Last updated: 2022-06-06

Checks: 6 1

Knit directory: apocrine_signature_mdamb453/

This reproducible R Markdown analysis was created with workflowr (version 1.7.0). The Checks tab describes the reproducibility checks that were applied when the results were created. The Past versions tab lists the development history.


The R Markdown file has unstaged changes. To know which version of the R Markdown file created these results, you’ll want to first commit it to the Git repo. If you’re still working on the analysis, you can ignore this warning. When you’re finished, you can run wflow_publish to commit the R Markdown file and build the HTML.

Great job! The global environment was empty. Objects defined in the global environment can affect the analysis in your R Markdown file in unknown ways. For reproduciblity it’s best to always run the code in an empty environment.

The command set.seed(20220427) was run prior to running the code in the R Markdown file. Setting a seed ensures that any results that rely on randomness, e.g. subsampling or permutations, are reproducible.

Great job! Recording the operating system, R version, and package versions is critical for reproducibility.

Nice! There were no cached chunks for this analysis, so you can be confident that you successfully produced the results during this run.

Great job! Using relative paths to the files within your workflowr project makes it easier to run your code on other machines.

Great! You are using Git for version control. Tracking code development and connecting the code version to the results is critical for reproducibility.

The results in this page were generated with repository version 0c12740. See the Past versions tab to see a history of the changes made to the R Markdown and HTML files.

Note that you need to be careful to ensure that all relevant files for the analysis have been committed to Git prior to generating the results (you can use wflow_publish or wflow_git_commit). workflowr only checks the R Markdown file, but you know if there are other scripts or data files that it depends on. Below is the status of the Git repository when the results were generated:


Ignored files:
    Ignored:    .Rhistory
    Ignored:    .Rproj.user/
    Ignored:    data/bigwig/

Untracked files:
    Untracked:  output/meme/

Unstaged changes:
    Modified:   analysis/index.Rmd
    Modified:   analysis/motif_analysis.Rmd

Note that any generated files, e.g. HTML, png, CSS, etc., are not included in this status report because it is ok for generated content to have uncommitted changes.


These are the previous versions of the repository in which changes were made to the R Markdown (analysis/motif_analysis.Rmd) and HTML (docs/motif_analysis.html) files. If you’ve configured a remote Git repository (see ?wflow_git_remote), click on the hyperlinks in the table below to view the files as they were in that past version.

File Version Author Date Message
Rmd 0c12740 Steve Pederson 2022-06-06 Finished regression analysis for motifs
html 0c12740 Steve Pederson 2022-06-06 Finished regression analysis for motifs
html e893c08 Steve Pederson 2022-06-06 Build page
Rmd 8dde309 Steve Pederson 2022-06-06 Updated motif analysis
html 8dde309 Steve Pederson 2022-06-06 Updated motif analysis
Rmd e1088ac Steve Pederson 2022-06-03 revised comparison
Rmd 16615bf Steve Pederson 2022-05-28 Finished motif analysis
html 16615bf Steve Pederson 2022-05-28 Finished motif analysis
Rmd 1bf46f7 Steve Pederson 2022-05-27 Added motifs distance plots
html 1bf46f7 Steve Pederson 2022-05-27 Added motifs distance plots
Rmd 7cfa8e7 Steve Pederson 2022-05-26 Added TOMTOM
html 7cfa8e7 Steve Pederson 2022-05-26 Added TOMTOM
Rmd 8836090 Steve Pederson 2022-05-26 Added motif centrality
html 8836090 Steve Pederson 2022-05-26 Added motif centrality

Introduction

This step takes the peaks defined previously and

  1. Assesses motif enrichment for all ChIP targets within the peaks
  2. Detect additional binding motifs

As AR is only found bound in the presence of DHT, all peaks are taken using DHT-treatment as the reference condition.

library(memes)
library(universalmotif)
library(tidyverse)
library(plyranges)
library(extraChIPs)
library(rtracklayer)
library(magrittr)
library(BSgenome.Hsapiens.UCSC.hg19)
library(scales)
library(pander)
library(glue)
library(cowplot)
library(parallel)
library(gt)
library(parallel)
library(readxl)
library(UpSetR)
library(reactable)
library(htmltools)
library(multcomp)
options(meme_bin = "/opt/meme/bin/")
check_meme_install()
theme_set(theme_bw())
panderOptions("big.mark", ",")
n_cores <- 12
getBestMatch <- function(x, subject, min.score = "80%", rc = TRUE, ...) {
  
  pwm <- NULL
  if (is.matrix(x)) pwm <- x
  if (is(x, "universalmotif")) pwm <- x@motif
  stopifnot(!is.null(pwm))
  stopifnot(is(subject, "XStringViews"))
  
  matches <- matchPWM(
    pwm, subject, min.score = min.score, with.score = TRUE, ...
  )
  df <- as.data.frame(matches)
  df$score <- mcols(matches)$score
  df$strand <- "+"
  
  if (rc) {
    rc_matches <-  matchPWM(
      reverseComplement(pwm), subject ,
      min.score = min.score, with.score = TRUE, 
      ...
    )
    rc_df <- as.data.frame(rc_matches)
    rc_df$score <- mcols(rc_matches)$score
    rc_df$strand <- "-"
    df <- bind_rows(df, rc_df)
  }
  
  grp_cols <- c("start", "end", "width", "seq", "score")
  grp_df <- group_by(df, !!!syms(grp_cols))
  summ_df <- summarise(
    grp_df, strand = paste(strand, collapse = " "), .groups=  "drop"
  )
  summ_df$strand <- str_replace_all(summ_df$strand, ". .", "*")
  summ_df$strand <- factor(summ_df$strand, levels = c("+", "-", "*"))
  summ_df$view <- findInterval(summ_df$start, start(subject))
  summ_df <- arrange(summ_df, view, desc(score))
  
  best_df <- distinct(summ_df, view, .keep_all = TRUE)
  best_df <- mutate(
    best_df,
    start_in_view = start - start(subject)[view] + 1,
    end_in_view = start_in_view + width
  )
  ## This will only be added if the views have names
  best_df$view_name <- names(subject[best_df$view])
  
  best_df
  
}
bar_style <- function(width = 1, fill = "#e6e6e6", height = "75%", align = c("left", "right"), color = NULL) {
  align <- match.arg(align)
  if (align == "left") {
    position <- paste0(width * 100, "%")
    image <- sprintf("linear-gradient(90deg, %1$s %2$s, transparent %2$s)", fill, position)
  } else {
    position <- paste0(100 - width * 100, "%")
    image <- sprintf("linear-gradient(90deg, transparent %1$s, %2$s %1$s)", position, fill)
  }
  list(
    backgroundImage = image,
    backgroundSize = paste("100%", height),
    backgroundRepeat = "no-repeat",
    backgroundPosition = "center",
    color = color
  )
}
hg19 <- BSgenome.Hsapiens.UCSC.hg19
sq19 <- seqinfo(hg19)
all_gr <- here::here("data", "annotations", "all_gr.rds") %>%
  read_rds() %>% 
  lapply(
    function(x) {
      seqinfo(x) <- sq19
      x
    }
  )
counts <- here::here("data", "rnaseq", "counts.out.gz") %>%
  read_tsv(skip = 1) %>%
  dplyr::select(Geneid, ends_with("bam")) %>%
  dplyr::rename(gene_id = Geneid)
detected <- all_gr$gene %>%
  as_tibble() %>%
  distinct(gene_id, gene_name) %>%
  left_join(counts) %>%
  pivot_longer(
    cols = ends_with("bam"), names_to = "sample", values_to = "counts"
  ) %>%
  mutate(detected = counts > 0) %>%
  group_by(gene_id, gene_name) %>%
  summarise(detected = mean(detected) > 0.25, .groups = "drop") %>%
  dplyr::filter(detected) %>%
  dplyr::select(starts_with("gene"))

Pre-existing RNA-seq data was again loaded and the set of 21,173 detected genes was defined as those with \(\geq 1\) aligned read in at least 25% of samples. This dataset represented the DHT response in MDA-MB-453 cells, however, given the existence of both Vehicle and DHT conditions, represents a good representative measure of the polyadenylated components of the transcriptome.

features <- here::here("data", "h3k27ac") %>%
  list.files(full.names = TRUE, pattern = "bed$") %>%
  sapply(import.bed, seqinfo = sq19) %>%
  lapply(granges) %>%
  setNames(basename(names(.))) %>%
  setNames(str_remove_all(names(.), "s.bed")) %>%
  GRangesList() %>%
  unlist() %>%
  names_to_column("feature") %>%
  sort()

The set of H3K27ac-defined features was again used as a marker of regulatory activity, with 16,544 and 15,286 regions defined as enhancers or promoters respectively.

uniprot_to_ensg <- here::here("data", "external", "uniprot_to_ensg.txt.gz") %>% 
  read_tsv(col_names = c("uniprot_id", "protein", "gene_id")) %>% 
  mutate(
    gene_id = lapply(gene_id, str_split, pattern = "; ") %>% 
      lapply(unlist)
  ) %>% 
  unnest(gene_id) %>% 
  mutate(gene_id = str_replace_all(gene_id, "(ENSG[0-9]+)\\..*", "\\1")) %>% 
  left_join(
    as_tibble(all_gr$gene) %>% 
      dplyr::select(gene_id, gene_name)
  ) %>% 
  dplyr::filter(!is.na(gene_id)) %>% 
  dplyr::select(-protein)
rime_detected <- here::here("data", "external", "MDA-MB-453_RIME_processed.xlsx") %>% 
  read_excel() %>% 
  dplyr::select(-starts_with("AVG"), -ends_with("Coverage2"), -contains("delta")) %>% 
  pivot_longer(cols = contains("_")) %>% 
  separate(name, c("sample", "measure"), sep = "_", extra = "merge") %>% 
  mutate(
    IP = str_remove(sample, "[0-9]$"),
    replicate = str_extract(sample, "[0-9]$"),
    measure = paste(measure, IP, sep = "_")
  ) %>% 
  pivot_wider(
    names_from = "measure", values_from = "value", 
    id_cols = c("Accession", "Description", "Protein", "replicate")
  ) %>% 
  mutate(
    logfc_cov = log2(Coverage_AR + 1) - log2(Coverage_IgG + 1),
    logfc_peptides = log2(Unique_peptides_AR + 1) - log2(Unique_peptides_IgG + 1)
  ) %>% 
  dplyr::filter(logfc_cov > 0) %>% 
  group_by(Accession, Description, Protein) %>% 
  summarise(
    n_detected = dplyr::n(),
    mn_logfc_coverage = mean(logfc_cov),
    mn_coverage_AR = mean(Coverage_AR),
    mn_coverage_IgG = mean(Coverage_IgG),
    mn_peptides_AR = mean(Unique_peptides_AR),
    mn_peptides_IgG = mean(Unique_peptides_IgG),
    .groups = "drop"
  ) %>% 
  dplyr::filter(n_detected > 1) %>% 
  arrange(desc(mn_logfc_coverage)) %>% 
  left_join(uniprot_to_ensg, by = c("Accession" = "uniprot_id")) %>% 
  dplyr::select(
    Accession, Description, Protein, starts_with("gene"), everything()
  ) %>% 
  dplyr::filter(!is.na(gene_name))

AR-RIME data for MDA-MB-453 cells was also used, with protein to transcript ID mappings performed using the mappings obtained using the following bash command

curl https://ftp.uniprot.org/pub/databases/uniprot/current_release/knowledgebase/idmapping/by_organism/HUMAN_9606_idmapping_selected.tab.gz |\
  zcat |\
  cut -f1-2,19 |\
  gzip -c > data/external/uniprot_to_ensg.txt.gz

For RIME data, the criteria for detection within a sample was simply defined as the coverage being greater when using AR as the IP-target, than when using IgG as the IP-target. Under this approach, 241 proteins were considered as detected in \(>2\) of 3 samples and were retained for inclusion with motif analysis. When further comparing to the RNA-Seq data only KRT9 was found in the RIME data without supporting RNA evidence. Any proteins with no gene_name associated (i.e. only an Ensembl Gene ID) were also excluded.

meme_db <- here::here("data", "external", "JASPAR2022_CORE_Hsapiens.meme") %>%
  read_meme() %>%
  to_df() %>%
  as_tibble() %>%
  mutate(
    across(everything(), vctrs::vec_proxy),
    altname = str_remove(altname, "MA[0-9]+\\.[0-9]*\\."),
    organism = "Homo sapiens"
  )
meme_altname <- setNames(meme_db$altname, meme_db$name)
meme_db_detected <- meme_db %>%
  mutate(
    gene_name = str_split(altname, pattern = "::", n = 2)
  ) %>%
  dplyr::filter(
    vapply(
      gene_name,
      function(x) all(x %in% detected$gene_name),
      logical(1)
    )
  )
meme_info <- meme_db_detected %>% 
  mutate(motif_length = vapply(motif, function(x){ncol(x@motif)}, integer(1))) %>% 
  dplyr::select(name, altname, icscore, motif_length) 

The motif database was initially defined as all 727 CORE motifs found in Homo sapiens, as contained in JASPAR2022. In order to minimise irrelevant results, only the 465 motifs associated with a detected gene, using presence within the RNA-Seq dataset as evidence of detection.

dht_peaks <- here::here("data", "peaks") %>%
  list.files(recursive = TRUE, pattern = "oracle", full.names = TRUE) %>%
  sapply(read_rds, simplify = FALSE) %>%
  lapply(function(x) x[["DHT"]]) %>%
  lapply(setNames, nm = c()) %>%
  setNames(str_extract_all(names(.), "AR|FOXA1|GATA3|TFAP2B")) %>% 
  lapply(
    function(x) {
      seqinfo(x) <- sq19
      x
    }
  )
targets <- names(dht_peaks)
dht_consensus <- dht_peaks %>%
  lapply(granges) %>%
  GRangesList() %>%
  unlist() %>%
  reduce() %>%
  mutate(
    AR = overlapsAny(., dht_peaks$AR),
    FOXA1 = overlapsAny(., dht_peaks$FOXA1),
    GATA3 = overlapsAny(., dht_peaks$GATA3),
    TFAP2B = overlapsAny(., dht_peaks$TFAP2B),
    promoter = bestOverlap(., features, var = "feature", missing = "None") == "promoter",
    enhancer = bestOverlap(., features, var = "feature", missing = "None") == "enhancer",
    H3K27ac = promoter | enhancer
  )
a <- dht_peaks %>% 
  lapply(mutate, w = width) %>% 
  lapply(as_tibble) %>% 
  bind_rows(.id = "target") %>% 
  ggplot(aes(w, stat(density), colour = target)) +
  geom_density() +
  scale_x_log10(breaks = c(100, 300, 600, 1e3, 2e3, 3e3), labels = comma) +
  labs(
    x = "Peak Width (bp)", y = "Density", colour = "Target"
  )
b <- dht_peaks %>% 
  lapply(mutate, w = width) %>% 
  lapply(as_tibble) %>% 
  bind_rows(.id = "target") %>% 
  mutate(skew = 0.5 - peak / w) %>% 
  ggplot(aes(skew, stat(density), colour = target)) +
  geom_density() +
  scale_x_continuous(labels = percent) +
  labs(
    x = "% Width Between Peak Summit and Peak Centre",
    y = "Density",
    colour = "ChIP Target"
  )
plot_grid(
  a + theme(legend.position = "none"), 
  b + theme(legend.position = "none"),
  get_legend(b),
  rel_widths = c(1, 1, 0.2), nrow = 1,
  labels = c("A", "B")
)
Distributions of A) peak width and B) summit location with peaks.

Distributions of A) peak width and B) summit location with peaks.

Version Author Date
8836090 Steve Pederson 2022-05-26

Analysis of Motif Enrichment (AME)

grl_by_targets <- dht_consensus %>% 
  as_tibble() %>% 
  pivot_longer(
    all_of(targets), names_to = "target", values_to = "detected"
  ) %>% 
  dplyr::filter(detected) %>% 
  group_by(range, H3K27ac) %>% 
  summarise(
    targets = paste(sort(target), collapse = " "),
    .groups = "drop"
  ) %>% 
  colToRanges(var = "range", seqinfo = sq19) %>% 
  sort() %>% 
  splitAsList(.$targets)

Union ranges were defined by grouping by the combination of detected AR, FOXA1, GATA3 and TFAP2B binding, then sequences obtained corresponding to each union range.

grl_by_targets %>% 
  lapply(
    function(x) {
      tibble(
        `N Sites` = length(x), 
        `% H3K27ac` = mean(x$H3K27ac),
        `Median Width` = floor(median(width(x)))
      )
    }
  ) %>% 
  bind_rows(.id = "Targets") %>% 
  mutate(
    `N Targets` = str_count(Targets, " ") + 1,
    `% H3K27ac` = percent(`% H3K27ac`, 0.1)
  ) %>% 
  dplyr::select(contains("Targets"), everything()) %>% 
  arrange(`N Targets`, Targets) %>% 
  pander(
    justify = "lrrrr",
    caption = "Summary of union ranges and which combinations of the targets were detected."
  )
Summary of union ranges and which combinations of the targets were detected.
Targets N Targets N Sites % H3K27ac Median Width
AR 1 395 13.9% 241
FOXA1 1 59,404 12.8% 319
GATA3 1 4,284 19.6% 234
TFAP2B 1 6,655 80.1% 301
AR FOXA1 2 3,543 17.8% 505
AR GATA3 2 158 16.5% 310
AR TFAP2B 2 135 55.6% 414
FOXA1 GATA3 2 9,760 18.1% 479
FOXA1 TFAP2B 2 3,849 64.6% 513
GATA3 TFAP2B 2 396 60.6% 368
AR FOXA1 GATA3 3 6,518 25.2% 683
AR FOXA1 TFAP2B 3 1,786 62.9% 639
AR GATA3 TFAP2B 3 61 55.7% 419
FOXA1 GATA3 TFAP2B 3 1,441 52.0% 575
AR FOXA1 GATA3 TFAP2B 4 6,336 58.2% 814
seq_by_targets <- grl_by_targets %>% 
  lapply(function(x) split(x, x$H3K27ac)) %>% 
  lapply(GRangesList) %>% 
  lapply(get_sequence, genome = hg19)

## All bound sites
rds_ame_by_targets <- here::here("output", "ame_by_targets.rds")
if (!file.exists(rds_ame_by_targets)) {
  ame_by_targets <- seq_by_targets %>% 
    lapply(unlist) %>% 
    mclapply(
      runAme, 
      database = to_list(meme_db_detected), 
      mc.cores = min(n_cores, length(.))
    )
  write_rds(ame_by_targets, rds_ame_by_targets, compress = "gz")
} else {
  ame_by_targets <- read_rds(rds_ame_by_targets)
}

## Only sites marked as active by H3K27ac
rds_ame_by_targets_active <- here::here("output", "ame_by_targets_active.rds")
if (!file.exists(rds_ame_by_targets_active)) {
  ame_by_targets_active <- seq_by_targets %>% 
    lapply(function(x) x[["TRUE"]]) %>% 
    mclapply(
      runAme, 
      database = to_list(meme_db_detected), 
      mc.cores = min(n_cores, length(.))
    )
  write_rds(ame_by_targets_active, rds_ame_by_targets_active, compress = "gz")
} else {
  ame_by_targets_active <- read_rds(rds_ame_by_targets_active)
}

## Compare the active and inactive sites for each set of targets
rds_ame_active_vs_inactive <- here::here("output", "ame_active_vs_inactive.rds")
if (!file.exists(rds_ame_active_vs_inactive)) {
  ame_active_vs_inactive <- seq_by_targets %>% 
    mclapply(
      function(x) {
        runAme(x[["TRUE"]], x[["FALSE"]], database = to_list(meme_db_detected))
      },
      mc.cores = min(n_cores, length(.))
    )
  write_rds(ame_active_vs_inactive, rds_ame_active_vs_inactive, compress = "gz")
} else {
  ame_active_vs_inactive <- read_rds(rds_ame_active_vs_inactive)
}

## Compare the inactive and active sites for each set of targets
rds_ame_inactive_vs_active <- here::here("output", "ame_inactive_vs_active.rds")
if (!file.exists(rds_ame_inactive_vs_active)) {
  ame_inactive_vs_active <- seq_by_targets %>% 
    mclapply(
      function(x) {
        runAme(x[["FALSE"]], x[["TRUE"]], database = to_list(meme_db_detected))
      },
      mc.cores = min(n_cores, length(.))
    )
  write_rds(ame_inactive_vs_active, rds_ame_inactive_vs_active, compress = "gz")
} else {
  ame_inactive_vs_active <- read_rds(rds_ame_inactive_vs_active)
}

AME from the meme-suite was then run on each sequence to detect the presence of motifs associated with each target within each set of sequences. Under this approach the optimal score is estimated for considering a PWM match to be a true positive. Matches above this value are classed as true positives, whilst those below are considered as false positives. Significance is determined using using Fisher’s Exact Test against the set of control sequences, which are either shuffled input sequences, or a discrete set provided. Adjusted p-values are determined within each motif based on resampling, with the e-values representing a Bonferroni adjustment of the within-motif adjusted p-values.

Motif enrichment inevitably produces hits to highly-related motifs For unsupervised enrichment, the following strategy was used to aid interpretation

  1. Find enriched motifs
  2. Calculate similarity of enriched motifs as a correlation matrix
    • Reduce correlations < \(\rho\) to zero, commonly using \(\rho=\) 0.8.
    • Converted to a distance matrix for clustering
  3. Cluster the motifs using hclust and a height of 0.9
  4. Report the results for all motifs within a cluster as a single result

Enrichment Of ChIP Target Motifs

plot_grid(
  plot_grid(
    plotlist = lapply(
      meme_db_detected %>% 
        dplyr::filter(altname %in% targets) %>% 
        arrange(altname) %>% 
        dplyr::filter(altname != "TFAP2B") %>% 
        to_list() %>% 
        lapply(
          function(x){
            x@name <- paste0(
              x@name, " (", x@altname, ")"
            )
            x
          }
        ),
      function(x) {
        view_motifs(x) +
          ggtitle(x@name) +
          theme(plot.title = element_text(hjust = 0.5, size = 11))
      }
    ),
    ncol = 1
  ),
  plot_grid(
    meme_db_detected %>% 
      dplyr::filter(altname == "TFAP2B") %>% 
      to_list() %>% 
      lapply(
          function(x){
            x@name <- paste0(
              x@name, " (", x@altname, ")"
            )
            x
          }
      ) %>% 
      view_motifs() +
      theme(plot.title = element_text(hjust = 0.5, size = 9))
  ),
  ncol = 2
)
All motifs matching the set of ChIP targets. AR, FOXA1 and GATA3 are not aligned with each other, whilst all TFAP2B motifs are shown using the best alignment to each other.

All motifs matching the set of ChIP targets. AR, FOXA1 and GATA3 are not aligned with each other, whilst all TFAP2B motifs are shown using the best alignment to each other.

Version Author Date
8dde309 Steve Pederson 2022-06-06
7cfa8e7 Steve Pederson 2022-05-26

All Sequences

AME was used to assess enrichment of motifs within the sequences derived from each combination of ChIP targets. Enrichment was considered relative to shuffled sequences as the control set, with AME only returning matches considered to be statistically significant.

ame_by_targets %>% 
  bind_rows(.id = "targets") %>% 
  dplyr::filter(motif_alt_id %in% globalenv()$targets) %>% 
  mutate(
    motif_id = as.factor(motif_id),
    targets = as.factor(targets),
    TFAP2B = ifelse(
      str_detect(targets, "TFAP2B"), "TFAP2B", "No TFAP2B"
    )
  ) %>% 
  plot_ame_heatmap(
    id = motif_id,
    value = tp_percent,
    group = fct_rev(targets)
  ) +
  geom_label(
    aes(label = percent(tp_percent/100, 0.1)),
    size = 3.5,
    show.legend = FALSE
  ) +
  facet_grid(TFAP2B ~ motif_alt_id, scales = "free", space = "free") +
  scale_x_discrete(expand = expansion(c(0, 0))) +
  scale_y_discrete(expand = expansion(c(0, 0))) +
  labs(
    x = "Detected Motif",
    y = "Detected ChIP Targets",
    fill = expression(widehat("TP%"))
  ) +
  theme(
    axis.text.x = element_text(angle = 0, hjust = 0.5, size = 10),
    axis.text.y = element_text(angle = 0, hjust = 1, size = 10),
    panel.grid = element_blank()
  )
Estimated percentage of true positive matches to all binding motifs associated with each ChIP target within all sequences. Only motifs considered to be enriched are shown, such that missing values are able to be confidently assumed as not enriched for the motif. All provide supporting evidence for direct binding of each target to it's motif.

Estimated percentage of true positive matches to all binding motifs associated with each ChIP target within all sequences. Only motifs considered to be enriched are shown, such that missing values are able to be confidently assumed as not enriched for the motif. All provide supporting evidence for direct binding of each target to it’s motif.

Version Author Date
8dde309 Steve Pederson 2022-06-06
8836090 Steve Pederson 2022-05-26

H3K27ac-Associated Sequences

Restricting the test for motif enrichment to all combinations of ChIP targets which overlap an active H3K27ac peak, similar patterns were observed. Of possible note is reduced enrichment for TFAP2\(\beta\) motifs amongst the sites where TFAP2\(\beta\) was not observed.

The set of H3K27-associated peaks where AR, GATA3 and TFAP2\(\beta\) were found in combination were notably enriched for one specific TFAP2\(\beta\) motif (MA0812) to the exclusion of others suggesting that FOXA1 independent formation of the regulatory complex may have a distinct mechanism. In conjunction with the increased occurrence of this motif, this set of peaks also contained the lowest enrichment for AR motifs amongst the AR-associated peaks.

Another clear association between the presence of FOXA1 and possible increased enrichment for the MA0811.1 TFAP2\(\beta\) motif may also be of interest.

ame_by_targets_active %>% 
  bind_rows(.id = "targets") %>% 
  dplyr::filter(motif_alt_id %in% globalenv()$targets) %>% 
  mutate(
    motif_id = as.factor(motif_id),
    targets = as.factor(targets),
    TFAP2B = ifelse(
      str_detect(targets, "TFAP2B"), "TFAP2B", "No TFAP2B"
    )
  ) %>% 
  plot_ame_heatmap(
    id = motif_id,
    value = tp_percent,
    group = fct_rev(targets)
  ) +
  geom_label(
    aes(label = percent(tp_percent/100, 0.1)),
    size = 3.5,
    show.legend = FALSE
  ) +
  facet_grid(TFAP2B ~ motif_alt_id, scales = "free", space = "free") +
  scale_x_discrete(expand = expansion(c(0, 0))) +
  scale_y_discrete(expand = expansion(c(0, 0))) +
  labs(
    x = "Detected Motif",
    y = "Detected ChIP Targets",
    fill = expression(widehat("TP%"))
  ) +
  theme(
    axis.text.x = element_text(angle = 0, hjust = 0.5, size = 10),
    axis.text.y = element_text(angle = 0, hjust = 1, size = 10),
    panel.grid = element_blank()
  )
Estimated percentage of true positive matches to all binding motifs associated with each ChIP target, restricting sequences to **those marked by overlapping H3K27ac signal**. Only motif considered to be enriched are shown, such that missing values are able to be confidently assumed as not enriched for the motif. All provide supporting evidence for direct binding of each target to it's motif. Interestingly FOXA1 in combination with TFAP2B appears to favour the motif MA0811.1, whilst AR and GATA3 in combination with TFAP2B appears to favour MA0812.1

Estimated percentage of true positive matches to all binding motifs associated with each ChIP target, restricting sequences to those marked by overlapping H3K27ac signal. Only motif considered to be enriched are shown, such that missing values are able to be confidently assumed as not enriched for the motif. All provide supporting evidence for direct binding of each target to it’s motif. Interestingly FOXA1 in combination with TFAP2B appears to favour the motif MA0811.1, whilst AR and GATA3 in combination with TFAP2B appears to favour MA0812.1

Version Author Date
8dde309 Steve Pederson 2022-06-06

Enrichment of Other Motifs

Motifs associated with any detected transcription factor besides the ChIP targets were also assessed for enrichment. Motifs which matched GATA[0-9], Forkhead (FOX[A-Z][0-9]) or TFAP2[A-Z] were omitted due to the high-level of motif redundancy and these being likely to represent the ChIP target, instead of an additional protein. Given that an extremely large number of motifs were found, only those found in >50% of sites in at least one group of ChIP targets were retained

All Sequences

The set of motifs associated with detectable genes (using RNA) was tested for enrichment against all sequences from all combinations of ChIP target binding, using shuffled sequences as controls. Given that 375 motifs were considered to be enriched in at least one set of peaks, the plot below only shows those motifs which were found in >50% of sequences in one or more sets of peaks.

The NFIX binding motif was strongly associated with most sets of peaks which were not bound by TFAP2\(\beta\), particularly with FOXA1 in the absence of TFAP2\(\beta\). However, a very strong association with all four bound targets was also observed. Given the short (6nt) nature of this motif, this may be artefactual.

The TRPS1 motif was also found to be strongly enriched where GATA3 was bound, however, this motif bears a very strong resemblance to the GATA3 motif.

meme_db %>% 
  dplyr::filter(str_detect(altname, "GATA3|TRPS1")) %>% 
  to_list() %>%
  lapply(function(x) {x@name <- glue("{x@name}\n({x@altname})"); x}) %>% 
  view_motifs(names.pos = "right")
Comparison between GATA3 and TRPS1 motifs

Comparison between GATA3 and TRPS1 motifs

Version Author Date
8dde309 Steve Pederson 2022-06-06
x <- ame_by_targets %>% 
  bind_rows(.id = "targets") %>% 
  dplyr::filter(
    !motif_alt_id %in% targets,
    !str_detect(motif_alt_id, "(GATA[0-9]|FOX[A-Z][0-9]|TFAP2[A-Z])"),
    tp_percent > 50
  ) %>% 
  distinct(motif_id) %>% 
  pull("motif_id")
cormat <- meme_db %>% 
  dplyr::filter(name %in% x) %>% 
  to_list() %>% 
  compare_motifs()
cormat[cormat < 0.9] <- 0
cormat[is.na(cormat)] <- 0
cl <- as.dist(1 - cormat) %>% 
  hclust() %>% 
  cutree(h= 0.9)
ame_by_targets %>% 
  bind_rows(.id = "targets") %>% 
  dplyr::filter(motif_id %in% names(cl)) %>% 
  mutate(
    cluster = cl[motif_id],
    motif_id = as.factor(motif_id),
    targets = as.factor(targets),
    TFAP2B = ifelse(
      str_detect(targets, "TFAP2B"), "TFAP2B", "No TFAP2B"
    )
  ) %>% 
  group_by(cluster) %>% 
  mutate(
    best_tp = max(tp_percent)
  ) %>% 
  ungroup() %>% 
  group_by(motif_id) %>% 
  dplyr::filter(any(tp_percent == best_tp)) %>% 
  ungroup() %>% 
  plot_ame_heatmap(
    id = motif_id,
    value = tp_percent,
    group = fct_rev(targets)
  ) +
  geom_label(
    aes(label = percent(tp_percent/100, 0.1)),
    size = 3.5,
    show.legend = FALSE
  ) +
  facet_grid(TFAP2B ~ motif_alt_id, scales = "free", space = "free") +
  scale_x_discrete(expand = expansion(c(0, 0))) +
  scale_y_discrete(expand = expansion(c(0, 0))) +
  labs(
    x = "Detected Motif",
    y = "Detected ChIP Targets",
    fill = expression(widehat("TP%"))
  ) +
  theme(
    axis.text.x = element_text(angle = 0, hjust = 0.5, size = 10),
    axis.text.y = element_text(angle = 0, hjust = 1, size = 10),
    panel.grid = element_blank()
  )
Enriched motifs when analysing all sequences associated with one or more ChIP targets. Motifs are only shown if found in >50% of sequences from at least one set of peaks.

Enriched motifs when analysing all sequences associated with one or more ChIP targets. Motifs are only shown if found in >50% of sequences from at least one set of peaks.

Version Author Date
8dde309 Steve Pederson 2022-06-06

H3K27ac Active Sequences

When restricting the peaks to being any ChIP-target binding peak associated with H3K27ac significantly more motifs were considered to be enriched.

Notably:

  • NFIX enrichment was mostly lost, especially in the set of peaks associated with all four targets. Significance was retained for FOXA1 and GATA3 in combination, but only in the absence of TFAP2\(\beta\)
  • HIC2 was enriched in all combinations where AR and FOXA1 were bound in combination. However, HIC2 was not found in combination with AR in the RIME dataset.

No other striking patterns were observed.

x <- ame_by_targets_active %>% 
  bind_rows(.id = "targets") %>% 
  dplyr::filter(
    !motif_alt_id %in% targets,
    !str_detect(motif_alt_id, "(GATA[0-9]|FOX[A-Z][0-9]|TFAP2[A-Z])"),
    tp_percent > 50
  ) %>% 
  distinct(motif_id) %>% 
  pull("motif_id")
cormat <- meme_db %>% 
  dplyr::filter(name %in% x) %>% 
  to_list() %>% 
  compare_motifs()
cormat[cormat < 0.9] <- 0
cormat[is.na(cormat)] <- 0
cl <- as.dist(1 - cormat) %>% 
  hclust() %>% 
  cutree(h= 0.9)
ame_by_targets_active %>% 
  bind_rows(.id = "targets") %>% 
  dplyr::filter(motif_id %in% names(cl)) %>% 
  mutate(
    cluster = cl[motif_id],
    motif_id = as.factor(motif_id),
    targets = as.factor(targets),
    TFAP2B = ifelse(
      str_detect(targets, "TFAP2B"), "TFAP2B", "No TFAP2B"
    )
  ) %>% 
  group_by(cluster) %>% 
  mutate(
    best_tp = max(tp_percent)
  ) %>% 
  ungroup() %>% 
  group_by(motif_id) %>% 
  dplyr::filter(any(tp_percent == best_tp)) %>% 
  ungroup() %>% 
  plot_ame_heatmap(
    id = motif_id,
    value = tp_percent,
    group = fct_rev(targets)
  ) +
  geom_label(
    aes(label = percent(tp_percent/100, 0.1)),
    size = 3,
    show.legend = FALSE
  ) +
  facet_grid(TFAP2B ~ motif_alt_id, scales = "free", space = "free") +
  scale_x_discrete(expand = expansion(c(0, 0))) +
  scale_y_discrete(expand = expansion(c(0, 0))) +
  labs(
    x = "Detected Motif",
    y = "Detected ChIP Targets",
    fill = expression(widehat("TP%"))
  ) +
  theme(
    axis.text.x = element_text(angle = 0, hjust = 0.5, size = 8),
    axis.text.y = element_text(angle = 0, hjust = 1, size = 8),
    panel.grid = element_blank()
  )
Enriched motifs when analysing all sequences associated with one or more ChIP targets **and which overlap an H3K27ac peak**. Motifs are only shown if found in >50% of sequences from at least one set of peaks.

Enriched motifs when analysing all sequences associated with one or more ChIP targets and which overlap an H3K27ac peak. Motifs are only shown if found in >50% of sequences from at least one set of peaks.

Version Author Date
8dde309 Steve Pederson 2022-06-06

H3K27ac Active Vs Inactive

In order to ascertain whether any co-factors are playing a role in active vs inactive regulatory regions, the set of sequences associated with binding of all four targets were compared to each other, based on H3K27ac overlap as the marker of an active regulatory region. Enriched motifs were those with an \(E\)-value < 0.01 and with a True Positive match in > 10% of sequences.

Due to the high-levels of similarity between identified motifs, enriched motifs were clustered by:

  1. Finding the pairwise correlations
  2. Setting all pairwise correlations < 0.8 to zero
  3. Using hierarchical clustering to cluster those with retained correlations

For each motif cluster the values used for visualisation were the lowest \(E\)-value within the cluster and the high estimate of True Positive matches.

x <- ame_active_vs_inactive$`AR FOXA1 GATA3 TFAP2B` %>%
  dplyr::filter(
    evalue < 0.01,
    tp_percent > 10
  ) %>%
  distinct(motif_id) %>% 
  pull("motif_id")
cormat <- meme_db %>% 
  dplyr::filter(name %in% x) %>% 
  to_list() %>% 
  compare_motifs()
cormat[cormat < 0.80] <- 0
cormat[is.na(cormat)] <- 0
cl_active_vs_inactive <- as.dist(1 - cormat) %>% 
  hclust() %>% 
  cutree(h= 0.9)
ame_active_vs_inactive$`AR FOXA1 GATA3 TFAP2B` %>% 
  dplyr::filter(motif_id %in% names(cl_active_vs_inactive)) %>% 
  mutate(
    cluster = cl_active_vs_inactive[motif_id], 
    in_rime = motif_alt_id %in% rime_detected$gene_name,
    motif_alt_id = ifelse(in_rime, paste0(motif_alt_id, "*"), motif_alt_id)
  ) %>% 
  group_by(cluster) %>% 
  summarise(
    tp_percent = max(tp_percent),
    p = min(evalue),
    id = motif_alt_id %>% 
      unique %>% 
      sort() %>% 
      paste(collapse = "/")
  ) %>% 
  arrange(p) %>% 
  mutate(
    id = str_trunc(id, width = 40) %>% fct_inorder()
  ) %>% 
  ggplot(
    aes(tp_percent, fct_rev(id), fill = -log10(p))
  ) +
  geom_col() +
  scale_x_continuous(expand = expansion(c(0, 0.05))) +
  scale_fill_viridis_c() +
  labs(
    x = "True Positive Matches (%)",
    y = "Motif Cluster"
  )
Motifs found enriched when comparing sequences from peaks overlapping an active H3K27ac regulatory region, with those from peaks not overlapping an H3K27ac-marked region. Motifs were clustered as described in the text, with any TFs detected as bound to AR in the RIME dataset indicated with an asterisk. Interestingly, TFAP2B motifs appeared to be enriched in this set of sequences.

Motifs found enriched when comparing sequences from peaks overlapping an active H3K27ac regulatory region, with those from peaks not overlapping an H3K27ac-marked region. Motifs were clustered as described in the text, with any TFs detected as bound to AR in the RIME dataset indicated with an asterisk. Interestingly, TFAP2B motifs appeared to be enriched in this set of sequences.

Version Author Date
0c12740 Steve Pederson 2022-06-06
8dde309 Steve Pederson 2022-06-06

H3K27ac Inctive Vs Active

The same approach was then take for sequences associated with inactive regulatory regions, by comparing these sequences to those from active regulatory regions.

x <- ame_inactive_vs_active$`AR FOXA1 GATA3 TFAP2B` %>%
  dplyr::filter(evalue < 0.01, tp_percent > 10) %>%
  distinct(motif_id) %>% 
  pull("motif_id")
cormat <- meme_db %>% 
  dplyr::filter(name %in% x) %>% 
  to_list() %>% 
  compare_motifs()
cormat[cormat < 0.8] <- 0
cormat[is.na(cormat)] <- 0
cl_inactive_vs_active <- as.dist(1 - cormat) %>% 
  hclust() %>% 
  cutree(h= 0.9)
ame_inactive_vs_active$`AR FOXA1 GATA3 TFAP2B` %>% 
  dplyr::filter(motif_id %in% names(cl_inactive_vs_active)) %>% 
  mutate(
    cluster = cl_inactive_vs_active[motif_id], 
    in_rime = motif_alt_id %in% rime_detected$gene_name,
    motif_alt_id = ifelse(in_rime, paste0(motif_alt_id, "*"), motif_alt_id)
  ) %>% 
  group_by(cluster) %>% 
  summarise(
    tp_percent = max(tp_percent),
    p = min(evalue),
    id = motif_alt_id %>% 
      unique %>% 
      sort() %>% 
      paste(collapse = "/")
  ) %>% 
  arrange(p) %>% 
  mutate(
    id = str_trunc(id, width = 40) %>% fct_inorder()
  ) %>% 
  ggplot(
    aes(tp_percent, fct_rev(id), fill = -log10(p))
  ) +
  geom_col() +
  scale_x_continuous(expand = expansion(c(0, 0.05))) +
  scale_fill_viridis_c() +
  labs(
    x = "True Positive Matches (%)",
    y = "Motif Cluster"
  )
Motifs found enriched when comparing sequences from peaks overlapping an inactive H3K27ac regulatory region, with those from peaks overlapping an H3K27ac-marked region. Motifs were clustered as described in the text, with any TFs detected as bound to AR in the RIME dataset indicated with an asterisk. Both FOXA1 and GATA3 motifs appeared to be enriched in this set of sequences.

Motifs found enriched when comparing sequences from peaks overlapping an inactive H3K27ac regulatory region, with those from peaks overlapping an H3K27ac-marked region. Motifs were clustered as described in the text, with any TFs detected as bound to AR in the RIME dataset indicated with an asterisk. Both FOXA1 and GATA3 motifs appeared to be enriched in this set of sequences.

Version Author Date
0c12740 Steve Pederson 2022-06-06
8dde309 Steve Pederson 2022-06-06

Further Investigations

Given the unexpected result that TFAP2\(\beta\) motifs were enriched in the H3K27ac marked peaks (i.e. active regulatory regions), whilst FOXA1 and GATA motifs were enriched in the peaks not marked by H3K27ac (i.e. inactive regulatory regions), the co-occurence of these motifs was explored across both sets of peaks as a predictive tool for an active regulatory region. Sequences were checked for the simple presence of each motif, using matches with a score > 60% of the maximum possible score as a positive match, to be as inclusive as possible. For all sequences, only the highest scoring match to the consensus motif was retained. For comparability across motifs, motif match scores were normalised to Z-scores.

inv.logit <- binomial()$linkinv
min_score <- percent(0.6, accuracy = 1)
all4_motifs <- meme_db_detected %>%
  dplyr::filter(altname %in% targets) %>% 
  to_list() %>% 
  mclapply(
    getBestMatch, 
    subject = seq_by_targets$`AR FOXA1 GATA3 TFAP2B` %>% 
      unlist() %>% 
      as("DNAStringSet") %>% 
      as("Views") %>% 
      setNames(
        seq_by_targets$`AR FOXA1 GATA3 TFAP2B` %>% 
          unlist() %>% 
          names() %>% 
          str_remove_all("^(TRUE|FALSE)\\.")
      ),
    min.score = min_score,
    mc.cores = length(targets)
  ) %>% 
  setNames(
    dplyr::filter(meme_db_detected, altname %in% targets)$name
  ) %>% 
  bind_rows(.id = "name") %>% 
  left_join(
    dplyr::select(meme_info, name, altname, motif_length),
    by = "name"
  ) %>% 
  dplyr::rename(range = view_name) %>% 
  full_join(
    grl_by_targets$`AR FOXA1 GATA3 TFAP2B` %>% 
      as_tibble(),
    by = "range" 
  ) 
glm_h3K27ac <- all4_motifs %>% 
  group_by(name) %>% 
  mutate(
    score = (score - mean(score, na.rm = TRUE)) / sd(score, na.rm = TRUE)
  ) %>% 
  pivot_wider(
    names_from = "name", values_from = "score", id_cols = c("range", "H3K27ac")
  ) %>% 
  dplyr::filter(
    !is.na(MA0811.1), !is.na(MA0812.1), !is.na(MA0813.1)
  ) %>% 
  mutate(
    PC1 = cbind(MA0811.1, MA0812.1, MA0813.1) %>% 
      prcomp() %>% 
      .[["x"]] %>% 
      .[,"PC1"]
  ) %>% 
  with(
    glm(H3K27ac ~ (PC1 + MA0007.2 + MA0148.4 + MA0037.3)^4, family = "binomial")
  ) %>% 
  step() %>% 
  broom::tidy() %>% 
  mutate(
    term = term %>% 
      str_replace_all("PC1", "TFAP2B (PC1)") %>% 
      str_replace_all("MA0007.2", "AR") %>% 
      str_replace_all("MA0148.4", "FOXA1") %>% 
      str_replace_all("MA0037.3", "GATA3"),
    fdr = p.adjust(p.value, "fdr"),
    ` ` = case_when(
      fdr > 0.1 ~ "",
      fdr > 0.05 ~ ".",
      fdr > 0.01 ~ "*",
      fdr > 0.001 ~ "**",
      TRUE ~ "***"
    )
  ) 
all4_motifs %>% 
  group_by(name) %>% 
  mutate(
    score = (score - mean(score, na.rm = TRUE)) / sd(score, na.rm = TRUE)
  ) %>% 
  ggplot(aes(name, score, fill = H3K27ac)) +
  geom_boxplot() +
  facet_grid(.~altname, scales = "free", space = "free") +
  scale_fill_manual(values = c("grey50", "red")) +
  labs(
    x = "Motif name", y = "Normalised Motif Match Score"
  )
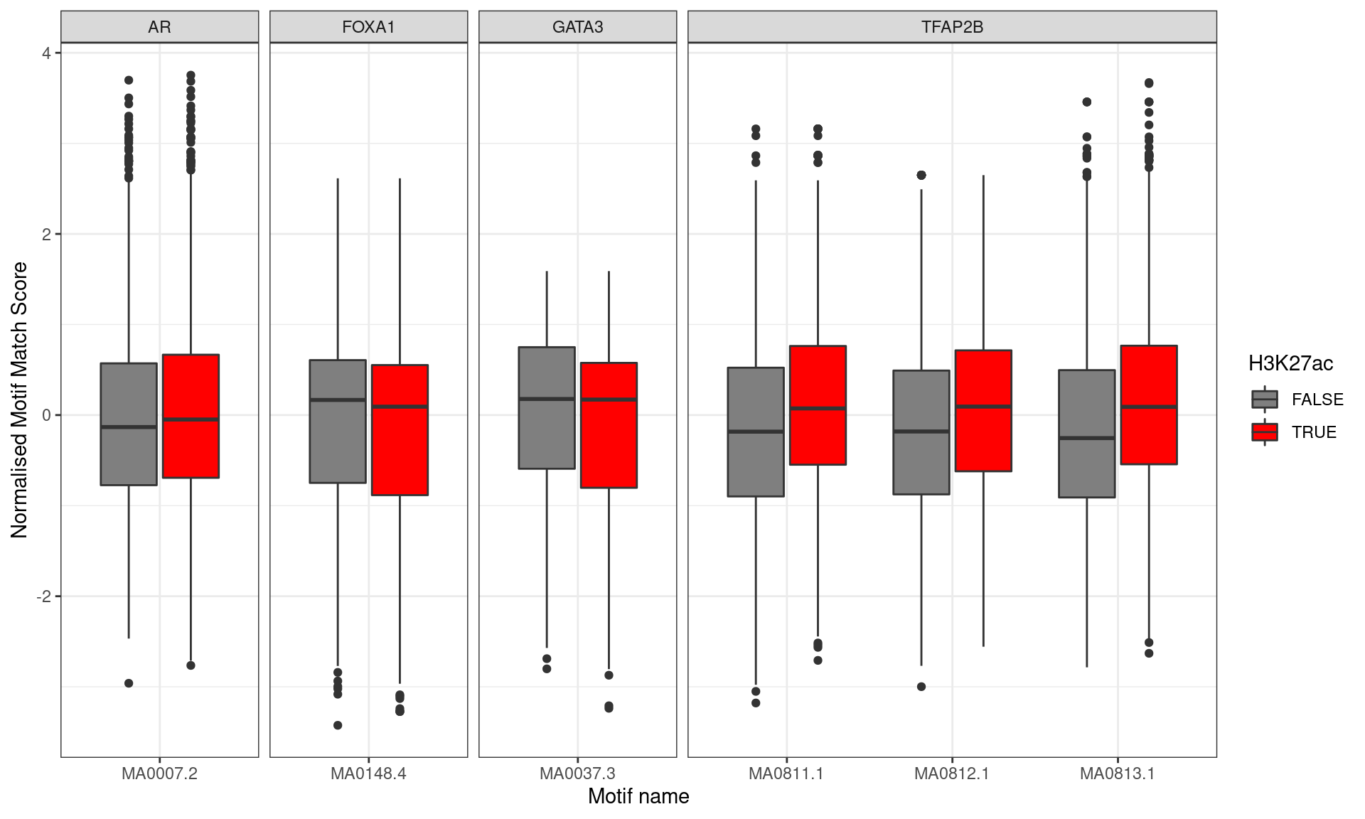
Distribution of Z-Scores for matches to each motif, separated by whether the peak was associated with an H3K27ac mark. Motifs with higher scores were clearly associated with H3K27ac marks for all TFAP2B motifs, whilst some tendency towards lower scores was noted for FOXA1 and GATA3, in keeping with the above enrichment results.

Distribution of Z-Scores for matches to each motif, separated by whether the peak was associated with an H3K27ac mark. Motifs with higher scores were clearly associated with H3K27ac marks for all TFAP2B motifs, whilst some tendency towards lower scores was noted for FOXA1 and GATA3, in keeping with the above enrichment results.

Version Author Date
0c12740 Steve Pederson 2022-06-06

To quantify the impact of motif presence within the sequences where all 4 ChIP targets were detected, the probability of a peak being associated with H3K27ac marks was modelled using the strength of each motif in respect to the PWM. To avoid the high correlations between the three TFAP2\(\beta\) motifs, these were combined using PC1 returned from PCA across all three motifs as a representative score. This may make the direction of the probability more difficult to interpret as a lower values on PC1 may represent a higher match across all 3 motifs.

A logistic regression model was fitted using H3K27ac status as a the binary response variable with the scores for AR (MA0007.2), FOXA1 (MA0148.4) and GATA3 (MA0037.3) motifs being combined with PC1 across all 3 TFAP2\(\beta\) motifs as the predictors. The initial model was fitted incorporating 4-way interactions as the initial model, with terms being removed in a step-wise manner using Akiake’s Information Criterion (AIC).

cp <- htmltools::tags$caption(
  glue(
    "
    Results from final logistic regression model for the probability of a peak 
    being marked by H3K27ac, based on the score of each detected motif's match 
    to the PWM. The presence of any TFAP2B motif had the strongest impact, with 
    these clearly denoting an increased association with H3K27ac marks. 
    A strong AR motif also had a positive impact on the probability of the peak 
    being active. 
    Moderate evidence was also found for motifs which strongly match FOXA1 
    exerting a negative influence on the probability of H3K27ac marks, with 
    weak evidence for GATA3 motifs also having this effect.
    No specific combinations of motifs were considered to have any combinatorial 
    impact.
    "
  )
)
tbl <- glm_h3K27ac %>% 
  reactable(
    columns = list(
      term = colDef(
        name = "Motif",
        cell = function(value) str_replace_all(value, ":", " : "),
        minWidth = 150
      ),
      estimate = colDef(
        name = "Estimate", format = colFormat(digits = 3)
      ),
      std.error = colDef(show = FALSE),
      statistic = colDef(name = "Test Statistic"),
      p.value = colDef(
        show = FALSE,
        cell = function(value) {
          ifelse(
            value < 0.001,
            sprintf("%.2e", value),
            sprintf("%.3f", value)
          )
        }
      ),
      fdr = colDef(
        name = "P<sub>FDR</sub>", html = TRUE,
        cell = function(value) {
          ifelse(
            value < 0.001,
            sprintf("%.2e", value),
            sprintf("%.3f", value)
          )
        }
      )
    ),
    defaultColDef = colDef(
      format = colFormat(digits = 2)
    )
  )
div(class = "table",
  div(class = "table-header",
      div(class = "caption", cp),
      tbl
  )
)
Results from final logistic regression model for the probability of a peak being marked by H3K27ac, based on the score of each detected motif's match to the PWM. The presence of any TFAP2B motif had the strongest impact, with these clearly denoting an increased association with H3K27ac marks. A strong AR motif also had a positive impact on the probability of the peak being active. Moderate evidence was also found for motifs which strongly match FOXA1 exerting a negative influence on the probability of H3K27ac marks, with weak evidence for GATA3 motifs also having this effect. No specific combinations of motifs were considered to have any combinatorial impact.

Motif Centrality Relative to Each Target

seq_width <- 200
min_score <- percent(0.75, accuracy = 1)

In order to assess any association in binding patterns, the binding peak (i.e.) summit of each ChIP target was taken as a viewpoint and the centrality of the best matching sequence motif for that target was assessed. Sequences were extended 200bp from each summit and the best sequence match to each binding motif were retained. Sequence matches with a score > 75% of the highest possible score were initially included before reducing matches to those with the highest score.

The motifs obtained form the larger database were all 6 motifs defined as candidate binding sites for each of the 4 ChIP targets.

meme_info %>% 
  dplyr::filter(altname %in% targets) %>% 
  arrange(altname, desc(icscore)) %>% 
  dplyr::rename(
    `Motif ID` = name, 
    Target = altname, 
    IC = icscore, 
    `Length (bp)` = motif_length
  ) %>% 
  pander(
    justify = "llrr",
    caption = paste(
      "Motifs use for checking defined target binding sites. Motifs are ranked",
      "within each ChIP target by information content (IC)."
    )
  )
Motifs use for checking defined target binding sites. Motifs are ranked within each ChIP target by information content (IC).
Motif ID Target IC Length (bp)
MA0007.2 AR 13.27 15
MA0148.4 FOXA1 11.41 12
MA0037.3 GATA3 9.749 8
MA0813.1 TFAP2B 14.31 13
MA0812.1 TFAP2B 12.56 11
MA0811.1 TFAP2B 10.86 12

AR

ar_summits <- dht_peaks$AR %>% 
  resize(width = 1, fix = 'start') %>% 
  shift(shift = .$peak) %>% 
  resize(width = seq_width, fix = 'center') %>% 
  granges() %>% 
  mutate(
    AR = overlapsAny(., subset(dht_consensus, AR)),
    FOXA1 = overlapsAny(., subset(dht_consensus, FOXA1)),
    GATA3 = overlapsAny(., subset(dht_consensus, GATA3)),
    TFAP2B = overlapsAny(., subset(dht_consensus, TFAP2B)),
    H3K27ac = overlapsAny(., features)
  ) 
seq_ar_summits <- ar_summits %>% 
  get_sequence(hg19)
views_ar_summits <- as(seq_ar_summits, "Views") %>% 
  setNames(names(seq_ar_summits))
matches_ar_summits <-meme_db_detected %>%
  dplyr::filter(altname %in% targets) %>% 
  to_list() %>% 
  lapply(
    getBestMatch, 
    subject = views_ar_summits,
    min.score = min_score
  ) %>% 
  setNames(
    dplyr::filter(meme_db_detected, altname %in% targets)$name
  ) %>% 
  bind_rows(.id = "name") %>% 
  left_join(
    dplyr::select(meme_info, name, altname, motif_length),
    by = "name"
  ) %>% 
  dplyr::rename(range = view_name) %>% 
  left_join(as_tibble(ar_summits), by = "range" ) %>% 
  arrange(view) %>% 
  mutate(
    target_detected = case_when(
      altname == "AR" ~ AR,
      altname == "FOXA1" ~ FOXA1,
      altname == "GATA3" ~ GATA3,
      altname == "TFAP2B" ~ TFAP2B
    )
  ) %>% 
  dplyr::select(
    range, 
    any_of(targets), H3K27ac, 
    name, altname, target_detected, 
    pos = start_in_view, width, strand, seq
  )
matches_ar_summits  %>% 
  mutate(
    label = glue("{name}\n({altname})"),
    H3K27ac = ifelse(H3K27ac, "H3K27ac", "No H3K27ac")
  ) %>% 
  ggplot(aes(pos, stat(density), colour = altname)) +
  geom_density(aes(linetype = target_detected)) +
  geom_text(
    aes(x = seq_width/2, y = 0.001, label = lab),
    data = . %>% 
      group_by(label, H3K27ac) %>% 
      summarise(
        n = dplyr::n(), .groups = "drop"
      ) %>% 
      mutate(
        lab = case_when(
          H3K27ac == "H3K27ac" ~ glue(
            "n = {comma(n)}\n({percent(n/sum(ar_summits$H3K27ac), 0.1)})"
          ),
          H3K27ac == "No H3K27ac" ~ glue(
            "n = {comma(n)}\n({percent(n/sum(!ar_summits$H3K27ac), 0.1)})"
          )
        )
      ),
    colour = "black",
    inherit.aes = FALSE
  ) +
  facet_grid(H3K27ac ~ label) +
  scale_linetype_manual(values = c(3, 1)) +
  labs(
    x = "Best Match Position In Sequence",
    y = "Density",
    colour = "Motif Target",
    linetype = "Target Detected"
  )
Position of the best match for each motif using sequences centred at the summits of AR binding sites. Sites where the ChIP target was not detected are shown as dashed lines, and panels are separated by H3K27ac status. No visual difference in AR motif centrality was detected due to H3K27ac signal. A slight tendency for the best FOXA1  to also appear centrally was noted.

Position of the best match for each motif using sequences centred at the summits of AR binding sites. Sites where the ChIP target was not detected are shown as dashed lines, and panels are separated by H3K27ac status. No visual difference in AR motif centrality was detected due to H3K27ac signal. A slight tendency for the best FOXA1 to also appear centrally was noted.

Version Author Date
16615bf Steve Pederson 2022-05-28
1bf46f7 Steve Pederson 2022-05-27
7cfa8e7 Steve Pederson 2022-05-26

Across all motifs which were considered to represent possible matches to the binding site of AR, matches to one or more of the motifs were found in 13,433 (69.2%) of the 19,406 queried sequences.

FOXA1

foxa1_summits <- dht_peaks$FOXA1 %>% 
  resize(width = 1, fix = 'start') %>% 
  shift(shift = .$peak) %>% 
  resize(width = seq_width, fix = 'center') %>% 
  granges() %>% 
  mutate(
    AR = overlapsAny(., subset(dht_consensus, AR)),
    FOXA1 = overlapsAny(., subset(dht_consensus, FOXA1)),
    GATA3 = overlapsAny(., subset(dht_consensus, GATA3)),
    TFAP2B = overlapsAny(., subset(dht_consensus, TFAP2B)),
    H3K27ac = overlapsAny(., features)
  ) 
seq_foxa1_summits <- foxa1_summits %>% 
  get_sequence(hg19)
views_foxa1_summits <- as(seq_foxa1_summits, "Views") %>% 
  setNames(names(seq_foxa1_summits))
matches_foxa1_summits <- meme_db_detected %>%
  dplyr::filter(altname %in% targets) %>% 
  to_list() %>% 
  lapply(
    getBestMatch, 
    subject = views_foxa1_summits,
    min.score = min_score
  ) %>% 
  setNames(
    dplyr::filter(meme_db_detected, altname %in% targets)$name
  ) %>% 
  bind_rows(.id = "name") %>% 
  left_join(
    dplyr::select(meme_info, name, altname, motif_length),
    by = "name"
  ) %>% 
  dplyr::rename(range = view_name) %>% 
  left_join(as_tibble(foxa1_summits), by = "range" ) %>% 
  arrange(view) %>% 
  mutate(
    target_detected = case_when(
      altname == "AR" ~ AR,
      altname == "FOXA1" ~ FOXA1,
      altname == "GATA3" ~ GATA3,
      altname == "TFAP2B" ~ TFAP2B
    )
  ) %>% 
  dplyr::select(
    range, 
    any_of(targets), H3K27ac, 
    name, altname, target_detected, 
    pos = start_in_view, width, strand, seq
  )
matches_foxa1_summits  %>% 
  mutate(
    label = glue("{name}\n({altname})"),
    H3K27ac = ifelse(H3K27ac, "H3K27ac", "No H3K27ac")
  ) %>% 
  ggplot(aes(pos, stat(density), colour = altname)) +
  geom_density(aes(linetype = target_detected)) +
  geom_text(
    aes(x = seq_width/2, y = 0.001, label = lab),
    data = . %>% 
      group_by(label, H3K27ac) %>% 
      summarise(
        n = dplyr::n(), .groups = "drop"
      ) %>% 
      mutate(
        lab = case_when(
          H3K27ac == "H3K27ac" ~ glue(
            "n = {comma(n)}\n({percent(n/sum(foxa1_summits$H3K27ac), 0.1)})"
          ),
          H3K27ac == "No H3K27ac" ~ glue(
            "n = {comma(n)}\n({percent(n/sum(!foxa1_summits$H3K27ac), 0.1)})"
          )
        )
      ),
    colour = "black",
    inherit.aes = FALSE
  ) +
  facet_grid(H3K27ac ~ label) +
  scale_linetype_manual(values = c(3, 1)) +
  labs(
    x = "Best Match Position In Sequence",
    y = "Density",
    colour = "Motif Target",
    linetype = "ChIP/Motif\nTarget Detected"
  )
Position of the best match for each motif using sequences centred at the summits of FOXA1 binding sites. Sites where the ChIP target was not detected are shown as dashed lines, and panels are separated by H3K27ac status.  No visual difference in FOXA1 motif centrality was detected due to H3K27ac signal. A slight tendency for the best FOXA1  to also appear centrally was noted.

Position of the best match for each motif using sequences centred at the summits of FOXA1 binding sites. Sites where the ChIP target was not detected are shown as dashed lines, and panels are separated by H3K27ac status. No visual difference in FOXA1 motif centrality was detected due to H3K27ac signal. A slight tendency for the best FOXA1 to also appear centrally was noted.

Version Author Date
16615bf Steve Pederson 2022-05-28
1bf46f7 Steve Pederson 2022-05-27
7cfa8e7 Steve Pederson 2022-05-26

Across all motifs which were considered to represent possible matches to the binding site of FOXA1, matches to one or more of the motifs were found in 87,961 (94.8%) of the 92,751 queried sequences.

GATA3

gata3_summits <- dht_peaks$GATA3 %>% 
  resize(width = 1, fix = 'start') %>% 
  shift(shift = .$peak) %>% 
  resize(width = seq_width, fix = 'center') %>% 
  granges() %>% 
  mutate(
    AR = overlapsAny(., subset(dht_consensus, AR)),
    FOXA1 = overlapsAny(., subset(dht_consensus, FOXA1)),
    GATA3 = overlapsAny(., subset(dht_consensus, GATA3)),
    TFAP2B = overlapsAny(., subset(dht_consensus, TFAP2B)),
    H3K27ac = overlapsAny(., features)
  ) 
seq_gata3_summits <- gata3_summits %>% 
  get_sequence(hg19)
views_gata3_summits <- as(seq_gata3_summits, "Views") %>% 
  setNames(names(seq_gata3_summits))
matches_gata3_summits <- meme_db_detected %>%
  dplyr::filter(altname %in% targets) %>% 
  to_list() %>% 
  lapply(
    getBestMatch, 
    subject = views_gata3_summits,
    min.score = min_score
  ) %>% 
  setNames(
    dplyr::filter(meme_db_detected, altname %in% targets)$name
  ) %>% 
  bind_rows(.id = "name") %>% 
  left_join(
    dplyr::select(meme_info, name, altname, motif_length),
    by = "name"
  ) %>% 
    dplyr::rename(range = view_name) %>% 
  left_join(as_tibble(gata3_summits), by = "range" ) %>% 
  arrange(view) %>% 
  mutate(
    target_detected = case_when(
      altname == "AR" ~ AR,
      altname == "FOXA1" ~ FOXA1,
      altname == "GATA3" ~ GATA3,
      altname == "TFAP2B" ~ TFAP2B
    )
  ) %>% 
  dplyr::select(
    range, 
    any_of(targets), H3K27ac, 
    name, altname, target_detected, 
    pos = start_in_view, width, strand, seq
  )
matches_gata3_summits  %>% 
  mutate(
    label = glue("{name}\n({altname})"),
    H3K27ac = ifelse(H3K27ac, "H3K27ac", "No H3K27ac")
  ) %>% 
  ggplot(aes(pos, stat(density), colour = altname)) +
  geom_density(aes(linetype = target_detected)) +
  geom_text(
    aes(x = seq_width/2, y = 0.001, label = lab),
    data = . %>% 
      group_by(label, H3K27ac) %>% 
      summarise(
        n = dplyr::n(), .groups = "drop"
      ) %>% 
      mutate(
        lab = case_when(
          H3K27ac == "H3K27ac" ~ glue(
            "n = {comma(n)}\n({percent(n/sum(gata3_summits$H3K27ac), 0.1)})"
          ),
          H3K27ac == "No H3K27ac" ~ glue(
            "n = {comma(n)}\n({percent(n/sum(!gata3_summits$H3K27ac), 0.1)})"
          )
        )
      ),
    colour = "black",
    inherit.aes = FALSE
  ) +
  facet_grid(H3K27ac ~ label) +
  scale_linetype_manual(values = c(3, 1)) +
  labs(
    x = "Best Match Position In Sequence",
    y = "Density",
    colour = "Motif Target",
    linetype = "ChIP/Motif\nTarget Detected"
  )
Position of the best match for each motif using sequences centred at the summits of GATA3 binding sites. Sites where the ChIP target was not detected are shown as dashed lines, and panels are separated by H3K27ac status. No visual difference in GATA3 motif centrality was detected due to H3K27ac signal. A slight tendency for the best FOXA1  to also appear centrally was noted.

Position of the best match for each motif using sequences centred at the summits of GATA3 binding sites. Sites where the ChIP target was not detected are shown as dashed lines, and panels are separated by H3K27ac status. No visual difference in GATA3 motif centrality was detected due to H3K27ac signal. A slight tendency for the best FOXA1 to also appear centrally was noted.

Version Author Date
16615bf Steve Pederson 2022-05-28
1bf46f7 Steve Pederson 2022-05-27
7cfa8e7 Steve Pederson 2022-05-26

Across all motifs which were considered to represent possible matches to the binding site of GATA3, matches to one or more of the motifs were found in 29,442 (99.2%) of the 29,666 queried sequences.

TFAP2B

tfap2b_summits <- dht_peaks$TFAP2B %>% 
  resize(width = 1, fix = 'start') %>% 
  shift(shift = .$peak) %>% 
  resize(width = seq_width, fix = 'center') %>% 
  granges() %>% 
  mutate(
    AR = overlapsAny(., subset(dht_consensus, AR)),
    FOXA1 = overlapsAny(., subset(dht_consensus, FOXA1)),
    GATA3 = overlapsAny(., subset(dht_consensus, GATA3)),
    TFAP2B = overlapsAny(., subset(dht_consensus, TFAP2B)),
    H3K27ac = overlapsAny(., features)
  ) 
seq_tfap2b_summits <- tfap2b_summits %>% 
  get_sequence(hg19)
views_tfap2b_summits <- as(seq_tfap2b_summits, "Views") %>% 
  setNames(names(seq_tfap2b_summits))
matches_tfap2b_summits <- meme_db_detected %>%
  dplyr::filter(altname %in% targets) %>% 
  to_list() %>% 
  lapply(
    getBestMatch, 
    subject = views_tfap2b_summits,
    min.score = min_score
  ) %>% 
  setNames(
    dplyr::filter(meme_db_detected, altname %in% targets)$name
  ) %>% 
  bind_rows(.id = "name") %>% 
  left_join(
    dplyr::select(meme_info, name, altname, motif_length),
    by = "name"
  ) %>% 
    dplyr::rename(range = view_name) %>% 
  left_join(as_tibble(tfap2b_summits), by = "range" ) %>% 
  arrange(view) %>% 
  mutate(
    target_detected = case_when(
      altname == "AR" ~ AR,
      altname == "FOXA1" ~ FOXA1,
      altname == "GATA3" ~ GATA3,
      altname == "TFAP2B" ~ TFAP2B
    )
  ) %>% 
  dplyr::select(
    range, 
    any_of(targets), H3K27ac, 
    name, altname, target_detected, 
    pos = start_in_view, width, strand, seq
  )
matches_tfap2b_summits  %>% 
  mutate(
    label = glue("{name}\n({altname})"),
    H3K27ac = ifelse(H3K27ac, "H3K27ac", "No H3K27ac")
  ) %>% 
  ggplot(aes(pos, stat(density), colour = altname)) +
  geom_density(aes(linetype = target_detected)) +
  geom_text(
    aes(x = seq_width/2, y = 0.001, label = lab),
    data = . %>% 
      group_by(label, H3K27ac) %>% 
      summarise(
        n = dplyr::n(), .groups = "drop"
      ) %>% 
      mutate(
        lab = case_when(
          H3K27ac == "H3K27ac" ~ glue(
            "n = {comma(n)}\n({percent(n/sum(tfap2b_summits$H3K27ac), 0.1)})"
          ),
          H3K27ac == "No H3K27ac" ~ glue(
            "n = {comma(n)}\n({percent(n/sum(!tfap2b_summits$H3K27ac), 0.1)})"
          )
        )
      ),
    colour = "black",
    inherit.aes = FALSE
  ) +
  facet_grid(H3K27ac ~ label) +
  scale_linetype_manual(values = c(3, 1)) +
  labs(
    x = "Best Match Position In Sequence",
    y = "Density",
    colour = "Motif Target",
    linetype = "ChIP/Motif\nTarget Detected"
  )
Position of the best match for each motif using sequences centred at the summits of TFAP2B binding sites. Sites where the ChIP target was not detected are shown as dashed lines, and panels are separated by H3K27ac status. No visual difference in TFAP2B motif centrality was detected. All other motifs appeared to be uniformly distributed amongst the sequences.

Position of the best match for each motif using sequences centred at the summits of TFAP2B binding sites. Sites where the ChIP target was not detected are shown as dashed lines, and panels are separated by H3K27ac status. No visual difference in TFAP2B motif centrality was detected. All other motifs appeared to be uniformly distributed amongst the sequences.

Version Author Date
16615bf Steve Pederson 2022-05-28
1bf46f7 Steve Pederson 2022-05-27
8836090 Steve Pederson 2022-05-26

Across all motifs which were considered to represent possible matches to the binding site of TFAP2\(\beta\), matches to one or more of the motifs were found in 20,375 (97.0%) of the 21,008 queried sequences.

Distance Between Motifs

Whilst the above section revealed some degree of association between AR and FOXA1 sites, as well as clear separation between all targets and TFAP2B motifs, the distribution of distances between motif matches can also be addressed directly.

AR

matches_ar_summits %>%
  group_by(range) %>% 
  dplyr::filter(any(altname == "AR")) %>% 
  mutate(
    ar_pos = pos[altname == "AR"],
    ar_strand = strand[altname == "AR"]
  ) %>% 
  ungroup() %>% 
  mutate(
    ar_motif_dist = abs(pos - ar_pos),
    label = glue("{name} ({altname})"),
    H3K27ac = ifelse(H3K27ac, "H3K27ac", "No H3K27ac"),
    target_detected = ifelse(target_detected, "Target Detected", "Target Undetected")
  ) %>% 
  dplyr::filter(altname != "AR") %>% 
  group_by(name, target_detected, H3K27ac) %>% 
  mutate(
    q = rank(ar_motif_dist, ties = "first") / length(ar_motif_dist)
  ) %>% 
  dplyr::filter(q <= 0.5) %>%
  ggplot(
    aes(ar_motif_dist, q, colour = label)
  ) +
  geom_line() +
  facet_grid(H3K27ac ~ target_detected) +
  scale_y_continuous(labels= percent) +
  labs(
    x = "Distance from AR motif",
    y = "Percentile",
    colour = "Motif Target",
    linetype = "ChIP/Motif\nTarget Detected"
  )
Distance between best matching motif and the best matching AR motif, showing data to the 50th percentile of distances. No noticable difference was noticed between individual motifs, H3K27ac status, or whether the ChIP target was detected within the AR peak.

Distance between best matching motif and the best matching AR motif, showing data to the 50th percentile of distances. No noticable difference was noticed between individual motifs, H3K27ac status, or whether the ChIP target was detected within the AR peak.

Version Author Date
16615bf Steve Pederson 2022-05-28
1bf46f7 Steve Pederson 2022-05-27

FOXA1

matches_foxa1_summits %>%
  group_by(range) %>% 
  dplyr::filter(any(altname == "FOXA1")) %>% 
  mutate(
    foxa1_pos = pos[altname == "FOXA1"],
    foxa1_strand = strand[altname == "FOXA1"]
  ) %>% 
  ungroup() %>% 
  mutate(
    foxa1_motif_dist = abs(pos - foxa1_pos),
    label = glue("{name} ({altname})"),
    H3K27ac = ifelse(H3K27ac, "H3K27ac", "No H3K27ac"),
    target_detected = ifelse(target_detected, "Target Detected", "Target Undetected")
  ) %>% 
  dplyr::filter(altname != "FOXA1") %>% 
  group_by(name, target_detected, H3K27ac) %>% 
  mutate(
    q = rank(foxa1_motif_dist, ties = "first") / length(foxa1_motif_dist)
  ) %>% 
  dplyr::filter(q <= 0.5) %>%
  ggplot(
    aes(foxa1_motif_dist, q, colour = label)
  ) +
  geom_line() +
  facet_grid(H3K27ac ~ target_detected) +
  scale_y_continuous(labels= percent) +
  labs(
    x = "Distance from FOXA1 motif",
    y = "Percentile",
    colour = "Motif Target",
    linetype = "ChIP/Motif\nTarget Detected"
  )
Distance between best matching motif and the best matching FOXA1 motif, showing data to the 50th percentile of distances. No noticable difference was noticed between H3K27ac status, or whether the ChIP target was detected within the FOXA1 peaks. However, both AR ang GATA3 motifs do appear to be closer to the FOXA1 motif than TFAP2B motifs.

Distance between best matching motif and the best matching FOXA1 motif, showing data to the 50th percentile of distances. No noticable difference was noticed between H3K27ac status, or whether the ChIP target was detected within the FOXA1 peaks. However, both AR ang GATA3 motifs do appear to be closer to the FOXA1 motif than TFAP2B motifs.

Version Author Date
16615bf Steve Pederson 2022-05-28
1bf46f7 Steve Pederson 2022-05-27

GATA3

matches_gata3_summits %>%
  group_by(range) %>% 
  dplyr::filter(any(altname == "GATA3")) %>% 
  mutate(
    gata3_pos = pos[altname == "GATA3"],
    gata3_strand = strand[altname == "GATA3"]
  ) %>% 
  ungroup() %>% 
  mutate(
    gata3_motif_dist = abs(pos - gata3_pos),
    label = glue("{name} ({altname})"),
    H3K27ac = ifelse(H3K27ac, "H3K27ac", "No H3K27ac"),
    target_detected = ifelse(target_detected, "Target Detected", "Target Undetected")
  ) %>% 
  dplyr::filter(altname != "GATA3") %>% 
  group_by(name, target_detected, H3K27ac) %>% 
  mutate(
    q = rank(gata3_motif_dist, ties = "first") / length(gata3_motif_dist)
  ) %>% 
  dplyr::filter(q <= 0.5) %>%
  ggplot(
    aes(gata3_motif_dist, q, colour = label)
  ) +
  geom_line() +
  facet_grid(H3K27ac ~ target_detected) +
  scale_y_continuous(labels= percent) +
  scale_linetype_manual(values = c(3, 1)) +
  labs(
    x = "Distance from GATA3 motif",
    y = "Percentile",
    colour = "Motif Target",
    linetype = "ChIP/Motif\nTarget Detected"
  )
Distance between best matching motif and the best matching GATA3 motif, showing data to the 50th percentile of distances. FOXA1 motifs tended to be further from the GATA3 motif for peaks where FOXA1 was detected.

Distance between best matching motif and the best matching GATA3 motif, showing data to the 50th percentile of distances. FOXA1 motifs tended to be further from the GATA3 motif for peaks where FOXA1 was detected.

Version Author Date
16615bf Steve Pederson 2022-05-28
1bf46f7 Steve Pederson 2022-05-27

TFAP2B

matches_tfap2b_summits %>%
  group_by(range) %>% 
  dplyr::filter(any(altname == "TFAP2B")) %>% 
  mutate(
    tfap2b_pos = pos[altname == "TFAP2B"][1],
  ) %>% 
  ungroup() %>% 
  mutate(
    tfap2b_motif_dist = abs(pos - tfap2b_pos),
    label = glue("{name} ({altname})"),
    H3K27ac = ifelse(H3K27ac, "H3K27ac", "No H3K27ac"),
    target_detected = ifelse(target_detected, "Target Detected", "Target Undetected")
  ) %>% 
  dplyr::filter(altname != "TFAP2B") %>% 
  group_by(name, target_detected, H3K27ac) %>% 
  mutate(
    q = rank(tfap2b_motif_dist, ties = "first") / length(tfap2b_motif_dist)
  ) %>% 
  dplyr::filter(q <= 0.5) %>%
  ggplot(
    aes(tfap2b_motif_dist, q, colour = label)
  ) +
  geom_line() +
  facet_grid(H3K27ac ~ target_detected) +
  scale_y_continuous(labels= percent) +
  scale_linetype_manual(values = c(3, 1)) +
  labs(
    x = "Distance from TFAP2B motif",
    y = "Percentile",
    colour = "Motif Target",
    linetype = "ChIP/Motif\nTarget Detected"
  )
Distance between best matching motif and the best matching TFAP2B motif, showing data to the 50th percentile of distances. No noticable difference was noticed between individual motifs, H3K27ac status, or whether the ChIP target was detected within the TFAP2B peak.

Distance between best matching motif and the best matching TFAP2B motif, showing data to the 50th percentile of distances. No noticable difference was noticed between individual motifs, H3K27ac status, or whether the ChIP target was detected within the TFAP2B peak.

Version Author Date
16615bf Steve Pederson 2022-05-28
1bf46f7 Steve Pederson 2022-05-27

sessionInfo()
R version 4.2.0 (2022-04-22)
Platform: x86_64-pc-linux-gnu (64-bit)
Running under: Ubuntu 20.04.4 LTS

Matrix products: default
BLAS:   /usr/lib/x86_64-linux-gnu/blas/libblas.so.3.9.0
LAPACK: /usr/lib/x86_64-linux-gnu/lapack/liblapack.so.3.9.0

locale:
 [1] LC_CTYPE=en_AU.UTF-8       LC_NUMERIC=C              
 [3] LC_TIME=en_AU.UTF-8        LC_COLLATE=en_AU.UTF-8    
 [5] LC_MONETARY=en_AU.UTF-8    LC_MESSAGES=en_AU.UTF-8   
 [7] LC_PAPER=en_AU.UTF-8       LC_NAME=C                 
 [9] LC_ADDRESS=C               LC_TELEPHONE=C            
[11] LC_MEASUREMENT=en_AU.UTF-8 LC_IDENTIFICATION=C       

attached base packages:
[1] parallel  stats4    stats     graphics  grDevices utils     datasets 
[8] methods   base     

other attached packages:
 [1] multcomp_1.4-19                   TH.data_1.1-1                    
 [3] MASS_7.3-56                       survival_3.2-13                  
 [5] mvtnorm_1.1-3                     htmltools_0.5.2                  
 [7] reactable_0.3.0                   UpSetR_1.4.0                     
 [9] readxl_1.4.0                      gt_0.6.0                         
[11] cowplot_1.1.1                     glue_1.6.2                       
[13] pander_0.6.5                      scales_1.2.0                     
[15] BSgenome.Hsapiens.UCSC.hg19_1.4.3 BSgenome_1.64.0                  
[17] Biostrings_2.64.0                 XVector_0.36.0                   
[19] magrittr_2.0.3                    rtracklayer_1.56.0               
[21] extraChIPs_1.0.1                  SummarizedExperiment_1.26.1      
[23] Biobase_2.56.0                    MatrixGenerics_1.8.0             
[25] matrixStats_0.62.0                BiocParallel_1.30.2              
[27] plyranges_1.16.0                  GenomicRanges_1.48.0             
[29] GenomeInfoDb_1.32.2               IRanges_2.30.0                   
[31] S4Vectors_0.34.0                  BiocGenerics_0.42.0              
[33] forcats_0.5.1                     stringr_1.4.0                    
[35] dplyr_1.0.9                       purrr_0.3.4                      
[37] readr_2.1.2                       tidyr_1.2.0                      
[39] tibble_3.1.7                      ggplot2_3.3.6                    
[41] tidyverse_1.3.1                   universalmotif_1.14.1            
[43] memes_1.4.1                       workflowr_1.7.0                  

loaded via a namespace (and not attached):
  [1] rappdirs_0.3.3             R.methodsS3_1.8.1         
  [3] csaw_1.30.1                bit64_4.0.5               
  [5] knitr_1.39                 R.utils_2.11.0            
  [7] DelayedArray_0.22.0        data.table_1.14.2         
  [9] rpart_4.1.16               KEGGREST_1.36.0           
 [11] RCurl_1.98-1.6             AnnotationFilter_1.20.0   
 [13] doParallel_1.0.17          generics_0.1.2            
 [15] GenomicFeatures_1.48.3     callr_3.7.0               
 [17] EnrichedHeatmap_1.26.0     usethis_2.1.6             
 [19] RSQLite_2.2.14             bit_4.0.4                 
 [21] tzdb_0.3.0                 xml2_1.3.3                
 [23] lubridate_1.8.0            httpuv_1.6.5              
 [25] assertthat_0.2.1           xfun_0.31                 
 [27] hms_1.1.1                  jquerylib_0.1.4           
 [29] evaluate_0.15              promises_1.2.0.1          
 [31] fansi_1.0.3                restfulr_0.0.13           
 [33] progress_1.2.2             dbplyr_2.1.1              
 [35] igraph_1.3.1               DBI_1.1.2                 
 [37] htmlwidgets_1.5.4          ellipsis_0.3.2            
 [39] crosstalk_1.2.0            backports_1.4.1           
 [41] biomaRt_2.52.0             vctrs_0.4.1               
 [43] here_1.0.1                 ensembldb_2.20.1          
 [45] cachem_1.0.6               withr_2.5.0               
 [47] ggforce_0.3.3              Gviz_1.40.1               
 [49] vroom_1.5.7                checkmate_2.1.0           
 [51] GenomicAlignments_1.32.0   prettyunits_1.1.1         
 [53] cluster_2.1.3              lazyeval_0.2.2            
 [55] crayon_1.5.1               labeling_0.4.2            
 [57] edgeR_3.38.1               pkgconfig_2.0.3           
 [59] tweenr_1.0.2               pkgload_1.2.4             
 [61] ProtGenerics_1.28.0        nnet_7.3-17               
 [63] rlang_1.0.2                lifecycle_1.0.1           
 [65] sandwich_3.0-1             filelock_1.0.2            
 [67] BiocFileCache_2.4.0        modelr_0.1.8              
 [69] dichromat_2.0-0.1          cellranger_1.1.0          
 [71] rprojroot_2.0.3            polyclip_1.10-0           
 [73] reactR_0.4.4               Matrix_1.4-1              
 [75] ggseqlogo_0.1              zoo_1.8-10                
 [77] reprex_2.0.1               base64enc_0.1-3           
 [79] whisker_0.4                GlobalOptions_0.1.2       
 [81] processx_3.5.3             viridisLite_0.4.0         
 [83] png_0.1-7                  rjson_0.2.21              
 [85] GenomicInteractions_1.30.0 bitops_1.0-7              
 [87] R.oo_1.24.0                cmdfun_1.0.2              
 [89] getPass_0.2-2              blob_1.2.3                
 [91] shape_1.4.6                jpeg_0.1-9                
 [93] memoise_2.0.1              plyr_1.8.7                
 [95] zlibbioc_1.42.0            compiler_4.2.0            
 [97] scatterpie_0.1.7           BiocIO_1.6.0              
 [99] RColorBrewer_1.1-3         clue_0.3-61               
[101] Rsamtools_2.12.0           cli_3.3.0                 
[103] ps_1.7.0                   htmlTable_2.4.0           
[105] Formula_1.2-4              ggside_0.2.0.9990         
[107] tidyselect_1.1.2           stringi_1.7.6             
[109] highr_0.9                  yaml_2.3.5                
[111] locfit_1.5-9.5             latticeExtra_0.6-29       
[113] ggrepel_0.9.1              grid_4.2.0                
[115] sass_0.4.1                 VariantAnnotation_1.42.1  
[117] tools_4.2.0                circlize_0.4.15           
[119] rstudioapi_0.13            foreach_1.5.2             
[121] foreign_0.8-82             git2r_0.30.1              
[123] metapod_1.4.0              gridExtra_2.3             
[125] farver_2.1.0               digest_0.6.29             
[127] Rcpp_1.0.8.3               broom_0.8.0               
[129] later_1.3.0                httr_1.4.3                
[131] AnnotationDbi_1.58.0       biovizBase_1.44.0         
[133] ComplexHeatmap_2.12.0      colorspace_2.0-3          
[135] rvest_1.0.2                brio_1.1.3                
[137] XML_3.99-0.9               fs_1.5.2                  
[139] splines_4.2.0              jsonlite_1.8.0            
[141] ggfun_0.0.6                testthat_3.1.4            
[143] R6_2.5.1                   Hmisc_4.7-0               
[145] pillar_1.7.0               fastmap_1.1.0             
[147] codetools_0.2-18           utf8_1.2.2                
[149] lattice_0.20-45            bslib_0.3.1               
[151] curl_4.3.2                 limma_3.52.1              
[153] rmarkdown_2.14             InteractionSet_1.24.0     
[155] desc_1.4.1                 munsell_0.5.0             
[157] GetoptLong_1.0.5           GenomeInfoDbData_1.2.8    
[159] iterators_1.0.14           haven_2.5.0               
[161] gtable_0.3.0