Last updated: 2021-12-23
Checks: 7 0
Knit directory: emlr_obs_preprocessing/
This reproducible R Markdown analysis was created with workflowr (version 1.6.2). The Checks tab describes the reproducibility checks that were applied when the results were created. The Past versions tab lists the development history.
Great! Since the R Markdown file has been committed to the Git repository, you know the exact version of the code that produced these results.
Great job! The global environment was empty. Objects defined in the global environment can affect the analysis in your R Markdown file in unknown ways. For reproduciblity it’s best to always run the code in an empty environment.
The command set.seed(20200707) was run prior to running the code in the R Markdown file. Setting a seed ensures that any results that rely on randomness, e.g. subsampling or permutations, are reproducible.
Great job! Recording the operating system, R version, and package versions is critical for reproducibility.
Nice! There were no cached chunks for this analysis, so you can be confident that you successfully produced the results during this run.
Great job! Using relative paths to the files within your workflowr project makes it easier to run your code on other machines.
Great! You are using Git for version control. Tracking code development and connecting the code version to the results is critical for reproducibility.
The results in this page were generated with repository version 468c324. See the Past versions tab to see a history of the changes made to the R Markdown and HTML files.
Note that you need to be careful to ensure that all relevant files for the analysis have been committed to Git prior to generating the results (you can use wflow_publish or wflow_git_commit). workflowr only checks the R Markdown file, but you know if there are other scripts or data files that it depends on. Below is the status of the Git repository when the results were generated:
Ignored files:
Ignored: .Rhistory
Ignored: .Rproj.user/
Ignored: data/
Ignored: output/
Untracked files:
Untracked: code/IO_1990_own_crossover_analysis_backup.R
Untracked: code/read_GLODAPv2_2020.Rmd
Note that any generated files, e.g. HTML, png, CSS, etc., are not included in this status report because it is ok for generated content to have uncommitted changes.
These are the previous versions of the repository in which changes were made to the R Markdown (analysis/read_GLODAPv2_2021.Rmd) and HTML (docs/read_GLODAPv2_2021.html) files. If you’ve configured a remote Git repository (see ?wflow_git_remote), click on the hyperlinks in the table below to view the files as they were in that past version.
| File | Version | Author | Date | Message |
|---|---|---|---|---|
| Rmd | 468c324 | jens-daniel-mueller | 2021-12-23 | added crossover cruise subsetting |
| html | 28ed51f | jens-daniel-mueller | 2021-12-21 | Build site. |
| Rmd | f99a7ce | jens-daniel-mueller | 2021-12-21 | print tables with flagging number |
| html | fcff192 | jens-daniel-mueller | 2021-12-21 | Build site. |
| Rmd | e60be65 | jens-daniel-mueller | 2021-12-21 | added flagging profiles |
| html | a87f8c7 | jens-daniel-mueller | 2021-12-20 | Build site. |
| Rmd | 7511f8c | jens-daniel-mueller | 2021-12-20 | revised IO analysis |
| html | 2704ff6 | jens-daniel-mueller | 2021-12-20 | Build site. |
| Rmd | f4696af | jens-daniel-mueller | 2021-12-20 | added cruise maps |
| html | 7f65d3a | jens-daniel-mueller | 2021-12-20 | Build site. |
| Rmd | 208283d | jens-daniel-mueller | 2021-12-20 | revised missing cruise crossover analysis |
| html | 6106236 | jens-daniel-mueller | 2021-12-20 | Build site. |
| Rmd | 953ac0a | jens-daniel-mueller | 2021-12-20 | revised missing cruise crossover analysis |
| html | d5ef2c6 | jens-daniel-mueller | 2021-12-20 | Build site. |
| Rmd | 0b0800e | jens-daniel-mueller | 2021-12-20 | restructured IO crossover analysis |
| html | 00227e6 | jens-daniel-mueller | 2021-12-20 | Build site. |
| Rmd | 8728169 | jens-daniel-mueller | 2021-12-20 | added IO crossover analysis |
| html | e810585 | jens-daniel-mueller | 2021-12-16 | Build site. |
| Rmd | aca9273 | jens-daniel-mueller | 2021-12-16 | added maps per expocode |
| html | 6aa4b75 | jens-daniel-mueller | 2021-12-16 | Build site. |
| Rmd | 3511fa7 | jens-daniel-mueller | 2021-12-16 | f == 9 analysis added |
| html | 163f976 | jens-daniel-mueller | 2021-12-16 | Build site. |
| Rmd | 7fa3a99 | jens-daniel-mueller | 2021-12-16 | added cumulative data contribution as threshold |
| html | be0850d | jens-daniel-mueller | 2021-12-16 | Build site. |
| Rmd | 8db3760 | jens-daniel-mueller | 2021-12-16 | plot maps of f and qc data loss |
| html | 61d5f49 | jens-daniel-mueller | 2021-12-15 | Build site. |
| Rmd | be2f94e | jens-daniel-mueller | 2021-12-15 | analyse IO 1990 CRM data from Millero 1998 - TA only |
| html | d454df1 | jens-daniel-mueller | 2021-12-15 | Build site. |
| Rmd | 7802f47 | jens-daniel-mueller | 2021-12-15 | analyse IO 1990 CRM data from Millero 1998 |
| html | ce6cdae | jens-daniel-mueller | 2021-12-15 | Build site. |
| Rmd | acff553 | jens-daniel-mueller | 2021-12-15 | plot qc data loss by cruise size |
| html | 7ace7ab | jens-daniel-mueller | 2021-12-15 | Build site. |
| Rmd | 554383a | jens-daniel-mueller | 2021-12-15 | plot qc data loss by cruise size |
| html | faa6b3c | jens-daniel-mueller | 2021-12-15 | Build site. |
| Rmd | be8751d | jens-daniel-mueller | 2021-12-15 | started data loss assesment |
| html | 70923f2 | jens-daniel-mueller | 2021-12-14 | Build site. |
| Rmd | 1acf7ff | jens-daniel-mueller | 2021-12-14 | checked P18 nitrate data - quadratic fit |
| html | b68b58e | jens-daniel-mueller | 2021-12-13 | Build site. |
| Rmd | 4c002c1 | jens-daniel-mueller | 2021-12-13 | checked P18 nitrate data |
| html | de20732 | jens-daniel-mueller | 2021-12-08 | Build site. |
| Rmd | badaed2 | jens-daniel-mueller | 2021-12-08 | plotted f maps |
| html | daa43b9 | jens-daniel-mueller | 2021-12-06 | Build site. |
| Rmd | b578bd9 | jens-daniel-mueller | 2021-12-06 | plotted qc maps |
| html | 2b22ffe | jens-daniel-mueller | 2021-11-24 | Build site. |
| Rmd | 1b7ec1f | jens-daniel-mueller | 2021-11-24 | revised combined IO NS and EW analysis |
| html | 0ef46e8 | jens-daniel-mueller | 2021-11-23 | Build site. |
| Rmd | 7fb15cf | jens-daniel-mueller | 2021-11-23 | combined IO NS and EW analysis |
| html | f2871b9 | jens-daniel-mueller | 2021-11-20 | Build site. |
| Rmd | 46c1246 | jens-daniel-mueller | 2021-11-19 | rerun with GLODAP cast column |
| html | 375d7c7 | jens-daniel-mueller | 2021-11-18 | Build site. |
| Rmd | 1839007 | jens-daniel-mueller | 2021-11-18 | delta EW crossover values determined |
| html | f30883c | jens-daniel-mueller | 2021-11-18 | Build site. |
| Rmd | 7acd48c | jens-daniel-mueller | 2021-11-18 | delta crossover values determined |
| html | 2e6c3f1 | jens-daniel-mueller | 2021-11-18 | Build site. |
| Rmd | 49ca05c | jens-daniel-mueller | 2021-11-18 | delta crossover values determined |
| html | 16dab59 | jens-daniel-mueller | 2021-11-18 | Build site. |
| Rmd | 620b6f4 | jens-daniel-mueller | 2021-11-18 | delta crossover values determined |
| html | 42965b9 | jens-daniel-mueller | 2021-11-18 | Build site. |
| Rmd | 69dbb5f | jens-daniel-mueller | 2021-11-18 | crossing checks |
| html | c9363ce | jens-daniel-mueller | 2021-11-18 | Build site. |
| Rmd | 6bc79d6 | jens-daniel-mueller | 2021-11-18 | crossing checks |
| html | 0908ee5 | jens-daniel-mueller | 2021-11-15 | Build site. |
| html | 6d6a23e | jens-daniel-mueller | 2021-11-01 | Build site. |
| Rmd | 2f36786 | jens-daniel-mueller | 2021-11-01 | preprocess adjustment table, create new basinmaps |
| html | 2a50fa9 | jens-daniel-mueller | 2021-10-28 | Build site. |
| Rmd | 67de9ab | jens-daniel-mueller | 2021-10-28 | preprocess tracers |
| html | a96bf9e | jens-daniel-mueller | 2021-10-27 | Build site. |
| Rmd | d99b131 | jens-daniel-mueller | 2021-10-27 | added time series plots |
| html | fde6c32 | jens-daniel-mueller | 2021-10-27 | Build site. |
| Rmd | db93d9f | jens-daniel-mueller | 2021-10-27 | added time series plots |
| html | 7db7e6a | jens-daniel-mueller | 2021-10-27 | Build site. |
| Rmd | d6fb0dc | jens-daniel-mueller | 2021-10-27 | added time series plots |
| html | 68d67e7 | jens-daniel-mueller | 2021-10-27 | Build site. |
| Rmd | b4ea199 | jens-daniel-mueller | 2021-10-27 | added time series plots |
| html | 7987bb7 | jens-daniel-mueller | 2021-10-21 | Build site. |
| Rmd | b64c54d | jens-daniel-mueller | 2021-10-21 | added inventory layer depth |
| html | 8d1aaf8 | jens-daniel-mueller | 2021-10-20 | Build site. |
| Rmd | 5bce752 | jens-daniel-mueller | 2021-10-20 | corrected qc flag in glodap |
| html | dc8d958 | jens-daniel-mueller | 2021-10-20 | Build site. |
| Rmd | b2ccc04 | jens-daniel-mueller | 2021-10-20 | corrected qc flag in glodap |
| html | 2438c5a | jens-daniel-mueller | 2021-08-30 | Build site. |
| Rmd | 4296433 | jens-daniel-mueller | 2021-08-30 | rerun GLODAP preprocessing with officially released file |
| html | e49875a | jens-daniel-mueller | 2021-07-07 | Build site. |
| html | 6312bd4 | jens-daniel-mueller | 2021-07-07 | Build site. |
| Rmd | 4905409 | jens-daniel-mueller | 2021-07-07 | rerun with new setup_obs.Rmd file |
| html | 58bc706 | jens-daniel-mueller | 2021-07-06 | Build site. |
| Rmd | 0db89e1 | jens-daniel-mueller | 2021-07-06 | rerun with revised variable names |
| html | f600971 | jens-daniel-mueller | 2021-07-02 | Build site. |
| html | 98599d8 | jens-daniel-mueller | 2021-06-27 | Build site. |
| Rmd | 4f9c370 | jens-daniel-mueller | 2021-06-27 | update to latest GLODAP pre-release |
| html | 265c4ef | jens-daniel-mueller | 2021-06-04 | Build site. |
| html | c79346a | jens-daniel-mueller | 2021-06-03 | Build site. |
| html | 9d8353f | jens-daniel-mueller | 2021-05-31 | Build site. |
| Rmd | b948168 | jens-daniel-mueller | 2021-05-31 | ingest GLODAPv2_2021 beta data |
path_glodapv2_2021 <- "/nfs/kryo/work/updata/glodapv2_2021/"
path_glodapv2_CRM <- "/nfs/kryo/work/updata/glodapv2_CRM/"
path_crossover <- "/nfs/kryo/work/updata/glodapv2_crossover"
path_preprocessing <- paste(path_root, "/observations/preprocessing/", sep = "")
Main data source for this project is GLODAPv2.2021_Merged_Master_File.csv downloaded from https://www.ncei.noaa.gov/data/oceans/ncei/ocads/data/0237935/GLODAPv2.2021_Merged_Master_File.csv on Aug 30, 2021.
GLODAP <-
read_csv(
paste(
path_glodapv2_2021,
"GLODAPv2.2021_Merged_Master_File_20210830.csv",
sep = ""
),
na = "-9999",
col_types = cols(.default = col_double())
)
GLODAP <- GLODAP %>%
rename_with(~str_remove(., 'G2'))
GLODAP_adjustments <-
read_csv(
paste(
path_glodapv2_2021,
"GLODAPv2.2021_adjustments_last_updated_on_2021_05_10.csv",
sep = ""
),
na = c("-666", "-777", "-888", "-999"),
skip = 2
)
GLODAP_expocodes <-
read_tsv(
paste(
path_glodapv2_2021,
"EXPOCODES.txt",
sep = ""
),
col_names = c("cruise", "cruise_expocode")
)
# tables from glodapv2, provided by Steven van Heuven
glodapv2_xover_files <- fs::dir_ls(paste0(path_crossover, "/glodapv2"))
glodapv2_xover <- glodapv2_xover_files %>%
map_dfr(read_csv, .id = "parameter")
glodapv2_xover <- glodapv2_xover %>%
mutate(parameter = str_remove(parameter, ".csv"),
parameter = str_sub(parameter, -3))
glodapv2_xover <- glodapv2_xover %>%
mutate(parameter = recode(parameter,
"ALK" = "talk",
"DIC" = "tco2",
"NO3" = "nitrate",
"_O2" = "oxygen",
"PO4" = "phosphate",
"SAL" = "salinity",
"SIL" = "silicate"))
# Note: In the files provided by Steven von Heuven
# the column names sigma_ratio and sigma_offset_sd were swapped
glodapv2_xover_absolute <- glodapv2_xover %>%
filter(parameter %in% c("salinity", "talk", "tco2")) %>%
select(parameter,
offset = sigma_offset,
offset_sd = sigma_ratio,
cruise_A = CruiseA_EXPOCODE,
cruise_B = CruiseB_EXPOCODE)
glodapv2_xover_ratio <- glodapv2_xover %>%
filter(!(parameter %in% c("salinity", "talk", "tco2"))) %>%
select(parameter,
offset = sigma_offset_sd,
offset_sd = sigma_ratio_sd,
cruise_A = CruiseA_EXPOCODE,
cruise_B = CruiseB_EXPOCODE)
glodapv2_xover <- bind_rows(
glodapv2_xover_absolute,
glodapv2_xover_ratio
)
rm(glodapv2_xover_files, glodapv2_2021_xover_files,
glodapv2_xover_absolute, glodapv2_xover_ratio)
# tables created between glodapv2 and glodapv2.2021
# provided by Nico Lange
glodapv2_2021_xover_files <- fs::dir_ls(paste0(path_crossover, "/glodapv2_2021"))
glodapv2_2021_xover <- glodapv2_2021_xover_files %>%
map_dfr(readxl::read_excel)
glodapv2_2021_xover <- glodapv2_2021_xover %>%
rename(parameter = Parameter) %>%
mutate(parameter = recode(parameter,
"alkalinity" = "talk")) %>%
filter(
parameter %in%
c(
"tco2",
"nitrate",
"oxygen",
"phosphate",
"salinity",
"silicate",
"talk"
)
)
glodapv2_2021_xover <- glodapv2_2021_xover %>%
rename(offset = Offset,
offset_sd = Std,
cruise_A = Cruise_A,
cruise_B = Cruise_B)
GLODAP_cruises_missing <-
read_csv(
paste(
path_glodapv2_2021,
"GLODAPv2.2021_major_cruises_missing_flagged.csv",
sep = ""
)
)
IO_CRM_meas <-
read_csv(
paste(
path_glodapv2_CRM,
"/Millero_1998_Tab2.csv",
sep = ""
)
)
CRM_ref <-
read_csv(
paste(
path_glodapv2_CRM,
"/Dickson_CRM_reference_values_20211215.csv",
sep = ""
)
)
From an email conversation with Nico Lange
Yes, we are aware of these faulty(!) calculated TA data (using DIC and fCO2). It is linked to v2.2020 where we’ve added fCO2 to the “missing carbon calculation matrix”. Overall, including fCO2 in these calculations has worked great to fill some missing carbon gaps. However, for this cruise in particular the fCO2 values have most likely been converted wrongly to 20°C and are thus off! The problem of this all is that we haven’t really done a 2nd QC on the fCO2 values neither have we defined the corresponding “G2fCO2qc” variable, hence for the sake of consistency we kept all fCO2 values in. Again and unfortunately, in this particular case it led to the bad calculations of TA data…. We plan to do a full 2nd QC on all (!) fCO2 data for v3.
But you have indeed found a flaw in our merging script, as the corresponding calculated TA values should not have received a 2nd QC flag of 1! I missed out on adding a line to our merging script to accommodate for the non-existence of 2nd fCO2 flags in the carbon calculation matrix.
So long story short: Thank you very much for finding this flaw and letting me know of it!
and
Yes, the all calculated TA data from cruise 695 should have a talkqc of 0 (as they are based upon un QC’d fCO2 data…).
And no (thanks to your hint and questions), I figured that this wrongly assigned 2nd QC flag is a problem for all calculated carbon data, which used fCO2 for the calculations. However, luckily this is not really often the case.
You can check if thats the case by looking at which other carbon parameters are measured, i.e. by checking their primary flags (e.g. G2talkf, G2tco2f and G2phts25p0f and G2fco2f). If only two are measured and one of them is fCO2, it means that the other carbon parameters (the ones with a primary flag of 0) are calculated using fCO2. Hence, for these instances no 2nd QC is done and the corresponding qc flag should be 0 and not 1.
GLODAP_qc_check <- GLODAP %>%
filter(cruise == 717) %>%
count(talkqc)
# calculate number of measured co2 system variables
GLODAP <- GLODAP %>%
mutate(measured_CO2_vars = rowSums(select(., c(
tco2f, talkf, fco2f, phts25p0f
)) == 2))
# identify cruises on which talk/tco2 was calculated
talk_qc_error_cruises <- GLODAP %>%
select(cruise, tco2:phtsqc, measured_CO2_vars) %>%
filter(measured_CO2_vars == 2,
fco2f == 2,
talkf == 0) %>%
distinct(cruise, talkf, talkqc, fco2f)
tco2_qc_error_cruises <- GLODAP %>%
select(cruise, tco2:phtsqc, measured_CO2_vars) %>%
filter(measured_CO2_vars == 2,
fco2f == 2,
tco2f == 0) %>%
distinct(cruise, tco2f, tco2qc, fco2f)
talk_qc_error_cruises %>%
write_csv("data/talk_qc_error_cruises_GLODAPv2_2021.csv")
tco2_qc_error_cruises %>%
write_csv("data/tco2_qc_error_cruises_GLODAPv2_2021.csv")
rm(talk_qc_error_cruises, tco2_qc_error_cruises)
# set qc = 0 for tco2 and talk values calculated from fco2
GLODAP <- GLODAP %>%
mutate(tco2qc = if_else(measured_CO2_vars == 2 &
fco2f == 2 & tco2f == 0,
0,
tco2qc))
GLODAP <- GLODAP %>%
mutate(talkqc = if_else(measured_CO2_vars == 2 &
fco2f == 2 & talkf == 0,
0,
talkqc))
GLODAP <- GLODAP %>%
select(-measured_CO2_vars)
# calculate number of measured co2 system variables
GLODAP <- GLODAP %>%
mutate(measured_CO2_vars = rowSums(select(., c(
tco2f, talkf, fco2f, phts25p0f
)) == 2))
# identify cruises on which talk/tco2 was calculated
tco2_talk_calc <- GLODAP %>%
select(cruise, tco2:phtsqc, measured_CO2_vars) %>%
filter(measured_CO2_vars == 2,
fco2f == 2,
phts25p0f == 2)
GLODAP <- GLODAP %>%
select(-measured_CO2_vars)
# create date column
GLODAP <- GLODAP %>%
mutate(date = ymd(paste(year, month, day))) %>%
relocate(date)
# harmonize column names
GLODAP <- GLODAP %>%
rename(sal = salinity,
temp = temperature)
# harmonize coordinates
GLODAP <- GLODAP %>%
rename(lon = longitude,
lat = latitude) %>%
mutate(lon = if_else(lon < 20, lon + 360, lon))
For merging with other data sets, all observations were grouped into latitude intervals of:
GLODAP <- m_grid_horizontal(GLODAP)
# use only three basin to assign general basin mask
# ie this is not specific to the MLR fitting
basinmask <- basinmask %>%
filter(MLR_basins == "2") %>%
select(lat, lon, basin_AIP)
GLODAP <- inner_join(GLODAP, basinmask)
GLODAP <- GLODAP %>%
mutate(row_number = row_number()) %>%
relocate(row_number)
# remove irrelevant columns
GLODAP <- GLODAP %>%
select(-c(region,
month:minute,
maxsampdepth, sigma0:sigma4,
nitrite:nitritef))
GLODAP_tracer <- GLODAP %>%
select(row_number:gamma,
cfc11:sf6f,
basin_AIP)
# select relevant columns
GLODAP <- GLODAP %>%
select(row_number:talkqc,
basin_AIP)
The vast majority of rows is removed due to missing tco2 observations.
GLODAP <- GLODAP %>%
filter(!is.na(tco2))
Rows are removed if no tracer observation is available.
GLODAP_tracer <- GLODAP_tracer %>%
filter(if_any(
c(
cfc11,
cfc12,
cfc113,
ccl4,
sf6,
pcfc11,
pcfc12,
pcfc113,
pccl4,
psf6
),
~ !is.na(.)
))
GLODAP_obs_grid <- GLODAP %>%
count(lat, lon)
GLODAP_grid_year <- GLODAP %>%
count(lat, lon, year)
map +
geom_raster(data = GLODAP_grid_year,
aes(lon, lat)) +
facet_wrap(~ year, ncol=3)

| Version | Author | Date |
|---|---|---|
| dc8d958 | jens-daniel-mueller | 2021-10-20 |
GLODAP_obs_grid_tracer <- GLODAP_tracer %>%
count(lat, lon)
GLODAP_grid_year_tracer <- GLODAP_tracer %>%
count(lat, lon, year)
map +
geom_raster(data = GLODAP_grid_year_tracer,
aes(lon, lat)) +
facet_wrap(~ year, ncol=3)

| Version | Author | Date |
|---|---|---|
| 2a50fa9 | jens-daniel-mueller | 2021-10-28 |
qc_flag <- full_join(
GLODAP,
GLODAP_expocodes
)
qc_flag <- qc_flag %>%
mutate(decade = cut(
year,
seq(1990, 2020, 10),
right = FALSE,
labels = c("1990-1999", "2000-2009", "2010-2019")
),
.after = year) %>%
filter(!is.na(decade)) %>%
select(lon, lat, basin_AIP, decade, cruise_expocode, ends_with("qc")) %>%
pivot_longer(ends_with("qc"),
names_to = "parameter",
values_to = "value")
qc_flag_grid <- qc_flag %>%
count(lon, lat, decade, parameter, value)
p_qc_flag_map <- qc_flag_grid %>%
group_split(value) %>%
# head(1) %>%
map(
~map +
geom_tile(data = .x,
aes(lon, lat, fill=n)) +
facet_grid(parameter ~ decade) +
labs(title = paste("qc flag =", unique(.x$value))) +
scale_fill_viridis_c(option = "magma",
direction = -1,
trans = "log10")
)
p_qc_flag_map
[[1]]

| Version | Author | Date |
|---|---|---|
| daa43b9 | jens-daniel-mueller | 2021-12-06 |
[[2]]

| Version | Author | Date |
|---|---|---|
| daa43b9 | jens-daniel-mueller | 2021-12-06 |
pdf("output/qc_flag_coverage_maps.pdf")
p_qc_flag_map
[[1]]
[[2]]
dev.off()
png
2
qc_flag %>%
filter(basin_AIP == "Pacific",
decade == "1990-1999") %>%
count(cruise_expocode, parameter, value) %>%
arrange(value, -n) %>%
write_csv("output/Pacific_1990_qc_by_cruise_and_parameter.csv")
rm(qc_flag, qc_flag_grid, p_qc_flag_map)
f_flag <- full_join(
GLODAP,
GLODAP_expocodes
)
f_flag <- f_flag %>%
mutate(decade = cut(
year,
seq(1990, 2020, 10),
right = FALSE,
labels = c("1990-1999", "2000-2009", "2010-2019")
),
.after = year) %>%
filter(!is.na(decade)) %>%
select(lon, lat, basin_AIP, decade, cruise_expocode, ends_with("f")) %>%
pivot_longer(ends_with("f"),
names_to = "parameter",
values_to = "value")
f_flag_grid <- f_flag %>%
count(lon, lat, decade, parameter, value)
p_f_flag_map <- f_flag_grid %>%
group_split(value) %>%
# head(1) %>%
map(
~map +
geom_tile(data = .x,
aes(lon, lat, fill=n)) +
facet_grid(parameter ~ decade) +
labs(title = paste("f flag =", unique(.x$value))) +
scale_fill_viridis_c(option = "magma",
direction = -1,
trans = "log10")
)
p_f_flag_map
[[1]]

| Version | Author | Date |
|---|---|---|
| de20732 | jens-daniel-mueller | 2021-12-08 |
[[2]]

| Version | Author | Date |
|---|---|---|
| de20732 | jens-daniel-mueller | 2021-12-08 |
[[3]]

| Version | Author | Date |
|---|---|---|
| de20732 | jens-daniel-mueller | 2021-12-08 |
pdf("output/f_flag_coverage_maps.pdf")
p_f_flag_map
[[1]]
[[2]]
[[3]]
dev.off()
png
2
f_flag %>%
filter(basin_AIP == "Pacific",
decade == "1990-1999") %>%
count(cruise_expocode, parameter, value) %>%
arrange(value, -n) %>%
write_csv("output/Pacific_1990_f_by_cruise_and_parameter.csv")
rm(f_flag, f_flag_grid, p_f_flag_map)
loss_all <- full_join(
GLODAP,
GLODAP_expocodes
)
loss_all <- loss_all %>%
mutate(decade = cut(
year,
seq(1989, 2019, 10),
right = FALSE,
labels = c("1989-1999", "2000-2009", "2010-2019")
),
.after = year) %>%
filter(!is.na(decade))
map +
geom_tile(data = loss_all %>% distinct(lon, lat, decade),
aes(lon, lat)) +
facet_grid(decade ~ .)

| Version | Author | Date |
|---|---|---|
| e810585 | jens-daniel-mueller | 2021-12-16 |
loss <- loss_all %>%
filter(if_all(ends_with("f"), ~ . != 9))
loss_all_n <- loss_all %>%
count(basin_AIP, decade)
loss_n <- loss %>%
count(basin_AIP, decade)
loss_qc <- loss %>%
select(lon, lat, basin_AIP, decade, cruise_expocode, ends_with("qc")) %>%
pivot_longer(ends_with("qc"),
names_to = "parameter",
values_to = "value") %>%
mutate(parameter = str_remove(parameter, "qc"))
loss_qc <- loss_qc %>%
count(cruise_expocode, basin_AIP, decade, parameter, value) %>%
pivot_wider(
names_from = value,
names_prefix = "qc_",
values_from = n,
values_fill = 0
) %>%
mutate(n_cruise = qc_0 + qc_1,
category = if_else(qc_0 <= 0.1 * (n_cruise), "OK", "loss"))
loss_qc_cruise <- loss_qc %>%
mutate(parameter_class = if_else(
parameter %in% c("tco2", "talk", "phosphate"),
"target",
"predictor"
)) %>%
count(cruise_expocode,
basin_AIP,
decade,
n_cruise,
parameter_class,
category) %>%
pivot_wider(names_from = category,
values_from = n,
values_fill = 0) %>%
select(-OK) %>%
pivot_wider(names_from = parameter_class,
values_from = loss) %>%
group_by(basin_AIP, decade) %>%
mutate(rank_n_cruise = rank(-n_cruise)) %>%
ungroup()
loss_qc_cruise <- full_join(loss_qc_cruise, loss_n)
loss_qc_cruise <- loss_qc_cruise %>%
mutate(n_cruise_rel = 100 * n_cruise / n) %>%
arrange(basin_AIP, decade, -n_cruise_rel) %>%
group_by(basin_AIP, decade) %>%
mutate(n_cruise_rel_cum = cumsum(n_cruise_rel)) %>%
ungroup() %>%
select(-n)
loss_qc_cruise <- loss_qc_cruise %>%
pivot_longer(predictor:target,
names_to = "parameter_class",
values_to = "loss") %>%
mutate(loss = as.factor(loss))
grey_plasma <- c("grey80", viridisLite::plasma(4))
loss_qc_cruise <- loss_qc_cruise %>%
filter(n_cruise_rel >= 3)
loss_qc_cruise %>%
group_split(basin_AIP) %>%
# head(3) %>%
map(
~ ggplot(data = .x,
aes(rank_n_cruise, n_cruise_rel, fill = loss)) +
geom_point(shape = 21, size = 2) +
scale_fill_manual(values = grey_plasma,
name = "variables missing") +
facet_grid(decade ~ parameter_class) +
labs(title = paste("basin_AIP:", unique(.x$basin_AIP))) +
ylim(0, NA)
)
[[1]]

[[2]]

[[3]]

loss_qc_cruise %>%
filter(loss != 0) %>%
select(basin_AIP, decade, parameter_class, rank_n_cruise, cruise_expocode) %>%
arrange(basin_AIP, decade, parameter_class, rank_n_cruise) %>%
kable() %>%
kable_styling() %>%
scroll_box(height = "300px")
| basin_AIP | decade | parameter_class | rank_n_cruise | cruise_expocode |
|---|---|---|---|---|
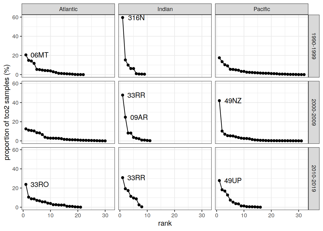
| Atlantic | 1989-1999 | target | 11 | 06MT19900123 |
| Atlantic | 1989-1999 | target | 12 | 33LK19960415 |
| Atlantic | 1989-1999 | target | 13 | 33MW19930704 |
| Atlantic | 2000-2009 | predictor | 7 | 35TH20010823 |
| Atlantic | 2000-2009 | predictor | 13 | 33RO20070710 |
| Atlantic | 2000-2009 | target | 7 | 35TH20010823 |
| Atlantic | 2000-2009 | target | 8 | 74DI20040404 |
| Atlantic | 2000-2009 | target | 9 | 35TH20080610 |
| Atlantic | 2000-2009 | target | 11 | 35TH20040604 |
| Atlantic | 2000-2009 | target | 12 | 35TH20020611 |
| Atlantic | 2010-2019 | predictor | 5 | 74EQ20151206 |
| Indian | 1989-1999 | target | 11 | 320619960503 |
| Pacific | 1989-1999 | predictor | 2 | 31DS19940126 |
| Pacific | 1989-1999 | predictor | 4 | 31DS19920907 |
| Pacific | 1989-1999 | target | 4 | 31DS19920907 |
| Pacific | 1989-1999 | target | 6 | 316N19930222 |
| Pacific | 1989-1999 | target | 7 | 316N19921006 |
| Pacific | 1989-1999 | target | 8 | 90KD19920214 |
| Pacific | 1989-1999 | target | 11 | 316N19921204 |
loss_grid <- loss %>% distinct(lon, lat, cruise_expocode)
loss_qc_grid <- left_join(loss_qc_cruise,
loss_grid)
map +
geom_tile(data = loss_qc_grid,
aes(lon, lat, fill = loss)) +
facet_grid(decade ~ parameter_class) +
scale_fill_manual(values = grey_plasma)

loss_qc_grid %>% filter(loss != 0) %>%
group_split(parameter_class, decade) %>%
# head(1) %>%
map(
~ map +
geom_tile(data = .x,
aes(lon, lat, fill = cruise_expocode)) +
scale_fill_brewer(palette = "Paired") +
facet_grid(decade ~ parameter_class)
)
[[1]]

| Version | Author | Date |
|---|---|---|
| e810585 | jens-daniel-mueller | 2021-12-16 |
[[2]]

| Version | Author | Date |
|---|---|---|
| e810585 | jens-daniel-mueller | 2021-12-16 |
[[3]]

| Version | Author | Date |
|---|---|---|
| e810585 | jens-daniel-mueller | 2021-12-16 |
[[4]]

| Version | Author | Date |
|---|---|---|
| e810585 | jens-daniel-mueller | 2021-12-16 |
[[5]]

| Version | Author | Date |
|---|---|---|
| e810585 | jens-daniel-mueller | 2021-12-16 |
loss_f <- loss %>%
select(lon, lat, basin_AIP, decade, cruise_expocode, ends_with("f")) %>%
pivot_longer(ends_with("f"),
names_to = "parameter",
values_to = "value") %>%
mutate(parameter = str_remove(parameter, "f"))
loss_f <- loss_f %>%
count(cruise_expocode, basin_AIP, decade, parameter, value) %>%
pivot_wider(
names_from = value,
names_prefix = "f_",
values_from = n,
values_fill = 0
) %>%
mutate(n_cruise = f_0 + f_2,
category = if_else(f_0 <= 0.1 * (n_cruise), "OK", "loss"))
loss_f_cruise <- loss_f %>%
mutate(parameter_class = if_else(
parameter %in% c("tco2", "talk", "phosphate"),
"target",
"predictor"
)) %>%
count(cruise_expocode,
basin_AIP,
decade,
n_cruise,
parameter_class,
category) %>%
pivot_wider(names_from = category,
values_from = n,
values_fill = 0) %>%
select(-OK) %>%
pivot_wider(names_from = parameter_class,
values_from = loss) %>%
group_by(basin_AIP, decade) %>%
mutate(rank_n_cruise = rank(-n_cruise)) %>%
ungroup()
loss_f_cruise <- full_join(loss_f_cruise, loss_n)
loss_f_cruise <- loss_f_cruise %>%
mutate(n_cruise_rel = 100 * n_cruise / n) %>%
arrange(basin_AIP, decade, -n_cruise_rel) %>%
group_by(basin_AIP, decade) %>%
mutate(n_cruise_rel_cum = cumsum(n_cruise_rel)) %>%
ungroup() %>%
select(-n)
loss_f_cruise <- loss_f_cruise %>%
pivot_longer(predictor:target,
names_to = "parameter_class",
values_to = "loss") %>%
mutate(loss = as.factor(loss))
grey_plasma <- c("grey80", viridisLite::plasma(4))
loss_f_cruise <- loss_f_cruise %>%
filter(n_cruise_rel >= 3)
loss_f_cruise %>%
# filter(n_cruise_rel_cum <= 90) %>%
group_split(basin_AIP) %>%
# head(1) %>%
map(
~ ggplot(data = .x,
aes(rank_n_cruise, n_cruise, fill = loss)) +
geom_point(shape = 21, size = 2) +
scale_fill_manual(values = grey_plasma,
name = "variables missing") +
facet_grid(decade ~ parameter_class) +
labs(title = paste("basin_AIP:", unique(.x$basin_AIP))) +
ylim(0, NA)
)
[[1]]

[[2]]

[[3]]

loss_f_cruise %>%
filter(loss != 0) %>%
select(basin_AIP, decade, parameter_class, rank_n_cruise, cruise_expocode) %>%
arrange(basin_AIP, decade, parameter_class, rank_n_cruise) %>%
kable() %>%
kable_styling() %>%
scroll_box(height = "300px")
| basin_AIP | decade | parameter_class | rank_n_cruise | cruise_expocode |
|---|---|---|---|---|
| Atlantic | 1989-1999 | target | 1 | 323019940104 |
| Atlantic | 1989-1999 | target | 7 | 33RO19980123 |
| Atlantic | 1989-1999 | target | 9 | 35A319950113 |
| Atlantic | 1989-1999 | target | 11 | 06MT19900123 |
| Atlantic | 1989-1999 | target | 12 | 33LK19960415 |
| Atlantic | 1989-1999 | target | 13 | 33MW19930704 |
| Atlantic | 2000-2009 | target | 7 | 35TH20010823 |
| Atlantic | 2000-2009 | target | 8 | 74DI20040404 |
| Atlantic | 2000-2009 | target | 9 | 35TH20080610 |
| Atlantic | 2000-2009 | target | 11 | 35TH20040604 |
| Atlantic | 2000-2009 | target | 12 | 35TH20020611 |
| Atlantic | 2010-2019 | target | 10 | 33RO20110926 |
| Indian | 1989-1999 | target | 11 | 320619960503 |
| Indian | 2000-2009 | target | 2 | 33RR20080204 |
| Pacific | 1989-1999 | target | 3 | 31DS19960105 |
| Pacific | 1989-1999 | target | 6 | 316N19930222 |
| Pacific | 1989-1999 | target | 7 | 316N19921006 |
| Pacific | 1989-1999 | target | 8 | 90KD19920214 |
| Pacific | 1989-1999 | target | 11 | 316N19921204 |
| Pacific | 2000-2009 | target | 1 | 33RO20071215 |
| Pacific | 2010-2019 | target | 1 | 318M20091121 |
| Pacific | 2010-2019 | target | 5 | 320620170703 |
loss_grid <- loss %>% distinct(lon, lat, cruise_expocode)
loss_f_grid <- left_join(loss_f_cruise,
loss_grid)
map +
geom_tile(data = loss_f_grid,
aes(lon, lat, fill = loss)) +
facet_grid(decade ~ parameter_class) +
scale_fill_manual(values = grey_plasma)

loss_f_grid %>% filter(loss != 0) %>%
group_split(parameter_class, decade) %>%
# head(1) %>%
map(
~ map +
geom_tile(data = .x,
aes(lon, lat, fill = cruise_expocode)) +
scale_fill_brewer(palette = "Paired") +
facet_grid(decade ~ parameter_class)
)
[[1]]

| Version | Author | Date |
|---|---|---|
| e810585 | jens-daniel-mueller | 2021-12-16 |
[[2]]

| Version | Author | Date |
|---|---|---|
| e810585 | jens-daniel-mueller | 2021-12-16 |
[[3]]

| Version | Author | Date |
|---|---|---|
| e810585 | jens-daniel-mueller | 2021-12-16 |
loss_f9 <- loss_all %>%
select(lon, lat, basin_AIP, decade, cruise_expocode, ends_with("f")) %>%
pivot_longer(ends_with("f"),
names_to = "parameter",
values_to = "value") %>%
mutate(parameter = str_remove(parameter, "f"))
loss_f9 <- loss_f9 %>%
count(cruise_expocode, basin_AIP, decade, parameter, value) %>%
pivot_wider(
names_from = value,
names_prefix = "f_",
values_from = n,
values_fill = 0
) %>%
mutate(n_cruise = f_0 + f_2 + f_9,
category = if_else(f_9 <= 0.1 * (n_cruise), "OK", "loss"))
loss_f9_cruise <- loss_f9 %>%
mutate(parameter_class = if_else(
parameter %in% c("tco2", "talk", "phosphate"),
"target",
"predictor"
)) %>%
count(cruise_expocode,
basin_AIP,
decade,
n_cruise,
parameter_class,
category) %>%
pivot_wider(names_from = category,
values_from = n,
values_fill = 0) %>%
select(-OK) %>%
pivot_wider(names_from = parameter_class,
values_from = loss) %>%
group_by(basin_AIP, decade) %>%
mutate(rank_n_cruise = rank(-n_cruise)) %>%
ungroup()
loss_f9_cruise <- full_join(loss_f9_cruise, loss_all_n)
loss_f9_cruise <- loss_f9_cruise %>%
mutate(n_cruise_rel = 100 * n_cruise / n) %>%
arrange(basin_AIP, decade, -n_cruise_rel) %>%
group_by(basin_AIP, decade) %>%
mutate(n_cruise_rel_cum = cumsum(n_cruise_rel)) %>%
ungroup() %>%
select(-n)
loss_f9_cruise <- loss_f9_cruise %>%
pivot_longer(predictor:target,
names_to = "parameter_class",
values_to = "loss") %>%
mutate(loss = as.factor(loss))
grey_plasma <- c("grey80", viridisLite::plasma(4))
loss_f9_cruise <- loss_f9_cruise %>%
filter(n_cruise_rel >= 3)
loss_f9_cruise %>%
group_split(basin_AIP) %>%
# head(1) %>%
map(
~ ggplot(data = .x,
aes(rank_n_cruise, n_cruise, fill = loss)) +
geom_point(shape = 21, size = 2) +
scale_fill_manual(values = grey_plasma,
name = "variables missing") +
facet_grid(decade ~ parameter_class) +
labs(title = paste("basin_AIP:", unique(.x$basin_AIP))) +
ylim(0, NA)
)
[[1]]

| Version | Author | Date |
|---|---|---|
| 6aa4b75 | jens-daniel-mueller | 2021-12-16 |
[[2]]

| Version | Author | Date |
|---|---|---|
| 6aa4b75 | jens-daniel-mueller | 2021-12-16 |
[[3]]

| Version | Author | Date |
|---|---|---|
| 6aa4b75 | jens-daniel-mueller | 2021-12-16 |
loss_f9_cruise %>%
filter(loss != 0) %>%
select(basin_AIP, decade, parameter_class, rank_n_cruise, cruise_expocode) %>%
arrange(basin_AIP, decade, parameter_class, rank_n_cruise) %>%
kable() %>%
kable_styling() %>%
scroll_box(height = "300px")
| basin_AIP | decade | parameter_class | rank_n_cruise | cruise_expocode |
|---|---|---|---|---|
| Atlantic | 1989-1999 | predictor | 2 | 316N19871123 |
| Atlantic | 1989-1999 | predictor | 4 | 06AQ19980328 |
| Atlantic | 1989-1999 | predictor | 6 | 74DI19970807 |
| Atlantic | 1989-1999 | target | 2 | 316N19871123 |
| Atlantic | 1989-1999 | target | 3 | 33RO19980123 |
| Atlantic | 1989-1999 | target | 4 | 06AQ19980328 |
| Atlantic | 1989-1999 | target | 6 | 74DI19970807 |
| Atlantic | 1989-1999 | target | 7 | 33MW19930704 |
| Atlantic | 2000-2009 | target | 1 | 33RO20050111 |
| Atlantic | 2000-2009 | target | 2 | 33RO20030604 |
| Atlantic | 2000-2009 | target | 3 | 06AQ20050122 |
| Atlantic | 2000-2009 | target | 4 | 06AQ20080210 |
| Atlantic | 2000-2009 | target | 5 | 35TH19990712 |
| Atlantic | 2010-2019 | predictor | 10 | 06M220170104 |
| Atlantic | 2010-2019 | predictor | 11 | 06AQ20120107 |
| Atlantic | 2010-2019 | target | 3 | 33RO20110926 |
| Atlantic | 2010-2019 | target | 6 | 29HE20130320 |
| Atlantic | 2010-2019 | target | 10 | 06M220170104 |
| Indian | 1989-1999 | predictor | 1 | 316N19951202 |
| Indian | 1989-1999 | predictor | 3 | 316N19950310 |
| Indian | 1989-1999 | predictor | 7 | 35MF19960220 |
| Indian | 1989-1999 | target | 1 | 316N19951202 |
| Indian | 1989-1999 | target | 5 | 316N19941201 |
| Indian | 1989-1999 | target | 8 | 320619960503 |
| Indian | 1989-1999 | target | 10 | 316N19950611 |
| Indian | 1989-1999 | target | 12 | 35MF19930123 |
| Indian | 2000-2009 | predictor | 9 | 09AR20071216 |
| Indian | 2000-2009 | target | 6 | 09AR20060102 |
| Indian | 2010-2019 | predictor | 7 | 09AR20141205 |
| Indian | 2010-2019 | target | 7 | 09AR20141205 |
| Pacific | 1989-1999 | predictor | 6 | 33MW19920224 |
| Pacific | 1989-1999 | target | 1 | 316N19920502 |
| Pacific | 1989-1999 | target | 6 | 33MW19920224 |
| Pacific | 1989-1999 | target | 8 | 316N19921006 |
| Pacific | 2000-2009 | predictor | 6 | 325020060213 |
loss_all_grid <- loss_all %>% distinct(lon, lat, cruise_expocode)
loss_f9_grid <- left_join(loss_f9_cruise,
loss_all_grid)
map +
geom_tile(data = loss_f9_grid,
aes(lon, lat, fill = loss)) +
facet_grid(decade ~ parameter_class) +
scale_fill_manual(values = grey_plasma)

| Version | Author | Date |
|---|---|---|
| 6aa4b75 | jens-daniel-mueller | 2021-12-16 |
loss_f9_grid %>% filter(loss != 0) %>%
group_split(parameter_class, decade) %>%
# head(1) %>%
map(
~ map +
geom_tile(data = .x,
aes(lon, lat, fill = cruise_expocode)) +
scale_fill_brewer(palette = "Paired") +
facet_grid(decade ~ parameter_class)
)
[[1]]

| Version | Author | Date |
|---|---|---|
| e810585 | jens-daniel-mueller | 2021-12-16 |
[[2]]

| Version | Author | Date |
|---|---|---|
| e810585 | jens-daniel-mueller | 2021-12-16 |
[[3]]

| Version | Author | Date |
|---|---|---|
| e810585 | jens-daniel-mueller | 2021-12-16 |
[[4]]

| Version | Author | Date |
|---|---|---|
| e810585 | jens-daniel-mueller | 2021-12-16 |
[[5]]

| Version | Author | Date |
|---|---|---|
| e810585 | jens-daniel-mueller | 2021-12-16 |
[[6]]

| Version | Author | Date |
|---|---|---|
| e810585 | jens-daniel-mueller | 2021-12-16 |
expocodes_missing <- GLODAP_cruises_missing %>%
distinct(cruise_expocode) %>%
pull()
missing_cruise_grid <- loss_all %>%
filter(cruise_expocode %in% expocodes_missing) %>%
distinct(cruise_expocode, decade, lon, lat)
missing_cruise_grid %>%
group_split(decade) %>%
# head(1) %>%
map(
~ map +
geom_tile(data = .x,
aes(lon, lat, fill = str_sub(
cruise_expocode, 1, 4
))) +
facet_grid(decade ~ .) +
scale_fill_brewer(palette = "Paired",
name = "RV")
)
[[1]]

| Version | Author | Date |
|---|---|---|
| 00227e6 | jens-daniel-mueller | 2021-12-20 |
[[2]]

| Version | Author | Date |
|---|---|---|
| 00227e6 | jens-daniel-mueller | 2021-12-20 |
[[3]]

| Version | Author | Date |
|---|---|---|
| 00227e6 | jens-daniel-mueller | 2021-12-20 |
P18 <- full_join(
GLODAP,
GLODAP_expocodes
)
P18 <- P18 %>%
filter(cruise_expocode %in% c("33RO20161119",
"33RO20071215",
"31DS19940126"))
P18 %>%
ggplot(aes(date, lat)) +
geom_point() +
facet_grid() +
facet_wrap(cruise_expocode ~., scales = "free_x", ncol = 1)

P18 %>%
filter(!is.na(nitrate)) %>%
ggplot(aes(lat, depth, col= nitrate)) +
geom_point() +
scale_color_viridis_c() +
scale_y_reverse() +
facet_grid(cruise_expocode ~.)

P18_grid <- P18 %>%
select(lat, lon, depth, cruise_expocode, nitrate) %>%
mutate(depth = as.numeric(as.character(cut(depth,
seq(0,1e4, 500),
seq(250,1e4,500))))) %>%
group_by(lat, depth, cruise_expocode) %>%
summarise(nitrate = mean(nitrate, na.rm=TRUE)) %>%
ungroup()
P18_grid %>%
ggplot(aes(lat, depth, col= nitrate)) +
geom_point() +
scale_color_viridis_c() +
scale_y_reverse() +
facet_grid(cruise_expocode ~.)

P18_grid_offset <- P18_grid %>%
pivot_wider(names_from = cruise_expocode,
values_from = nitrate) %>%
mutate(delta_nitrate_1994_2007 = (`31DS19940126` - `33RO20071215`) / `33RO20071215`,
delta_nitrate_1994_2016 = (`31DS19940126` - `33RO20161119`) / `33RO20071215`,
delta_nitrate_2007_2016 = (`33RO20071215` - `33RO20161119`) / `33RO20071215`) %>%
select(lat, depth, starts_with("delta")) %>%
pivot_longer(starts_with("delta"),
values_to = "delta_nitrate",
names_to = "years",
names_prefix = "delta_nitrate_") %>%
filter(delta_nitrate > -20,
depth > 1500)
P18_grid_offset %>%
ggplot(aes(lat, depth, col= delta_nitrate)) +
geom_point() +
scale_color_divergent() +
scale_y_reverse() +
facet_grid(years ~.)

| Version | Author | Date |
|---|---|---|
| 70923f2 | jens-daniel-mueller | 2021-12-14 |
P18_grid_offset %>%
group_by(lat, years) %>%
summarise(delta_nitrate = mean(delta_nitrate, na.rm = TRUE)) %>%
ungroup() %>%
ggplot(aes(lat, delta_nitrate, col = years, fill = years)) +
geom_hline(yintercept = 0) +
stat_smooth(method = "lm", formula = y ~ x + I(x ^ 2)) +
geom_point() +
geom_line()

| Version | Author | Date |
|---|---|---|
| 70923f2 | jens-daniel-mueller | 2021-12-14 |
rm(P18, P18_grid)
A16 <- full_join(
GLODAP,
GLODAP_expocodes
)
A16 <- A16 %>%
filter(cruise_expocode %in% c(
"33MW19930704" #A16N-1993
))
map +
geom_tile(data = A16 %>% distinct(lon, lat),
aes(lon, lat))

| Version | Author | Date |
|---|---|---|
| 70923f2 | jens-daniel-mueller | 2021-12-14 |
A16 %>%
select(ends_with(c("qc"))) %>%
pivot_longer(everything(),
names_to = "flag",
values_to = "value") %>%
distinct(flag, value)
[38;5;246m# A tibble: 9 × 2[39m
flag value
[3m[38;5;246m<chr>[39m[23m [3m[38;5;246m<dbl>[39m[23m
[38;5;250m1[39m salinityqc 1
[38;5;250m2[39m oxygenqc 1
[38;5;250m3[39m nitrateqc 1
[38;5;250m4[39m silicateqc 1
[38;5;250m5[39m phosphateqc 1
[38;5;250m6[39m tco2qc 1
[38;5;250m7[39m talkqc 1
[38;5;250m8[39m talkqc 0
[38;5;250m9[39m tco2qc 0
rm(A16)
Typically, the reasons for multiple expocode entries of the same cruise in the adjustment table list are:
-> How to merge? Based on first and last station? Cruise_ID not in GLODAP merged master file.
-> How to merge? Based on first and last station?
For the expocodes not listed in the expocode list the reason is that INDIGO has been splitted into three cruises: 35MF1985-1987 and the same holds for SAVE (316N1987 - 6legs). Further 49HH20011208 has been assigned wrongly and corrected to 49HH20011127.
Remove expocode INDIGO and maintain only 35MF19850224. Remove expocode SAVE and maintain only 316N1987.
GLODAP_adjustments <- GLODAP_adjustments %>%
select(cruise_expocode,
first_station, last_station,
version,
calculated_carbon_parameter,
ends_with("_adj")) %>%
rename(talk_adj = alkalinity_adj)
# Remove cruises INDIGO and SAVE
GLODAP_adjustments <-
GLODAP_adjustments %>%
filter(!(cruise_expocode %in% c("INDIGO", "SAVE")))
# correct expocode 49HH20011208 to 49HH20011127
GLODAP_adjustments <-
GLODAP_adjustments %>%
mutate(cruise_expocode = if_else(
cruise_expocode == "49HH20011208",
"49HH20011127",
cruise_expocode
))
# select latest adjustment versions
GLODAP_adjustments <-
GLODAP_adjustments %>%
group_by(cruise_expocode, first_station) %>%
mutate(n = n(),
version_max = max(version)) %>%
ungroup() %>%
filter(version == version_max | is.na(version)) %>%
select(-c(version_max, version, n))
# harmonize multiple cruise expocodes of 316N1987
GLODAP_adjustments <- GLODAP_adjustments %>%
# filter(str_detect(cruise_expocode, "\\.")) %>%
mutate(cruise_expocode = str_split(cruise_expocode,
"\\.",
simplify = TRUE)[,1])
# correct one wrong last_cruise label
GLODAP_adjustments <- GLODAP_adjustments %>%
mutate(
last_station = if_else(
cruise_expocode == "318M20091121" &
first_station == 1,
127,
last_station
)
)
# merge with expocode table
GLODAP_adjustments <- full_join(GLODAP_adjustments, GLODAP_expocodes) %>%
relocate(cruise)
GLODAP_adjustments_NA_cruises <-
GLODAP_adjustments %>%
filter(is.na(cruise))
GLODAP_adjustments_duplicated_cruises <-
GLODAP_adjustments %>%
group_by(cruise_expocode, cruise) %>%
mutate(n = n()) %>%
ungroup() %>%
filter(n != 1)
GLODAP_adjustments %>%
pivot_longer(salinity_adj:c13_adj,
names_to = "parameter",
values_to = "adjustment") %>%
ggplot(aes(adjustment)) +
geom_histogram() +
scale_y_log10() +
facet_wrap(~ parameter, scales = "free_x")

| Version | Author | Date |
|---|---|---|
| 6d6a23e | jens-daniel-mueller | 2021-11-01 |
GLODAP <-
left_join(GLODAP,
GLODAP_adjustments %>%
distinct(cruise, cruise_expocode))
GLODAP_adjustments_long <- GLODAP_adjustments %>%
select(
cruise_expocode,
first_station,
last_station,
tco2_adj,
talk_adj,
phosphate_adj,
nitrate_adj,
oxygen_adj,
silicate_adj,
salinity_adj
) %>%
pivot_longer(tco2_adj:salinity_adj,
names_to = "parameter",
values_to = "adjustment") %>%
mutate(parameter = str_remove(parameter, "_adj"))
p_adjustment_histo <- GLODAP_adjustments_long %>%
ggplot(aes(adjustment)) +
geom_histogram() +
scale_y_log10() +
facet_wrap(~ parameter, scales = "free_x", ncol = 1)
p_xover_histo <-
ggplot() +
geom_histogram(data = glodapv2_xover,
aes(offset)) +
labs(title = "v2") +
scale_y_log10() +
facet_wrap(~ parameter, scales = "free_x", ncol = 1)
p_xover_histo_2021 <-
ggplot() +
geom_histogram(data = glodapv2_2021_xover,
aes(offset)) +
labs(title = "v2_2021") +
scale_y_log10() +
facet_wrap(~ parameter, scales = "free_x", ncol = 1)
p_xover_histo + p_xover_histo_2021 + p_adjustment_histo

rm(p_xover_histo, p_xover_histo_2021, p_adjustment_histo)
glodapv2_xover <- left_join(
glodapv2_xover,
GLODAP_adjustments_long %>%
select(
cruise_A = cruise_expocode,
parameter,
first_station_A = first_station,
last_station_A = last_station,
adjustment_A = adjustment
)
)
glodapv2_xover <- left_join(
glodapv2_xover,
GLODAP_adjustments_long %>%
select(
cruise_B = cruise_expocode,
parameter,
first_station_B = first_station,
last_station_B = last_station,
adjustment_B = adjustment
)
)
glodapv2_xover <- glodapv2_xover %>%
mutate(offset_adj =
if_else(parameter %in% c("salinity", "talk", "tco2"),
offset + adjustment_A - adjustment_B,
offset * adjustment_A / adjustment_B))
glodapv2_2021_xover <- left_join(
glodapv2_2021_xover,
GLODAP_adjustments_long %>%
select(
cruise_A = cruise_expocode,
parameter,
first_station_A = first_station,
last_station_A = last_station,
adjustment_A = adjustment
)
)
glodapv2_2021_xover <- left_join(
glodapv2_2021_xover,
GLODAP_adjustments_long %>%
select(
cruise_B = cruise_expocode,
parameter,
first_station_B = first_station,
last_station_B = last_station,
adjustment_B = adjustment
)
)
glodapv2_2021_xover <- glodapv2_2021_xover %>%
mutate(offset_adj =
if_else(parameter %in% c("salinity", "talk", "tco2"),
offset + adjustment_A,
offset * adjustment_A))
xover <- bind_rows(glodapv2_xover,
glodapv2_2021_xover)
hline_intercept <-
tibble(parameter = unique(xover$parameter)) %>%
mutate(intercept = if_else(parameter %in% c("salinity", "talk", "tco2"),
0,
1))
for (i_expocodes_missing in expocodes_missing) {
# i_expocodes_missing <- expocodes_missing[1]
cruise <- GLODAP %>%
filter(cruise_expocode == i_expocodes_missing) %>%
rename(salinity = sal)
parameter_qc <- loss_qc %>%
filter(cruise_expocode == i_expocodes_missing,
category == "loss")
print(parameter_qc)
parameter_qc <- parameter_qc %>%
pull(parameter)
if (length(parameter_qc) > 0) {
parameter_qc <- parameter_qc %>% str_c(.,"qc")
}
parameter_f <- loss_f %>%
filter(cruise_expocode == i_expocodes_missing,
category == "loss")
print(parameter_f)
parameter_f <- parameter_f %>%
pull(parameter)
if (length(parameter_f) > 0) {
parameter_f <- parameter_f %>% str_c(.,"f")
}
parameter_f9 <- loss_f9 %>%
filter(cruise_expocode == i_expocodes_missing,
category == "loss")
print(parameter_f9)
parameter_f9 <- parameter_f9 %>%
pull(parameter)
if (length(parameter_f9) > 0) {
parameter_f9 <- parameter_f9 %>% str_c(.,"f")
}
parameter_check <-
unique(c(parameter_qc, parameter_f, parameter_f9))
print(parameter_check)
rm(parameter_qc, parameter_f, parameter_f9)
xover_cruise_A <- xover %>%
filter(cruise_A %in% i_expocodes_missing)
xover_cruise_B <- xover %>%
filter(cruise_B %in% i_expocodes_missing)
xover_cruise_B_rev <- xover_cruise_B %>%
rename(
cruise_A_back = cruise_A,
cruise_A = cruise_B,
adjustment_A_back = adjustment_A,
adjustment_A = adjustment_B
) %>%
rename(cruise_B = cruise_A_back,
adjustment_B = adjustment_A_back) %>%
mutate(
offset = if_else(
parameter %in% c("salinity", "talk", "tco2"),
-offset,
1 / offset
),
offset_adj = if_else(
parameter %in% c("salinity", "talk", "tco2"),
-offset_adj,
1 / offset_adj
)
)
xover_cruise <- bind_rows(xover_cruise_A,
xover_cruise_B_rev)
xover_cruise <- xover_cruise %>%
mutate(dateA = ymd(str_sub(cruise_A, 5, 12)),
dateB = ymd(str_sub(cruise_B, 5, 12)))
# xover_cruise <- xover_cruise %>%
# mutate(RV = str_sub(cruise_B, 1, 4))
for (i_parameter_check in parameter_check) {
# i_parameter_check <- parameter_check[1]
cruise_flag_count <- cruise %>%
count(lon, lat, !!sym(i_parameter_check)) %>%
group_by(lon, lat) %>%
mutate(n_rel = 100 * n / sum(n)) %>%
ungroup()
print(
map +
geom_tile(data = cruise_flag_count,
aes(lon, lat, fill = n_rel)) +
scale_fill_viridis_c(option = "magma",
direction = -1) +
facet_wrap(i_parameter_check, ncol = 2) +
labs(title = i_expocodes_missing,
subtitle = i_parameter_check)
)
i_parameter_check_var <- str_remove(i_parameter_check, "f")
i_parameter_check_var <- str_remove(i_parameter_check_var, "qc")
print(
cruise %>%
ggplot(aes(!!sym(i_parameter_check_var), depth, fill=station)) +
geom_point(alpha = 0.2, shape = 21) +
scale_fill_viridis_c() +
scale_y_reverse() +
facet_wrap(i_parameter_check, ncol = 2) +
labs(title = i_expocodes_missing,
subtitle = i_parameter_check)
)
}
p_crossover_ts <- xover_cruise %>%
ggplot(aes(dateB, offset_adj)) +
geom_vline(xintercept = ymd(str_sub(i_expocodes_missing, 5)),
col = "red") +
geom_hline(data = hline_intercept, aes(yintercept = intercept)) +
geom_point() +
facet_grid(parameter ~ ., scales = "free_y") +
labs(title = i_expocodes_missing,
subtitle = str_c(parameter_check, collapse = "+")) +
theme(
legend.position = "bottom",
legend.direction = "vertical",
axis.title.x = element_blank()
)
xover_cruise_decade <- xover_cruise %>%
mutate(decade = cut(
year(dateB),
c(1989, 1999, 2009, 2019),
labels = c("1989-1999", "2000-2009", "2010-2019")
)) %>%
filter(!is.na(decade),
!is.na(offset_adj)) %>%
group_by(parameter, decade) %>%
mutate(n = n()) %>%
ungroup() %>%
filter(n > 2)
p_crossover_decadal <-
ggplot() +
geom_hline(data = hline_intercept, aes(yintercept = intercept)) +
geom_violin(
data = xover_cruise_decade,
aes(x = decade, y = offset_adj),
fill = "gold"
) +
geom_boxplot(
data = xover_cruise_decade,
aes(x = decade, y = offset_adj),
width = 0.2
) +
labs(title = "Decadal averages") +
facet_grid(parameter ~ ., scales = "free_y") +
theme(axis.title.x = element_blank(),
axis.text.x = element_text(angle = 90))
print(
p_crossover_ts + p_crossover_decadal +
plot_layout(widths = c(2, 1))
)
rm(p_crossover_ts, p_crossover_decadal)
}
[38;5;246m# A tibble: 0 × 8[39m
[38;5;246m# … with 8 variables: cruise_expocode <chr>, basin_AIP <chr>, decade <fct>,[39m
[38;5;246m# parameter <chr>, qc_0 <int>, qc_1 <int>, n_cruise <int>, category <chr>[39m
[38;5;246m# A tibble: 1 × 8[39m
cruise_expocode basin_AIP decade parameter f_2 f_0 n_cruise category
[3m[38;5;246m<chr>[39m[23m [3m[38;5;246m<chr>[39m[23m [3m[38;5;246m<fct>[39m[23m [3m[38;5;246m<chr>[39m[23m [3m[38;5;246m<int>[39m[23m [3m[38;5;246m<int>[39m[23m [3m[38;5;246m<int>[39m[23m [3m[38;5;246m<chr>[39m[23m
[38;5;250m1[39m 320620170703 Pacific 2010-2019 talk [4m2[24m809 449 [4m3[24m258 loss
[38;5;246m# A tibble: 0 × 9[39m
[38;5;246m# … with 9 variables: cruise_expocode <chr>, basin_AIP <chr>, decade <fct>,[39m
[38;5;246m# parameter <chr>, f_2 <int>, f_9 <int>, f_0 <int>, n_cruise <int>,[39m
[38;5;246m# category <chr>[39m
[1] "talkf"



[38;5;246m# A tibble: 0 × 8[39m
[38;5;246m# … with 8 variables: cruise_expocode <chr>, basin_AIP <chr>, decade <fct>,[39m
[38;5;246m# parameter <chr>, qc_0 <int>, qc_1 <int>, n_cruise <int>, category <chr>[39m
[38;5;246m# A tibble: 1 × 8[39m
cruise_expocode basin_AIP decade parameter f_2 f_0 n_cruise category
[3m[38;5;246m<chr>[39m[23m [3m[38;5;246m<chr>[39m[23m [3m[38;5;246m<fct>[39m[23m [3m[38;5;246m<chr>[39m[23m [3m[38;5;246m<int>[39m[23m [3m[38;5;246m<int>[39m[23m [3m[38;5;246m<int>[39m[23m [3m[38;5;246m<chr>[39m[23m
[38;5;250m1[39m 323019940104 Atlantic 1989-1999 talk [4m2[24m393 539 [4m2[24m932 loss
[38;5;246m# A tibble: 0 × 9[39m
[38;5;246m# … with 9 variables: cruise_expocode <chr>, basin_AIP <chr>, decade <fct>,[39m
[38;5;246m# parameter <chr>, f_2 <int>, f_9 <int>, f_0 <int>, n_cruise <int>,[39m
[38;5;246m# category <chr>[39m
[1] "talkf"



[38;5;246m# A tibble: 0 × 8[39m
[38;5;246m# … with 8 variables: cruise_expocode <chr>, basin_AIP <chr>, decade <fct>,[39m
[38;5;246m# parameter <chr>, qc_0 <int>, qc_1 <int>, n_cruise <int>, category <chr>[39m
[38;5;246m# A tibble: 0 × 8[39m
[38;5;246m# … with 8 variables: cruise_expocode <chr>, basin_AIP <chr>, decade <fct>,[39m
[38;5;246m# parameter <chr>, f_2 <int>, f_0 <int>, n_cruise <int>, category <chr>[39m
[38;5;246m# A tibble: 1 × 9[39m
cruise_expocode basin_AIP decade parameter f_2 f_9 f_0 n_cruise category
[3m[38;5;246m<chr>[39m[23m [3m[38;5;246m<chr>[39m[23m [3m[38;5;246m<fct>[39m[23m [3m[38;5;246m<chr>[39m[23m [3m[38;5;246m<int>[39m[23m [3m[38;5;246m<int>[39m[23m [3m[38;5;246m<int>[39m[23m [3m[38;5;246m<int>[39m[23m [3m[38;5;246m<chr>[39m[23m
[38;5;250m1[39m 325020060213 Pacific 2000-2009 aou [4m2[24m236 349 0 [4m2[24m585 loss
[1] "aouf"



[38;5;246m# A tibble: 0 × 8[39m
[38;5;246m# … with 8 variables: cruise_expocode <chr>, basin_AIP <chr>, decade <fct>,[39m
[38;5;246m# parameter <chr>, qc_0 <int>, qc_1 <int>, n_cruise <int>, category <chr>[39m
[38;5;246m# A tibble: 0 × 8[39m
[38;5;246m# … with 8 variables: cruise_expocode <chr>, basin_AIP <chr>, decade <fct>,[39m
[38;5;246m# parameter <chr>, f_2 <int>, f_0 <int>, n_cruise <int>, category <chr>[39m
[38;5;246m# A tibble: 4 × 9[39m
cruise_expocode basin_AIP decade parameter f_2 f_9 f_0 n_cruise category
[3m[38;5;246m<chr>[39m[23m [3m[38;5;246m<chr>[39m[23m [3m[38;5;246m<fct>[39m[23m [3m[38;5;246m<chr>[39m[23m [3m[38;5;246m<int>[39m[23m [3m[38;5;246m<int>[39m[23m [3m[38;5;246m<int>[39m[23m [3m[38;5;246m<int>[39m[23m [3m[38;5;246m<chr>[39m[23m
[38;5;250m1[39m 06AQ19980328 Atlantic 1989-1999 nitrate [4m1[24m343 706 9 [4m2[24m058 loss
[38;5;250m2[39m 06AQ19980328 Atlantic 1989-1999 phosphate [4m1[24m347 707 4 [4m2[24m058 loss
[38;5;250m3[39m 06AQ19980328 Atlantic 1989-1999 silicate [4m1[24m348 708 2 [4m2[24m058 loss
[38;5;250m4[39m 06AQ19980328 Atlantic 1989-1999 talk 0 [4m2[24m058 0 [4m2[24m058 loss
[1] "nitratef" "phosphatef" "silicatef" "talkf"









[38;5;246m# A tibble: 2 × 8[39m
cruise_expocode basin_AIP decade parameter qc_0 qc_1 n_cruise category
[3m[38;5;246m<chr>[39m[23m [3m[38;5;246m<chr>[39m[23m [3m[38;5;246m<fct>[39m[23m [3m[38;5;246m<chr>[39m[23m [3m[38;5;246m<int>[39m[23m [3m[38;5;246m<int>[39m[23m [3m[38;5;246m<int>[39m[23m [3m[38;5;246m<chr>[39m[23m
[38;5;250m1[39m 06MT19900123 Atlantic 1989-1999 talk 660 0 660 loss
[38;5;250m2[39m 06MT19900123 Pacific 1989-1999 talk 9 0 9 loss
[38;5;246m# A tibble: 2 × 8[39m
cruise_expocode basin_AIP decade parameter f_2 f_0 n_cruise category
[3m[38;5;246m<chr>[39m[23m [3m[38;5;246m<chr>[39m[23m [3m[38;5;246m<fct>[39m[23m [3m[38;5;246m<chr>[39m[23m [3m[38;5;246m<int>[39m[23m [3m[38;5;246m<int>[39m[23m [3m[38;5;246m<int>[39m[23m [3m[38;5;246m<chr>[39m[23m
[38;5;250m1[39m 06MT19900123 Atlantic 1989-1999 talk 0 660 660 loss
[38;5;250m2[39m 06MT19900123 Pacific 1989-1999 talk 0 9 9 loss
[38;5;246m# A tibble: 3 × 9[39m
cruise_expocode basin_AIP decade parameter f_2 f_9 f_0 n_cruise category
[3m[38;5;246m<chr>[39m[23m [3m[38;5;246m<chr>[39m[23m [3m[38;5;246m<fct>[39m[23m [3m[38;5;246m<chr>[39m[23m [3m[38;5;246m<int>[39m[23m [3m[38;5;246m<int>[39m[23m [3m[38;5;246m<int>[39m[23m [3m[38;5;246m<int>[39m[23m [3m[38;5;246m<chr>[39m[23m
[38;5;250m1[39m 06MT19900123 Atlantic 1989-1999 talk 0 324 667 991 loss
[38;5;250m2[39m 06MT19900123 Pacific 1989-1999 aou 233 62 0 295 loss
[38;5;250m3[39m 06MT19900123 Pacific 1989-1999 talk 0 282 13 295 loss
[1] "talkqc" "talkf" "aouf"







[38;5;246m# A tibble: 0 × 8[39m
[38;5;246m# … with 8 variables: cruise_expocode <chr>, basin_AIP <chr>, decade <fct>,[39m
[38;5;246m# parameter <chr>, qc_0 <int>, qc_1 <int>, n_cruise <int>, category <chr>[39m
[38;5;246m# A tibble: 0 × 8[39m
[38;5;246m# … with 8 variables: cruise_expocode <chr>, basin_AIP <chr>, decade <fct>,[39m
[38;5;246m# parameter <chr>, f_2 <int>, f_0 <int>, n_cruise <int>, category <chr>[39m
[38;5;246m# A tibble: 2 × 9[39m
cruise_expocode basin_AIP decade parameter f_2 f_9 f_0 n_cruise category
[3m[38;5;246m<chr>[39m[23m [3m[38;5;246m<chr>[39m[23m [3m[38;5;246m<fct>[39m[23m [3m[38;5;246m<chr>[39m[23m [3m[38;5;246m<int>[39m[23m [3m[38;5;246m<int>[39m[23m [3m[38;5;246m<int>[39m[23m [3m[38;5;246m<int>[39m[23m [3m[38;5;246m<chr>[39m[23m
[38;5;250m1[39m 316N19871123 Atlantic 1989-1999 aou [4m2[24m554 344 0 [4m2[24m898 loss
[38;5;250m2[39m 316N19871123 Atlantic 1989-1999 talk [4m1[24m870 [4m1[24m028 0 [4m2[24m898 loss
[1] "aouf" "talkf"





[38;5;246m# A tibble: 1 × 8[39m
cruise_expocode basin_AIP decade parameter qc_0 qc_1 n_cruise category
[3m[38;5;246m<chr>[39m[23m [3m[38;5;246m<chr>[39m[23m [3m[38;5;246m<fct>[39m[23m [3m[38;5;246m<chr>[39m[23m [3m[38;5;246m<int>[39m[23m [3m[38;5;246m<int>[39m[23m [3m[38;5;246m<int>[39m[23m [3m[38;5;246m<chr>[39m[23m
[38;5;250m1[39m 316N19920502 Pacific 1989-1999 talk 570 0 570 loss
[38;5;246m# A tibble: 1 × 8[39m
cruise_expocode basin_AIP decade parameter f_2 f_0 n_cruise category
[3m[38;5;246m<chr>[39m[23m [3m[38;5;246m<chr>[39m[23m [3m[38;5;246m<fct>[39m[23m [3m[38;5;246m<chr>[39m[23m [3m[38;5;246m<int>[39m[23m [3m[38;5;246m<int>[39m[23m [3m[38;5;246m<int>[39m[23m [3m[38;5;246m<chr>[39m[23m
[38;5;250m1[39m 316N19920502 Pacific 1989-1999 talk 0 570 570 loss
[38;5;246m# A tibble: 2 × 9[39m
cruise_expocode basin_AIP decade parameter f_2 f_9 f_0 n_cruise category
[3m[38;5;246m<chr>[39m[23m [3m[38;5;246m<chr>[39m[23m [3m[38;5;246m<fct>[39m[23m [3m[38;5;246m<chr>[39m[23m [3m[38;5;246m<int>[39m[23m [3m[38;5;246m<int>[39m[23m [3m[38;5;246m<int>[39m[23m [3m[38;5;246m<int>[39m[23m [3m[38;5;246m<chr>[39m[23m
[38;5;250m1[39m 316N19920502 Pacific 1989-1999 phosphate [4m2[24m676 376 29 [4m3[24m081 loss
[38;5;250m2[39m 316N19920502 Pacific 1989-1999 talk 0 [4m2[24m508 573 [4m3[24m081 loss
[1] "talkqc" "talkf" "phosphatef"







[38;5;246m# A tibble: 1 × 8[39m
cruise_expocode basin_AIP decade parameter qc_0 qc_1 n_cruise category
[3m[38;5;246m<chr>[39m[23m [3m[38;5;246m<chr>[39m[23m [3m[38;5;246m<fct>[39m[23m [3m[38;5;246m<chr>[39m[23m [3m[38;5;246m<int>[39m[23m [3m[38;5;246m<int>[39m[23m [3m[38;5;246m<int>[39m[23m [3m[38;5;246m<chr>[39m[23m
[38;5;250m1[39m 316N19921006 Pacific 1989-1999 talk [4m1[24m352 0 [4m1[24m352 loss
[38;5;246m# A tibble: 1 × 8[39m
cruise_expocode basin_AIP decade parameter f_2 f_0 n_cruise category
[3m[38;5;246m<chr>[39m[23m [3m[38;5;246m<chr>[39m[23m [3m[38;5;246m<fct>[39m[23m [3m[38;5;246m<chr>[39m[23m [3m[38;5;246m<int>[39m[23m [3m[38;5;246m<int>[39m[23m [3m[38;5;246m<int>[39m[23m [3m[38;5;246m<chr>[39m[23m
[38;5;250m1[39m 316N19921006 Pacific 1989-1999 talk 0 [4m1[24m352 [4m1[24m352 loss
[38;5;246m# A tibble: 1 × 9[39m
cruise_expocode basin_AIP decade parameter f_2 f_9 f_0 n_cruise category
[3m[38;5;246m<chr>[39m[23m [3m[38;5;246m<chr>[39m[23m [3m[38;5;246m<fct>[39m[23m [3m[38;5;246m<chr>[39m[23m [3m[38;5;246m<int>[39m[23m [3m[38;5;246m<int>[39m[23m [3m[38;5;246m<int>[39m[23m [3m[38;5;246m<int>[39m[23m [3m[38;5;246m<chr>[39m[23m
[38;5;250m1[39m 316N19921006 Pacific 1989-1999 talk 0 175 [4m1[24m359 [4m1[24m534 loss
[1] "talkqc" "talkf"





[38;5;246m# A tibble: 0 × 8[39m
[38;5;246m# … with 8 variables: cruise_expocode <chr>, basin_AIP <chr>, decade <fct>,[39m
[38;5;246m# parameter <chr>, qc_0 <int>, qc_1 <int>, n_cruise <int>, category <chr>[39m
[38;5;246m# A tibble: 0 × 8[39m
[38;5;246m# … with 8 variables: cruise_expocode <chr>, basin_AIP <chr>, decade <fct>,[39m
[38;5;246m# parameter <chr>, f_2 <int>, f_0 <int>, n_cruise <int>, category <chr>[39m
[38;5;246m# A tibble: 1 × 9[39m
cruise_expocode basin_AIP decade parameter f_2 f_9 f_0 n_cruise category
[3m[38;5;246m<chr>[39m[23m [3m[38;5;246m<chr>[39m[23m [3m[38;5;246m<fct>[39m[23m [3m[38;5;246m<chr>[39m[23m [3m[38;5;246m<int>[39m[23m [3m[38;5;246m<int>[39m[23m [3m[38;5;246m<int>[39m[23m [3m[38;5;246m<int>[39m[23m [3m[38;5;246m<chr>[39m[23m
[38;5;250m1[39m 316N19941201 Indian 1989-1999 talk [4m1[24m705 466 0 [4m2[24m171 loss
[1] "talkf"



[38;5;246m# A tibble: 0 × 8[39m
[38;5;246m# … with 8 variables: cruise_expocode <chr>, basin_AIP <chr>, decade <fct>,[39m
[38;5;246m# parameter <chr>, qc_0 <int>, qc_1 <int>, n_cruise <int>, category <chr>[39m
[38;5;246m# A tibble: 0 × 8[39m
[38;5;246m# … with 8 variables: cruise_expocode <chr>, basin_AIP <chr>, decade <fct>,[39m
[38;5;246m# parameter <chr>, f_2 <int>, f_0 <int>, n_cruise <int>, category <chr>[39m
[38;5;246m# A tibble: 2 × 9[39m
cruise_expocode basin_AIP decade parameter f_2 f_9 f_0 n_cruise category
[3m[38;5;246m<chr>[39m[23m [3m[38;5;246m<chr>[39m[23m [3m[38;5;246m<fct>[39m[23m [3m[38;5;246m<chr>[39m[23m [3m[38;5;246m<int>[39m[23m [3m[38;5;246m<int>[39m[23m [3m[38;5;246m<int>[39m[23m [3m[38;5;246m<int>[39m[23m [3m[38;5;246m<chr>[39m[23m
[38;5;250m1[39m 316N19950310 Indian 1989-1999 aou [4m1[24m958 439 0 [4m2[24m397 loss
[38;5;250m2[39m 316N19950310 Indian 1989-1999 salinity [4m1[24m989 394 14 [4m2[24m397 loss
[1] "aouf" "salinityf"





[38;5;246m# A tibble: 0 × 8[39m
[38;5;246m# … with 8 variables: cruise_expocode <chr>, basin_AIP <chr>, decade <fct>,[39m
[38;5;246m# parameter <chr>, qc_0 <int>, qc_1 <int>, n_cruise <int>, category <chr>[39m
[38;5;246m# A tibble: 0 × 8[39m
[38;5;246m# … with 8 variables: cruise_expocode <chr>, basin_AIP <chr>, decade <fct>,[39m
[38;5;246m# parameter <chr>, f_2 <int>, f_0 <int>, n_cruise <int>, category <chr>[39m
[38;5;246m# A tibble: 1 × 9[39m
cruise_expocode basin_AIP decade parameter f_2 f_9 f_0 n_cruise category
[3m[38;5;246m<chr>[39m[23m [3m[38;5;246m<chr>[39m[23m [3m[38;5;246m<fct>[39m[23m [3m[38;5;246m<chr>[39m[23m [3m[38;5;246m<int>[39m[23m [3m[38;5;246m<int>[39m[23m [3m[38;5;246m<int>[39m[23m [3m[38;5;246m<int>[39m[23m [3m[38;5;246m<chr>[39m[23m
[38;5;250m1[39m 316N19950611 Indian 1989-1999 talk [4m1[24m657 264 0 [4m1[24m921 loss
[1] "talkf"



[38;5;246m# A tibble: 0 × 8[39m
[38;5;246m# … with 8 variables: cruise_expocode <chr>, basin_AIP <chr>, decade <fct>,[39m
[38;5;246m# parameter <chr>, qc_0 <int>, qc_1 <int>, n_cruise <int>, category <chr>[39m
[38;5;246m# A tibble: 2 × 8[39m
cruise_expocode basin_AIP decade parameter f_2 f_0 n_cruise category
[3m[38;5;246m<chr>[39m[23m [3m[38;5;246m<chr>[39m[23m [3m[38;5;246m<fct>[39m[23m [3m[38;5;246m<chr>[39m[23m [3m[38;5;246m<int>[39m[23m [3m[38;5;246m<int>[39m[23m [3m[38;5;246m<int>[39m[23m [3m[38;5;246m<chr>[39m[23m
[38;5;250m1[39m 318M20091121 Pacific 2010-2019 talk [4m4[24m159 [4m1[24m041 [4m5[24m200 loss
[38;5;250m2[39m 318M20091121 Pacific 2010-2019 tco2 [4m4[24m332 868 [4m5[24m200 loss
[38;5;246m# A tibble: 0 × 9[39m
[38;5;246m# … with 9 variables: cruise_expocode <chr>, basin_AIP <chr>, decade <fct>,[39m
[38;5;246m# parameter <chr>, f_2 <int>, f_9 <int>, f_0 <int>, n_cruise <int>,[39m
[38;5;246m# category <chr>[39m
[1] "talkf" "tco2f"





[38;5;246m# A tibble: 1 × 8[39m
cruise_expocode basin_AIP decade parameter qc_0 qc_1 n_cruise category
[3m[38;5;246m<chr>[39m[23m [3m[38;5;246m<chr>[39m[23m [3m[38;5;246m<fct>[39m[23m [3m[38;5;246m<chr>[39m[23m [3m[38;5;246m<int>[39m[23m [3m[38;5;246m<int>[39m[23m [3m[38;5;246m<int>[39m[23m [3m[38;5;246m<chr>[39m[23m
[38;5;250m1[39m 31DS19940126 Pacific 1989-1999 nitrate [4m2[24m873 0 [4m2[24m873 loss
[38;5;246m# A tibble: 0 × 8[39m
[38;5;246m# … with 8 variables: cruise_expocode <chr>, basin_AIP <chr>, decade <fct>,[39m
[38;5;246m# parameter <chr>, f_2 <int>, f_0 <int>, n_cruise <int>, category <chr>[39m
[38;5;246m# A tibble: 0 × 9[39m
[38;5;246m# … with 9 variables: cruise_expocode <chr>, basin_AIP <chr>, decade <fct>,[39m
[38;5;246m# parameter <chr>, f_2 <int>, f_9 <int>, f_0 <int>, n_cruise <int>,[39m
[38;5;246m# category <chr>[39m
[1] "nitrateqc"



[38;5;246m# A tibble: 0 × 8[39m
[38;5;246m# … with 8 variables: cruise_expocode <chr>, basin_AIP <chr>, decade <fct>,[39m
[38;5;246m# parameter <chr>, qc_0 <int>, qc_1 <int>, n_cruise <int>, category <chr>[39m
[38;5;246m# A tibble: 1 × 8[39m
cruise_expocode basin_AIP decade parameter f_2 f_0 n_cruise category
[3m[38;5;246m<chr>[39m[23m [3m[38;5;246m<chr>[39m[23m [3m[38;5;246m<fct>[39m[23m [3m[38;5;246m<chr>[39m[23m [3m[38;5;246m<int>[39m[23m [3m[38;5;246m<int>[39m[23m [3m[38;5;246m<int>[39m[23m [3m[38;5;246m<chr>[39m[23m
[38;5;250m1[39m 31DS19960105 Pacific 1989-1999 talk [4m2[24m395 282 [4m2[24m677 loss
[38;5;246m# A tibble: 0 × 9[39m
[38;5;246m# … with 9 variables: cruise_expocode <chr>, basin_AIP <chr>, decade <fct>,[39m
[38;5;246m# parameter <chr>, f_2 <int>, f_9 <int>, f_0 <int>, n_cruise <int>,[39m
[38;5;246m# category <chr>[39m
[1] "talkf"



[38;5;246m# A tibble: 1 × 8[39m
cruise_expocode basin_AIP decade parameter qc_0 qc_1 n_cruise category
[3m[38;5;246m<chr>[39m[23m [3m[38;5;246m<chr>[39m[23m [3m[38;5;246m<fct>[39m[23m [3m[38;5;246m<chr>[39m[23m [3m[38;5;246m<int>[39m[23m [3m[38;5;246m<int>[39m[23m [3m[38;5;246m<int>[39m[23m [3m[38;5;246m<chr>[39m[23m
[38;5;250m1[39m 33MW19930704 Atlantic 1989-1999 talk 78 545 623 loss
[38;5;246m# A tibble: 1 × 8[39m
cruise_expocode basin_AIP decade parameter f_2 f_0 n_cruise category
[3m[38;5;246m<chr>[39m[23m [3m[38;5;246m<chr>[39m[23m [3m[38;5;246m<fct>[39m[23m [3m[38;5;246m<chr>[39m[23m [3m[38;5;246m<int>[39m[23m [3m[38;5;246m<int>[39m[23m [3m[38;5;246m<int>[39m[23m [3m[38;5;246m<chr>[39m[23m
[38;5;250m1[39m 33MW19930704 Atlantic 1989-1999 talk 500 123 623 loss
[38;5;246m# A tibble: 1 × 9[39m
cruise_expocode basin_AIP decade parameter f_2 f_9 f_0 n_cruise category
[3m[38;5;246m<chr>[39m[23m [3m[38;5;246m<chr>[39m[23m [3m[38;5;246m<fct>[39m[23m [3m[38;5;246m<chr>[39m[23m [3m[38;5;246m<int>[39m[23m [3m[38;5;246m<int>[39m[23m [3m[38;5;246m<int>[39m[23m [3m[38;5;246m<int>[39m[23m [3m[38;5;246m<chr>[39m[23m
[38;5;250m1[39m 33MW19930704 Atlantic 1989-1999 phosphate 671 [4m1[24m146 1 [4m1[24m818 loss
[1] "talkqc" "talkf" "phosphatef"







[38;5;246m# A tibble: 0 × 8[39m
[38;5;246m# … with 8 variables: cruise_expocode <chr>, basin_AIP <chr>, decade <fct>,[39m
[38;5;246m# parameter <chr>, qc_0 <int>, qc_1 <int>, n_cruise <int>, category <chr>[39m
[38;5;246m# A tibble: 1 × 8[39m
cruise_expocode basin_AIP decade parameter f_2 f_0 n_cruise category
[3m[38;5;246m<chr>[39m[23m [3m[38;5;246m<chr>[39m[23m [3m[38;5;246m<fct>[39m[23m [3m[38;5;246m<chr>[39m[23m [3m[38;5;246m<int>[39m[23m [3m[38;5;246m<int>[39m[23m [3m[38;5;246m<int>[39m[23m [3m[38;5;246m<chr>[39m[23m
[38;5;250m1[39m 33RO19980123 Atlantic 1989-1999 talk 864 385 [4m1[24m249 loss
[38;5;246m# A tibble: 1 × 9[39m
cruise_expocode basin_AIP decade parameter f_2 f_9 f_0 n_cruise category
[3m[38;5;246m<chr>[39m[23m [3m[38;5;246m<chr>[39m[23m [3m[38;5;246m<fct>[39m[23m [3m[38;5;246m<chr>[39m[23m [3m[38;5;246m<int>[39m[23m [3m[38;5;246m<int>[39m[23m [3m[38;5;246m<int>[39m[23m [3m[38;5;246m<int>[39m[23m [3m[38;5;246m<chr>[39m[23m
[38;5;250m1[39m 33RO19980123 Atlantic 1989-1999 phosphate [4m1[24m430 661 5 [4m2[24m096 loss
[1] "talkf" "phosphatef"





[38;5;246m# A tibble: 0 × 8[39m
[38;5;246m# … with 8 variables: cruise_expocode <chr>, basin_AIP <chr>, decade <fct>,[39m
[38;5;246m# parameter <chr>, qc_0 <int>, qc_1 <int>, n_cruise <int>, category <chr>[39m
[38;5;246m# A tibble: 1 × 8[39m
cruise_expocode basin_AIP decade parameter f_2 f_0 n_cruise category
[3m[38;5;246m<chr>[39m[23m [3m[38;5;246m<chr>[39m[23m [3m[38;5;246m<fct>[39m[23m [3m[38;5;246m<chr>[39m[23m [3m[38;5;246m<int>[39m[23m [3m[38;5;246m<int>[39m[23m [3m[38;5;246m<int>[39m[23m [3m[38;5;246m<chr>[39m[23m
[38;5;250m1[39m 33RO20071215 Pacific 2000-2009 talk [4m3[24m549 951 [4m4[24m500 loss
[38;5;246m# A tibble: 0 × 9[39m
[38;5;246m# … with 9 variables: cruise_expocode <chr>, basin_AIP <chr>, decade <fct>,[39m
[38;5;246m# parameter <chr>, f_2 <int>, f_9 <int>, f_0 <int>, n_cruise <int>,[39m
[38;5;246m# category <chr>[39m
[1] "talkf"



[38;5;246m# A tibble: 0 × 8[39m
[38;5;246m# … with 8 variables: cruise_expocode <chr>, basin_AIP <chr>, decade <fct>,[39m
[38;5;246m# parameter <chr>, qc_0 <int>, qc_1 <int>, n_cruise <int>, category <chr>[39m
[38;5;246m# A tibble: 1 × 8[39m
cruise_expocode basin_AIP decade parameter f_2 f_0 n_cruise category
[3m[38;5;246m<chr>[39m[23m [3m[38;5;246m<chr>[39m[23m [3m[38;5;246m<fct>[39m[23m [3m[38;5;246m<chr>[39m[23m [3m[38;5;246m<int>[39m[23m [3m[38;5;246m<int>[39m[23m [3m[38;5;246m<int>[39m[23m [3m[38;5;246m<chr>[39m[23m
[38;5;250m1[39m 33RO20110926 Atlantic 2010-2019 tco2 842 283 [4m1[24m125 loss
[38;5;246m# A tibble: 1 × 9[39m
cruise_expocode basin_AIP decade parameter f_2 f_9 f_0 n_cruise category
[3m[38;5;246m<chr>[39m[23m [3m[38;5;246m<chr>[39m[23m [3m[38;5;246m<fct>[39m[23m [3m[38;5;246m<chr>[39m[23m [3m[38;5;246m<int>[39m[23m [3m[38;5;246m<int>[39m[23m [3m[38;5;246m<int>[39m[23m [3m[38;5;246m<int>[39m[23m [3m[38;5;246m<chr>[39m[23m
[38;5;250m1[39m 33RO20110926 Atlantic 2010-2019 phosphate [4m1[24m239 [4m1[24m304 1 [4m2[24m544 loss
[1] "tco2f" "phosphatef"





[38;5;246m# A tibble: 0 × 8[39m
[38;5;246m# … with 8 variables: cruise_expocode <chr>, basin_AIP <chr>, decade <fct>,[39m
[38;5;246m# parameter <chr>, qc_0 <int>, qc_1 <int>, n_cruise <int>, category <chr>[39m
[38;5;246m# A tibble: 1 × 8[39m
cruise_expocode basin_AIP decade parameter f_2 f_0 n_cruise category
[3m[38;5;246m<chr>[39m[23m [3m[38;5;246m<chr>[39m[23m [3m[38;5;246m<fct>[39m[23m [3m[38;5;246m<chr>[39m[23m [3m[38;5;246m<int>[39m[23m [3m[38;5;246m<int>[39m[23m [3m[38;5;246m<int>[39m[23m [3m[38;5;246m<chr>[39m[23m
[38;5;250m1[39m 33RR20080204 Indian 2000-2009 tco2 [4m1[24m720 405 [4m2[24m125 loss
[38;5;246m# A tibble: 0 × 9[39m
[38;5;246m# … with 9 variables: cruise_expocode <chr>, basin_AIP <chr>, decade <fct>,[39m
[38;5;246m# parameter <chr>, f_2 <int>, f_9 <int>, f_0 <int>, n_cruise <int>,[39m
[38;5;246m# category <chr>[39m
[1] "tco2f"



[38;5;246m# A tibble: 0 × 8[39m
[38;5;246m# … with 8 variables: cruise_expocode <chr>, basin_AIP <chr>, decade <fct>,[39m
[38;5;246m# parameter <chr>, qc_0 <int>, qc_1 <int>, n_cruise <int>, category <chr>[39m
[38;5;246m# A tibble: 1 × 8[39m
cruise_expocode basin_AIP decade parameter f_2 f_0 n_cruise category
[3m[38;5;246m<chr>[39m[23m [3m[38;5;246m<chr>[39m[23m [3m[38;5;246m<fct>[39m[23m [3m[38;5;246m<chr>[39m[23m [3m[38;5;246m<int>[39m[23m [3m[38;5;246m<int>[39m[23m [3m[38;5;246m<int>[39m[23m [3m[38;5;246m<chr>[39m[23m
[38;5;250m1[39m 35A319950113 Atlantic 1989-1999 tco2 733 162 895 loss
[38;5;246m# A tibble: 1 × 9[39m
cruise_expocode basin_AIP decade parameter f_2 f_9 f_0 n_cruise category
[3m[38;5;246m<chr>[39m[23m [3m[38;5;246m<chr>[39m[23m [3m[38;5;246m<fct>[39m[23m [3m[38;5;246m<chr>[39m[23m [3m[38;5;246m<int>[39m[23m [3m[38;5;246m<int>[39m[23m [3m[38;5;246m<int>[39m[23m [3m[38;5;246m<int>[39m[23m [3m[38;5;246m<chr>[39m[23m
[38;5;250m1[39m 35A319950113 Atlantic 1989-1999 aou 900 198 0 [4m1[24m098 loss
[1] "tco2f" "aouf"





[38;5;246m# A tibble: 0 × 8[39m
[38;5;246m# … with 8 variables: cruise_expocode <chr>, basin_AIP <chr>, decade <fct>,[39m
[38;5;246m# parameter <chr>, qc_0 <int>, qc_1 <int>, n_cruise <int>, category <chr>[39m
[38;5;246m# A tibble: 0 × 8[39m
[38;5;246m# … with 8 variables: cruise_expocode <chr>, basin_AIP <chr>, decade <fct>,[39m
[38;5;246m# parameter <chr>, f_2 <int>, f_0 <int>, n_cruise <int>, category <chr>[39m
[38;5;246m# A tibble: 1 × 9[39m
cruise_expocode basin_AIP decade parameter f_2 f_9 f_0 n_cruise category
[3m[38;5;246m<chr>[39m[23m [3m[38;5;246m<chr>[39m[23m [3m[38;5;246m<fct>[39m[23m [3m[38;5;246m<chr>[39m[23m [3m[38;5;246m<int>[39m[23m [3m[38;5;246m<int>[39m[23m [3m[38;5;246m<int>[39m[23m [3m[38;5;246m<int>[39m[23m [3m[38;5;246m<chr>[39m[23m
[38;5;250m1[39m 35MF19930123 Indian 1989-1999 phosphate 0 [4m1[24m436 0 [4m1[24m436 loss
[1] "phosphatef"

| Version | Author | Date |
|---|---|---|
| fcff192 | jens-daniel-mueller | 2021-12-21 |

| Version | Author | Date |
|---|---|---|
| fcff192 | jens-daniel-mueller | 2021-12-21 |

| Version | Author | Date |
|---|---|---|
| fcff192 | jens-daniel-mueller | 2021-12-21 |
[38;5;246m# A tibble: 0 × 8[39m
[38;5;246m# … with 8 variables: cruise_expocode <chr>, basin_AIP <chr>, decade <fct>,[39m
[38;5;246m# parameter <chr>, qc_0 <int>, qc_1 <int>, n_cruise <int>, category <chr>[39m
[38;5;246m# A tibble: 0 × 8[39m
[38;5;246m# … with 8 variables: cruise_expocode <chr>, basin_AIP <chr>, decade <fct>,[39m
[38;5;246m# parameter <chr>, f_2 <int>, f_0 <int>, n_cruise <int>, category <chr>[39m
[38;5;246m# A tibble: 1 × 9[39m
cruise_expocode basin_AIP decade parameter f_2 f_9 f_0 n_cruise category
[3m[38;5;246m<chr>[39m[23m [3m[38;5;246m<chr>[39m[23m [3m[38;5;246m<fct>[39m[23m [3m[38;5;246m<chr>[39m[23m [3m[38;5;246m<int>[39m[23m [3m[38;5;246m<int>[39m[23m [3m[38;5;246m<int>[39m[23m [3m[38;5;246m<int>[39m[23m [3m[38;5;246m<chr>[39m[23m
[38;5;250m1[39m 35MF19960220 Indian 1989-1999 silicate [4m1[24m630 350 24 [4m2[24m004 loss
[1] "silicatef"

| Version | Author | Date |
|---|---|---|
| fcff192 | jens-daniel-mueller | 2021-12-21 |

| Version | Author | Date |
|---|---|---|
| fcff192 | jens-daniel-mueller | 2021-12-21 |

| Version | Author | Date |
|---|---|---|
| fcff192 | jens-daniel-mueller | 2021-12-21 |
[38;5;246m# A tibble: 1 × 8[39m
cruise_expocode basin_AIP decade parameter qc_0 qc_1 n_cruise category
[3m[38;5;246m<chr>[39m[23m [3m[38;5;246m<chr>[39m[23m [3m[38;5;246m<fct>[39m[23m [3m[38;5;246m<chr>[39m[23m [3m[38;5;246m<int>[39m[23m [3m[38;5;246m<int>[39m[23m [3m[38;5;246m<int>[39m[23m [3m[38;5;246m<chr>[39m[23m
[38;5;250m1[39m 35TH20020611 Atlantic 2000-2009 tco2 926 0 926 loss
[38;5;246m# A tibble: 1 × 8[39m
cruise_expocode basin_AIP decade parameter f_2 f_0 n_cruise category
[3m[38;5;246m<chr>[39m[23m [3m[38;5;246m<chr>[39m[23m [3m[38;5;246m<fct>[39m[23m [3m[38;5;246m<chr>[39m[23m [3m[38;5;246m<int>[39m[23m [3m[38;5;246m<int>[39m[23m [3m[38;5;246m<int>[39m[23m [3m[38;5;246m<chr>[39m[23m
[38;5;250m1[39m 35TH20020611 Atlantic 2000-2009 tco2 0 926 926 loss
[38;5;246m# A tibble: 0 × 9[39m
[38;5;246m# … with 9 variables: cruise_expocode <chr>, basin_AIP <chr>, decade <fct>,[39m
[38;5;246m# parameter <chr>, f_2 <int>, f_9 <int>, f_0 <int>, n_cruise <int>,[39m
[38;5;246m# category <chr>[39m
[1] "tco2qc" "tco2f"

| Version | Author | Date |
|---|---|---|
| fcff192 | jens-daniel-mueller | 2021-12-21 |

| Version | Author | Date |
|---|---|---|
| fcff192 | jens-daniel-mueller | 2021-12-21 |

| Version | Author | Date |
|---|---|---|
| fcff192 | jens-daniel-mueller | 2021-12-21 |

| Version | Author | Date |
|---|---|---|
| fcff192 | jens-daniel-mueller | 2021-12-21 |

| Version | Author | Date |
|---|---|---|
| fcff192 | jens-daniel-mueller | 2021-12-21 |
[38;5;246m# A tibble: 1 × 8[39m
cruise_expocode basin_AIP decade parameter qc_0 qc_1 n_cruise category
[3m[38;5;246m<chr>[39m[23m [3m[38;5;246m<chr>[39m[23m [3m[38;5;246m<fct>[39m[23m [3m[38;5;246m<chr>[39m[23m [3m[38;5;246m<int>[39m[23m [3m[38;5;246m<int>[39m[23m [3m[38;5;246m<int>[39m[23m [3m[38;5;246m<chr>[39m[23m
[38;5;250m1[39m 35TH20040604 Atlantic 2000-2009 tco2 928 0 928 loss
[38;5;246m# A tibble: 1 × 8[39m
cruise_expocode basin_AIP decade parameter f_2 f_0 n_cruise category
[3m[38;5;246m<chr>[39m[23m [3m[38;5;246m<chr>[39m[23m [3m[38;5;246m<fct>[39m[23m [3m[38;5;246m<chr>[39m[23m [3m[38;5;246m<int>[39m[23m [3m[38;5;246m<int>[39m[23m [3m[38;5;246m<int>[39m[23m [3m[38;5;246m<chr>[39m[23m
[38;5;250m1[39m 35TH20040604 Atlantic 2000-2009 tco2 0 928 928 loss
[38;5;246m# A tibble: 1 × 9[39m
cruise_expocode basin_AIP decade parameter f_2 f_9 f_0 n_cruise category
[3m[38;5;246m<chr>[39m[23m [3m[38;5;246m<chr>[39m[23m [3m[38;5;246m<fct>[39m[23m [3m[38;5;246m<chr>[39m[23m [3m[38;5;246m<int>[39m[23m [3m[38;5;246m<int>[39m[23m [3m[38;5;246m<int>[39m[23m [3m[38;5;246m<int>[39m[23m [3m[38;5;246m<chr>[39m[23m
[38;5;250m1[39m 35TH20040604 Atlantic 2000-2009 nitrate 926 110 14 [4m1[24m050 loss
[1] "tco2qc" "tco2f" "nitratef"

| Version | Author | Date |
|---|---|---|
| fcff192 | jens-daniel-mueller | 2021-12-21 |

| Version | Author | Date |
|---|---|---|
| fcff192 | jens-daniel-mueller | 2021-12-21 |

| Version | Author | Date |
|---|---|---|
| fcff192 | jens-daniel-mueller | 2021-12-21 |

| Version | Author | Date |
|---|---|---|
| fcff192 | jens-daniel-mueller | 2021-12-21 |

| Version | Author | Date |
|---|---|---|
| fcff192 | jens-daniel-mueller | 2021-12-21 |

| Version | Author | Date |
|---|---|---|
| fcff192 | jens-daniel-mueller | 2021-12-21 |

| Version | Author | Date |
|---|---|---|
| fcff192 | jens-daniel-mueller | 2021-12-21 |
[38;5;246m# A tibble: 1 × 8[39m
cruise_expocode basin_AIP decade parameter qc_0 qc_1 n_cruise category
[3m[38;5;246m<chr>[39m[23m [3m[38;5;246m<chr>[39m[23m [3m[38;5;246m<fct>[39m[23m [3m[38;5;246m<chr>[39m[23m [3m[38;5;246m<int>[39m[23m [3m[38;5;246m<int>[39m[23m [3m[38;5;246m<int>[39m[23m [3m[38;5;246m<chr>[39m[23m
[38;5;250m1[39m 35TH20080610 Atlantic 2000-2009 tco2 [4m1[24m032 0 [4m1[24m032 loss
[38;5;246m# A tibble: 1 × 8[39m
cruise_expocode basin_AIP decade parameter f_2 f_0 n_cruise category
[3m[38;5;246m<chr>[39m[23m [3m[38;5;246m<chr>[39m[23m [3m[38;5;246m<fct>[39m[23m [3m[38;5;246m<chr>[39m[23m [3m[38;5;246m<int>[39m[23m [3m[38;5;246m<int>[39m[23m [3m[38;5;246m<int>[39m[23m [3m[38;5;246m<chr>[39m[23m
[38;5;250m1[39m 35TH20080610 Atlantic 2000-2009 tco2 0 [4m1[24m032 [4m1[24m032 loss
[38;5;246m# A tibble: 0 × 9[39m
[38;5;246m# … with 9 variables: cruise_expocode <chr>, basin_AIP <chr>, decade <fct>,[39m
[38;5;246m# parameter <chr>, f_2 <int>, f_9 <int>, f_0 <int>, n_cruise <int>,[39m
[38;5;246m# category <chr>[39m
[1] "tco2qc" "tco2f"

| Version | Author | Date |
|---|---|---|
| fcff192 | jens-daniel-mueller | 2021-12-21 |

| Version | Author | Date |
|---|---|---|
| fcff192 | jens-daniel-mueller | 2021-12-21 |

| Version | Author | Date |
|---|---|---|
| fcff192 | jens-daniel-mueller | 2021-12-21 |

| Version | Author | Date |
|---|---|---|
| fcff192 | jens-daniel-mueller | 2021-12-21 |

| Version | Author | Date |
|---|---|---|
| fcff192 | jens-daniel-mueller | 2021-12-21 |
[38;5;246m# A tibble: 0 × 8[39m
[38;5;246m# … with 8 variables: cruise_expocode <chr>, basin_AIP <chr>, decade <fct>,[39m
[38;5;246m# parameter <chr>, qc_0 <int>, qc_1 <int>, n_cruise <int>, category <chr>[39m
[38;5;246m# A tibble: 0 × 8[39m
[38;5;246m# … with 8 variables: cruise_expocode <chr>, basin_AIP <chr>, decade <fct>,[39m
[38;5;246m# parameter <chr>, f_2 <int>, f_0 <int>, n_cruise <int>, category <chr>[39m
[38;5;246m# A tibble: 3 × 9[39m
cruise_expocode basin_AIP decade parameter f_2 f_9 f_0 n_cruise category
[3m[38;5;246m<chr>[39m[23m [3m[38;5;246m<chr>[39m[23m [3m[38;5;246m<fct>[39m[23m [3m[38;5;246m<chr>[39m[23m [3m[38;5;246m<int>[39m[23m [3m[38;5;246m<int>[39m[23m [3m[38;5;246m<int>[39m[23m [3m[38;5;246m<int>[39m[23m [3m[38;5;246m<chr>[39m[23m
[38;5;250m1[39m 74DI19970807 Atlantic 1989-1999 nitrate [4m1[24m650 274 12 [4m1[24m936 loss
[38;5;250m2[39m 74DI19970807 Atlantic 1989-1999 phosphate 0 [4m1[24m936 0 [4m1[24m936 loss
[38;5;250m3[39m 74DI19970807 Atlantic 1989-1999 silicate [4m1[24m649 262 25 [4m1[24m936 loss
[1] "nitratef" "phosphatef" "silicatef"

| Version | Author | Date |
|---|---|---|
| fcff192 | jens-daniel-mueller | 2021-12-21 |

| Version | Author | Date |
|---|---|---|
| fcff192 | jens-daniel-mueller | 2021-12-21 |

| Version | Author | Date |
|---|---|---|
| fcff192 | jens-daniel-mueller | 2021-12-21 |

| Version | Author | Date |
|---|---|---|
| fcff192 | jens-daniel-mueller | 2021-12-21 |

| Version | Author | Date |
|---|---|---|
| fcff192 | jens-daniel-mueller | 2021-12-21 |

| Version | Author | Date |
|---|---|---|
| fcff192 | jens-daniel-mueller | 2021-12-21 |

| Version | Author | Date |
|---|---|---|
| fcff192 | jens-daniel-mueller | 2021-12-21 |
[38;5;246m# A tibble: 1 × 8[39m
cruise_expocode basin_AIP decade parameter qc_0 qc_1 n_cruise category
[3m[38;5;246m<chr>[39m[23m [3m[38;5;246m<chr>[39m[23m [3m[38;5;246m<fct>[39m[23m [3m[38;5;246m<chr>[39m[23m [3m[38;5;246m<int>[39m[23m [3m[38;5;246m<int>[39m[23m [3m[38;5;246m<int>[39m[23m [3m[38;5;246m<chr>[39m[23m
[38;5;250m1[39m 74DI20040404 Atlantic 2000-2009 talk 110 948 [4m1[24m058 loss
[38;5;246m# A tibble: 1 × 8[39m
cruise_expocode basin_AIP decade parameter f_2 f_0 n_cruise category
[3m[38;5;246m<chr>[39m[23m [3m[38;5;246m<chr>[39m[23m [3m[38;5;246m<fct>[39m[23m [3m[38;5;246m<chr>[39m[23m [3m[38;5;246m<int>[39m[23m [3m[38;5;246m<int>[39m[23m [3m[38;5;246m<int>[39m[23m [3m[38;5;246m<chr>[39m[23m
[38;5;250m1[39m 74DI20040404 Atlantic 2000-2009 talk 948 110 [4m1[24m058 loss
[38;5;246m# A tibble: 0 × 9[39m
[38;5;246m# … with 9 variables: cruise_expocode <chr>, basin_AIP <chr>, decade <fct>,[39m
[38;5;246m# parameter <chr>, f_2 <int>, f_9 <int>, f_0 <int>, n_cruise <int>,[39m
[38;5;246m# category <chr>[39m
[1] "talkqc" "talkf"

| Version | Author | Date |
|---|---|---|
| fcff192 | jens-daniel-mueller | 2021-12-21 |

| Version | Author | Date |
|---|---|---|
| fcff192 | jens-daniel-mueller | 2021-12-21 |

| Version | Author | Date |
|---|---|---|
| fcff192 | jens-daniel-mueller | 2021-12-21 |

| Version | Author | Date |
|---|---|---|
| fcff192 | jens-daniel-mueller | 2021-12-21 |

| Version | Author | Date |
|---|---|---|
| fcff192 | jens-daniel-mueller | 2021-12-21 |
[38;5;246m# A tibble: 1 × 8[39m
cruise_expocode basin_AIP decade parameter qc_0 qc_1 n_cruise category
[3m[38;5;246m<chr>[39m[23m [3m[38;5;246m<chr>[39m[23m [3m[38;5;246m<fct>[39m[23m [3m[38;5;246m<chr>[39m[23m [3m[38;5;246m<int>[39m[23m [3m[38;5;246m<int>[39m[23m [3m[38;5;246m<int>[39m[23m [3m[38;5;246m<chr>[39m[23m
[38;5;250m1[39m 74EQ20151206 Atlantic 2010-2019 nitrate [4m1[24m844 0 [4m1[24m844 loss
[38;5;246m# A tibble: 0 × 8[39m
[38;5;246m# … with 8 variables: cruise_expocode <chr>, basin_AIP <chr>, decade <fct>,[39m
[38;5;246m# parameter <chr>, f_2 <int>, f_0 <int>, n_cruise <int>, category <chr>[39m
[38;5;246m# A tibble: 0 × 9[39m
[38;5;246m# … with 9 variables: cruise_expocode <chr>, basin_AIP <chr>, decade <fct>,[39m
[38;5;246m# parameter <chr>, f_2 <int>, f_9 <int>, f_0 <int>, n_cruise <int>,[39m
[38;5;246m# category <chr>[39m
[1] "nitrateqc"

| Version | Author | Date |
|---|---|---|
| fcff192 | jens-daniel-mueller | 2021-12-21 |

| Version | Author | Date |
|---|---|---|
| fcff192 | jens-daniel-mueller | 2021-12-21 |

| Version | Author | Date |
|---|---|---|
| fcff192 | jens-daniel-mueller | 2021-12-21 |
[38;5;246m# A tibble: 0 × 8[39m
[38;5;246m# … with 8 variables: cruise_expocode <chr>, basin_AIP <chr>, decade <fct>,[39m
[38;5;246m# parameter <chr>, qc_0 <int>, qc_1 <int>, n_cruise <int>, category <chr>[39m
[38;5;246m# A tibble: 0 × 8[39m
[38;5;246m# … with 8 variables: cruise_expocode <chr>, basin_AIP <chr>, decade <fct>,[39m
[38;5;246m# parameter <chr>, f_2 <int>, f_0 <int>, n_cruise <int>, category <chr>[39m
[38;5;246m# A tibble: 1 × 9[39m
cruise_expocode basin_AIP decade parameter f_2 f_9 f_0 n_cruise category
[3m[38;5;246m<chr>[39m[23m [3m[38;5;246m<chr>[39m[23m [3m[38;5;246m<fct>[39m[23m [3m[38;5;246m<chr>[39m[23m [3m[38;5;246m<int>[39m[23m [3m[38;5;246m<int>[39m[23m [3m[38;5;246m<int>[39m[23m [3m[38;5;246m<int>[39m[23m [3m[38;5;246m<chr>[39m[23m
[38;5;250m1[39m 33RO20030604 Atlantic 2000-2009 phosphate 0 [4m2[24m487 0 [4m2[24m487 loss
[1] "phosphatef"

| Version | Author | Date |
|---|---|---|
| fcff192 | jens-daniel-mueller | 2021-12-21 |

| Version | Author | Date |
|---|---|---|
| fcff192 | jens-daniel-mueller | 2021-12-21 |

| Version | Author | Date |
|---|---|---|
| fcff192 | jens-daniel-mueller | 2021-12-21 |
[38;5;246m# A tibble: 0 × 8[39m
[38;5;246m# … with 8 variables: cruise_expocode <chr>, basin_AIP <chr>, decade <fct>,[39m
[38;5;246m# parameter <chr>, qc_0 <int>, qc_1 <int>, n_cruise <int>, category <chr>[39m
[38;5;246m# A tibble: 0 × 8[39m
[38;5;246m# … with 8 variables: cruise_expocode <chr>, basin_AIP <chr>, decade <fct>,[39m
[38;5;246m# parameter <chr>, f_2 <int>, f_0 <int>, n_cruise <int>, category <chr>[39m
[38;5;246m# A tibble: 1 × 9[39m
cruise_expocode basin_AIP decade parameter f_2 f_9 f_0 n_cruise category
[3m[38;5;246m<chr>[39m[23m [3m[38;5;246m<chr>[39m[23m [3m[38;5;246m<fct>[39m[23m [3m[38;5;246m<chr>[39m[23m [3m[38;5;246m<int>[39m[23m [3m[38;5;246m<int>[39m[23m [3m[38;5;246m<int>[39m[23m [3m[38;5;246m<int>[39m[23m [3m[38;5;246m<chr>[39m[23m
[38;5;250m1[39m 33RO20050111 Atlantic 2000-2009 phosphate 0 [4m2[24m546 0 [4m2[24m546 loss
[1] "phosphatef"

| Version | Author | Date |
|---|---|---|
| fcff192 | jens-daniel-mueller | 2021-12-21 |

| Version | Author | Date |
|---|---|---|
| fcff192 | jens-daniel-mueller | 2021-12-21 |

| Version | Author | Date |
|---|---|---|
| fcff192 | jens-daniel-mueller | 2021-12-21 |
[38;5;246m# A tibble: 0 × 8[39m
[38;5;246m# … with 8 variables: cruise_expocode <chr>, basin_AIP <chr>, decade <fct>,[39m
[38;5;246m# parameter <chr>, qc_0 <int>, qc_1 <int>, n_cruise <int>, category <chr>[39m
[38;5;246m# A tibble: 3 × 8[39m
cruise_expocode basin_AIP decade parameter f_2 f_0 n_cruise category
[3m[38;5;246m<chr>[39m[23m [3m[38;5;246m<chr>[39m[23m [3m[38;5;246m<fct>[39m[23m [3m[38;5;246m<chr>[39m[23m [3m[38;5;246m<int>[39m[23m [3m[38;5;246m<int>[39m[23m [3m[38;5;246m<int>[39m[23m [3m[38;5;246m<chr>[39m[23m
[38;5;250m1[39m 06AQ20080210 Pacific 2000-2009 nitrate 48 17 65 loss
[38;5;250m2[39m 06AQ20080210 Pacific 2000-2009 phosphate 48 17 65 loss
[38;5;250m3[39m 06AQ20080210 Pacific 2000-2009 silicate 48 17 65 loss
[38;5;246m# A tibble: 5 × 9[39m
cruise_expocode basin_AIP decade parameter f_2 f_9 f_0 n_cruise category
[3m[38;5;246m<chr>[39m[23m [3m[38;5;246m<chr>[39m[23m [3m[38;5;246m<fct>[39m[23m [3m[38;5;246m<chr>[39m[23m [3m[38;5;246m<int>[39m[23m [3m[38;5;246m<int>[39m[23m [3m[38;5;246m<int>[39m[23m [3m[38;5;246m<int>[39m[23m [3m[38;5;246m<chr>[39m[23m
[38;5;250m1[39m 06AQ20080210 Atlantic 2000-2009 talk [4m1[24m144 778 0 [4m1[24m922 loss
[38;5;250m2[39m 06AQ20080210 Pacific 2000-2009 nitrate 62 31 24 117 loss
[38;5;250m3[39m 06AQ20080210 Pacific 2000-2009 phosphate 62 31 24 117 loss
[38;5;250m4[39m 06AQ20080210 Pacific 2000-2009 silicate 62 31 24 117 loss
[38;5;250m5[39m 06AQ20080210 Pacific 2000-2009 talk 74 43 0 117 loss
[1] "nitratef" "phosphatef" "silicatef" "talkf"

| Version | Author | Date |
|---|---|---|
| fcff192 | jens-daniel-mueller | 2021-12-21 |

| Version | Author | Date |
|---|---|---|
| fcff192 | jens-daniel-mueller | 2021-12-21 |

| Version | Author | Date |
|---|---|---|
| fcff192 | jens-daniel-mueller | 2021-12-21 |

| Version | Author | Date |
|---|---|---|
| fcff192 | jens-daniel-mueller | 2021-12-21 |

| Version | Author | Date |
|---|---|---|
| fcff192 | jens-daniel-mueller | 2021-12-21 |

| Version | Author | Date |
|---|---|---|
| fcff192 | jens-daniel-mueller | 2021-12-21 |

| Version | Author | Date |
|---|---|---|
| fcff192 | jens-daniel-mueller | 2021-12-21 |

| Version | Author | Date |
|---|---|---|
| fcff192 | jens-daniel-mueller | 2021-12-21 |

| Version | Author | Date |
|---|---|---|
| fcff192 | jens-daniel-mueller | 2021-12-21 |
[38;5;246m# A tibble: 0 × 8[39m
[38;5;246m# … with 8 variables: cruise_expocode <chr>, basin_AIP <chr>, decade <fct>,[39m
[38;5;246m# parameter <chr>, qc_0 <int>, qc_1 <int>, n_cruise <int>, category <chr>[39m
[38;5;246m# A tibble: 0 × 8[39m
[38;5;246m# … with 8 variables: cruise_expocode <chr>, basin_AIP <chr>, decade <fct>,[39m
[38;5;246m# parameter <chr>, f_2 <int>, f_0 <int>, n_cruise <int>, category <chr>[39m
[38;5;246m# A tibble: 1 × 9[39m
cruise_expocode basin_AIP decade parameter f_2 f_9 f_0 n_cruise category
[3m[38;5;246m<chr>[39m[23m [3m[38;5;246m<chr>[39m[23m [3m[38;5;246m<fct>[39m[23m [3m[38;5;246m<chr>[39m[23m [3m[38;5;246m<int>[39m[23m [3m[38;5;246m<int>[39m[23m [3m[38;5;246m<int>[39m[23m [3m[38;5;246m<int>[39m[23m [3m[38;5;246m<chr>[39m[23m
[38;5;250m1[39m 06AQ20050122 Atlantic 2000-2009 talk 0 [4m2[24m248 0 [4m2[24m248 loss
[1] "talkf"

| Version | Author | Date |
|---|---|---|
| fcff192 | jens-daniel-mueller | 2021-12-21 |

| Version | Author | Date |
|---|---|---|
| fcff192 | jens-daniel-mueller | 2021-12-21 |

| Version | Author | Date |
|---|---|---|
| fcff192 | jens-daniel-mueller | 2021-12-21 |
[38;5;246m# A tibble: 0 × 8[39m
[38;5;246m# … with 8 variables: cruise_expocode <chr>, basin_AIP <chr>, decade <fct>,[39m
[38;5;246m# parameter <chr>, qc_0 <int>, qc_1 <int>, n_cruise <int>, category <chr>[39m
[38;5;246m# A tibble: 0 × 8[39m
[38;5;246m# … with 8 variables: cruise_expocode <chr>, basin_AIP <chr>, decade <fct>,[39m
[38;5;246m# parameter <chr>, f_2 <int>, f_0 <int>, n_cruise <int>, category <chr>[39m
[38;5;246m# A tibble: 1 × 9[39m
cruise_expocode basin_AIP decade parameter f_2 f_9 f_0 n_cruise category
[3m[38;5;246m<chr>[39m[23m [3m[38;5;246m<chr>[39m[23m [3m[38;5;246m<fct>[39m[23m [3m[38;5;246m<chr>[39m[23m [3m[38;5;246m<int>[39m[23m [3m[38;5;246m<int>[39m[23m [3m[38;5;246m<int>[39m[23m [3m[38;5;246m<int>[39m[23m [3m[38;5;246m<chr>[39m[23m
[38;5;250m1[39m 29HE20130320 Atlantic 2010-2019 phosphate 0 [4m2[24m256 0 [4m2[24m256 loss
[1] "phosphatef"

| Version | Author | Date |
|---|---|---|
| fcff192 | jens-daniel-mueller | 2021-12-21 |

| Version | Author | Date |
|---|---|---|
| fcff192 | jens-daniel-mueller | 2021-12-21 |

| Version | Author | Date |
|---|---|---|
| fcff192 | jens-daniel-mueller | 2021-12-21 |
IO_1990_expocodes <- GLODAP %>%
filter(str_detect(cruise_expocode, "316N199") &
basin_AIP == "Indian") %>%
distinct(cruise_expocode) %>%
pull()
xover_IO_1990_A <- xover %>%
filter(cruise_A %in% IO_1990_expocodes)
xover_IO_1990_B <- xover %>%
filter(cruise_B %in% IO_1990_expocodes)
xover_IO_1990_B_rev <- xover_IO_1990_B %>%
rename(
cruise_A_back = cruise_A,
cruise_A = cruise_B,
adjustment_A_back = adjustment_A,
adjustment_A = adjustment_B
) %>%
rename(cruise_B = cruise_A_back,
adjustment_B = adjustment_A_back) %>%
mutate(
offset = if_else(parameter %in% c("salinity", "talk", "tco2"),
-offset,
1/offset),
offset_adj = if_else(
parameter %in% c("salinity", "talk", "tco2"),
-offset_adj,
1/offset_adj
)
)
xover_IO_1990 <- bind_rows(xover_IO_1990_A,
xover_IO_1990_B_rev)
xover_IO_1990 <- xover_IO_1990 %>%
mutate(dateA = ymd(str_sub(cruise_A, 5, 12)),
dateB = ymd(str_sub(cruise_B, 5, 12)))
xover_IO_1990 <- xover_IO_1990 %>%
mutate(RV = if_else(str_detect(cruise_B, "316N"),
"316N",
"other"))
xover_IO_1990_decade <- xover_IO_1990 %>%
mutate(decade = cut(
year(dateB),
c(1989, 1999, 2009, 2019),
labels = c("1989-1999", "2000-2009", "2010-2019")
)) %>%
filter(!is.na(decade),
!is.na(offset_adj),
!is.na(offset),
RV != "316N") %>%
arrange(dateB)
xover_IO_1990_decade %>%
group_by(parameter, decade) %>%
summarise(offset_adj_mean = mean(offset_adj, na.rm = TRUE),
offset_adj_median = median(offset_adj, na.rm = TRUE)) %>%
ungroup() %>%
kable() %>%
kable_styling() %>%
scroll_box(height = "300px")
| parameter | decade | offset_adj_mean | offset_adj_median |
|---|---|---|---|
| nitrate | 1989-1999 | 0.9957851 | 0.9952475 |
| nitrate | 2000-2009 | 1.0018716 | 1.0034000 |
| nitrate | 2010-2019 | 0.9942423 | 0.9954335 |
| oxygen | 1989-1999 | 0.9951297 | 0.9961500 |
| oxygen | 2000-2009 | 0.9984347 | 1.0003001 |
| oxygen | 2010-2019 | 0.9992518 | 0.9981748 |
| phosphate | 1989-1999 | 0.9916439 | 0.9953220 |
| phosphate | 2000-2009 | 1.0050862 | 1.0052750 |
| phosphate | 2010-2019 | 1.0016116 | 1.0031516 |
| salinity | 1989-1999 | -0.0014211 | -0.0011000 |
| salinity | 2000-2009 | -0.0009812 | -0.0012000 |
| salinity | 2010-2019 | -0.0008173 | -0.0009442 |
| silicate | 1989-1999 | 0.9963137 | 0.9996248 |
| silicate | 2000-2009 | 1.0045634 | 1.0058000 |
| silicate | 2010-2019 | 1.0076910 | 1.0101825 |
| talk | 1989-1999 | 2.8826300 | 3.2700000 |
| talk | 2000-2009 | 2.9318063 | 3.4280000 |
| talk | 2010-2019 | 3.3860085 | 3.8736858 |
| tco2 | 1989-1999 | -0.7060357 | -0.3462000 |
| tco2 | 2000-2009 | -2.6973312 | -2.5524500 |
| tco2 | 2010-2019 | -2.0787148 | -1.9810457 |
p_crossover_ts <- xover_IO_1990 %>%
ggplot(aes(dateB, offset, col = RV)) +
geom_hline(data = hline_intercept, aes(yintercept = intercept)) +
geom_point(shape = 21) +
scale_color_brewer(palette = "Set1") +
facet_grid(parameter ~ ., scales = "free_y") +
labs(title = "Crossover 316N199XXXXX") +
theme(
legend.position = "bottom",
legend.direction = "vertical",
axis.title.x = element_blank()
)
p_crossover_decadal <-
ggplot() +
geom_hline(data = hline_intercept, aes(yintercept = intercept)) +
geom_violin(data = xover_IO_1990_decade,
aes(x = decade, y = offset), fill="gold") +
geom_boxplot(data = xover_IO_1990_decade,
aes(x = decade, y = offset),
width = 0.2) +
facet_grid(parameter ~ ., scales = "free_y") +
labs(title = "Decadal offsets") +
theme(axis.title.x = element_blank(),
axis.text.x = element_text(angle = 90))
p_crossover_ts + p_crossover_decadal +
plot_layout(widths = c(2, 1))

rm(p_crossover_ts, p_crossover_decadal)
p_crossover_ts <- xover_IO_1990 %>%
ggplot(aes(dateB, offset_adj, col = RV)) +
geom_hline(data = hline_intercept, aes(yintercept = intercept)) +
geom_point(shape = 21) +
scale_color_brewer(palette = "Set1") +
facet_grid(parameter ~ ., scales = "free_y") +
labs(title = "Crossover 316N199XXXXX") +
theme(
legend.position = "bottom",
legend.direction = "vertical",
axis.title.x = element_blank()
)
p_crossover_decadal <-
ggplot() +
geom_hline(data = hline_intercept, aes(yintercept = intercept)) +
geom_violin(data = xover_IO_1990_decade,
aes(x = decade, y = offset_adj), fill="gold") +
geom_boxplot(data = xover_IO_1990_decade,
aes(x = decade, y = offset_adj),
width = 0.2) +
facet_grid(parameter ~ ., scales = "free_y") +
labs(title = "Decadal offsets") +
theme(axis.title.x = element_blank(),
axis.text.x = element_text(angle = 90))
ggplot() +
geom_hline(data = hline_intercept, aes(yintercept = intercept)) +
# geom_violin(data = xover_IO_1990 %>%
# filter(year(dateB) >= 2000, year(dateB) < 2010),
# aes(x = "2000-2009", y = offset_adj), fill="gold") +
geom_boxplot(data = xover_IO_1990 %>%
filter(year(dateB) >= 2000, year(dateB) < 2010),
aes(x = "2000-2009", y = offset_adj),
width = 0.2) +
facet_grid(parameter ~ ., scales = "free_y") +
labs(title = "Decadal offsets") +
theme(axis.title.x = element_blank(),
axis.text.x = element_text(angle = 90))

p_crossover_ts + p_crossover_decadal +
plot_layout(widths = c(2, 1))

rm(p_crossover_ts, p_crossover_decadal)
rm(hline_intercept)
RV_activity <- full_join(
GLODAP,
GLODAP_expocodes
)
RV_activity <- RV_activity %>%
mutate(decade = cut(
year,
seq(1990, 2020, 10),
right = FALSE,
labels = c("1990-1999", "2000-2009", "2010-2019")
), .after = year) %>%
filter(!is.na(decade))
RV_activity <- RV_activity %>%
mutate(RV = str_sub(cruise_expocode, 1, 4))
RV_activity <- RV_activity %>%
count(decade, basin_AIP, RV) %>%
group_by(decade, basin_AIP) %>%
mutate(n_total = sum(n)) %>%
ungroup() %>%
mutate(n_prop = 100* n / n_total)
RV_activity <-RV_activity %>%
group_by(decade, basin_AIP) %>%
mutate(rank = rank(-n_prop)) %>%
ungroup()
RV_activity %>%
ggplot(aes(rank, n_prop)) +
geom_line() +
geom_point() +
geom_text(data = RV_activity %>% filter(n_prop > 20),
aes(rank, n_prop, label = RV),
nudge_x = 5) +
labs(y = "proportion of tco2 samples (%)") +
facet_grid(decade ~ basin_AIP)

| Version | Author | Date |
|---|---|---|
| daa43b9 | jens-daniel-mueller | 2021-12-06 |
rm(RV_activity)
IO_CRM_meas <- IO_CRM_meas %>%
fill(cruise:batch) %>%
select(-starts_with("ph")) %>%
rename(talk_meas = talk_ave,
tco2_meas = tco2_ave)
CRM_ref <- CRM_ref %>%
select(-c(date, comment, sal)) %>%
rename(talk_ref = talk,
tco2_ref = tco2)
IO_CRM_offset <-
left_join(IO_CRM_meas,
CRM_ref) %>%
mutate(batch = as.factor(batch))
IO_CRM_offset <- IO_CRM_offset %>%
mutate(talk_offset = talk_meas - talk_ref,
tco2_offset = tco2_meas - tco2_ref)
IO_CRM_offset <- IO_CRM_offset %>%
select(-c(talk_meas:talk_ref)) %>%
pivot_longer(ends_with("_offset"),
values_to = "offset",
names_to = "parameter") %>%
mutate(parameter = str_remove(parameter, "_offset"),
start_date = mdy(start_date))
IO_CRM_offset %>%
ggplot(aes(offset)) +
geom_histogram(binwidth = 1) +
facet_wrap(~ parameter)

| Version | Author | Date |
|---|---|---|
| d454df1 | jens-daniel-mueller | 2021-12-15 |
IO_CRM_offset <- IO_CRM_offset %>%
filter(cell != "All")
IO_CRM_offset_mean <- IO_CRM_offset %>%
group_by(parameter) %>%
summarise(offset_mean = mean(offset),
offset_sd = sd(offset)) %>%
ungroup()
IO_CRM_offset %>%
filter(parameter == "talk") %>%
ggplot() +
scale_fill_brewer(palette = "Set1",
name = "CRM batch") +
geom_hline(data = IO_CRM_offset_mean %>% filter(parameter == "talk"),
aes(yintercept = offset_mean)) +
geom_hline(
data = IO_CRM_offset_mean %>% filter(parameter == "talk"),
aes(yintercept = offset_mean - offset_sd),
linetype = 2
) +
geom_hline(
data = IO_CRM_offset_mean %>% filter(parameter == "talk"),
aes(yintercept = offset_mean + offset_sd),
linetype = 2
) +
geom_point(aes(start_date, offset, fill = batch, size=n),
shape = 21) +
scale_size(name = "Nr of\nmeasurements") +
labs(x = "Cruise start date",
y = "TA offset meas-CRM (µmol/kg)",
title = "RV Knorr IO 1990 - TA reference measurements",
subtitle = "Data source: Tables 1 and 2 from Millero et al. (1998)")

GLODAP %>%
write_csv(paste(path_preprocessing,
"GLODAPv2.2021_preprocessed.csv",
sep = ""))
GLODAP_tracer %>%
write_csv(paste(
path_preprocessing,
"GLODAPv2.2021_preprocessed_tracer.csv",
sep = ""
))
GLODAP_adjustments %>%
write_csv(paste(path_preprocessing,
"GLODAPv2.2021_adustments.csv",
sep = ""))
# GLODAP_adjustments_NA_cruises %>%
# select(cruise_expocode, cruise) %>%
# write_csv(paste(
# path_preprocessing,
# "GLODAPv2.2021_adustments_NA_cruises.csv",
# sep = ""
# ))
#
# GLODAP_adjustments_duplicated_cruises %>%
# drop_na() %>%
# write_csv(
# paste(
# path_preprocessing,
# "GLODAPv2.2021_adustments_duplicated_cruises.csv",
# sep = ""
# )
# )
For the following plots, the cleaned data set was re-opened and observations were gridded spatially to intervals of:
GLODAP <- m_grid_horizontal_coarse(GLODAP)
GLODAP_histogram_lat <- GLODAP %>%
group_by(lat_grid) %>%
tally() %>%
ungroup()
GLODAP_histogram_lat %>%
ggplot(aes(lat_grid, n)) +
geom_col() +
coord_flip() +
theme(legend.title = element_blank())

rm(GLODAP_histogram_lat)
GLODAP_histogram_year <- GLODAP %>%
group_by(year) %>%
tally() %>%
ungroup()
GLODAP_histogram_year %>%
ggplot() +
geom_col(aes(year, n)) +
theme(
axis.title.x = element_blank()
)

rm(GLODAP_histogram_year)
GLODAP_hovmoeller_year <- GLODAP %>%
group_by(year, lat_grid) %>%
tally() %>%
ungroup()
GLODAP_hovmoeller_year %>%
ggplot(aes(year, lat_grid, fill = log10(n))) +
geom_tile() +
geom_vline(xintercept = c(1999.5, 2012.5)) +
scale_fill_viridis_c(option = "magma", direction = -1) +
theme(legend.position = "top",
axis.title.x = element_blank())

rm(GLODAP_hovmoeller_year)
map +
geom_raster(data = GLODAP_obs_grid,
aes(lon, lat, fill = log10(n))) +
scale_fill_viridis_c(option = "magma",
direction = -1)

GLODAP_obs_grid_all_vars <- GLODAP %>%
select(year, lat, lon, cruise, sal, temp, oxygen,
phosphate, nitrate, silicate, tco2, talk) %>%
pivot_longer(cols = sal:talk,
names_to = "parameter",
values_to = "value") %>%
mutate(presence = if_else(is.na(value), "missing", "available")) %>%
count(year, lat, lon, parameter, presence)
GLODAP_obs_grid_all_vars_wide <- GLODAP_obs_grid_all_vars %>%
pivot_wider(names_from = "presence",
values_from = n,
values_fill = 0) %>%
mutate(ratio_available = available/(available+missing))
all_plots <- GLODAP_obs_grid_all_vars_wide %>%
# mutate(cruise = as.factor(cruise)) %>%
group_split(year) %>%
# tail(3) %>%
map(
~ map +
geom_tile(
data = .x,
aes(
x = lon,
y = lat,
width = 1,
height = 1,
fill = ratio_available
)
) +
scale_fill_scico(palette = "berlin",
limits = c(0,1)) +
labs(title = unique(.x$year)) +
facet_wrap(~ parameter)
)
pdf(file = paste0(path_preprocessing, "GLODAPv2.2021_preprocessed_coverage_maps.pdf"),
width = 10,
height = 5)
all_plots
[[1]]
[[2]]
[[3]]
[[4]]
[[5]]
[[6]]
[[7]]
[[8]]
[[9]]
[[10]]
[[11]]
[[12]]
[[13]]
[[14]]
[[15]]
[[16]]
[[17]]
[[18]]
[[19]]
[[20]]
[[21]]
[[22]]
[[23]]
[[24]]
[[25]]
[[26]]
[[27]]
[[28]]
[[29]]
[[30]]
[[31]]
[[32]]
[[33]]
[[34]]
[[35]]
[[36]]
[[37]]
[[38]]
[[39]]
[[40]]
[[41]]
[[42]]
[[43]]
[[44]]
[[45]]
dev.off()
png
2
GLODAP_time_series <- GLODAP %>%
select(year, basin_AIP, lat, depth, sal, temp,
oxygen, aou, nitrate, silicate, phosphate,
tco2, talk)
GLODAP_time_series <- GLODAP_time_series %>%
mutate(depth_grid = cut(depth, seq(0,1e4,1000)))
GLODAP_time_series <- GLODAP_time_series %>%
pivot_longer(sal:talk,
names_to = "parameter",
values_to = "value") %>%
filter(!is.na(value),
!is.na(depth_grid))
GLODAP_time_series %>%
group_split(basin_AIP, depth_grid) %>%
# head(1) %>%
map(
~ ggplot(data = .x,
aes(year, value, col = lat)) +
geom_jitter(alpha = 0.1) +
scale_color_divergent() +
facet_grid(parameter ~ depth_grid,
scales = "free_y") +
labs(title = paste(
"basin_AIP:",
unique(.x$basin_AIP),
"| depth_grid:",
unique(.x$depth_grid)
))
)
source("/net/kryo/work/uptools/co2_calculation/CANYON-B/CANYONB.R")
GLODAP_CB <- GLODAP %>%
mutate(lon = if_else(lon > 180, lon - 360, lon)) %>%
arrange(year) %>%
select(row_number, year, date, lat, lon, depth, basin_AIP,
temp, sal, oxygen,
talk, tco2, nitrate, phosphate, silicate)
# filter rows with essential variables for Canyon-B
GLODAP_CB <- GLODAP_CB %>%
filter(across(c(lat, lon, depth,
temp, sal, oxygen), ~ !is.na(.x)))
GLODAP_CB <- GLODAP_CB %>%
mutate(as_tibble(
CANYONB(
date = paste0(as.character(date), " 12:00"),
lat = lat,
lon = lon,
pres = depth,
temp = temp,
psal = sal,
doxy = oxygen,
param = c("AT", "CT", "NO3", "PO4", "SiOH4")
)
))
GLODAP_CB <- GLODAP_CB %>%
select(-ends_with(c("_cim", "_cin", "_cii")))
GLODAP_CB <- GLODAP_CB %>%
rename(
"talk_CANYONB" = "AT",
"tco2_CANYONB" = "CT",
"nitrate_CANYONB" = "NO3",
"phosphate_CANYONB" = "PO4",
"silicate_CANYONB" = "SiOH4"
)
variables <- c("talk", "tco2", "nitrate", "phosphate", "silicate")
for (i_variable in variables) {
# i_variable <- variables[1]
# calculate equal axis limits and binwidth
axis_lims <- GLODAP_CB %>%
drop_na() %>%
summarise(max_value = max(c(max(
!!sym(i_variable)
),
max(!!sym(
paste0(i_variable, "_CANYONB")
)))),
min_value = min(c(min(
!!sym(i_variable)
),
min(!!sym(
paste0(i_variable, "_CANYONB")
)))))
binwidth_value <- (axis_lims$max_value - axis_lims$min_value) / 60
axis_lims <- c(axis_lims$min_value, axis_lims$max_value)
print(
ggplot(GLODAP_CB, aes(
x = !!sym(i_variable),
y = !!sym(paste0(i_variable, "_CANYONB"))
)) +
geom_bin2d(binwidth = binwidth_value) +
scale_fill_viridis_c(trans = "log10") +
geom_abline(slope = 1, col = 'red') +
coord_equal(xlim = axis_lims,
ylim = axis_lims) +
facet_wrap( ~ basin_AIP) +
labs(title = "All years")
)
# for (i_year in unique(GLODAP_CB$year)) {
# # i_year <- 2017
#
# print(
# ggplot(
# GLODAP_CB %>% filter(year == i_year),
# aes(x = !!sym(i_variable),
# y = !!sym(paste0(
# i_variable, "_CANYONB"
# )))
# ) +
# geom_bin2d(binwidth = binwidth_value) +
# scale_fill_viridis_c(trans = "log10") +
# geom_abline(slope = 1, col = 'red') +
# coord_equal(xlim = axis_lims,
# ylim = axis_lims) +
# facet_wrap( ~ basin_AIP) +
# labs(title = paste("Year:", i_year))
# )
# }
}





GLODAP_CB %>%
select(row_number,
talk_CANYONB, tco2_CANYONB,
nitrate_CANYONB, phosphate_CANYONB, silicate_CANYONB) %>%
write_csv(paste(path_preprocessing,
"GLODAPv2.2021_Canyon-B.csv",
sep = ""))
GLODAP <- left_join(GLODAP,
GLODAP_CB %>%
select(row_number, ends_with("_CANYONB")))
# fill missing phosphate with CANYON-B estimate
cruises_phosphate_gap_fill <- c("33MW19930704",
"33RO20030604",
"33RO20050111",
"33RO19980123")
GLODAP_phosphate_fill <- GLODAP %>%
filter(cruise_expocode %in% cruises_phosphate_gap_fill,
is.na(phosphate),
oxygenqc == 1)
GLODAP_phosphate_fill <- GLODAP_phosphate_fill %>%
mutate(phosphate = phosphate_CANYONB) %>%
filter(!is.na(phosphate))
# fill missing talk with CANYON-B estimate
cruises_talk_gap_fill <- c("06AQ19980328")
GLODAP_talk_fill <- GLODAP %>%
filter(cruise_expocode %in% cruises_talk_gap_fill,
is.na(talk),
oxygenqc == 1)
GLODAP_talk_fill <- GLODAP_talk_fill %>%
mutate(talk = talk_CANYONB) %>%
filter(!is.na(talk))
GLODAP_gap_fill <- bind_rows(
GLODAP_phosphate_fill,
GLODAP_talk_fill
)
cruises_tco2_calc <- c(
"35TH20040604",
"29AH20160617")
GLODAP_tco2_calc <- GLODAP %>%
filter(cruise_expocode %in% cruises_tco2_calc,
tco2f == 0)
cruises_talk_calc <- c(
"06MT19900123",
"316N19920502",
"316N19921006")
GLODAP_talk_calc <- GLODAP %>%
filter(cruise_expocode %in% cruises_talk_calc,
talkf == 0)
GLODAP_calc <- bind_rows(
GLODAP_tco2_calc,
GLODAP_talk_calc
)
GLODAP_crossover <- bind_rows(
GLODAP_gap_fill,
GLODAP_calc
)
GLODAP_crossover_write <- GLODAP_crossover %>%
select(
EXPOCODE = cruise_expocode,
STNNBR = station,
CASTNO = cast,
BTLNBR = bottle,
DATE = date,
LATITUDE = lat,
LONGITUDE = lon,
CTDPRS = pressure,
CTDTMP = temp,
CTDSAL = sal,
CTDSAL_FLAG_W = salinityf,
PHSPHT = phosphate,
PHSPHT_FLAG_W = phosphatef,
TCARBN = tco2,
TCARBN_FLAG_W = tco2f,
ALKALI = talk,
ALKALI_FLAG_W = talkf)
GLODAP_crossover_write <- GLODAP_crossover_write %>%
mutate(DATE = format(DATE, "%Y%m%d"))
last_line <- "END_DATA"
for (i_EXPOCODE in unique(GLODAP_crossover_write$EXPOCODE)) {
# i_EXPOCODE <- unique(GLODAP_crossover_write$EXPOCODE)[1]
temp <- GLODAP_crossover_write %>%
filter(EXPOCODE == i_EXPOCODE) %>%
add_row(.before = 1)
cat("Bottle",
"\n",
file = paste0(
path_preprocessing,
"crossover_cruises/",
i_EXPOCODE,
".exc.csv"
)
)
temp %>%
write_csv(
file = paste0(
path_preprocessing,
"crossover_cruises/",
i_EXPOCODE,
".exc.csv"
),
na = "",
append = TRUE,
col_names = TRUE
)
write(
last_line,
file = paste0(
path_preprocessing,
"crossover_cruises/",
i_EXPOCODE,
".exc.csv"
),
append = TRUE
)
}
sessionInfo()
R version 4.0.3 (2020-10-10)
Platform: x86_64-pc-linux-gnu (64-bit)
Running under: openSUSE Leap 15.2
Matrix products: default
BLAS: /usr/local/R-4.0.3/lib64/R/lib/libRblas.so
LAPACK: /usr/local/R-4.0.3/lib64/R/lib/libRlapack.so
locale:
[1] LC_CTYPE=en_US.UTF-8 LC_NUMERIC=C
[3] LC_TIME=en_US.UTF-8 LC_COLLATE=en_US.UTF-8
[5] LC_MONETARY=en_US.UTF-8 LC_MESSAGES=en_US.UTF-8
[7] LC_PAPER=en_US.UTF-8 LC_NAME=C
[9] LC_ADDRESS=C LC_TELEPHONE=C
[11] LC_MEASUREMENT=en_US.UTF-8 LC_IDENTIFICATION=C
attached base packages:
[1] stats graphics grDevices utils datasets methods base
other attached packages:
[1] mgcv_1.8-33 nlme_3.1-149 kableExtra_1.3.1 ggrepel_0.8.2
[5] lubridate_1.7.9 ggforce_0.3.3 metR_0.9.0 scico_1.2.0
[9] patchwork_1.1.1 collapse_1.5.0 forcats_0.5.0 stringr_1.4.0
[13] dplyr_1.0.5 purrr_0.3.4 readr_1.4.0 tidyr_1.1.3
[17] tibble_3.1.3 ggplot2_3.3.5 tidyverse_1.3.0 workflowr_1.6.2
loaded via a namespace (and not attached):
[1] fs_1.5.0 RColorBrewer_1.1-2 webshot_0.5.2
[4] httr_1.4.2 rprojroot_2.0.2 tools_4.0.3
[7] backports_1.1.10 bslib_0.2.5.1 utf8_1.1.4
[10] R6_2.5.0 DBI_1.1.0 colorspace_2.0-2
[13] withr_2.3.0 tidyselect_1.1.0 compiler_4.0.3
[16] git2r_0.27.1 cli_3.0.1 rvest_0.3.6
[19] xml2_1.3.2 labeling_0.4.2 sass_0.4.0
[22] scales_1.1.1 checkmate_2.0.0 digest_0.6.27
[25] rmarkdown_2.10 pkgconfig_2.0.3 htmltools_0.5.1.1
[28] highr_0.8 dbplyr_1.4.4 rlang_0.4.11
[31] readxl_1.3.1 rstudioapi_0.13 jquerylib_0.1.4
[34] generics_0.1.0 farver_2.0.3 jsonlite_1.7.1
[37] magrittr_1.5 Matrix_1.2-18 Rcpp_1.0.5
[40] munsell_0.5.0 fansi_0.4.1 lifecycle_1.0.0
[43] stringi_1.5.3 whisker_0.4 yaml_2.2.1
[46] MASS_7.3-53 grid_4.0.3 blob_1.2.1
[49] parallel_4.0.3 promises_1.1.1 crayon_1.3.4
[52] lattice_0.20-41 splines_4.0.3 haven_2.3.1
[55] hms_0.5.3 knitr_1.33 pillar_1.6.2
[58] reprex_0.3.0 glue_1.4.2 evaluate_0.14
[61] RcppArmadillo_0.10.1.2.0 data.table_1.14.0 modelr_0.1.8
[64] vctrs_0.3.8 tweenr_1.0.2 httpuv_1.5.4
[67] cellranger_1.1.0 gtable_0.3.0 polyclip_1.10-0
[70] assertthat_0.2.1 xfun_0.25 broom_0.7.9
[73] RcppEigen_0.3.3.7.0 later_1.2.0 viridisLite_0.3.0
[76] ellipsis_0.3.2