Last updated: 2021-11-19

Checks: 7 0

Knit directory: emlr_obs_preprocessing/

This reproducible R Markdown analysis was created with workflowr (version 1.6.2). The Checks tab describes the reproducibility checks that were applied when the results were created. The Past versions tab lists the development history.


Great! Since the R Markdown file has been committed to the Git repository, you know the exact version of the code that produced these results.

Great job! The global environment was empty. Objects defined in the global environment can affect the analysis in your R Markdown file in unknown ways. For reproduciblity it’s best to always run the code in an empty environment.

The command set.seed(20200707) was run prior to running the code in the R Markdown file. Setting a seed ensures that any results that rely on randomness, e.g. subsampling or permutations, are reproducible.

Great job! Recording the operating system, R version, and package versions is critical for reproducibility.

Nice! There were no cached chunks for this analysis, so you can be confident that you successfully produced the results during this run.

Great job! Using relative paths to the files within your workflowr project makes it easier to run your code on other machines.

Great! You are using Git for version control. Tracking code development and connecting the code version to the results is critical for reproducibility.

The results in this page were generated with repository version 46c1246. See the Past versions tab to see a history of the changes made to the R Markdown and HTML files.

Note that you need to be careful to ensure that all relevant files for the analysis have been committed to Git prior to generating the results (you can use wflow_publish or wflow_git_commit). workflowr only checks the R Markdown file, but you know if there are other scripts or data files that it depends on. Below is the status of the Git repository when the results were generated:


Ignored files:
    Ignored:    .Rhistory
    Ignored:    .Rproj.user/
    Ignored:    data/

Untracked files:
    Untracked:  code/read_GLODAPv2_2020.Rmd

Unstaged changes:
    Modified:   code/Workflowr_project_managment.R

Note that any generated files, e.g. HTML, png, CSS, etc., are not included in this status report because it is ok for generated content to have uncommitted changes.


These are the previous versions of the repository in which changes were made to the R Markdown (analysis/read_GLODAPv2_2021.Rmd) and HTML (docs/read_GLODAPv2_2021.html) files. If you’ve configured a remote Git repository (see ?wflow_git_remote), click on the hyperlinks in the table below to view the files as they were in that past version.

File Version Author Date Message
Rmd 46c1246 jens-daniel-mueller 2021-11-19 rerun with GLODAP cast column
html 375d7c7 jens-daniel-mueller 2021-11-18 Build site.
Rmd 1839007 jens-daniel-mueller 2021-11-18 delta EW crossover values determined
html f30883c jens-daniel-mueller 2021-11-18 Build site.
Rmd 7acd48c jens-daniel-mueller 2021-11-18 delta crossover values determined
html 2e6c3f1 jens-daniel-mueller 2021-11-18 Build site.
Rmd 49ca05c jens-daniel-mueller 2021-11-18 delta crossover values determined
html 16dab59 jens-daniel-mueller 2021-11-18 Build site.
Rmd 620b6f4 jens-daniel-mueller 2021-11-18 delta crossover values determined
html 42965b9 jens-daniel-mueller 2021-11-18 Build site.
Rmd 69dbb5f jens-daniel-mueller 2021-11-18 crossing checks
html c9363ce jens-daniel-mueller 2021-11-18 Build site.
Rmd 6bc79d6 jens-daniel-mueller 2021-11-18 crossing checks
html 0908ee5 jens-daniel-mueller 2021-11-15 Build site.
html 6d6a23e jens-daniel-mueller 2021-11-01 Build site.
Rmd 2f36786 jens-daniel-mueller 2021-11-01 preprocess adjustment table, create new basinmaps
html 2a50fa9 jens-daniel-mueller 2021-10-28 Build site.
Rmd 67de9ab jens-daniel-mueller 2021-10-28 preprocess tracers
html a96bf9e jens-daniel-mueller 2021-10-27 Build site.
Rmd d99b131 jens-daniel-mueller 2021-10-27 added time series plots
html fde6c32 jens-daniel-mueller 2021-10-27 Build site.
Rmd db93d9f jens-daniel-mueller 2021-10-27 added time series plots
html 7db7e6a jens-daniel-mueller 2021-10-27 Build site.
Rmd d6fb0dc jens-daniel-mueller 2021-10-27 added time series plots
html 68d67e7 jens-daniel-mueller 2021-10-27 Build site.
Rmd b4ea199 jens-daniel-mueller 2021-10-27 added time series plots
html 7987bb7 jens-daniel-mueller 2021-10-21 Build site.
Rmd b64c54d jens-daniel-mueller 2021-10-21 added inventory layer depth
html 8d1aaf8 jens-daniel-mueller 2021-10-20 Build site.
Rmd 5bce752 jens-daniel-mueller 2021-10-20 corrected qc flag in glodap
html dc8d958 jens-daniel-mueller 2021-10-20 Build site.
Rmd b2ccc04 jens-daniel-mueller 2021-10-20 corrected qc flag in glodap
html 2438c5a jens-daniel-mueller 2021-08-30 Build site.
Rmd 4296433 jens-daniel-mueller 2021-08-30 rerun GLODAP preprocessing with officially released file
html e49875a jens-daniel-mueller 2021-07-07 Build site.
html 6312bd4 jens-daniel-mueller 2021-07-07 Build site.
Rmd 4905409 jens-daniel-mueller 2021-07-07 rerun with new setup_obs.Rmd file
html 58bc706 jens-daniel-mueller 2021-07-06 Build site.
Rmd 0db89e1 jens-daniel-mueller 2021-07-06 rerun with revised variable names
html f600971 jens-daniel-mueller 2021-07-02 Build site.
html 98599d8 jens-daniel-mueller 2021-06-27 Build site.
Rmd 4f9c370 jens-daniel-mueller 2021-06-27 update to latest GLODAP pre-release
html 265c4ef jens-daniel-mueller 2021-06-04 Build site.
html c79346a jens-daniel-mueller 2021-06-03 Build site.
html 9d8353f jens-daniel-mueller 2021-05-31 Build site.
Rmd b948168 jens-daniel-mueller 2021-05-31 ingest GLODAPv2_2021 beta data

path_glodapv2_2021  <- "/nfs/kryo/work/updata/glodapv2_2021/"
path_preprocessing  <- paste(path_root, "/observations/preprocessing/", sep = "")

1 Read files

Main data source for this project is GLODAPv2.2021_Merged_Master_File.csv downloaded from https://www.ncei.noaa.gov/data/oceans/ncei/ocads/data/0237935/GLODAPv2.2021_Merged_Master_File.csv on Aug 30, 2021.

GLODAP <-
  read_csv(
    paste(
      path_glodapv2_2021,
      "GLODAPv2.2021_Merged_Master_File_20210830.csv",
      sep = ""
    ),
    na = "-9999",
    col_types = cols(.default = col_double())
  )


GLODAP <- GLODAP %>%
  rename_with(~str_remove(., 'G2'))
GLODAP_adjustments <-
  read_csv(
    paste(
      path_glodapv2_2021,
      "GLODAPv2.2021_adjustments_last_updated_on_2021_05_10.csv",
      sep = ""
    ),
    na = c("-666", "-777", "-888", "-999"),
    skip = 2
  )
GLODAP_expocodes <-
  read_tsv(
    paste(
      path_glodapv2_2021,
      "EXPOCODES.txt",
      sep = ""
    ),
    col_names = c("cruise", "cruise_expocode")
  )

2 Data preparation

2.1 Correct qc flag

From an email conversation with Nico Lange

Yes, we are aware of these faulty(!) calculated TA data (using DIC and fCO2). It is linked to v2.2020 where we’ve added fCO2 to the “missing carbon calculation matrix”. Overall, including fCO2 in these calculations has worked great to fill some missing carbon gaps. However, for this cruise in particular the fCO2 values have most likely been converted wrongly to 20°C and are thus off! The problem of this all is that we haven’t really done a 2nd QC on the fCO2 values neither have we defined the corresponding “G2fCO2qc” variable, hence for the sake of consistency we kept all fCO2 values in. Again and unfortunately, in this particular case it led to the bad calculations of TA data…. We plan to do a full 2nd QC on all (!) fCO2 data for v3.

But you have indeed found a flaw in our merging script, as the corresponding calculated TA values should not have received a 2nd QC flag of 1! I missed out on adding a line to our merging script to accommodate for the non-existence of 2nd fCO2 flags in the carbon calculation matrix.

So long story short: Thank you very much for finding this flaw and letting me know of it!

and

Yes, the all calculated TA data from cruise 695 should have a talkqc of 0 (as they are based upon un QC’d fCO2 data…).

And no (thanks to your hint and questions), I figured that this wrongly assigned 2nd QC flag is a problem for all calculated carbon data, which used fCO2 for the calculations. However, luckily this is not really often the case.

You can check if thats the case by looking at which other carbon parameters are measured, i.e. by checking their primary flags (e.g. G2talkf, G2tco2f and G2phts25p0f and G2fco2f). If only two are measured and one of them is fCO2, it means that the other carbon parameters (the ones with a primary flag of 0) are calculated using fCO2. Hence, for these instances no 2nd QC is done and the corresponding qc flag should be 0 and not 1.

# calculate number of measured co2 system variables

GLODAP <- GLODAP %>%
  mutate(measured_CO2_vars = rowSums(select(., c(
    tco2f, talkf, fco2f, phts25p0f
  )) == 2))

# identify cruises on which talk/tco2 was calculated

talk_qc_error_cruises <- GLODAP %>%
  select(cruise, tco2:phtsqc, measured_CO2_vars) %>% 
  filter(measured_CO2_vars == 2,
         fco2f == 2,
         talkf == 0) %>% 
  distinct(cruise, talkf, talkqc, fco2f)

tco2_qc_error_cruises <- GLODAP %>%
  select(cruise, tco2:phtsqc, measured_CO2_vars) %>% 
  filter(measured_CO2_vars == 2,
         fco2f == 2,
         tco2f == 0) %>% 
  distinct(cruise, tco2f, tco2qc, fco2f)

talk_qc_error_cruises %>% 
  write_csv("data/talk_qc_error_cruises_GLODAPv2_2021.csv")

tco2_qc_error_cruises %>% 
  write_csv("data/tco2_qc_error_cruises_GLODAPv2_2021.csv")

rm(talk_qc_error_cruises, tco2_qc_error_cruises)


# set qc = 0 for tco2 and talk values calculated from fco2   

GLODAP <- GLODAP %>%
  mutate(tco2qc = if_else(measured_CO2_vars == 2 &
                            fco2f == 2 & tco2f == 0,
                          0,
                          tco2qc))

GLODAP <- GLODAP %>%
  mutate(talkqc = if_else(measured_CO2_vars == 2 &
                            fco2f == 2 & talkf == 0,
                          0,
                          talkqc))

GLODAP <- GLODAP %>% 
  select(-measured_CO2_vars)
# calculate number of measured co2 system variables

GLODAP <- GLODAP %>%
  mutate(measured_CO2_vars = rowSums(select(., c(
    tco2f, talkf, fco2f, phts25p0f
  )) == 2))

# identify cruises on which talk/tco2 was calculated

tco2_talk_calc <- GLODAP %>%
  select(cruise, tco2:phtsqc, measured_CO2_vars) %>% 
  filter(measured_CO2_vars == 2,
         fco2f == 2,
         phts25p0f == 2)

GLODAP <- GLODAP %>% 
  select(-measured_CO2_vars)

2.2 Harmonize nomenclature

# create date column
GLODAP <- GLODAP %>%
  mutate(date = ymd(paste(year, month, day))) %>%
  relocate(date)

# harmonize column names
GLODAP <- GLODAP  %>%
  rename(sal = salinity,
         temp = temperature)

# harmonize coordinates
GLODAP <- GLODAP  %>%
  rename(lon = longitude,
         lat = latitude) %>%
  mutate(lon = if_else(lon < 20, lon + 360, lon))

2.3 Horizontal gridding

For merging with other data sets, all observations were grouped into latitude intervals of:

  • 1° x 1°
GLODAP <- m_grid_horizontal(GLODAP)

2.4 Apply basin mask

# use only three basin to assign general basin mask
# ie this is not specific to the MLR fitting
basinmask <- basinmask %>% 
  filter(MLR_basins == "2") %>% 
  select(lat, lon, basin_AIP)

GLODAP <- inner_join(GLODAP, basinmask)

2.5 Add row number

GLODAP <- GLODAP  %>%  
  mutate(row_number = row_number()) %>% 
  relocate(row_number)

2.6 Split CO2 and tracers

# remove irrelevant columns
GLODAP <- GLODAP %>%
  select(-c(region,
            month:minute,
            maxsampdepth, bottle, sigma0:sigma4,
            nitrite:nitritef))


GLODAP_tracer <- GLODAP %>% 
  select(row_number:gamma,
         cfc11:sf6f,
         basin_AIP)

# select relevant columns
GLODAP <- GLODAP %>%
  select(row_number:talkqc,
         basin_AIP)

2.7 Subset tco2 data

The vast majority of rows is removed due to missing tco2 observations.

GLODAP <- GLODAP %>% 
  filter(!is.na(tco2))

2.8 Subset tracer data

Rows are removed if no tracer observation is available.

GLODAP_tracer <- GLODAP_tracer %>%
  filter(if_any(
    c(
      cfc11,
      cfc12,
      cfc113,
      ccl4,
      sf6,
      pcfc11,
      pcfc12,
      pcfc113,
      pccl4,
      psf6
    ),
    ~ !is.na(.)
  ))

2.9 Create clean observations grid

2.9.1 CO2

GLODAP_obs_grid <- GLODAP %>% 
  count(lat, lon)
GLODAP_grid_year <- GLODAP %>%
  count(lat, lon, year)

map +
  geom_raster(data = GLODAP_grid_year,
              aes(lon, lat)) +
  facet_wrap(~ year, ncol=3)

Version Author Date
dc8d958 jens-daniel-mueller 2021-10-20

2.9.2 Tracer

GLODAP_obs_grid_tracer <- GLODAP_tracer %>% 
  count(lat, lon)
GLODAP_grid_year_tracer <- GLODAP_tracer %>%
  count(lat, lon, year)

map +
  geom_raster(data = GLODAP_grid_year_tracer,
              aes(lon, lat)) +
  facet_wrap(~ year, ncol=3)

Version Author Date
2a50fa9 jens-daniel-mueller 2021-10-28

2.10 Adjustments

Typically, the reasons for multiple expocode entries of the same cruise in the adjustment table list are:

  1. The cruise adjustments are different for different station, i.e. station split (e.g. 316N19821201)

-> How to merge? Based on first and last station? Cruise_ID not in GLODAP merged master file.

  1. The cruise adjustments are different for different legs (e.g. 316N19871123.6) but have been merged into one cruise (316N19871123) for the product

-> How to merge? Based on first and last station?

  1. The cruise adjustments have been updated/changed through the versions, here always look for the most recent entry (see table below) (e.g. 320620180309)

For the expocodes not listed in the expocode list the reason is that INDIGO has been splitted into three cruises: 35MF1985-1987 and the same holds for SAVE (316N1987 - 6legs). Further 49HH20011208 has been assigned wrongly and corrected to 49HH20011127.

Remove expocode INDIGO and maintain only 35MF19850224. Remove expocode SAVE and maintain only 316N1987.

GLODAP_adjustments <- GLODAP_adjustments %>%
  select(cruise_expocode,
         first_station, last_station,
         version,
         calculated_carbon_parameter,
         ends_with("_adj")) %>% 
  rename(talk_adj = alkalinity_adj)

# Remove cruises INDIGO and SAVE

GLODAP_adjustments <- 
  GLODAP_adjustments %>% 
  filter(!(cruise_expocode %in% c("INDIGO", "SAVE")))

# correct expocode 49HH20011208 to 49HH20011127

GLODAP_adjustments <- 
  GLODAP_adjustments %>% 
  mutate(cruise_expocode = if_else(
    cruise_expocode == "49HH20011208",
    "49HH20011127",
    cruise_expocode
  ))


# select latest adjustment versions

GLODAP_adjustments <- 
  GLODAP_adjustments %>% 
  group_by(cruise_expocode, first_station) %>% 
  mutate(n = n(),
         version_max = max(version)) %>%
  ungroup() %>% 
  filter(version == version_max | is.na(version)) %>% 
  select(-c(version_max, version, n))

# harmonize multiple cruise expocodes of 316N1987

GLODAP_adjustments <- GLODAP_adjustments %>% 
  # filter(str_detect(cruise_expocode, "\\.")) %>% 
  mutate(cruise_expocode = str_split(cruise_expocode,
                                     "\\.",
                                     simplify = TRUE)[,1])

# correct one wrong last_cruise label

GLODAP_adjustments <- GLODAP_adjustments %>%
  mutate(
    last_station = if_else(
      cruise_expocode == "318M20091121" &
        first_station == 1,
      127,
      last_station
    )
  )

# merge with expocode table
GLODAP_adjustments <- full_join(GLODAP_adjustments, GLODAP_expocodes) %>% 
  relocate(cruise)



GLODAP_adjustments_NA_cruises <- 
  GLODAP_adjustments %>% 
  filter(is.na(cruise))

GLODAP_adjustments_duplicated_cruises <- 
  GLODAP_adjustments %>% 
  group_by(cruise_expocode, cruise) %>% 
  mutate(n = n()) %>%
  ungroup() %>% 
  filter(n != 1)


GLODAP_adjustments %>% 
  pivot_longer(salinity_adj:c13_adj,
               names_to = "parameter",
               values_to = "adjustment") %>% 
  ggplot(aes(adjustment)) +
  geom_histogram() +
  scale_y_log10() +
  facet_wrap(~ parameter, scales = "free_x")

Version Author Date
6d6a23e jens-daniel-mueller 2021-11-01

3 Crossover checks

3.1 Indian N-S

IO_NS_cruises <- c(249, 250,
                       352, 353,
                       1046,
                       3035)

IO_NS_GLODAP_grid <- GLODAP %>% 
  filter(basin_AIP == "Indian",
         lon > 70,
         lon < 100,
         cruise %in% IO_NS_cruises
         ) %>%
  mutate(cruise = as.factor(cruise)) %>% 
  distinct(lon, lat, cruise, year = as.factor(year(date)))

map +
  geom_tile(data = IO_NS_GLODAP_grid,
            aes(lon, lat, fill = year)) +
  facet_wrap(~ year)

Version Author Date
375d7c7 jens-daniel-mueller 2021-11-18
IO_NS <- GLODAP %>% 
  filter(cruise %in% IO_NS_cruises)

IO_NS <- IO_NS %>%
  mutate(
    cstar = tco2  - (117 * phosphate)  - 0.5 * (talk - (16 * phosphate)),
    cstar_tco2 = tco2,
    cstar_talk = -0.5 * talk,
    cstar_phosphate = -117 * phosphate + 16 * 0.5 * phosphate
  )


IO_NS <- IO_NS %>%
  select(year,
         lon, lat, depth,
         cruise, station, cast,
         temp, sal, gamma,
         starts_with("cstar"))


IO_NS <- IO_NS %>% 
  mutate(year = if_else(year == 1994, 1995, year),
         year = as.factor(as.character(year)))

IO_NS <- IO_NS %>% 
  filter(lon < 98)

IO_NS <- IO_NS %>% 
  filter(lat > -25,
         lat < 0,
         depth > 2000,
         depth < 4000,
         !(lat %in% c(-18.5,-5.5)))

map +
  geom_tile(data = IO_NS %>% 
              distinct(lon, lat, year),
            aes(lon, lat, fill = year)) +
  facet_wrap(~ year, ncol = 2)

Version Author Date
375d7c7 jens-daniel-mueller 2021-11-18
IO_NS <- IO_NS %>% 
  pivot_longer(temp:cstar_phosphate,
               names_to = "parameter",
               values_to = "value")

3.1.1 Section

IO_NS %>% 
  group_split(parameter) %>% 
  # head(1) %>%
  map(
    ~ ggplot(data = .x,
             aes(lat , depth, col = value)) +
  geom_point() +
  scale_color_viridis_c() +
  scale_y_reverse() +
  facet_grid(year ~ parameter)
  )
[[1]]

Version Author Date
2e6c3f1 jens-daniel-mueller 2021-11-18
c9363ce jens-daniel-mueller 2021-11-18

[[2]]

Version Author Date
2e6c3f1 jens-daniel-mueller 2021-11-18
c9363ce jens-daniel-mueller 2021-11-18

[[3]]

Version Author Date
2e6c3f1 jens-daniel-mueller 2021-11-18
c9363ce jens-daniel-mueller 2021-11-18

[[4]]

Version Author Date
2e6c3f1 jens-daniel-mueller 2021-11-18
c9363ce jens-daniel-mueller 2021-11-18

[[5]]

Version Author Date
2e6c3f1 jens-daniel-mueller 2021-11-18
c9363ce jens-daniel-mueller 2021-11-18

[[6]]

Version Author Date
2e6c3f1 jens-daniel-mueller 2021-11-18
c9363ce jens-daniel-mueller 2021-11-18

[[7]]

Version Author Date
2e6c3f1 jens-daniel-mueller 2021-11-18

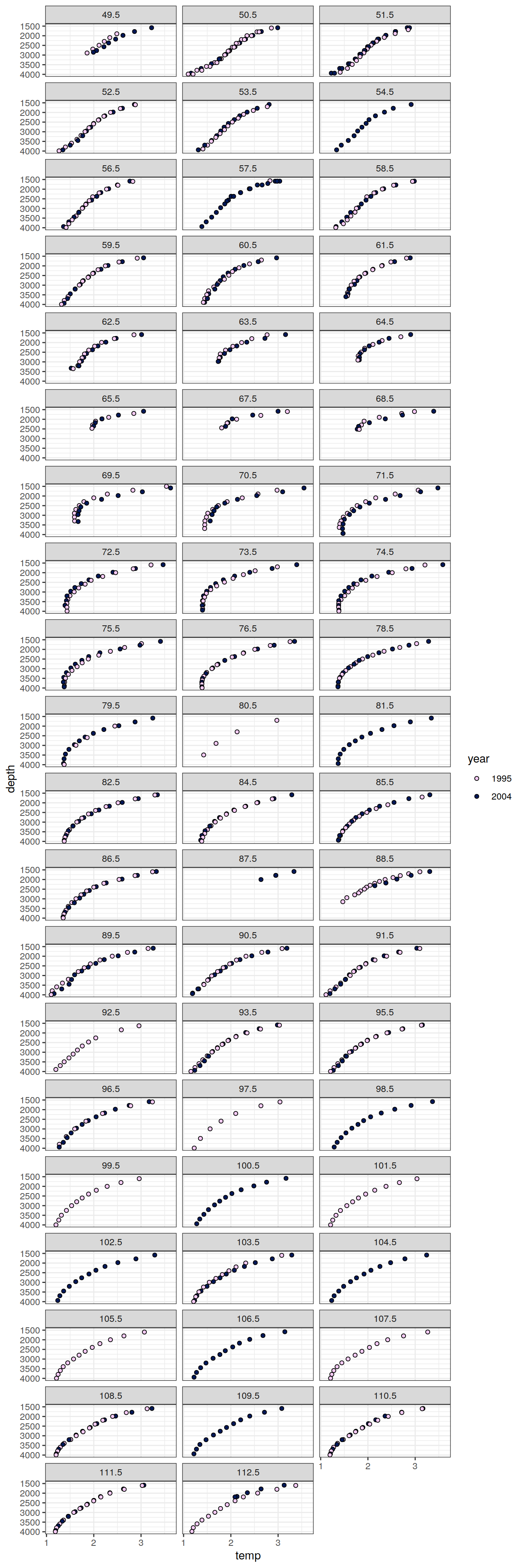
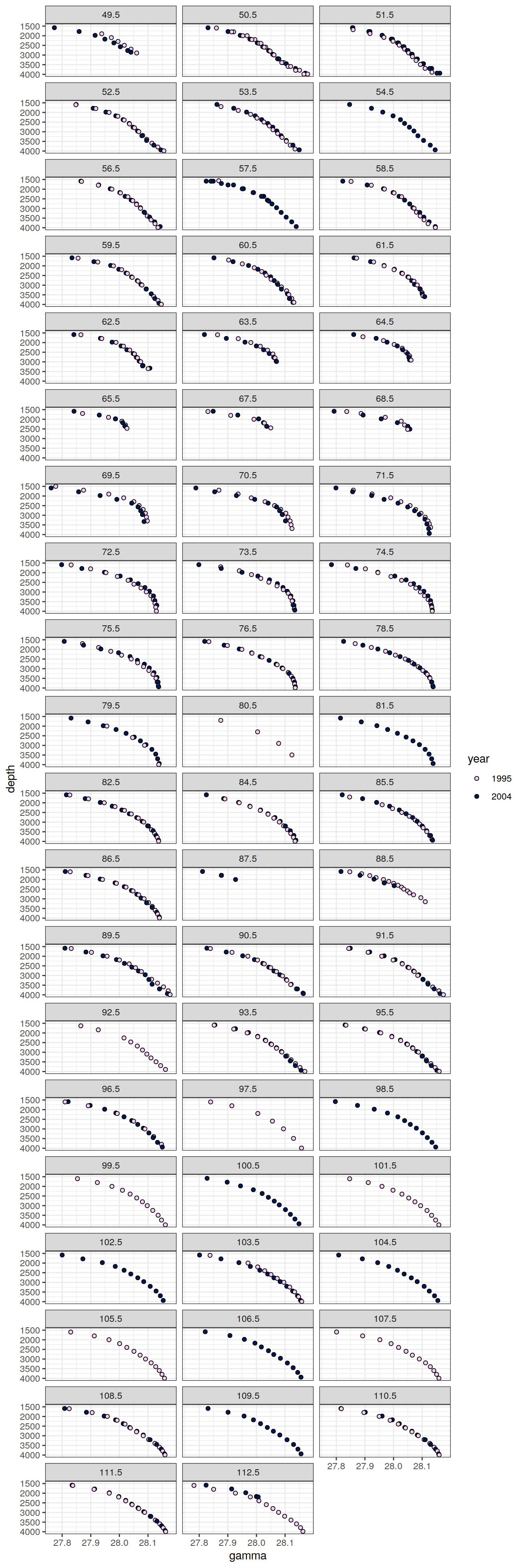
3.1.2 Profiles, absolute

IO_NS %>%
  arrange(depth) %>% 
  group_split(parameter) %>%
  # head(1) %>%
  map(
    ~ ggplot(data = .x,
             aes(
               value , depth, fill = year,
             )) +
      geom_point(shape = 21) +
      scale_fill_scico_d(direction = -1) +
      scale_y_reverse() +
      labs(x = unique(.x$parameter)) +
      facet_wrap( ~ lat, ncol = 3)
  )
[[1]]

Version Author Date
2e6c3f1 jens-daniel-mueller 2021-11-18
16dab59 jens-daniel-mueller 2021-11-18

[[2]]

Version Author Date
2e6c3f1 jens-daniel-mueller 2021-11-18
16dab59 jens-daniel-mueller 2021-11-18

[[3]]

Version Author Date
2e6c3f1 jens-daniel-mueller 2021-11-18
16dab59 jens-daniel-mueller 2021-11-18

[[4]]

Version Author Date
2e6c3f1 jens-daniel-mueller 2021-11-18
16dab59 jens-daniel-mueller 2021-11-18

[[5]]

Version Author Date
2e6c3f1 jens-daniel-mueller 2021-11-18
16dab59 jens-daniel-mueller 2021-11-18

[[6]]

Version Author Date
2e6c3f1 jens-daniel-mueller 2021-11-18
16dab59 jens-daniel-mueller 2021-11-18

[[7]]

Version Author Date
2e6c3f1 jens-daniel-mueller 2021-11-18
IO_NS_grid <- IO_NS %>% 
  select(lat, lon, depth, year, parameter, value) %>% 
  mutate(depth = as.numeric(as.character(cut(depth,
                     seq(0,1e4, 500), 
                     seq(250,1e4,500))))) %>% 
  group_by(lat, depth, year, parameter) %>% 
  summarise(value = mean(value, na.rm=TRUE)) %>% 
  ungroup()

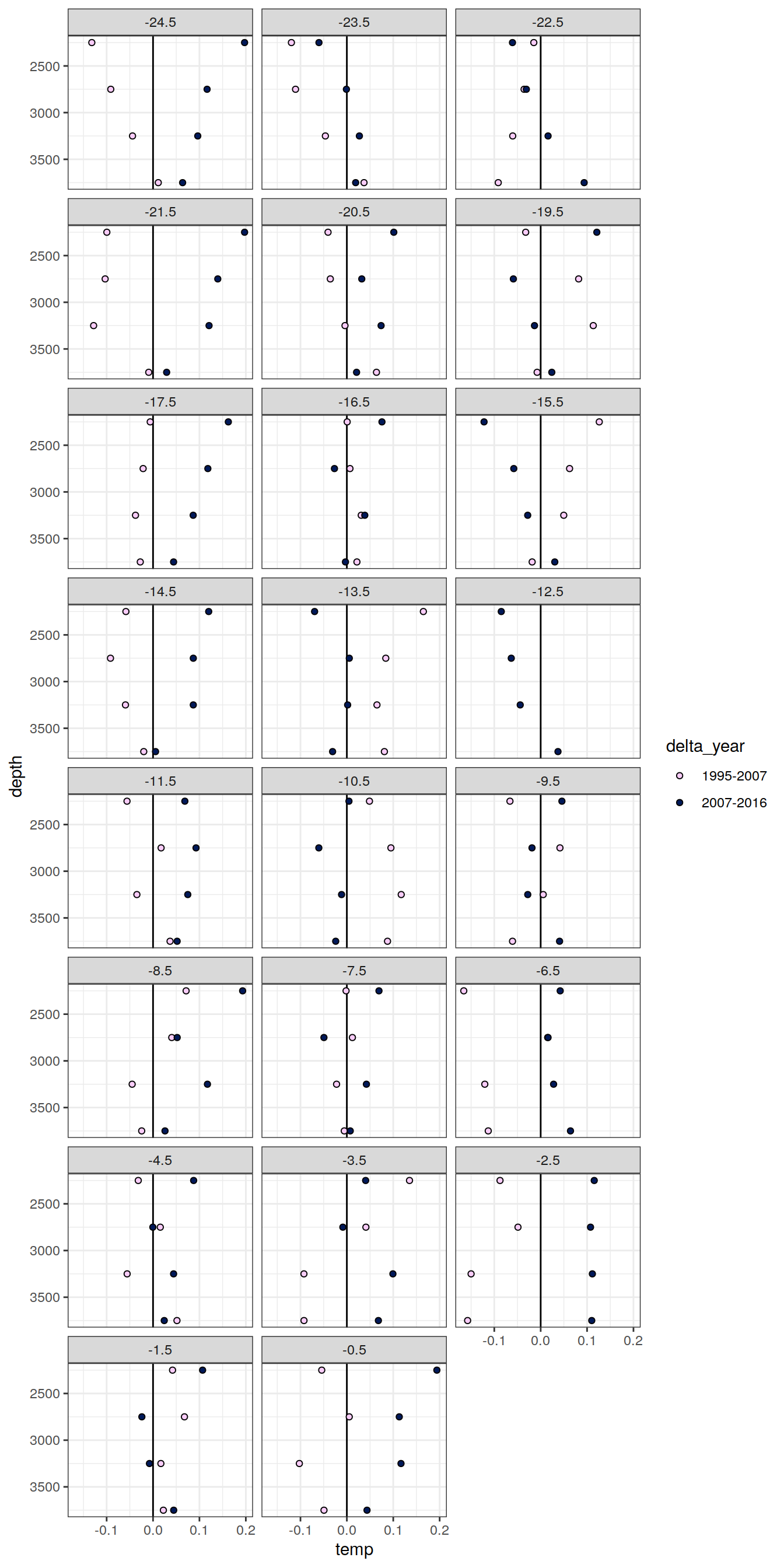
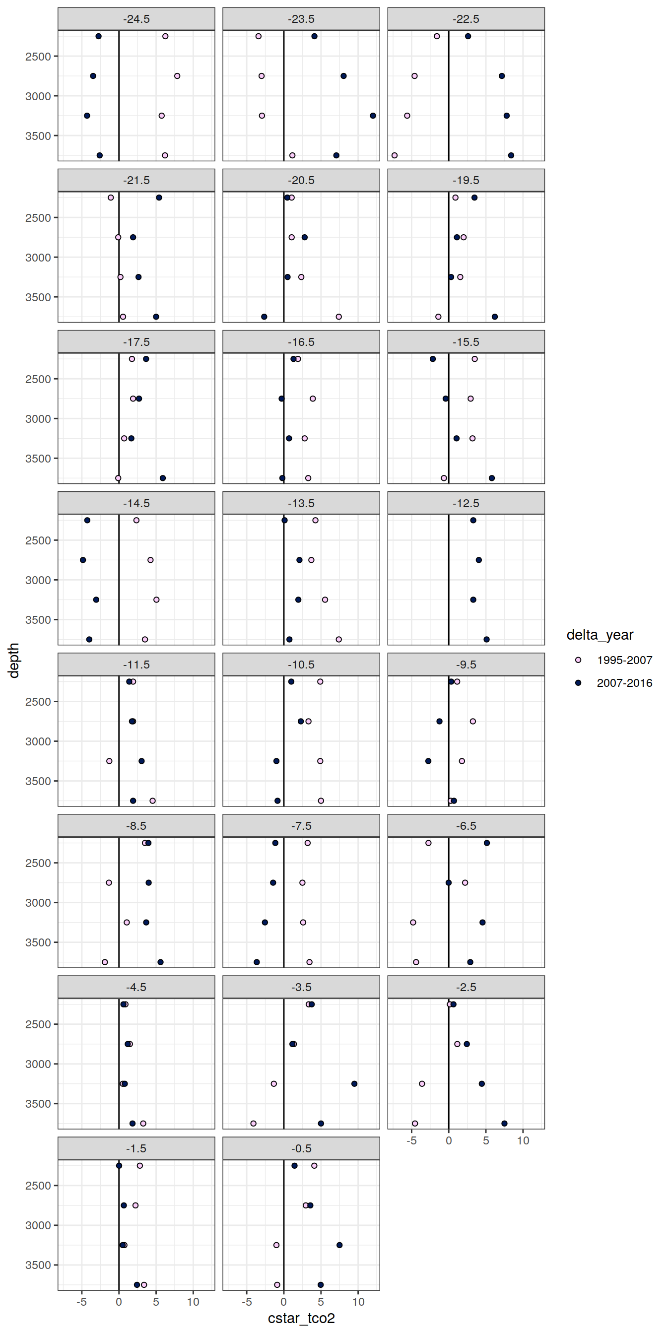
3.1.3 Profiles, offset

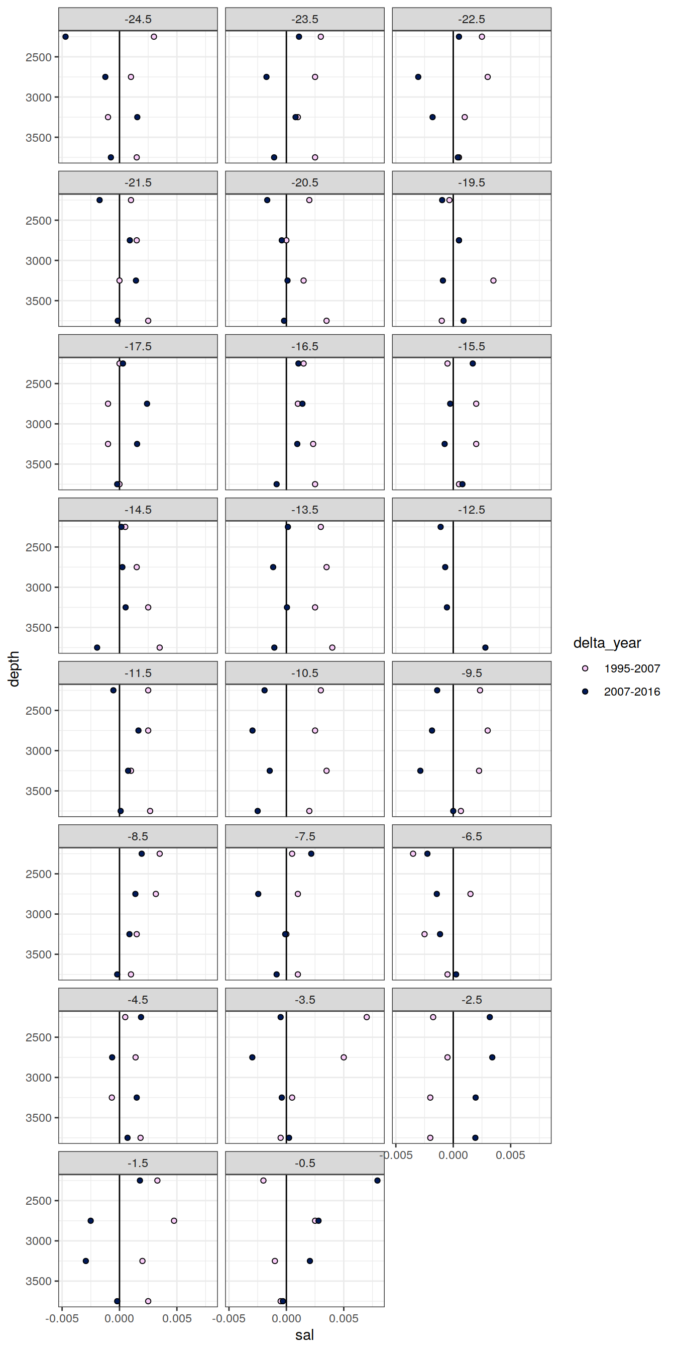
IO_NS_grid_offset <- IO_NS_grid %>% 
  arrange(year) %>% 
  group_by(lat, depth, parameter) %>% 
  mutate(delta_value = value - lag(value),
         delta_year = paste(lag(year), year, sep = "-")) %>% 
  ungroup() %>% 
  drop_na()

IO_NS_grid_offset %>%
  group_split(parameter) %>%
  # head(1) %>%
  map(
    ~ ggplot(data = .x,
             aes(
               delta_value , depth, fill = delta_year,
             )) +
      geom_vline(xintercept = 0) +
      geom_point(shape = 21) +
      scale_fill_scico_d(direction = -1) +
      scale_y_reverse() +
      labs(x = unique(.x$parameter)) +
      facet_wrap( ~ lat, ncol = 3)
  )
[[1]]

Version Author Date
f30883c jens-daniel-mueller 2021-11-18

[[2]]

Version Author Date
f30883c jens-daniel-mueller 2021-11-18

[[3]]

Version Author Date
f30883c jens-daniel-mueller 2021-11-18

[[4]]

Version Author Date
f30883c jens-daniel-mueller 2021-11-18

[[5]]

Version Author Date
f30883c jens-daniel-mueller 2021-11-18

[[6]]

Version Author Date
f30883c jens-daniel-mueller 2021-11-18

[[7]]

Version Author Date
f30883c jens-daniel-mueller 2021-11-18

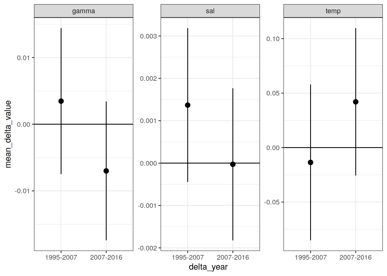
3.1.4 Mean offset

IO_NS_grid_offset_mean <-
  IO_NS_grid_offset %>%
  group_by(parameter, delta_year) %>%
  summarise(mean_delta_value = mean(delta_value),
            sd_delta_value = sd(delta_value)) %>%
  ungroup()

IO_NS_grid_offset_mean %>% 
  filter(str_detect(parameter, "cstar")) %>% 
  ggplot(aes(delta_year, mean_delta_value,
             ymin = mean_delta_value - sd_delta_value,
             ymax = mean_delta_value + sd_delta_value)) +
  geom_hline(yintercept = 0) +
  geom_pointrange() +
  facet_wrap(~ parameter)

Version Author Date
375d7c7 jens-daniel-mueller 2021-11-18
f30883c jens-daniel-mueller 2021-11-18
IO_NS_grid_offset_mean %>% 
  filter(!(str_detect(parameter, "cstar"))) %>% 
  ggplot(aes(delta_year, mean_delta_value,
             ymin = mean_delta_value - sd_delta_value,
             ymax = mean_delta_value + sd_delta_value)) +
  geom_hline(yintercept = 0) +
  geom_pointrange() +
  facet_wrap(~ parameter, scales = "free_y")

Version Author Date
375d7c7 jens-daniel-mueller 2021-11-18

3.2 Indian E-W

IO_EW_cruises <- c(252, 488)

IO_EW_GLODAP_grid <- GLODAP %>% 
  filter(basin_AIP == "Indian",
         lat > -25,
         lat < -15,
         cruise %in% IO_EW_cruises
         ) %>%
  mutate(cruise = as.factor(cruise)) %>% 
  distinct(lon, lat, cruise, year = as.factor(year(date)))

map +
  geom_tile(data = IO_EW_GLODAP_grid,
            aes(lon, lat, fill = year)) +
  facet_wrap(~ year)

Version Author Date
375d7c7 jens-daniel-mueller 2021-11-18
IO_EW <- GLODAP %>% 
  filter(cruise %in% IO_EW_cruises)

IO_EW <- IO_EW %>%
  mutate(
    cstar = tco2  - (117 * phosphate)  - 0.5 * (talk - (16 * phosphate)),
    cstar_tco2 = tco2,
    cstar_talk = -0.5 * talk,
    cstar_phosphate = -117 * phosphate + 16 * 0.5 * phosphate
  )


IO_EW <- IO_EW %>%
  select(year,
         lon, lat, depth,
         cruise, station, cast,
         temp, sal, gamma,
         starts_with("cstar"))


IO_EW <- IO_EW %>% 
  mutate(year = if_else(year == 2003, 2004, year),
         year = as.factor(as.character(year)))

IO_EW <- IO_EW %>% 
  filter(lon > 48)

IO_EW <- IO_EW %>% 
  filter(depth > 1500,
         depth < 4000)

map +
  geom_tile(data = IO_EW %>% 
              distinct(lon, lat, year),
            aes(lon, lat, fill = year)) +
  # geom_vline(xintercept = 48) +
  facet_wrap(~ year, ncol = 2)

Version Author Date
375d7c7 jens-daniel-mueller 2021-11-18
IO_EW <- IO_EW %>% 
  pivot_longer(temp:cstar_phosphate,
               names_to = "parameter",
               values_to = "value")

3.2.1 Section

IO_EW %>% 
  group_split(parameter) %>% 
  # head(1) %>%
  map(
    ~ ggplot(data = .x,
             aes(lon , depth, col = value)) +
  geom_point() +
  scale_color_viridis_c() +
  scale_y_reverse() +
  facet_grid(year ~ parameter)
  )
[[1]]

Version Author Date
375d7c7 jens-daniel-mueller 2021-11-18

[[2]]

Version Author Date
375d7c7 jens-daniel-mueller 2021-11-18

[[3]]

Version Author Date
375d7c7 jens-daniel-mueller 2021-11-18

[[4]]

Version Author Date
375d7c7 jens-daniel-mueller 2021-11-18

[[5]]

Version Author Date
375d7c7 jens-daniel-mueller 2021-11-18

[[6]]

Version Author Date
375d7c7 jens-daniel-mueller 2021-11-18

[[7]]

Version Author Date
375d7c7 jens-daniel-mueller 2021-11-18

3.2.2 Profiles, absolute

IO_EW %>%
  arrange(depth) %>% 
  group_split(parameter) %>%
  # head(1) %>%
  map(
    ~ ggplot(data = .x,
             aes(
               value , depth, fill = year,
             )) +
      geom_point(shape = 21) +
      scale_fill_scico_d(direction = -1) +
      scale_y_reverse() +
      labs(x = unique(.x$parameter)) +
      facet_wrap( ~ lon, ncol = 3)
  )
[[1]]

Version Author Date
375d7c7 jens-daniel-mueller 2021-11-18

[[2]]

Version Author Date
375d7c7 jens-daniel-mueller 2021-11-18

[[3]]

Version Author Date
375d7c7 jens-daniel-mueller 2021-11-18

[[4]]

Version Author Date
375d7c7 jens-daniel-mueller 2021-11-18

[[5]]

Version Author Date
375d7c7 jens-daniel-mueller 2021-11-18

[[6]]

Version Author Date
375d7c7 jens-daniel-mueller 2021-11-18

[[7]]

Version Author Date
375d7c7 jens-daniel-mueller 2021-11-18
IO_EW_grid <- IO_EW %>% 
  select(lon, lat, depth, year, parameter, value) %>% 
  mutate(depth = as.numeric(as.character(cut(depth,
                     seq(0,1e4, 500), 
                     seq(250,1e4,500))))) %>% 
  group_by(lon, depth, year, parameter) %>% 
  summarise(value = mean(value, na.rm=TRUE)) %>% 
  ungroup()

3.2.3 Profiles, offset

IO_EW_grid_offset <- IO_EW_grid %>% 
  arrange(year) %>% 
  group_by(lon, depth, parameter) %>% 
  mutate(delta_value = value - lag(value),
         delta_year = paste(lag(year), year, sep = "-")) %>% 
  ungroup() %>% 
  drop_na()

IO_EW_grid_offset %>%
  group_split(parameter) %>%
  # head(1) %>%
  map(
    ~ ggplot(data = .x,
             aes(
               delta_value , depth, fill = delta_year,
             )) +
      geom_vline(xintercept = 0) +
      geom_point(shape = 21) +
      scale_fill_scico_d(direction = -1) +
      scale_y_reverse() +
      labs(x = unique(.x$parameter)) +
      facet_wrap( ~ lon, ncol = 3)
  )
[[1]]

Version Author Date
375d7c7 jens-daniel-mueller 2021-11-18

[[2]]

Version Author Date
375d7c7 jens-daniel-mueller 2021-11-18

[[3]]

Version Author Date
375d7c7 jens-daniel-mueller 2021-11-18

[[4]]

Version Author Date
375d7c7 jens-daniel-mueller 2021-11-18

[[5]]

Version Author Date
375d7c7 jens-daniel-mueller 2021-11-18

[[6]]

Version Author Date
375d7c7 jens-daniel-mueller 2021-11-18

[[7]]

Version Author Date
375d7c7 jens-daniel-mueller 2021-11-18

3.2.4 Mean offset

IO_EW_grid_offset_mean <-
  IO_EW_grid_offset %>%
  group_by(parameter, delta_year) %>%
  summarise(mean_delta_value = mean(delta_value),
            sd_delta_value = sd(delta_value)) %>%
  ungroup()

IO_EW_grid_offset_mean %>% 
  filter(str_detect(parameter, "cstar")) %>% 
  ggplot(aes(delta_year, mean_delta_value,
             ymin = mean_delta_value - sd_delta_value,
             ymax = mean_delta_value + sd_delta_value)) +
  geom_hline(yintercept = 0) +
  geom_pointrange() +
  facet_wrap(~ parameter)

Version Author Date
375d7c7 jens-daniel-mueller 2021-11-18
IO_EW_grid_offset_mean %>% 
  filter(!(str_detect(parameter, "cstar"))) %>% 
  ggplot(aes(delta_year, mean_delta_value,
             ymin = mean_delta_value - sd_delta_value,
             ymax = mean_delta_value + sd_delta_value)) +
  geom_hline(yintercept = 0) +
  geom_pointrange() +
  facet_wrap(~ parameter, scales = "free_y")

Version Author Date
375d7c7 jens-daniel-mueller 2021-11-18

4 Write files

GLODAP  %>%
  write_csv(paste(path_preprocessing,
                  "GLODAPv2.2021_preprocessed.csv",
                  sep = ""))

GLODAP_tracer  %>%
  write_csv(paste(
    path_preprocessing,
    "GLODAPv2.2021_preprocessed_tracer.csv",
    sep = ""
  ))

GLODAP_adjustments  %>%
  write_csv(paste(path_preprocessing,
                  "GLODAPv2.2021_adustments.csv",
                  sep = ""))

# GLODAP_adjustments_NA_cruises  %>%
#   select(cruise_expocode, cruise) %>%
#   write_csv(paste(
#     path_preprocessing,
#     "GLODAPv2.2021_adustments_NA_cruises.csv",
#     sep = ""
#   ))
# 
# GLODAP_adjustments_duplicated_cruises  %>%
#   drop_na() %>%
#   write_csv(
#     paste(
#       path_preprocessing,
#       "GLODAPv2.2021_adustments_duplicated_cruises.csv",
#       sep = ""
#     )
#   )

5 Overview plots

5.1 Assign coarse spatial grid

For the following plots, the cleaned data set was re-opened and observations were gridded spatially to intervals of:

  • 5° x 5°
GLODAP <- m_grid_horizontal_coarse(GLODAP)

5.2 Histogram Zonal coverage

GLODAP_histogram_lat <- GLODAP %>%
  group_by(lat_grid) %>%
  tally() %>%
  ungroup()

GLODAP_histogram_lat %>%
  ggplot(aes(lat_grid, n)) +
  geom_col() +
  coord_flip() +
  theme(legend.title = element_blank())

Version Author Date
98599d8 jens-daniel-mueller 2021-06-27
9d8353f jens-daniel-mueller 2021-05-31
rm(GLODAP_histogram_lat)

5.3 Histogram temporal coverage

GLODAP_histogram_year <- GLODAP %>%
  group_by(year) %>%
  tally() %>%
  ungroup()

GLODAP_histogram_year %>%
  ggplot() +
  geom_col(aes(year, n)) +
  theme(
    axis.title.x = element_blank()
  )

Version Author Date
98599d8 jens-daniel-mueller 2021-06-27
9d8353f jens-daniel-mueller 2021-05-31
rm(GLODAP_histogram_year)

5.4 Zonal temporal coverage (Hovmoeller)

GLODAP_hovmoeller_year <- GLODAP %>%
  group_by(year, lat_grid) %>%
  tally() %>%
  ungroup()

GLODAP_hovmoeller_year %>%
  ggplot(aes(year, lat_grid, fill = log10(n))) +
  geom_tile() +
  geom_vline(xintercept = c(1999.5, 2012.5)) +
  scale_fill_viridis_c(option = "magma", direction = -1) +
  theme(legend.position = "top",
        axis.title.x = element_blank())

Version Author Date
98599d8 jens-daniel-mueller 2021-06-27
9d8353f jens-daniel-mueller 2021-05-31
rm(GLODAP_hovmoeller_year)

5.5 Coverage map

map +
  geom_raster(data = GLODAP_obs_grid,
              aes(lon, lat, fill = log10(n))) +
  scale_fill_viridis_c(option = "magma",
                       direction = -1)

Version Author Date
98599d8 jens-daniel-mueller 2021-06-27
9d8353f jens-daniel-mueller 2021-05-31
GLODAP_obs_grid_all_vars <- GLODAP %>% 
  select(year, lat, lon, cruise, sal, temp, oxygen,
         phosphate, nitrate, silicate, tco2, talk) %>% 
  pivot_longer(cols = sal:talk,
               names_to = "parameter",
               values_to = "value") %>% 
  mutate(presence = if_else(is.na(value), "missing", "available")) %>% 
  count(year, lat, lon, parameter, presence)

GLODAP_obs_grid_all_vars_wide <- GLODAP_obs_grid_all_vars %>% 
  pivot_wider(names_from = "presence",
              values_from = n,
              values_fill = 0) %>% 
  mutate(ratio_available = available/(available+missing))

all_plots <- GLODAP_obs_grid_all_vars_wide %>%
  # mutate(cruise = as.factor(cruise)) %>%
  group_split(year) %>%
  # tail(3) %>%
  map(
    ~ map +
      geom_tile(
        data = .x,
        aes(
          x = lon,
          y = lat,
          width = 1,
          height = 1,
          fill = ratio_available
        )
      ) +
      scale_fill_scico(palette = "berlin",
                       limits = c(0,1)) +
      labs(title = unique(.x$year)) +
      facet_wrap(~ parameter)
  )


pdf(file = paste0(path_preprocessing, "GLODAPv2.2021_preprocessed_coverage_maps.pdf"),
    width = 10, 
    height = 5)
all_plots
[[1]]

[[2]]

[[3]]

[[4]]

[[5]]

[[6]]

[[7]]

[[8]]

[[9]]

[[10]]

[[11]]

[[12]]

[[13]]

[[14]]

[[15]]

[[16]]

[[17]]

[[18]]

[[19]]

[[20]]

[[21]]

[[22]]

[[23]]

[[24]]

[[25]]

[[26]]

[[27]]

[[28]]

[[29]]

[[30]]

[[31]]

[[32]]

[[33]]

[[34]]

[[35]]

[[36]]

[[37]]

[[38]]

[[39]]

[[40]]

[[41]]

[[42]]

[[43]]

[[44]]

[[45]]
dev.off()
png 
  2 

5.6 Time series

GLODAP_time_series <- GLODAP %>% 
  select(year, basin_AIP, lat, depth, sal, temp,
         oxygen, aou, nitrate, silicate, phosphate,
         tco2, talk)

GLODAP_time_series <- GLODAP_time_series %>% 
  mutate(depth_grid = cut(depth, seq(0,1e4,1000)))

GLODAP_time_series <- GLODAP_time_series %>% 
  pivot_longer(sal:talk,
               names_to = "parameter",
               values_to = "value") %>% 
  filter(!is.na(value),
         !is.na(depth_grid))

GLODAP_time_series %>%
  group_split(basin_AIP, depth_grid) %>%
  # head(1) %>%
  map(
    ~ ggplot(data = .x,
             aes(year, value, col = lat)) +
      geom_jitter(alpha = 0.1) +
      scale_color_divergent() +
      facet_grid(parameter ~ depth_grid,
                 scales = "free_y") +
      labs(title = paste(
        "basin_AIP:",
        unique(.x$basin_AIP),
        "| depth_grid:",
        unique(.x$depth_grid)
      ))
  )
[[1]]

Version Author Date
fde6c32 jens-daniel-mueller 2021-10-27
7db7e6a jens-daniel-mueller 2021-10-27
68d67e7 jens-daniel-mueller 2021-10-27

[[2]]

Version Author Date
a96bf9e jens-daniel-mueller 2021-10-27
fde6c32 jens-daniel-mueller 2021-10-27
7db7e6a jens-daniel-mueller 2021-10-27

[[3]]

Version Author Date
a96bf9e jens-daniel-mueller 2021-10-27
fde6c32 jens-daniel-mueller 2021-10-27
7db7e6a jens-daniel-mueller 2021-10-27

[[4]]

Version Author Date
a96bf9e jens-daniel-mueller 2021-10-27
fde6c32 jens-daniel-mueller 2021-10-27
7db7e6a jens-daniel-mueller 2021-10-27

[[5]]

Version Author Date
a96bf9e jens-daniel-mueller 2021-10-27
fde6c32 jens-daniel-mueller 2021-10-27
7db7e6a jens-daniel-mueller 2021-10-27

[[6]]

Version Author Date
a96bf9e jens-daniel-mueller 2021-10-27
fde6c32 jens-daniel-mueller 2021-10-27
7db7e6a jens-daniel-mueller 2021-10-27

[[7]]

Version Author Date
a96bf9e jens-daniel-mueller 2021-10-27
fde6c32 jens-daniel-mueller 2021-10-27
7db7e6a jens-daniel-mueller 2021-10-27

[[8]]

Version Author Date
a96bf9e jens-daniel-mueller 2021-10-27
fde6c32 jens-daniel-mueller 2021-10-27
7db7e6a jens-daniel-mueller 2021-10-27

[[9]]

Version Author Date
a96bf9e jens-daniel-mueller 2021-10-27
fde6c32 jens-daniel-mueller 2021-10-27
7db7e6a jens-daniel-mueller 2021-10-27

[[10]]

Version Author Date
a96bf9e jens-daniel-mueller 2021-10-27
fde6c32 jens-daniel-mueller 2021-10-27
7db7e6a jens-daniel-mueller 2021-10-27

[[11]]

Version Author Date
a96bf9e jens-daniel-mueller 2021-10-27
fde6c32 jens-daniel-mueller 2021-10-27
7db7e6a jens-daniel-mueller 2021-10-27

[[12]]

Version Author Date
a96bf9e jens-daniel-mueller 2021-10-27
fde6c32 jens-daniel-mueller 2021-10-27
7db7e6a jens-daniel-mueller 2021-10-27

[[13]]

Version Author Date
a96bf9e jens-daniel-mueller 2021-10-27
fde6c32 jens-daniel-mueller 2021-10-27
7db7e6a jens-daniel-mueller 2021-10-27

[[14]]

Version Author Date
a96bf9e jens-daniel-mueller 2021-10-27
fde6c32 jens-daniel-mueller 2021-10-27
7db7e6a jens-daniel-mueller 2021-10-27

[[15]]

Version Author Date
a96bf9e jens-daniel-mueller 2021-10-27
fde6c32 jens-daniel-mueller 2021-10-27
7db7e6a jens-daniel-mueller 2021-10-27

[[16]]

Version Author Date
a96bf9e jens-daniel-mueller 2021-10-27
fde6c32 jens-daniel-mueller 2021-10-27
7db7e6a jens-daniel-mueller 2021-10-27

[[17]]

Version Author Date
a96bf9e jens-daniel-mueller 2021-10-27
fde6c32 jens-daniel-mueller 2021-10-27
7db7e6a jens-daniel-mueller 2021-10-27

[[18]]

Version Author Date
a96bf9e jens-daniel-mueller 2021-10-27
fde6c32 jens-daniel-mueller 2021-10-27
7db7e6a jens-daniel-mueller 2021-10-27

[[19]]

Version Author Date
a96bf9e jens-daniel-mueller 2021-10-27
fde6c32 jens-daniel-mueller 2021-10-27
7db7e6a jens-daniel-mueller 2021-10-27

[[20]]

Version Author Date
a96bf9e jens-daniel-mueller 2021-10-27
fde6c32 jens-daniel-mueller 2021-10-27
7db7e6a jens-daniel-mueller 2021-10-27

[[21]]

Version Author Date
a96bf9e jens-daniel-mueller 2021-10-27
fde6c32 jens-daniel-mueller 2021-10-27
7db7e6a jens-daniel-mueller 2021-10-27

[[22]]

Version Author Date
a96bf9e jens-daniel-mueller 2021-10-27
fde6c32 jens-daniel-mueller 2021-10-27
7db7e6a jens-daniel-mueller 2021-10-27

[[23]]

Version Author Date
a96bf9e jens-daniel-mueller 2021-10-27
fde6c32 jens-daniel-mueller 2021-10-27
7db7e6a jens-daniel-mueller 2021-10-27

6 CANYON-B

6.1 Comparison to GLODAP

source("/net/kryo/work/uptools/co2_calculation/CANYON-B/CANYONB.R")

GLODAP_Can_B <- GLODAP %>%
  mutate(lon = if_else(lon > 180, lon - 360, lon)) %>%
  arrange(year) %>% 
  select(row_number, year, date, lat, lon, depth, basin_AIP,
         temp, sal, oxygen,
         talk, tco2, nitrate, phosphate, silicate)

# filter rows with essential variables for Canyon-B
GLODAP_Can_B <- GLODAP_Can_B %>%
  filter(across(c(lat, lon, depth,
                  temp, sal, oxygen), ~ !is.na(.x)))

GLODAP_Can_B <- GLODAP_Can_B %>%
  mutate(as_tibble(
    CANYONB(
      date = paste0(as.character(date), " 12:00"),
      lat = lat,
      lon = lon,
      pres = depth,
      temp = temp,
      psal = sal,
      doxy = oxygen,
      param = c("AT", "CT", "NO3", "PO4", "SiOH4")
    )
  ))

GLODAP_Can_B <- GLODAP_Can_B %>%
  select(-ends_with(c("_cim", "_cin", "_cii")))


GLODAP_Can_B <- GLODAP_Can_B %>%
  rename(
    "talk_CANYONB" = "AT",
    "tco2_CANYONB" = "CT",
    "nitrate_CANYONB" = "NO3",
    "phosphate_CANYONB" = "PO4",
    "silicate_CANYONB" = "SiOH4"
  )


variables <- c("talk", "tco2", "nitrate", "phosphate", "silicate")

for (i_variable in variables) {
  # i_variable <- variables[1]
  
  # calculate equal axis limits and binwidth
  axis_lims <- GLODAP_Can_B %>%
    drop_na() %>% 
    summarise(max_value = max(c(max(
      !!sym(i_variable)
    ),
    max(!!sym(
      paste0(i_variable, "_CANYONB")
    )))),
    min_value = min(c(min(
      !!sym(i_variable)
    ),
    min(!!sym(
      paste0(i_variable, "_CANYONB")
    )))))
  
  binwidth_value <- (axis_lims$max_value - axis_lims$min_value) / 60
  axis_lims <- c(axis_lims$min_value, axis_lims$max_value)
  
  print(
    ggplot(GLODAP_Can_B, aes(
      x = !!sym(i_variable),
      y = !!sym(paste0(i_variable, "_CANYONB"))
    )) +
      geom_bin2d(binwidth = binwidth_value) +
      scale_fill_viridis_c(trans = "log10") +
      geom_abline(slope = 1, col = 'red') +
      coord_equal(xlim = axis_lims,
                  ylim = axis_lims) +
      facet_wrap( ~ basin_AIP) +
      labs(title = "All years")
  ) 
  
  
  # for (i_year in unique(GLODAP_Can_B$year)) {
  #   # i_year <- 2017
  #   
  #   print(
  #     ggplot(
  #       GLODAP_Can_B %>% filter(year == i_year),
  #       aes(x = !!sym(i_variable),
  #           y = !!sym(paste0(
  #             i_variable, "_CANYONB"
  #           )))
  #     ) +
  #       geom_bin2d(binwidth = binwidth_value) +
  #       scale_fill_viridis_c(trans = "log10") +
  #       geom_abline(slope = 1, col = 'red') +
  #       coord_equal(xlim = axis_lims,
  #                   ylim = axis_lims) +
  #       facet_wrap( ~ basin_AIP) +
  #       labs(title = paste("Year:", i_year))
  #   )
  # }
  
}

Version Author Date
c9363ce jens-daniel-mueller 2021-11-18
2a50fa9 jens-daniel-mueller 2021-10-28
68d67e7 jens-daniel-mueller 2021-10-27
2438c5a jens-daniel-mueller 2021-08-30
9d8353f jens-daniel-mueller 2021-05-31

Version Author Date
c9363ce jens-daniel-mueller 2021-11-18
2a50fa9 jens-daniel-mueller 2021-10-28
68d67e7 jens-daniel-mueller 2021-10-27
8d1aaf8 jens-daniel-mueller 2021-10-20
2438c5a jens-daniel-mueller 2021-08-30
9d8353f jens-daniel-mueller 2021-05-31

Version Author Date
c9363ce jens-daniel-mueller 2021-11-18
2a50fa9 jens-daniel-mueller 2021-10-28
68d67e7 jens-daniel-mueller 2021-10-27
8d1aaf8 jens-daniel-mueller 2021-10-20
2438c5a jens-daniel-mueller 2021-08-30
9d8353f jens-daniel-mueller 2021-05-31

Version Author Date
c9363ce jens-daniel-mueller 2021-11-18
2a50fa9 jens-daniel-mueller 2021-10-28
68d67e7 jens-daniel-mueller 2021-10-27
8d1aaf8 jens-daniel-mueller 2021-10-20
2438c5a jens-daniel-mueller 2021-08-30
9d8353f jens-daniel-mueller 2021-05-31

Version Author Date
c9363ce jens-daniel-mueller 2021-11-18
2a50fa9 jens-daniel-mueller 2021-10-28
68d67e7 jens-daniel-mueller 2021-10-27
8d1aaf8 jens-daniel-mueller 2021-10-20
2438c5a jens-daniel-mueller 2021-08-30
9d8353f jens-daniel-mueller 2021-05-31

6.2 Write Canyon-B file

GLODAP_Can_B %>% 
  select(row_number,
         talk_CANYONB, tco2_CANYONB,
         nitrate_CANYONB, phosphate_CANYONB, silicate_CANYONB) %>% 
  write_csv(paste(path_preprocessing,
                             "GLODAPv2.2021_Canyon-B.csv",
                             sep = ""))

sessionInfo()
R version 4.0.3 (2020-10-10)
Platform: x86_64-pc-linux-gnu (64-bit)
Running under: openSUSE Leap 15.2

Matrix products: default
BLAS:   /usr/local/R-4.0.3/lib64/R/lib/libRblas.so
LAPACK: /usr/local/R-4.0.3/lib64/R/lib/libRlapack.so

locale:
 [1] LC_CTYPE=en_US.UTF-8       LC_NUMERIC=C              
 [3] LC_TIME=en_US.UTF-8        LC_COLLATE=en_US.UTF-8    
 [5] LC_MONETARY=en_US.UTF-8    LC_MESSAGES=en_US.UTF-8   
 [7] LC_PAPER=en_US.UTF-8       LC_NAME=C                 
 [9] LC_ADDRESS=C               LC_TELEPHONE=C            
[11] LC_MEASUREMENT=en_US.UTF-8 LC_IDENTIFICATION=C       

attached base packages:
[1] stats     graphics  grDevices utils     datasets  methods   base     

other attached packages:
 [1] mgcv_1.8-33     nlme_3.1-149    lubridate_1.7.9 ggforce_0.3.3  
 [5] metR_0.9.0      scico_1.2.0     patchwork_1.1.1 collapse_1.5.0 
 [9] forcats_0.5.0   stringr_1.4.0   dplyr_1.0.5     purrr_0.3.4    
[13] readr_1.4.0     tidyr_1.1.3     tibble_3.1.3    ggplot2_3.3.5  
[17] tidyverse_1.3.0 workflowr_1.6.2

loaded via a namespace (and not attached):
 [1] fs_1.5.0                 httr_1.4.2               rprojroot_2.0.2         
 [4] tools_4.0.3              backports_1.1.10         bslib_0.2.5.1           
 [7] utf8_1.1.4               R6_2.5.0                 DBI_1.1.0               
[10] colorspace_2.0-2         withr_2.3.0              tidyselect_1.1.0        
[13] compiler_4.0.3           git2r_0.27.1             cli_3.0.1               
[16] rvest_0.3.6              xml2_1.3.2               labeling_0.4.2          
[19] sass_0.4.0               scales_1.1.1             checkmate_2.0.0         
[22] digest_0.6.27            rmarkdown_2.10           pkgconfig_2.0.3         
[25] htmltools_0.5.1.1        dbplyr_1.4.4             highr_0.8               
[28] rlang_0.4.11             readxl_1.3.1             rstudioapi_0.13         
[31] jquerylib_0.1.4          generics_0.1.0           farver_2.0.3            
[34] jsonlite_1.7.1           magrittr_1.5             Matrix_1.2-18           
[37] Rcpp_1.0.5               munsell_0.5.0            fansi_0.4.1             
[40] lifecycle_1.0.0          stringi_1.5.3            whisker_0.4             
[43] yaml_2.2.1               MASS_7.3-53              grid_4.0.3              
[46] blob_1.2.1               parallel_4.0.3           promises_1.1.1          
[49] crayon_1.3.4             lattice_0.20-41          splines_4.0.3           
[52] haven_2.3.1              hms_0.5.3                knitr_1.33              
[55] pillar_1.6.2             reprex_0.3.0             glue_1.4.2              
[58] evaluate_0.14            RcppArmadillo_0.10.1.2.0 data.table_1.14.0       
[61] modelr_0.1.8             vctrs_0.3.8              tweenr_1.0.2            
[64] httpuv_1.5.4             cellranger_1.1.0         gtable_0.3.0            
[67] polyclip_1.10-0          assertthat_0.2.1         xfun_0.25               
[70] broom_0.7.9              RcppEigen_0.3.3.7.0      later_1.2.0             
[73] viridisLite_0.3.0        ellipsis_0.3.2