Last updated: 2024-05-15

Checks: 7 0

Knit directory: heatwave_co2_flux_2023/analysis/

This reproducible R Markdown analysis was created with workflowr (version 1.7.0). The Checks tab describes the reproducibility checks that were applied when the results were created. The Past versions tab lists the development history.


Great! Since the R Markdown file has been committed to the Git repository, you know the exact version of the code that produced these results.

Great job! The global environment was empty. Objects defined in the global environment can affect the analysis in your R Markdown file in unknown ways. For reproduciblity it’s best to always run the code in an empty environment.

The command set.seed(20240307) was run prior to running the code in the R Markdown file. Setting a seed ensures that any results that rely on randomness, e.g. subsampling or permutations, are reproducible.

Great job! Recording the operating system, R version, and package versions is critical for reproducibility.

Nice! There were no cached chunks for this analysis, so you can be confident that you successfully produced the results during this run.

Great job! Using relative paths to the files within your workflowr project makes it easier to run your code on other machines.

Great! You are using Git for version control. Tracking code development and connecting the code version to the results is critical for reproducibility.

The results in this page were generated with repository version 981d5e1. See the Past versions tab to see a history of the changes made to the R Markdown and HTML files.

Note that you need to be careful to ensure that all relevant files for the analysis have been committed to Git prior to generating the results (you can use wflow_publish or wflow_git_commit). workflowr only checks the R Markdown file, but you know if there are other scripts or data files that it depends on. Below is the status of the Git repository when the results were generated:


Ignored files:
    Ignored:    .Rhistory
    Ignored:    .Rproj.user/
    Ignored:    data/

Unstaged changes:
    Modified:   analysis/child/pCO2_product_preprocessing.Rmd
    Modified:   analysis/child/pCO2_product_synopsis.Rmd
    Modified:   code/Workflowr_project_managment.R

Note that any generated files, e.g. HTML, png, CSS, etc., are not included in this status report because it is ok for generated content to have uncommitted changes.


These are the previous versions of the repository in which changes were made to the R Markdown (analysis/FESOM_REcoM.Rmd) and HTML (docs/FESOM_REcoM.html) files. If you’ve configured a remote Git repository (see ?wflow_git_remote), click on the hyperlinks in the table below to view the files as they were in that past version.

File Version Author Date Message
Rmd 981d5e1 jens-daniel-mueller 2024-05-15 kw K0 product included, mean flux densities computed
html 009791f jens-daniel-mueller 2024-05-14 Build site.
html 3b5d16b jens-daniel-mueller 2024-05-13 Build site.
Rmd 1e1dee5 jens-daniel-mueller 2024-05-13 pco2 to fco2 conversions, changed output files
html 13225ec jens-daniel-mueller 2024-05-08 Build site.
Rmd fb237ae jens-daniel-mueller 2024-05-08 2016 and 1998 included
html fb21e78 jens-daniel-mueller 2024-05-08 Build site.
Rmd 51196a6 jens-daniel-mueller 2024-05-08 units fixed
html c7897dc jens-daniel-mueller 2024-05-08 Build site.
Rmd d77b01c jens-daniel-mueller 2024-05-08 read new data
html 7f9c687 jens-daniel-mueller 2024-04-23 Build site.
html ce4e2a6 jens-daniel-mueller 2024-04-17 Build site.
Rmd 6b3a080 jens-daniel-mueller 2024-04-17 rebuild entire website with NRT_fco2residual

center <- -160
boundary <- center + 180
target_crs <- paste0("+proj=robin +over +lon_0=", center)
# target_crs <- paste0("+proj=eqearth +over +lon_0=", center)
# target_crs <- paste0("+proj=eqearth +lon_0=", center)
# target_crs <- paste0("+proj=igh_o +lon_0=", center)

worldmap <- ne_countries(scale = 'small',
                         type = 'map_units',
                         returnclass = 'sf')

worldmap <- worldmap %>% st_break_antimeridian(lon_0 = center)
worldmap_trans <- st_transform(worldmap, crs = target_crs)

# ggplot() +
#   geom_sf(data = worldmap_trans)

coastline <- ne_coastline(scale = 'small', returnclass = "sf")
coastline <- st_break_antimeridian(coastline, lon_0 = 200)
coastline_trans <- st_transform(coastline, crs = target_crs)

# ggplot() +
#   geom_sf(data = worldmap_trans, fill = "grey", col="grey") +
#   geom_sf(data = coastline_trans)


bbox <- st_bbox(c(xmin = -180, xmax = 180, ymax = 65, ymin = -78), crs = st_crs(4326))
bbox <- st_as_sfc(bbox)
bbox_trans <- st_break_antimeridian(bbox, lon_0 = center)

bbox_graticules <- st_graticule(
  x = bbox_trans,
  crs = st_crs(bbox_trans),
  datum = st_crs(bbox_trans),
  lon = c(20, 20.001),
  lat = c(-78,65),
  ndiscr = 1e3,
  margin = 0.001
)

bbox_graticules_trans <- st_transform(bbox_graticules, crs = target_crs)
rm(worldmap, coastline, bbox, bbox_trans)

# ggplot() +
#   geom_sf(data = worldmap_trans, fill = "grey", col="grey") +
#   geom_sf(data = coastline_trans) +
#   geom_sf(data = bbox_graticules_trans)

lat_lim <- ext(bbox_graticules_trans)[c(3,4)]*1.002
lon_lim <- ext(bbox_graticules_trans)[c(1,2)]*1.005

# ggplot() +
#   geom_sf(data = worldmap_trans, fill = "grey90", col = "grey90") +
#   geom_sf(data = coastline_trans) +
#   geom_sf(data = bbox_graticules_trans, linewidth = 1) +
#   coord_sf(crs = target_crs,
#            ylim = lat_lim,
#            xlim = lon_lim,
#            expand = FALSE) +
#   theme(
#     panel.border = element_blank(),
#     axis.text = element_blank(),
#     axis.ticks = element_blank()
#   )

latitude_graticules <- st_graticule(
  x = bbox_graticules,
  crs = st_crs(bbox_graticules),
  datum = st_crs(bbox_graticules),
  lon = c(20, 20.001),
  lat = c(-60,-30,0,30,60),
  ndiscr = 1e3,
  margin = 0.001
)

latitude_graticules_trans <- st_transform(latitude_graticules, crs = target_crs)

latitude_labels <- data.frame(lat_label = c("60°N","30°N","Eq.","30°S","60°S"),
                 lat = c(60,30,0,-30,-60)-4, lon = c(35)-c(0,2,4,2,0))

latitude_labels <- st_as_sf(x = latitude_labels,
               coords = c("lon", "lat"),
               crs = "+proj=longlat")

latitude_labels_trans <- st_transform(latitude_labels, crs = target_crs)

# ggplot() +
#   geom_sf(data = worldmap_trans, fill = "grey", col = "grey") +
#   geom_sf(data = coastline_trans) +
#   geom_sf(data = bbox_graticules_trans) +
#   geom_sf(data = latitude_graticules_trans,
#           col = "grey60",
#           linewidth = 0.2) +
#   geom_sf_text(data = latitude_labels_trans,
#                aes(label = lat_label),
#                size = 3,
#                col = "grey60")

Read data

path_FESOM <-
  "/net/kryo/work/loher/GlobalMarineHeatwaves/AWI_FESOM2/"
library(ncdf4)

nc <-
  nc_open(paste0(
    path_FESOM,
    "alpha_FESOM2_REcoM_A_1_gr_1980-2023_v20220716.nc"
  ))

print(nc)
FESOM_files <- list.files(path = path_FESOM)

FESOM_files <-
  FESOM_files[FESOM_files %>% str_detect(c(
    "alpha|chlos|fgco2|Kw|mld|fCO2atm|sfco2|sos|tos"
  ))]

for (i_FESOM_files in FESOM_files) {
  
  # i_FESOM_files <- FESOM_files[1]
  
  i_pco2_product <-
    read_ncdf(paste0(path_FESOM,
                     i_FESOM_files))
  
  if (exists("pco2_product")) {
    pco2_product <-
      c(pco2_product,
                i_pco2_product)
  }
  
  if (!exists("pco2_product")) {
    pco2_product <- i_pco2_product
  }
  
}

rm(FESOM_files, i_FESOM_files, i_pco2_product)

pco2_product <- pco2_product %>%
  as_tibble()


pco2_product <-
  pco2_product %>%
  rename(lat = Lat,
         lon = Lon,
         time = Time) %>% 
  mutate(time = ymd("1980-01-15") + months(time - 0.5)) %>% 
  mutate(area = earth_surf(lat, lon),
         year = year(time),
         month = month(time))

pco2_product <-
  pco2_product %>%
  rename(sol = alpha,
         chl = chlos,
         kw = Kw,
         atm_fco2 = fCO2atm,
         salinity = sos,
         temperature = tos) %>%
  mutate(
    lon = if_else(lon < 20, lon + 360, lon),
    chl = log10(chl * 1e6),
    kw = kw * 60 * 60 * 24 * 365,
    mld = log10(-mld),
    sol = sol * 1.025e3 * 1e-6,
    fgco2 = -fgco2 * 60 * 60 * 24 * 365,
    dfco2 = sfco2 - atm_fco2
  )

pco2_product <-
  pco2_product %>% 
  mutate(kw_sol = kw * sol)

pco2_product <-
  pco2_product %>%
  filter(year <= 2023)
pCO2_product_preprocessing <-
  knitr::knit_expand(file = here::here("analysis/child/pCO2_product_preprocessing.Rmd"))

Preprocessing

Load masks

biome_mask <-
  read_rds(here::here("data/biome_mask.rds"))

map <-
  read_rds(here::here("data/map.rds"))

key_biomes <-
  read_rds(here::here("data/key_biomes.rds"))

super_biomes <-
  read_rds(here::here("data/super_biomes.rds"))

super_biome_mask <-
  read_rds(here::here("data/super_biome_mask.rds"))

Define labels and breaks

labels_breaks <- function(i_name) {
  
  if (i_name == "dco2") {
    i_legend_title <- "ΔpCO<sub>2</sub><br>(µatm)"
    # i_breaks <- c(-Inf, seq(0, 80, 10), Inf)
    # i_contour_level <- 50
    # i_contour_level_abs <- 2200
  }
  
  if (i_name == "dfco2") {
    i_legend_title <- "ΔfCO<sub>2</sub><br>(µatm)"
    # i_breaks <- c(-Inf, seq(0, 80, 10), Inf)
    # i_contour_level <- 50
    # i_contour_level_abs <- 2200
  }
  
  if (i_name == "atm_co2") {
    i_legend_title <- "pCO<sub>2,atm</sub><br>(µatm)"
    # i_breaks <- c(-Inf, seq(0, 80, 10), Inf)
    # i_contour_level <- 50
    # i_contour_level_abs <- 2200
  }
  
  if (i_name == "atm_fco2") {
    i_legend_title <- "fCO<sub>2,atm</sub><br>(µatm)"
    # i_breaks <- c(-Inf, seq(0, 80, 10), Inf)
    # i_contour_level <- 50
    # i_contour_level_abs <- 2200
  }
  
  if (i_name == "sol") {
    i_legend_title <- "K<sub>0</sub><br>(mol m<sup>-3</sup> µatm<sup>-1</sup>)"
    # i_breaks <- c(-Inf, seq(0, 80, 10), Inf)
    # i_contour_level <- 50
    # i_contour_level_abs <- 2200
  }
  
  if (i_name == "kw") {
    i_legend_title <- "k<sub>w</sub><br>(m yr<sup>-1</sup>)"
    # i_breaks <- c(-Inf, seq(0, 80, 10), Inf)
    # i_contour_level <- 50
    # i_contour_level_abs <- 2200
  }
  
  if (i_name == "kw_sol") {
    i_legend_title <- "k<sub>w</sub> K<sub>0</sub><br>(mol yr<sup>-1</sup> m<sup>-2</sup> µatm<sup>-1</sup>)"
    # i_breaks <- c(-Inf, seq(0, 80, 10), Inf)
    # i_contour_level <- 50
    # i_contour_level_abs <- 2200
  }
  
  if (i_name == "spco2") {
    i_legend_title <- "pCO<sub>2,ocean</sub><br>(µatm)"
    # i_breaks <- c(-Inf, seq(0, 80, 10), Inf)
    # i_contour_level <- 50
    # i_contour_level_abs <- 2200
  }
  
  if (i_name == "sfco2") {
    i_legend_title <- "fCO<sub>2,ocean</sub><br>(µatm)"
    # i_breaks <- c(-Inf, seq(0, 80, 10), Inf)
    # i_contour_level <- 50
    # i_contour_level_abs <- 2200
  }
  
  if (i_name == "fgco2") {
    i_legend_title <- "FCO<sub>2</sub><br>(mol m<sup>-2</sup> yr<sup>-1</sup>)"
    # i_breaks <- c(-Inf, seq(0, 80, 10), Inf)
    # i_contour_level <- 50
    # i_contour_level_abs <- 2200
  }
  
  if (i_name == "fgco2_hov") {
    i_legend_title <- "FCO<sub>2</sub><br>(PgC deg<sup>-1</sup> yr<sup>-1</sup>)"
    # i_breaks <- c(-Inf, seq(0, 80, 10), Inf)
    # i_contour_level <- 50
    # i_contour_level_abs <- 2200
  }
  
  if (i_name == "fgco2_int") {
    i_legend_title <- "FCO<sub>2</sub><br>(PgC yr<sup>-1</sup>)"
    # i_breaks <- c(-Inf, seq(0, 80, 10), Inf)
    # i_contour_level <- 50
    # i_contour_level_abs <- 2200
  }
  
  if (i_name == "temperature") {
    i_legend_title <- "SST<br>(°C)"
    # i_breaks <- c(-Inf, seq(0, 80, 10), Inf)
    # i_contour_level <- 50
    # i_contour_level_abs <- 2200
  }
  
  if (i_name == "salinity") {
    i_legend_title <- "SSS"
    # i_breaks <- c(-Inf, seq(0, 80, 10), Inf)
    # i_contour_level <- 50
    # i_contour_level_abs <- 2200
  }
  
  if (i_name == "chl") {
    i_legend_title <- "lg(Chl-a)<br>(lg(mg m<sup>-3</sup>))"
    # i_breaks <- c(-Inf, seq(0, 80, 10), Inf)
    # i_contour_level <- 50
    # i_contour_level_abs <- 2200
  }
  
  if (i_name == "mld") {
    i_legend_title <- "lg(MLD)<br>(lg(m))"
    # i_breaks <- c(-Inf, seq(0, 80, 10), Inf)
    # i_contour_level <- 50
    # i_contour_level_abs <- 2200
  }
  
  if (i_name == "press") {
    i_legend_title <- "pressure<sub>atm</sub><br>(Pa)"
    # i_breaks <- c(-Inf, seq(0, 80, 10), Inf)
    # i_contour_level <- 50
    # i_contour_level_abs <- 2200
  }
  
  if (i_name == "wind") {
    i_legend_title <- "Wind <br>(m sec<sup>-1</sup>)"
    # i_breaks <- c(-Inf, seq(0, 80, 10), Inf)
    # i_contour_level <- 50
    # i_contour_level_abs <- 2200
  }
  
  if (i_name == "SSH") {
    i_legend_title <- "SSH <br>(m)"
    # i_breaks <- c(-Inf, seq(0, 80, 10), Inf)
    # i_contour_level <- 50
    # i_contour_level_abs <- 2200
  }
  
  if (i_name == "fice") {
    i_legend_title <- "Sea ice <br>(%)"
    # i_breaks <- c(-Inf, seq(0, 80, 10), Inf)
    # i_contour_level <- 50
    # i_contour_level_abs <- 2200
  }
  
  all_labels_breaks <- lst(i_legend_title,
                           # i_breaks,
                           # i_contour_level,
                           # i_contour_level_abs
                           )
  
  return(all_labels_breaks)
  
}


# labels_breaks("fgco2")

x_axis_labels <-
  c(
    "dco2" = labels_breaks("dco2")$i_legend_title,
    "dfco2" = labels_breaks("dfco2")$i_legend_title,
    "atm_co2" = labels_breaks("atm_co2")$i_legend_title,
    "atm_fco2" = labels_breaks("atm_fco2")$i_legend_title,
    "sol" = labels_breaks("sol")$i_legend_title,
    "kw" = labels_breaks("kw")$i_legend_title,
    "kw_sol" = labels_breaks("kw_sol")$i_legend_title,
    "spco2" = labels_breaks("spco2")$i_legend_title,
    "sfco2" = labels_breaks("sfco2")$i_legend_title,
    "fgco2_hov" = labels_breaks("fgco2_hov")$i_legend_title,
    "fgco2_int" = labels_breaks("fgco2_int")$i_legend_title,
    "temperature" = labels_breaks("temperature")$i_legend_title,
    "salinity" = labels_breaks("salinity")$i_legend_title,
    "chl" = labels_breaks("chl")$i_legend_title,
    "mld" = labels_breaks("mld")$i_legend_title,
    "press" = labels_breaks("press")$i_legend_title,
    "wind" = labels_breaks("wind")$i_legend_title,
    "SSH" = labels_breaks("SSH")$i_legend_title,
    "fice" = labels_breaks("fice")$i_legend_title
  )

Analysis settings

name_quadratic_fit <- c("atm_co2", "atm_fco2", "spco2", "sfco2")

start_year <- 1990

name_divergent <- c("dco2", "dfco2", "fgco2", "fgco2_hov", "fgco2_int")

Data preprocessing

pco2_product <-
  pco2_product %>%
  filter(year >= start_year)
pco2_product <-
  full_join(pco2_product,
            biome_mask)

# set all values outside biome mask to NA

pco2_product <-
  pco2_product %>%
  mutate(across(-c(lat, lon, time, area, year, month, biome), 
                ~ if_else(is.na(biome), NA, .)))

Compuations

# apply coarse grid

pco2_product_coarse <-
  m_grid_horizontal_coarse(pco2_product)

pco2_product_coarse <-
  pco2_product_coarse %>%
  select(-c(lon, lat, time, biome)) %>%
  group_by(year, month, lon_grid, lat_grid) %>%
  summarise(across(-area,
                   ~ weighted.mean(., area))) %>%
  ungroup() %>%
  rename(lon = lon_grid, lat = lat_grid)

pco2_product_coarse <-
  pco2_product_coarse %>%
  pivot_longer(-c(year, month, lon, lat)) %>% 
  drop_na() %>%
  pivot_wider()

# compute annual means

pco2_product_coarse_annual <-
  pco2_product_coarse %>%
  select(-month) %>% 
  group_by(year, lon, lat) %>%
  summarise(across(where(is.numeric),
                   ~ mean(.))) %>%
  ungroup()

pco2_product_coarse_annual <-
  pco2_product_coarse_annual %>% 
  pivot_longer(-c(year, lon, lat))

## compute monthly means

pco2_product_coarse_monthly <-
  pco2_product_coarse %>%
  group_by(year, month, lon, lat) %>%
  summarise(across(where(is.numeric),
                   ~ mean(.))) %>%
  ungroup()

pco2_product_coarse_monthly <-
  pco2_product_coarse_monthly %>% 
  pivot_longer(-c(year, month, lon, lat))
pco2_product_monthly_global <-
  pco2_product %>%
  filter(!is.na(fgco2)) %>% 
  mutate(fgco2_int = fgco2) %>% 
  select(-c(lon, lat, year, month, biome)) %>% 
  group_by(time) %>%
  summarise(across(-c(fgco2_int, area),
                   ~ weighted.mean(., area, na.rm = TRUE)),
            across(fgco2_int,
                   ~ sum(. * area, na.rm = TRUE) * 12.01 * 1e-15)) %>%
  ungroup()

pco2_product_monthly_biome <-
  pco2_product %>%
  filter(!is.na(fgco2)) %>% 
  mutate(fgco2_int = fgco2) %>% 
  select(-c(lon, lat, year, month)) %>% 
  group_by(time, biome) %>%
  summarise(across(-c(fgco2_int, area),
                   ~ weighted.mean(., area, na.rm = TRUE)),
            across(fgco2_int,
                   ~ sum(. * area, na.rm = TRUE) * 12.01 * 1e-15)) %>%
  ungroup()


pco2_product_monthly_biome_super <-
  pco2_product %>%
  filter(!is.na(fgco2)) %>% 
  mutate(fgco2_int = fgco2) %>% 
  mutate(
    biome = case_when(
      str_detect(biome, "NA-") ~ "North Atlantic",
      str_detect(biome, "NP-") ~ "North Pacific",
      str_detect(biome, "SO-") ~ "Southern Ocean",
      TRUE ~ "other"
    )
  ) %>%
  filter(biome != "other") %>%
  select(-c(lon, lat, year, month)) %>%
  group_by(time, biome) %>%
  summarise(across(-c(fgco2_int, area),
                   ~ weighted.mean(., area, na.rm = TRUE)),
            across(fgco2_int,
                   ~ sum(. * area, na.rm = TRUE) * 12.01 * 1e-15)) %>%
  ungroup()

pco2_product_monthly <-
  bind_rows(pco2_product_monthly_global %>%
              mutate(biome = "Global"),
            pco2_product_monthly_biome,
            pco2_product_monthly_biome_super)

rm(
  pco2_product_monthly_global,
  pco2_product_monthly_biome,
  pco2_product_monthly_biome_super
)


pco2_product_monthly <-
  pco2_product_monthly %>% 
  filter(!is.na(biome))

pco2_product_monthly <-
  pco2_product_monthly %>%
  mutate(year = year(time),
         month = month(time),
         .after = time)

pco2_product_monthly <-
  pco2_product_monthly %>%
  pivot_longer(-c(time, year, month, biome))

Absolute values

Hovmoeller plots

The following Hovmoeller plots show the value of each variable as provided through the pCO2 product. Hovmoeller plots are first presented as annual means, and than as monthly means.

Annual means

pco2_product_hovmoeller_monthly_annual <-
  pco2_product %>%
  mutate(fgco2_int = fgco2) %>% 
  select(-c(lon, time, month, biome)) %>%
  group_by(year, lat) %>%
  summarise(across(-c(fgco2_int, area),
                   ~ weighted.mean(., area, na.rm = TRUE)),
            across(fgco2_int,
                   ~ sum(. * area, na.rm = TRUE) * 12.01 * 1e-15)) %>%
  ungroup() %>%
  rename(fgco2_hov = fgco2_int) %>% 
  filter(fgco2_hov != 0)

pco2_product_hovmoeller_monthly_annual <-
  pco2_product_hovmoeller_monthly_annual %>%
  pivot_longer(-c(year, lat)) %>% 
  drop_na()

pco2_product_hovmoeller_monthly_annual %>%
  filter(!(name %in% name_divergent)) %>% 
  group_split(name) %>%
  # tail(5) %>%
  map(
    ~ ggplot(data = .x,
             aes(year, lat, fill = value)) +
      geom_raster() +
      scale_fill_viridis_c(name = labels_breaks(.x %>% distinct(name))) +
      theme(legend.title = element_markdown()) +
      coord_cartesian(expand = 0) +
      labs(title = "Annual means",
           y = "Latitude") +
      theme(axis.title.x = element_blank())
  )
[[1]]

Version Author Date
009791f jens-daniel-mueller 2024-05-14
3b5d16b jens-daniel-mueller 2024-05-13
c7897dc jens-daniel-mueller 2024-05-08

[[2]]

Version Author Date
009791f jens-daniel-mueller 2024-05-14
fb21e78 jens-daniel-mueller 2024-05-08
c7897dc jens-daniel-mueller 2024-05-08

[[3]]

Version Author Date
009791f jens-daniel-mueller 2024-05-14
fb21e78 jens-daniel-mueller 2024-05-08
c7897dc jens-daniel-mueller 2024-05-08

[[4]]

Version Author Date
009791f jens-daniel-mueller 2024-05-14
fb21e78 jens-daniel-mueller 2024-05-08
c7897dc jens-daniel-mueller 2024-05-08

[[5]]

Version Author Date
009791f jens-daniel-mueller 2024-05-14
c7897dc jens-daniel-mueller 2024-05-08

[[6]]

Version Author Date
009791f jens-daniel-mueller 2024-05-14
c7897dc jens-daniel-mueller 2024-05-08

[[7]]

Version Author Date
009791f jens-daniel-mueller 2024-05-14
fb21e78 jens-daniel-mueller 2024-05-08
c7897dc jens-daniel-mueller 2024-05-08

[[8]]

Version Author Date
009791f jens-daniel-mueller 2024-05-14
3b5d16b jens-daniel-mueller 2024-05-13
c7897dc jens-daniel-mueller 2024-05-08

[[9]]

Version Author Date
009791f jens-daniel-mueller 2024-05-14
3b5d16b jens-daniel-mueller 2024-05-13
c7897dc jens-daniel-mueller 2024-05-08
pco2_product_hovmoeller_monthly_annual %>%
  filter(name %in% name_divergent) %>% 
  group_split(name) %>%
  # head(1) %>%
  map(
    ~ ggplot(data = .x,
             aes(year, lat, fill = value)) +
      geom_raster() +
      scale_fill_divergent(name = labels_breaks(.x %>% distinct(name))) +
      theme(legend.title = element_markdown()) +
      coord_cartesian(expand = 0) +
      labs(title = "Annual means",
           y = "Latitude") +
      theme(axis.title.x = element_blank())
  )
[[1]]

Version Author Date
009791f jens-daniel-mueller 2024-05-14
3b5d16b jens-daniel-mueller 2024-05-13
c7897dc jens-daniel-mueller 2024-05-08

[[2]]

Version Author Date
3b5d16b jens-daniel-mueller 2024-05-13
fb21e78 jens-daniel-mueller 2024-05-08
c7897dc jens-daniel-mueller 2024-05-08

[[3]]

Monthly means

pco2_product_hovmoeller_monthly <-
  pco2_product %>%
  mutate(fgco2_int = fgco2) %>% 
  select(-c(lon, time, biome)) %>%
  group_by(year, month, lat) %>%
  summarise(across(-c(fgco2_int, area),
                   ~ weighted.mean(., area, na.rm = TRUE)),
            across(fgco2_int,
                   ~ sum(. * area, na.rm = TRUE) * 12.01 * 1e-15)) %>%
  ungroup() %>%
  rename(fgco2_hov = fgco2_int) %>% 
  filter(fgco2_hov != 0)


pco2_product_hovmoeller_monthly <-
  pco2_product_hovmoeller_monthly %>%
  pivot_longer(-c(year, month, lat)) %>% 
  drop_na()

pco2_product_hovmoeller_monthly <-
  pco2_product_hovmoeller_monthly %>% 
  mutate(decimal = year + (month-1) / 12)

pco2_product_hovmoeller_monthly %>%
  filter(!(name %in% name_divergent)) %>%
  group_split(name) %>%
  # head(1) %>%
  map(
    ~ ggplot(data = .x,
             aes(decimal, lat, fill = value)) +
      geom_raster() +
      scale_fill_viridis_c(name = labels_breaks(.x %>% distinct(name))) +
      theme(legend.title = element_markdown()) +
      labs(title = "Monthly means",
           y = "Latitude") +
      coord_cartesian(expand = 0) +
      theme(axis.title.x = element_blank())
  )
[[1]]

Version Author Date
009791f jens-daniel-mueller 2024-05-14
3b5d16b jens-daniel-mueller 2024-05-13
c7897dc jens-daniel-mueller 2024-05-08

[[2]]

Version Author Date
009791f jens-daniel-mueller 2024-05-14
fb21e78 jens-daniel-mueller 2024-05-08
c7897dc jens-daniel-mueller 2024-05-08

[[3]]

Version Author Date
009791f jens-daniel-mueller 2024-05-14
fb21e78 jens-daniel-mueller 2024-05-08
c7897dc jens-daniel-mueller 2024-05-08

[[4]]

Version Author Date
009791f jens-daniel-mueller 2024-05-14
fb21e78 jens-daniel-mueller 2024-05-08
c7897dc jens-daniel-mueller 2024-05-08

[[5]]

Version Author Date
009791f jens-daniel-mueller 2024-05-14
c7897dc jens-daniel-mueller 2024-05-08

[[6]]

Version Author Date
009791f jens-daniel-mueller 2024-05-14
c7897dc jens-daniel-mueller 2024-05-08

[[7]]

Version Author Date
009791f jens-daniel-mueller 2024-05-14
fb21e78 jens-daniel-mueller 2024-05-08
c7897dc jens-daniel-mueller 2024-05-08

[[8]]

Version Author Date
009791f jens-daniel-mueller 2024-05-14
3b5d16b jens-daniel-mueller 2024-05-13
c7897dc jens-daniel-mueller 2024-05-08

[[9]]

Version Author Date
009791f jens-daniel-mueller 2024-05-14
3b5d16b jens-daniel-mueller 2024-05-13
c7897dc jens-daniel-mueller 2024-05-08
pco2_product_hovmoeller_monthly %>%
  filter(name %in% name_divergent) %>%
  group_split(name) %>%
  # head(1) %>%
  map(
    ~ ggplot(data = .x,
             aes(decimal, lat, fill = value)) +
      geom_raster() +
      scale_fill_divergent(name = labels_breaks(.x %>% distinct(name))) +
      theme(legend.title = element_markdown()) +
      labs(title = "Monthly means",
           y = "Latitude") +
      coord_cartesian(expand = 0) +
      theme(axis.title.x = element_blank())
  )
[[1]]

Version Author Date
009791f jens-daniel-mueller 2024-05-14
3b5d16b jens-daniel-mueller 2024-05-13
c7897dc jens-daniel-mueller 2024-05-08

[[2]]

Version Author Date
3b5d16b jens-daniel-mueller 2024-05-13
fb21e78 jens-daniel-mueller 2024-05-08
c7897dc jens-daniel-mueller 2024-05-08

[[3]]

pCO2productanalysis_2023 <-
  knitr::knit_expand(
    file = here::here("analysis/child/pCO2_product_analysis.Rmd"),
    product_name = "FESOM-REcoM",
    year_anom = 2023
  )

2023 anomalies

Detection

For the detection of anomalies at any point in time and space, we fit regression models and compare the fitted to the actual value.

We use linear regression models for all parameters, except for , which are approximated with quadratic fits.

The regression models are fitted to all data since , except 2023.

anomaly_determination <- function(df,...) {
  
  group_by <- quos(...)
  # group_by <- quos(lon, lat)
  # df <- pco2_product_coarse_annual
  
  # Linear regression models
  
  df_lm <-
    df %>%
    filter(year != 2023,
           !(name %in% name_quadratic_fit)) %>%
    nest(data = -c(name, !!!group_by)) %>%
    mutate(
      fit = map(data, ~ lm(value ~ year, data = .x)),
      tidied = map(fit, tidy),
      augmented = map(fit, augment)
    )
  
  
  df_lm_year_anom <-
    full_join(
      df_lm %>%
        unnest(tidied) %>%
        select(name, !!!group_by, term, estimate) %>%
        pivot_wider(names_from = term,
                    values_from = estimate) %>%
        mutate(fit = `(Intercept)` + year * 2023) %>%
        select(name, !!!group_by, fit) %>%
        mutate(year = 2023),
      df %>%
        filter(year == 2023,
               !(name %in% name_quadratic_fit))
    ) %>%
    mutate(resid = value - fit)
  
  
  df_lm <-
    bind_rows(
      df_lm %>%
        unnest(augmented) %>%
        select(name, !!!group_by, year, value, fit = .fitted, resid = .resid),
      df_lm_year_anom
    )
  
  rm(df_lm_year_anom)
  
  # Quadratic regression models
  
  df_quadratic <-
    df %>%
    filter(year != 2023,
           name %in% name_quadratic_fit) %>%
    nest(data = -c(name, !!!group_by)) %>%
    mutate(
      fit = map(data, ~ lm(value ~ year + I(year ^ 2), data = .x)),
      tidied = map(fit, tidy),
      augmented = map(fit, augment)
    )
  
  
  df_quadratic_year_anom <-
    full_join(
      df_quadratic %>%
        unnest(tidied) %>%
        select(name, !!!group_by, term, estimate) %>%
        pivot_wider(names_from = term,
                    values_from = estimate) %>%
        mutate(fit = `(Intercept)` + year * 2023 + `I(year^2)` * 2023 ^ 2) %>%
        select(name, !!!group_by, fit) %>%
        mutate(year = 2023),
      df %>%
        filter(year == 2023,
               name %in% name_quadratic_fit)
    ) %>%
    mutate(resid = value - fit)
  
  
  df_quadratic <-
    bind_rows(
      df_quadratic %>%
        unnest(augmented) %>%
        select(name, !!!group_by, year, value, fit = .fitted, resid = .resid),
      df_quadratic_year_anom
    )
  
  rm(df_quadratic_year_anom)
  
  # Join linear and quadratic regression results
  
  df_regression <-
    bind_rows(df_lm,
              df_quadratic)
  
  df_regression <-
    df_regression %>% 
    arrange(year)
  
  rm(df_lm,
     df_quadratic)
  
  
  return(df_regression)
  
}
anomaly_determination <- function(df,...) {
  
  group_by <- quos(...)
  # group_by <- quos(biome)
  # group_by <- quos(lon, lat)
  # df <- pco2_product_coarse_annual
  
  # Climatoligcal mean
  
  df_mean <-
    df %>%
    filter(year < 2023,
           year >= 2023-5) %>%
    group_by(name, !!!group_by) %>%
    summarize(
      fit = mean(value, na.rm = TRUE)
    ) %>% 
    ungroup()
  
  
  df_mean <-
    full_join(
      df_mean,
      df
    ) %>%
    mutate(resid = value - fit)
  
  return(df_mean)
  
}

Maps

The following maps show the absolute state of each variable in 2023 as provided through the pCO2 product, the change in that variable from 1990 to 2023, as well es the anomalies in 2023. Changes and anomalies are determined based on the predicted value of a linear regression model fit to the data from 1990 to 2022.

Maps are first presented as annual means, and than as monthly means. Note that the 2023 predictions for the monthly maps are done individually for each month, such the mean seasonal anomaly from the annual mean is removed.

Note: The increase the computational speed, I regridded all maps to 5X5° grid.

Annual means

2023 absolute

pco2_product_coarse_annual_regression <-
  pco2_product_coarse_annual %>%
  drop_na() %>% 
  anomaly_determination(lon, lat)

pco2_product_coarse_annual_regression <-
  pco2_product_coarse_annual_regression %>%
  drop_na()

pco2_product_coarse_annual_regression %>%
  filter(year == 2023,
         !(name %in% name_divergent)) %>%
  group_split(name) %>%
  # head(1) %>%
  map(
    ~ map +
      geom_tile(data = .x,
                aes(lon, lat, fill = value)) +
      labs(title = paste("Annual mean", 2023)) +
      scale_fill_viridis_c(name = labels_breaks(.x %>% distinct(name))) +
      theme(legend.title = element_markdown())
  )
[[1]]

Version Author Date
009791f jens-daniel-mueller 2024-05-14
3b5d16b jens-daniel-mueller 2024-05-13
c7897dc jens-daniel-mueller 2024-05-08

[[2]]

Version Author Date
009791f jens-daniel-mueller 2024-05-14
fb21e78 jens-daniel-mueller 2024-05-08
c7897dc jens-daniel-mueller 2024-05-08

[[3]]

Version Author Date
009791f jens-daniel-mueller 2024-05-14
fb21e78 jens-daniel-mueller 2024-05-08
c7897dc jens-daniel-mueller 2024-05-08

[[4]]

Version Author Date
009791f jens-daniel-mueller 2024-05-14
fb21e78 jens-daniel-mueller 2024-05-08
c7897dc jens-daniel-mueller 2024-05-08

[[5]]

Version Author Date
009791f jens-daniel-mueller 2024-05-14
c7897dc jens-daniel-mueller 2024-05-08

[[6]]

Version Author Date
009791f jens-daniel-mueller 2024-05-14
c7897dc jens-daniel-mueller 2024-05-08

[[7]]

Version Author Date
009791f jens-daniel-mueller 2024-05-14
fb21e78 jens-daniel-mueller 2024-05-08
c7897dc jens-daniel-mueller 2024-05-08

[[8]]

Version Author Date
009791f jens-daniel-mueller 2024-05-14
3b5d16b jens-daniel-mueller 2024-05-13
c7897dc jens-daniel-mueller 2024-05-08

[[9]]

Version Author Date
009791f jens-daniel-mueller 2024-05-14
3b5d16b jens-daniel-mueller 2024-05-13
c7897dc jens-daniel-mueller 2024-05-08
pco2_product_coarse_annual_regression %>%
  filter(year == 2023,
         name %in% name_divergent) %>%
  group_split(name) %>% 
  # head(1) %>%
  map( ~ map +
         geom_tile(data = .x,
                   aes(lon, lat, fill = value)) +
         labs(title = paste("Annual mean", 2023)) +
         scale_fill_divergent(
           name = labels_breaks(.x %>% distinct(name))) +
         theme(legend.title = element_markdown())
  )
[[1]]

Version Author Date
009791f jens-daniel-mueller 2024-05-14
3b5d16b jens-daniel-mueller 2024-05-13
c7897dc jens-daniel-mueller 2024-05-08

[[2]]

Version Author Date
3b5d16b jens-daniel-mueller 2024-05-13
fb21e78 jens-daniel-mueller 2024-05-08
c7897dc jens-daniel-mueller 2024-05-08

2023 anomaly

pco2_product_coarse_annual_regression %>%
  filter(year == 2023) %>%
  group_split(name) %>% 
  # head(1) %>%
  map( ~ map +
         geom_tile(data = .x,
                   aes(lon, lat, fill = resid)) +
         labs(title =  paste(2023,"anomaly")) +
         scale_fill_divergent(
           name = labels_breaks(.x %>% distinct(name))) +
         theme(legend.title = element_markdown())
  )
[[1]]

Version Author Date
009791f jens-daniel-mueller 2024-05-14
3b5d16b jens-daniel-mueller 2024-05-13
c7897dc jens-daniel-mueller 2024-05-08

[[2]]

Version Author Date
009791f jens-daniel-mueller 2024-05-14
fb21e78 jens-daniel-mueller 2024-05-08
c7897dc jens-daniel-mueller 2024-05-08

[[3]]

Version Author Date
009791f jens-daniel-mueller 2024-05-14
3b5d16b jens-daniel-mueller 2024-05-13
c7897dc jens-daniel-mueller 2024-05-08

[[4]]

Version Author Date
009791f jens-daniel-mueller 2024-05-14
fb21e78 jens-daniel-mueller 2024-05-08
c7897dc jens-daniel-mueller 2024-05-08

[[5]]

Version Author Date
009791f jens-daniel-mueller 2024-05-14
fb21e78 jens-daniel-mueller 2024-05-08
c7897dc jens-daniel-mueller 2024-05-08

[[6]]

Version Author Date
009791f jens-daniel-mueller 2024-05-14
fb21e78 jens-daniel-mueller 2024-05-08
c7897dc jens-daniel-mueller 2024-05-08

[[7]]

Version Author Date
009791f jens-daniel-mueller 2024-05-14
c7897dc jens-daniel-mueller 2024-05-08

[[8]]

Version Author Date
009791f jens-daniel-mueller 2024-05-14
c7897dc jens-daniel-mueller 2024-05-08

[[9]]

Version Author Date
009791f jens-daniel-mueller 2024-05-14
fb21e78 jens-daniel-mueller 2024-05-08
c7897dc jens-daniel-mueller 2024-05-08

[[10]]

Version Author Date
009791f jens-daniel-mueller 2024-05-14
3b5d16b jens-daniel-mueller 2024-05-13
c7897dc jens-daniel-mueller 2024-05-08

[[11]]

Version Author Date
3b5d16b jens-daniel-mueller 2024-05-13
c7897dc jens-daniel-mueller 2024-05-08
pco2_product_coarse_annual_regression %>%
  write_csv(paste0("../data/","FESOM-REcoM","_","2023","_anomaly_map_annual.csv"))

Monthly means

2023 absolute

pco2_product_coarse_monthly_regression <-
  pco2_product_coarse_monthly %>%
  drop_na() %>% 
  anomaly_determination(lon, lat, month)

pco2_product_coarse_monthly_regression <-
  pco2_product_coarse_monthly_regression %>% 
  drop_na()


pco2_product_coarse_monthly_regression %>%
  filter(year == 2023,
         !(name %in% name_divergent)) %>%
  group_split(name) %>%
  # head(1) %>%
  map(
    ~ map +
      geom_tile(data = .x,
                aes(lon, lat, fill = value)) +
      labs(title = paste("Monthly means", 2023)) +
      scale_fill_viridis_c(name = labels_breaks(.x %>% distinct(name))) +
      theme(legend.title = element_markdown()) +
      facet_wrap( ~ month, ncol = 2)
  )
[[1]]

Version Author Date
009791f jens-daniel-mueller 2024-05-14
3b5d16b jens-daniel-mueller 2024-05-13
c7897dc jens-daniel-mueller 2024-05-08

[[2]]

Version Author Date
009791f jens-daniel-mueller 2024-05-14
fb21e78 jens-daniel-mueller 2024-05-08
c7897dc jens-daniel-mueller 2024-05-08

[[3]]

Version Author Date
009791f jens-daniel-mueller 2024-05-14
fb21e78 jens-daniel-mueller 2024-05-08
c7897dc jens-daniel-mueller 2024-05-08

[[4]]

Version Author Date
009791f jens-daniel-mueller 2024-05-14
fb21e78 jens-daniel-mueller 2024-05-08
c7897dc jens-daniel-mueller 2024-05-08

[[5]]

Version Author Date
009791f jens-daniel-mueller 2024-05-14
c7897dc jens-daniel-mueller 2024-05-08

[[6]]

Version Author Date
009791f jens-daniel-mueller 2024-05-14
c7897dc jens-daniel-mueller 2024-05-08

[[7]]

Version Author Date
009791f jens-daniel-mueller 2024-05-14
fb21e78 jens-daniel-mueller 2024-05-08
c7897dc jens-daniel-mueller 2024-05-08

[[8]]

Version Author Date
009791f jens-daniel-mueller 2024-05-14
3b5d16b jens-daniel-mueller 2024-05-13
c7897dc jens-daniel-mueller 2024-05-08

[[9]]

Version Author Date
009791f jens-daniel-mueller 2024-05-14
3b5d16b jens-daniel-mueller 2024-05-13
c7897dc jens-daniel-mueller 2024-05-08
pco2_product_coarse_monthly_regression %>%
  filter(year == 2023,
         name %in% name_divergent) %>%
  group_split(name) %>%
  # head(1) %>%
  map(
    ~ map +
      geom_tile(data = .x,
                aes(lon, lat, fill = value)) +
      labs(title = paste("Monthly means", 2023)) +
      scale_fill_divergent(name = labels_breaks(.x %>% distinct(name))) +
      theme(legend.title = element_markdown()) +
      facet_wrap( ~ month, ncol = 2)
  )
[[1]]

Version Author Date
009791f jens-daniel-mueller 2024-05-14
3b5d16b jens-daniel-mueller 2024-05-13
c7897dc jens-daniel-mueller 2024-05-08

[[2]]

Version Author Date
3b5d16b jens-daniel-mueller 2024-05-13
fb21e78 jens-daniel-mueller 2024-05-08
c7897dc jens-daniel-mueller 2024-05-08

2023 anomaly

pco2_product_coarse_monthly_regression %>%
  filter(year == 2023) %>%
  group_split(name) %>%
  # head(1) %>%
  map(
    ~ map +
      geom_tile(data = .x,
                aes(lon, lat, fill = resid)) +
      labs(title = paste(2023, "anomaly")) +
      scale_fill_divergent(name = labels_breaks(.x %>% distinct(name))) +
      theme(legend.title = element_markdown()) +
      facet_wrap( ~ month, ncol = 2)
  )
[[1]]

Version Author Date
009791f jens-daniel-mueller 2024-05-14
3b5d16b jens-daniel-mueller 2024-05-13
c7897dc jens-daniel-mueller 2024-05-08

[[2]]

Version Author Date
009791f jens-daniel-mueller 2024-05-14
fb21e78 jens-daniel-mueller 2024-05-08
c7897dc jens-daniel-mueller 2024-05-08

[[3]]

Version Author Date
009791f jens-daniel-mueller 2024-05-14
3b5d16b jens-daniel-mueller 2024-05-13
c7897dc jens-daniel-mueller 2024-05-08

[[4]]

Version Author Date
009791f jens-daniel-mueller 2024-05-14
fb21e78 jens-daniel-mueller 2024-05-08
c7897dc jens-daniel-mueller 2024-05-08

[[5]]

Version Author Date
009791f jens-daniel-mueller 2024-05-14
fb21e78 jens-daniel-mueller 2024-05-08
c7897dc jens-daniel-mueller 2024-05-08

[[6]]

Version Author Date
009791f jens-daniel-mueller 2024-05-14
fb21e78 jens-daniel-mueller 2024-05-08
c7897dc jens-daniel-mueller 2024-05-08

[[7]]

Version Author Date
009791f jens-daniel-mueller 2024-05-14
c7897dc jens-daniel-mueller 2024-05-08

[[8]]

Version Author Date
009791f jens-daniel-mueller 2024-05-14
c7897dc jens-daniel-mueller 2024-05-08

[[9]]

Version Author Date
009791f jens-daniel-mueller 2024-05-14
fb21e78 jens-daniel-mueller 2024-05-08
c7897dc jens-daniel-mueller 2024-05-08

[[10]]

Version Author Date
009791f jens-daniel-mueller 2024-05-14
3b5d16b jens-daniel-mueller 2024-05-13
c7897dc jens-daniel-mueller 2024-05-08

[[11]]

Version Author Date
3b5d16b jens-daniel-mueller 2024-05-13
c7897dc jens-daniel-mueller 2024-05-08
pco2_product_coarse_monthly_regression %>%
  filter(year == 2023) %>%
  write_csv(paste0("../data/","FESOM-REcoM","_","2023","_anomaly_map_monthly.csv"))

Hovmoeller plots

The following Hovmoeller plots show the anomalies from the prediction of the linear/quadratic fits.

Hovmoeller plots are first presented as annual means, and than as monthly means. Note that the predictions for the monthly Hovmoeller plots are done individually for each month, such the mean seasonal anomaly from the annual mean is removed.

2023 annual anomalies

pco2_product_hovmoeller_monthly_annual_regression <-
  pco2_product_hovmoeller_monthly_annual %>%
  anomaly_determination(lat) %>% 
  filter(!is.na(resid))

  
pco2_product_hovmoeller_monthly_annual_regression %>%
  # filter(name == "mld") %>% 
  group_split(name) %>%
  # head(1) %>%
  map(
    ~ ggplot(data = .x,
             aes(year, lat, fill = resid)) +
      geom_raster() +
      scale_fill_divergent(name = labels_breaks(.x %>% distinct(name))) +
      theme(legend.title = element_markdown()) +
      coord_cartesian(expand = 0) +
      labs(title = "Annual mean anomalies",
           y = "Latitude") +
      theme(axis.title.x = element_blank())
  )
[[1]]

Version Author Date
009791f jens-daniel-mueller 2024-05-14
3b5d16b jens-daniel-mueller 2024-05-13
c7897dc jens-daniel-mueller 2024-05-08

[[2]]

Version Author Date
009791f jens-daniel-mueller 2024-05-14
fb21e78 jens-daniel-mueller 2024-05-08
c7897dc jens-daniel-mueller 2024-05-08

[[3]]

Version Author Date
009791f jens-daniel-mueller 2024-05-14
3b5d16b jens-daniel-mueller 2024-05-13
c7897dc jens-daniel-mueller 2024-05-08

[[4]]

Version Author Date
009791f jens-daniel-mueller 2024-05-14
fb21e78 jens-daniel-mueller 2024-05-08
c7897dc jens-daniel-mueller 2024-05-08

[[5]]

Version Author Date
009791f jens-daniel-mueller 2024-05-14
fb21e78 jens-daniel-mueller 2024-05-08
c7897dc jens-daniel-mueller 2024-05-08

[[6]]

Version Author Date
009791f jens-daniel-mueller 2024-05-14
fb21e78 jens-daniel-mueller 2024-05-08
c7897dc jens-daniel-mueller 2024-05-08

[[7]]

Version Author Date
009791f jens-daniel-mueller 2024-05-14
c7897dc jens-daniel-mueller 2024-05-08

[[8]]

Version Author Date
009791f jens-daniel-mueller 2024-05-14
c7897dc jens-daniel-mueller 2024-05-08

[[9]]

Version Author Date
009791f jens-daniel-mueller 2024-05-14
fb21e78 jens-daniel-mueller 2024-05-08
c7897dc jens-daniel-mueller 2024-05-08

[[10]]

Version Author Date
009791f jens-daniel-mueller 2024-05-14
3b5d16b jens-daniel-mueller 2024-05-13
c7897dc jens-daniel-mueller 2024-05-08

[[11]]

Version Author Date
3b5d16b jens-daniel-mueller 2024-05-13
c7897dc jens-daniel-mueller 2024-05-08

[[12]]

2023 monthly anomalies

pco2_product_hovmoeller_monthly_regression <-
  pco2_product_hovmoeller_monthly %>%
  select(-c(decimal)) %>% 
  anomaly_determination(lat, month) %>% 
  filter(!is.na(resid))

  
pco2_product_hovmoeller_monthly_regression <-
  pco2_product_hovmoeller_monthly_regression %>%
  mutate(decimal = year + (month - 1) / 12)
  
pco2_product_hovmoeller_monthly_regression %>%
  group_split(name) %>%
  # head(1) %>%
  map(
    ~ ggplot(data = .x,
             aes(decimal, lat, fill = resid)) +
      geom_raster() +
      scale_fill_divergent(name = labels_breaks(.x %>% distinct(name))) +
      theme(legend.title = element_markdown()) +
      coord_cartesian(expand = 0) +
      labs(title = "Monthly mean anomalies",
           y = "Latitude") +
      theme(axis.title.x = element_blank())
  )
[[1]]

Version Author Date
009791f jens-daniel-mueller 2024-05-14
3b5d16b jens-daniel-mueller 2024-05-13
c7897dc jens-daniel-mueller 2024-05-08

[[2]]

Version Author Date
009791f jens-daniel-mueller 2024-05-14
fb21e78 jens-daniel-mueller 2024-05-08
c7897dc jens-daniel-mueller 2024-05-08

[[3]]

Version Author Date
009791f jens-daniel-mueller 2024-05-14
3b5d16b jens-daniel-mueller 2024-05-13
c7897dc jens-daniel-mueller 2024-05-08

[[4]]

Version Author Date
009791f jens-daniel-mueller 2024-05-14
fb21e78 jens-daniel-mueller 2024-05-08
c7897dc jens-daniel-mueller 2024-05-08

[[5]]

Version Author Date
009791f jens-daniel-mueller 2024-05-14
fb21e78 jens-daniel-mueller 2024-05-08
c7897dc jens-daniel-mueller 2024-05-08

[[6]]

Version Author Date
009791f jens-daniel-mueller 2024-05-14
fb21e78 jens-daniel-mueller 2024-05-08
c7897dc jens-daniel-mueller 2024-05-08

[[7]]

Version Author Date
009791f jens-daniel-mueller 2024-05-14
c7897dc jens-daniel-mueller 2024-05-08

[[8]]

Version Author Date
009791f jens-daniel-mueller 2024-05-14
c7897dc jens-daniel-mueller 2024-05-08

[[9]]

Version Author Date
009791f jens-daniel-mueller 2024-05-14
fb21e78 jens-daniel-mueller 2024-05-08
c7897dc jens-daniel-mueller 2024-05-08

[[10]]

Version Author Date
009791f jens-daniel-mueller 2024-05-14
3b5d16b jens-daniel-mueller 2024-05-13
c7897dc jens-daniel-mueller 2024-05-08

[[11]]

Version Author Date
3b5d16b jens-daniel-mueller 2024-05-13
c7897dc jens-daniel-mueller 2024-05-08

[[12]]

pco2_product_hovmoeller_monthly_regression %>%
  write_csv(paste0("../data/","FESOM-REcoM","_","2023","_anomaly_hovmoeller_monthly.csv"))

Three years prior 2023

pco2_product_hovmoeller_monthly_regression %>%
  filter(between(year, 2023-2, 2023)) %>%
  group_split(name) %>%
  # head(1) %>%
  map(
    ~ ggplot(data = .x,
             aes(decimal, lat, fill = resid)) +
      geom_raster() +
      scale_fill_divergent(name = labels_breaks(.x %>% distinct(name))) +
      theme(legend.title = element_markdown()) +
      coord_cartesian(expand = 0) +
      labs(title = "Monthly mean anomalies",
           y = "Latitude") +
      theme(axis.title.x = element_blank())
  )
[[1]]

Version Author Date
009791f jens-daniel-mueller 2024-05-14
3b5d16b jens-daniel-mueller 2024-05-13
c7897dc jens-daniel-mueller 2024-05-08

[[2]]

Version Author Date
009791f jens-daniel-mueller 2024-05-14
fb21e78 jens-daniel-mueller 2024-05-08
c7897dc jens-daniel-mueller 2024-05-08

[[3]]

Version Author Date
009791f jens-daniel-mueller 2024-05-14
3b5d16b jens-daniel-mueller 2024-05-13
c7897dc jens-daniel-mueller 2024-05-08

[[4]]

Version Author Date
009791f jens-daniel-mueller 2024-05-14
fb21e78 jens-daniel-mueller 2024-05-08
c7897dc jens-daniel-mueller 2024-05-08

[[5]]

Version Author Date
009791f jens-daniel-mueller 2024-05-14
fb21e78 jens-daniel-mueller 2024-05-08
c7897dc jens-daniel-mueller 2024-05-08

[[6]]

Version Author Date
009791f jens-daniel-mueller 2024-05-14
fb21e78 jens-daniel-mueller 2024-05-08
c7897dc jens-daniel-mueller 2024-05-08

[[7]]

Version Author Date
009791f jens-daniel-mueller 2024-05-14
c7897dc jens-daniel-mueller 2024-05-08

[[8]]

Version Author Date
009791f jens-daniel-mueller 2024-05-14
c7897dc jens-daniel-mueller 2024-05-08

[[9]]

Version Author Date
009791f jens-daniel-mueller 2024-05-14
fb21e78 jens-daniel-mueller 2024-05-08
c7897dc jens-daniel-mueller 2024-05-08

[[10]]

Version Author Date
009791f jens-daniel-mueller 2024-05-14
3b5d16b jens-daniel-mueller 2024-05-13
c7897dc jens-daniel-mueller 2024-05-08

[[11]]

Version Author Date
3b5d16b jens-daniel-mueller 2024-05-13
c7897dc jens-daniel-mueller 2024-05-08

[[12]]

Regional means and integrals

The following plots show regionally averaged (or integrated) values of each variable as provided through the pCO2 product, as well as the anomalies from the prediction of a linear/quadratic fit.

Anomalies are first presented relative to the predicted annual mean of each year, hence preserving the seasonality. Furthermore, anomalies are presented relative to the predicted monthly mean values, such that the mean seasonality is removed.

2023 absolute values

Global

fig.height <- pco2_product_monthly %>% 
  distinct(name) %>% 
  nrow()

fig.height <- (fig.height + 2) * 0.1
pco2_product_monthly %>%
  filter(biome %in% "Global") %>%
  ggplot(aes(month, value, group = as.factor(year))) +
  geom_path(data = . %>% filter(!between(year, 2023-1, 2023)),
            aes(col = year)) +
  scale_color_grayC() +
  new_scale_color() +
  geom_path(data = . %>% filter(between(year, 2023-1, 2023)),
            aes(col = as.factor(year)),
            linewidth = 1) +
  scale_color_manual(values = c("orange", "red"),
                     guide = guide_legend(reverse = TRUE,
                                          order = 1)) +
  scale_x_continuous(breaks = seq(1, 12, 3), expand = c(0, 0)) +
  labs(title = "Absolute values | Global") +
  facet_wrap(name ~ .,
             scales = "free_y",
             labeller = labeller(name = x_axis_labels),
             strip.position = "left",
             ncol = 2) +
  theme(
    strip.text.y.left = element_markdown(),
    strip.placement = "outside",
    strip.background.y = element_blank(),
    legend.title = element_blank(),
    axis.title.y = element_blank()
  )

Version Author Date
009791f jens-daniel-mueller 2024-05-14
3b5d16b jens-daniel-mueller 2024-05-13
fb21e78 jens-daniel-mueller 2024-05-08
c7897dc jens-daniel-mueller 2024-05-08

Selected biomes

pco2_product_monthly %>%
  filter(biome %in% key_biomes) %>%
  ggplot(aes(month, value, group = as.factor(year))) +
  geom_path(data = . %>% filter(!between(year, 2023-1, 2023)),
            aes(col = year)) +
  scale_color_grayC() +
  new_scale_color() +
  geom_path(data = . %>% filter(between(year, 2023-1, 2023)),
            aes(col = as.factor(year)),
            linewidth = 1) +
  scale_color_manual(values = c("orange", "red"),
                     guide = guide_legend(reverse = TRUE,
                                          order = 1)) +
  scale_x_continuous(breaks = seq(1, 12, 3), expand = c(0, 0)) +
  labs(title = "Absolute values | Selected biomes") +
  facet_grid(name ~ biome,
             scales = "free_y",
             labeller = labeller(name = x_axis_labels),
             switch = "y") +
  theme(
    strip.text.y.left = element_markdown(),
    strip.placement = "outside",
    strip.background.y = element_blank(),
    legend.title = element_blank(),
    axis.title.y = element_blank()
  )

Version Author Date
009791f jens-daniel-mueller 2024-05-14
3b5d16b jens-daniel-mueller 2024-05-13
fb21e78 jens-daniel-mueller 2024-05-08
c7897dc jens-daniel-mueller 2024-05-08
pco2_product_monthly %>%
  filter(biome %in% key_biomes) %>%
  group_split(biome) %>%
  # head(1) %>%
  map(
    ~ ggplot(data = .x,
             aes(month, value, group = as.factor(year))) +
      geom_path(data = . %>% filter(!between(year, 2023-1, 2023)),
                aes(col = year)) +
      scale_color_grayC() +
      new_scale_color() +
      geom_path(
        data = . %>% filter(between(year, 2023-1, 2023)),
        aes(col = as.factor(year)),
        linewidth = 1
      ) +
      scale_color_manual(
        values = c("orange", "red"),
        guide = guide_legend(reverse = TRUE,
                             order = 1)
      ) +
      scale_x_continuous(breaks = seq(1, 12, 3), expand = c(0, 0)) +
  labs(title = paste("Absolute values |", .x$biome)) +
  facet_wrap(name ~ .,
             scales = "free_y",
             labeller = labeller(name = x_axis_labels),
             strip.position = "left",
             ncol = 2) +
  theme(
    strip.text.y.left = element_markdown(),
    strip.placement = "outside",
    strip.background.y = element_blank(),
    legend.title = element_blank(),
    axis.title.y = element_blank()
  )
  )
[[1]]

Version Author Date
3b5d16b jens-daniel-mueller 2024-05-13
fb21e78 jens-daniel-mueller 2024-05-08
c7897dc jens-daniel-mueller 2024-05-08

[[2]]

Version Author Date
3b5d16b jens-daniel-mueller 2024-05-13
fb21e78 jens-daniel-mueller 2024-05-08
c7897dc jens-daniel-mueller 2024-05-08

[[3]]

Version Author Date
3b5d16b jens-daniel-mueller 2024-05-13
fb21e78 jens-daniel-mueller 2024-05-08
c7897dc jens-daniel-mueller 2024-05-08

[[4]]

Version Author Date
3b5d16b jens-daniel-mueller 2024-05-13
fb21e78 jens-daniel-mueller 2024-05-08
c7897dc jens-daniel-mueller 2024-05-08

Super biomes

pco2_product_monthly %>%
  filter(biome %in% super_biomes) %>%
  ggplot(aes(month, value, group = as.factor(year))) +
  geom_path(data = . %>% filter(!between(year, 2023-1, 2023)),
            aes(col = year)) +
  scale_color_grayC() +
  new_scale_color() +
  geom_path(data = . %>% filter(between(year, 2023-1, 2023)),
            aes(col = as.factor(year)),
            linewidth = 1) +
  scale_color_manual(values = c("orange", "red"),
                     guide = guide_legend(reverse = TRUE,
                                          order = 1)) +
  scale_x_continuous(breaks = seq(1, 12, 3), expand = c(0, 0)) +
  labs(title = "Absolute values | Selected super biomes") +
  facet_grid(name ~ biome,
             scales = "free_y",
             labeller = labeller(name = x_axis_labels),
             switch = "y") +
  theme(
    strip.text.y.left = element_markdown(),
    strip.placement = "outside",
    strip.background.y = element_blank(),
    legend.title = element_blank(),
    axis.title.y = element_blank()
  )

Version Author Date
009791f jens-daniel-mueller 2024-05-14
3b5d16b jens-daniel-mueller 2024-05-13
fb21e78 jens-daniel-mueller 2024-05-08
c7897dc jens-daniel-mueller 2024-05-08
pco2_product_monthly %>%
  filter(biome %in% super_biomes) %>%
  group_split(biome) %>%
  # head(1) %>%
  map(
    ~ ggplot(data = .x,
             aes(month, value, group = as.factor(year))) +
      geom_path(data = . %>% filter(!between(year, 2023-1, 2023)),
                aes(col = year)) +
      scale_color_grayC() +
      new_scale_color() +
      geom_path(
        data = . %>% filter(between(year, 2023-1, 2023)),
        aes(col = as.factor(year)),
        linewidth = 1
      ) +
      scale_color_manual(
        values = c("orange", "red"),
        guide = guide_legend(reverse = TRUE,
                             order = 1)
      ) +
      scale_x_continuous(breaks = seq(1, 12, 3), expand = c(0, 0)) +
  labs(title = paste("Absolute values |", .x$biome)) +
  facet_wrap(name ~ .,
             scales = "free_y",
             labeller = labeller(name = x_axis_labels),
             strip.position = "left",
             ncol = 2) +
  theme(
    strip.text.y.left = element_markdown(),
    strip.placement = "outside",
    strip.background.y = element_blank(),
    legend.title = element_blank(),
    axis.title.y = element_blank()
  )
  )
[[1]]

Version Author Date
3b5d16b jens-daniel-mueller 2024-05-13
fb21e78 jens-daniel-mueller 2024-05-08
c7897dc jens-daniel-mueller 2024-05-08

[[2]]

Version Author Date
3b5d16b jens-daniel-mueller 2024-05-13
fb21e78 jens-daniel-mueller 2024-05-08
c7897dc jens-daniel-mueller 2024-05-08

2023 anomalies

Global

pco2_product_monthly_detrended <-
  full_join(pco2_product_monthly,
            pco2_product_monthly_regression %>% select(-c(value, resid, time))) %>%
  mutate(resid = value - fit)

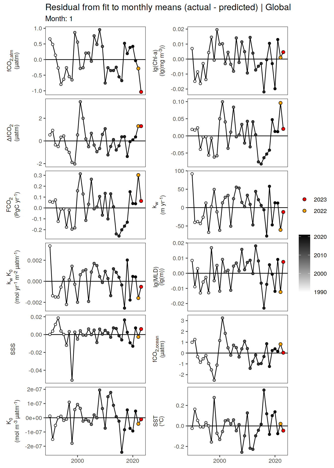
pco2_product_monthly_detrended %>% 
  filter(biome %in% "Global") %>%
  ggplot(aes(month, resid, group = as.factor(year))) +
  geom_path(data = . %>% filter(!between(year, 2023-1, 2023)),
            aes(col = year)) +
  scale_color_grayC() +
  new_scale_color() +
  geom_path(data = . %>% filter(between(year, 2023-1, 2023)),
            aes(col = as.factor(year)),
            linewidth = 1) +
  scale_color_manual(values = c("orange", "red"),
                     guide = guide_legend(reverse = TRUE,
                                          order = 1)) +
  scale_x_continuous(breaks = seq(1, 12, 3), expand = c(0, 0)) +
  labs(title = "Anomalies from predicted monthly mean | Global") +
  facet_wrap(
    name ~ .,
    scales = "free_y",
    labeller = labeller(name = x_axis_labels),
    strip.position = "left",
    ncol = 2
  ) +
  theme(
    strip.text.y.left = element_markdown(),
    strip.placement = "outside",
    strip.background.y = element_blank(),
    axis.title.y = element_blank(),
    legend.title = element_blank()
  )

pco2_product_monthly_detrended %>% 
  filter(biome %in% key_biomes) %>%
  ggplot(aes(month, resid, group = as.factor(year))) +
  geom_path(data = . %>% filter(!between(year, 2023-1, 2023)),
            aes(col = year)) +
  scale_color_grayC() +
  new_scale_color() +
  geom_path(data = . %>% filter(between(year, 2023-1, 2023)),
            aes(col = as.factor(year)),
            linewidth = 1) +
  scale_color_manual(values = c("orange", "red"),
                     guide = guide_legend(reverse = TRUE,
                                          order = 1)) +
  scale_x_continuous(breaks = seq(1, 12, 3), expand = c(0, 0)) +
  labs(title = "Anomalies from predicted monthly mean | Selected biomes") +
  facet_grid(
    name ~ biome,
    scales = "free_y",
    labeller = labeller(name = x_axis_labels),
    switch = "y"
  ) +
  theme(
    strip.text.y.left = element_markdown(),
    strip.placement = "outside",
    strip.background.y = element_blank(),
    axis.title.y = element_blank(),
    legend.title = element_blank()
  )

pco2_product_monthly_detrended %>% 
  filter(biome %in% super_biomes) %>%
  ggplot(aes(month, resid, group = as.factor(year))) +
  geom_path(data = . %>% filter(!between(year, 2023-1, 2023)),
            aes(col = year)) +
  scale_color_grayC() +
  new_scale_color() +
  geom_path(data = . %>% filter(between(year, 2023-1, 2023)),
            aes(col = as.factor(year)),
            linewidth = 1) +
  scale_color_manual(values = c("orange", "red"),
                     guide = guide_legend(reverse = TRUE,
                                          order = 1)) +
  scale_x_continuous(breaks = seq(1, 12, 3), expand = c(0, 0)) +
  labs(title = "Anomalies from predicted monthly mean | Selected super biomes") +
  facet_grid(
    name ~ biome,
    scales = "free_y",
    labeller = labeller(name = x_axis_labels),
    switch = "y"
  ) +
  theme(
    strip.text.y.left = element_markdown(),
    strip.placement = "outside",
    strip.background.y = element_blank(),
    axis.title.y = element_blank(),
    legend.title = element_blank()
  )

Selected biomes

pco2_product_monthly_detrended %>% 
  filter(biome %in% key_biomes) %>%
  ggplot(aes(month, resid, group = as.factor(year))) +
  geom_path(data = . %>% filter(!between(year, 2023-1, 2023)),
            aes(col = year)) +
  scale_color_grayC() +
  new_scale_color() +
  geom_path(data = . %>% filter(between(year, 2023-1, 2023)),
            aes(col = as.factor(year)),
            linewidth = 1) +
  scale_color_manual(values = c("orange", "red"),
                     guide = guide_legend(reverse = TRUE,
                                          order = 1)) +
  scale_x_continuous(breaks = seq(1, 12, 3), expand = c(0, 0)) +
  labs(title = "Anomalies from predicted monthly mean | Selected biomes") +
  facet_grid(
    name ~ biome,
    scales = "free_y",
    labeller = labeller(name = x_axis_labels),
    switch = "y"
  ) +
  theme(
    strip.text.y.left = element_markdown(),
    strip.placement = "outside",
    strip.background.y = element_blank(),
    axis.title.y = element_blank(),
    legend.title = element_blank()
  )

pco2_product_monthly_detrended %>%
  filter(biome %in% key_biomes) %>%
  group_split(biome) %>%
  # head(1) %>%
  map(
    ~ ggplot(data = .x,
             aes(month, resid, group = as.factor(year))) +
      geom_path(data = . %>% filter(!between(year, 2023-1, 2023)),
                aes(col = year)) +
      scale_color_grayC() +
      new_scale_color() +
      geom_path(
        data = . %>% filter(between(year, 2023-1, 2023)),
        aes(col = as.factor(year)),
        linewidth = 1
      ) +
      scale_color_manual(
        values = c("orange", "red"),
        guide = guide_legend(reverse = TRUE,
                             order = 1)
      ) +
      scale_x_continuous(breaks = seq(1, 12, 3), expand = c(0, 0)) +
      labs(title = paste("Anomalies from predicted monthly mean |", .x$biome)) +
      facet_wrap(
        name ~ .,
        scales = "free_y",
        labeller = labeller(name = x_axis_labels),
        strip.position = "left",
        ncol = 2
      ) +
      theme(
        strip.text.y.left = element_markdown(),
        strip.placement = "outside",
        strip.background.y = element_blank(),
        axis.title.y = element_blank(),
        legend.title = element_blank()
      )
  )
[[1]]


[[2]]


[[3]]


[[4]]

Super biomes

pco2_product_monthly_detrended %>% 
  filter(biome %in% super_biomes) %>%
  ggplot(aes(month, resid, group = as.factor(year))) +
  geom_path(data = . %>% filter(!between(year, 2023-1, 2023)),
            aes(col = year)) +
  scale_color_grayC() +
  new_scale_color() +
  geom_path(data = . %>% filter(between(year, 2023-1, 2023)),
            aes(col = as.factor(year)),
            linewidth = 1) +
  scale_color_manual(values = c("orange", "red"),
                     guide = guide_legend(reverse = TRUE,
                                          order = 1)) +
  scale_x_continuous(breaks = seq(1, 12, 3), expand = c(0, 0)) +
  labs(title = "Anomalies from predicted monthly mean | Selected super biomes") +
  facet_grid(
    name ~ biome,
    scales = "free_y",
    labeller = labeller(name = x_axis_labels),
    switch = "y"
  ) +
  theme(
    strip.text.y.left = element_markdown(),
    strip.placement = "outside",
    strip.background.y = element_blank(),
    axis.title.y = element_blank(),
    legend.title = element_blank()
  )

pco2_product_monthly_detrended %>%
  filter(biome %in% super_biomes) %>%
  group_split(biome) %>%
  # head(1) %>%
  map(
    ~ ggplot(data = .x,
             aes(month, resid, group = as.factor(year))) +
      geom_path(data = . %>% filter(!between(year, 2023-1, 2023)),
                aes(col = year)) +
      scale_color_grayC() +
      new_scale_color() +
      geom_path(
        data = . %>% filter(between(year, 2023-1, 2023)),
        aes(col = as.factor(year)),
        linewidth = 1
      ) +
      scale_color_manual(
        values = c("orange", "red"),
        guide = guide_legend(reverse = TRUE,
                             order = 1)
      ) +
      scale_x_continuous(breaks = seq(1, 12, 3), expand = c(0, 0)) +
      labs(title = paste("Anomalies from predicted monthly mean |", .x$biome)) +
      facet_wrap(
        name ~ .,
        scales = "free_y",
        labeller = labeller(name = x_axis_labels),
        strip.position = "left",
        ncol = 2
      ) +
      theme(
        strip.text.y.left = element_markdown(),
        strip.placement = "outside",
        strip.background.y = element_blank(),
        axis.title.y = element_blank(),
        legend.title = element_blank()
      )
  )
[[1]]


[[2]]

pco2_product_monthly_detrended %>%
  write_csv(paste0("../data/","FESOM-REcoM","_","2023","_biome_monthly_detrended.csv"))

2023 anomaly correlation

The following plots aim to unravel the correlation between regionally integrated monthly flux anomalies and the corresponding anomalies of the means/integrals of each other variable.

Anomalies are first presented are first presented in absolute units. Due to the different flux magnitudes, we need to plot integrated fluxes separately for each region. Secondly, we normalize the monthly anomalies to the spread (expressed as standard deviation) of the residuals from the fit.

Annual anomalies

Absolute

pco2_product_annual_regression %>%
  filter(biome == "Global") %>%
  select(-c(value, fit)) %>% 
  pivot_wider(values_from = resid) %>% 
  pivot_longer(-c(year, biome, fgco2_int))  %>%
  ggplot(aes(value, fgco2_int)) +
  geom_hline(yintercept = 0) +
  geom_point(data = . %>% filter(!between(year, 2023-1, 2023)),
             aes(fill = year),
             shape = 21) +
  geom_smooth(
    data = . %>% filter(!between(year, 2023-1, 2023)),
    method = "lm",
    se = FALSE,
    fullrange = TRUE,
    aes(col = paste("Regression fit\nexcl.", 2023))
  ) +
  scale_color_grey() +
  scale_fill_grayC()+
  new_scale_fill() +
  geom_point(data = . %>% filter(between(year, 2023-1, 2023)),
             aes(fill = as.factor(year)),
             shape = 21, size = 2)  +
  scale_fill_manual(values = c("orange", "red"),
                     guide = guide_legend(reverse = TRUE,
                                          order = 1)) +
  labs(title = "Globally integrated fluxes",
       y = labels_breaks("fgco2_int")$i_legend_title) +
  facet_wrap(
    ~ name,
    scales = "free_x",
    labeller = labeller(name = x_axis_labels),
    strip.position = "bottom",
    ncol = 2
  ) +
  theme(
    strip.text.x.bottom = element_markdown(),
    strip.placement = "outside",
    strip.background.x = element_blank(),
    axis.title.y = element_markdown(),
    axis.title.x = element_blank(),
    legend.title = element_blank()
  )

Version Author Date
009791f jens-daniel-mueller 2024-05-14
3b5d16b jens-daniel-mueller 2024-05-13
fb21e78 jens-daniel-mueller 2024-05-08
c7897dc jens-daniel-mueller 2024-05-08

Monthly anomalies

Absolute

pco2_product_monthly_detrended_anomaly <-
  pco2_product_monthly_detrended %>%
  select(year, month, biome, name, resid) %>%
  pivot_wider(names_from = name,
              values_from = resid)


pco2_product_monthly_detrended_anomaly %>%
  filter(biome == "Global") %>%
  pivot_longer(-c(year, month, biome, fgco2_int))  %>%
  ggplot(aes(value, fgco2_int)) +
  geom_hline(yintercept = 0) +
  geom_point(data = . %>% filter(year != 2023),
             aes(col = paste(min(year), max(year), sep = "-")),
             alpha = 0.2) +
  geom_smooth(
    data = . %>% filter(year != 2023),
    aes(col = paste(min(year), max(year), sep = "-")),
    method = "lm",
    se = FALSE,
    fullrange = TRUE
  )  +
  scale_color_grey(name = "") +
  new_scale_color() +
  geom_path(data = . %>% filter(year == 2023),
            aes(col = as.factor(month), group = 1))  +
  geom_point(data = . %>% filter(year == 2023),
             aes(fill =  as.factor(month)),
             shape = 21,
             size = 3)  +
  scale_color_scico_d(palette = "buda",
                     guide = guide_legend(reverse = TRUE,
                                          order = 1),
                     name = paste("Month\nof", 2023)) +
  scale_fill_scico_d(palette = "buda",
                     guide = guide_legend(reverse = TRUE,
                                          order = 1),
                     name = paste("Month\nof", 2023)) +
  labs(title = "Globally integrated fluxes",
       y = labels_breaks("fgco2_int")$i_legend_title) +
  facet_wrap(
    ~ name,
    scales = "free_x",
    labeller = labeller(name = x_axis_labels),
    strip.position = "bottom",
    ncol = 2
  ) +
  theme(
    strip.text.x.bottom = element_markdown(),
    strip.placement = "outside",
    strip.background.x = element_blank(),
    axis.title.y = element_markdown(),
    axis.title.x = element_blank()
  )

Version Author Date
009791f jens-daniel-mueller 2024-05-14
3b5d16b jens-daniel-mueller 2024-05-13
fb21e78 jens-daniel-mueller 2024-05-08
c7897dc jens-daniel-mueller 2024-05-08
pco2_product_monthly_detrended_anomaly %>%
  filter(!(biome %in% c(super_biomes, "Global"))) %>%
  pivot_longer(-c(year, month, biome, fgco2_int))  %>%
  group_split(name) %>%
  # head(1) %>%
  map(
    ~ ggplot(data = .x,
             aes(value, fgco2_int)) +
      geom_hline(yintercept = 0) +
      geom_point(
        data = . %>% filter(year != 2023),
        aes(col = paste(min(year), max(year), sep = "-")),
        alpha = 0.2
      ) +
      geom_smooth(
        data = . %>% filter(year != 2023),
        aes(col = paste(min(year), max(year), sep = "-")),
        method = "lm",
        se = FALSE,
        fullrange = TRUE
      )  +
      scale_color_grey(name = "") +
      new_scale_color() +
      geom_path(data = . %>% filter(year == 2023),
                aes(col = as.factor(month), group = 1))  +
      geom_point(
        data = . %>% filter(year == 2023),
        aes(fill = as.factor(month)),
        shape = 21,
        size = 3
      )  +
      scale_color_scico_d(
        palette = "buda",
        guide = guide_legend(reverse = TRUE,
                             order = 1),
        name = paste("Month\nof", 2023)
      ) +
      scale_fill_scico_d(
        palette = "buda",
        guide = guide_legend(reverse = TRUE,
                             order = 1),
        name = paste("Month\nof", 2023)
      ) +
      facet_wrap( ~ biome, ncol = 3, scales = "free") +
      labs(
        title = "Biome integrated fluxes",
        y = labels_breaks("fgco2_int")$i_legend_title,
        x = labels_breaks(.x %>% distinct(name))$i_legend_title
      ) +
      theme(axis.title.x = element_markdown(),
            axis.title.y = element_markdown())
  )
[[1]]

Version Author Date
009791f jens-daniel-mueller 2024-05-14
3b5d16b jens-daniel-mueller 2024-05-13
fb21e78 jens-daniel-mueller 2024-05-08
c7897dc jens-daniel-mueller 2024-05-08

[[2]]

Version Author Date
009791f jens-daniel-mueller 2024-05-14
fb21e78 jens-daniel-mueller 2024-05-08
c7897dc jens-daniel-mueller 2024-05-08

[[3]]

Version Author Date
009791f jens-daniel-mueller 2024-05-14
3b5d16b jens-daniel-mueller 2024-05-13
fb21e78 jens-daniel-mueller 2024-05-08
c7897dc jens-daniel-mueller 2024-05-08

[[4]]

Version Author Date
009791f jens-daniel-mueller 2024-05-14
fb21e78 jens-daniel-mueller 2024-05-08
c7897dc jens-daniel-mueller 2024-05-08

[[5]]

Version Author Date
009791f jens-daniel-mueller 2024-05-14
fb21e78 jens-daniel-mueller 2024-05-08
c7897dc jens-daniel-mueller 2024-05-08

[[6]]

Version Author Date
009791f jens-daniel-mueller 2024-05-14
fb21e78 jens-daniel-mueller 2024-05-08
c7897dc jens-daniel-mueller 2024-05-08

[[7]]

Version Author Date
009791f jens-daniel-mueller 2024-05-14
fb21e78 jens-daniel-mueller 2024-05-08
c7897dc jens-daniel-mueller 2024-05-08

[[8]]

Version Author Date
009791f jens-daniel-mueller 2024-05-14
fb21e78 jens-daniel-mueller 2024-05-08
c7897dc jens-daniel-mueller 2024-05-08

[[9]]

Version Author Date
009791f jens-daniel-mueller 2024-05-14
3b5d16b jens-daniel-mueller 2024-05-13
fb21e78 jens-daniel-mueller 2024-05-08
c7897dc jens-daniel-mueller 2024-05-08

[[10]]

Version Author Date
3b5d16b jens-daniel-mueller 2024-05-13
fb21e78 jens-daniel-mueller 2024-05-08
c7897dc jens-daniel-mueller 2024-05-08

[[11]]

pco2_product_monthly_detrended_anomaly %>%
  filter(biome %in% super_biomes) %>%
  pivot_longer(-c(year, month, biome, fgco2_int))  %>%
  group_split(name) %>%
  # head(1) %>%
  map(
    ~ ggplot(data = .x,
             aes(value, fgco2_int)) +
      geom_hline(yintercept = 0) +
      geom_point(
        data = . %>% filter(year != 2023),
        aes(col = paste(min(year), max(year), sep = "-")),
        alpha = 0.2
      ) +
      geom_smooth(
        data = . %>% filter(year != 2023),
        aes(col = paste(min(year), max(year), sep = "-")),
        method = "lm",
        se = FALSE,
        fullrange = TRUE
      )  +
      scale_color_grey(name = "") +
      new_scale_color() +
      geom_path(data = . %>% filter(year == 2023),
                aes(col = as.factor(month), group = 1))  +
      geom_point(
        data = . %>% filter(year == 2023),
        aes(fill = as.factor(month)),
        shape = 21,
        size = 3
      )  +
      scale_color_scico_d(
        palette = "buda",
        guide = guide_legend(reverse = TRUE,
                             order = 1),
        name = paste("Month\nof", 2023)
      ) +
      scale_fill_scico_d(
        palette = "buda",
        guide = guide_legend(reverse = TRUE,
                             order = 1),
        name = paste("Month\nof", 2023)
      ) +
      facet_wrap( ~ biome, ncol = 3, scales = "free_x") +
      labs(
        title = "Super biome integrated fluxes",
        y = labels_breaks("fgco2_int")$i_legend_title,
        x = labels_breaks(.x %>% distinct(name))$i_legend_title
      ) +
      theme(axis.title.x = element_markdown(),
            axis.title.y = element_markdown())
  )
[[1]]

Version Author Date
009791f jens-daniel-mueller 2024-05-14
3b5d16b jens-daniel-mueller 2024-05-13
fb21e78 jens-daniel-mueller 2024-05-08
c7897dc jens-daniel-mueller 2024-05-08

[[2]]

Version Author Date
009791f jens-daniel-mueller 2024-05-14
fb21e78 jens-daniel-mueller 2024-05-08
c7897dc jens-daniel-mueller 2024-05-08

[[3]]

Version Author Date
009791f jens-daniel-mueller 2024-05-14
3b5d16b jens-daniel-mueller 2024-05-13
fb21e78 jens-daniel-mueller 2024-05-08
c7897dc jens-daniel-mueller 2024-05-08

[[4]]

Version Author Date
009791f jens-daniel-mueller 2024-05-14
fb21e78 jens-daniel-mueller 2024-05-08
c7897dc jens-daniel-mueller 2024-05-08

[[5]]

Version Author Date
009791f jens-daniel-mueller 2024-05-14
fb21e78 jens-daniel-mueller 2024-05-08
c7897dc jens-daniel-mueller 2024-05-08

[[6]]

Version Author Date
009791f jens-daniel-mueller 2024-05-14
fb21e78 jens-daniel-mueller 2024-05-08
c7897dc jens-daniel-mueller 2024-05-08

[[7]]

Version Author Date
009791f jens-daniel-mueller 2024-05-14
fb21e78 jens-daniel-mueller 2024-05-08
c7897dc jens-daniel-mueller 2024-05-08

[[8]]

Version Author Date
009791f jens-daniel-mueller 2024-05-14
fb21e78 jens-daniel-mueller 2024-05-08
c7897dc jens-daniel-mueller 2024-05-08

[[9]]

Version Author Date
009791f jens-daniel-mueller 2024-05-14
3b5d16b jens-daniel-mueller 2024-05-13
fb21e78 jens-daniel-mueller 2024-05-08
c7897dc jens-daniel-mueller 2024-05-08

[[10]]

Version Author Date
3b5d16b jens-daniel-mueller 2024-05-13
fb21e78 jens-daniel-mueller 2024-05-08
c7897dc jens-daniel-mueller 2024-05-08

[[11]]

Relative to spread

pco2_product_monthly_detrended_anomaly_spread <-
  pco2_product_monthly_detrended_anomaly %>%
  pivot_longer(-c(month, biome, year)) %>%
  filter(year != 2023) %>%
  group_by(month, biome, name) %>%
  summarise(spread = sd(value, na.rm = TRUE)) %>%
  ungroup()



pco2_product_monthly_detrended_anomaly_relative <-
  full_join(
    pco2_product_monthly_detrended_anomaly_spread,
    pco2_product_monthly_detrended_anomaly %>%
      pivot_longer(-c(month, biome, year))
  )

pco2_product_monthly_detrended_anomaly_relative <-
  pco2_product_monthly_detrended_anomaly_relative %>%
  mutate(value = value / spread) %>%
  select(-spread) %>%
  pivot_wider() %>%
  pivot_longer(-c(month, biome, year, fgco2_int))



pco2_product_monthly_detrended_anomaly_relative %>%
  group_split(name) %>%
  # head(1) %>%
  map(
    ~ ggplot(data = .x,
             aes(value, fgco2_int)) +
      geom_vline(xintercept = 0) +
      geom_hline(yintercept = 0) +
      geom_point(
        data = . %>% filter(year != 2023),
        aes(col = paste(min(year), max(year), sep = "-")),
        alpha = 0.2
      ) +
      geom_smooth(
        data = . %>% filter(year != 2023),
        aes(col = paste(min(year), max(year), sep = "-")),
        method = "lm",
        se = FALSE,
        fullrange = TRUE
      )  +
      scale_color_grey(name = "") +
      new_scale_color() +
      geom_path(data = . %>% filter(year == 2023),
                aes(col = as.factor(month), group = 1))  +
      geom_point(
        data = . %>% filter(year == 2023),
        aes(fill = as.factor(month)),
        shape = 21,
        size = 3
      )  +
      scale_color_scico_d(
        palette = "buda",
        guide = guide_legend(reverse = TRUE,
                             order = 1),
        name = paste("Month\nof", 2023)
      ) +
      scale_fill_scico_d(
        palette = "buda",
        guide = guide_legend(reverse = TRUE,
                             order = 1),
        name = paste("Month\nof", 2023)
      ) +
      facet_wrap( ~ biome, ncol = 3) +
      coord_fixed() +
      labs(
        title = "Biome integrated fluxes normalized to spread",
        y = str_split_i(labels_breaks("fgco2_int")$i_legend_title, "<br>", i = 1),
        x = str_split_i(labels_breaks(.x %>% distinct(name))$i_legend_title, "<br>", i = 1)
      ) +
      theme(axis.title.x = element_markdown(),
            axis.title.y = element_markdown())
  )
[[1]]

Version Author Date
009791f jens-daniel-mueller 2024-05-14
3b5d16b jens-daniel-mueller 2024-05-13
fb21e78 jens-daniel-mueller 2024-05-08
c7897dc jens-daniel-mueller 2024-05-08

[[2]]

Version Author Date
009791f jens-daniel-mueller 2024-05-14
fb21e78 jens-daniel-mueller 2024-05-08
c7897dc jens-daniel-mueller 2024-05-08

[[3]]

Version Author Date
009791f jens-daniel-mueller 2024-05-14
3b5d16b jens-daniel-mueller 2024-05-13
fb21e78 jens-daniel-mueller 2024-05-08
c7897dc jens-daniel-mueller 2024-05-08

[[4]]

Version Author Date
009791f jens-daniel-mueller 2024-05-14
fb21e78 jens-daniel-mueller 2024-05-08
c7897dc jens-daniel-mueller 2024-05-08

[[5]]

Version Author Date
009791f jens-daniel-mueller 2024-05-14
fb21e78 jens-daniel-mueller 2024-05-08
c7897dc jens-daniel-mueller 2024-05-08

[[6]]

Version Author Date
009791f jens-daniel-mueller 2024-05-14
fb21e78 jens-daniel-mueller 2024-05-08
c7897dc jens-daniel-mueller 2024-05-08

[[7]]

Version Author Date
009791f jens-daniel-mueller 2024-05-14
fb21e78 jens-daniel-mueller 2024-05-08
c7897dc jens-daniel-mueller 2024-05-08

[[8]]

Version Author Date
009791f jens-daniel-mueller 2024-05-14
fb21e78 jens-daniel-mueller 2024-05-08
c7897dc jens-daniel-mueller 2024-05-08

[[9]]

Version Author Date
009791f jens-daniel-mueller 2024-05-14
3b5d16b jens-daniel-mueller 2024-05-13
fb21e78 jens-daniel-mueller 2024-05-08
c7897dc jens-daniel-mueller 2024-05-08

[[10]]

Version Author Date
3b5d16b jens-daniel-mueller 2024-05-13
fb21e78 jens-daniel-mueller 2024-05-08
c7897dc jens-daniel-mueller 2024-05-08

[[11]]


sessionInfo()
R version 4.2.2 (2022-10-31)
Platform: x86_64-pc-linux-gnu (64-bit)
Running under: openSUSE Leap 15.5

Matrix products: default
BLAS:   /usr/local/R-4.2.2/lib64/R/lib/libRblas.so
LAPACK: /usr/local/R-4.2.2/lib64/R/lib/libRlapack.so

locale:
 [1] LC_CTYPE=en_US.UTF-8       LC_NUMERIC=C              
 [3] LC_TIME=en_US.UTF-8        LC_COLLATE=en_US.UTF-8    
 [5] LC_MONETARY=en_US.UTF-8    LC_MESSAGES=en_US.UTF-8   
 [7] LC_PAPER=en_US.UTF-8       LC_NAME=C                 
 [9] LC_ADDRESS=C               LC_TELEPHONE=C            
[11] LC_MEASUREMENT=en_US.UTF-8 LC_IDENTIFICATION=C       

attached base packages:
[1] stats     graphics  grDevices utils     datasets  methods   base     

other attached packages:
 [1] ggtext_0.1.2        broom_1.0.5         khroma_1.9.0       
 [4] ggnewscale_0.4.8    seacarb_3.3.1       SolveSAPHE_2.1.0   
 [7] oce_1.7-10          gsw_1.1-1           lubridate_1.9.0    
[10] timechange_0.1.1    stars_0.6-0         abind_1.4-5        
[13] terra_1.7-65        sf_1.0-9            rnaturalearth_0.1.0
[16] geomtextpath_0.1.1  colorspace_2.0-3    marelac_2.1.10     
[19] shape_1.4.6         ggforce_0.4.1       metR_0.13.0        
[22] scico_1.3.1         patchwork_1.1.2     collapse_1.8.9     
[25] forcats_0.5.2       stringr_1.5.0       dplyr_1.1.3        
[28] purrr_1.0.2         readr_2.1.3         tidyr_1.3.0        
[31] tibble_3.2.1        ggplot2_3.4.4       tidyverse_1.3.2    
[34] workflowr_1.7.0    

loaded via a namespace (and not attached):
  [1] googledrive_2.0.0       ellipsis_0.3.2          class_7.3-20           
  [4] rprojroot_2.0.3         markdown_1.4            fs_1.5.2               
  [7] gridtext_0.1.5          rstudioapi_0.15.0       proxy_0.4-27           
 [10] farver_2.1.1            bit64_4.0.5             fansi_1.0.3            
 [13] xml2_1.3.3              splines_4.2.2           codetools_0.2-18       
 [16] cachem_1.0.6            knitr_1.41              polyclip_1.10-4        
 [19] jsonlite_1.8.3          dbplyr_2.2.1            compiler_4.2.2         
 [22] httr_1.4.4              backports_1.4.1         Matrix_1.5-3           
 [25] assertthat_0.2.1        fastmap_1.1.0           gargle_1.2.1           
 [28] cli_3.6.1               later_1.3.0             tweenr_2.0.2           
 [31] htmltools_0.5.3         tools_4.2.2             rnaturalearthdata_0.1.0
 [34] gtable_0.3.1            glue_1.6.2              Rcpp_1.0.11            
 [37] RNetCDF_2.6-1           cellranger_1.1.0        jquerylib_0.1.4        
 [40] vctrs_0.6.4             nlme_3.1-160            lwgeom_0.2-10          
 [43] xfun_0.35               ps_1.7.2                rvest_1.0.3            
 [46] ncmeta_0.3.5            lifecycle_1.0.3         googlesheets4_1.0.1    
 [49] getPass_0.2-2           MASS_7.3-58.1           scales_1.2.1           
 [52] vroom_1.6.0             hms_1.1.2               promises_1.2.0.1       
 [55] parallel_4.2.2          RColorBrewer_1.1-3      yaml_2.3.6             
 [58] memoise_2.0.1           sass_0.4.4              stringi_1.7.8          
 [61] highr_0.9               e1071_1.7-12            checkmate_2.1.0        
 [64] commonmark_1.8.1        rlang_1.1.1             pkgconfig_2.0.3        
 [67] systemfonts_1.0.4       evaluate_0.18           lattice_0.20-45        
 [70] labeling_0.4.2          bit_4.0.5               processx_3.8.0         
 [73] tidyselect_1.2.0        here_1.0.1              magrittr_2.0.3         
 [76] R6_2.5.1                generics_0.1.3          DBI_1.1.3              
 [79] mgcv_1.8-41             pillar_1.9.0            haven_2.5.1            
 [82] whisker_0.4             withr_2.5.0             units_0.8-0            
 [85] sp_1.5-1                modelr_0.1.10           crayon_1.5.2           
 [88] KernSmooth_2.23-20      utf8_1.2.2              tzdb_0.3.0             
 [91] rmarkdown_2.18          grid_4.2.2              readxl_1.4.1           
 [94] data.table_1.14.6       callr_3.7.3             git2r_0.30.1           
 [97] reprex_2.0.2            digest_0.6.30           classInt_0.4-8         
[100] httpuv_1.6.6            textshaping_0.3.6       munsell_0.5.0          
[103] viridisLite_0.4.1       bslib_0.4.1