Last updated: 2021-03-24

Checks: 6 1

Knit directory: toxin_dose_responses/

This reproducible R Markdown analysis was created with workflowr (version 1.6.2). The Checks tab describes the reproducibility checks that were applied when the results were created. The Past versions tab lists the development history.


Great! Since the R Markdown file has been committed to the Git repository, you know the exact version of the code that produced these results.

Great job! The global environment was empty. Objects defined in the global environment can affect the analysis in your R Markdown file in unknown ways. For reproduciblity it’s best to always run the code in an empty environment.

The command set.seed(20210305) was run prior to running the code in the R Markdown file. Setting a seed ensures that any results that rely on randomness, e.g. subsampling or permutations, are reproducible.

Great job! Recording the operating system, R version, and package versions is critical for reproducibility.

Nice! There were no cached chunks for this analysis, so you can be confident that you successfully produced the results during this run.

Using absolute paths to the files within your workflowr project makes it difficult for you and others to run your code on a different machine. Change the absolute path(s) below to the suggested relative path(s) to make your code more reproducible.

absolute relative
~/Documents/projects/toxin_dose_responses/ .

Great! You are using Git for version control. Tracking code development and connecting the code version to the results is critical for reproducibility.

The results in this page were generated with repository version 75da486. See the Past versions tab to see a history of the changes made to the R Markdown and HTML files.

Note that you need to be careful to ensure that all relevant files for the analysis have been committed to Git prior to generating the results (you can use wflow_publish or wflow_git_commit). workflowr only checks the R Markdown file, but you know if there are other scripts or data files that it depends on. Below is the status of the Git repository when the results were generated:


Ignored files:
    Ignored:    .DS_Store
    Ignored:    .Rhistory
    Ignored:    analysis/.DS_Store
    Ignored:    output/.DS_Store

Untracked files:
    Untracked:  data/drugclasses.csv
    Untracked:  output/2,4-D_EC10.csv
    Untracked:  output/3model.heatmap.png
    Untracked:  output/4model.heatmap.png
    Untracked:  output/Aldicarb_EC10.csv
    Untracked:  output/Aldicarb_EC50.csv
    Untracked:  output/Aldicarb_EC90.csv
    Untracked:  output/Arsenic trioxide_EC10.csv
    Untracked:  output/Atrazine_EC10.csv
    Untracked:  output/Atrazine_EC50.csv
    Untracked:  output/Atrazine_MDHD.junk.png
    Untracked:  output/Cadmium dichloride_EC10.csv
    Untracked:  output/Cadmium dichloride_EC50.csv
    Untracked:  output/Cadmium dichloride_EC90.csv
    Untracked:  output/Cadmium dichloride_MDHD.junk.png
    Untracked:  output/Carbaryl_EC10.csv
    Untracked:  output/Carbaryl_EC50.csv
    Untracked:  output/Carbaryl_EC90.csv
    Untracked:  output/Carboxin_EC10.csv
    Untracked:  output/Carboxin_EC50.csv
    Untracked:  output/Carboxin_EC90.csv
    Untracked:  output/Chlorfenapyr_EC10.csv
    Untracked:  output/Chlorfenapyr_EC50.csv
    Untracked:  output/Chlorfenapyr_EC90.csv
    Untracked:  output/Chlorothalonil_EC10.csv
    Untracked:  output/Chlorothalonil_EC50.csv
    Untracked:  output/Chlorothalonil_EC90.csv
    Untracked:  output/Chlorpyrifos_EC10.csv
    Untracked:  output/Chlorpyrifos_EC50.csv
    Untracked:  output/Chlorpyrifos_EC90.csv
    Untracked:  output/Copper(II) chloride_EC10.csv
    Untracked:  output/Copper(II) chloride_EC50.csv
    Untracked:  output/Copper(II) chloride_EC90.csv
    Untracked:  output/Deltamethrin_EC10.csv
    Untracked:  output/Deltamethrin_EC50.csv
    Untracked:  output/Deltamethrin_EC90.csv
    Untracked:  output/EC10.strain.comp.png
    Untracked:  output/EC10.survey.png
    Untracked:  output/H2.plot.20210306.png
    Untracked:  output/H2.plot.20210308.png
    Untracked:  output/H2.plot.20210314.png
    Untracked:  output/Lead(II) nitrate_EC10.csv
    Untracked:  output/Malathion_EC10.csv
    Untracked:  output/Malathion_EC50.csv
    Untracked:  output/Malathion_EC90.csv
    Untracked:  output/Manganese dichloride_EC10.csv
    Untracked:  output/Manganese dichloride_EC50.csv
    Untracked:  output/Manganese dichloride_EC90.csv
    Untracked:  output/Methomyl_EC10.csv
    Untracked:  output/Methomyl_EC50.csv
    Untracked:  output/Methomyl_EC90.csv
    Untracked:  output/Methylmercury dichloride_EC10.csv
    Untracked:  output/Methylmercury dichloride_EC50.csv
    Untracked:  output/Methylmercury dichloride_EC90.csv
    Untracked:  output/Nickel dichloride_EC10.csv
    Untracked:  output/Nickel dichloride_EC50.csv
    Untracked:  output/Nickel dichloride_EC90.csv
    Untracked:  output/Paraquat_EC10.csv
    Untracked:  output/Paraquat_EC50.csv
    Untracked:  output/Paraquat_EC90.csv
    Untracked:  output/Propoxur_EC10.csv
    Untracked:  output/Propoxur_EC50.csv
    Untracked:  output/Propoxur_EC90.csv
    Untracked:  output/Pyraclostrobin_EC10.csv
    Untracked:  output/Pyraclostrobin_EC50.csv
    Untracked:  output/Pyraclostrobin_EC90.csv
    Untracked:  output/Pyraclostrobin_MDHD.junk.png
    Untracked:  output/Silver nitrate_EC10.csv
    Untracked:  output/Silver nitrate_EC50.csv
    Untracked:  output/Silver nitrate_EC90.csv
    Untracked:  output/Triphenyl phosphate_EC10.csv
    Untracked:  output/Triphenyl phosphate_EC50.csv
    Untracked:  output/Triphenyl phosphate_EC90.csv
    Untracked:  output/Triphenyl phosphate_MDHD.junk.png
    Untracked:  output/Zinc dichloride_EC10.csv
    Untracked:  output/Zinc dichloride_EC50.csv
    Untracked:  output/Zinc dichloride_EC90.csv
    Untracked:  output/cv.control.wells.csv
    Untracked:  output/manganese_toxin23_p57.png
    Untracked:  output/toxicants.8strains.csv

Unstaged changes:
    Modified:   analysis/doseresponsemodels.Rmd

Note that any generated files, e.g. HTML, png, CSS, etc., are not included in this status report because it is ok for generated content to have uncommitted changes.


These are the previous versions of the repository in which changes were made to the R Markdown (analysis/toxin8strains.Rmd) and HTML (docs/toxin8strains.html) files. If you’ve configured a remote Git repository (see ?wflow_git_remote), click on the hyperlinks in the table below to view the files as they were in that past version.

File Version Author Date Message
Rmd 7d105e2 sam-widmayer 2021-03-24 progress meeting updates
html 02a633e sam-widmayer 2021-03-24 Build site.
Rmd f2b09cd sam-widmayer 2021-03-23 EC plot and DRC evaluation updates
Rmd 07d524b sam-widmayer 2021-03-23 EC plot and DRC evaluation updates
html deb1df5 sam-widmayer 2021-03-21 Build site.
Rmd 32ad79a sam-widmayer 2021-03-21 heatmap outputs
Rmd 7ccc7de sam-widmayer 2021-03-21 heatmap outputs
Rmd 01b3361 sam-widmayer 2021-03-21 heatmap outputs
Rmd 7eb07f1 sam-widmayer 2021-03-21 toxin23 updates and Worm_Length filter for MDHD data
html 7ae886c sam-widmayer 2021-03-14 Build site.
Rmd 3f4a99b sam-widmayer 2021-03-14 integrate toxin22 results
html 212e0ae sam-widmayer 2021-03-08 Build site.
html cb6e132 sam-widmayer 2021-03-06 Build site.
Rmd 46c9647 sam-widmayer 2021-03-06 static working directory
Rmd 41bdaa0 sam-widmayer 2021-03-05 dynamic working directory
Rmd 0c9d312 sam-widmayer 2021-03-05 initiate toxin DRC analysis repo

Purpose:

  • Compile past assay results.
  • Provide dose-response curves for each toxin.

Analysis Date: March 24, 2021

Assay Summary

Version Author Date
02a633e sam-widmayer 2021-03-24
deb1df5 sam-widmayer 2021-03-21
7ae886c sam-widmayer 2021-03-14
cb6e132 sam-widmayer 2021-03-06

Version Author Date
02a633e sam-widmayer 2021-03-24
deb1df5 sam-widmayer 2021-03-21
7ae886c sam-widmayer 2021-03-14
cb6e132 sam-widmayer 2021-03-06

Version Author Date
deb1df5 sam-widmayer 2021-03-21
7ae886c sam-widmayer 2021-03-14
cb6e132 sam-widmayer 2021-03-06
   Metadata_Experiment bleach    median cv.censor
1             toxin09A      1 0.3836145         0
2             toxin10A      1 0.4305145         0
3             toxin11A      1 0.4277093         0
4             toxin14A      1 0.3309190         0
5             toxin14A      2 0.6202207         1
6             toxin14A      3 0.3139512         0
7             toxin14B      1 0.3531075         0
8             toxin14B      2 0.6821373         1
9             toxin14B      3 0.4144394         0
10            toxin15A      1 0.3776043         0
11            toxin15A      2 0.3237794         0
12            toxin15A      3 0.5858180         1
13            toxin15B      1 0.3014705         0
14            toxin15B      2 0.3782805         0
15            toxin15B      3 0.5791055         1
16            toxin16A      1 0.3024091         0
17            toxin16A      2 0.6394078         1
18            toxin16A      3 0.6430524         1
19            toxin17A      1 0.3203867         0
20            toxin17A      2 0.5750981         1
21            toxin17A      3 0.3401813         0
22            toxin18A      1 0.3202607         0
23            toxin18A      2 0.3228881         0
24            toxin18A      3 0.3338709         0
25            toxin19A      1 0.3333869         0
26            toxin19A      2 0.3179010         0
27            toxin19A      3 0.3330344         0
28            toxin22A      1 0.2625332         0
29            toxin22A      2 0.2967801         0
30            toxin22A      3 0.2706957         0
31            toxin23A      1 0.3243216         0
32            toxin23A      2 0.3411546         0
33            toxin23A      3 0.2809086         0
                         Df Sum Sq Mean Sq F value  Pr(>F)    
assay                    12 1.8077  0.1506  14.987 < 2e-16 ***
as.factor(bleach)         2 0.6899  0.3450  34.318 1.1e-13 ***
strain                    7 0.0920  0.0131   1.307   0.248    
assay:as.factor(bleach)  18 1.8073  0.1004   9.989 < 2e-16 ***
Residuals               218 2.1913  0.0101                    
---
Signif. codes:  0 '***' 0.001 '**' 0.01 '*' 0.05 '.' 0.1 ' ' 1

Silver

Version Author Date
deb1df5 sam-widmayer 2021-03-21
cb6e132 sam-widmayer 2021-03-06

Version Author Date
deb1df5 sam-widmayer 2021-03-21
7ae886c sam-widmayer 2021-03-14
cb6e132 sam-widmayer 2021-03-06

Version Author Date
02a633e sam-widmayer 2021-03-24
deb1df5 sam-widmayer 2021-03-21
cb6e132 sam-widmayer 2021-03-06

Cadmium

[1] "Excluding toxin09A: Inconsistent Response"

Version Author Date
deb1df5 sam-widmayer 2021-03-21
7ae886c sam-widmayer 2021-03-14
cb6e132 sam-widmayer 2021-03-06

Version Author Date
deb1df5 sam-widmayer 2021-03-21
7ae886c sam-widmayer 2021-03-14
cb6e132 sam-widmayer 2021-03-06

Version Author Date
02a633e sam-widmayer 2021-03-24
deb1df5 sam-widmayer 2021-03-21
7ae886c sam-widmayer 2021-03-14
cb6e132 sam-widmayer 2021-03-06

Copper

Version Author Date
deb1df5 sam-widmayer 2021-03-21
7ae886c sam-widmayer 2021-03-14
cb6e132 sam-widmayer 2021-03-06

Version Author Date
deb1df5 sam-widmayer 2021-03-21
7ae886c sam-widmayer 2021-03-14
cb6e132 sam-widmayer 2021-03-06

Version Author Date
02a633e sam-widmayer 2021-03-24
deb1df5 sam-widmayer 2021-03-21
7ae886c sam-widmayer 2021-03-14
cb6e132 sam-widmayer 2021-03-06

Nickel

Version Author Date
deb1df5 sam-widmayer 2021-03-21
7ae886c sam-widmayer 2021-03-14
cb6e132 sam-widmayer 2021-03-06

Version Author Date
deb1df5 sam-widmayer 2021-03-21
7ae886c sam-widmayer 2021-03-14
cb6e132 sam-widmayer 2021-03-06

Version Author Date
02a633e sam-widmayer 2021-03-24
deb1df5 sam-widmayer 2021-03-21
7ae886c sam-widmayer 2021-03-14
cb6e132 sam-widmayer 2021-03-06

Paraquat

Version Author Date
deb1df5 sam-widmayer 2021-03-21
7ae886c sam-widmayer 2021-03-14
cb6e132 sam-widmayer 2021-03-06

Version Author Date
deb1df5 sam-widmayer 2021-03-21
7ae886c sam-widmayer 2021-03-14
cb6e132 sam-widmayer 2021-03-06

Version Author Date
02a633e sam-widmayer 2021-03-24
deb1df5 sam-widmayer 2021-03-21
7ae886c sam-widmayer 2021-03-14
cb6e132 sam-widmayer 2021-03-06

Zinc

Version Author Date
deb1df5 sam-widmayer 2021-03-21
7ae886c sam-widmayer 2021-03-14
cb6e132 sam-widmayer 2021-03-06

Version Author Date
deb1df5 sam-widmayer 2021-03-21
7ae886c sam-widmayer 2021-03-14
cb6e132 sam-widmayer 2021-03-06

Version Author Date
02a633e sam-widmayer 2021-03-24
deb1df5 sam-widmayer 2021-03-21
7ae886c sam-widmayer 2021-03-14
cb6e132 sam-widmayer 2021-03-06

Pyraclostrobin

[1] "Excluding toxin11A: Inconsistent Response"

Version Author Date
deb1df5 sam-widmayer 2021-03-21
cb6e132 sam-widmayer 2021-03-06

Version Author Date
deb1df5 sam-widmayer 2021-03-21
7ae886c sam-widmayer 2021-03-14
cb6e132 sam-widmayer 2021-03-06

Version Author Date
02a633e sam-widmayer 2021-03-24
deb1df5 sam-widmayer 2021-03-21
cb6e132 sam-widmayer 2021-03-06

Aldicarb

Version Author Date
deb1df5 sam-widmayer 2021-03-21
cb6e132 sam-widmayer 2021-03-06

Version Author Date
deb1df5 sam-widmayer 2021-03-21
7ae886c sam-widmayer 2021-03-14
cb6e132 sam-widmayer 2021-03-06

Version Author Date
02a633e sam-widmayer 2021-03-24
deb1df5 sam-widmayer 2021-03-21
cb6e132 sam-widmayer 2021-03-06

Chlorfenapyr

[1] "Excluding toxin09A, toxin10A, toxin11A, toxin12A: No Response/Variable Dilution"

Version Author Date
deb1df5 sam-widmayer 2021-03-21
7ae886c sam-widmayer 2021-03-14
cb6e132 sam-widmayer 2021-03-06

Version Author Date
deb1df5 sam-widmayer 2021-03-21
7ae886c sam-widmayer 2021-03-14
cb6e132 sam-widmayer 2021-03-06

Version Author Date
02a633e sam-widmayer 2021-03-24
deb1df5 sam-widmayer 2021-03-21
7ae886c sam-widmayer 2021-03-14
cb6e132 sam-widmayer 2021-03-06

Methomyl

Version Author Date
deb1df5 sam-widmayer 2021-03-21
cb6e132 sam-widmayer 2021-03-06

Version Author Date
deb1df5 sam-widmayer 2021-03-21
7ae886c sam-widmayer 2021-03-14
cb6e132 sam-widmayer 2021-03-06

Version Author Date
02a633e sam-widmayer 2021-03-24
deb1df5 sam-widmayer 2021-03-21
cb6e132 sam-widmayer 2021-03-06

Methyl Mercury

Version Author Date
deb1df5 sam-widmayer 2021-03-21
cb6e132 sam-widmayer 2021-03-06

Version Author Date
deb1df5 sam-widmayer 2021-03-21
7ae886c sam-widmayer 2021-03-14
cb6e132 sam-widmayer 2021-03-06

Version Author Date
02a633e sam-widmayer 2021-03-24
deb1df5 sam-widmayer 2021-03-21
cb6e132 sam-widmayer 2021-03-06

Triphenyl phosphate

Version Author Date
deb1df5 sam-widmayer 2021-03-21
cb6e132 sam-widmayer 2021-03-06

Version Author Date
deb1df5 sam-widmayer 2021-03-21
7ae886c sam-widmayer 2021-03-14
cb6e132 sam-widmayer 2021-03-06

Version Author Date
02a633e sam-widmayer 2021-03-24
deb1df5 sam-widmayer 2021-03-21
cb6e132 sam-widmayer 2021-03-06

Arsenic trioxide

Version Author Date
deb1df5 sam-widmayer 2021-03-21
cb6e132 sam-widmayer 2021-03-06

Version Author Date
deb1df5 sam-widmayer 2021-03-21
7ae886c sam-widmayer 2021-03-14
cb6e132 sam-widmayer 2021-03-06

Version Author Date
02a633e sam-widmayer 2021-03-24
deb1df5 sam-widmayer 2021-03-21
cb6e132 sam-widmayer 2021-03-06

Carbaryl

Version Author Date
deb1df5 sam-widmayer 2021-03-21
cb6e132 sam-widmayer 2021-03-06

Version Author Date
deb1df5 sam-widmayer 2021-03-21
7ae886c sam-widmayer 2021-03-14
cb6e132 sam-widmayer 2021-03-06

Version Author Date
02a633e sam-widmayer 2021-03-24
deb1df5 sam-widmayer 2021-03-21
cb6e132 sam-widmayer 2021-03-06

Carboxin

Version Author Date
deb1df5 sam-widmayer 2021-03-21
cb6e132 sam-widmayer 2021-03-06

Version Author Date
deb1df5 sam-widmayer 2021-03-21
7ae886c sam-widmayer 2021-03-14
cb6e132 sam-widmayer 2021-03-06

Version Author Date
02a633e sam-widmayer 2021-03-24
deb1df5 sam-widmayer 2021-03-21
cb6e132 sam-widmayer 2021-03-06

Chlorpyrifos

[1] "Excluding toxin17A: No Response"

Version Author Date
deb1df5 sam-widmayer 2021-03-21
cb6e132 sam-widmayer 2021-03-06

Version Author Date
deb1df5 sam-widmayer 2021-03-21
7ae886c sam-widmayer 2021-03-14
cb6e132 sam-widmayer 2021-03-06

Version Author Date
02a633e sam-widmayer 2021-03-24
deb1df5 sam-widmayer 2021-03-21
cb6e132 sam-widmayer 2021-03-06

Lead (II) nitrate

Version Author Date
deb1df5 sam-widmayer 2021-03-21
cb6e132 sam-widmayer 2021-03-06

Version Author Date
deb1df5 sam-widmayer 2021-03-21
7ae886c sam-widmayer 2021-03-14
cb6e132 sam-widmayer 2021-03-06

Version Author Date
02a633e sam-widmayer 2021-03-24
deb1df5 sam-widmayer 2021-03-21
cb6e132 sam-widmayer 2021-03-06

Atrazine

[1] "Excluding toxin16A: Inaccurate Dilution Series"

Version Author Date
deb1df5 sam-widmayer 2021-03-21
cb6e132 sam-widmayer 2021-03-06

Version Author Date
deb1df5 sam-widmayer 2021-03-21
7ae886c sam-widmayer 2021-03-14
cb6e132 sam-widmayer 2021-03-06

Version Author Date
02a633e sam-widmayer 2021-03-24
deb1df5 sam-widmayer 2021-03-21
cb6e132 sam-widmayer 2021-03-06

2,4-D

Version Author Date
deb1df5 sam-widmayer 2021-03-21

Version Author Date
deb1df5 sam-widmayer 2021-03-21

Version Author Date
02a633e sam-widmayer 2021-03-24
deb1df5 sam-widmayer 2021-03-21

Malathion

Version Author Date
deb1df5 sam-widmayer 2021-03-21

Version Author Date
deb1df5 sam-widmayer 2021-03-21

Version Author Date
02a633e sam-widmayer 2021-03-24
deb1df5 sam-widmayer 2021-03-21

Chlorothalonil

Version Author Date
deb1df5 sam-widmayer 2021-03-21

Version Author Date
deb1df5 sam-widmayer 2021-03-21

Version Author Date
02a633e sam-widmayer 2021-03-24
deb1df5 sam-widmayer 2021-03-21

Deltamethrin

Version Author Date
deb1df5 sam-widmayer 2021-03-21

Version Author Date
deb1df5 sam-widmayer 2021-03-21
Error in optim(startVec, opfct, hessian = TRUE, method = optMethod, control = list(maxit = maxIt,  : 
  non-finite finite-difference value [3]
[1] "Unable to optimize model"
[1] "Unable to optimize model"

Version Author Date
02a633e sam-widmayer 2021-03-24
deb1df5 sam-widmayer 2021-03-21

Manganese dichloride

Version Author Date
deb1df5 sam-widmayer 2021-03-21

Version Author Date
deb1df5 sam-widmayer 2021-03-21

Version Author Date
02a633e sam-widmayer 2021-03-24
deb1df5 sam-widmayer 2021-03-21

Propoxur

Version Author Date
deb1df5 sam-widmayer 2021-03-21

Version Author Date
deb1df5 sam-widmayer 2021-03-21

Version Author Date
02a633e sam-widmayer 2021-03-24
deb1df5 sam-widmayer 2021-03-21

EC Estimates

Version Author Date
02a633e sam-widmayer 2021-03-24

Version Author Date
02a633e sam-widmayer 2021-03-24

EC10

Version Author Date
02a633e sam-widmayer 2021-03-24

EC50

EC90

Summary Tables



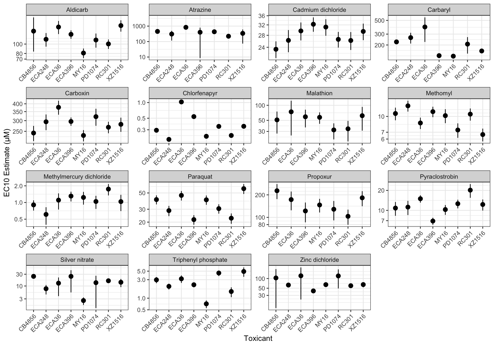
Table: Aldicarb Estimates

Strain   Weibull        Log-Logistic   Lognormal    
-------  -------------  -------------  -------------
ECA396   112.12±6.55    126.01±6.39    126.59±6.09  
CB4856   124.11±23.91   135.99±26.53   133.08±22.25 
ECA36    129.21±10.9    149.93±11.74   148.64±11.04 
MY16     74.86±4.91     80.84±4.6      81.03±4.53   
XZ1516   135.86±9.43    155.1±10.51    157.17±10.39 
RC301    91.18±6.87     100.35±5.66    99.9±5.37    
PD1074   99.62±10.59    110.12±9.27    111.48±9.37  
ECA248   102.21±10.69   111.97±9.05    112.18±8.55  


Table: Aldicarb Estimates

Strain   Weibull        Log-Logistic   Lognormal    
-------  -------------  -------------  -------------
ECA396   343.77±15.91   344.41±16.9    350.5±18     
CB4856   277.31±23.53   258.2±27.9     252.71±24.74 
ECA36    341.46±15.6    327±14.07      326.36±14.27 
MY16     194.49±7.58    193.41±8.81    194.99±9.12  
XZ1516   363.37±13.79   358.51±14.65   355.04±14.38 
RC301    271.04±15.97   276.53±13.81   280.95±14.65 
PD1074   227.68±10.98   216.37±11.45   216.59±10.98 
ECA248   261.96±13.08   256.49±13.34   254.59±13.06 


Table: Aldicarb Estimates

Strain   Weibull        Log-Logistic    Lognormal    
-------  -------------  --------------  -------------
ECA396   702.05±55.35   941.37±103.34   970.5±107.62 
CB4856   462.87±43.69   490.26±63.07    479.87±58.5  
ECA36    634.32±48.97   713.19±70.11    716.57±65.63 
MY16     357.41±22.4    462.74±49.16    469.25±50.66 
XZ1516   680.19±42.77   828.69±84       802.02±75.75 
RC301    542.7±62.63    762.04±84.34    790.13±88.88 
PD1074   385.57±28.83   425.11±45.82    420.81±43.49 
ECA248   477.21±46.82   587.58±63.39    577.76±59.72 


Table: Arsenic trioxide Estimates

Strain   Weibull         Log-Logistic   Lognormal     
-------  --------------  -------------  --------------
PD1074   424.78±310.18   852.9±932.35   639.16±201.42 


Table: Atrazine Estimates

Strain   Weibull         Log-Logistic     Lognormal     
-------  --------------  ---------------  --------------
ECA248   231.03±45.22    305.76±96.3      610.18±710.96 
PD1074   323.78±159.61   430.95±237.65    NA            
XZ1516   259.56±83.83    338.98±134.82    604.71±670.12 
RC301    180.06±17.9     221.04±30.53     279.45±92.4   
CB4856   302.15±214.96   452.74±379.63    NA            
ECA36    551.13±889.49   832.27±1429.92   NA            
ECA396   259.49±90.99    400.28±199.19    NA            


Table: Atrazine Estimates

Strain   Weibull         Log-Logistic    Lognormal 
-------  --------------  --------------  ----------
ECA248   740.46±247.7    NA              NA        
XZ1516   914.35±412.62   NA              NA        
RC301    603.8±106.15    824.22±223.15   NA        


Table: Cadmium dichloride Estimates

Strain   Weibull      Log-Logistic   Lognormal  
-------  -----------  -------------  -----------
MY16     28.14±1.64   31.13±1.67     31.59±1.72 
XZ1516   26.6±1.6     29.42±1.58     30.05±1.6  
PD1074   23.53±1.31   26.57±1.35     27.06±1.33 
ECA36    26.9±1.84    29.62±1.73     30.16±1.7  
ECA396   29.31±1.55   32.27±1.51     32.85±1.53 
RC301    23.34±1.43   26.19±1.52     26.79±1.54 
ECA248   22.65±1.73   26.23±1.88     26.63±1.75 
CB4856   20.86±1.29   23.39±1.27     23.74±1.23 


Table: Cadmium dichloride Estimates

Strain   Weibull      Log-Logistic   Lognormal  
-------  -----------  -------------  -----------
MY16     64.99±2.21   63.75±2.62     63.21±2.44 
XZ1516   68.01±2.06   69.01±3.08     67.94±3.02 
PD1074   61.28±1.93   60.8±2.43      60.08±2.3  
ECA36    71.73±2.59   74.71±4.46     73.75±4.71 
ECA396   66.46±1.97   64.6±2.33      64.11±2.13 
RC301    62.37±2.07   63.72±2.98     62.59±2.91 
ECA248   55.81±3.09   54.95±2.94     54.87±2.85 
CB4856   63.35±2.51   67.13±4.23     66.89±4.73 


Table: Cadmium dichloride Estimates

Strain   Weibull       Log-Logistic   Lognormal    
-------  ------------  -------------  -------------
MY16     110.8±5.68    130.56±12.6    126.51±11.24 
XZ1516   123.7±6.08    161.83±17.21   153.63±16.17 
PD1074   112.75±5.64   139.09±13.24   133.39±11.7  
ECA36    134±8.18      188.45±25.35   180.32±25.7  
ECA396   111.97±4.91   129.34±10.75   125.14±9.36  
RC301    116.68±6.33   155.04±17.73   146.24±16.32 
ECA248   99.15±9.98    115.09±15.76   113.06±13.81 
CB4856   128.58±8.32   192.63±26.29   188.48±28.18 


Table: Carbaryl Estimates

Strain   Weibull        Log-Logistic   Lognormal     
-------  -------------  -------------  --------------
RC301    153.86±13.45   206.66±31.25   318.49±148.7  
MY16     115.77±4.5     131.85±4.29    135.52±4.16   
XZ1516   138.51±5.63    160.03±6.16    167.91±8.08   
ECA248   215.06±13.53   263.15±26.42   350.16±107.75 
CB4856   200.77±7.47    224.45±7.79    232.64±9.74   
ECA396   118.25±6.19    134.47±5.88    138.17±5.63   
ECA36    282.12±38.73   391.53±85.12   NA            


Table: Carbaryl Estimates

Strain   Weibull         Log-Logistic    Lognormal    
-------  --------------  --------------  -------------
RC301    560.72±88.19    899.1±242.48    NA           
MY16     329.43±10.08    372.72±19.75    377.73±25.18 
XZ1516   396.9±19.22     480.15±41.68    527.38±71.69 
ECA248   599.91±67.03    828.28±158.41   NA           
CB4856   477.83±21.16    543.72±40.07    589.88±68.61 
ECA396   334.69±14.2     365.03±24.39    365.57±28.19 
ECA36    823.29±165.63   NA              NA           


Table: Carbaryl Estimates

Strain   Weibull        Log-Logistic   Lognormal  
-------  -------------  -------------  -----------
MY16     641.47±34.4    NA             NA         
XZ1516   776.32±60.67   NA             NA         
CB4856   830.35±58.18   NA             NA         
ECA396   649.51±47.04   990.92±136.9   967.21±149 


Table: Carboxin Estimates

Strain   Weibull        Log-Logistic   Lognormal    
-------  -------------  -------------  -------------
RC301    245.37±13.69   268.12±13.33   271.54±13.17 
MY16     208.99±11.87   232.92±11.41   236.38±11.06 
XZ1516   246.6±16.77    281.8±17.27    286.26±17.03 
PD1074   294.44±24.48   321.2±23.59    326.03±23.43 
ECA248   264.83±20      294.25±19.9    298.93±19.58 
CB4856   218.08±16.13   242.89±15.96   246.14±15.48 
ECA396   270.53±11.22   295.77±10.69   298.53±10.38 
ECA36    343.43±23.11   376.82±22.71   382.09±22.25 


Table: Carboxin Estimates

Strain   Weibull        Log-Logistic   Lognormal    
-------  -------------  -------------  -------------
RC301    518.27±12.99   520.48±15.19   514.66±14.85 
MY16     542.31±16.17   559.04±22.25   551.86±22.67 
XZ1516   634.1±24.55    652.59±34.08   647.19±35.34 
PD1074   762.58±35.12   837.75±72.34   829.67±86.63 
ECA248   653.85±27.45   672.27±39.66   662.19±40.07 
CB4856   567.38±22.5    585.55±31.62   575.34±31.85 
ECA396   543.23±11.13   538.19±12.02   534.45±11.71 
ECA36    721.61±27.71   712.59±33.79   705.55±31.94 


Table: Carboxin Estimates

Strain   Weibull          Log-Logistic     Lognormal      
-------  ---------------  ---------------  ---------------
RC301    834.65±39.4      1010.37±74.89    975.44±68.53   
MY16     995.79±54.82     1341.73±127.72   1288.38±122.31 
XZ1516   1157.57±81.68    1511.25±193.26   1463.19±189.76 
PD1074   1398.49±106.11   NA               NA             
ECA248   1163.1±82.92     1535.93±209.95   1466.89±201.43 
CB4856   1043.54±72.96    1411.64±179.5    1344.81±169.67 
ECA396   847.09±31.39     979.33±52.28     956.83±47.61   
ECA36    1158.26±71.01    1347.56±144.72   1302.84±129.29 


Table: Chlorfenapyr Estimates

Strain   Weibull     Log-Logistic   Lognormal 
-------  ----------  -------------  ----------
ECA248   0.19±0.01   0.2±0.01       0.2±0.01  
XZ1516   0.31±0.01   0.35±0.02      0.35±0.02 
ECA36    0.94±0.03   1.03±0.03      1.04±0.02 
CB4856   0.29±0.01   0.29±0.01      0.29±0.01 
PD1074   0.35±0.01   0.35±0.01      0.34±0.01 
RC301    0.22±0.01   0.23±0.01      0.24±0.01 
MY16     0.21±0.01   0.22±0.01      0.23±0.01 
ECA396   NA          0.54±0.01      0.54±0.01 


Table: Chlorfenapyr Estimates

Strain   Weibull     Log-Logistic   Lognormal 
-------  ----------  -------------  ----------
ECA248   0.49±0.02   0.49±0.02      0.49±0.02 
XZ1516   0.67±0.01   0.67±0.01      0.67±0.01 
ECA36    1.65±0.04   1.53±0.05      1.54±0.04 
CB4856   0.56±0.01   0.56±0.01      0.55±0.01 
PD1074   0.6±0.01    0.61±0.01      0.61±0.01 
RC301    0.49±0.01   0.48±0.01      0.48±0.01 
MY16     0.51±0.01   0.5±0.01       0.5±0.01  
ECA396   NA          0.75±0.02      0.76±0.02 


Table: Chlorfenapyr Estimates

Strain   Weibull     Log-Logistic   Lognormal 
-------  ----------  -------------  ----------
ECA248   0.92±0.06   1.22±0.11      1.18±0.11 
XZ1516   1.1±0.05    1.27±0.08      1.27±0.07 
ECA36    2.35±0.1    2.27±0.17      2.26±0.15 
CB4856   0.85±0.02   1.06±0.05      1.05±0.04 
PD1074   0.84±0.02   1.07±0.04      1.1±0.04  
RC301    0.81±0.02   1±0.05         0.96±0.04 
MY16     0.89±0.03   1.13±0.06      1.1±0.06  
ECA396   NA          1.04±0.06      1.06±0.05 


Table: Chlorothalonil Estimates

Strain   Weibull       Log-Logistic   Lognormal   
-------  ------------  -------------  ------------
CB4856   56.12±15.88   57.18±11.76    58.03±11.27 
ECA36    5.77±2.69     10.92±10.63    26.4±69.2   
ECA396   36.35±5.25    44.47±8.22     52.94±23.97 
XZ1516   43.81±8.96    48.18±7.94     49.29±8.24  


Table: Chlorothalonil Estimates

Strain   Weibull        Log-Logistic    Lognormal     
-------  -------------  --------------  --------------
CB4856   120.03±12.84   143.37±47.58    154.83±101.63 
ECA36    81.35±75.96    240.94±452.37   NA            
ECA396   121.84±23.79   174.49±69.55    NA            
XZ1516   112.35±14.12   134.26±39.1     144.69±70.86  


Table: Chlorothalonil Estimates

Strain   Weibull        Log-Logistic   Lognormal 
-------  -------------  -------------  ----------
CB4856   194.87±42.46   NA             NA        
XZ1516   204.75±47.75   NA             NA        


Table: Chlorpyrifos Estimates

Strain   Weibull       Log-Logistic   Lognormal   
-------  ------------  -------------  ------------
MY16     15.55±39.17   NA             NA          
XZ1516   2.72±0.14     3.2±0.18       3.53±0.37   
PD1074   2.71±4.57     8.49±13.73     NA          
ECA248   2.06±0.98     3.57±2.32      12.24±14.97 
CB4856   3.88±3.06     10.87±10.59    NA          
ECA396   3.79±6.17     10.36±20.26    NA          
ECA36    1.81±0.11     2.27±0.18      2.67±0.41   


Table: Chlorpyrifos Estimates

Strain   Weibull       Log-Logistic   Lognormal  
-------  ------------  -------------  -----------
XZ1516   8.19±0.61     10.39±1.32     13.29±3.38 
ECA248   17.87±12.12   NA             NA         
ECA36    7.39±0.76     10.32±1.69     14.8±4.74  


Table: Chlorpyrifos Estimates

Strain   Weibull      Log-Logistic   Lognormal 
-------  -----------  -------------  ----------
XZ1516   16.56±1.87   NA             NA        
ECA36    18.1±2.6     NA             NA        


Table: Copper(II) chloride Estimates

Strain   Weibull        Log-Logistic   Lognormal  
-------  -------------  -------------  -----------
PD1074   173.47±169.3   51.04±2.93     54.15±5.88 
ECA396   NA             52.9±3.01      53.22±2.88 
MY16     NA             50.75±2.98     59.68±4.3  


Table: Copper(II) chloride Estimates

Strain   Weibull   Log-Logistic   Lognormal    
-------  --------  -------------  -------------
ECA396   NA        112.25±9.11    118.79±15.9  
MY16     NA        108.46±8.44    96.73±4.04   
PD1074   NA        111.77±9.35    163.21±42.85 


Table: Copper(II) chloride Estimates

Strain   Weibull   Log-Logistic   Lognormal    
-------  --------  -------------  -------------
MY16     NA        NA             156.76±16.54 


Table: Deltamethrin Estimates

Strain   Weibull     Log-Logistic   Lognormal   
-------  ----------  -------------  ------------
PD1074   0.04±0.23   0.33±2.41      0.43±2.35   
CB4856   0.15±0.58   16.9±76.2      21.17±77.68 
ECA36    0±0         0±0            0±0         
MY16     0.21±0.46   0.49±2.62      0.91±4.32   
ECA396   0.18±0.67   26.52±85.9     1.36±3.48   
RC301    0.54±4.71   0.98±4.87      2.43±14.96  
XZ1516   0±0         NA             0±0         


Table: Deltamethrin Estimates

Strain   Weibull          Log-Logistic     Lognormal     
-------  ---------------  ---------------  --------------
ECA36    319.82±7642.14   38.64±432.2      22.07±288.54  
XZ1516   0±0              NA               24.67±2748.05 
PD1074   NA               306.46±2784.41   466.6±6933.93 
CB4856   NA               163.38±158.03    156.8±160.65  
ECA396   NA               181.73±145.01    NA            


Table: Deltamethrin Estimates

Strain   Weibull   Log-Logistic      Lognormal      
-------  --------  ----------------  ---------------
CB4856   NA        1579±4811.27      1161.27±2335.7 
ECA396   NA        1245.31±2455.33   NA             


Table: Lead(II) nitrate Estimates

Strain   Weibull         Log-Logistic   Lognormal 
-------  --------------  -------------  ----------
ECA36    233.52±141.68   556.99±619.9   NA        


Table: Malathion Estimates

Strain   Weibull       Log-Logistic   Lognormal   
-------  ------------  -------------  ------------
PD1074   23.38±5.57    32.16±5.74     34.37±5.75  
CB4856   37.47±12.69   51.06±12.04    52.8±11.44  
ECA36    52.21±23.96   74.08±24.82    82.72±26.64 
MY16     50.73±8.4     57.44±7.45     59.2±7.24   
ECA396   53.66±16.21   58.9±11.51     60.02±11.17 
RC301    26.79±7.52    33.87±7.53     36.44±7.55  
XZ1516   44.87±15.38   61.94±15.56    64.25±15    


Table: Malathion Estimates

Strain   Weibull         Log-Logistic    Lognormal     
-------  --------------  --------------  --------------
PD1074   154.38±10.86    157.82±12.24    154.06±11.59  
CB4856   175.75±20.78    171.94±20.27    169.99±19.63  
ECA36    826.08±749.85   673.98±575.97   762.07±748.28 
MY16     132.28±8.01     129.05±8.04     128.59±7.92   
ECA396   139.32±12.36    139.18±12.39    139.32±12.6   
RC301    111.73±8.82     111.5±8.85      110.06±8.54   
XZ1516   263.57±42.28    259.64±46.02    261.51±46.06  


Table: Malathion Estimates

Strain   Weibull         Log-Logistic     Lognormal     
-------  --------------  ---------------  --------------
PD1074   514.01±81.58    774.58±180.7     690.48±145.59 
CB4856   470.6±119.79    578.93±170.64    547.25±144.12 
MY16     243.66±28.53    289.95±44.88     279.33±41.09  
ECA396   255.9±63.76     328.87±82.9      323.39±79.35  
RC301    277.6±44.22     366.99±86.78     332.44±70.03  
XZ1516   814.57±288.25   1088.28±513.89   1064.4±475.3  


Table: Manganese dichloride Estimates

Strain   Weibull           Log-Logistic     Lognormal     
-------  ----------------  ---------------  --------------
PD1074   493.38±73.5       586.18±125.39    639.75±257.73 
MY16     1820.28±1973.15   NA               NA            
RC301    1141.28±129.55    1212.69±191.27   NA            


Table: Manganese dichloride Estimates

Strain   Weibull          Log-Logistic      Lognormal       
-------  ---------------  ----------------  ----------------
PD1074   1220.87±307.8    1655.46±1033.91   1906.81±2140.97 
RC301    1575.29±155.27   1871.07±792.42    NA              


Table: Manganese dichloride Estimates

Strain   Weibull         Log-Logistic   Lognormal 
-------  --------------  -------------  ----------
RC301    1934.45±391.2   NA             NA        


Table: Methomyl Estimates

Strain   Weibull      Log-Logistic   Lognormal  
-------  -----------  -------------  -----------
ECA396   9.84±0.65    11.14±0.66     11.23±0.66 
CB4856   9.52±0.76    10.68±0.77     10.81±0.76 
ECA36    7.37±0.55    8.63±0.56      8.8±0.56   
MY16     9±0.75       10.18±0.8      10.26±0.8  
XZ1516   5.68±0.47    6.64±0.48      6.71±0.47  
RC301    9.3±0.77     10.53±0.73     10.53±0.71 
PD1074   6.36±0.6     7.36±0.6       7.51±0.6   
ECA248   11.36±0.79   12.7±0.78      12.77±0.79 


Table: Methomyl Estimates

Strain   Weibull      Log-Logistic   Lognormal  
-------  -----------  -------------  -----------
ECA396   34.87±1.84   39.44±3.32     40.8±4.46  
CB4856   32.53±1.51   33.54±2.07     32.91±2.09 
ECA36    30.44±1.18   31.58±1.56     30.96±1.57 
MY16     28.98±1.33   28.96±1.66     28.3±1.61  
XZ1516   27.78±1.53   29.89±2.22     29.78±2.42 
RC301    33.24±1.81   36.71±2.83     37.62±3.53 
PD1074   26.35±1.83   29.04±2.83     29.15±3.24 
ECA248   39.06±1.59   40.21±2.03     39.87±2.12 


Table: Methomyl Estimates

Strain   Weibull      Log-Logistic   Lognormal    
-------  -----------  -------------  -------------
ECA396   78.11±6.67   139.62±23.51   148.17±31.72 
CB4856   71.16±5.49   105.36±14.51   100.13±13.94 
ECA36    75.12±5.42   115.61±13.69   108.87±12.94 
MY16     61.04±4.27   82.42±10.52    78.1±9.63    
XZ1516   76.39±7.1    134.48±21.6    132.25±22.74 
RC301    74.82±7.51   127.94±21.66   134.35±26.78 
PD1074   65.17±7.62   114.61±23.69   113.17±26.23 
ECA248   85.82±6.18   127.32±14.83   124.45±15.16 


Table: Methylmercury dichloride Estimates

Strain   Weibull     Log-Logistic   Lognormal 
-------  ----------  -------------  ----------
ECA396   1.05±0.12   1.31±0.13      1.35±0.13 
CB4856   0.68±0.08   0.91±0.1       0.96±0.1  
ECA36    0.79±0.13   1.1±0.18       1.23±0.22 
MY16     1.03±0.15   1.23±0.16      1.26±0.16 
XZ1516   0.74±0.13   1.04±0.17      1.14±0.21 
RC301    1.37±0.18   1.75±0.2       1.84±0.21 
PD1074   0.75±0.11   1.04±0.14      1.13±0.16 
ECA248   0.43±0.09   0.61±0.11      0.66±0.11 


Table: Methylmercury dichloride Estimates

Strain   Weibull      Log-Logistic   Lognormal   
-------  -----------  -------------  ------------
ECA396   8.69±0.85    10.59±1.5      10.53±1.71  
CB4856   6.92±0.61    7.66±0.88      7.5±0.9     
ECA36    15.07±3.2    21.54±7.13     25.33±11.29 
MY16     7.82±0.91    9.85±1.71      9.85±2.02   
XZ1516   11.83±2.33   18.22±5.86     22.18±10.44 
RC301    10.67±1.12   12.6±1.98      12.3±2.15   
PD1074   10.63±1.58   15.58±4.06     17.27±6.2   
ECA248   7.46±1.51    10.05±3.23     10.39±4.05  


Table: Methylmercury dichloride Estimates

Strain   Weibull       Log-Logistic    Lognormal     
-------  ------------  --------------  --------------
ECA396   33.31±5.19    85.89±23.96     81.91±25.72   
CB4856   30.2±4.65     64.78±16.36     58.97±15.12   
ECA36    98.83±30.79   NA              NA            
MY16     28.46±5.34    78.6±27.08      76.92±30.83   
XZ1516   68.94±21.27   NA              NA            
RC301    39.45±6.9     90.92±29.86     81.99±29.46   
PD1074   57.4±13.6     232.51±114.01   NA            
ECA248   45.92±14.94   165.72±102.87   162.97±119.71 


Table: Nickel dichloride Estimates

Strain   Weibull      Log-Logistic   Lognormal  
-------  -----------  -------------  -----------
ECA396   49.7±2.61    50.33±2.22     50.28±1.96 
CB4856   50.68±2.88   51.22±2.44     51.25±2.14 
ECA36    55.05±3      59.22±1.98     60.9±2.14  
MY16     44.68±2.65   47.86±2.13     48.35±1.95 
PD1074   63.57±3.9    65.07±3.39     63.88±2.57 


Table: Nickel dichloride Estimates

Strain   Weibull       Log-Logistic   Lognormal    
-------  ------------  -------------  -------------
ECA396   86.77±1.57    85.7±1.93      84.36±1.9    
CB4856   88.1±1.64     87.41±2.05     86.07±2.05   
ECA36    109.91±3.92   125.24±10.24   137.56±20.11 
MY16     97.46±2.88    108.47±6.75    112.38±10.43 
PD1074   106.19±1.94   111.39±4.78    115.71±7.37  


Table: Nickel dichloride Estimates

Strain   Weibull        Log-Logistic   Lognormal   
-------  -------------  -------------  ------------
ECA396   123.76±3.33    145.93±7.24    141.52±6.56 
CB4856   125.33±3.7     149.18±8.14    144.55±7.32 
ECA36    170.78±14.03   NA             NA          
MY16     160.2±10.06    NA             NA          
PD1074   147.27±8.23    190.66±24.01   NA          


Table: Paraquat Estimates

Strain   Weibull      Log-Logistic   Lognormal  
-------  -----------  -------------  -----------
MY16     42.55±3.71   40.32±2.97     39.4±2.61  
XZ1516   48.85±4.7    57.25±4.48     58.59±4.23 
CB4856   40.38±3.35   40.62±2.9      39.46±2.7  
RC301    15.69±1.75   22.62±1.85     22.84±1.66 
PD1074   29.52±2.8    30.58±2.27     29.76±2.09 
ECA248   29.11±3.68   28.73±2.32     28.45±2.28 
ECA36    56.24±4.19   46.32±3.49     45.9±3.55  
ECA396   15±1.59      21.65±1.64     21.82±1.5  


Table: Paraquat Estimates

Strain   Weibull        Log-Logistic   Lognormal    
-------  -------------  -------------  -------------
MY16     128.8±6.47     150.04±10.7    165.36±12.34 
XZ1516   314.23±28.05   290.36±31.96   302.27±32.74 
CB4856   127.35±6.29    138.36±8.69    149.29±10.9  
RC301    132.47±13.53   113.76±9.99    124.26±10.77 
PD1074   113.95±5.71    125.91±7.83    135.98±9.95  
ECA248   86.06±4.61     94.06±5.71     97.15±6.63   
ECA36    105.31±2.6     112.07±5.17    114.49±6.19  
ECA396   126±11.04      108.5±7.86     116.76±8.2   


Table: Paraquat Estimates

Strain   Weibull          Log-Logistic     Lognormal      
-------  ---------------  ---------------  ---------------
MY16     260.88±26.76     558.39±99.17     694.04±118.65  
XZ1516   1028.95±140.69   1472.55±311.42   1559.55±320.79 
CB4856   264.81±25.8      471.32±74.8      564.83±99.15   
RC301    515.82±96.76     572.24±118.93    676.16±128.82  
PD1074   269.52±29.21     518.5±83.42      621.42±110.72  
ECA248   171.73±23.93     307.92±49.24     331.75±57.85   
ECA36    157.05±6.09      271.17±37.15     285.56±44.67   
ECA396   489.11±80.73     543.61±93.74     624.93±97.74   


Table: Propoxur Estimates

Strain   Weibull        Log-Logistic   Lognormal    
-------  -------------  -------------  -------------
PD1074   102.71±17.64   128.4±18.79    135.24±17.89 
CB4856   204.62±27.23   227.04±26.01   229.08±24.5  
ECA36    147±24.67      172.88±24.52   174.54±23.12 
MY16     129.82±15.09   146.53±15.24   148.41±14.36 
ECA396   97.45±18.41    121.89±18.14   126.27±17.17 
RC301    85.92±11.72    103.31±11.88   108.98±11.35 
XZ1516   156.32±21.94   182.46±20.94   185.29±19.86 


Table: Propoxur Estimates

Strain   Weibull        Log-Logistic   Lognormal    
-------  -------------  -------------  -------------
PD1074   462.46±37.45   445.04±41.43   432.96±37.42 
CB4856   494.38±28.99   472.34±29.93   468.21±28.86 
ECA36    454.63±31.42   438.07±32.39   431.67±31.38 
MY16     367.86±17.6    359.19±19.56   352.43±18.96 
ECA396   353.17±31.85   336.68±31.64   334.18±29.93 
RC301    367.75±22.54   361.68±25.85   352.48±23.76 
XZ1516   407.88±25.76   388.23±25.26   386.84±24.42 


Table: Propoxur Estimates

Strain   Weibull          Log-Logistic     Lognormal      
-------  ---------------  ---------------  ---------------
PD1074   1206.49±150.61   1542.49±324.65   1386.09±248.18 
CB4856   867.38±76.98     982.68±122.49    956.97±109.58  
ECA36    933.57±107.49    1110.02±175.15   1067.6±151.52  
MY16     714.39±54.4      880.49±102.47    836.9±89.71    
ECA396   802.36±124.64    929.94±196.43    884.42±164.17  
RC301    928.94±98.21     1266.21±212.74   1140.01±168.61 
XZ1516   751.59±75.68     826.03±110       807.61±97.65   


Table: Pyraclostrobin Estimates

Strain   Weibull      Log-Logistic   Lognormal  
-------  -----------  -------------  -----------
ECA396   5.42±0.39    6.91±0.42      7.13±0.43  
CB4856   8.51±1.14    10.83±1.28     11.03±1.28 
ECA36    11.85±0.96   14.98±0.96     15.33±0.94 
MY16     7.84±0.77    10.29±0.88     10.69±0.89 
XZ1516   9.5±1.03     12.27±1.17     12.67±1.17 
RC301    16.55±2.36   20.19±2.38     20.34±2.33 
PD1074   9.97±0.87    12.6±0.95      13.04±0.95 
ECA248   8.5±1.18     11.21±1.37     11.79±1.41 


Table: Pyraclostrobin Estimates

Strain   Weibull       Log-Logistic   Lognormal   
-------  ------------  -------------  ------------
ECA396   44.72±2.22    49.64±3.35     49.37±3.71  
CB4856   68.08±4.73    72.35±6.29     70.32±6.35  
ECA36    81.45±3.51    81.7±3.8       80.38±3.72  
MY16     81.2±4.85     91.25±7.69     89.48±8.27  
XZ1516   102.61±6.99   119.74±12.74   117.61±14.3 
RC301    84.31±6.05    82.94±6.28     82.36±6.2   
PD1074   81.06±4.14    85.87±5.79     83.61±5.83  
ECA248   77.68±5.47    81.55±7.5      78.53±7.29  


Table: Pyraclostrobin Estimates

Strain   Weibull        Log-Logistic     Lognormal      
-------  -------------  ---------------  ---------------
ECA396   171.64±14.83   356.9±52.78      341.77±54.86   
CB4856   256.12±32.58   483.31±101.09    448.15±93.9    
ECA36    278.2±22.11    445.58±49.48     421.41±44.95   
MY16     360.29±38.64   808.99±156.16    749.32±154.16  
XZ1516   467.63±53.98   1168.56±271.13   1091.33±282.29 
RC301    237.91±32.53   340.75±62.22     333.47±58.11   
PD1074   308.22±27.54   585.1±90.15      536.2±83.35    
ECA248   318.24±40.43   593.43±132.1     523±114.84     


Table: Silver nitrate Estimates

Strain   Weibull      Log-Logistic   Lognormal   
-------  -----------  -------------  ------------
MY16     1.9±0.36     2.56±0.43      2.92±0.6    
XZ1516   10.19±1.5    14.17±2.6      18.81±6.5   
PD1074   9.19±3.85    13.63±6.26     21.54±16.31 
ECA36    7.99±2.19    13.02±4.63     22.86±19.51 
ECA396   15.49±4.61   24.6±9.65      34.09±17.11 
RC301    8.82±4.57    16.29±10.34    42.07±47.6  
ECA248   5.21±0.89    7.75±1.63      10.84±4.12  
CB4856   13.38±7.22   24.63±16.23    82.1±109.58 


Table: Silver nitrate Estimates

Strain   Weibull         Log-Logistic   Lognormal  
-------  --------------  -------------  -----------
MY16     34.56±10.76     41±16.16       53.28±28.8 
XZ1516   97.71±23.41     158.17±54.42   NA         
PD1074   155.84±94.96    NA             NA         
ECA36    128.52±56.02    NA             NA         
ECA396   154.96±68.22    NA             NA         
RC301    189.39±138.95   NA             NA         
ECA248   82.11±24.12     142.61±59.43   NA         
CB4856   217.98±159.86   NA             NA         


Table: Silver nitrate Estimates

Strain   Weibull        Log-Logistic   Lognormal 
-------  -------------  -------------  ----------
MY16     219.44±99.15   NA             NA        


Table: Triphenyl phosphate Estimates

Strain   Weibull     Log-Logistic   Lognormal 
-------  ----------  -------------  ----------
ECA396   1.74±0.14   2.22±0.16      2.3±0.16  
CB4856   2.39±0.24   2.98±0.27      3.12±0.29 
ECA36    2.54±0.31   3.17±0.35      3.29±0.37 
MY16     0.49±0.07   0.71±0.08      0.77±0.08 
XZ1516   4.11±0.63   4.9±0.68       5.09±0.7  
RC301    1.1±0.18    1.49±0.21      1.57±0.22 
PD1074   3.86±0.35   4.47±0.37      4.58±0.36 
ECA248   1.56±0.16   2.02±0.18      2.1±0.18  


Table: Triphenyl phosphate Estimates

Strain   Weibull      Log-Logistic   Lognormal  
-------  -----------  -------------  -----------
ECA396   17.38±0.98   21.94±2.1      22.37±2.72 
CB4856   19.96±1.12   23.47±2.25     22.57±2.47 
ECA36    20.15±1.26   23.67±2.51     23.13±2.87 
MY16     11.81±1.18   17.73±3.3      18.67±4.53 
XZ1516   21.57±1.62   22.83±2.35     22.05±2.3  
RC301    15.76±1.67   21.97±4.53     23.04±6.53 
PD1074   19.98±0.91   20.89±1.29     20.17±1.27 
ECA248   17.13±1.13   21.42±2.4      21.79±3.08 


Table: Triphenyl phosphate Estimates

Strain   Weibull       Log-Logistic   Lognormal    
-------  ------------  -------------  -------------
ECA396   75.36±7.25    NA             NA           
CB4856   77.07±7.48    184.97±40.27   163.42±40.1  
ECA36    75.37±8.99    176.65±45.46   162.36±47.94 
MY16     89.87±15.5    NA             NA           
XZ1516   62.06±8.37    106.33±26.68   95.58±24.03  
RC301    85.87±16.45   NA             NA           
PD1074   56.97±4.53    97.55±14.14    88.93±12.82  
ECA248   79±9.24       NA             NA           


Table: 2,4-D Estimates

Strain   Weibull         Log-Logistic    Lognormal 
-------  --------------  --------------  ----------
MY16     813.53±414.55   906.75±493.35   NA        


Table: Zinc dichloride Estimates

Strain   Weibull       Log-Logistic   Lognormal   
-------  ------------  -------------  ------------
MY16     51.08±2.82    64.58±5.12     83.07±19.79 
XZ1516   52.16±3.55    64.9±5.84      77.48±16.39 
PD1074   77.82±16.89   120.54±36.25   NA          
ECA36    80.79±25.96   121.61±50.47   NA          
ECA396   35.12±1.72    41.24±1.71     43.03±1.98  
RC301    49.1±3.08     59.8±4.33      69.49±11.07 
ECA248   51.52±3.26    62.76±4.68     72.95±12.87 
CB4856   59.86±18.14   104.2±46.83    NA          


Table: Zinc dichloride Estimates

Strain   Weibull         Log-Logistic   Lognormal     
-------  --------------  -------------  --------------
MY16     197.78±19.81    289.39±53.79   NA            
XZ1516   199.17±23.09    278.8±57.38    NA            
PD1074   370.82±116.33   NA             NA            
ECA36    391.12±177.37   NA             NA            
ECA396   137.47±5.6      170.3±13.87    193.37±26.96  
RC301    183.65±16.31    250.99±40.75   371.7±135.69  
ECA248   186.36±17.6     254.84±45.6    368.98±155.29 
CB4856   364.74±162.68   NA             NA            


Table: Zinc dichloride Estimates

Strain   Weibull        Log-Logistic   Lognormal 
-------  -------------  -------------  ----------
ECA396   328.05±23.34   NA             NA        
[[1]]
NULL

[[2]]
NULL

[[3]]
NULL

[[4]]
NULL

[[5]]
NULL

[[6]]
NULL

[[7]]
NULL

[[8]]
NULL

[[9]]
NULL

[[10]]
NULL

[[11]]
NULL

[[12]]
NULL

[[13]]
NULL

[[14]]
NULL

[[15]]
NULL

[[16]]
NULL

[[17]]
NULL

[[18]]
NULL

[[19]]
NULL

[[20]]
NULL

[[21]]
NULL

[[22]]
NULL

[[23]]
NULL

[[24]]
NULL

[[25]]
NULL

[[26]]
NULL

[[27]]
NULL

[[28]]
NULL

[[29]]
NULL

[[30]]
NULL

[[31]]
NULL

[[32]]
NULL

[[33]]
NULL

[[34]]
NULL

[[35]]
NULL

[[36]]
NULL

[[37]]
NULL

[[38]]
NULL

[[39]]
NULL

[[40]]
NULL

[[41]]
NULL

[[42]]
NULL

[[43]]
NULL

[[44]]
NULL

[[45]]
NULL

[[46]]
NULL

[[47]]
NULL

[[48]]
NULL

[[49]]
NULL

[[50]]
NULL

[[51]]
NULL

[[52]]
NULL

[[53]]
NULL

[[54]]
NULL

[[55]]
NULL

[[56]]
NULL

[[57]]
NULL

[[58]]
NULL

[[59]]
NULL

[[60]]
NULL

[[61]]
NULL

[[62]]
NULL

[[63]]
NULL

[[64]]
NULL

[[65]]
NULL

sessionInfo()
R version 4.0.4 (2021-02-15)
Platform: x86_64-apple-darwin17.0 (64-bit)
Running under: macOS Catalina 10.15.7

Matrix products: default
BLAS:   /Library/Frameworks/R.framework/Versions/4.0/Resources/lib/libRblas.dylib
LAPACK: /Library/Frameworks/R.framework/Versions/4.0/Resources/lib/libRlapack.dylib

locale:
[1] en_US.UTF-8/en_US.UTF-8/en_US.UTF-8/C/en_US.UTF-8/en_US.UTF-8

attached base packages:
[1] stats     graphics  grDevices utils     datasets  methods   base     

other attached packages:
 [1] RColorBrewer_1.1-2 RCurl_1.98-1.2     ddpcr_1.15         kableExtra_1.3.4  
 [5] knitr_1.31         drc_3.0-1          MASS_7.3-53        easyXpress_0.1.0  
 [9] forcats_0.5.1      stringr_1.4.0      dplyr_1.0.4        purrr_0.3.4       
[13] readr_1.4.0        tidyr_1.1.2        tibble_3.1.0       ggplot2_3.3.3     
[17] tidyverse_1.3.0    workflowr_1.6.2   

loaded via a namespace (and not attached):
  [1] TH.data_1.0-10        colorspace_2.0-0      ellipsis_0.3.1       
  [4] rio_0.5.16            rprojroot_2.0.2       fs_1.5.0             
  [7] rstudioapi_0.13       farver_2.0.3          fansi_0.4.2          
 [10] mvtnorm_1.1-1         lubridate_1.7.9.2     xml2_1.3.2           
 [13] codetools_0.2-18      splines_4.0.4         readbitmap_0.1.5     
 [16] jsonlite_1.7.2        broom_0.7.5           dbplyr_2.1.0         
 [19] png_0.1-7             compiler_4.0.4        httr_1.4.2           
 [22] backports_1.2.1       assertthat_0.2.1      bmp_0.3              
 [25] Matrix_1.3-2          cli_2.3.1             later_1.1.0.1        
 [28] htmltools_0.5.1.1     tools_4.0.4           igraph_1.2.6         
 [31] gtable_0.3.0          glue_1.4.2            rebus.base_0.0-3     
 [34] Rcpp_1.0.6            carData_3.0-4         cellranger_1.1.0     
 [37] jquerylib_0.1.3       vctrs_0.3.6           svglite_2.0.0        
 [40] xfun_0.21             rebus.datetimes_0.0-1 openxlsx_4.2.3       
 [43] rvest_0.3.6           lifecycle_1.0.0       rebus.numbers_0.0-1  
 [46] gtools_3.8.2          zoo_1.8-8             scales_1.1.1         
 [49] hms_1.0.0             promises_1.2.0.1      sandwich_3.0-0       
 [52] yaml_2.2.1            curl_4.3              sass_0.3.1           
 [55] stringi_1.5.3         imager_0.42.7         highr_0.8            
 [58] plotrix_3.8-1         tiff_0.1-6            zip_2.1.1            
 [61] bitops_1.0-6          rlang_0.4.10          pkgconfig_2.0.3      
 [64] systemfonts_1.0.1     evaluate_0.14         lattice_0.20-41      
 [67] labeling_0.4.2        cowplot_1.1.1         tidyselect_1.1.0     
 [70] magrittr_2.0.1        R6_2.5.0              generics_0.1.0       
 [73] multcomp_1.4-16       DBI_1.1.1             pillar_1.5.0         
 [76] haven_2.3.1           whisker_0.4           foreign_0.8-81       
 [79] withr_2.4.1           rebus_0.1-3           survival_3.2-7       
 [82] abind_1.4-5           rebus.unicode_0.0-2   modelr_0.1.8         
 [85] crayon_1.4.1          car_3.0-10            utf8_1.1.4           
 [88] rmarkdown_2.7         jpeg_0.1-8.1          grid_4.0.4           
 [91] readxl_1.3.1          data.table_1.14.0     git2r_0.28.0         
 [94] reprex_1.0.0          digest_0.6.27         webshot_0.5.2        
 [97] httpuv_1.5.5          munsell_0.5.0         viridisLite_0.3.0    
[100] bslib_0.2.4