2 136 105 77.2% 0.0001878 0.001691
ESR1 868 523 60.3% 0.1017 0.4576
ADM 123 73 59.3% 0.1548 0.4645
TPX2 333 200 60.1% 0.3785 0.8516
FABP4 50 24 48.0% 0.7005 0.9734
DCN 766 429 56.0% 0.7962 0.9734
MX1 106 48 45.3% 0.8523 0.9734
GZMA 195 91 46.7% 0.9726 0.9734
CD83 400 200 50.0% 0.9734 0.9734

Sequence Export

hg19 <- BSgenome.Hsapiens.UCSC.hg19
sq19 <- seqinfo(hg19)
consenus_hg19 <- dht_consensus
seqinfo(consenus_hg19) <- sq19
features_hg19 <- features
seqinfo(features_hg19) <- sq19

getSeq(
  hg19,
  consenus_hg19 %>% 
    filter(AR, FOXA1, GATA3, !TFAP2B) %>% 
    resize(width = 500, fix = 'center') %>% 
    setNames(as.character(.))
) %>% 
  writeXStringSet(
    here::here("output", "ar_foxa1_gata3_no_tfap2b.fa")
  )
getSeq(
  hg19,
  consenus_hg19 %>% 
    filter(AR, FOXA1, GATA3, TFAP2B) %>% 
    resize(width = 500, fix = 'center') %>% 
    setNames(as.character(.))
) %>% 
  writeXStringSet(
    here::here("output", "ar_foxa1_gata3_tfap2b.fa")
  )
getSeq(
  hg19,
  consenus_hg19 %>% 
    filter(AR, FOXA1, GATA3, TFAP2B, H3K27ac) %>% 
    resize(width = 500, fix = 'center') %>% 
    setNames(as.character(.))
) %>% 
  writeXStringSet(
    here::here("output", "all4_h3k27ac.fa")
  )
getSeq(
  hg19,
  consenus_hg19 %>% 
    filter(AR, FOXA1, GATA3, TFAP2B, !H3K27ac) %>% 
    resize(width = 500, fix = 'center') %>% 
    setNames(as.character(.))
) %>% 
  writeXStringSet(
    here::here("output", "all4_no_h3k27ac.fa")
  )

Visualisations: Luminal Genes

MYC

As the gene MYC has been identified as a key target, the binding patterns within the gene were explored. The two binding sites 1) with all four ChIP targets detected, 2) within 100kb of MYC, and 3) which were connected using HiChIP interactions were visualised and exported.

gn <- "MYC"
gr <- dht_consensus %>% 
  filter(!!!syms(targets), mapped, H3K27ac) %>% 
  filter(
    vapply(gene_name, function(x) gn %in% x, logical(1))
  ) %>% 
  mutate(d = distance(., subset(all_gr$gene, gene_name == gn))) %>% 
  arrange(d) %>% 
  filter(d < 1e5)
fs <- 14
region_plot <- plotHFGC(
  gr = gr,
  hic = hic %>%
    subsetByOverlaps(gr) %>%
    subsetByOverlaps(
      subset(all_gr$gene, gene_name == gn)
    ) %>% 
    subset(as.integer(bin_size) <= 5e3),
  hicsize = 3,
  max = 5e7,
  genes = tm %>%
    mutate(detected = ifelse(gene %in% detected, "Detected", "Not-Detected")) %>%
    split(.$detected),
  genecol = c(
    Detected = "forestgreen", "Not-Detected" = rgb(0.2, 0.2, 0.7, 0.5)
  ),
  coverage = bwfl, 
  linecol = rep("grey30", length(bwfl)),
  cytobands = grch37.cytobands,
  zoom = 1.1,
  highlight = rgb(0, 0, 1, 0.5), 
  title.width = 1, 
  col.title = "black", background.title = "white",
  showAxis = FALSE,
  rotation.title = 90, fontsize = fs, 
  fontface.title = 1,
  legend = FALSE,
  fontcolor.legend = "black"
)
Two joint binding sites either side of *MYC* connected by HiChIP interactions to the promoter. HiChIP connections were detected at all bin sizes, however, only fine-resolutions 5kb interaction bins are shown.

Two joint binding sites either side of MYC connected by HiChIP interactions to the promoter. HiChIP connections were detected at all bin sizes, however, only fine-resolutions 5kb interaction bins are shown.

Version Author Date
e1088ac Steve Pederson 2022-06-03
994ec9a Steve Pederson 2022-05-20
region_plot[[1]]@dp@pars$fontcolor <- "black"
region_plot$Axis@dp@pars$fontcolor <- "black"
region_plot$Axis@dp@pars$col <- "grey30"
if ("HiC" %in% names(region_plot)) {
  region_plot$HiC@name <- "HiChIP"
  region_plot$HiC@dp@pars$fontface.title <- 1
  region_plot$HiC@dp@pars$rotation.title <- 0
}
region_plot$Detected@dp@pars$fontface.title <- 1
region_plot$Detected@dp@pars$rotation.title <- 0
region_plot$Detected@dp@pars$fontsize.group <- fs
region_plot$Detected@dp@pars$cex.group <- 0.8
region_plot$Detected@dp@pars$fontface.group <- 1
region_plot$Detected@dp@pars$fontcolor.group <- "black"
if ("Not-Detected" %in% names(region_plot)) {
  region_plot$`Not-Detected`@dp@pars$fontcolor.group <- "black"
  region_plot$`Not-Detected`@dp@pars$fontface.title <- 1
  region_plot$`Not-Detected`@dp@pars$rotation.title <- 0
  region_plot$`Not-Detected`@dp@pars$fontsize.group <- fs
  region_plot$`Not-Detected`@dp@pars$cex.group <- 0.8
  region_plot$`Not-Detected`@dp@pars$fontface.group <- 1
  region_plot$`Not-Detected`@dp@pars$just.group <- "right"
}
region_plot$AR@dp@pars$rotation.title <- 0
region_plot$FOXA1@dp@pars$rotation.title <- 0
region_plot$GATA3@dp@pars$rotation.title <- 0
region_plot$TFAP2B@dp@pars$rotation.title <- 0
region_plot$H3K27ac@dp@pars$rotation.title <- 0
region_plot$H3K27ac@dp@pars$size <- 5
ax <- region_plot[1:2]
top_panels <- region_plot[names(region_plot) %in% c("HiC", "Detected", "Not-Detected")]
hl <- HighlightTrack(
  region_plot[c(targets, "H3K27ac")],
  range = resize(gr, width = 3*width(gr), fix = 'center')
)
hl@dp@pars$fill <- rgb(1, 1, 1, 0)
hl@dp@pars$col <- "blue"
hl@dp@pars$lwd <- 0.8
pdf(here::here("output", glue("{gn}.pdf")), width = 10, height = 10)
plot_range <- c(gr, subset(all_gr$gene, gene_name == gn)) %>% 
  range(ignore.strand = TRUE) %>% 
  resize(width = 1.2*width(.), fix = 'center')
Gviz::plotTracks(
  c(ax, top_panels, hl),
  from = start(plot_range), to = end(plot_range),
  title.width = 1,
  margin = 40,
  fontface.main = 1
  )
dev.off()

GATA3

gn <- "GATA3"
gr <- dht_consensus %>% 
  filter(!!!syms(targets), mapped, H3K27ac) %>% 
  filter(
    vapply(gene_name, function(x) gn %in% x, logical(1))
  ) %>% 
  mutate(d = distance(., subset(all_gr$gene, gene_name == gn))) %>% 
  arrange(d) %>% 
  subsetByOverlaps(
    hic %>% 
      subset(as.integer(bin_size) == 5e3) %>% 
      subsetByOverlaps(
        subset(all_gr$gene, gene_name == gn)
      )
  )
fs <- 14
region_plot <- plotHFGC(
  gr = gr,
  hic = hic %>%
    subsetByOverlaps(gr) %>%
    subsetByOverlaps(
      subset(all_gr$gene, gene_name == gn)
    ) %>% 
    subset(as.integer(bin_size) <= 5e3),
  hicsize = 3,
  genes = tm %>%
    mutate(detected = ifelse(gene %in% detected, "Detected", "Not-Detected")) %>%
    split(.$detected),
  genecol = c(
    Detected = "forestgreen", "Not-Detected" = rgb(0.2, 0.2, 0.7, 0.5)
  ),
  coverage = bwfl, 
  linecol = rep("grey30", length(bwfl)),
  cytobands = grch37.cytobands,
  zoom = 1.1,
  highlight = rgb(0, 0, 1, 0.5), 
  title.width = 1, 
  col.title = "black", background.title = "white",
  showAxis = FALSE,
  rotation.title = 90, fontsize = fs, 
  fontface.title = 1,
  legend = FALSE,
  fontcolor.legend = "black"
)
All H3K27ac-associated peaks where all four targets were detected, and which map to *GATA3*. Only the high-resolution 5kb bins are shown.

All H3K27ac-associated peaks where all four targets were detected, and which map to GATA3. Only the high-resolution 5kb bins are shown.

Version Author Date
e1088ac Steve Pederson 2022-06-03
65e26b8 Steve Pederson 2022-05-20
region_plot[[1]]@dp@pars$fontcolor <- "black"
region_plot$Axis@dp@pars$fontcolor <- "black"
region_plot$Axis@dp@pars$col <- "grey30"
if ("HiC" %in% names(region_plot)) {
  region_plot$HiC@name <- "HiChIP"
  region_plot$HiC@dp@pars$fontface.title <- 1
  region_plot$HiC@dp@pars$rotation.title <- 0
}
region_plot$Detected@dp@pars$fontface.title <- 1
region_plot$Detected@dp@pars$rotation.title <- 0
region_plot$Detected@dp@pars$fontsize.group <- fs
region_plot$Detected@dp@pars$cex.group <- 0.8
region_plot$Detected@dp@pars$fontface.group <- 1
region_plot$Detected@dp@pars$fontcolor.group <- "black"
region_plot$Detected@dp@pars$just.group <- "right"
if ("Not-Detected" %in% names(region_plot)) {
  region_plot$`Not-Detected`@dp@pars$fontcolor.group <- "black"
  region_plot$`Not-Detected`@dp@pars$fontface.title <- 1
  region_plot$`Not-Detected`@dp@pars$rotation.title <- 0
  region_plot$`Not-Detected`@dp@pars$fontsize.group <- fs
  region_plot$`Not-Detected`@dp@pars$cex.group <- 0.8
  region_plot$`Not-Detected`@dp@pars$fontface.group <- 1
  region_plot$`Not-Detected`@dp@pars$just.group <- "right"
}
region_plot$AR@dp@pars$rotation.title <- 0
region_plot$FOXA1@dp@pars$rotation.title <- 0
region_plot$GATA3@dp@pars$rotation.title <- 0
region_plot$TFAP2B@dp@pars$rotation.title <- 0
region_plot$H3K27ac@dp@pars$rotation.title <- 0
region_plot$H3K27ac@dp@pars$size <- 5
ax <- region_plot[1:2]
top_panels <- region_plot[names(region_plot) %in% c("HiC", "Detected", "Not-Detected")]
hl <- HighlightTrack(
  region_plot[c(targets, "H3K27ac")],
  range = resize(gr, width = 3*width(gr), fix = 'center')
)
hl@dp@pars$fill <- rgb(1, 1, 1, 0)
hl@dp@pars$col <- "blue"
hl@dp@pars$lwd <- 0.8
pdf(here::here("output", glue("{gn}.pdf")), width = 10, height = 10)
plot_range <- c(gr, subset(all_gr$gene, gene_name == gn)) %>% 
  range(ignore.strand = TRUE) %>% 
  resize(width = 1.2*width(.), fix = 'center')
Gviz::plotTracks(
  c(ax, top_panels, hl),
  from = start(plot_range), to = end(plot_range),
  title.width = 1,
  margin = 40,
  fontface.main = 1
  )
dev.off()

FOXA1

gn <- "FOXA1"
gr <- dht_consensus %>% 
  filter(!!!syms(targets), mapped, H3K27ac) %>% 
  filter(
    vapply(gene_name, function(x) gn %in% x, logical(1))
  ) %>% 
  mutate(d = distance(., subset(all_gr$gene, gene_name == gn))) %>% 
  arrange(d) %>%
  subsetByOverlaps(
    hic %>%
      subset(as.integer(bin_size) == 5e3) %>%
      subsetByOverlaps(
        subset(all_gr$gene, gene_name == gn)
      )
  )
fs <- 14
region_plot <- plotHFGC(
  gr = gr,
  hic = hic %>%
    subsetByOverlaps(gr) %>%
    subsetByOverlaps(
      subset(all_gr$gene, gene_name == gn)
    ) %>% 
    subset(as.integer(bin_size) <= 5e3),
  max = 1e5,
  hicsize = 3,
  genes = tm %>%
    mutate(detected = ifelse(gene %in% detected, "Detected", "Not-Detected")) %>%
    split(.$detected),
  genecol = c(
    Detected = "forestgreen", "Not-Detected" = rgb(0.2, 0.2, 0.7, 0.5)
  ),
  coverage = bwfl, 
  linecol = rep("grey30", length(bwfl)),
  cytobands = grch37.cytobands,
  zoom = 1.2,
  highlight = rgb(0, 0, 1, 0.5), 
  title.width = 1, 
  col.title = "black", background.title = "white",
  showAxis = FALSE,
  rotation.title = 90, fontsize = fs, 
  fontface.title = 1,
  legend = FALSE,
  fontcolor.legend = "black"
)
All H3K27ac-associated peaks where all four targets were detected, and which map to *FOXA1*. Only the high-resolution 5kb bins are shown.

All H3K27ac-associated peaks where all four targets were detected, and which map to FOXA1. Only the high-resolution 5kb bins are shown.

Version Author Date
e1088ac Steve Pederson 2022-06-03
65e26b8 Steve Pederson 2022-05-20
region_plot[[1]]@dp@pars$fontcolor <- "black"
region_plot$Axis@dp@pars$fontcolor <- "black"
region_plot$Axis@dp@pars$col <- "grey30"
if ("HiC" %in% names(region_plot)) {
  region_plot$HiC@name <- "HiChIP"
  region_plot$HiC@dp@pars$fontface.title <- 1
  region_plot$HiC@dp@pars$rotation.title <- 0
}
region_plot$Detected@dp@pars$fontface.title <- 1
region_plot$Detected@dp@pars$rotation.title <- 0
region_plot$Detected@dp@pars$fontsize.group <- fs
region_plot$Detected@dp@pars$cex.group <- 0.8
region_plot$Detected@dp@pars$fontface.group <- 1
region_plot$Detected@dp@pars$fontcolor.group <- "black"
if ("Not-Detected" %in% names(region_plot)) {
  region_plot$`Not-Detected`@dp@pars$fontcolor.group <- "black"
  region_plot$`Not-Detected`@dp@pars$fontface.title <- 1
  region_plot$`Not-Detected`@dp@pars$rotation.title <- 0
  region_plot$`Not-Detected`@dp@pars$fontsize.group <- fs
  region_plot$`Not-Detected`@dp@pars$cex.group <- 0.8
  region_plot$`Not-Detected`@dp@pars$fontface.group <- 1
  region_plot$`Not-Detected`@dp@pars$just.group <- "right"
}
region_plot$AR@dp@pars$rotation.title <- 0
region_plot$FOXA1@dp@pars$rotation.title <- 0
region_plot$GATA3@dp@pars$rotation.title <- 0
region_plot$TFAP2B@dp@pars$rotation.title <- 0
region_plot$H3K27ac@dp@pars$rotation.title <- 0
region_plot$H3K27ac@dp@pars$size <- 5
ax <- region_plot[1:2]
top_panels <- region_plot[names(region_plot) %in% c("HiC", "Detected", "Not-Detected")]
hl <- HighlightTrack(
  region_plot[c(targets, "H3K27ac")],
  range = resize(gr, width = 1.5 * width(gr), fix = 'center')
)
hl@dp@pars$fill <- rgb(1, 1, 1, 0)
hl@dp@pars$col <- "blue"
hl@dp@pars$lwd <- 0.8
pdf(here::here("output", glue("{gn}.pdf")), width = 10, height = 10)
plot_range <- c(gr, subset(all_gr$gene, gene_name == gn)) %>% 
  range(ignore.strand = TRUE) %>% 
  resize(width = 1.2*width(.), fix = 'center')
Gviz::plotTracks(
  c(ax, top_panels, hl),
  from = start(plot_range), to = end(plot_range),
  title.width = 1,
  margin = 40,
  fontface.main = 1
  )
dev.off()

XBP1

gn <- "XBP1"
gr <- dht_consensus %>% 
  filter(!!!syms(targets), mapped, H3K27ac) %>% 
  filter(
    vapply(gene_name, function(x) gn %in% x, logical(1))
  ) %>% 
  mutate(d = distance(., subset(all_gr$gene, gene_name == gn))) %>% 
  arrange(d) %>% 
  filter(d < 100e3)
fs <- 14
region_plot <- plotHFGC(
  gr = gr,
  hic = hic %>%
    subsetByOverlaps(gr) %>%
    subsetByOverlaps(
      subset(all_gr$gene, gene_name == gn)
    ) %>% 
    subset(as.integer(bin_size) == 5e3),
  hicsize = 3,
  genes = tm %>%
    mutate(detected = ifelse(gene %in% detected, "Detected", "Not-Detected")) %>%
    split(.$detected),
  genecol = c(
    Detected = "forestgreen", "Not-Detected" = rgb(0.2, 0.2, 0.7, 0.5)
  ),
  coverage = bwfl, 
  linecol = rep("grey30", length(bwfl)),
  cytobands = grch37.cytobands,
  zoom = 1.1,
  highlight = rgb(0, 0, 1, 0.5), 
  title.width = 1, 
  col.title = "black", background.title = "white",
  showAxis = FALSE,
  rotation.title = 90, fontsize = fs, 
  fontface.title = 1,
  legend = FALSE,
  fontcolor.legend = "black"
)
All H3K27ac-associated peaks where all four targets were detected, and which are within 100kb of *XBP1*. Only the high-resolution 5kb interaction bins are shown. The two additional peaks were not considered to show evidence of TFAP2B binding by macs2 callpeak and are not highlighted for this reason

All H3K27ac-associated peaks where all four targets were detected, and which are within 100kb of XBP1. Only the high-resolution 5kb interaction bins are shown. The two additional peaks were not considered to show evidence of TFAP2B binding by macs2 callpeak and are not highlighted for this reason

Version Author Date
e1088ac Steve Pederson 2022-06-03
65e26b8 Steve Pederson 2022-05-20
region_plot[[1]]@dp@pars$fontcolor <- "black"
region_plot$Axis@dp@pars$fontcolor <- "black"
region_plot$Axis@dp@pars$col <- "grey30"
if ("HiC" %in% names(region_plot)) {
  region_plot$HiC@name <- "HiChIP"
  region_plot$HiC@dp@pars$fontface.title <- 1
  region_plot$HiC@dp@pars$rotation.title <- 0
}
region_plot$Detected@dp@pars$fontface.title <- 1
region_plot$Detected@dp@pars$rotation.title <- 0
region_plot$Detected@dp@pars$fontsize.group <- fs
region_plot$Detected@dp@pars$cex.group <- 0.8
region_plot$Detected@dp@pars$fontface.group <- 1
region_plot$Detected@dp@pars$fontcolor.group <- "black"
if ("Not-Detected" %in% names(region_plot)) {
  region_plot$`Not-Detected`@dp@pars$fontcolor.group <- "black"
  region_plot$`Not-Detected`@dp@pars$fontface.title <- 1
  region_plot$`Not-Detected`@dp@pars$rotation.title <- 0
  region_plot$`Not-Detected`@dp@pars$fontsize.group <- fs
  region_plot$`Not-Detected`@dp@pars$cex.group <- 0.8
  region_plot$`Not-Detected`@dp@pars$fontface.group <- 1
  region_plot$`Not-Detected`@dp@pars$just.group <- "right"
}
region_plot$AR@dp@pars$rotation.title <- 0
region_plot$FOXA1@dp@pars$rotation.title <- 0
region_plot$GATA3@dp@pars$rotation.title <- 0
region_plot$TFAP2B@dp@pars$rotation.title <- 0
region_plot$H3K27ac@dp@pars$rotation.title <- 0
region_plot$H3K27ac@dp@pars$size <- 5
ax <- region_plot[1:2]
top_panels <- region_plot[names(region_plot) %in% c("HiC", "Detected", "Not-Detected")]
hl <- HighlightTrack(
  region_plot[c(targets, "H3K27ac")],
  range = resize(gr, width = 1.5 * width(gr), fix = 'center')
)
hl@dp@pars$fill <- rgb(1, 1, 1, 0)
hl@dp@pars$col <- "blue"
hl@dp@pars$lwd <- 0.8
pdf(here::here("output", glue("{gn}.pdf")), width = 10, height = 10)
plot_range <- c(gr, subset(all_gr$gene, gene_name == gn)) %>% 
  range(ignore.strand = TRUE) %>% 
  resize(width = 1.2*width(.), fix = 'center')
Gviz::plotTracks(
  c(ax, top_panels, hl),
  from = start(plot_range), to = end(plot_range),
  title.width = 1,
  margin = 40,
  fontface.main = 1
  )
dev.off()

MYB

gn <- "MYB"
gr <- dht_consensus %>% 
  filter(!!!syms(targets), mapped, H3K27ac) %>% 
  filter(
    vapply(gene_name, function(x) gn %in% x, logical(1))
  ) %>% 
  mutate(d = distance(., subset(all_gr$gene, gene_name == gn))) %>% 
  arrange(d) 
fs <- 14
region_plot <- plotHFGC(
  gr = gr,
  hic = hic %>%
    subsetByOverlaps(gr) %>%
    subsetByOverlaps(
      subset(all_gr$gene, gene_name == gn)
    ) %>% 
    subset(as.integer(bin_size) == 20e3),
  hicsize = 3,
  genes = tm %>%
    mutate(detected = ifelse(gene %in% detected, "Detected", "Not-Detected")) %>%
    split(.$detected),
  genecol = c(
    Detected = "forestgreen", "Not-Detected" = rgb(0.2, 0.2, 0.7, 0.5)
  ),
  coverage = bwfl, 
  linecol = rep("grey30", length(bwfl)),
  cytobands = grch37.cytobands,
  zoom = 1.1,
  highlight = rgb(0, 0, 1, 0.5), 
  title.width = 1, 
  col.title = "black", background.title = "white",
  showAxis = FALSE,
  rotation.title = 90, fontsize = fs, 
  fontface.title = 1,
  legend = FALSE,
  fontcolor.legend = "black"
)
All H3K27ac-associated peaks where all four targets were detected, and which map to *MYB*. Only the low-resolution 20kb interaction bins are shown.

All H3K27ac-associated peaks where all four targets were detected, and which map to MYB. Only the low-resolution 20kb interaction bins are shown.

Version Author Date
e1088ac Steve Pederson 2022-06-03
65e26b8 Steve Pederson 2022-05-20
region_plot[[1]]@dp@pars$fontcolor <- "black"
region_plot$Axis@dp@pars$fontcolor <- "black"
region_plot$Axis@dp@pars$col <- "grey30"
if ("HiC" %in% names(region_plot)) {
  region_plot$HiC@name <- "HiChIP"
  region_plot$HiC@dp@pars$fontface.title <- 1
  region_plot$HiC@dp@pars$rotation.title <- 0
}
region_plot$Detected@dp@pars$fontface.title <- 1
region_plot$Detected@dp@pars$rotation.title <- 0
region_plot$Detected@dp@pars$fontsize.group <- fs
region_plot$Detected@dp@pars$cex.group <- 0.8
region_plot$Detected@dp@pars$fontface.group <- 1
region_plot$Detected@dp@pars$fontcolor.group <- "black"
if ("Not-Detected" %in% names(region_plot)) {
  region_plot$`Not-Detected`@dp@pars$fontcolor.group <- "black"
  region_plot$`Not-Detected`@dp@pars$fontface.title <- 1
  region_plot$`Not-Detected`@dp@pars$rotation.title <- 0
  region_plot$`Not-Detected`@dp@pars$fontsize.group <- fs
  region_plot$`Not-Detected`@dp@pars$cex.group <- 0.8
  region_plot$`Not-Detected`@dp@pars$fontface.group <- 1
  region_plot$`Not-Detected`@dp@pars$just.group <- "right"
}
region_plot$AR@dp@pars$rotation.title <- 0
region_plot$FOXA1@dp@pars$rotation.title <- 0
region_plot$GATA3@dp@pars$rotation.title <- 0
region_plot$TFAP2B@dp@pars$rotation.title <- 0
region_plot$H3K27ac@dp@pars$rotation.title <- 0
region_plot$H3K27ac@dp@pars$size <- 5
ax <- region_plot[1:2]
top_panels <- region_plot[names(region_plot) %in% c("HiC", "Detected", "Not-Detected")]
hl <- HighlightTrack(
  region_plot[c(targets, "H3K27ac")],
  range = resize(gr, width = 1.5 * width(gr), fix = 'center')
)
hl@dp@pars$fill <- rgb(1, 1, 1, 0)
hl@dp@pars$col <- "blue"
hl@dp@pars$lwd <- 0.8
pdf(here::here("output", glue("{gn}.pdf")), width = 10, height = 10)
plot_range <- c(gr, subset(all_gr$gene, gene_name == gn)) %>% 
  range(ignore.strand = TRUE) %>% 
  resize(width = 1.2*width(.), fix = 'center')
Gviz::plotTracks(
  c(ax, top_panels, hl),
  from = start(plot_range), to = end(plot_range),
  title.width = 1,
  margin = 40,
  fontface.main = 1
  )
dev.off()

GREB1

gn <- "GREB1"
gr <- dht_consensus %>% 
  filter(!!!syms(targets), mapped, H3K27ac) %>% 
  filter(
    vapply(gene_name, function(x) gn %in% x, logical(1))
  ) %>% 
  mutate(d = distance(., subset(all_gr$gene, gene_name == gn))) %>% 
  arrange(d) 
fs <- 14
region_plot <- plotHFGC(
  gr = gr,
  hic = hic %>%
    subsetByOverlaps(gr) %>%
    subsetByOverlaps(
      subset(all_gr$gene, gene_name == gn)
    ) %>% 
    subset(as.integer(bin_size) <= 40e3),
  hicsize = 3,
  genes = tm %>%
    mutate(detected = ifelse(gene %in% detected, "Detected", "Not-Detected")) %>%
    split(.$detected),
  genecol = c(
    Detected = "forestgreen", "Not-Detected" = rgb(0.2, 0.2, 0.7, 0.5)
  ),
  coverage = bwfl, 
  linecol = rep("grey30", length(bwfl)),
  cytobands = grch37.cytobands,
  zoom = 1.1,
  highlight = rgb(0, 0, 1, 0.5), 
  title.width = 1, 
  col.title = "black", background.title = "white",
  showAxis = FALSE,
  rotation.title = 90, fontsize = fs, 
  fontface.title = 1,
  legend = FALSE,
  fontcolor.legend = "black"
)
All H3K27ac-associated peaks where all four targets were detected, and which map to *GREB1*. Only the low-resolution 40kb interaction bins are shown.

All H3K27ac-associated peaks where all four targets were detected, and which map to GREB1. Only the low-resolution 40kb interaction bins are shown.

Version Author Date
e1088ac Steve Pederson 2022-06-03
65e26b8 Steve Pederson 2022-05-20
region_plot[[1]]@dp@pars$fontcolor <- "black"
region_plot$Axis@dp@pars$fontcolor <- "black"
region_plot$Axis@dp@pars$col <- "grey30"
if ("HiC" %in% names(region_plot)) {
  region_plot$HiC@name <- "HiChIP"
  region_plot$HiC@dp@pars$fontface.title <- 1
  region_plot$HiC@dp@pars$rotation.title <- 0
}
region_plot$Detected@dp@pars$fontface.title <- 1
region_plot$Detected@dp@pars$rotation.title <- 0
region_plot$Detected@dp@pars$fontsize.group <- fs
region_plot$Detected@dp@pars$cex.group <- 0.8
region_plot$Detected@dp@pars$fontface.group <- 1
region_plot$Detected@dp@pars$fontcolor.group <- "black"
if ("Not-Detected" %in% names(region_plot)) {
  region_plot$`Not-Detected`@dp@pars$fontcolor.group <- "black"
  region_plot$`Not-Detected`@dp@pars$fontface.title <- 1
  region_plot$`Not-Detected`@dp@pars$rotation.title <- 0
  region_plot$`Not-Detected`@dp@pars$fontsize.group <- fs
  region_plot$`Not-Detected`@dp@pars$cex.group <- 0.8
  region_plot$`Not-Detected`@dp@pars$fontface.group <- 1
  region_plot$`Not-Detected`@dp@pars$just.group <- "right"
}
region_plot$AR@dp@pars$rotation.title <- 0
region_plot$FOXA1@dp@pars$rotation.title <- 0
region_plot$GATA3@dp@pars$rotation.title <- 0
region_plot$TFAP2B@dp@pars$rotation.title <- 0
region_plot$H3K27ac@dp@pars$rotation.title <- 0
region_plot$H3K27ac@dp@pars$size <- 5
ax <- region_plot[1:2]
top_panels <- region_plot[names(region_plot) %in% c("HiC", "Detected", "Not-Detected")]
hl <- HighlightTrack(
  region_plot[c(targets, "H3K27ac")],
  range = resize(gr, width = 5 * width(gr), fix = 'center')
)
hl@dp@pars$fill <- rgb(1, 1, 1, 0)
hl@dp@pars$col <- "blue"
hl@dp@pars$lwd <- 0.8
pdf(here::here("output", glue("{gn}.pdf")), width = 10, height = 10)
plot_range <- c(gr, subset(all_gr$gene, gene_name == gn)) %>% 
  range(ignore.strand = TRUE) %>% 
  resize(width = 1.2*width(.), fix = 'center')
Gviz::plotTracks(
  c(ax, top_panels, hl),
  from = start(plot_range), to = end(plot_range),
  title.width = 1,
  margin = 40,
  fontface.main = 1
  )
dev.off()

AR

gn <- "AR"
gr <- dht_consensus %>% 
  filter(!!!syms(targets), mapped, H3K27ac) %>% 
  filter(
    vapply(gene_name, function(x) gn %in% x, logical(1))
  ) %>% 
  mutate(d = distance(., subset(all_gr$gene, gene_name == gn))) %>% 
  filter(d < 1e5)
fs <- 14
region_plot <- plotHFGC(
  gr = gr,
  hic = hic %>%
    subsetByOverlaps(gr) %>%
    subsetByOverlaps(
      subset(all_gr$gene, gene_name == gn)
    ) %>%
    subset(as.integer(bin_size) == 20e3),
  hicsize = 3,
  max = 5e4,
  genes = tm %>%
    mutate(detected = ifelse(gene %in% detected, "Detected", "Not-Detected")) %>%
    split(.$detected),
  genecol = c(
    Detected = "forestgreen", "Not-Detected" = rgb(0.2, 0.2, 0.7, 0.5)
  ),
  coverage = bwfl, 
  linecol = rep("grey30", length(bwfl)),
  cytobands = grch37.cytobands,
  zoom = 6,
  shift = -6e4,
  highlight = rgb(0, 0, 1, 0.5), 
  title.width = 1, 
  col.title = "black", background.title = "white",
  showAxis = FALSE,
  rotation.title = 90, fontsize = fs, 
  fontface.title = 1,
  legend = FALSE,
  fontcolor.legend = "black"
)
All H3K27ac-associated peaks where all four targets were detected, which map to *AR* and are within 100kb of the gene. Only the low-resolution 20kb HiC interaction bins are shown.

All H3K27ac-associated peaks where all four targets were detected, which map to AR and are within 100kb of the gene. Only the low-resolution 20kb HiC interaction bins are shown.

Version Author Date
e1088ac Steve Pederson 2022-06-03
a6276af Steve Pederson 2022-06-01
region_plot[[1]]@dp@pars$fontcolor <- "black"
region_plot$Axis@dp@pars$fontcolor <- "black"
region_plot$Axis@dp@pars$col <- "grey30"
if ("HiC" %in% names(region_plot)) {
  region_plot$HiC@name <- "HiChIP"
  region_plot$HiC@dp@pars$fontface.title <- 1
  region_plot$HiC@dp@pars$rotation.title <- 0
}
region_plot$Detected@dp@pars$fontface.title <- 1
region_plot$Detected@dp@pars$rotation.title <- 0
region_plot$Detected@dp@pars$fontsize.group <- fs
region_plot$Detected@dp@pars$cex.group <- 0.8
region_plot$Detected@dp@pars$fontface.group <- 1
region_plot$Detected@dp@pars$fontcolor.group <- "black"
if ("Not-Detected" %in% names(region_plot)) {
  region_plot$`Not-Detected`@dp@pars$fontcolor.group <- "black"
  region_plot$`Not-Detected`@dp@pars$fontface.title <- 1
  region_plot$`Not-Detected`@dp@pars$rotation.title <- 0
  region_plot$`Not-Detected`@dp@pars$fontsize.group <- fs
  region_plot$`Not-Detected`@dp@pars$cex.group <- 0.8
  region_plot$`Not-Detected`@dp@pars$fontface.group <- 1
  region_plot$`Not-Detected`@dp@pars$just.group <- "right"
}
region_plot$AR@dp@pars$rotation.title <- 0
region_plot$FOXA1@dp@pars$rotation.title <- 0
region_plot$GATA3@dp@pars$rotation.title <- 0
region_plot$TFAP2B@dp@pars$rotation.title <- 0
region_plot$H3K27ac@dp@pars$rotation.title <- 0
region_plot$H3K27ac@dp@pars$size <- 5
ax <- region_plot[1:2]
top_panels <- region_plot[names(region_plot) %in% c("HiC", "Detected", "Not-Detected")]
hl <- HighlightTrack(
  region_plot[c(targets, "H3K27ac")],
  range = resize(gr, width = 3 * width(gr), fix = 'center') %>% 
    range()
)
hl@dp@pars$fill <- rgb(1, 1, 1, 0)
hl@dp@pars$col <- "blue"
hl@dp@pars$lwd <- 0.8
pdf(here::here("output", glue("{gn}.pdf")), width = 10, height = 10)
plot_range <- c(gr, subset(all_gr$gene, gene_name == gn)) %>% 
  range(ignore.strand = TRUE) %>% 
  resize(width = 1.2*width(.), fix = 'center')
Gviz::plotTracks(
  c(ax, top_panels, hl),
  from = start(plot_range), to = end(plot_range),
  title.width = 1,
  margin = 40,
  fontface.main = 1
  )
dev.off()

Visualisations:: Apocrine Genes

CLCA2

gn <- "CLCA2"
gr <- dht_consensus %>% 
  filter(!!!syms(targets), mapped, H3K27ac) %>% 
  filter(
    vapply(gene_name, function(x) gn %in% x, logical(1))
  ) %>% 
  mutate(d = distance(., subset(all_gr$gene, gene_name == gn))) %>% 
  arrange(d) 
fs <- 14
region_plot <- plotHFGC(
  gr = gr,
  genes = tm %>%
    mutate(detected = ifelse(gene %in% detected, "Detected", "Not-Detected")) %>%
    split(.$detected),
  genecol = c(
    Detected = "forestgreen", "Not-Detected" = rgb(0.2, 0.2, 0.7, 0.5)
  ),
  collapseTranscripts = "meta",
  coverage = bwfl, 
  linecol = rep("grey30", length(bwfl)),
  cytobands = grch37.cytobands,
  zoom = 4,
  shift = 1e4,
  highlight = rgb(0, 0, 1, 0.5), 
  title.width = 1, 
  col.title = "black", background.title = "white",
  showAxis = FALSE,
  rotation.title = 90, fontsize = fs, 
  fontface.title = 1,
  legend = FALSE,
  fontcolor.legend = "black"
)
All H3K27ac-associated peaks where all four targets were detected, and which within the transcribed region for *CLCA2*. No HiC data is shown.

All H3K27ac-associated peaks where all four targets were detected, and which within the transcribed region for CLCA2. No HiC data is shown.

Version Author Date
e1088ac Steve Pederson 2022-06-03
65e26b8 Steve Pederson 2022-05-20
region_plot[[1]]@dp@pars$fontcolor <- "black"
region_plot$Axis@dp@pars$fontcolor <- "black"
region_plot$Axis@dp@pars$col <- "grey30"
if ("HiC" %in% names(region_plot)) {
  region_plot$HiC@name <- "HiChIP"
  region_plot$HiC@dp@pars$fontface.title <- 1
  region_plot$HiC@dp@pars$rotation.title <- 0
}
region_plot$Detected@dp@pars$fontface.title <- 1
region_plot$Detected@dp@pars$rotation.title <- 0
region_plot$Detected@dp@pars$fontsize.group <- fs
region_plot$Detected@dp@pars$cex.group <- 0.8
region_plot$Detected@dp@pars$fontface.group <- 1
region_plot$Detected@dp@pars$fontcolor.group <- "black"
if ("Not-Detected" %in% names(region_plot)) {
  region_plot$`Not-Detected`@dp@pars$fontcolor.group <- "black"
  region_plot$`Not-Detected`@dp@pars$fontface.title <- 1
  region_plot$`Not-Detected`@dp@pars$rotation.title <- 0
  region_plot$`Not-Detected`@dp@pars$fontsize.group <- fs
  region_plot$`Not-Detected`@dp@pars$cex.group <- 0.8
  region_plot$`Not-Detected`@dp@pars$fontface.group <- 1
  region_plot$`Not-Detected`@dp@pars$just.group <- "right"
}
region_plot$AR@dp@pars$rotation.title <- 0
region_plot$FOXA1@dp@pars$rotation.title <- 0
region_plot$GATA3@dp@pars$rotation.title <- 0
region_plot$TFAP2B@dp@pars$rotation.title <- 0
region_plot$H3K27ac@dp@pars$rotation.title <- 0
region_plot$H3K27ac@dp@pars$size <- 5
ax <- region_plot[1:2]
top_panels <- region_plot[names(region_plot) %in% c("HiC", "Detected", "Not-Detected")]
hl <- HighlightTrack(
  region_plot[c(targets, "H3K27ac")],
  range = resize(gr, width = 1.2 * width(gr), fix = 'center')
)
hl@dp@pars$fill <- rgb(1, 1, 1, 0)
hl@dp@pars$col <- "blue"
hl@dp@pars$lwd <- 0.8
pdf(here::here("output", glue("{gn}.pdf")), width = 10, height = 10)
plot_range <- c(gr, subset(all_gr$gene, gene_name == gn)) %>% 
  range(ignore.strand = TRUE) %>% 
  resize(width = 1.2*width(.), fix = 'center')
Gviz::plotTracks(
  c(ax, top_panels, hl),
  from = start(plot_range), to = end(plot_range),
  title.width = 1,
  margin = 40,
  fontface.main = 1
  )
dev.off()

TFAP2B

gn <- "TFAP2B"
gr <- dht_consensus %>% 
  filter(!!!syms(targets), mapped, H3K27ac) %>% 
  filter(
    vapply(gene_name, function(x) gn %in% x, logical(1))
  ) %>% 
  mutate(d = distance(., subset(all_gr$gene, gene_name == gn))) %>% 
  filter(d < 5e5) 
fs <- 14
region_plot <- plotHFGC(
  gr = gr,
  hic = hic %>%
    subsetByOverlaps(gr) %>%
    subsetByOverlaps(
      subset(all_gr$gene, gene_name == gn)
    ) %>% 
    subset(as.integer(bin_size) == 10e3),
  hicsize = 3,
  genes = tm %>%
    mutate(detected = ifelse(gene %in% detected, "Detected", "Not-Detected")) %>%
    split(.$detected),
  genecol = c(
    Detected = "forestgreen", "Not-Detected" = rgb(0.2, 0.2, 0.7, 0.5)
  ),
  coverage = bwfl, 
  linecol = rep("grey30", length(bwfl)),
  cytobands = grch37.cytobands,
  zoom = 1.1,
  highlight = rgb(0, 0, 1, 0.5), 
  title.width = 1, 
  col.title = "black", background.title = "white",
  showAxis = FALSE,
  rotation.title = 90, fontsize = fs, 
  fontface.title = 1,
  legend = FALSE,
  fontcolor.legend = "black"
)
All H3K27ac-associated peaks where all four targets were detected, which map to *TFAP2B* and are within 500kb of *TFAP2B*. Only the medium-resolution 10kb interaction bins are shown.

All H3K27ac-associated peaks where all four targets were detected, which map to TFAP2B and are within 500kb of TFAP2B. Only the medium-resolution 10kb interaction bins are shown.

Version Author Date
e1088ac Steve Pederson 2022-06-03
65e26b8 Steve Pederson 2022-05-20
region_plot[[1]]@dp@pars$fontcolor <- "black"
region_plot$Axis@dp@pars$fontcolor <- "black"
region_plot$Axis@dp@pars$col <- "grey30"
if ("HiC" %in% names(region_plot)) {
  region_plot$HiC@name <- "HiChIP"
  region_plot$HiC@dp@pars$fontface.title <- 1
  region_plot$HiC@dp@pars$rotation.title <- 0
}
region_plot$Detected@dp@pars$fontface.title <- 1
region_plot$Detected@dp@pars$rotation.title <- 0
region_plot$Detected@dp@pars$fontsize.group <- fs
region_plot$Detected@dp@pars$cex.group <- 0.8
region_plot$Detected@dp@pars$fontface.group <- 1
region_plot$Detected@dp@pars$fontcolor.group <- "black"
if ("Not-Detected" %in% names(region_plot)) {
  region_plot$`Not-Detected`@dp@pars$fontcolor.group <- "black"
  region_plot$`Not-Detected`@dp@pars$fontface.title <- 1
  region_plot$`Not-Detected`@dp@pars$rotation.title <- 0
  region_plot$`Not-Detected`@dp@pars$fontsize.group <- fs
  region_plot$`Not-Detected`@dp@pars$cex.group <- 0.8
  region_plot$`Not-Detected`@dp@pars$fontface.group <- 1
  region_plot$`Not-Detected`@dp@pars$just.group <- "right"
}
region_plot$AR@dp@pars$rotation.title <- 0
region_plot$FOXA1@dp@pars$rotation.title <- 0
region_plot$GATA3@dp@pars$rotation.title <- 0
region_plot$TFAP2B@dp@pars$rotation.title <- 0
region_plot$H3K27ac@dp@pars$rotation.title <- 0
region_plot$H3K27ac@dp@pars$size <- 5
ax <- region_plot[1:2]
top_panels <- region_plot[names(region_plot) %in% c("HiC", "Detected", "Not-Detected")]
hl <- HighlightTrack(
  region_plot[c(targets, "H3K27ac")],
  range = resize(gr, width = 3 * width(gr), fix = 'center') %>% 
    reduce()
)
hl@dp@pars$fill <- rgb(1, 1, 1, 0)
hl@dp@pars$col <- "blue"
hl@dp@pars$lwd <- 0.8
pdf(here::here("output", glue("{gn}.pdf")), width = 10, height = 10)
plot_range <- c(gr, subset(all_gr$gene, gene_name == gn)) %>% 
  range(ignore.strand = TRUE) %>% 
  resize(width = 1.2*width(.), fix = 'center')
Gviz::plotTracks(
  c(ax, top_panels, hl),
  from = start(plot_range), to = end(plot_range),
  title.width = 1,
  margin = 40,
  fontface.main = 1
  )
dev.off()

KYNU

gn <- "KYNU"
gr <- dht_consensus %>% 
  filter(!!!syms(targets), mapped, H3K27ac) %>% 
  filter(
    vapply(gene_name, function(x) gn %in% x, logical(1))
  ) %>% 
  mutate(d = distance(., subset(all_gr$gene, gene_name == gn))) 
fs <- 14
region_plot <- plotHFGC(
  gr = gr,
  hic = hic %>%
    subsetByOverlaps(gr) %>%
    subsetByOverlaps(
      subset(all_gr$gene, gene_name == gn)
    ) %>% 
    subset(as.integer(bin_size) <= 40e3),
  hicsize = 3,
  genes = tm %>%
    mutate(detected = ifelse(gene %in% detected, "Detected", "Not-Detected")) %>%
    split(.$detected),
  genecol = c(
    Detected = "forestgreen", "Not-Detected" = rgb(0.2, 0.2, 0.7, 0.5)
  ),
  coverage = bwfl, 
  linecol = rep("grey30", length(bwfl)),
  cytobands = grch37.cytobands,
  zoom = 5,
  shift = 3e4,
  highlight = rgb(0, 0, 1, 0.5), 
  title.width = 1, 
  col.title = "black", background.title = "white",
  showAxis = FALSE,
  rotation.title = 90, fontsize = fs, 
  fontface.title = 1,
  legend = FALSE,
  fontcolor.legend = "black"
)
All H3K27ac-associated peaks where all four targets were detected, and which map to *KYNU*. No HiC interaction bins were found in this region.

All H3K27ac-associated peaks where all four targets were detected, and which map to KYNU. No HiC interaction bins were found in this region.

Version Author Date
e1088ac Steve Pederson 2022-06-03
65e26b8 Steve Pederson 2022-05-20
region_plot[[1]]@dp@pars$fontcolor <- "black"
region_plot$Axis@dp@pars$fontcolor <- "black"
region_plot$Axis@dp@pars$col <- "grey30"
if ("HiC" %in% names(region_plot)) {
  region_plot$HiC@name <- "HiChIP"
  region_plot$HiC@dp@pars$fontface.title <- 1
  region_plot$HiC@dp@pars$rotation.title <- 0
}
region_plot$Detected@dp@pars$fontface.title <- 1
region_plot$Detected@dp@pars$rotation.title <- 0
region_plot$Detected@dp@pars$fontsize.group <- fs
region_plot$Detected@dp@pars$cex.group <- 0.8
region_plot$Detected@dp@pars$fontface.group <- 1
region_plot$Detected@dp@pars$fontcolor.group <- "black"
if ("Not-Detected" %in% names(region_plot)) {
  region_plot$`Not-Detected`@dp@pars$fontcolor.group <- "black"
  region_plot$`Not-Detected`@dp@pars$fontface.title <- 1
  region_plot$`Not-Detected`@dp@pars$rotation.title <- 0
  region_plot$`Not-Detected`@dp@pars$fontsize.group <- fs
  region_plot$`Not-Detected`@dp@pars$cex.group <- 0.8
  region_plot$`Not-Detected`@dp@pars$fontface.group <- 1
  region_plot$`Not-Detected`@dp@pars$just.group <- "right"
}
region_plot$AR@dp@pars$rotation.title <- 0
region_plot$FOXA1@dp@pars$rotation.title <- 0
region_plot$GATA3@dp@pars$rotation.title <- 0
region_plot$TFAP2B@dp@pars$rotation.title <- 0
region_plot$H3K27ac@dp@pars$rotation.title <- 0
region_plot$H3K27ac@dp@pars$size <- 5
ax <- region_plot[1:2]
top_panels <- region_plot[names(region_plot) %in% c("HiC", "Detected", "Not-Detected")]
hl <- HighlightTrack(
  region_plot[c(targets, "H3K27ac")],
  range = resize(gr, width = 1.5 * width(gr), fix = 'center')
)
hl@dp@pars$fill <- rgb(1, 1, 1, 0)
hl@dp@pars$col <- "blue"
hl@dp@pars$lwd <- 0.8
pdf(here::here("output", glue("{gn}.pdf")), width = 10, height = 10)
plot_range <- c(gr, subset(all_gr$gene, gene_name == gn)) %>% 
  range(ignore.strand = TRUE) %>% 
  resize(width = 1.1*width(.), fix = 'center') %>% 
  resize(width = 0.4 * width(.), fix = 'start')
Gviz::plotTracks(
  c(ax, top_panels, hl),
  from = start(plot_range), to = end(plot_range),
  title.width = 1,
  margin = 40,
  fontface.main = 1
  )
dev.off()

DUSP6

gn <- "DUSP6"
gr <- dht_consensus %>% 
  filter(!!!syms(targets), mapped, H3K27ac) %>% 
  filter(
    vapply(gene_name, function(x) gn %in% x, logical(1))
  ) %>% 
  mutate(d = distance(., subset(all_gr$gene, gene_name == gn))) %>% 
  filter(d < 1e5)
fs <- 14
region_plot <- plotHFGC(
  gr = gr,
  hic = hic %>%
    subsetByOverlaps(gr) %>%
    subsetByOverlaps(
      subset(all_gr$gene, gene_name == gn)
    ) %>% 
    subset(as.integer(bin_size) <= 5e3),
  hicsize = 3,
  genes = tm %>%
    mutate(detected = ifelse(gene %in% detected, "Detected", "Not-Detected")) %>%
    split(.$detected),
  genecol = c(
    Detected = "forestgreen", "Not-Detected" = rgb(0.2, 0.2, 0.7, 0.5)
  ),
  coverage = bwfl, 
  linecol = rep("grey30", length(bwfl)),
  cytobands = grch37.cytobands,
  zoom = 1.1,
  shift = 3e4,
  highlight = rgb(0, 0, 1, 0.5), 
  title.width = 1, 
  col.title = "black", background.title = "white",
  showAxis = FALSE,
  rotation.title = 90, fontsize = fs, 
  fontface.title = 1,
  legend = FALSE,
  fontcolor.legend = "black"
)
All H3K27ac-associated peaks where all four targets were detected, which map to *DUSP6* and are within 100kb of the gene. Only the high-resolution 5kb HiC interaction bins are shown.

All H3K27ac-associated peaks where all four targets were detected, which map to DUSP6 and are within 100kb of the gene. Only the high-resolution 5kb HiC interaction bins are shown.

Version Author Date
e1088ac Steve Pederson 2022-06-03
65e26b8 Steve Pederson 2022-05-20
region_plot[[1]]@dp@pars$fontcolor <- "black"
region_plot$Axis@dp@pars$fontcolor <- "black"
region_plot$Axis@dp@pars$col <- "grey30"
if ("HiC" %in% names(region_plot)) {
  region_plot$HiC@name <- "HiChIP"
  region_plot$HiC@dp@pars$fontface.title <- 1
  region_plot$HiC@dp@pars$rotation.title <- 0
}
region_plot$Detected@dp@pars$fontface.title <- 1
region_plot$Detected@dp@pars$rotation.title <- 0
region_plot$Detected@dp@pars$fontsize.group <- fs
region_plot$Detected@dp@pars$cex.group <- 0.8
region_plot$Detected@dp@pars$fontface.group <- 1
region_plot$Detected@dp@pars$fontcolor.group <- "black"
if ("Not-Detected" %in% names(region_plot)) {
  region_plot$`Not-Detected`@dp@pars$fontcolor.group <- "black"
  region_plot$`Not-Detected`@dp@pars$fontface.title <- 1
  region_plot$`Not-Detected`@dp@pars$rotation.title <- 0
  region_plot$`Not-Detected`@dp@pars$fontsize.group <- fs
  region_plot$`Not-Detected`@dp@pars$cex.group <- 0.8
  region_plot$`Not-Detected`@dp@pars$fontface.group <- 1
  region_plot$`Not-Detected`@dp@pars$just.group <- "right"
}
region_plot$AR@dp@pars$rotation.title <- 0
region_plot$FOXA1@dp@pars$rotation.title <- 0
region_plot$GATA3@dp@pars$rotation.title <- 0
region_plot$TFAP2B@dp@pars$rotation.title <- 0
region_plot$H3K27ac@dp@pars$rotation.title <- 0
region_plot$H3K27ac@dp@pars$size <- 5
ax <- region_plot[1:2]
top_panels <- region_plot[names(region_plot) %in% c("HiC", "Detected", "Not-Detected")]
hl <- HighlightTrack(
  region_plot[c(targets, "H3K27ac")],
  range = resize(gr, width = 3 * width(gr), fix = 'center') %>% 
    reduce()
)
hl@dp@pars$fill <- rgb(1, 1, 1, 0)
hl@dp@pars$col <- "blue"
hl@dp@pars$lwd <- 0.8
pdf(here::here("output", glue("{gn}.pdf")), width = 10, height = 10)
plot_range <- c(gr, subset(all_gr$gene, gene_name == gn)) %>% 
  range(ignore.strand = TRUE) %>% 
  resize(width = 0.8 * width(.), fix = 'center') %>% 
  shift(1e4)
Gviz::plotTracks(
  c(ax, top_panels, hl),
  from = start(plot_range), to = end(plot_range),
  title.width = 1,
  margin = 40,
  fontface.main = 1
  )
dev.off()

FGFR4

gn <- "FGFR4"
gr <- dht_consensus %>% 
  filter(!!!syms(targets), mapped, H3K27ac) %>% 
  filter(
    vapply(gene_name, function(x) gn %in% x, logical(1))
  ) %>% 
  mutate(d = distance(., subset(all_gr$gene, gene_name == gn))) %>% 
  filter(d < 1e5)
fs <- 14
region_plot <- plotHFGC(
  gr = gr,
  hic = hic %>%
    subsetByOverlaps(gr) %>%
    subsetByOverlaps(
      subset(all_gr$gene, gene_name == gn)
    ) %>% 
    subset(as.integer(bin_size) <= 5e3),
  hicsize = 3,
  genes = tm %>%
    mutate(detected = ifelse(gene %in% detected, "Detected", "Not-Detected")) %>%
    split(.$detected),
  genecol = c(
    Detected = "forestgreen", "Not-Detected" = rgb(0.2, 0.2, 0.7, 0.5)
  ),
  coverage = bwfl, 
  linecol = rep("grey30", length(bwfl)),
  cytobands = grch37.cytobands,
  zoom = 1.1,
  highlight = rgb(0, 0, 1, 0.5), 
  title.width = 1, 
  col.title = "black", background.title = "white",
  showAxis = FALSE,
  rotation.title = 90, fontsize = fs, 
  fontface.title = 1,
  legend = FALSE,
  fontcolor.legend = "black"
)
All H3K27ac-associated peaks where all four targets were detected, which map to *FGFR4* and are within 100kb of the gene. Only the high-resolution 5kb HiC interaction bins are shown.

All H3K27ac-associated peaks where all four targets were detected, which map to FGFR4 and are within 100kb of the gene. Only the high-resolution 5kb HiC interaction bins are shown.

Version Author Date
e1088ac Steve Pederson 2022-06-03
65e26b8 Steve Pederson 2022-05-20
region_plot[[1]]@dp@pars$fontcolor <- "black"
region_plot$Axis@dp@pars$fontcolor <- "black"
region_plot$Axis@dp@pars$col <- "grey30"
if ("HiC" %in% names(region_plot)) {
  region_plot$HiC@name <- "HiChIP"
  region_plot$HiC@dp@pars$fontface.title <- 1
  region_plot$HiC@dp@pars$rotation.title <- 0
}
region_plot$Detected@dp@pars$fontface.title <- 1
region_plot$Detected@dp@pars$rotation.title <- 0
region_plot$Detected@dp@pars$fontsize.group <- fs
region_plot$Detected@dp@pars$cex.group <- 0.8
region_plot$Detected@dp@pars$fontface.group <- 1
region_plot$Detected@dp@pars$fontcolor.group <- "black"
if ("Not-Detected" %in% names(region_plot)) {
  region_plot$`Not-Detected`@dp@pars$fontcolor.group <- "black"
  region_plot$`Not-Detected`@dp@pars$fontface.title <- 1
  region_plot$`Not-Detected`@dp@pars$rotation.title <- 0
  region_plot$`Not-Detected`@dp@pars$fontsize.group <- fs
  region_plot$`Not-Detected`@dp@pars$cex.group <- 0.8
  region_plot$`Not-Detected`@dp@pars$fontface.group <- 1
  region_plot$`Not-Detected`@dp@pars$just.group <- "right"
}
region_plot$AR@dp@pars$rotation.title <- 0
region_plot$FOXA1@dp@pars$rotation.title <- 0
region_plot$GATA3@dp@pars$rotation.title <- 0
region_plot$TFAP2B@dp@pars$rotation.title <- 0
region_plot$H3K27ac@dp@pars$rotation.title <- 0
region_plot$H3K27ac@dp@pars$size <- 5
ax <- region_plot[1:2]
top_panels <- region_plot[names(region_plot) %in% c("HiC", "Detected", "Not-Detected")]
hl <- HighlightTrack(
  region_plot[c(targets, "H3K27ac")],
  range = resize(gr, width = 2 * width(gr), fix = 'center')
)
hl@dp@pars$fill <- rgb(1, 1, 1, 0)
hl@dp@pars$col <- "blue"
hl@dp@pars$lwd <- 0.8
pdf(here::here("output", glue("{gn}.pdf")), width = 10, height = 10)
plot_range <- c(gr, subset(all_gr$gene, gene_name == gn)) %>% 
  range(ignore.strand = TRUE) %>% 
  resize(width = 1.2*width(.), fix = 'center')
Gviz::plotTracks(
  c(ax, top_panels, hl),
  from = start(plot_range), to = end(plot_range),
  title.width = 1,
  margin = 40,
  fontface.main = 1
  )
dev.off()

PGAP3

gn <- "PGAP3"
gr <- dht_consensus %>% 
  filter(!!!syms(targets), mapped, H3K27ac) %>% 
  filter(
    vapply(gene_name, function(x) gn %in% x, logical(1))
  ) %>% 
  mutate(d = distance(., subset(all_gr$gene, gene_name == gn))) %>% 
  filter(d < 1e5)
fs <- 14
region_plot <- plotHFGC(
  gr = gr,
  hic = hic %>%
    subsetByOverlaps(gr) %>%
    subsetByOverlaps(
      subset(all_gr$gene, gene_name == gn)
    ) %>% 
    subset(as.integer(bin_size) <= 5e3),
  hicsize = 3,
  max = 5e4,
  genes = tm %>%
    mutate(detected = ifelse(gene %in% detected, "Detected", "Not-Detected")) %>%
    split(.$detected),
  genecol = c(
    Detected = "forestgreen", "Not-Detected" = rgb(0.2, 0.2, 0.7, 0.5)
  ),
  coverage = bwfl, 
  linecol = rep("grey30", length(bwfl)),
  cytobands = grch37.cytobands,
  zoom = 1.1,
  highlight = rgb(0, 0, 1, 0.5), 
  title.width = 1, 
  col.title = "black", background.title = "white",
  showAxis = FALSE,
  rotation.title = 90, fontsize = fs, 
  fontface.title = 1,
  legend = FALSE,
  fontcolor.legend = "black"
)
All H3K27ac-associated peaks where all four targets were detected, which map to *PGAP3* and are within 100kb of the gene. Only the high-resolution 5kb HiC interaction bins are shown.

All H3K27ac-associated peaks where all four targets were detected, which map to PGAP3 and are within 100kb of the gene. Only the high-resolution 5kb HiC interaction bins are shown.

Version Author Date
e1088ac Steve Pederson 2022-06-03
65e26b8 Steve Pederson 2022-05-20
region_plot[[1]]@dp@pars$fontcolor <- "black"
region_plot$Axis@dp@pars$fontcolor <- "black"
region_plot$Axis@dp@pars$col <- "grey30"
if ("HiC" %in% names(region_plot)) {
  region_plot$HiC@name <- "HiChIP"
  region_plot$HiC@dp@pars$fontface.title <- 1
  region_plot$HiC@dp@pars$rotation.title <- 0
}
region_plot$Detected@dp@pars$fontface.title <- 1
region_plot$Detected@dp@pars$rotation.title <- 0
region_plot$Detected@dp@pars$fontsize.group <- fs
region_plot$Detected@dp@pars$cex.group <- 0.8
region_plot$Detected@dp@pars$fontface.group <- 1
region_plot$Detected@dp@pars$fontcolor.group <- "black"
if ("Not-Detected" %in% names(region_plot)) {
  region_plot$`Not-Detected`@dp@pars$fontcolor.group <- "black"
  region_plot$`Not-Detected`@dp@pars$fontface.title <- 1
  region_plot$`Not-Detected`@dp@pars$rotation.title <- 0
  region_plot$`Not-Detected`@dp@pars$fontsize.group <- fs
  region_plot$`Not-Detected`@dp@pars$cex.group <- 0.8
  region_plot$`Not-Detected`@dp@pars$fontface.group <- 1
  region_plot$`Not-Detected`@dp@pars$just.group <- "right"
}
region_plot$AR@dp@pars$rotation.title <- 0
region_plot$FOXA1@dp@pars$rotation.title <- 0
region_plot$GATA3@dp@pars$rotation.title <- 0
region_plot$TFAP2B@dp@pars$rotation.title <- 0
region_plot$H3K27ac@dp@pars$rotation.title <- 0
region_plot$H3K27ac@dp@pars$size <- 5
ax <- region_plot[1:2]
top_panels <- region_plot[names(region_plot) %in% c("HiC", "Detected", "Not-Detected")]
hl <- HighlightTrack(
  region_plot[c(targets, "H3K27ac")],
  range = resize(gr, width = 1.5 * width(gr), fix = 'center')
)
hl@dp@pars$fill <- rgb(1, 1, 1, 0)
hl@dp@pars$col <- "blue"
hl@dp@pars$lwd <- 0.8
pdf(here::here("output", glue("{gn}.pdf")), width = 10, height = 10)
plot_range <- c(gr, subset(all_gr$gene, gene_name == gn)) %>% 
  range(ignore.strand = TRUE) %>% 
  resize(width = 1.2*width(.), fix = 'center')
Gviz::plotTracks(
  c(ax, top_panels, hl),
  from = start(plot_range), to = end(plot_range),
  title.width = 1,
  margin = 40,
  fontface.main = 1
  )
dev.off()

sessionInfo()
R version 4.2.0 (2022-04-22)
Platform: x86_64-pc-linux-gnu (64-bit)
Running under: Ubuntu 20.04.4 LTS

Matrix products: default
BLAS:   /usr/lib/x86_64-linux-gnu/blas/libblas.so.3.9.0
LAPACK: /usr/lib/x86_64-linux-gnu/lapack/liblapack.so.3.9.0

locale:
 [1] LC_CTYPE=en_AU.UTF-8       LC_NUMERIC=C              
 [3] LC_TIME=en_AU.UTF-8        LC_COLLATE=en_AU.UTF-8    
 [5] LC_MONETARY=en_AU.UTF-8    LC_MESSAGES=en_AU.UTF-8   
 [7] LC_PAPER=en_AU.UTF-8       LC_NAME=C                 
 [9] LC_ADDRESS=C               LC_TELEPHONE=C            
[11] LC_MEASUREMENT=en_AU.UTF-8 LC_IDENTIFICATION=C       

attached base packages:
[1] grid      stats4    stats     graphics  grDevices utils     datasets 
[8] methods   base     

other attached packages:
 [1] BSgenome.Hsapiens.UCSC.hg19_1.4.3 BSgenome_1.64.0                  
 [3] Biostrings_2.64.0                 XVector_0.36.0                   
 [5] goseq_1.48.0                      geneLenDataBase_1.32.0           
 [7] BiasedUrn_1.07                    corrplot_0.92                    
 [9] readxl_1.4.0                      Gviz_1.40.1                      
[11] effects_4.2-1                     carData_3.0-5                    
[13] nnet_7.3-17                       glue_1.6.2                       
[15] multcomp_1.4-19                   TH.data_1.1-1                    
[17] MASS_7.3-56                       survival_3.2-13                  
[19] mvtnorm_1.1-3                     GenomicInteractions_1.30.0       
[21] InteractionSet_1.24.0             rtracklayer_1.56.0               
[23] UpSetR_1.4.0                      htmltools_0.5.2                  
[25] reactable_0.3.0                   scales_1.2.0                     
[27] pander_0.6.5                      plyranges_1.16.0                 
[29] extraChIPs_1.0.1                  SummarizedExperiment_1.26.1      
[31] Biobase_2.56.0                    MatrixGenerics_1.8.0             
[33] matrixStats_0.62.0                GenomicRanges_1.48.0             
[35] GenomeInfoDb_1.32.2               IRanges_2.30.0                   
[37] S4Vectors_0.34.0                  BiocGenerics_0.42.0              
[39] BiocParallel_1.30.2               magrittr_2.0.3                   
[41] forcats_0.5.1                     stringr_1.4.0                    
[43] dplyr_1.0.9                       purrr_0.3.4                      
[45] readr_2.1.2                       tidyr_1.2.0                      
[47] tibble_3.1.7                      ggplot2_3.3.6                    
[49] tidyverse_1.3.1                   workflowr_1.7.0                  

loaded via a namespace (and not attached):
  [1] rappdirs_0.3.3           csaw_1.30.1              bit64_4.0.5             
  [4] knitr_1.39               DelayedArray_0.22.0      data.table_1.14.2       
  [7] rpart_4.1.16             KEGGREST_1.36.0          RCurl_1.98-1.6          
 [10] AnnotationFilter_1.20.0  doParallel_1.0.17        generics_0.1.2          
 [13] GenomicFeatures_1.48.3   callr_3.7.0              EnrichedHeatmap_1.26.0  
 [16] RSQLite_2.2.14           bit_4.0.4                tzdb_0.3.0              
 [19] xml2_1.3.3               lubridate_1.8.0          httpuv_1.6.5            
 [22] assertthat_0.2.1         xfun_0.31                hms_1.1.1               
 [25] jquerylib_0.1.4          evaluate_0.15            promises_1.2.0.1        
 [28] fansi_1.0.3              restfulr_0.0.13          progress_1.2.2          
 [31] dbplyr_2.1.1             igraph_1.3.1             DBI_1.1.2               
 [34] htmlwidgets_1.5.4        ellipsis_0.3.2           crosstalk_1.2.0         
 [37] backports_1.4.1          insight_0.17.1           survey_4.1-1            
 [40] biomaRt_2.52.0           vctrs_0.4.1              here_1.0.1              
 [43] ensembldb_2.20.1         cachem_1.0.6             withr_2.5.0             
 [46] ggforce_0.3.3            vroom_1.5.7              checkmate_2.1.0         
 [49] GenomicAlignments_1.32.0 prettyunits_1.1.1        cluster_2.1.3           
 [52] lazyeval_0.2.2           crayon_1.5.1             labeling_0.4.2          
 [55] edgeR_3.38.1             pkgconfig_2.0.3          tweenr_1.0.2            
 [58] nlme_3.1-157             ProtGenerics_1.28.0      rlang_1.0.2             
 [61] lifecycle_1.0.1          sandwich_3.0-1           filelock_1.0.2          
 [64] BiocFileCache_2.4.0      modelr_0.1.8             dichromat_2.0-0.1       
 [67] cellranger_1.1.0         rprojroot_2.0.3          polyclip_1.10-0         
 [70] reactR_0.4.4             Matrix_1.4-1             boot_1.3-28             
 [73] zoo_1.8-10               reprex_2.0.1             base64enc_0.1-3         
 [76] whisker_0.4              GlobalOptions_0.1.2      processx_3.5.3          
 [79] png_0.1-7                rjson_0.2.21             bitops_1.0-7            
 [82] getPass_0.2-2            blob_1.2.3               shape_1.4.6             
 [85] jpeg_0.1-9               memoise_2.0.1            plyr_1.8.7              
 [88] zlibbioc_1.42.0          compiler_4.2.0           scatterpie_0.1.7        
 [91] BiocIO_1.6.0             RColorBrewer_1.1-3       clue_0.3-61             
 [94] lme4_1.1-29              Rsamtools_2.12.0         cli_3.3.0               
 [97] ps_1.7.0                 htmlTable_2.4.0          Formula_1.2-4           
[100] mgcv_1.8-40              ggside_0.2.0.9990        tidyselect_1.1.2        
[103] stringi_1.7.6            highr_0.9                mitools_2.4             
[106] yaml_2.3.5               locfit_1.5-9.5           latticeExtra_0.6-29     
[109] ggrepel_0.9.1            sass_0.4.1               VariantAnnotation_1.42.1
[112] tools_4.2.0              parallel_4.2.0           circlize_0.4.15         
[115] rstudioapi_0.13          foreach_1.5.2            foreign_0.8-82          
[118] git2r_0.30.1             metapod_1.4.0            gridExtra_2.3           
[121] farver_2.1.0             digest_0.6.29            Rcpp_1.0.8.3            
[124] broom_0.8.0              later_1.3.0              httr_1.4.3              
[127] AnnotationDbi_1.58.0     biovizBase_1.44.0        ComplexHeatmap_2.12.0   
[130] colorspace_2.0-3         rvest_1.0.2              XML_3.99-0.9            
[133] fs_1.5.2                 splines_4.2.0            jsonlite_1.8.0          
[136] nloptr_2.0.3             ggfun_0.0.6              R6_2.5.1                
[139] Hmisc_4.7-0              pillar_1.7.0             fastmap_1.1.0           
[142] minqa_1.2.4              codetools_0.2-18         utf8_1.2.2              
[145] lattice_0.20-45          bslib_0.3.1              curl_4.3.2              
[148] GO.db_3.15.0             limma_3.52.1             rmarkdown_2.14          
[151] munsell_0.5.0            GetoptLong_1.0.5         GenomeInfoDbData_1.2.8  
[154] iterators_1.0.14         haven_2.5.0              gtable_0.3.0