Last updated: 2022-08-29
Checks: 7 0
Knit directory: bgc_argo_r_argodata/
This reproducible R Markdown analysis was created with workflowr (version 1.7.0). The Checks tab describes the reproducibility checks that were applied when the results were created. The Past versions tab lists the development history.
Great! Since the R Markdown file has been committed to the Git repository, you know the exact version of the code that produced these results.
Great job! The global environment was empty. Objects defined in the global environment can affect the analysis in your R Markdown file in unknown ways. For reproduciblity it’s best to always run the code in an empty environment.
The command set.seed(20211008) was run prior to running the code in the R Markdown file. Setting a seed ensures that any results that rely on randomness, e.g. subsampling or permutations, are reproducible.
Great job! Recording the operating system, R version, and package versions is critical for reproducibility.
Nice! There were no cached chunks for this analysis, so you can be confident that you successfully produced the results during this run.
Great job! Using relative paths to the files within your workflowr project makes it easier to run your code on other machines.
Great! You are using Git for version control. Tracking code development and connecting the code version to the results is critical for reproducibility.
The results in this page were generated with repository version 8e81570. See the Past versions tab to see a history of the changes made to the R Markdown and HTML files.
Note that you need to be careful to ensure that all relevant files for the analysis have been committed to Git prior to generating the results (you can use wflow_publish or wflow_git_commit). workflowr only checks the R Markdown file, but you know if there are other scripts or data files that it depends on. Below is the status of the Git repository when the results were generated:
Ignored files:
Ignored: .RData
Ignored: .Rhistory
Ignored: .Rproj.user/
Ignored: output/
Untracked files:
Untracked: code/OceanSODA_argo_extremes.R
Untracked: code/creating_dataframe.R
Untracked: code/creating_map.R
Untracked: code/merging_oceanSODA_Argo.R
Untracked: code/pH_data_timeseries.R
Unstaged changes:
Modified: analysis/_site.yml
Modified: code/Workflowr_project_managment.R
Note that any generated files, e.g. HTML, png, CSS, etc., are not included in this status report because it is ok for generated content to have uncommitted changes.
These are the previous versions of the repository in which changes were made to the R Markdown (analysis/extreme_pH.Rmd) and HTML (docs/extreme_pH.html) files. If you’ve configured a remote Git repository (see ?wflow_git_remote), click on the hyperlinks in the table below to view the files as they were in that past version.
| File | Version | Author | Date | Message |
|---|---|---|---|---|
| html | bdd516d | pasqualina-vonlanthendinenna | 2022-05-23 | Build site. |
| Rmd | b41e65f | pasqualina-vonlanthendinenna | 2022-05-23 | recreate data in bgc_argo_preprocessed_data |
| html | ae0f995 | jens-daniel-mueller | 2022-05-12 | Build site. |
| Rmd | 018f4b4 | jens-daniel-mueller | 2022-05-12 | scaled DIC to 2019 (rather than 2015) |
| html | 71e58d6 | jens-daniel-mueller | 2022-05-12 | Build site. |
| Rmd | 1bdcd6e | jens-daniel-mueller | 2022-05-12 | revised color scale for argo location map |
| html | 4173c20 | jens-daniel-mueller | 2022-05-12 | Build site. |
| Rmd | 78acca9 | jens-daniel-mueller | 2022-05-12 | run with DIC clim scaled to 2016 |
| html | dfe89d7 | jens-daniel-mueller | 2022-05-12 | Build site. |
| html | 710edd4 | jens-daniel-mueller | 2022-05-11 | Build site. |
| Rmd | 2f20a76 | jens-daniel-mueller | 2022-05-11 | rebuild all after subsetting AB profiles and code cleaning |
| html | b917bd0 | jens-daniel-mueller | 2022-05-11 | Build site. |
| Rmd | 86144c6 | jens-daniel-mueller | 2022-05-11 | rerun with flag A and B subset |
| html | ca30beb | pasqualina-vonlanthendinenna | 2022-05-05 | Build site. |
| Rmd | bb146f4 | pasqualina-vonlanthendinenna | 2022-05-05 | updated map colors and plotting |
| html | 4cf88e4 | pasqualina-vonlanthendinenna | 2022-05-05 | Build site. |
| Rmd | 3bde57b | pasqualina-vonlanthendinenna | 2022-05-05 | added argo profile locations |
| html | f46b9da | pasqualina-vonlanthendinenna | 2022-05-05 | Build site. |
| Rmd | ebcc576 | pasqualina-vonlanthendinenna | 2022-05-05 | added argo profile locations |
| html | 708f923 | pasqualina-vonlanthendinenna | 2022-05-04 | Build site. |
| Rmd | d569024 | pasqualina-vonlanthendinenna | 2022-05-04 | added number of profiles to plot |
| html | b923426 | pasqualina-vonlanthendinenna | 2022-05-03 | Build site. |
| Rmd | ab0c45f | pasqualina-vonlanthendinenna | 2022-05-03 | corrected pH profile depth axis |
| html | 4e3571d | pasqualina-vonlanthendinenna | 2022-05-03 | Build site. |
| Rmd | a0139c2 | pasqualina-vonlanthendinenna | 2022-05-03 | updated figure aspect for pH profiles |
| html | a107add | pasqualina-vonlanthendinenna | 2022-05-03 | Build site. |
| Rmd | 6c57ac4 | pasqualina-vonlanthendinenna | 2022-05-03 | added pH anomaly profiles |
| html | 6a6e874 | pasqualina-vonlanthendinenna | 2022-04-29 | Build site. |
| html | 2d44f8a | pasqualina-vonlanthendinenna | 2022-04-29 | Build site. |
| Rmd | 8b582f0 | pasqualina-vonlanthendinenna | 2022-04-29 | added broullon climatology page, argo locations |
| html | e61c08e | pasqualina-vonlanthendinenna | 2022-04-27 | Build site. |
| Rmd | 9664e0e | pasqualina-vonlanthendinenna | 2022-04-27 | added temp data page, changed double extremes |
| html | 10036ed | pasqualina-vonlanthendinenna | 2022-04-26 | Build site. |
| html | c03dd24 | pasqualina-vonlanthendinenna | 2022-04-20 | Build site. |
| html | 8805f99 | pasqualina-vonlanthendinenna | 2022-04-11 | Build site. |
| Rmd | d21c526 | pasqualina-vonlanthendinenna | 2022-04-11 | cleaned up code |
| Rmd | f3ca885 | pasqualina-vonlanthendinenna | 2022-04-07 | added OceanSODA-Argo SST comparison |
| html | 9875dd0 | pasqualina-vonlanthendinenna | 2022-04-05 | Build site. |
| Rmd | 72a65a7 | pasqualina-vonlanthendinenna | 2022-04-05 | added new biomes to extreme pH |
| html | eb8e3be | pasqualina-vonlanthendinenna | 2022-03-31 | Build site. |
| Rmd | c4d4031 | pasqualina-vonlanthendinenna | 2022-03-31 | extended OceanSODA to 1995 for extreme detection |
| html | a2271df | pasqualina-vonlanthendinenna | 2022-03-30 | Build site. |
| Rmd | 25d5eed | pasqualina-vonlanthendinenna | 2022-03-30 | updated figure aspects |
| html | 968ad85 | pasqualina-vonlanthendinenna | 2022-03-29 | Build site. |
| Rmd | 5432acf | pasqualina-vonlanthendinenna | 2022-03-29 | added january pH climatology |
| html | dfd75e9 | pasqualina-vonlanthendinenna | 2022-03-29 | Build site. |
| Rmd | b9a42f9 | pasqualina-vonlanthendinenna | 2022-03-29 | added january plots and changed pH anomaly detection to mean |
| html | 6dd0945 | pasqualina-vonlanthendinenna | 2022-03-25 | Build site. |
| Rmd | 5b93849 | pasqualina-vonlanthendinenna | 2022-03-25 | added climatology pages |
| html | e12a216 | pasqualina-vonlanthendinenna | 2022-03-15 | Build site. |
| Rmd | e4d1d1e | pasqualina-vonlanthendinenna | 2022-03-15 | updated to new only flag A data |
| html | c8451b9 | pasqualina-vonlanthendinenna | 2022-03-14 | Build site. |
| html | 1ffe07f | pasqualina-vonlanthendinenna | 2022-03-11 | Build site. |
| Rmd | f0fde29 | pasqualina-vonlanthendinenna | 2022-03-11 | changed anomaly detection to 1x1 grid with old data |
| html | 520dafe | pasqualina-vonlanthendinenna | 2022-03-08 | Build site. |
| Rmd | b1bb0ec | pasqualina-vonlanthendinenna | 2022-03-08 | subsetted profiles with flag A only for extremes |
| html | 7540ae4 | pasqualina-vonlanthendinenna | 2022-03-08 | Build site. |
| Rmd | 18dff1b | pasqualina-vonlanthendinenna | 2022-03-08 | subsetted profiles with flag A only for extremes |
| html | 33238fe | pasqualina-vonlanthendinenna | 2022-03-02 | Build site. |
| Rmd | 17af9b5 | pasqualina-vonlanthendinenna | 2022-03-02 | added January 2018 profile |
| html | 97a098b | pasqualina-vonlanthendinenna | 2022-03-02 | Build site. |
| Rmd | 5a073cb | pasqualina-vonlanthendinenna | 2022-03-02 | removed facet wrap |
| html | 9d97f25 | pasqualina-vonlanthendinenna | 2022-03-02 | Build site. |
| Rmd | 9ccabc6 | pasqualina-vonlanthendinenna | 2022-03-02 | removed facet wrap |
| html | e4188d2 | pasqualina-vonlanthendinenna | 2022-03-01 | Build site. |
| Rmd | 6ca535c | pasqualina-vonlanthendinenna | 2022-03-01 | updated profiles |
| html | da665ab | pasqualina-vonlanthendinenna | 2022-03-01 | Build site. |
| Rmd | 57ada58 | pasqualina-vonlanthendinenna | 2022-03-01 | updated figure aspects |
| html | 5ef4df2 | pasqualina-vonlanthendinenna | 2022-03-01 | Build site. |
| Rmd | 8ef1277 | pasqualina-vonlanthendinenna | 2022-03-01 | plotted Atlantic mean seasonal profiles |
| html | 8ef1277 | pasqualina-vonlanthendinenna | 2022-03-01 | plotted Atlantic mean seasonal profiles |
| Rmd | 73463cc | pasqualina-vonlanthendinenna | 2022-03-01 | changed line thickness for H and L raw profiles |
| html | c4362e5 | pasqualina-vonlanthendinenna | 2022-02-28 | Build site. |
| Rmd | 5b0901d | pasqualina-vonlanthendinenna | 2022-02-28 | corrected dates and titles |
| html | ab29b31 | pasqualina-vonlanthendinenna | 2022-02-28 | Build site. |
| Rmd | 6e27fb1 | pasqualina-vonlanthendinenna | 2022-02-28 | update with eval = false for single profile line thickness |
| html | d299359 | pasqualina-vonlanthendinenna | 2022-02-28 | Build site. |
| Rmd | aad1df4 | pasqualina-vonlanthendinenna | 2022-02-28 | plotted specific profiles |
| html | 21582c5 | pasqualina-vonlanthendinenna | 2022-02-25 | Build site. |
| Rmd | fe0b970 | pasqualina-vonlanthendinenna | 2022-02-25 | plotted line profiles and changed HNL colors |
| html | fd521d1 | pasqualina-vonlanthendinenna | 2022-02-25 | Build site. |
| Rmd | 64c2c71 | pasqualina-vonlanthendinenna | 2022-02-25 | plotted line profiles and changed HNL colors |
| html | daa0a8f | pasqualina-vonlanthendinenna | 2022-02-24 | Build site. |
| Rmd | 4557a6e | pasqualina-vonlanthendinenna | 2022-02-24 | added st dev for pH profiles |
| html | 08c8d4b | pasqualina-vonlanthendinenna | 2022-02-23 | Build site. |
| Rmd | 7517b78 | pasqualina-vonlanthendinenna | 2022-02-23 | updated regression and merging for extreme_pH |
| html | 71ced5f | pasqualina-vonlanthendinenna | 2022-02-23 | Build site. |
| Rmd | 48803ef | pasqualina-vonlanthendinenna | 2022-02-23 | updated regression and merging for extreme_pH |
| html | 905d82f | pasqualina-vonlanthendinenna | 2022-02-15 | Build site. |
| html | 54ea512 | pasqualina-vonlanthendinenna | 2022-02-10 | Build site. |
| html | f2fa56a | pasqualina-vonlanthendinenna | 2022-02-10 | Build site. |
| Rmd | eda8ca8 | pasqualina-vonlanthendinenna | 2022-02-10 | code review |
| html | 25c9e6b | pasqualina-vonlanthendinenna | 2022-02-03 | Build site. |
| Rmd | ecf2f74 | pasqualina-vonlanthendinenna | 2022-02-03 | corrected surface mean pH |
| html | 2d1bdae | pasqualina-vonlanthendinenna | 2022-02-03 | Build site. |
| Rmd | dcc269c | pasqualina-vonlanthendinenna | 2022-02-03 | changed figure aspect |
| html | 71958c4 | pasqualina-vonlanthendinenna | 2022-02-03 | Build site. |
| Rmd | 3f38f15 | pasqualina-vonlanthendinenna | 2022-02-03 | corrected mean argo surface pH |
| html | d7debab | pasqualina-vonlanthendinenna | 2022-02-02 | Build site. |
| Rmd | a73c7cf | pasqualina-vonlanthendinenna | 2022-02-02 | changed to log scale and mean surface argo ph |
| html | d14b7f1 | pasqualina-vonlanthendinenna | 2022-02-02 | Build site. |
| Rmd | bb15149 | pasqualina-vonlanthendinenna | 2022-02-02 | changed map figure aspect |
| html | 31e4d42 | pasqualina-vonlanthendinenna | 2022-02-02 | Build site. |
| Rmd | 09ab7e9 | pasqualina-vonlanthendinenna | 2022-02-02 | changed map figure aspect |
| html | 7376be6 | pasqualina-vonlanthendinenna | 2022-02-02 | Build site. |
| Rmd | ce1bbab | pasqualina-vonlanthendinenna | 2022-02-02 | updated bar charts and argo vs oceansoda ph |
| html | de183c6 | pasqualina-vonlanthendinenna | 2022-02-01 | Build site. |
| Rmd | db007b5 | pasqualina-vonlanthendinenna | 2022-02-01 | updated figure aspect |
| html | 44a2ec3 | pasqualina-vonlanthendinenna | 2022-02-01 | Build site. |
| Rmd | f62e851 | pasqualina-vonlanthendinenna | 2022-02-01 | added flat maps, bar charts and OceanSODA vs argo pH |
| html | 44fcfb6 | pasqualina-vonlanthendinenna | 2022-02-01 | Build site. |
| Rmd | b45a03e | pasqualina-vonlanthendinenna | 2022-02-01 | added sigma maps and log transform depth |
| html | 28c8d17 | jens-daniel-mueller | 2022-01-29 | Build site. |
| Rmd | c0c12d0 | jens-daniel-mueller | 2022-01-28 | code cleaning: basinmask and regression |
| html | cfd734c | jens-daniel-mueller | 2022-01-28 | Build site. |
| Rmd | 5024768 | jens-daniel-mueller | 2022-01-28 | code review: basinmask and regression |
| html | 5635ef2 | pasqualina-vonlanthendinenna | 2022-01-27 | Build site. |
| Rmd | 23dc282 | pasqualina-vonlanthendinenna | 2022-01-27 | failed attempt at updating basinmask and regression |
| html | c44ff0f | pasqualina-vonlanthendinenna | 2022-01-25 | Build site. |
| Rmd | 3851824 | pasqualina-vonlanthendinenna | 2022-01-25 | added basin-mean profiles |
| html | 962cdb9 | pasqualina-vonlanthendinenna | 2022-01-25 | Build site. |
| Rmd | 825a50a | pasqualina-vonlanthendinenna | 2022-01-25 | added seasonal and biome profiles |
| html | 3ae43e4 | pasqualina-vonlanthendinenna | 2022-01-24 | Build site. |
| Rmd | 3f8e824 | pasqualina-vonlanthendinenna | 2022-01-24 | updated 24/01 |
| html | 6b22341 | pasqualina-vonlanthendinenna | 2022-01-21 | Build site. |
| Rmd | e72d7ca | pasqualina-vonlanthendinenna | 2022-01-21 | updated linear regression to monthly |
| html | 587755e | pasqualina-vonlanthendinenna | 2022-01-21 | Build site. |
| Rmd | 7a9209b | pasqualina-vonlanthendinenna | 2022-01-21 | updated threshold calculation 2 |
| html | c96ad5e | pasqualina-vonlanthendinenna | 2022-01-21 | Build site. |
| Rmd | 58b3b3b | pasqualina-vonlanthendinenna | 2022-01-21 | updated threshold calculation |
| html | ed3fef2 | jens-daniel-mueller | 2022-01-07 | Build site. |
| Rmd | 3d2f8fc | jens-daniel-mueller | 2022-01-07 | code review |
| html | 486c9c8 | jens-daniel-mueller | 2022-01-07 | Build site. |
| Rmd | e9ad067 | jens-daniel-mueller | 2022-01-07 | code review |
| html | 343689f | pasqualina-vonlanthendinenna | 2022-01-06 | Build site. |
| Rmd | f53cc2d | pasqualina-vonlanthendinenna | 2022-01-06 | updated profile page |
| html | b8a6482 | pasqualina-vonlanthendinenna | 2022-01-03 | Build site. |
| Rmd | 054f8a6 | pasqualina-vonlanthendinenna | 2022-01-03 | added Argo profiles |
Compare depth profiles of normal pH and of extreme pH, as identified in the surface OceanSODA pH data product
theme_set(theme_bw())
HNL_colors <- c("H" = "#b2182b",
"N" = "#636363",
"L" = "#2166ac")
HNL_colors_map <- c('H' = 'red3',
'N' = 'transparent',
'L' = 'blue3')
path_argo <- '/nfs/kryo/work/updata/bgc_argo_r_argodata'
path_argo_preprocessed <- paste0(path_argo, "/preprocessed_bgc_data")
path_emlr_utilities <- "/nfs/kryo/work/jenmueller/emlr_cant/utilities/files/"
# RECCAP2-ocean region mask
# region_masks_all_2x2 <- read_rds(file = paste0(path_argo_preprocessed,
# "/region_masks_all_2x2.rds"))
#
# region_masks_all_2x2 <- region_masks_all_2x2 %>%
# rename(biome = value) %>%
# mutate(coast = as.character(coast))
# load in new Mayot biomes
nm_biomes <- read_rds(file = paste0(path_argo_preprocessed, "/nm_biomes.rds"))
# WOA 18 basin mask
basinmask <-
read_csv(
paste(path_emlr_utilities,
"basin_mask_WOA18.csv",
sep = ""),
col_types = cols("MLR_basins" = col_character())
)
basinmask <- basinmask %>%
filter(MLR_basins == unique(basinmask$MLR_basins)[1]) %>%
select(-c(MLR_basins, basin))
# OceanSODA
OceanSODA <- read_rds(file = paste0(path_argo_preprocessed, "/OceanSODA.rds"))
OceanSODA <- OceanSODA %>%
mutate(year = year(date),
month = month(date))
# argo pH data (flag A only)
full_argo <-
read_rds(file = paste0(path_argo_preprocessed, "/bgc_merge_flag_AB.rds")) %>%
select(-c(temp_adjusted:temp_adjusted_error,
profile_temp_qc))
# change the date format for compatibility with OceanSODA pH data
full_argo <- full_argo %>%
mutate(year = year(date),
month = month(date)) %>%
mutate(date = ymd(format(date, "%Y-%m-15")))
map <-
read_rds(paste(path_emlr_utilities,
"map_landmask_WOA18.rds",
sep = ""))
map +
geom_tile(data = nm_biomes,
aes(x = lon,
y = lat,
fill = biome_name))+
lims(y = c(-85, -30))+
scale_fill_brewer(palette = 'Dark2')+
labs(title = 'Mayot biomes pre-grid reduction')

| Version | Author | Date |
|---|---|---|
| 9875dd0 | pasqualina-vonlanthendinenna | 2022-04-05 |
| dfd75e9 | pasqualina-vonlanthendinenna | 2022-03-29 |
| 1ffe07f | pasqualina-vonlanthendinenna | 2022-03-11 |
| d14b7f1 | pasqualina-vonlanthendinenna | 2022-02-02 |
| 7376be6 | pasqualina-vonlanthendinenna | 2022-02-02 |
| 44a2ec3 | pasqualina-vonlanthendinenna | 2022-02-01 |
nm_biomes_2x2 <- nm_biomes %>%
mutate(lon = cut(lon, seq(20, 380, 2), seq(21, 379, 2)),
lon = as.numeric(as.character(lon)),
lat = cut(lat, seq(-90, 90, 2), seq(-89, 89, 2)),
lat = as.numeric(as.character(lat)))
nm_biomes_2x2 <- nm_biomes_2x2 %>%
count(lon, lat, biome_name) %>%
group_by(lon, lat) %>%
slice_max(n, with_ties = FALSE) %>%
ungroup()
rm(nm_biomes)
map+
geom_tile(data = nm_biomes_2x2,
aes(x = lon,
y = lat,
fill = biome_name))+
lims(y = c(-85, -30))+
scale_fill_brewer(palette = 'Dark2')+
labs(title = 'Mayot biomes post-grid reduction')

| Version | Author | Date |
|---|---|---|
| 9875dd0 | pasqualina-vonlanthendinenna | 2022-04-05 |
| dfd75e9 | pasqualina-vonlanthendinenna | 2022-03-29 |
| 1ffe07f | pasqualina-vonlanthendinenna | 2022-03-11 |
| d14b7f1 | pasqualina-vonlanthendinenna | 2022-02-02 |
| 7376be6 | pasqualina-vonlanthendinenna | 2022-02-02 |
| 44a2ec3 | pasqualina-vonlanthendinenna | 2022-02-01 |
basinmask <- basinmask %>%
filter(lat < -30)
map +
geom_tile(data = basinmask,
aes(x = lon,
y = lat,
fill = basin_AIP))+
lims(y = c(-85, -30))+
scale_fill_brewer(palette = 'Dark2')

basinmask_2x2 <- basinmask %>%
mutate(
lat = cut(lat, seq(-90, 90, 2), seq(-89, 89, 2)),
lat = as.numeric(as.character(lat)),
lon = cut(lon, seq(20, 380, 2), seq(21, 379, 2)),
lon = as.numeric(as.character(lon))
) # regrid into 2x2º grid
#
# # assign basins from each pixel to to each 2 Lon x Lat pixel, based on the majority of basins in each 2x2 grid
#
basinmask_2x2 <- basinmask_2x2 %>%
count(lon, lat, basin_AIP) %>%
group_by(lon, lat) %>%
slice_max(n, with_ties = FALSE) %>%
ungroup() %>%
select(-n)
#
rm(basinmask)
map+
geom_tile(data = basinmask_2x2 %>% filter(lat < -30),
aes(x = lon,
y = lat,
fill = basin_AIP))+
lims(y = c(-85, -30))+
scale_fill_brewer(palette = 'Dark2')

| Version | Author | Date |
|---|---|---|
| 8805f99 | pasqualina-vonlanthendinenna | 2022-04-11 |
| 9875dd0 | pasqualina-vonlanthendinenna | 2022-04-05 |
| dfd75e9 | pasqualina-vonlanthendinenna | 2022-03-29 |
| 1ffe07f | pasqualina-vonlanthendinenna | 2022-03-11 |
| d14b7f1 | pasqualina-vonlanthendinenna | 2022-02-02 |
| 7376be6 | pasqualina-vonlanthendinenna | 2022-02-02 |
| 44a2ec3 | pasqualina-vonlanthendinenna | 2022-02-01 |
OceanSODA <- OceanSODA %>%
group_by(lon, lat, month) %>%
mutate(clim_ph = mean(ph_total, na.rm = TRUE),
clim_diff = ph_total - clim_ph,
.after = ph_total) %>%
ungroup()
# Note: While reducing lon x lat grid,
# we keep the original number of observations
OceanSODA_2x2 <- OceanSODA %>%
mutate(
lat_raw = lat,
lon_raw = lon,
lat = cut(lat, seq(-90, 90, 2), seq(-89, 89, 2)),
lat = as.numeric(as.character(lat)),
lon = cut(lon, seq(20, 380, 2), seq(21, 379, 2)),
lon = as.numeric(as.character(lon))) # regrid into 2x2º grid
rm(OceanSODA)
# keep only Southern Ocean data
OceanSODA_2x2_SO <- inner_join(OceanSODA_2x2, nm_biomes_2x2)
# add in basin separations
OceanSODA_2x2_SO <- inner_join(OceanSODA_2x2_SO, basinmask_2x2)
# expected number of rows from -30 to -70º latitude, 360º longitude, for 12 months, 8 years:
# 40 lat x 360 lon x 12 months x 8 years = 1 382 400 rows
# actual number of rows: 919 768
OceanSODA_2x2_SO <- OceanSODA_2x2_SO %>%
filter(!is.na(ph_total))
OceanSODA_2x2_SO %>%
filter(year == 2020) %>%
ggplot(aes(lon_raw, lat_raw, fill = clim_ph)) +
geom_tile() +
scale_fill_viridis_c() +
facet_wrap(~ month, ncol = 2) +
coord_quickmap(expand = 0)

| Version | Author | Date |
|---|---|---|
| 710edd4 | jens-daniel-mueller | 2022-05-11 |
# map of climatological OceanSODA pH
OceanSODA_2x2_SO %>%
group_split(month) %>%
#head(1) %>%
map(
~map+
geom_tile(data = .x,
aes(x = lon_raw,
y = lat_raw,
fill = clim_ph))+
scale_fill_viridis_c()+
lims(y = c(-80, -30))+
labs(title = paste('climatological OceanSODA pH (1995-2020) month:', unique(.x$month)))
)
[[1]]

[[2]]

[[3]]

[[4]]

[[5]]

[[6]]

[[7]]

[[8]]

[[9]]

[[10]]

[[11]]

[[12]]

# map of monthly anomaly relative to climatology
OceanSODA_2x2_SO %>%
filter(year >= 2013) %>%
group_split(month) %>%
#head(1) %>%
map(
~ map +
geom_tile(data = .x,
aes(
x = lon_raw,
y = lat_raw,
fill = clim_diff
)) +
scale_fill_divergent(mid = 'grey80') +
lims(y = c(-80, -30)) +
facet_wrap( ~ year, ncol = 2) +
labs(
title = paste(
'in-situ OceanSODA pH - clim OceanSODA pH, month:',
unique(.x$month)
)
) +
theme(legend.position = 'right')
)
[[1]]

[[2]]

[[3]]

[[4]]

[[5]]

[[6]]

[[7]]

[[8]]

[[9]]

[[10]]

[[11]]

[[12]]

# fit a linear regression of OceanSODA pH against time (temporal trend)
# in each lat/lon/month grid
OceanSODA_regression <- OceanSODA_2x2_SO %>%
# filter(basin_AIP == "Indian",
# biome_name == "SPSS",
# lon < 40) %>%
nest(data = -c(lon, lat, month)) %>%
mutate(fit = map(.x = data,
.f = ~ lm(clim_diff ~ year, data = .x)),
tidied = map(.x = fit, .f = tidy),
glanced = map(.x = fit, .f = glance),
augmented = map(.x = fit, .f = augment))
OceanSODA_regression_tidied <- OceanSODA_regression %>%
select(-c(data, fit, augmented, glanced)) %>%
unnest(tidied)
OceanSODA_regression_tidied <- OceanSODA_regression_tidied %>%
select(lat:estimate) %>%
pivot_wider(names_from = term,
values_from = estimate) %>%
rename(intercept = `(Intercept)`,
slope = year)
OceanSODA_regression_data <- OceanSODA_regression %>%
select(-c(fit, tidied, glanced, augmented)) %>%
unnest(data)
OceanSODA_regression_augmented <- OceanSODA_regression %>%
select(-c(fit, tidied, glanced, data)) %>%
unnest(augmented) %>%
select(lat:year, .resid)
OceanSODA_regression_augmented <- bind_cols(
OceanSODA_regression_augmented,
OceanSODA_regression_data %>% select(
date, basin_AIP, biome_name,
clim_ph, ph_total,
lon_raw, lat_raw))
OceanSODA_regression_glanced <- OceanSODA_regression %>%
select(-c(data, fit, tidied, augmented)) %>%
unnest(glanced)
# identify the mean value
# in each lat/lon/month grid
OceanSODA_regression_tidied <- OceanSODA_2x2_SO %>%
# filter(basin_AIP == "Indian",
# biome_name == "SPSS",
# lon < 40) %>%
group_by(lon, lat, month) %>%
summarise(slope = 0,
intercept = mean(clim_diff, na.rm = TRUE)) %>%
ungroup()
OceanSODA_regression_glanced <- OceanSODA_2x2_SO %>%
# filter(basin_AIP == "Indian",
# biome_name == "SPSS",
# lon < 40) %>%
group_by(lon, lat, month) %>%
summarise(sigma = sd(clim_diff, na.rm = TRUE)) %>%
ungroup()
OceanSODA_regression_augmented <- OceanSODA_2x2_SO %>%
# filter(basin_AIP == "Indian",
# biome_name == "SPSS",
# lon < 40) %>%
mutate(.resid = clim_diff)
map+
geom_tile(data = OceanSODA_regression_tidied,
aes(x = lon,
y = lat,
fill = slope))+
scale_fill_scico(palette = 'vik', midpoint = 0)+
lims(y = c(-85, -30))+
facet_wrap(~month, ncol = 2)

| Version | Author | Date |
|---|---|---|
| 8805f99 | pasqualina-vonlanthendinenna | 2022-04-11 |
| 9875dd0 | pasqualina-vonlanthendinenna | 2022-04-05 |
| eb8e3be | pasqualina-vonlanthendinenna | 2022-03-31 |
| 968ad85 | pasqualina-vonlanthendinenna | 2022-03-29 |
| dfd75e9 | pasqualina-vonlanthendinenna | 2022-03-29 |
| 1ffe07f | pasqualina-vonlanthendinenna | 2022-03-11 |
| 31e4d42 | pasqualina-vonlanthendinenna | 2022-02-02 |
| de183c6 | pasqualina-vonlanthendinenna | 2022-02-01 |
| 44a2ec3 | pasqualina-vonlanthendinenna | 2022-02-01 |
map+
geom_tile(data = OceanSODA_regression_glanced,
aes(x = lon,
y = lat,
fill = sigma))+
scale_fill_viridis_c()+
lims(y = c(-85, -30))+
facet_wrap(~month, ncol = 2)+
labs(fill = '1 residual \nst. dev.')

| Version | Author | Date |
|---|---|---|
| 8805f99 | pasqualina-vonlanthendinenna | 2022-04-11 |
| 9875dd0 | pasqualina-vonlanthendinenna | 2022-04-05 |
| eb8e3be | pasqualina-vonlanthendinenna | 2022-03-31 |
| 968ad85 | pasqualina-vonlanthendinenna | 2022-03-29 |
| dfd75e9 | pasqualina-vonlanthendinenna | 2022-03-29 |
| 1ffe07f | pasqualina-vonlanthendinenna | 2022-03-11 |
| 31e4d42 | pasqualina-vonlanthendinenna | 2022-02-02 |
| de183c6 | pasqualina-vonlanthendinenna | 2022-02-01 |
| 44a2ec3 | pasqualina-vonlanthendinenna | 2022-02-01 |
Calculate OceanSODA pH anomalies: L for abnormally low, H for abnormally high, N for normal pH
# when the in-situ OceanSODA pH is lower than the 5th percentile (predicted - 2*residual.st.dev), assign 'L' for low extreme
# when the in-situ OceanSODA pH exceeds the 95th percentile (predicted + 2*residual.st.dev), assign 'H' for high extreme
# when the in-situ OceanSODA pH is within 95% of the range, then assign 'N' for normal pH
# combine observations and regression statistics
OceanSODA_2x2_SO_extreme_grid <-
full_join(
OceanSODA_regression_augmented,
OceanSODA_regression_glanced %>%
select(lat:month, sigma)
)
# identify observations in anomaly classes
OceanSODA_2x2_SO_extreme_grid <- OceanSODA_2x2_SO_extreme_grid %>%
mutate(
ph_extreme = case_when(
.resid < -sigma*2 ~ 'L',
.resid > sigma*2 ~ 'H',
TRUE ~ 'N'
)
)
OceanSODA_2x2_SO_extreme_grid <- OceanSODA_2x2_SO_extreme_grid %>%
mutate(ph_extreme = fct_relevel(ph_extreme, "H", "N", "L"))
# combine with regression coefficients
OceanSODA_2x2_SO_extreme_grid <-
full_join(OceanSODA_2x2_SO_extreme_grid,
OceanSODA_regression_tidied)
OceanSODA_2x2_SO_extreme_grid %>%
write_rds(file = paste0(path = path_argo_preprocessed, "/OceanSODA_pH_anomaly_field.rds"))
OceanSODA_2x2_SO_extreme_grid %>%
group_split(lon, lat, month) %>%
head(8) %>%
map(~ ggplot(data = .x) +
geom_point(aes(x = year,
y = clim_diff,
col = ph_extreme)) +
geom_abline(data = .x, aes(slope = slope,
intercept = intercept)) +
geom_abline(data = .x, aes(slope = slope,
intercept = intercept + 2*sigma),
linetype = 2) +
geom_abline(data = .x, aes(slope = slope,
intercept = intercept - 2*sigma),
linetype = 2) +
labs(title = paste(fititle = paste(
"lon:", unique(.x$lon),
"| lat:", unique(.x$lat),
"| month:", unique(.x$month)
))) +
scale_color_manual(values = HNL_colors))
[[1]]

| Version | Author | Date |
|---|---|---|
| 9875dd0 | pasqualina-vonlanthendinenna | 2022-04-05 |
| eb8e3be | pasqualina-vonlanthendinenna | 2022-03-31 |
| 968ad85 | pasqualina-vonlanthendinenna | 2022-03-29 |
| dfd75e9 | pasqualina-vonlanthendinenna | 2022-03-29 |
| 1ffe07f | pasqualina-vonlanthendinenna | 2022-03-11 |
| cfd734c | jens-daniel-mueller | 2022-01-28 |
| 962cdb9 | pasqualina-vonlanthendinenna | 2022-01-25 |
| 6b22341 | pasqualina-vonlanthendinenna | 2022-01-21 |
| c96ad5e | pasqualina-vonlanthendinenna | 2022-01-21 |
| 486c9c8 | jens-daniel-mueller | 2022-01-07 |
[[2]]

| Version | Author | Date |
|---|---|---|
| 9875dd0 | pasqualina-vonlanthendinenna | 2022-04-05 |
| eb8e3be | pasqualina-vonlanthendinenna | 2022-03-31 |
| 968ad85 | pasqualina-vonlanthendinenna | 2022-03-29 |
| dfd75e9 | pasqualina-vonlanthendinenna | 2022-03-29 |
| 1ffe07f | pasqualina-vonlanthendinenna | 2022-03-11 |
| cfd734c | jens-daniel-mueller | 2022-01-28 |
| 962cdb9 | pasqualina-vonlanthendinenna | 2022-01-25 |
| 6b22341 | pasqualina-vonlanthendinenna | 2022-01-21 |
| c96ad5e | pasqualina-vonlanthendinenna | 2022-01-21 |
| 486c9c8 | jens-daniel-mueller | 2022-01-07 |
[[3]]

| Version | Author | Date |
|---|---|---|
| 9875dd0 | pasqualina-vonlanthendinenna | 2022-04-05 |
| eb8e3be | pasqualina-vonlanthendinenna | 2022-03-31 |
| 968ad85 | pasqualina-vonlanthendinenna | 2022-03-29 |
| dfd75e9 | pasqualina-vonlanthendinenna | 2022-03-29 |
| 1ffe07f | pasqualina-vonlanthendinenna | 2022-03-11 |
| cfd734c | jens-daniel-mueller | 2022-01-28 |
| 962cdb9 | pasqualina-vonlanthendinenna | 2022-01-25 |
| 6b22341 | pasqualina-vonlanthendinenna | 2022-01-21 |
| c96ad5e | pasqualina-vonlanthendinenna | 2022-01-21 |
| 486c9c8 | jens-daniel-mueller | 2022-01-07 |
[[4]]

| Version | Author | Date |
|---|---|---|
| 9875dd0 | pasqualina-vonlanthendinenna | 2022-04-05 |
| eb8e3be | pasqualina-vonlanthendinenna | 2022-03-31 |
| 968ad85 | pasqualina-vonlanthendinenna | 2022-03-29 |
| dfd75e9 | pasqualina-vonlanthendinenna | 2022-03-29 |
| 1ffe07f | pasqualina-vonlanthendinenna | 2022-03-11 |
| cfd734c | jens-daniel-mueller | 2022-01-28 |
| 962cdb9 | pasqualina-vonlanthendinenna | 2022-01-25 |
| 6b22341 | pasqualina-vonlanthendinenna | 2022-01-21 |
| c96ad5e | pasqualina-vonlanthendinenna | 2022-01-21 |
| 486c9c8 | jens-daniel-mueller | 2022-01-07 |
[[5]]

| Version | Author | Date |
|---|---|---|
| 9875dd0 | pasqualina-vonlanthendinenna | 2022-04-05 |
| eb8e3be | pasqualina-vonlanthendinenna | 2022-03-31 |
| 968ad85 | pasqualina-vonlanthendinenna | 2022-03-29 |
| dfd75e9 | pasqualina-vonlanthendinenna | 2022-03-29 |
| 1ffe07f | pasqualina-vonlanthendinenna | 2022-03-11 |
| cfd734c | jens-daniel-mueller | 2022-01-28 |
| 962cdb9 | pasqualina-vonlanthendinenna | 2022-01-25 |
| 6b22341 | pasqualina-vonlanthendinenna | 2022-01-21 |
| c96ad5e | pasqualina-vonlanthendinenna | 2022-01-21 |
| 486c9c8 | jens-daniel-mueller | 2022-01-07 |
[[6]]

| Version | Author | Date |
|---|---|---|
| 9875dd0 | pasqualina-vonlanthendinenna | 2022-04-05 |
| eb8e3be | pasqualina-vonlanthendinenna | 2022-03-31 |
| 968ad85 | pasqualina-vonlanthendinenna | 2022-03-29 |
| dfd75e9 | pasqualina-vonlanthendinenna | 2022-03-29 |
| 1ffe07f | pasqualina-vonlanthendinenna | 2022-03-11 |
| cfd734c | jens-daniel-mueller | 2022-01-28 |
| 962cdb9 | pasqualina-vonlanthendinenna | 2022-01-25 |
| 6b22341 | pasqualina-vonlanthendinenna | 2022-01-21 |
| c96ad5e | pasqualina-vonlanthendinenna | 2022-01-21 |
| 486c9c8 | jens-daniel-mueller | 2022-01-07 |
[[7]]

| Version | Author | Date |
|---|---|---|
| 9875dd0 | pasqualina-vonlanthendinenna | 2022-04-05 |
| eb8e3be | pasqualina-vonlanthendinenna | 2022-03-31 |
| 968ad85 | pasqualina-vonlanthendinenna | 2022-03-29 |
| dfd75e9 | pasqualina-vonlanthendinenna | 2022-03-29 |
| 1ffe07f | pasqualina-vonlanthendinenna | 2022-03-11 |
| cfd734c | jens-daniel-mueller | 2022-01-28 |
| 962cdb9 | pasqualina-vonlanthendinenna | 2022-01-25 |
| 6b22341 | pasqualina-vonlanthendinenna | 2022-01-21 |
[[8]]

| Version | Author | Date |
|---|---|---|
| 9875dd0 | pasqualina-vonlanthendinenna | 2022-04-05 |
| eb8e3be | pasqualina-vonlanthendinenna | 2022-03-31 |
| 968ad85 | pasqualina-vonlanthendinenna | 2022-03-29 |
| dfd75e9 | pasqualina-vonlanthendinenna | 2022-03-29 |
| 1ffe07f | pasqualina-vonlanthendinenna | 2022-03-11 |
| cfd734c | jens-daniel-mueller | 2022-01-28 |
| 962cdb9 | pasqualina-vonlanthendinenna | 2022-01-25 |
| 6b22341 | pasqualina-vonlanthendinenna | 2022-01-21 |
#use the original lat/lon grid to plot the extreme on a 1x1
#(anomalies detected with 1995-2020 data but mapped only from 2013 to 2020)
OceanSODA_2x2_SO_extreme_grid %>%
filter(year >= 2013) %>%
group_split(month) %>%
#head(1) %>%
map(
~map +
geom_tile(data = .x,
aes(x = lon_raw,
y = lat_raw,
fill = ph_extreme))+
scale_fill_manual(values = HNL_colors_map)+
facet_wrap(~year, ncol = 2)+
lims(y = c(-85, -30))+
labs(title = paste('month:', unique(.x$month)),
fill = 'pH')
)
[[1]]

| Version | Author | Date |
|---|---|---|
| 4173c20 | jens-daniel-mueller | 2022-05-12 |
| 8805f99 | pasqualina-vonlanthendinenna | 2022-04-11 |
| 9875dd0 | pasqualina-vonlanthendinenna | 2022-04-05 |
| eb8e3be | pasqualina-vonlanthendinenna | 2022-03-31 |
| 968ad85 | pasqualina-vonlanthendinenna | 2022-03-29 |
| dfd75e9 | pasqualina-vonlanthendinenna | 2022-03-29 |
| 1ffe07f | pasqualina-vonlanthendinenna | 2022-03-11 |
| da665ab | pasqualina-vonlanthendinenna | 2022-03-01 |
[[2]]

| Version | Author | Date |
|---|---|---|
| 4173c20 | jens-daniel-mueller | 2022-05-12 |
| 8805f99 | pasqualina-vonlanthendinenna | 2022-04-11 |
| 9875dd0 | pasqualina-vonlanthendinenna | 2022-04-05 |
| eb8e3be | pasqualina-vonlanthendinenna | 2022-03-31 |
| 968ad85 | pasqualina-vonlanthendinenna | 2022-03-29 |
| dfd75e9 | pasqualina-vonlanthendinenna | 2022-03-29 |
| 1ffe07f | pasqualina-vonlanthendinenna | 2022-03-11 |
| da665ab | pasqualina-vonlanthendinenna | 2022-03-01 |
[[3]]

| Version | Author | Date |
|---|---|---|
| 4173c20 | jens-daniel-mueller | 2022-05-12 |
| 8805f99 | pasqualina-vonlanthendinenna | 2022-04-11 |
| 9875dd0 | pasqualina-vonlanthendinenna | 2022-04-05 |
| eb8e3be | pasqualina-vonlanthendinenna | 2022-03-31 |
| 968ad85 | pasqualina-vonlanthendinenna | 2022-03-29 |
| dfd75e9 | pasqualina-vonlanthendinenna | 2022-03-29 |
| 1ffe07f | pasqualina-vonlanthendinenna | 2022-03-11 |
| da665ab | pasqualina-vonlanthendinenna | 2022-03-01 |
[[4]]

| Version | Author | Date |
|---|---|---|
| 4173c20 | jens-daniel-mueller | 2022-05-12 |
| 9875dd0 | pasqualina-vonlanthendinenna | 2022-04-05 |
| eb8e3be | pasqualina-vonlanthendinenna | 2022-03-31 |
| 968ad85 | pasqualina-vonlanthendinenna | 2022-03-29 |
| dfd75e9 | pasqualina-vonlanthendinenna | 2022-03-29 |
| 1ffe07f | pasqualina-vonlanthendinenna | 2022-03-11 |
| e4188d2 | pasqualina-vonlanthendinenna | 2022-03-01 |
[[5]]

| Version | Author | Date |
|---|---|---|
| 4173c20 | jens-daniel-mueller | 2022-05-12 |
| 8805f99 | pasqualina-vonlanthendinenna | 2022-04-11 |
| 9875dd0 | pasqualina-vonlanthendinenna | 2022-04-05 |
| eb8e3be | pasqualina-vonlanthendinenna | 2022-03-31 |
| 968ad85 | pasqualina-vonlanthendinenna | 2022-03-29 |
| dfd75e9 | pasqualina-vonlanthendinenna | 2022-03-29 |
| 1ffe07f | pasqualina-vonlanthendinenna | 2022-03-11 |
| e4188d2 | pasqualina-vonlanthendinenna | 2022-03-01 |
[[6]]

| Version | Author | Date |
|---|---|---|
| 4173c20 | jens-daniel-mueller | 2022-05-12 |
| 8805f99 | pasqualina-vonlanthendinenna | 2022-04-11 |
| 9875dd0 | pasqualina-vonlanthendinenna | 2022-04-05 |
| eb8e3be | pasqualina-vonlanthendinenna | 2022-03-31 |
| 968ad85 | pasqualina-vonlanthendinenna | 2022-03-29 |
| dfd75e9 | pasqualina-vonlanthendinenna | 2022-03-29 |
| 1ffe07f | pasqualina-vonlanthendinenna | 2022-03-11 |
| e4188d2 | pasqualina-vonlanthendinenna | 2022-03-01 |
[[7]]

| Version | Author | Date |
|---|---|---|
| 4173c20 | jens-daniel-mueller | 2022-05-12 |
| 9875dd0 | pasqualina-vonlanthendinenna | 2022-04-05 |
| eb8e3be | pasqualina-vonlanthendinenna | 2022-03-31 |
| 968ad85 | pasqualina-vonlanthendinenna | 2022-03-29 |
| dfd75e9 | pasqualina-vonlanthendinenna | 2022-03-29 |
| 1ffe07f | pasqualina-vonlanthendinenna | 2022-03-11 |
| e4188d2 | pasqualina-vonlanthendinenna | 2022-03-01 |
[[8]]

| Version | Author | Date |
|---|---|---|
| 4173c20 | jens-daniel-mueller | 2022-05-12 |
| 9875dd0 | pasqualina-vonlanthendinenna | 2022-04-05 |
| eb8e3be | pasqualina-vonlanthendinenna | 2022-03-31 |
| 968ad85 | pasqualina-vonlanthendinenna | 2022-03-29 |
| dfd75e9 | pasqualina-vonlanthendinenna | 2022-03-29 |
| 1ffe07f | pasqualina-vonlanthendinenna | 2022-03-11 |
| e4188d2 | pasqualina-vonlanthendinenna | 2022-03-01 |
[[9]]

[[10]]

[[11]]

[[12]]

# map the anomalies on the original 1x1 grid
# calculate a regional mean pH for each biome, basin, and ph extreme (H/L/N) and plot a timeseries
OceanSODA_2x2_SO_extreme_grid %>%
group_by(year, biome_name, basin_AIP, ph_extreme) %>%
summarise(ph_regional = mean(ph_total, na.rm = TRUE)) %>%
ungroup() %>%
ggplot(aes(x = year, y = ph_regional, col = ph_extreme))+
geom_point(size = 0.3)+
geom_line()+
scale_color_manual(values = HNL_colors) +
facet_grid(basin_AIP~biome_name)+
theme(legend.position = 'bottom')

| Version | Author | Date |
|---|---|---|
| 8805f99 | pasqualina-vonlanthendinenna | 2022-04-11 |
| 9875dd0 | pasqualina-vonlanthendinenna | 2022-04-05 |
| eb8e3be | pasqualina-vonlanthendinenna | 2022-03-31 |
| 968ad85 | pasqualina-vonlanthendinenna | 2022-03-29 |
| dfd75e9 | pasqualina-vonlanthendinenna | 2022-03-29 |
| 1ffe07f | pasqualina-vonlanthendinenna | 2022-03-11 |
| 71ced5f | pasqualina-vonlanthendinenna | 2022-02-23 |
| 28c8d17 | jens-daniel-mueller | 2022-01-29 |
| cfd734c | jens-daniel-mueller | 2022-01-28 |
| 962cdb9 | pasqualina-vonlanthendinenna | 2022-01-25 |
| 6b22341 | pasqualina-vonlanthendinenna | 2022-01-21 |
| 587755e | pasqualina-vonlanthendinenna | 2022-01-21 |
| c96ad5e | pasqualina-vonlanthendinenna | 2022-01-21 |
| 486c9c8 | jens-daniel-mueller | 2022-01-07 |
OceanSODA_2x2_SO_extreme_grid %>%
ggplot(aes(ph_total, col = ph_extreme)) +
geom_density() +
scale_color_manual(values = HNL_colors) +
facet_grid(basin_AIP ~ biome_name) +
coord_cartesian(xlim = c(8, 8.2)) +
labs(x = 'value',
y = 'density',
col = 'pH anomaly') +
theme(legend.position = 'bottom')

| Version | Author | Date |
|---|---|---|
| 8805f99 | pasqualina-vonlanthendinenna | 2022-04-11 |
| 9875dd0 | pasqualina-vonlanthendinenna | 2022-04-05 |
| eb8e3be | pasqualina-vonlanthendinenna | 2022-03-31 |
| 968ad85 | pasqualina-vonlanthendinenna | 2022-03-29 |
| dfd75e9 | pasqualina-vonlanthendinenna | 2022-03-29 |
| 1ffe07f | pasqualina-vonlanthendinenna | 2022-03-11 |
| 71ced5f | pasqualina-vonlanthendinenna | 2022-02-23 |
| 28c8d17 | jens-daniel-mueller | 2022-01-29 |
| cfd734c | jens-daniel-mueller | 2022-01-28 |
| 962cdb9 | pasqualina-vonlanthendinenna | 2022-01-25 |
| 6b22341 | pasqualina-vonlanthendinenna | 2022-01-21 |
| 587755e | pasqualina-vonlanthendinenna | 2022-01-21 |
| c96ad5e | pasqualina-vonlanthendinenna | 2022-01-21 |
| 486c9c8 | jens-daniel-mueller | 2022-01-07 |
# Note: While reducing lon x lat grid,
# we keep the original number of observations
full_argo_2x2 <- full_argo %>%
mutate(
lat_raw = lat,
lon_raw = lon,
lat = cut(lat, seq(-90, 90, 2), seq(-89, 89, 2)),
lat = as.numeric(as.character(lat)),
lon = cut(lon, seq(20, 380, 2), seq(21, 379, 2)),
lon = as.numeric(as.character(lon))) # re-grid to 2x2
# keep only Southern Ocean argo data
full_argo_2x2_SO <- inner_join(full_argo_2x2, nm_biomes_2x2)
# add in basin separations
full_argo_2x2_SO <- inner_join(full_argo_2x2_SO, basinmask_2x2)
# rename OceanSODA columns
OceanSODA_2x2_SO_extreme_grid <- OceanSODA_2x2_SO_extreme_grid %>%
select(-c(lon, lat)) %>%
rename(OceanSODA_ph = ph_total,
lon = lon_raw,
lat = lat_raw) %>%
filter(year >= 2013)
# combine the argo profile data to the surface extreme data
profile_extreme <- inner_join(
full_argo %>%
select(year, month, date, lon, lat, depth,
ph_in_situ_total_adjusted,
platform_number,
cycle_number),
OceanSODA_2x2_SO_extreme_grid %>%
select(year, month, date, lon, lat,
OceanSODA_ph, ph_extreme,
clim_ph, clim_diff,
biome_name, basin_AIP))
profile_extreme <- profile_extreme %>%
unite('platform_cycle', platform_number:cycle_number, sep = '_', remove = FALSE)
OceanSODA_2x2_SO_extreme_grid %>%
group_split(month) %>%
# head(1) %>%
map(
~ map +
geom_tile(
data = .x,
aes(x = lon,
y = lat,
fill = ph_extreme),
alpha = 0.5
) +
scale_fill_manual(values = HNL_colors_map) +
new_scale_fill() +
geom_tile(
data = profile_extreme %>%
distinct(lon, lat, platform_cycle, year, month),
aes(
x = lon,
y = lat,
fill = 'argo\nprofiles',
height = 1,
width = 1
),
alpha = 0.5
) +
scale_fill_manual(values = "springgreen4",
name = "") +
facet_wrap( ~ year, ncol = 1) +
lims(y = c(-85, -30)) +
labs(title = paste('month:', unique(.x$month)))
)
[[1]]

| Version | Author | Date |
|---|---|---|
| 71e58d6 | jens-daniel-mueller | 2022-05-12 |
| 4173c20 | jens-daniel-mueller | 2022-05-12 |
| b917bd0 | jens-daniel-mueller | 2022-05-11 |
| ca30beb | pasqualina-vonlanthendinenna | 2022-05-05 |
| 4cf88e4 | pasqualina-vonlanthendinenna | 2022-05-05 |
| f46b9da | pasqualina-vonlanthendinenna | 2022-05-05 |
| 4e3571d | pasqualina-vonlanthendinenna | 2022-05-03 |
| 2d44f8a | pasqualina-vonlanthendinenna | 2022-04-29 |
[[2]]

[[3]]

[[4]]

[[5]]

[[6]]

[[7]]

[[8]]

[[9]]

[[10]]

[[11]]

[[12]]

Argo profiles plotted according to the surface OceanSODA pH
L profiles correspond to a surface acidification event (low pH), as recorded in OceanSODA
H profiles correspond to an event of high surface pH, as recorded in OceanSODA
N profiles correspond to normal surface OceanSODA pH
profile_extreme %>%
group_split(biome_name, basin_AIP, year) %>%
head(6) %>%
map(
~ ggplot(
data = .x,
aes(
x = ph_in_situ_total_adjusted,
y = depth,
group = platform_cycle,
col = ph_extreme
)
) +
geom_path(data = .x %>% filter(ph_extreme == 'N'),
aes(x = ph_in_situ_total_adjusted,
y = depth,
group = platform_cycle,
col = ph_extreme),
size = 0.3) +
geom_path(data = .x %>% filter(ph_extreme == 'H' | ph_extreme == 'L'),
aes(x = ph_in_situ_total_adjusted,
y = depth,
group = platform_cycle,
col = ph_extreme),
size = 0.5)+
scale_y_reverse() +
scale_color_manual(values = HNL_colors) +
facet_wrap(~ month, ncol = 6) +
labs(
x = 'Argo pH (total scale)',
y = 'depth (m)',
title = paste(
unique(.x$basin_AIP),
"|",
unique(.x$year),
"| biome:",
unique(.x$biome_name)
),
col = 'OceanSODA pH \nanomaly'
)
)
[[1]]

| Version | Author | Date |
|---|---|---|
| b917bd0 | jens-daniel-mueller | 2022-05-11 |
| 9875dd0 | pasqualina-vonlanthendinenna | 2022-04-05 |
| 1ffe07f | pasqualina-vonlanthendinenna | 2022-03-11 |
| 7540ae4 | pasqualina-vonlanthendinenna | 2022-03-08 |
| 8ef1277 | pasqualina-vonlanthendinenna | 2022-03-01 |
| fd521d1 | pasqualina-vonlanthendinenna | 2022-02-25 |
| 71ced5f | pasqualina-vonlanthendinenna | 2022-02-23 |
| 28c8d17 | jens-daniel-mueller | 2022-01-29 |
[[2]]

| Version | Author | Date |
|---|---|---|
| b917bd0 | jens-daniel-mueller | 2022-05-11 |
| 9875dd0 | pasqualina-vonlanthendinenna | 2022-04-05 |
| 968ad85 | pasqualina-vonlanthendinenna | 2022-03-29 |
| dfd75e9 | pasqualina-vonlanthendinenna | 2022-03-29 |
| e12a216 | pasqualina-vonlanthendinenna | 2022-03-15 |
| 1ffe07f | pasqualina-vonlanthendinenna | 2022-03-11 |
| 7540ae4 | pasqualina-vonlanthendinenna | 2022-03-08 |
| 8ef1277 | pasqualina-vonlanthendinenna | 2022-03-01 |
| fd521d1 | pasqualina-vonlanthendinenna | 2022-02-25 |
| 71ced5f | pasqualina-vonlanthendinenna | 2022-02-23 |
| 28c8d17 | jens-daniel-mueller | 2022-01-29 |
[[3]]

| Version | Author | Date |
|---|---|---|
| b917bd0 | jens-daniel-mueller | 2022-05-11 |
| 9875dd0 | pasqualina-vonlanthendinenna | 2022-04-05 |
| eb8e3be | pasqualina-vonlanthendinenna | 2022-03-31 |
| 968ad85 | pasqualina-vonlanthendinenna | 2022-03-29 |
| dfd75e9 | pasqualina-vonlanthendinenna | 2022-03-29 |
| e12a216 | pasqualina-vonlanthendinenna | 2022-03-15 |
| 1ffe07f | pasqualina-vonlanthendinenna | 2022-03-11 |
| 7540ae4 | pasqualina-vonlanthendinenna | 2022-03-08 |
| 8ef1277 | pasqualina-vonlanthendinenna | 2022-03-01 |
| fd521d1 | pasqualina-vonlanthendinenna | 2022-02-25 |
| 71ced5f | pasqualina-vonlanthendinenna | 2022-02-23 |
| 28c8d17 | jens-daniel-mueller | 2022-01-29 |
[[4]]

| Version | Author | Date |
|---|---|---|
| b917bd0 | jens-daniel-mueller | 2022-05-11 |
| 9875dd0 | pasqualina-vonlanthendinenna | 2022-04-05 |
| eb8e3be | pasqualina-vonlanthendinenna | 2022-03-31 |
| 968ad85 | pasqualina-vonlanthendinenna | 2022-03-29 |
| dfd75e9 | pasqualina-vonlanthendinenna | 2022-03-29 |
| e12a216 | pasqualina-vonlanthendinenna | 2022-03-15 |
| 1ffe07f | pasqualina-vonlanthendinenna | 2022-03-11 |
| 7540ae4 | pasqualina-vonlanthendinenna | 2022-03-08 |
| 8ef1277 | pasqualina-vonlanthendinenna | 2022-03-01 |
| fd521d1 | pasqualina-vonlanthendinenna | 2022-02-25 |
| 71ced5f | pasqualina-vonlanthendinenna | 2022-02-23 |
| 28c8d17 | jens-daniel-mueller | 2022-01-29 |
[[5]]

| Version | Author | Date |
|---|---|---|
| b917bd0 | jens-daniel-mueller | 2022-05-11 |
| 9875dd0 | pasqualina-vonlanthendinenna | 2022-04-05 |
| 968ad85 | pasqualina-vonlanthendinenna | 2022-03-29 |
| dfd75e9 | pasqualina-vonlanthendinenna | 2022-03-29 |
| e12a216 | pasqualina-vonlanthendinenna | 2022-03-15 |
| 1ffe07f | pasqualina-vonlanthendinenna | 2022-03-11 |
| 7540ae4 | pasqualina-vonlanthendinenna | 2022-03-08 |
| 8ef1277 | pasqualina-vonlanthendinenna | 2022-03-01 |
| fd521d1 | pasqualina-vonlanthendinenna | 2022-02-25 |
| 71ced5f | pasqualina-vonlanthendinenna | 2022-02-23 |
| 28c8d17 | jens-daniel-mueller | 2022-01-29 |
[[6]]

| Version | Author | Date |
|---|---|---|
| b917bd0 | jens-daniel-mueller | 2022-05-11 |
| 9875dd0 | pasqualina-vonlanthendinenna | 2022-04-05 |
| dfd75e9 | pasqualina-vonlanthendinenna | 2022-03-29 |
| e12a216 | pasqualina-vonlanthendinenna | 2022-03-15 |
| 1ffe07f | pasqualina-vonlanthendinenna | 2022-03-11 |
| 7540ae4 | pasqualina-vonlanthendinenna | 2022-03-08 |
| 8ef1277 | pasqualina-vonlanthendinenna | 2022-03-01 |
| fd521d1 | pasqualina-vonlanthendinenna | 2022-02-25 |
| 71ced5f | pasqualina-vonlanthendinenna | 2022-02-23 |
| 28c8d17 | jens-daniel-mueller | 2022-01-29 |
# plot profiles for the Atlantic basin, biome 1, month 08, 2017
OceanSODA_SO_extreme_grid_2017 <-
OceanSODA_2x2_SO_extreme_grid %>%
filter(date == '2017-08-15')
map+
geom_tile(data = OceanSODA_SO_extreme_grid_2017,
aes(x = lon,
y = lat,
fill = ph_extreme))+
scale_fill_manual(values = HNL_colors_map)+
lims(y = c(-85, -30))+
labs(title = 'August 2017',
fill = 'OceanSODA pH \nextreme')
profile_extreme_Atl_2017 <- profile_extreme %>%
filter(date == '2017-08-15',
basin_AIP == 'Atlantic',
biome_name == 'STSS')
profile_extreme_Atl_2017 %>%
ggplot(aes(y = depth,
x = ph_in_situ_total_adjusted,
group = platform_cycle,
col = ph_extreme))+
geom_path(data = profile_extreme_Atl_2017 %>% filter(ph_extreme == 'N'),
aes(x = ph_in_situ_total_adjusted,
y = depth,
group = platform_cycle,
col = ph_extreme),
size = 0.3)+
geom_path(data = profile_extreme_Atl_2017 %>% filter(ph_extreme == 'H'| ph_extreme == 'L'),
aes(x = ph_in_situ_total_adjusted,
y = depth,
group = platform_cycle,
col = ph_extreme),
size = 0.5)+
scale_y_reverse()+
scale_color_manual(values = HNL_colors)+
labs(title = 'Atlantic basin, STSS biome, August 2017',
col = 'OceanSODA\npH anomaly',
x = 'Argo pH')
rm(OceanSODA_SO_extreme_grid_2017, profile_extreme_Atl_2017)
# Plot profiles for the Pacific basin, biome 3, months 12, 2017
OceanSODA_SO_extreme_grid_2017 <-
OceanSODA_2x2_SO_extreme_grid %>%
filter(date == '2017-12-15')
map+
geom_tile(data = OceanSODA_SO_extreme_grid_2017,
aes(x = lon,
y = lat,
fill = ph_extreme))+
scale_fill_manual(values = HNL_colors_map)+
lims(y = c(-85, -30))+
labs(title = 'December 2017',
fill = 'OceanSODA pH \nextreme')
profile_extreme_Atl_2017 <- profile_extreme %>%
filter(date == '2017-12-15',
basin_AIP == 'Atlantic',
biome_name == 'STSS')
profile_extreme_Atl_2017 %>%
ggplot(aes(y = depth,
x = ph_in_situ_total_adjusted,
group = platform_cycle,
col = ph_extreme))+
geom_path(data = profile_extreme_Atl_2017 %>% filter(ph_extreme == 'N'),
aes(x = ph_in_situ_total_adjusted,
y = depth,
group = platform_cycle,
col = ph_extreme),
size = 0.3)+
geom_path(data = profile_extreme_Atl_2017 %>% filter(ph_extreme == 'H' | ph_extreme == 'L'),
aes(x = ph_in_situ_total_adjusted,
y = depth,
group = platform_cycle,
col = ph_extreme),
size = 0.5)+
scale_y_reverse()+
scale_color_manual(values = HNL_colors)+
labs(title = 'Atlantic basin, STSS biome, December 2017',
col = 'OceanSODA\npH anomaly',
x = 'Argo pH')
rm(OceanSODA_SO_extreme_grid_2017, profile_extreme_Atl_2017)
OceanSODA_SO_extreme_grid_2018 <-
OceanSODA_2x2_SO_extreme_grid %>%
filter(date == '2018-01-15')
map+
geom_tile(data = OceanSODA_SO_extreme_grid_2018,
aes(x = lon,
y = lat,
fill = ph_extreme))+
scale_fill_manual(values = HNL_colors_map)+
lims(y = c(-85, -30))+
labs(title = 'January 2018',
fill = 'OceanSODA pH \nextreme')
profile_extreme_Atl_2018 <- profile_extreme %>%
filter(date == '2018-01-15',
basin_AIP == 'Atlantic',
biome_name == 'STSS')
profile_extreme_Atl_2018 %>%
ggplot(aes(y = depth,
x = ph_in_situ_total_adjusted,
group = platform_cycle,
col = ph_extreme))+
geom_path(data = profile_extreme_Atl_2018 %>% filter(ph_extreme == 'N'),
aes(x = ph_in_situ_total_adjusted,
y = depth,
group = platform_cycle,
col = ph_extreme),
size = 0.3)+
geom_path(data = profile_extreme_Atl_2018 %>% filter(ph_extreme == 'H' | ph_extreme == 'L'),
aes(x = ph_in_situ_total_adjusted,
y = depth,
group = platform_cycle,
col = ph_extreme),
size = 0.5)+
scale_y_reverse()+
scale_color_manual(values = HNL_colors)+
labs(title = 'Atlantic basin, STSS biome, January 2018',
col = 'OceanSODA\npH anomaly',
x = 'Argo pH')
rm(OceanSODA_SO_extreme_grid_2018, profile_extreme_Atl_2018)
# calculate mean profiles in each basin and biome, for each month between 2014 and 2021
# cut depth levels at 10, 20, .... etc m
# add seasons
# Dec, Jan, Feb <- summer
# Mar, Apr, May <- autumn
# Jun, Jul, Aug <- winter
# Sep, Oct, Nov <- spring
profile_extreme <- profile_extreme %>%
mutate(
depth = Hmisc::cut2(
depth,
cuts = c(10, 20, 30, 50, 70, 100, 300, 500, 800, 1000, 1500, 2000, 2500),
m = 5,
levels.mean = TRUE
),
depth = as.numeric(as.character(depth))
) %>%
mutate(
season = case_when(
between(month, 3, 5) ~ 'autumn',
between(month, 6, 8) ~ 'winter',
between(month, 9, 11) ~ 'spring',
month == 12 | 1 | 2 ~ 'summer'
),
.after = date
)
profile_extreme_mean <- profile_extreme %>%
group_by(ph_extreme, depth) %>%
summarise(ph_mean = mean(ph_in_situ_total_adjusted, na.rm = TRUE),
ph_std = sd(ph_in_situ_total_adjusted, na.rm = TRUE)) %>%
ungroup()
profile_extreme_mean %>%
arrange(depth) %>%
ggplot(aes(
x = ph_mean,
y = depth,
group = ph_extreme,
col = ph_extreme
)) +
geom_ribbon(aes(xmin = ph_mean - ph_std,
xmax = ph_mean + ph_std,
group = ph_extreme,
fill = ph_extreme),
col = NA,
alpha = 0.2)+
geom_path() +
scale_color_manual(values = HNL_colors) +
scale_fill_manual(values = HNL_colors)+
labs(title = "Overall mean",
col = 'OceanSODA\npH anomaly \n(mean ± st dev)',
fill = 'OceanSODA\npH anomaly \n(mean ± st dev)',
y = 'depth (m)',
x = 'Argo mean pH') +
scale_y_continuous(trans = trans_reverser("sqrt"),
breaks = c(10, 100, 250, 500, seq(1000, 5000, 500)))

| Version | Author | Date |
|---|---|---|
| b917bd0 | jens-daniel-mueller | 2022-05-11 |
| 9875dd0 | pasqualina-vonlanthendinenna | 2022-04-05 |
| eb8e3be | pasqualina-vonlanthendinenna | 2022-03-31 |
| 968ad85 | pasqualina-vonlanthendinenna | 2022-03-29 |
| dfd75e9 | pasqualina-vonlanthendinenna | 2022-03-29 |
| e12a216 | pasqualina-vonlanthendinenna | 2022-03-15 |
| 1ffe07f | pasqualina-vonlanthendinenna | 2022-03-11 |
| 7540ae4 | pasqualina-vonlanthendinenna | 2022-03-08 |
| daa0a8f | pasqualina-vonlanthendinenna | 2022-02-24 |
| 71ced5f | pasqualina-vonlanthendinenna | 2022-02-23 |
| 44a2ec3 | pasqualina-vonlanthendinenna | 2022-02-01 |
| 44fcfb6 | pasqualina-vonlanthendinenna | 2022-02-01 |
| 28c8d17 | jens-daniel-mueller | 2022-01-29 |
rm(profile_extreme_mean)
Number of profiles
profile_count_mean <- profile_extreme %>%
distinct(ph_extreme, platform_number, cycle_number) %>%
count(ph_extreme)
profile_count_mean %>%
ggplot(aes(x = ph_extreme, y = n, fill = ph_extreme))+
geom_col(width = 0.5)+
scale_y_continuous(trans = 'log10')+
labs(y = 'log(number of profiles)',
title = 'Number of profiles')

| Version | Author | Date |
|---|---|---|
| b917bd0 | jens-daniel-mueller | 2022-05-11 |
| 9875dd0 | pasqualina-vonlanthendinenna | 2022-04-05 |
| eb8e3be | pasqualina-vonlanthendinenna | 2022-03-31 |
| 968ad85 | pasqualina-vonlanthendinenna | 2022-03-29 |
| dfd75e9 | pasqualina-vonlanthendinenna | 2022-03-29 |
| e12a216 | pasqualina-vonlanthendinenna | 2022-03-15 |
| 1ffe07f | pasqualina-vonlanthendinenna | 2022-03-11 |
| 7540ae4 | pasqualina-vonlanthendinenna | 2022-03-08 |
| 71ced5f | pasqualina-vonlanthendinenna | 2022-02-23 |
| d7debab | pasqualina-vonlanthendinenna | 2022-02-02 |
| 7376be6 | pasqualina-vonlanthendinenna | 2022-02-02 |
# rm(profile_count_mean)
Surface Argo pH vs surface OceanSODA pH (20 m)
# calculate surface-mean argo pH, for each profile
surface_ph_mean <- profile_extreme %>%
filter(depth <= 20) %>%
group_by(ph_extreme, platform_number, cycle_number) %>%
summarise(argo_surf_ph = mean(ph_in_situ_total_adjusted, na.rm = TRUE),
OceanSODA_surf_ph = mean(OceanSODA_ph, na.rm = TRUE))
surface_ph_mean %>%
group_by(ph_extreme) %>%
group_split(ph_extreme) %>%
map(
~ggplot(data = .x, aes(x = OceanSODA_surf_ph,
y = argo_surf_ph))+
geom_bin2d(data = .x, aes(x = OceanSODA_surf_ph,
y = argo_surf_ph)) +
scale_fill_viridis_c()+
geom_abline(slope = 1, intercept = 0)+
coord_fixed(ratio = 1,
xlim = c(7.9, 8.21),
ylim = c(7.9, 8.21))+
# facet_grid(basin_AIP ~ biome) +
labs(title = paste('pH extreme:', unique(.x$ph_extreme)),
x = 'OceanSODA pH',
y = 'Argo pH')
)
[[1]]

| Version | Author | Date |
|---|---|---|
| b917bd0 | jens-daniel-mueller | 2022-05-11 |
| 9875dd0 | pasqualina-vonlanthendinenna | 2022-04-05 |
| eb8e3be | pasqualina-vonlanthendinenna | 2022-03-31 |
| 968ad85 | pasqualina-vonlanthendinenna | 2022-03-29 |
| dfd75e9 | pasqualina-vonlanthendinenna | 2022-03-29 |
| e12a216 | pasqualina-vonlanthendinenna | 2022-03-15 |
| 1ffe07f | pasqualina-vonlanthendinenna | 2022-03-11 |
| 7540ae4 | pasqualina-vonlanthendinenna | 2022-03-08 |
| fd521d1 | pasqualina-vonlanthendinenna | 2022-02-25 |
| 71ced5f | pasqualina-vonlanthendinenna | 2022-02-23 |
| 25c9e6b | pasqualina-vonlanthendinenna | 2022-02-03 |
| 71958c4 | pasqualina-vonlanthendinenna | 2022-02-03 |
| d7debab | pasqualina-vonlanthendinenna | 2022-02-02 |
| 7376be6 | pasqualina-vonlanthendinenna | 2022-02-02 |
[[2]]

| Version | Author | Date |
|---|---|---|
| b917bd0 | jens-daniel-mueller | 2022-05-11 |
| 9875dd0 | pasqualina-vonlanthendinenna | 2022-04-05 |
| eb8e3be | pasqualina-vonlanthendinenna | 2022-03-31 |
| 968ad85 | pasqualina-vonlanthendinenna | 2022-03-29 |
| dfd75e9 | pasqualina-vonlanthendinenna | 2022-03-29 |
| e12a216 | pasqualina-vonlanthendinenna | 2022-03-15 |
| 1ffe07f | pasqualina-vonlanthendinenna | 2022-03-11 |
| 7540ae4 | pasqualina-vonlanthendinenna | 2022-03-08 |
| fd521d1 | pasqualina-vonlanthendinenna | 2022-02-25 |
| 71ced5f | pasqualina-vonlanthendinenna | 2022-02-23 |
| 25c9e6b | pasqualina-vonlanthendinenna | 2022-02-03 |
| 71958c4 | pasqualina-vonlanthendinenna | 2022-02-03 |
| d7debab | pasqualina-vonlanthendinenna | 2022-02-02 |
| 7376be6 | pasqualina-vonlanthendinenna | 2022-02-02 |
[[3]]

| Version | Author | Date |
|---|---|---|
| b917bd0 | jens-daniel-mueller | 2022-05-11 |
| 9875dd0 | pasqualina-vonlanthendinenna | 2022-04-05 |
| eb8e3be | pasqualina-vonlanthendinenna | 2022-03-31 |
| 968ad85 | pasqualina-vonlanthendinenna | 2022-03-29 |
| dfd75e9 | pasqualina-vonlanthendinenna | 2022-03-29 |
| e12a216 | pasqualina-vonlanthendinenna | 2022-03-15 |
| 1ffe07f | pasqualina-vonlanthendinenna | 2022-03-11 |
| 7540ae4 | pasqualina-vonlanthendinenna | 2022-03-08 |
| fd521d1 | pasqualina-vonlanthendinenna | 2022-02-25 |
| 71ced5f | pasqualina-vonlanthendinenna | 2022-02-23 |
| 25c9e6b | pasqualina-vonlanthendinenna | 2022-02-03 |
| 71958c4 | pasqualina-vonlanthendinenna | 2022-02-03 |
| d7debab | pasqualina-vonlanthendinenna | 2022-02-02 |
| 7376be6 | pasqualina-vonlanthendinenna | 2022-02-02 |
rm(surface_ph_mean)
profile_extreme_mean_jan <- profile_extreme %>%
filter(month == 1) %>%
group_by(ph_extreme, depth) %>%
summarise(ph_mean = mean(ph_in_situ_total_adjusted, na.rm = TRUE),
ph_std = sd(ph_in_situ_total_adjusted, na.rm = TRUE)) %>%
ungroup()
profile_extreme_mean_jan %>%
arrange(depth) %>%
ggplot(aes(
x = ph_mean,
y = depth,
group = ph_extreme,
col = ph_extreme
)) +
geom_ribbon(aes(xmin = ph_mean - ph_std,
xmax = ph_mean + ph_std,
group = ph_extreme,
fill = ph_extreme),
col = NA,
alpha = 0.2)+
geom_path() +
scale_color_manual(values = HNL_colors) +
scale_fill_manual(values = HNL_colors)+
labs(title = "Overall mean January profiles",
col = 'OceanSODA\npH anomaly \n(mean ± st dev)',
fill = 'OceanSODA\npH anomaly \n(mean ± st dev)',
y = 'depth (m)',
x = 'Argo mean pH') +
scale_y_continuous(trans = trans_reverser("sqrt"),
breaks = c(10, 100, 250, 500, seq(1000, 5000, 500)))

rm(profile_extreme_mean_jan)
profile_extreme_biome <- profile_extreme %>%
group_by(season, biome_name, ph_extreme, depth) %>%
summarise(ph_biome = mean(ph_in_situ_total_adjusted, na.rm = TRUE),
ph_biome_std = sd(ph_in_situ_total_adjusted, na.rm = TRUE)) %>%
ungroup()
profile_extreme_biome %>%
ggplot(aes(
x = ph_biome,
y = depth,
group = ph_extreme,
col = ph_extreme
)) +
geom_ribbon(aes(xmin = ph_biome - ph_biome_std,
xmax = ph_biome + ph_biome_std,
group = ph_extreme,
fill = ph_extreme),
col = NA,
alpha = 0.2)+
geom_path() +
scale_color_manual(values = HNL_colors) +
scale_fill_manual(values = HNL_colors)+
labs(col = 'OceanSODA\npH anomaly \n(mean ± st dev)',
fill = 'OceanSODA\npH anomaly \n(mean ± st dev)',
y = 'depth (m)',
x = 'Biome mean Argo pH',
title = 'Biome-mean Argo profiles') +
scale_y_continuous(trans = trans_reverser("sqrt"),
breaks = c(10, 100, 250, 500, seq(1000, 5000, 500))) +
facet_grid(season ~ biome_name)

| Version | Author | Date |
|---|---|---|
| b917bd0 | jens-daniel-mueller | 2022-05-11 |
| 9875dd0 | pasqualina-vonlanthendinenna | 2022-04-05 |
| eb8e3be | pasqualina-vonlanthendinenna | 2022-03-31 |
| 968ad85 | pasqualina-vonlanthendinenna | 2022-03-29 |
| dfd75e9 | pasqualina-vonlanthendinenna | 2022-03-29 |
| e12a216 | pasqualina-vonlanthendinenna | 2022-03-15 |
| 1ffe07f | pasqualina-vonlanthendinenna | 2022-03-11 |
| 7540ae4 | pasqualina-vonlanthendinenna | 2022-03-08 |
| daa0a8f | pasqualina-vonlanthendinenna | 2022-02-24 |
| 71ced5f | pasqualina-vonlanthendinenna | 2022-02-23 |
| 44a2ec3 | pasqualina-vonlanthendinenna | 2022-02-01 |
| 44fcfb6 | pasqualina-vonlanthendinenna | 2022-02-01 |
| 28c8d17 | jens-daniel-mueller | 2022-01-29 |
rm(profile_extreme_biome)
Number of profiles season x biome
profile_count_biome <- profile_extreme %>%
distinct(season, biome_name, ph_extreme, platform_number, cycle_number) %>%
group_by(season, biome_name, ph_extreme) %>%
count(ph_extreme)
profile_count_biome %>%
ggplot(aes(x = ph_extreme, y = n, fill = ph_extreme))+
geom_col(width = 0.5)+
facet_grid(season ~ biome_name)+
scale_y_continuous(trans = 'log10')+
labs(y = 'log(number of profiles)',
title = 'Number of profiles season x biome')

| Version | Author | Date |
|---|---|---|
| b917bd0 | jens-daniel-mueller | 2022-05-11 |
| 9875dd0 | pasqualina-vonlanthendinenna | 2022-04-05 |
| eb8e3be | pasqualina-vonlanthendinenna | 2022-03-31 |
| 968ad85 | pasqualina-vonlanthendinenna | 2022-03-29 |
| dfd75e9 | pasqualina-vonlanthendinenna | 2022-03-29 |
| e12a216 | pasqualina-vonlanthendinenna | 2022-03-15 |
| 1ffe07f | pasqualina-vonlanthendinenna | 2022-03-11 |
| 7540ae4 | pasqualina-vonlanthendinenna | 2022-03-08 |
| 71ced5f | pasqualina-vonlanthendinenna | 2022-02-23 |
| d7debab | pasqualina-vonlanthendinenna | 2022-02-02 |
| 7376be6 | pasqualina-vonlanthendinenna | 2022-02-02 |
# rm(profile_count_biome)
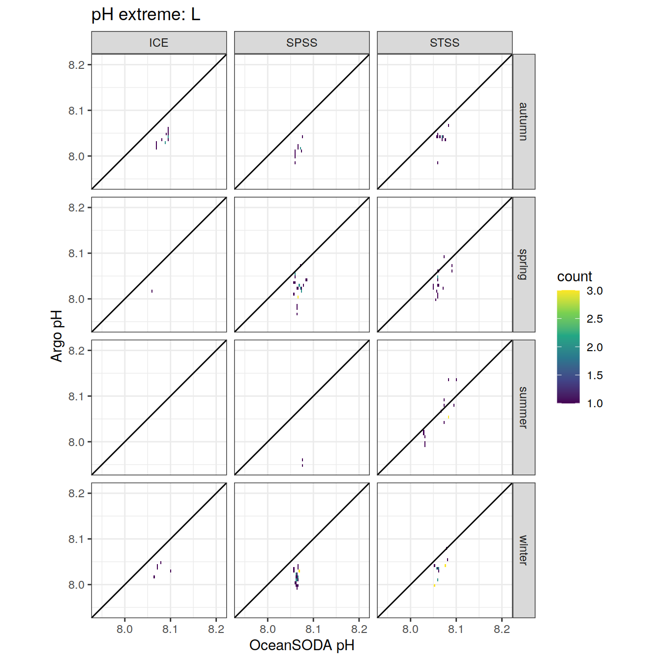
Surface Argo vs surface OceanSODA pH (20 m) season x biome
surface_ph_biome <- profile_extreme %>%
filter(depth <= 20) %>%
group_by(season, biome_name, ph_extreme, platform_number, cycle_number) %>%
summarise(argo_surf_ph = mean(ph_in_situ_total_adjusted, na.rm=TRUE),
OceanSODA_surf_ph = mean(OceanSODA_ph, na.rm = TRUE))
surface_ph_biome %>%
group_by(ph_extreme) %>%
group_split(ph_extreme) %>%
map(
~ggplot(data = .x, aes(x = OceanSODA_surf_ph,
y = argo_surf_ph))+
geom_bin2d(data = .x, aes(x = OceanSODA_surf_ph,
y = argo_surf_ph)) +
scale_fill_viridis_c()+
geom_abline(slope = 1, intercept = 0)+
coord_fixed(ratio = 1,
xlim = c(7.94, 8.21),
ylim = c(7.94, 8.21))+
facet_grid(season~biome_name) +
labs(title = paste( 'pH extreme:', unique(.x$ph_extreme)),
x = 'OceanSODA pH',
y = 'Argo pH')
)
[[1]]

| Version | Author | Date |
|---|---|---|
| b917bd0 | jens-daniel-mueller | 2022-05-11 |
| 9875dd0 | pasqualina-vonlanthendinenna | 2022-04-05 |
| eb8e3be | pasqualina-vonlanthendinenna | 2022-03-31 |
| 968ad85 | pasqualina-vonlanthendinenna | 2022-03-29 |
| dfd75e9 | pasqualina-vonlanthendinenna | 2022-03-29 |
| e12a216 | pasqualina-vonlanthendinenna | 2022-03-15 |
| 1ffe07f | pasqualina-vonlanthendinenna | 2022-03-11 |
| 7540ae4 | pasqualina-vonlanthendinenna | 2022-03-08 |
| fd521d1 | pasqualina-vonlanthendinenna | 2022-02-25 |
| 71ced5f | pasqualina-vonlanthendinenna | 2022-02-23 |
| 25c9e6b | pasqualina-vonlanthendinenna | 2022-02-03 |
| 71958c4 | pasqualina-vonlanthendinenna | 2022-02-03 |
| d7debab | pasqualina-vonlanthendinenna | 2022-02-02 |
| 7376be6 | pasqualina-vonlanthendinenna | 2022-02-02 |
[[2]]

| Version | Author | Date |
|---|---|---|
| b917bd0 | jens-daniel-mueller | 2022-05-11 |
| 9875dd0 | pasqualina-vonlanthendinenna | 2022-04-05 |
| eb8e3be | pasqualina-vonlanthendinenna | 2022-03-31 |
| 968ad85 | pasqualina-vonlanthendinenna | 2022-03-29 |
| dfd75e9 | pasqualina-vonlanthendinenna | 2022-03-29 |
| e12a216 | pasqualina-vonlanthendinenna | 2022-03-15 |
| 1ffe07f | pasqualina-vonlanthendinenna | 2022-03-11 |
| 7540ae4 | pasqualina-vonlanthendinenna | 2022-03-08 |
| fd521d1 | pasqualina-vonlanthendinenna | 2022-02-25 |
| 71ced5f | pasqualina-vonlanthendinenna | 2022-02-23 |
| 25c9e6b | pasqualina-vonlanthendinenna | 2022-02-03 |
| 71958c4 | pasqualina-vonlanthendinenna | 2022-02-03 |
| d7debab | pasqualina-vonlanthendinenna | 2022-02-02 |
| 7376be6 | pasqualina-vonlanthendinenna | 2022-02-02 |
[[3]]

| Version | Author | Date |
|---|---|---|
| b917bd0 | jens-daniel-mueller | 2022-05-11 |
| 9875dd0 | pasqualina-vonlanthendinenna | 2022-04-05 |
| eb8e3be | pasqualina-vonlanthendinenna | 2022-03-31 |
| 968ad85 | pasqualina-vonlanthendinenna | 2022-03-29 |
| dfd75e9 | pasqualina-vonlanthendinenna | 2022-03-29 |
| e12a216 | pasqualina-vonlanthendinenna | 2022-03-15 |
| 1ffe07f | pasqualina-vonlanthendinenna | 2022-03-11 |
| 7540ae4 | pasqualina-vonlanthendinenna | 2022-03-08 |
| fd521d1 | pasqualina-vonlanthendinenna | 2022-02-25 |
| 71ced5f | pasqualina-vonlanthendinenna | 2022-02-23 |
| 25c9e6b | pasqualina-vonlanthendinenna | 2022-02-03 |
| 71958c4 | pasqualina-vonlanthendinenna | 2022-02-03 |
| d7debab | pasqualina-vonlanthendinenna | 2022-02-02 |
| 7376be6 | pasqualina-vonlanthendinenna | 2022-02-02 |
rm(surface_ph_biome)
profile_extreme_basin <- profile_extreme %>%
group_by(season, basin_AIP, ph_extreme, depth) %>%
summarise(ph_basin = mean(ph_in_situ_total_adjusted, na.rm = TRUE),
ph_basin_std = sd(ph_in_situ_total_adjusted, na.rm = TRUE)) %>%
ungroup()
profile_extreme_basin %>%
ggplot(aes(x = ph_basin,
y = depth,
group = ph_extreme,
col = ph_extreme))+
geom_ribbon(aes(xmax = ph_basin + ph_basin_std,
xmin = ph_basin - ph_basin_std,
group = ph_extreme,
fill = ph_extreme),
col = NA,
alpha = 0.3)+
geom_path()+
scale_color_manual(values = HNL_colors)+
scale_fill_manual(values = HNL_colors)+
labs(col = 'OceanSODA\npH anomaly\n(mean ± st dev)',
fill = 'OceanSODA\npH anomaly\n(mean ± st dev)',
y = 'depth (m)',
x = 'Basin mean Argo pH',
title = 'Basin-mean Argo profiles')+
scale_y_continuous(trans = trans_reverser("sqrt"),
breaks = c(10, 100, 250, 500, seq(1000, 5000, 500))) +
facet_grid(season~basin_AIP)

| Version | Author | Date |
|---|---|---|
| b917bd0 | jens-daniel-mueller | 2022-05-11 |
| 9875dd0 | pasqualina-vonlanthendinenna | 2022-04-05 |
| eb8e3be | pasqualina-vonlanthendinenna | 2022-03-31 |
| 968ad85 | pasqualina-vonlanthendinenna | 2022-03-29 |
| dfd75e9 | pasqualina-vonlanthendinenna | 2022-03-29 |
| e12a216 | pasqualina-vonlanthendinenna | 2022-03-15 |
| 1ffe07f | pasqualina-vonlanthendinenna | 2022-03-11 |
| 7540ae4 | pasqualina-vonlanthendinenna | 2022-03-08 |
| daa0a8f | pasqualina-vonlanthendinenna | 2022-02-24 |
| 71ced5f | pasqualina-vonlanthendinenna | 2022-02-23 |
| 44a2ec3 | pasqualina-vonlanthendinenna | 2022-02-01 |
| 44fcfb6 | pasqualina-vonlanthendinenna | 2022-02-01 |
| 28c8d17 | jens-daniel-mueller | 2022-01-29 |
| cfd734c | jens-daniel-mueller | 2022-01-28 |
| c44ff0f | pasqualina-vonlanthendinenna | 2022-01-25 |
rm(profile_extreme_basin)
Number of profiles season x basin
profile_count_basin <- profile_extreme %>%
distinct(season, basin_AIP, ph_extreme, platform_number, cycle_number) %>%
group_by(season, basin_AIP, ph_extreme) %>%
count(ph_extreme)
profile_count_basin %>%
ggplot(aes(x = ph_extreme, y = n, fill = ph_extreme))+
geom_col(width = 0.5)+
facet_grid(season~basin_AIP)+
scale_y_continuous(trans = 'log10')+
labs(y = 'log(number of profiles)',
title = 'Number of profiles season x basin')

| Version | Author | Date |
|---|---|---|
| b917bd0 | jens-daniel-mueller | 2022-05-11 |
| 9875dd0 | pasqualina-vonlanthendinenna | 2022-04-05 |
| eb8e3be | pasqualina-vonlanthendinenna | 2022-03-31 |
| 968ad85 | pasqualina-vonlanthendinenna | 2022-03-29 |
| dfd75e9 | pasqualina-vonlanthendinenna | 2022-03-29 |
| e12a216 | pasqualina-vonlanthendinenna | 2022-03-15 |
| 1ffe07f | pasqualina-vonlanthendinenna | 2022-03-11 |
| 7540ae4 | pasqualina-vonlanthendinenna | 2022-03-08 |
| 71ced5f | pasqualina-vonlanthendinenna | 2022-02-23 |
| d7debab | pasqualina-vonlanthendinenna | 2022-02-02 |
| 7376be6 | pasqualina-vonlanthendinenna | 2022-02-02 |
# rm(profile_count_basin)
Surface Argo vs surface OceanSODA pH (20 m) season x basin
# calculate surface-mean argo pH to compare against OceanSODA surface pH (one value)
surface_ph_basin <- profile_extreme %>%
filter(depth <= 20) %>%
group_by(season, basin_AIP, ph_extreme, platform_number, cycle_number) %>%
summarise(surf_argo_ph = mean(ph_in_situ_total_adjusted, na.rm=TRUE),
surf_OceanSODA_ph = mean(OceanSODA_ph, na.rm = TRUE))
surface_ph_basin %>%
group_by(ph_extreme) %>%
group_split(ph_extreme) %>%
map(
~ggplot(data = .x, aes(x = surf_OceanSODA_ph,
y = surf_argo_ph))+
geom_bin2d(data = .x, aes(x = surf_OceanSODA_ph,
y = surf_argo_ph)) +
scale_fill_viridis_c()+
geom_abline(slope = 1, intercept = 0)+
coord_fixed(ratio = 1,
xlim = c(7.94, 8.21),
ylim = c(7.94, 8.21))+
facet_grid(season~basin_AIP) +
labs(title = paste('pH extreme:', unique(.x$ph_extreme)),
x = 'OceanSODA pH',
y = 'Argo pH')
)
[[1]]

| Version | Author | Date |
|---|---|---|
| b917bd0 | jens-daniel-mueller | 2022-05-11 |
| 9875dd0 | pasqualina-vonlanthendinenna | 2022-04-05 |
| eb8e3be | pasqualina-vonlanthendinenna | 2022-03-31 |
| 968ad85 | pasqualina-vonlanthendinenna | 2022-03-29 |
| dfd75e9 | pasqualina-vonlanthendinenna | 2022-03-29 |
| e12a216 | pasqualina-vonlanthendinenna | 2022-03-15 |
| 1ffe07f | pasqualina-vonlanthendinenna | 2022-03-11 |
| 7540ae4 | pasqualina-vonlanthendinenna | 2022-03-08 |
| fd521d1 | pasqualina-vonlanthendinenna | 2022-02-25 |
| 71ced5f | pasqualina-vonlanthendinenna | 2022-02-23 |
| 25c9e6b | pasqualina-vonlanthendinenna | 2022-02-03 |
| 2d1bdae | pasqualina-vonlanthendinenna | 2022-02-03 |
| 71958c4 | pasqualina-vonlanthendinenna | 2022-02-03 |
| d7debab | pasqualina-vonlanthendinenna | 2022-02-02 |
| 7376be6 | pasqualina-vonlanthendinenna | 2022-02-02 |
[[2]]

| Version | Author | Date |
|---|---|---|
| b917bd0 | jens-daniel-mueller | 2022-05-11 |
| 9875dd0 | pasqualina-vonlanthendinenna | 2022-04-05 |
| eb8e3be | pasqualina-vonlanthendinenna | 2022-03-31 |
| 968ad85 | pasqualina-vonlanthendinenna | 2022-03-29 |
| dfd75e9 | pasqualina-vonlanthendinenna | 2022-03-29 |
| e12a216 | pasqualina-vonlanthendinenna | 2022-03-15 |
| 1ffe07f | pasqualina-vonlanthendinenna | 2022-03-11 |
| 7540ae4 | pasqualina-vonlanthendinenna | 2022-03-08 |
| fd521d1 | pasqualina-vonlanthendinenna | 2022-02-25 |
| 71ced5f | pasqualina-vonlanthendinenna | 2022-02-23 |
| 25c9e6b | pasqualina-vonlanthendinenna | 2022-02-03 |
| 2d1bdae | pasqualina-vonlanthendinenna | 2022-02-03 |
| 71958c4 | pasqualina-vonlanthendinenna | 2022-02-03 |
| d7debab | pasqualina-vonlanthendinenna | 2022-02-02 |
| 7376be6 | pasqualina-vonlanthendinenna | 2022-02-02 |
[[3]]

| Version | Author | Date |
|---|---|---|
| b917bd0 | jens-daniel-mueller | 2022-05-11 |
| 9875dd0 | pasqualina-vonlanthendinenna | 2022-04-05 |
| eb8e3be | pasqualina-vonlanthendinenna | 2022-03-31 |
| 968ad85 | pasqualina-vonlanthendinenna | 2022-03-29 |
| dfd75e9 | pasqualina-vonlanthendinenna | 2022-03-29 |
| e12a216 | pasqualina-vonlanthendinenna | 2022-03-15 |
| 1ffe07f | pasqualina-vonlanthendinenna | 2022-03-11 |
| 7540ae4 | pasqualina-vonlanthendinenna | 2022-03-08 |
| fd521d1 | pasqualina-vonlanthendinenna | 2022-02-25 |
| 71ced5f | pasqualina-vonlanthendinenna | 2022-02-23 |
| 25c9e6b | pasqualina-vonlanthendinenna | 2022-02-03 |
| 2d1bdae | pasqualina-vonlanthendinenna | 2022-02-03 |
| 71958c4 | pasqualina-vonlanthendinenna | 2022-02-03 |
| d7debab | pasqualina-vonlanthendinenna | 2022-02-02 |
| 7376be6 | pasqualina-vonlanthendinenna | 2022-02-02 |
rm(surface_ph_basin)
profile_extreme_biome_basin_jan <- profile_extreme %>%
filter(month == 1) %>%
group_by(biome_name, basin_AIP, ph_extreme, depth) %>%
summarise(ph_mean = mean(ph_in_situ_total_adjusted, na.rm = TRUE),
ph_std = sd(ph_in_situ_total_adjusted, na.rm = TRUE)) %>%
ungroup()
profile_extreme_biome_basin_jan %>%
arrange(depth) %>%
ggplot(aes(x = ph_mean,
y = depth)) +
geom_ribbon(aes(xmin = ph_mean - ph_std,
xmax = ph_mean + ph_std,
fill = ph_extreme),
alpha = 0.2)+
geom_path(aes(x = ph_mean,
col = ph_extreme))+
facet_grid(basin_AIP~biome_name)+
scale_color_manual(values = HNL_colors) +
scale_fill_manual(values = HNL_colors)+
labs(title = "Basin-biome-mean January profiles",
col = 'OceanSODA\nph anomaly \n(mean ± st dev)',
fill = 'OceanSODA\nph anomaly \n(mean ± st dev)',
y = 'sqrt(depth)',
x = 'mean Argo pH)') +
scale_y_continuous(trans = trans_reverser("sqrt"),
breaks = c(10, 100, 250, 500, seq(1000, 5000, 500)))

rm(profile_extreme_biome_basin_jan)
profile_extreme_season <- profile_extreme %>%
group_by(season, biome_name, basin_AIP, ph_extreme, depth) %>%
summarise(ph_mean = mean(ph_in_situ_total_adjusted, na.rm = TRUE),
ph_std = sd(ph_in_situ_total_adjusted, na.rm = TRUE)) %>%
ungroup()
profile_extreme_season %>%
arrange(depth) %>%
group_split(season) %>%
# head(1) %>%
map(
~ ggplot(
data = .x,
aes(
x = ph_mean,
y = depth,
group = ph_extreme,
col = ph_extreme
)
) +
geom_ribbon(aes(xmax = ph_mean + ph_std,
xmin = ph_mean - ph_std,
group = ph_extreme,
fill = ph_extreme),
col = NA,
alpha = 0.2)+
geom_path() +
scale_color_manual(values = HNL_colors) +
scale_fill_manual(values = HNL_colors)+
labs(title = paste("season:", unique(.x$season)),
col = 'OceanSODA\npH anomaly\n(mean ± st dev)',
fill = 'OceanSODA\npH anomaly\n(mean ± st dev)',
y = 'sqrt(depth)',
x = 'Argo pH') +
scale_y_continuous(
trans = trans_reverser("sqrt"),
breaks = c(10, 100, 250, 500, seq(1000, 5000, 500))
) +
facet_grid(basin_AIP ~ biome_name)
)
[[1]]

| Version | Author | Date |
|---|---|---|
| b917bd0 | jens-daniel-mueller | 2022-05-11 |
| 9875dd0 | pasqualina-vonlanthendinenna | 2022-04-05 |
| eb8e3be | pasqualina-vonlanthendinenna | 2022-03-31 |
| 968ad85 | pasqualina-vonlanthendinenna | 2022-03-29 |
| dfd75e9 | pasqualina-vonlanthendinenna | 2022-03-29 |
| e12a216 | pasqualina-vonlanthendinenna | 2022-03-15 |
| 1ffe07f | pasqualina-vonlanthendinenna | 2022-03-11 |
| 7540ae4 | pasqualina-vonlanthendinenna | 2022-03-08 |
| daa0a8f | pasqualina-vonlanthendinenna | 2022-02-24 |
| 71ced5f | pasqualina-vonlanthendinenna | 2022-02-23 |
| 44a2ec3 | pasqualina-vonlanthendinenna | 2022-02-01 |
| 44fcfb6 | pasqualina-vonlanthendinenna | 2022-02-01 |
| 28c8d17 | jens-daniel-mueller | 2022-01-29 |
[[2]]

| Version | Author | Date |
|---|---|---|
| b917bd0 | jens-daniel-mueller | 2022-05-11 |
| 9875dd0 | pasqualina-vonlanthendinenna | 2022-04-05 |
| eb8e3be | pasqualina-vonlanthendinenna | 2022-03-31 |
| 968ad85 | pasqualina-vonlanthendinenna | 2022-03-29 |
| dfd75e9 | pasqualina-vonlanthendinenna | 2022-03-29 |
| e12a216 | pasqualina-vonlanthendinenna | 2022-03-15 |
| 1ffe07f | pasqualina-vonlanthendinenna | 2022-03-11 |
| 7540ae4 | pasqualina-vonlanthendinenna | 2022-03-08 |
| daa0a8f | pasqualina-vonlanthendinenna | 2022-02-24 |
| 71ced5f | pasqualina-vonlanthendinenna | 2022-02-23 |
| 44a2ec3 | pasqualina-vonlanthendinenna | 2022-02-01 |
| 44fcfb6 | pasqualina-vonlanthendinenna | 2022-02-01 |
| 28c8d17 | jens-daniel-mueller | 2022-01-29 |
[[3]]

| Version | Author | Date |
|---|---|---|
| b917bd0 | jens-daniel-mueller | 2022-05-11 |
| 9875dd0 | pasqualina-vonlanthendinenna | 2022-04-05 |
| eb8e3be | pasqualina-vonlanthendinenna | 2022-03-31 |
| 968ad85 | pasqualina-vonlanthendinenna | 2022-03-29 |
| dfd75e9 | pasqualina-vonlanthendinenna | 2022-03-29 |
| e12a216 | pasqualina-vonlanthendinenna | 2022-03-15 |
| 1ffe07f | pasqualina-vonlanthendinenna | 2022-03-11 |
| 7540ae4 | pasqualina-vonlanthendinenna | 2022-03-08 |
| daa0a8f | pasqualina-vonlanthendinenna | 2022-02-24 |
| 71ced5f | pasqualina-vonlanthendinenna | 2022-02-23 |
| 44a2ec3 | pasqualina-vonlanthendinenna | 2022-02-01 |
| 44fcfb6 | pasqualina-vonlanthendinenna | 2022-02-01 |
| 28c8d17 | jens-daniel-mueller | 2022-01-29 |
[[4]]

| Version | Author | Date |
|---|---|---|
| b917bd0 | jens-daniel-mueller | 2022-05-11 |
| 9875dd0 | pasqualina-vonlanthendinenna | 2022-04-05 |
| eb8e3be | pasqualina-vonlanthendinenna | 2022-03-31 |
| 968ad85 | pasqualina-vonlanthendinenna | 2022-03-29 |
| dfd75e9 | pasqualina-vonlanthendinenna | 2022-03-29 |
| e12a216 | pasqualina-vonlanthendinenna | 2022-03-15 |
| 1ffe07f | pasqualina-vonlanthendinenna | 2022-03-11 |
| 7540ae4 | pasqualina-vonlanthendinenna | 2022-03-08 |
| daa0a8f | pasqualina-vonlanthendinenna | 2022-02-24 |
| 71ced5f | pasqualina-vonlanthendinenna | 2022-02-23 |
| 44a2ec3 | pasqualina-vonlanthendinenna | 2022-02-01 |
| 44fcfb6 | pasqualina-vonlanthendinenna | 2022-02-01 |
| 28c8d17 | jens-daniel-mueller | 2022-01-29 |
Number of profiles per season x biome x basin x pH extreme
profile_count_season <- profile_extreme %>%
distinct(season, biome_name, basin_AIP,
ph_extreme, platform_number, cycle_number) %>%
group_by(season, biome_name, basin_AIP, ph_extreme) %>%
count(ph_extreme)
profile_count_season %>%
group_by(season) %>%
group_split(season) %>%
map(
~ggplot()+
geom_col(data =.x,
aes(x = ph_extreme,
y = n,
fill = ph_extreme),
width = 0.5)+
facet_grid(basin_AIP ~ biome_name)+
scale_y_continuous(trans = 'log10')+
labs(y = 'log(number of profiles)',
title = paste('season:', unique(.x$season)))
)
[[1]]

| Version | Author | Date |
|---|---|---|
| b917bd0 | jens-daniel-mueller | 2022-05-11 |
| 9875dd0 | pasqualina-vonlanthendinenna | 2022-04-05 |
| eb8e3be | pasqualina-vonlanthendinenna | 2022-03-31 |
| 968ad85 | pasqualina-vonlanthendinenna | 2022-03-29 |
| dfd75e9 | pasqualina-vonlanthendinenna | 2022-03-29 |
| e12a216 | pasqualina-vonlanthendinenna | 2022-03-15 |
| 1ffe07f | pasqualina-vonlanthendinenna | 2022-03-11 |
| 7540ae4 | pasqualina-vonlanthendinenna | 2022-03-08 |
| 71ced5f | pasqualina-vonlanthendinenna | 2022-02-23 |
| 2d1bdae | pasqualina-vonlanthendinenna | 2022-02-03 |
| d7debab | pasqualina-vonlanthendinenna | 2022-02-02 |
| 7376be6 | pasqualina-vonlanthendinenna | 2022-02-02 |
| 44a2ec3 | pasqualina-vonlanthendinenna | 2022-02-01 |
[[2]]

| Version | Author | Date |
|---|---|---|
| b917bd0 | jens-daniel-mueller | 2022-05-11 |
| 9875dd0 | pasqualina-vonlanthendinenna | 2022-04-05 |
| eb8e3be | pasqualina-vonlanthendinenna | 2022-03-31 |
| 968ad85 | pasqualina-vonlanthendinenna | 2022-03-29 |
| dfd75e9 | pasqualina-vonlanthendinenna | 2022-03-29 |
| e12a216 | pasqualina-vonlanthendinenna | 2022-03-15 |
| 1ffe07f | pasqualina-vonlanthendinenna | 2022-03-11 |
| 7540ae4 | pasqualina-vonlanthendinenna | 2022-03-08 |
| 71ced5f | pasqualina-vonlanthendinenna | 2022-02-23 |
| 2d1bdae | pasqualina-vonlanthendinenna | 2022-02-03 |
| d7debab | pasqualina-vonlanthendinenna | 2022-02-02 |
| 7376be6 | pasqualina-vonlanthendinenna | 2022-02-02 |
| 44a2ec3 | pasqualina-vonlanthendinenna | 2022-02-01 |
[[3]]

| Version | Author | Date |
|---|---|---|
| b917bd0 | jens-daniel-mueller | 2022-05-11 |
| 9875dd0 | pasqualina-vonlanthendinenna | 2022-04-05 |
| eb8e3be | pasqualina-vonlanthendinenna | 2022-03-31 |
| 968ad85 | pasqualina-vonlanthendinenna | 2022-03-29 |
| dfd75e9 | pasqualina-vonlanthendinenna | 2022-03-29 |
| e12a216 | pasqualina-vonlanthendinenna | 2022-03-15 |
| 1ffe07f | pasqualina-vonlanthendinenna | 2022-03-11 |
| 7540ae4 | pasqualina-vonlanthendinenna | 2022-03-08 |
| 71ced5f | pasqualina-vonlanthendinenna | 2022-02-23 |
| 2d1bdae | pasqualina-vonlanthendinenna | 2022-02-03 |
| d7debab | pasqualina-vonlanthendinenna | 2022-02-02 |
| 7376be6 | pasqualina-vonlanthendinenna | 2022-02-02 |
| 44a2ec3 | pasqualina-vonlanthendinenna | 2022-02-01 |
[[4]]

| Version | Author | Date |
|---|---|---|
| b917bd0 | jens-daniel-mueller | 2022-05-11 |
| 9875dd0 | pasqualina-vonlanthendinenna | 2022-04-05 |
| eb8e3be | pasqualina-vonlanthendinenna | 2022-03-31 |
| 968ad85 | pasqualina-vonlanthendinenna | 2022-03-29 |
| dfd75e9 | pasqualina-vonlanthendinenna | 2022-03-29 |
| e12a216 | pasqualina-vonlanthendinenna | 2022-03-15 |
| 1ffe07f | pasqualina-vonlanthendinenna | 2022-03-11 |
| 7540ae4 | pasqualina-vonlanthendinenna | 2022-03-08 |
| 71ced5f | pasqualina-vonlanthendinenna | 2022-02-23 |
| 2d1bdae | pasqualina-vonlanthendinenna | 2022-02-03 |
| d7debab | pasqualina-vonlanthendinenna | 2022-02-02 |
| 7376be6 | pasqualina-vonlanthendinenna | 2022-02-02 |
| 44a2ec3 | pasqualina-vonlanthendinenna | 2022-02-01 |
# rm(profile_count_season)
Surface OceanSODA pH vs surface Argo pH (20 m)
# calculate surface-mean argo pH, for each season x biome x basin x ph extreme
surface_ph_season <- profile_extreme %>%
filter(depth <= 20) %>%
group_by(season,
basin_AIP,
biome_name,
ph_extreme,
platform_number,
cycle_number) %>%
summarise(surf_argo_ph = mean(ph_in_situ_total_adjusted, na.rm=TRUE),
surf_OceanSODA_ph = mean(OceanSODA_ph, na.rm = TRUE))
surface_ph_season %>%
group_by(season, ph_extreme) %>%
group_split(season, ph_extreme) %>%
map(
~ggplot(data = .x, aes(x = surf_OceanSODA_ph,
y = surf_argo_ph))+
geom_bin2d(data = .x, aes(x = surf_OceanSODA_ph,
y = surf_argo_ph)) +
scale_fill_viridis_c()+
geom_abline(slope = 1, intercept = 0)+
coord_fixed(ratio = 1,
xlim = c(7.94, 8.21),
ylim = c(7.94, 8.21))+
facet_grid(basin_AIP ~ biome_name) +
labs(title = paste('season:', unique(.x$season),
'| pH extreme:', unique(.x$ph_extreme)),
x = 'OceanSODA pH',
y = 'Argo pH')
)
[[1]]

| Version | Author | Date |
|---|---|---|
| b917bd0 | jens-daniel-mueller | 2022-05-11 |
| 9875dd0 | pasqualina-vonlanthendinenna | 2022-04-05 |
| eb8e3be | pasqualina-vonlanthendinenna | 2022-03-31 |
| 968ad85 | pasqualina-vonlanthendinenna | 2022-03-29 |
| dfd75e9 | pasqualina-vonlanthendinenna | 2022-03-29 |
| e12a216 | pasqualina-vonlanthendinenna | 2022-03-15 |
| 1ffe07f | pasqualina-vonlanthendinenna | 2022-03-11 |
| 7540ae4 | pasqualina-vonlanthendinenna | 2022-03-08 |
| fd521d1 | pasqualina-vonlanthendinenna | 2022-02-25 |
| 71ced5f | pasqualina-vonlanthendinenna | 2022-02-23 |
| 71958c4 | pasqualina-vonlanthendinenna | 2022-02-03 |
| d7debab | pasqualina-vonlanthendinenna | 2022-02-02 |
| 7376be6 | pasqualina-vonlanthendinenna | 2022-02-02 |
| de183c6 | pasqualina-vonlanthendinenna | 2022-02-01 |
| 44a2ec3 | pasqualina-vonlanthendinenna | 2022-02-01 |
[[2]]

| Version | Author | Date |
|---|---|---|
| b917bd0 | jens-daniel-mueller | 2022-05-11 |
| 9875dd0 | pasqualina-vonlanthendinenna | 2022-04-05 |
| eb8e3be | pasqualina-vonlanthendinenna | 2022-03-31 |
| 968ad85 | pasqualina-vonlanthendinenna | 2022-03-29 |
| dfd75e9 | pasqualina-vonlanthendinenna | 2022-03-29 |
| e12a216 | pasqualina-vonlanthendinenna | 2022-03-15 |
| 1ffe07f | pasqualina-vonlanthendinenna | 2022-03-11 |
| 7540ae4 | pasqualina-vonlanthendinenna | 2022-03-08 |
| fd521d1 | pasqualina-vonlanthendinenna | 2022-02-25 |
| 71ced5f | pasqualina-vonlanthendinenna | 2022-02-23 |
| 25c9e6b | pasqualina-vonlanthendinenna | 2022-02-03 |
| 71958c4 | pasqualina-vonlanthendinenna | 2022-02-03 |
| d7debab | pasqualina-vonlanthendinenna | 2022-02-02 |
| 7376be6 | pasqualina-vonlanthendinenna | 2022-02-02 |
| de183c6 | pasqualina-vonlanthendinenna | 2022-02-01 |
| 44a2ec3 | pasqualina-vonlanthendinenna | 2022-02-01 |
[[3]]

| Version | Author | Date |
|---|---|---|
| b917bd0 | jens-daniel-mueller | 2022-05-11 |
| 9875dd0 | pasqualina-vonlanthendinenna | 2022-04-05 |
| eb8e3be | pasqualina-vonlanthendinenna | 2022-03-31 |
| 968ad85 | pasqualina-vonlanthendinenna | 2022-03-29 |
| dfd75e9 | pasqualina-vonlanthendinenna | 2022-03-29 |
| e12a216 | pasqualina-vonlanthendinenna | 2022-03-15 |
| 1ffe07f | pasqualina-vonlanthendinenna | 2022-03-11 |
| 7540ae4 | pasqualina-vonlanthendinenna | 2022-03-08 |
| fd521d1 | pasqualina-vonlanthendinenna | 2022-02-25 |
| 71ced5f | pasqualina-vonlanthendinenna | 2022-02-23 |
| 71958c4 | pasqualina-vonlanthendinenna | 2022-02-03 |
| d7debab | pasqualina-vonlanthendinenna | 2022-02-02 |
| 7376be6 | pasqualina-vonlanthendinenna | 2022-02-02 |
| de183c6 | pasqualina-vonlanthendinenna | 2022-02-01 |
| 44a2ec3 | pasqualina-vonlanthendinenna | 2022-02-01 |
[[4]]

| Version | Author | Date |
|---|---|---|
| b917bd0 | jens-daniel-mueller | 2022-05-11 |
| 9875dd0 | pasqualina-vonlanthendinenna | 2022-04-05 |
| eb8e3be | pasqualina-vonlanthendinenna | 2022-03-31 |
| 968ad85 | pasqualina-vonlanthendinenna | 2022-03-29 |
| dfd75e9 | pasqualina-vonlanthendinenna | 2022-03-29 |
| e12a216 | pasqualina-vonlanthendinenna | 2022-03-15 |
| 1ffe07f | pasqualina-vonlanthendinenna | 2022-03-11 |
| 7540ae4 | pasqualina-vonlanthendinenna | 2022-03-08 |
| fd521d1 | pasqualina-vonlanthendinenna | 2022-02-25 |
| 71ced5f | pasqualina-vonlanthendinenna | 2022-02-23 |
| 71958c4 | pasqualina-vonlanthendinenna | 2022-02-03 |
| d7debab | pasqualina-vonlanthendinenna | 2022-02-02 |
| 7376be6 | pasqualina-vonlanthendinenna | 2022-02-02 |
| de183c6 | pasqualina-vonlanthendinenna | 2022-02-01 |
| 44a2ec3 | pasqualina-vonlanthendinenna | 2022-02-01 |
[[5]]

| Version | Author | Date |
|---|---|---|
| b917bd0 | jens-daniel-mueller | 2022-05-11 |
| 9875dd0 | pasqualina-vonlanthendinenna | 2022-04-05 |
| eb8e3be | pasqualina-vonlanthendinenna | 2022-03-31 |
| 968ad85 | pasqualina-vonlanthendinenna | 2022-03-29 |
| dfd75e9 | pasqualina-vonlanthendinenna | 2022-03-29 |
| e12a216 | pasqualina-vonlanthendinenna | 2022-03-15 |
| 1ffe07f | pasqualina-vonlanthendinenna | 2022-03-11 |
| 7540ae4 | pasqualina-vonlanthendinenna | 2022-03-08 |
| fd521d1 | pasqualina-vonlanthendinenna | 2022-02-25 |
| 71ced5f | pasqualina-vonlanthendinenna | 2022-02-23 |
| 25c9e6b | pasqualina-vonlanthendinenna | 2022-02-03 |
| 71958c4 | pasqualina-vonlanthendinenna | 2022-02-03 |
| d7debab | pasqualina-vonlanthendinenna | 2022-02-02 |
| 7376be6 | pasqualina-vonlanthendinenna | 2022-02-02 |
[[6]]

| Version | Author | Date |
|---|---|---|
| b917bd0 | jens-daniel-mueller | 2022-05-11 |
| 9875dd0 | pasqualina-vonlanthendinenna | 2022-04-05 |
| eb8e3be | pasqualina-vonlanthendinenna | 2022-03-31 |
| 968ad85 | pasqualina-vonlanthendinenna | 2022-03-29 |
| dfd75e9 | pasqualina-vonlanthendinenna | 2022-03-29 |
| e12a216 | pasqualina-vonlanthendinenna | 2022-03-15 |
| 1ffe07f | pasqualina-vonlanthendinenna | 2022-03-11 |
| 7540ae4 | pasqualina-vonlanthendinenna | 2022-03-08 |
| fd521d1 | pasqualina-vonlanthendinenna | 2022-02-25 |
| 71ced5f | pasqualina-vonlanthendinenna | 2022-02-23 |
| 71958c4 | pasqualina-vonlanthendinenna | 2022-02-03 |
| d7debab | pasqualina-vonlanthendinenna | 2022-02-02 |
| 7376be6 | pasqualina-vonlanthendinenna | 2022-02-02 |
[[7]]

| Version | Author | Date |
|---|---|---|
| b917bd0 | jens-daniel-mueller | 2022-05-11 |
| 9875dd0 | pasqualina-vonlanthendinenna | 2022-04-05 |
| eb8e3be | pasqualina-vonlanthendinenna | 2022-03-31 |
| 968ad85 | pasqualina-vonlanthendinenna | 2022-03-29 |
| dfd75e9 | pasqualina-vonlanthendinenna | 2022-03-29 |
| e12a216 | pasqualina-vonlanthendinenna | 2022-03-15 |
| 1ffe07f | pasqualina-vonlanthendinenna | 2022-03-11 |
| 7540ae4 | pasqualina-vonlanthendinenna | 2022-03-08 |
| fd521d1 | pasqualina-vonlanthendinenna | 2022-02-25 |
| 71ced5f | pasqualina-vonlanthendinenna | 2022-02-23 |
| 25c9e6b | pasqualina-vonlanthendinenna | 2022-02-03 |
| 71958c4 | pasqualina-vonlanthendinenna | 2022-02-03 |
| d7debab | pasqualina-vonlanthendinenna | 2022-02-02 |
| 7376be6 | pasqualina-vonlanthendinenna | 2022-02-02 |
[[8]]

| Version | Author | Date |
|---|---|---|
| b917bd0 | jens-daniel-mueller | 2022-05-11 |
| 9875dd0 | pasqualina-vonlanthendinenna | 2022-04-05 |
| eb8e3be | pasqualina-vonlanthendinenna | 2022-03-31 |
| 968ad85 | pasqualina-vonlanthendinenna | 2022-03-29 |
| dfd75e9 | pasqualina-vonlanthendinenna | 2022-03-29 |
| e12a216 | pasqualina-vonlanthendinenna | 2022-03-15 |
| 1ffe07f | pasqualina-vonlanthendinenna | 2022-03-11 |
| 7540ae4 | pasqualina-vonlanthendinenna | 2022-03-08 |
| fd521d1 | pasqualina-vonlanthendinenna | 2022-02-25 |
| 71ced5f | pasqualina-vonlanthendinenna | 2022-02-23 |
| 25c9e6b | pasqualina-vonlanthendinenna | 2022-02-03 |
| 71958c4 | pasqualina-vonlanthendinenna | 2022-02-03 |
| d7debab | pasqualina-vonlanthendinenna | 2022-02-02 |
| 7376be6 | pasqualina-vonlanthendinenna | 2022-02-02 |
[[9]]

| Version | Author | Date |
|---|---|---|
| b917bd0 | jens-daniel-mueller | 2022-05-11 |
| 9875dd0 | pasqualina-vonlanthendinenna | 2022-04-05 |
| eb8e3be | pasqualina-vonlanthendinenna | 2022-03-31 |
| 968ad85 | pasqualina-vonlanthendinenna | 2022-03-29 |
| dfd75e9 | pasqualina-vonlanthendinenna | 2022-03-29 |
| e12a216 | pasqualina-vonlanthendinenna | 2022-03-15 |
| 1ffe07f | pasqualina-vonlanthendinenna | 2022-03-11 |
| 7540ae4 | pasqualina-vonlanthendinenna | 2022-03-08 |
| fd521d1 | pasqualina-vonlanthendinenna | 2022-02-25 |
| 71ced5f | pasqualina-vonlanthendinenna | 2022-02-23 |
| 71958c4 | pasqualina-vonlanthendinenna | 2022-02-03 |
| d7debab | pasqualina-vonlanthendinenna | 2022-02-02 |
| 7376be6 | pasqualina-vonlanthendinenna | 2022-02-02 |
[[10]]

| Version | Author | Date |
|---|---|---|
| b917bd0 | jens-daniel-mueller | 2022-05-11 |
| 9875dd0 | pasqualina-vonlanthendinenna | 2022-04-05 |
| eb8e3be | pasqualina-vonlanthendinenna | 2022-03-31 |
| 968ad85 | pasqualina-vonlanthendinenna | 2022-03-29 |
| dfd75e9 | pasqualina-vonlanthendinenna | 2022-03-29 |
| e12a216 | pasqualina-vonlanthendinenna | 2022-03-15 |
| 1ffe07f | pasqualina-vonlanthendinenna | 2022-03-11 |
| 7540ae4 | pasqualina-vonlanthendinenna | 2022-03-08 |
| fd521d1 | pasqualina-vonlanthendinenna | 2022-02-25 |
| 71ced5f | pasqualina-vonlanthendinenna | 2022-02-23 |
| 71958c4 | pasqualina-vonlanthendinenna | 2022-02-03 |
| d7debab | pasqualina-vonlanthendinenna | 2022-02-02 |
| 7376be6 | pasqualina-vonlanthendinenna | 2022-02-02 |
[[11]]

| Version | Author | Date |
|---|---|---|
| b917bd0 | jens-daniel-mueller | 2022-05-11 |
| 9875dd0 | pasqualina-vonlanthendinenna | 2022-04-05 |
| eb8e3be | pasqualina-vonlanthendinenna | 2022-03-31 |
| 968ad85 | pasqualina-vonlanthendinenna | 2022-03-29 |
| dfd75e9 | pasqualina-vonlanthendinenna | 2022-03-29 |
| e12a216 | pasqualina-vonlanthendinenna | 2022-03-15 |
| 1ffe07f | pasqualina-vonlanthendinenna | 2022-03-11 |
| 7540ae4 | pasqualina-vonlanthendinenna | 2022-03-08 |
| fd521d1 | pasqualina-vonlanthendinenna | 2022-02-25 |
| 71ced5f | pasqualina-vonlanthendinenna | 2022-02-23 |
| 25c9e6b | pasqualina-vonlanthendinenna | 2022-02-03 |
| 71958c4 | pasqualina-vonlanthendinenna | 2022-02-03 |
| d7debab | pasqualina-vonlanthendinenna | 2022-02-02 |
| 7376be6 | pasqualina-vonlanthendinenna | 2022-02-02 |
[[12]]

| Version | Author | Date |
|---|---|---|
| b917bd0 | jens-daniel-mueller | 2022-05-11 |
| 9875dd0 | pasqualina-vonlanthendinenna | 2022-04-05 |
| eb8e3be | pasqualina-vonlanthendinenna | 2022-03-31 |
| 968ad85 | pasqualina-vonlanthendinenna | 2022-03-29 |
| dfd75e9 | pasqualina-vonlanthendinenna | 2022-03-29 |
| 7540ae4 | pasqualina-vonlanthendinenna | 2022-03-08 |
| fd521d1 | pasqualina-vonlanthendinenna | 2022-02-25 |
| 71ced5f | pasqualina-vonlanthendinenna | 2022-02-23 |
| 25c9e6b | pasqualina-vonlanthendinenna | 2022-02-03 |
| 71958c4 | pasqualina-vonlanthendinenna | 2022-02-03 |
| d7debab | pasqualina-vonlanthendinenna | 2022-02-02 |
| 7376be6 | pasqualina-vonlanthendinenna | 2022-02-02 |
rm(surface_ph_season)
profile_extreme_season %>%
filter(basin_AIP == 'Atlantic',
season == 'winter',
biome_name == 'SPSS') %>%
arrange(depth) %>%
ggplot(aes(x = ph_mean,
y = depth,
group = ph_extreme,
col = ph_extreme)) +
geom_ribbon(aes(xmax = ph_mean + ph_std,
xmin = ph_mean - ph_std,
group = ph_extreme,
fill = ph_extreme),
col = NA,
alpha = 0.2)+
geom_path() +
scale_color_manual(values = HNL_colors) +
scale_fill_manual(values = HNL_colors)+
labs(title = 'Atlantic basin, SPSS biome, winter',
col = 'OceanSODA\npH anomaly\n(mean ± st dev)',
fill = 'OceanSODA\npH anomaly\n(mean ± st dev)',
y = 'sqrt(depth)',
x = 'Argo pH') +
scale_y_continuous(
trans = trans_reverser("sqrt"),
breaks = c(10, 100, 250, 500, seq(1000, 5000, 500)))

| Version | Author | Date |
|---|---|---|
| b917bd0 | jens-daniel-mueller | 2022-05-11 |
| 9875dd0 | pasqualina-vonlanthendinenna | 2022-04-05 |
| a2271df | pasqualina-vonlanthendinenna | 2022-03-30 |
| 968ad85 | pasqualina-vonlanthendinenna | 2022-03-29 |
| dfd75e9 | pasqualina-vonlanthendinenna | 2022-03-29 |
| e12a216 | pasqualina-vonlanthendinenna | 2022-03-15 |
| 1ffe07f | pasqualina-vonlanthendinenna | 2022-03-11 |
| 7540ae4 | pasqualina-vonlanthendinenna | 2022-03-08 |
| e4188d2 | pasqualina-vonlanthendinenna | 2022-03-01 |
profile_extreme_season %>%
filter(basin_AIP == 'Atlantic',
season == 'summer',
biome_name == 'STSS') %>%
arrange(depth) %>%
ggplot(aes(x = ph_mean,
y = depth,
group = ph_extreme,
col = ph_extreme)) +
geom_ribbon(aes(xmax = ph_mean + ph_std,
xmin = ph_mean - ph_std,
group = ph_extreme,
fill = ph_extreme),
col = NA,
alpha = 0.2)+
geom_path() +
scale_color_manual(values = HNL_colors) +
scale_fill_manual(values = HNL_colors)+
labs(title = 'Atlantic basin, STSS biome, summer',
col = 'OceanSODA\npH anomaly\n(mean ± st dev)',
fill = 'OceanSODA\npH anomaly\n(mean ± st dev)',
y = 'sqrt(depth)',
x = 'Argo pH') +
scale_y_continuous(
trans = trans_reverser("sqrt"),
breaks = c(10, 100, 250, 500, seq(1000, 5000, 500)))

| Version | Author | Date |
|---|---|---|
| b917bd0 | jens-daniel-mueller | 2022-05-11 |
| 9875dd0 | pasqualina-vonlanthendinenna | 2022-04-05 |
| eb8e3be | pasqualina-vonlanthendinenna | 2022-03-31 |
| a2271df | pasqualina-vonlanthendinenna | 2022-03-30 |
| 968ad85 | pasqualina-vonlanthendinenna | 2022-03-29 |
| dfd75e9 | pasqualina-vonlanthendinenna | 2022-03-29 |
| e12a216 | pasqualina-vonlanthendinenna | 2022-03-15 |
| 1ffe07f | pasqualina-vonlanthendinenna | 2022-03-11 |
| 7540ae4 | pasqualina-vonlanthendinenna | 2022-03-08 |
| e4188d2 | pasqualina-vonlanthendinenna | 2022-03-01 |
profile_extreme_binned <- profile_extreme %>%
group_by(lon, lat, year, month, platform_cycle,
biome_name, basin_AIP, ph_extreme,
depth, season) %>%
summarise(ph_adjusted_binned = mean(ph_in_situ_total_adjusted, na.rm = TRUE)) %>%
ungroup()
broullon_clim <- read_rds(file = paste0(path_argo_preprocessed,
'/broullon_TA_DIC_clim_SO_pH.rds'))
# compatibility with profile_extreme
broullon_clim <- broullon_clim %>%
mutate(depth_broullon = depth)
# grid average climatological temp into the argo depth bins
broullon_clim <- broullon_clim %>%
mutate(
depth = cut(
depth_broullon,
breaks = c(0, 10, 20, 30, 50, 70, 100, 300, 500, 800, 1000, 1500, 2000),
include.lowest = TRUE,
labels = as.factor(unique(profile_extreme$depth))[1:12]
),
depth = as.numeric(as.character(depth))
)
# calculate mean climatological pH per depth bin
broullon_clim_binned <- broullon_clim %>%
group_by(lon, lat, depth, month, basin_AIP, biome_name) %>%
summarise(clim_ph_binned = mean(pH, na.rm = TRUE)) %>%
ungroup()
# join climatology and ARGO profiles
remove_clim <- inner_join(profile_extreme_binned,
broullon_clim_binned)
remove_clim %>%
group_split(biome_name, basin_AIP, year) %>%
head(6) %>%
map(
~ ggplot() +
geom_path(
data = .x %>%
filter(ph_extreme == 'N'),
aes(
x = ph_adjusted_binned,
y = depth,
group = platform_cycle,
col = ph_extreme
),
size = 0.3
) +
geom_path(
data = .x %>%
filter(ph_extreme == 'H' | ph_extreme == 'L'),
aes(
x = ph_adjusted_binned,
y = depth,
group = platform_cycle,
col = ph_extreme
),
size = 0.5
) +
geom_point(
data = .x,
aes(x = clim_ph_binned,
y = depth,
col = ph_extreme),
size = 0.5
) +
scale_y_reverse() +
scale_color_manual(values = HNL_colors) +
labs(
x = 'Argo pH',
y = 'depth (m)',
title = paste(
"Biome:",
unique(.x$biome_name),
"| basin:",
unique(.x$basin_AIP),
" | ",
unique(.x$year)
),
col = 'OceanSODA pH \nanomaly'
)
)
[[1]]

[[2]]

[[3]]

[[4]]

[[5]]

[[6]]

remove_clim <- remove_clim %>%
mutate(argo_ph_anomaly = ph_adjusted_binned - clim_ph_binned)
remove_clim %>%
group_split(month) %>%
#head(1) %>%
map(
~ggplot()+
geom_path(data = .x %>% filter(ph_extreme == 'N'),
aes(x = argo_ph_anomaly,
y = depth,
group = platform_cycle,
col = ph_extreme),
size = 0.2)+
geom_path(data = .x %>% filter(ph_extreme == 'H'| ph_extreme == 'L'),
aes(x = argo_ph_anomaly,
y = depth,
group = platform_cycle,
col = ph_extreme),
size = 0.3)+
geom_vline(xintercept = 0)+
scale_y_continuous(trans = trans_reverser("sqrt"),
breaks = c(10, 100, 250, 500, seq(1000, 5000, 500)))+
scale_color_manual(values = HNL_colors)+
scale_fill_manual(values = HNL_colors)+
facet_grid(basin_AIP~biome_name)+
labs(title = paste('month:', unique(.x$month)))
)
[[1]]

[[2]]

[[3]]

[[4]]

[[5]]

[[6]]

[[7]]

[[8]]

[[9]]

[[10]]

[[11]]

[[12]]

remove_clim_overall_mean <- remove_clim %>%
group_by(ph_extreme, depth) %>%
summarise(ph_anomaly_mean = mean(argo_ph_anomaly, na.rm = TRUE),
ph_anomaly_sd = sd(argo_ph_anomaly, na.rm = TRUE))
remove_clim_overall_mean %>%
ggplot()+
geom_path(aes(x = ph_anomaly_mean,
y = depth,
group = ph_extreme,
col = ph_extreme))+
geom_ribbon(aes(xmax = ph_anomaly_mean + ph_anomaly_sd,
xmin = ph_anomaly_mean - ph_anomaly_sd,
y = depth,
group = ph_extreme,
fill = ph_extreme),
col = NA,
alpha = 0.2)+
geom_vline(xintercept = 0)+
scale_y_continuous(trans = trans_reverser("sqrt"),
breaks = c(10, 100, 250, 500, seq(1000, 5000, 500)))+
scale_color_manual(values = HNL_colors)+
scale_fill_manual(values = HNL_colors)+
geom_text_repel(data = profile_count_mean,
aes(x = -0.075,
y = 1500,
label = paste0(n),
col = ph_extreme),
size = 7,
segment.color = 'transparent')+
labs(title = 'Overall Mean Anomaly Profiles')

rm(remove_clim_overall_mean, profile_count_mean)
remove_clim_biome <- remove_clim %>%
group_by(depth, ph_extreme, biome_name, season) %>%
summarise(ph_anomaly_mean = mean(argo_ph_anomaly, na.rm = TRUE),
ph_anomaly_sd = sd(argo_ph_anomaly, na.rm = TRUE))
remove_clim_biome %>%
ggplot()+
geom_path(aes(x = ph_anomaly_mean,
y = depth,
group = ph_extreme,
col = ph_extreme))+
geom_ribbon(aes(xmax = ph_anomaly_mean + ph_anomaly_sd,
xmin = ph_anomaly_mean - ph_anomaly_sd,
y = depth,
group = ph_extreme,
fill = ph_extreme),
col = NA,
alpha = 0.2)+
geom_vline(xintercept = 0)+
scale_y_continuous(trans = trans_reverser('sqrt'),
breaks = c(10, 100, 250, 500, seq(1000, 5000, 500)))+
facet_grid(season~biome_name)+
scale_color_manual(values = HNL_colors)+
scale_fill_manual(values = HNL_colors)+
geom_text_repel(data = profile_count_biome,
aes(x = -0.085,
y = 1500,
label = paste0(n),
col = ph_extreme),
size = 4,
segment.color = 'transparent')+
labs(title = 'Biome-mean anomaly profiles')

| Version | Author | Date |
|---|---|---|
| ae0f995 | jens-daniel-mueller | 2022-05-12 |
| 4173c20 | jens-daniel-mueller | 2022-05-12 |
| b917bd0 | jens-daniel-mueller | 2022-05-11 |
| 708f923 | pasqualina-vonlanthendinenna | 2022-05-04 |
| b923426 | pasqualina-vonlanthendinenna | 2022-05-03 |
| 4e3571d | pasqualina-vonlanthendinenna | 2022-05-03 |
| a107add | pasqualina-vonlanthendinenna | 2022-05-03 |
rm(remove_clim_biome, profile_count_biome)
remove_clim_basin <- remove_clim %>%
group_by(depth, ph_extreme, basin_AIP, season) %>%
summarise(ph_anomaly_mean = mean(argo_ph_anomaly, na.rm = TRUE),
ph_anomaly_sd = sd(argo_ph_anomaly, na.rm = TRUE))
remove_clim_basin %>%
ggplot()+
geom_path(aes(x = ph_anomaly_mean,
y = depth,
group = ph_extreme,
col = ph_extreme))+
geom_ribbon(aes(xmax = ph_anomaly_mean + ph_anomaly_sd,
xmin = ph_anomaly_mean - ph_anomaly_sd,
y = depth,
group = ph_extreme,
fill = ph_extreme),
col = NA,
alpha = 0.2)+
scale_y_continuous(trans = trans_reverser('sqrt'),
breaks = c(10, 100, 250, 500, seq(1000, 5000, 500)))+
geom_vline(xintercept = 0)+
facet_grid(season~basin_AIP)+
scale_color_manual(values = HNL_colors)+
scale_fill_manual(values = HNL_colors)+
geom_text_repel(data = profile_count_basin,
aes(x = -0.1,
y = 1500,
label = paste0(n),
col = ph_extreme),
size = 4,
segment.color = 'transparent')+
labs(title = 'Basin-mean anomaly profiles')

| Version | Author | Date |
|---|---|---|
| ae0f995 | jens-daniel-mueller | 2022-05-12 |
| 4173c20 | jens-daniel-mueller | 2022-05-12 |
| b917bd0 | jens-daniel-mueller | 2022-05-11 |
| 708f923 | pasqualina-vonlanthendinenna | 2022-05-04 |
| b923426 | pasqualina-vonlanthendinenna | 2022-05-03 |
| 4e3571d | pasqualina-vonlanthendinenna | 2022-05-03 |
| a107add | pasqualina-vonlanthendinenna | 2022-05-03 |
rm(remove_clim_basin, profile_count_basin)
remove_clim_basin_biome <- remove_clim %>%
group_by(depth, ph_extreme, season, basin_AIP, biome_name) %>%
summarise(ph_anomaly_mean = mean(argo_ph_anomaly, na.rm=TRUE),
ph_anomaly_sd = sd(argo_ph_anomaly, na.rm = TRUE))
remove_clim_basin_biome %>%
group_by(season) %>%
group_split(season) %>%
map(
~ggplot()+
geom_path(data = .x,
aes(x = ph_anomaly_mean,
y = depth,
group = ph_extreme,
col = ph_extreme))+
geom_ribbon(data = .x,
aes(xmax = ph_anomaly_mean+ph_anomaly_sd,
xmin = ph_anomaly_mean-ph_anomaly_sd,
y = depth,
group = ph_extreme,
fill = ph_extreme),
col = NA,
alpha = 0.2)+
geom_vline(xintercept = 0)+
scale_y_continuous(trans = trans_reverser('sqrt'),
breaks = c(10, 100, 250, 500, seq(1000, 5000, 500)))+
facet_grid(biome_name~basin_AIP)+
scale_color_manual(values = HNL_colors)+
scale_fill_manual(values = HNL_colors)+
labs(title = paste0('basin-biome-mean profiles ', unique(.x$season)))
)
[[1]]

[[2]]

[[3]]

[[4]]

rm(remove_clim_basin_biome)
sessionInfo()
R version 4.1.2 (2021-11-01)
Platform: x86_64-pc-linux-gnu (64-bit)
Running under: openSUSE Leap 15.3
Matrix products: default
BLAS: /usr/local/R-4.1.2/lib64/R/lib/libRblas.so
LAPACK: /usr/local/R-4.1.2/lib64/R/lib/libRlapack.so
locale:
[1] LC_CTYPE=en_US.UTF-8 LC_NUMERIC=C
[3] LC_TIME=en_US.UTF-8 LC_COLLATE=en_US.UTF-8
[5] LC_MONETARY=en_US.UTF-8 LC_MESSAGES=en_US.UTF-8
[7] LC_PAPER=en_US.UTF-8 LC_NAME=C
[9] LC_ADDRESS=C LC_TELEPHONE=C
[11] LC_MEASUREMENT=en_US.UTF-8 LC_IDENTIFICATION=C
attached base packages:
[1] stats graphics grDevices utils datasets methods base
other attached packages:
[1] ggnewscale_0.4.5 ggrepel_0.9.1 ggforce_0.3.3 metR_0.11.0
[5] scico_1.3.0 ggOceanMaps_1.2.6 ggspatial_1.1.5 broom_0.7.11
[9] lubridate_1.8.0 forcats_0.5.1 stringr_1.4.0 dplyr_1.0.7
[13] purrr_0.3.4 readr_2.1.1 tidyr_1.1.4 tibble_3.1.6
[17] ggplot2_3.3.5 tidyverse_1.3.1 workflowr_1.7.0
loaded via a namespace (and not attached):
[1] colorspace_2.0-2 ellipsis_0.3.2 class_7.3-20
[4] rgdal_1.5-28 rprojroot_2.0.2 htmlTable_2.4.0
[7] base64enc_0.1-3 fs_1.5.2 rstudioapi_0.13
[10] proxy_0.4-26 farver_2.1.0 bit64_4.0.5
[13] fansi_1.0.2 xml2_1.3.3 codetools_0.2-18
[16] splines_4.1.2 knitr_1.37 polyclip_1.10-0
[19] Formula_1.2-4 jsonlite_1.7.3 cluster_2.1.2
[22] dbplyr_2.1.1 png_0.1-7 rgeos_0.5-9
[25] compiler_4.1.2 httr_1.4.2 backports_1.4.1
[28] Matrix_1.4-0 assertthat_0.2.1 fastmap_1.1.0
[31] cli_3.1.1 later_1.3.0 tweenr_1.0.2
[34] htmltools_0.5.2 tools_4.1.2 gtable_0.3.0
[37] glue_1.6.0 Rcpp_1.0.8 cellranger_1.1.0
[40] jquerylib_0.1.4 raster_3.5-11 vctrs_0.3.8
[43] xfun_0.29 ps_1.6.0 rvest_1.0.2
[46] lifecycle_1.0.1 terra_1.5-12 getPass_0.2-2
[49] MASS_7.3-55 scales_1.1.1 vroom_1.5.7
[52] hms_1.1.1 promises_1.2.0.1 parallel_4.1.2
[55] RColorBrewer_1.1-2 yaml_2.2.1 gridExtra_2.3
[58] sass_0.4.0 rpart_4.1-15 latticeExtra_0.6-29
[61] stringi_1.7.6 highr_0.9 e1071_1.7-9
[64] checkmate_2.0.0 rlang_1.0.2 pkgconfig_2.0.3
[67] evaluate_0.14 lattice_0.20-45 sf_1.0-5
[70] htmlwidgets_1.5.4 labeling_0.4.2 bit_4.0.4
[73] processx_3.5.2 tidyselect_1.1.1 magrittr_2.0.1
[76] R6_2.5.1 generics_0.1.1 Hmisc_4.6-0
[79] DBI_1.1.2 foreign_0.8-82 pillar_1.6.4
[82] haven_2.4.3 whisker_0.4 withr_2.4.3
[85] units_0.7-2 nnet_7.3-17 survival_3.2-13
[88] sp_1.4-6 modelr_0.1.8 crayon_1.4.2
[91] KernSmooth_2.23-20 utf8_1.2.2 tzdb_0.2.0
[94] rmarkdown_2.11 jpeg_0.1-9 grid_4.1.2
[97] readxl_1.3.1 data.table_1.14.2 callr_3.7.0
[100] git2r_0.29.0 reprex_2.0.1 digest_0.6.29
[103] classInt_0.4-3 httpuv_1.6.5 munsell_0.5.0
[106] viridisLite_0.4.0 bslib_0.3.1