Last updated: 2024-05-15
Checks: 7 0
Knit directory:
heatwave_co2_flux_2023/analysis/
This reproducible R Markdown analysis was created with workflowr (version 1.7.0). The Checks tab describes the reproducibility checks that were applied when the results were created. The Past versions tab lists the development history.
Great! Since the R Markdown file has been committed to the Git repository, you know the exact version of the code that produced these results.
Great job! The global environment was empty. Objects defined in the global environment can affect the analysis in your R Markdown file in unknown ways. For reproduciblity it’s best to always run the code in an empty environment.
The command set.seed(20240307) was run prior to running
the code in the R Markdown file. Setting a seed ensures that any results
that rely on randomness, e.g. subsampling or permutations, are
reproducible.
Great job! Recording the operating system, R version, and package versions is critical for reproducibility.
Nice! There were no cached chunks for this analysis, so you can be confident that you successfully produced the results during this run.
Great job! Using relative paths to the files within your workflowr project makes it easier to run your code on other machines.
Great! You are using Git for version control. Tracking code development and connecting the code version to the results is critical for reproducibility.
The results in this page were generated with repository version 981d5e1. See the Past versions tab to see a history of the changes made to the R Markdown and HTML files.
Note that you need to be careful to ensure that all relevant files for
the analysis have been committed to Git prior to generating the results
(you can use wflow_publish or
wflow_git_commit). workflowr only checks the R Markdown
file, but you know if there are other scripts or data files that it
depends on. Below is the status of the Git repository when the results
were generated:
Ignored files:
Ignored: .Rhistory
Ignored: .Rproj.user/
Ignored: data/
Unstaged changes:
Modified: analysis/child/pCO2_product_preprocessing.Rmd
Modified: analysis/child/pCO2_product_synopsis.Rmd
Modified: code/Workflowr_project_managment.R
Note that any generated files, e.g. HTML, png, CSS, etc., are not included in this status report because it is ok for generated content to have uncommitted changes.
These are the previous versions of the repository in which changes were
made to the R Markdown (analysis/NRT_fco2residual.Rmd) and
HTML (docs/NRT_fco2residual.html) files. If you’ve
configured a remote Git repository (see ?wflow_git_remote),
click on the hyperlinks in the table below to view the files as they
were in that past version.
| File | Version | Author | Date | Message |
|---|---|---|---|---|
| Rmd | 981d5e1 | jens-daniel-mueller | 2024-05-15 | kw K0 product included, mean flux densities computed |
| html | 009791f | jens-daniel-mueller | 2024-05-14 | Build site. |
| html | 3b5d16b | jens-daniel-mueller | 2024-05-13 | Build site. |
| Rmd | 1e1dee5 | jens-daniel-mueller | 2024-05-13 | pco2 to fco2 conversions, changed output files |
| html | 1ea301d | jens-daniel-mueller | 2024-05-06 | Build site. |
| Rmd | d26f47c | jens-daniel-mueller | 2024-05-06 | use new version of OceanSODA, unit error fixed in Residual |
| html | cd94a01 | jens-daniel-mueller | 2024-05-06 | Build site. |
| Rmd | 2ea0165 | jens-daniel-mueller | 2024-05-06 | use version 5may2024 |
| html | 7f9c687 | jens-daniel-mueller | 2024-04-23 | Build site. |
| Rmd | 246f9cd | jens-daniel-mueller | 2024-04-19 | manual commit |
| html | 231f7cd | jens-daniel-mueller | 2024-04-17 | Build site. |
| Rmd | 20624c0 | jens-daniel-mueller | 2024-04-17 | rebuild with corrected NRT units |
| html | ce4e2a6 | jens-daniel-mueller | 2024-04-17 | Build site. |
| Rmd | 6b3a080 | jens-daniel-mueller | 2024-04-17 | rebuild entire website with NRT_fco2residual |
| html | 741ee62 | jens-daniel-mueller | 2024-04-17 | Build site. |
| Rmd | b7cc891 | jens-daniel-mueller | 2024-04-17 | ingest new product, rerun SOM-FFN |
| html | 3bd3bfb | jens-daniel-mueller | 2024-04-17 | Build site. |
| Rmd | 31deaad | jens-daniel-mueller | 2024-04-17 | ingest new product |
center <- -160
boundary <- center + 180
target_crs <- paste0("+proj=robin +over +lon_0=", center)
# target_crs <- paste0("+proj=eqearth +over +lon_0=", center)
# target_crs <- paste0("+proj=eqearth +lon_0=", center)
# target_crs <- paste0("+proj=igh_o +lon_0=", center)
worldmap <- ne_countries(scale = 'small',
type = 'map_units',
returnclass = 'sf')
worldmap <- worldmap %>% st_break_antimeridian(lon_0 = center)
worldmap_trans <- st_transform(worldmap, crs = target_crs)
# ggplot() +
# geom_sf(data = worldmap_trans)
coastline <- ne_coastline(scale = 'small', returnclass = "sf")
coastline <- st_break_antimeridian(coastline, lon_0 = 200)
coastline_trans <- st_transform(coastline, crs = target_crs)
# ggplot() +
# geom_sf(data = worldmap_trans, fill = "grey", col="grey") +
# geom_sf(data = coastline_trans)
bbox <- st_bbox(c(xmin = -180, xmax = 180, ymax = 65, ymin = -78), crs = st_crs(4326))
bbox <- st_as_sfc(bbox)
bbox_trans <- st_break_antimeridian(bbox, lon_0 = center)
bbox_graticules <- st_graticule(
x = bbox_trans,
crs = st_crs(bbox_trans),
datum = st_crs(bbox_trans),
lon = c(20, 20.001),
lat = c(-78,65),
ndiscr = 1e3,
margin = 0.001
)
bbox_graticules_trans <- st_transform(bbox_graticules, crs = target_crs)
rm(worldmap, coastline, bbox, bbox_trans)
# ggplot() +
# geom_sf(data = worldmap_trans, fill = "grey", col="grey") +
# geom_sf(data = coastline_trans) +
# geom_sf(data = bbox_graticules_trans)
lat_lim <- ext(bbox_graticules_trans)[c(3,4)]*1.002
lon_lim <- ext(bbox_graticules_trans)[c(1,2)]*1.005
# ggplot() +
# geom_sf(data = worldmap_trans, fill = "grey90", col = "grey90") +
# geom_sf(data = coastline_trans) +
# geom_sf(data = bbox_graticules_trans, linewidth = 1) +
# coord_sf(crs = target_crs,
# ylim = lat_lim,
# xlim = lon_lim,
# expand = FALSE) +
# theme(
# panel.border = element_blank(),
# axis.text = element_blank(),
# axis.ticks = element_blank()
# )
latitude_graticules <- st_graticule(
x = bbox_graticules,
crs = st_crs(bbox_graticules),
datum = st_crs(bbox_graticules),
lon = c(20, 20.001),
lat = c(-60,-30,0,30,60),
ndiscr = 1e3,
margin = 0.001
)
latitude_graticules_trans <- st_transform(latitude_graticules, crs = target_crs)
latitude_labels <- data.frame(lat_label = c("60°N","30°N","Eq.","30°S","60°S"),
lat = c(60,30,0,-30,-60)-4, lon = c(35)-c(0,2,4,2,0))
latitude_labels <- st_as_sf(x = latitude_labels,
coords = c("lon", "lat"),
crs = "+proj=longlat")
latitude_labels_trans <- st_transform(latitude_labels, crs = target_crs)
# ggplot() +
# geom_sf(data = worldmap_trans, fill = "grey", col = "grey") +
# geom_sf(data = coastline_trans) +
# geom_sf(data = bbox_graticules_trans) +
# geom_sf(data = latitude_graticules_trans,
# col = "grey60",
# linewidth = 0.2) +
# geom_sf_text(data = latitude_labels_trans,
# aes(label = lat_label),
# size = 3,
# col = "grey60")
path_pCO2_products <-
"/nfs/kryo/work/datasets/gridded/ocean/2d/observation/pco2/"
path_NRT_fco2residual <-
"/nfs/kryo/work/datasets/gridded/ocean/2d/observation/pco2/NRT_fco2residual_mckinley/"
library(ncdf4)
nc <-
nc_open(paste0(
path_pCO2_products,
"VLIZ-SOM_FFN/VLIZ-SOM_FFN_vBAMS2024.nc"
))
nc <-
nc_open(paste0(
path_pCO2_products,
"VLIZ-SOM_FFN/VLIZ-SOM_FFN_inputs.nc"
))
nc <-
nc_open(paste0(
path_NRT_fco2residual,
"NRT_fco2residual_mckinley_5may2024.nc"
))
print(nc)
print("NRT_fco2residual_mckinley_5may2024.nc")
[1] "NRT_fco2residual_mckinley_5may2024.nc"
pco2_product <-
read_ncdf(
paste0(
path_NRT_fco2residual,
"NRT_fco2residual_mckinley_5may2024.nc"
),
make_units = FALSE
)
pco2_product <- pco2_product %>%
as_tibble()
pco2_product <-
pco2_product %>%
rename(lon = xlon,
lat = ylat,
atm_fco2 = fco2atm,
sol = alpha,
salinity = sos,
temperature = tos)
pco2_product <-
pco2_product %>%
mutate(#fgco2 = fgco2 * 60 * 60 * 24 * 365 * 1e-14,
dfco2 = sfco2 - atm_fco2,
kw = kw * 1e-2 * 24 * 365,
sol = sol * 1e-3,
chl = log10(chl),
mld = log10(mld))
pco2_product <-
pco2_product %>%
mutate(kw_sol = kw * sol)
# pco2_product %>%
# ggplot(aes(sol)) +
# geom_histogram()
# pco2_product %>%
# filter(mld < 50) %>%
# ggplot(aes(mld)) +
# geom_histogram()
# pco2_product <-
# pco2_product %>%
# mutate(across(mld, ~ replace(., . == 0, NA)))
pco2_product <-
pco2_product %>%
mutate(area = earth_surf(lat, lon),
year = year(time),
month = month(time))
# pco2_product %>%
# filter(year == 2023,
# month %in% c(11,12)) %>%
# ggplot(aes(lon, lat, fill = fgco2)) +
# geom_tile() +
# facet_wrap(~ month)
pco2_product <-
pco2_product %>%
mutate(lon = if_else(lon < 20, lon + 360, lon))
pCO2_product_preprocessing <-
knitr::knit_expand(file = here::here("analysis/child/pCO2_product_preprocessing.Rmd"))
biome_mask <-
read_rds(here::here("data/biome_mask.rds"))
map <-
read_rds(here::here("data/map.rds"))
key_biomes <-
read_rds(here::here("data/key_biomes.rds"))
super_biomes <-
read_rds(here::here("data/super_biomes.rds"))
super_biome_mask <-
read_rds(here::here("data/super_biome_mask.rds"))
labels_breaks <- function(i_name) {
if (i_name == "dco2") {
i_legend_title <- "ΔpCO<sub>2</sub><br>(µatm)"
# i_breaks <- c(-Inf, seq(0, 80, 10), Inf)
# i_contour_level <- 50
# i_contour_level_abs <- 2200
}
if (i_name == "dfco2") {
i_legend_title <- "ΔfCO<sub>2</sub><br>(µatm)"
# i_breaks <- c(-Inf, seq(0, 80, 10), Inf)
# i_contour_level <- 50
# i_contour_level_abs <- 2200
}
if (i_name == "atm_co2") {
i_legend_title <- "pCO<sub>2,atm</sub><br>(µatm)"
# i_breaks <- c(-Inf, seq(0, 80, 10), Inf)
# i_contour_level <- 50
# i_contour_level_abs <- 2200
}
if (i_name == "atm_fco2") {
i_legend_title <- "fCO<sub>2,atm</sub><br>(µatm)"
# i_breaks <- c(-Inf, seq(0, 80, 10), Inf)
# i_contour_level <- 50
# i_contour_level_abs <- 2200
}
if (i_name == "sol") {
i_legend_title <- "K<sub>0</sub><br>(mol m<sup>-3</sup> µatm<sup>-1</sup>)"
# i_breaks <- c(-Inf, seq(0, 80, 10), Inf)
# i_contour_level <- 50
# i_contour_level_abs <- 2200
}
if (i_name == "kw") {
i_legend_title <- "k<sub>w</sub><br>(m yr<sup>-1</sup>)"
# i_breaks <- c(-Inf, seq(0, 80, 10), Inf)
# i_contour_level <- 50
# i_contour_level_abs <- 2200
}
if (i_name == "kw_sol") {
i_legend_title <- "k<sub>w</sub> K<sub>0</sub><br>(mol yr<sup>-1</sup> m<sup>-2</sup> µatm<sup>-1</sup>)"
# i_breaks <- c(-Inf, seq(0, 80, 10), Inf)
# i_contour_level <- 50
# i_contour_level_abs <- 2200
}
if (i_name == "spco2") {
i_legend_title <- "pCO<sub>2,ocean</sub><br>(µatm)"
# i_breaks <- c(-Inf, seq(0, 80, 10), Inf)
# i_contour_level <- 50
# i_contour_level_abs <- 2200
}
if (i_name == "sfco2") {
i_legend_title <- "fCO<sub>2,ocean</sub><br>(µatm)"
# i_breaks <- c(-Inf, seq(0, 80, 10), Inf)
# i_contour_level <- 50
# i_contour_level_abs <- 2200
}
if (i_name == "fgco2") {
i_legend_title <- "FCO<sub>2</sub><br>(mol m<sup>-2</sup> yr<sup>-1</sup>)"
# i_breaks <- c(-Inf, seq(0, 80, 10), Inf)
# i_contour_level <- 50
# i_contour_level_abs <- 2200
}
if (i_name == "fgco2_hov") {
i_legend_title <- "FCO<sub>2</sub><br>(PgC deg<sup>-1</sup> yr<sup>-1</sup>)"
# i_breaks <- c(-Inf, seq(0, 80, 10), Inf)
# i_contour_level <- 50
# i_contour_level_abs <- 2200
}
if (i_name == "fgco2_int") {
i_legend_title <- "FCO<sub>2</sub><br>(PgC yr<sup>-1</sup>)"
# i_breaks <- c(-Inf, seq(0, 80, 10), Inf)
# i_contour_level <- 50
# i_contour_level_abs <- 2200
}
if (i_name == "temperature") {
i_legend_title <- "SST<br>(°C)"
# i_breaks <- c(-Inf, seq(0, 80, 10), Inf)
# i_contour_level <- 50
# i_contour_level_abs <- 2200
}
if (i_name == "salinity") {
i_legend_title <- "SSS"
# i_breaks <- c(-Inf, seq(0, 80, 10), Inf)
# i_contour_level <- 50
# i_contour_level_abs <- 2200
}
if (i_name == "chl") {
i_legend_title <- "lg(Chl-a)<br>(lg(mg m<sup>-3</sup>))"
# i_breaks <- c(-Inf, seq(0, 80, 10), Inf)
# i_contour_level <- 50
# i_contour_level_abs <- 2200
}
if (i_name == "mld") {
i_legend_title <- "lg(MLD)<br>(lg(m))"
# i_breaks <- c(-Inf, seq(0, 80, 10), Inf)
# i_contour_level <- 50
# i_contour_level_abs <- 2200
}
if (i_name == "press") {
i_legend_title <- "pressure<sub>atm</sub><br>(Pa)"
# i_breaks <- c(-Inf, seq(0, 80, 10), Inf)
# i_contour_level <- 50
# i_contour_level_abs <- 2200
}
if (i_name == "wind") {
i_legend_title <- "Wind <br>(m sec<sup>-1</sup>)"
# i_breaks <- c(-Inf, seq(0, 80, 10), Inf)
# i_contour_level <- 50
# i_contour_level_abs <- 2200
}
if (i_name == "SSH") {
i_legend_title <- "SSH <br>(m)"
# i_breaks <- c(-Inf, seq(0, 80, 10), Inf)
# i_contour_level <- 50
# i_contour_level_abs <- 2200
}
if (i_name == "fice") {
i_legend_title <- "Sea ice <br>(%)"
# i_breaks <- c(-Inf, seq(0, 80, 10), Inf)
# i_contour_level <- 50
# i_contour_level_abs <- 2200
}
all_labels_breaks <- lst(i_legend_title,
# i_breaks,
# i_contour_level,
# i_contour_level_abs
)
return(all_labels_breaks)
}
# labels_breaks("fgco2")
x_axis_labels <-
c(
"dco2" = labels_breaks("dco2")$i_legend_title,
"dfco2" = labels_breaks("dfco2")$i_legend_title,
"atm_co2" = labels_breaks("atm_co2")$i_legend_title,
"atm_fco2" = labels_breaks("atm_fco2")$i_legend_title,
"sol" = labels_breaks("sol")$i_legend_title,
"kw" = labels_breaks("kw")$i_legend_title,
"kw_sol" = labels_breaks("kw_sol")$i_legend_title,
"spco2" = labels_breaks("spco2")$i_legend_title,
"sfco2" = labels_breaks("sfco2")$i_legend_title,
"fgco2_hov" = labels_breaks("fgco2_hov")$i_legend_title,
"fgco2_int" = labels_breaks("fgco2_int")$i_legend_title,
"temperature" = labels_breaks("temperature")$i_legend_title,
"salinity" = labels_breaks("salinity")$i_legend_title,
"chl" = labels_breaks("chl")$i_legend_title,
"mld" = labels_breaks("mld")$i_legend_title,
"press" = labels_breaks("press")$i_legend_title,
"wind" = labels_breaks("wind")$i_legend_title,
"SSH" = labels_breaks("SSH")$i_legend_title,
"fice" = labels_breaks("fice")$i_legend_title
)
name_quadratic_fit <- c("atm_co2", "atm_fco2", "spco2", "sfco2")
start_year <- 1990
name_divergent <- c("dco2", "dfco2", "fgco2", "fgco2_hov", "fgco2_int")
pco2_product <-
pco2_product %>%
filter(year >= start_year)
pco2_product <-
full_join(pco2_product,
biome_mask)
# set all values outside biome mask to NA
pco2_product <-
pco2_product %>%
mutate(across(-c(lat, lon, time, area, year, month, biome),
~ if_else(is.na(biome), NA, .)))
# apply coarse grid
pco2_product_coarse <-
m_grid_horizontal_coarse(pco2_product)
pco2_product_coarse <-
pco2_product_coarse %>%
select(-c(lon, lat, time, biome)) %>%
group_by(year, month, lon_grid, lat_grid) %>%
summarise(across(-area,
~ weighted.mean(., area))) %>%
ungroup() %>%
rename(lon = lon_grid, lat = lat_grid)
pco2_product_coarse <-
pco2_product_coarse %>%
pivot_longer(-c(year, month, lon, lat)) %>%
drop_na() %>%
pivot_wider()
# compute annual means
pco2_product_coarse_annual <-
pco2_product_coarse %>%
select(-month) %>%
group_by(year, lon, lat) %>%
summarise(across(where(is.numeric),
~ mean(.))) %>%
ungroup()
pco2_product_coarse_annual <-
pco2_product_coarse_annual %>%
pivot_longer(-c(year, lon, lat))
## compute monthly means
pco2_product_coarse_monthly <-
pco2_product_coarse %>%
group_by(year, month, lon, lat) %>%
summarise(across(where(is.numeric),
~ mean(.))) %>%
ungroup()
pco2_product_coarse_monthly <-
pco2_product_coarse_monthly %>%
pivot_longer(-c(year, month, lon, lat))
pco2_product_monthly_global <-
pco2_product %>%
filter(!is.na(fgco2)) %>%
mutate(fgco2_int = fgco2) %>%
select(-c(lon, lat, year, month, biome)) %>%
group_by(time) %>%
summarise(across(-c(fgco2_int, area),
~ weighted.mean(., area, na.rm = TRUE)),
across(fgco2_int,
~ sum(. * area, na.rm = TRUE) * 12.01 * 1e-15)) %>%
ungroup()
pco2_product_monthly_biome <-
pco2_product %>%
filter(!is.na(fgco2)) %>%
mutate(fgco2_int = fgco2) %>%
select(-c(lon, lat, year, month)) %>%
group_by(time, biome) %>%
summarise(across(-c(fgco2_int, area),
~ weighted.mean(., area, na.rm = TRUE)),
across(fgco2_int,
~ sum(. * area, na.rm = TRUE) * 12.01 * 1e-15)) %>%
ungroup()
pco2_product_monthly_biome_super <-
pco2_product %>%
filter(!is.na(fgco2)) %>%
mutate(fgco2_int = fgco2) %>%
mutate(
biome = case_when(
str_detect(biome, "NA-") ~ "North Atlantic",
str_detect(biome, "NP-") ~ "North Pacific",
str_detect(biome, "SO-") ~ "Southern Ocean",
TRUE ~ "other"
)
) %>%
filter(biome != "other") %>%
select(-c(lon, lat, year, month)) %>%
group_by(time, biome) %>%
summarise(across(-c(fgco2_int, area),
~ weighted.mean(., area, na.rm = TRUE)),
across(fgco2_int,
~ sum(. * area, na.rm = TRUE) * 12.01 * 1e-15)) %>%
ungroup()
pco2_product_monthly <-
bind_rows(pco2_product_monthly_global %>%
mutate(biome = "Global"),
pco2_product_monthly_biome,
pco2_product_monthly_biome_super)
rm(
pco2_product_monthly_global,
pco2_product_monthly_biome,
pco2_product_monthly_biome_super
)
pco2_product_monthly <-
pco2_product_monthly %>%
filter(!is.na(biome))
pco2_product_monthly <-
pco2_product_monthly %>%
mutate(year = year(time),
month = month(time),
.after = time)
pco2_product_monthly <-
pco2_product_monthly %>%
pivot_longer(-c(time, year, month, biome))
The following Hovmoeller plots show the value of each variable as provided through the pCO2 product. Hovmoeller plots are first presented as annual means, and than as monthly means.
pco2_product_hovmoeller_monthly_annual <-
pco2_product %>%
mutate(fgco2_int = fgco2) %>%
select(-c(lon, time, month, biome)) %>%
group_by(year, lat) %>%
summarise(across(-c(fgco2_int, area),
~ weighted.mean(., area, na.rm = TRUE)),
across(fgco2_int,
~ sum(. * area, na.rm = TRUE) * 12.01 * 1e-15)) %>%
ungroup() %>%
rename(fgco2_hov = fgco2_int) %>%
filter(fgco2_hov != 0)
pco2_product_hovmoeller_monthly_annual <-
pco2_product_hovmoeller_monthly_annual %>%
pivot_longer(-c(year, lat)) %>%
drop_na()
pco2_product_hovmoeller_monthly_annual %>%
filter(!(name %in% name_divergent)) %>%
group_split(name) %>%
# tail(5) %>%
map(
~ ggplot(data = .x,
aes(year, lat, fill = value)) +
geom_raster() +
scale_fill_viridis_c(name = labels_breaks(.x %>% distinct(name))) +
theme(legend.title = element_markdown()) +
coord_cartesian(expand = 0) +
labs(title = "Annual means",
y = "Latitude") +
theme(axis.title.x = element_blank())
)
[[1]]

[[2]]

[[3]]

[[4]]

[[5]]

[[6]]

[[7]]

[[8]]

[[9]]

pco2_product_hovmoeller_monthly_annual %>%
filter(name %in% name_divergent) %>%
group_split(name) %>%
# head(1) %>%
map(
~ ggplot(data = .x,
aes(year, lat, fill = value)) +
geom_raster() +
scale_fill_divergent(name = labels_breaks(.x %>% distinct(name))) +
theme(legend.title = element_markdown()) +
coord_cartesian(expand = 0) +
labs(title = "Annual means",
y = "Latitude") +
theme(axis.title.x = element_blank())
)
[[1]]

[[2]]

[[3]]

pco2_product_hovmoeller_monthly <-
pco2_product %>%
mutate(fgco2_int = fgco2) %>%
select(-c(lon, time, biome)) %>%
group_by(year, month, lat) %>%
summarise(across(-c(fgco2_int, area),
~ weighted.mean(., area, na.rm = TRUE)),
across(fgco2_int,
~ sum(. * area, na.rm = TRUE) * 12.01 * 1e-15)) %>%
ungroup() %>%
rename(fgco2_hov = fgco2_int) %>%
filter(fgco2_hov != 0)
pco2_product_hovmoeller_monthly <-
pco2_product_hovmoeller_monthly %>%
pivot_longer(-c(year, month, lat)) %>%
drop_na()
pco2_product_hovmoeller_monthly <-
pco2_product_hovmoeller_monthly %>%
mutate(decimal = year + (month-1) / 12)
pco2_product_hovmoeller_monthly %>%
filter(!(name %in% name_divergent)) %>%
group_split(name) %>%
# head(1) %>%
map(
~ ggplot(data = .x,
aes(decimal, lat, fill = value)) +
geom_raster() +
scale_fill_viridis_c(name = labels_breaks(.x %>% distinct(name))) +
theme(legend.title = element_markdown()) +
labs(title = "Monthly means",
y = "Latitude") +
coord_cartesian(expand = 0) +
theme(axis.title.x = element_blank())
)
[[1]]

[[2]]

[[3]]

[[4]]

[[5]]

[[6]]

[[7]]

[[8]]

[[9]]

pco2_product_hovmoeller_monthly %>%
filter(name %in% name_divergent) %>%
group_split(name) %>%
# head(1) %>%
map(
~ ggplot(data = .x,
aes(decimal, lat, fill = value)) +
geom_raster() +
scale_fill_divergent(name = labels_breaks(.x %>% distinct(name))) +
theme(legend.title = element_markdown()) +
labs(title = "Monthly means",
y = "Latitude") +
coord_cartesian(expand = 0) +
theme(axis.title.x = element_blank())
)
[[1]]

[[2]]

[[3]]

pCO2productanalysis_2023 <-
knitr::knit_expand(
file = here::here("analysis/child/pCO2_product_analysis.Rmd"),
product_name = "NRT_fco2residual",
year_anom = 2023
)
For the detection of anomalies at any point in time and space, we fit regression models and compare the fitted to the actual value.
We use linear regression models for all parameters, except for , which are approximated with quadratic fits.
The regression models are fitted to all data since , except 2023.
anomaly_determination <- function(df,...) {
group_by <- quos(...)
# group_by <- quos(lon, lat)
# df <- pco2_product_coarse_annual
# Linear regression models
df_lm <-
df %>%
filter(year != 2023,
!(name %in% name_quadratic_fit)) %>%
nest(data = -c(name, !!!group_by)) %>%
mutate(
fit = map(data, ~ lm(value ~ year, data = .x)),
tidied = map(fit, tidy),
augmented = map(fit, augment)
)
df_lm_year_anom <-
full_join(
df_lm %>%
unnest(tidied) %>%
select(name, !!!group_by, term, estimate) %>%
pivot_wider(names_from = term,
values_from = estimate) %>%
mutate(fit = `(Intercept)` + year * 2023) %>%
select(name, !!!group_by, fit) %>%
mutate(year = 2023),
df %>%
filter(year == 2023,
!(name %in% name_quadratic_fit))
) %>%
mutate(resid = value - fit)
df_lm <-
bind_rows(
df_lm %>%
unnest(augmented) %>%
select(name, !!!group_by, year, value, fit = .fitted, resid = .resid),
df_lm_year_anom
)
rm(df_lm_year_anom)
# Quadratic regression models
df_quadratic <-
df %>%
filter(year != 2023,
name %in% name_quadratic_fit) %>%
nest(data = -c(name, !!!group_by)) %>%
mutate(
fit = map(data, ~ lm(value ~ year + I(year ^ 2), data = .x)),
tidied = map(fit, tidy),
augmented = map(fit, augment)
)
df_quadratic_year_anom <-
full_join(
df_quadratic %>%
unnest(tidied) %>%
select(name, !!!group_by, term, estimate) %>%
pivot_wider(names_from = term,
values_from = estimate) %>%
mutate(fit = `(Intercept)` + year * 2023 + `I(year^2)` * 2023 ^ 2) %>%
select(name, !!!group_by, fit) %>%
mutate(year = 2023),
df %>%
filter(year == 2023,
name %in% name_quadratic_fit)
) %>%
mutate(resid = value - fit)
df_quadratic <-
bind_rows(
df_quadratic %>%
unnest(augmented) %>%
select(name, !!!group_by, year, value, fit = .fitted, resid = .resid),
df_quadratic_year_anom
)
rm(df_quadratic_year_anom)
# Join linear and quadratic regression results
df_regression <-
bind_rows(df_lm,
df_quadratic)
df_regression <-
df_regression %>%
arrange(year)
rm(df_lm,
df_quadratic)
return(df_regression)
}
anomaly_determination <- function(df,...) {
group_by <- quos(...)
# group_by <- quos(biome)
# group_by <- quos(lon, lat)
# df <- pco2_product_coarse_annual
# Climatoligcal mean
df_mean <-
df %>%
filter(year < 2023,
year >= 2023-5) %>%
group_by(name, !!!group_by) %>%
summarize(
fit = mean(value, na.rm = TRUE)
) %>%
ungroup()
df_mean <-
full_join(
df_mean,
df
) %>%
mutate(resid = value - fit)
return(df_mean)
}
The following maps show the absolute state of each variable in 2023 as provided through the pCO2 product, the change in that variable from 1990 to 2023, as well es the anomalies in 2023. Changes and anomalies are determined based on the predicted value of a linear regression model fit to the data from 1990 to 2022.
Maps are first presented as annual means, and than as monthly means. Note that the 2023 predictions for the monthly maps are done individually for each month, such the mean seasonal anomaly from the annual mean is removed.
Note: The increase the computational speed, I regridded all maps to 5X5° grid.
pco2_product_coarse_annual_regression <-
pco2_product_coarse_annual %>%
drop_na() %>%
anomaly_determination(lon, lat)
pco2_product_coarse_annual_regression <-
pco2_product_coarse_annual_regression %>%
drop_na()
pco2_product_coarse_annual_regression %>%
filter(year == 2023,
!(name %in% name_divergent)) %>%
group_split(name) %>%
# head(1) %>%
map(
~ map +
geom_tile(data = .x,
aes(lon, lat, fill = value)) +
labs(title = paste("Annual mean", 2023)) +
scale_fill_viridis_c(name = labels_breaks(.x %>% distinct(name))) +
theme(legend.title = element_markdown())
)
[[1]]

[[2]]

[[3]]

[[4]]

[[5]]

[[6]]

[[7]]

[[8]]

[[9]]

pco2_product_coarse_annual_regression %>%
filter(year == 2023,
name %in% name_divergent) %>%
group_split(name) %>%
# head(1) %>%
map( ~ map +
geom_tile(data = .x,
aes(lon, lat, fill = value)) +
labs(title = paste("Annual mean", 2023)) +
scale_fill_divergent(
name = labels_breaks(.x %>% distinct(name))) +
theme(legend.title = element_markdown())
)
[[1]]

[[2]]

pco2_product_coarse_annual_regression <-
pco2_product_coarse_annual_regression %>%
group_by(name) %>%
filter(year %in% c(min(year), max(year), 2023)) %>%
ungroup()
pco2_product_coarse_annual_regression %>%
select(-c(value, resid)) %>%
filter(year %in% c(min(year), max(year))) %>%
arrange(year) %>%
group_by(lon, lat, name) %>%
mutate(change = fit - lag(fit),
period = paste(lag(year), year, sep = "-")) %>%
ungroup() %>%
filter(!is.na(change)) %>%
group_split(name) %>%
# head(1) %>%
map(
~ map +
geom_tile(data = .x,
aes(lon, lat, fill = change)) +
labs(title = paste("Change: ",.x$period)) +
scale_fill_divergent(name = labels_breaks(.x %>% distinct(name))) +
theme(legend.title = element_markdown())
)
[[1]]

[[2]]

[[3]]

[[4]]

[[5]]

[[6]]

[[7]]

[[8]]

[[9]]

[[10]]

[[11]]

pco2_product_coarse_annual_regression %>%
filter(year == 2023) %>%
group_split(name) %>%
# head(1) %>%
map( ~ map +
geom_tile(data = .x,
aes(lon, lat, fill = resid)) +
labs(title = paste(2023,"anomaly")) +
scale_fill_divergent(
name = labels_breaks(.x %>% distinct(name))) +
theme(legend.title = element_markdown())
)
[[1]]

[[2]]

[[3]]

[[4]]

[[5]]

[[6]]

[[7]]

[[8]]

[[9]]

[[10]]

[[11]]

pco2_product_coarse_annual_regression %>%
write_csv(paste0("../data/","NRT_fco2residual","_","2023","_anomaly_map_annual.csv"))
pco2_product_coarse_monthly_regression <-
pco2_product_coarse_monthly %>%
drop_na() %>%
anomaly_determination(lon, lat, month)
pco2_product_coarse_monthly_regression <-
pco2_product_coarse_monthly_regression %>%
drop_na()
pco2_product_coarse_monthly_regression %>%
filter(year == 2023,
!(name %in% name_divergent)) %>%
group_split(name) %>%
# head(1) %>%
map(
~ map +
geom_tile(data = .x,
aes(lon, lat, fill = value)) +
labs(title = paste("Monthly means", 2023)) +
scale_fill_viridis_c(name = labels_breaks(.x %>% distinct(name))) +
theme(legend.title = element_markdown()) +
facet_wrap( ~ month, ncol = 2)
)
[[1]]

[[2]]

[[3]]

[[4]]

[[5]]

[[6]]

[[7]]

[[8]]

[[9]]

pco2_product_coarse_monthly_regression %>%
filter(year == 2023,
name %in% name_divergent) %>%
group_split(name) %>%
# head(1) %>%
map(
~ map +
geom_tile(data = .x,
aes(lon, lat, fill = value)) +
labs(title = paste("Monthly means", 2023)) +
scale_fill_divergent(name = labels_breaks(.x %>% distinct(name))) +
theme(legend.title = element_markdown()) +
facet_wrap( ~ month, ncol = 2)
)
[[1]]

[[2]]

pco2_product_coarse_monthly_regression %>%
group_by(name) %>%
filter(year %in% c(min(year), max(year))) %>%
ungroup() %>%
select(-c(value, resid)) %>%
arrange(year) %>%
group_by(lon, lat, name, month) %>%
mutate(change = fit - lag(fit),
period = paste(lag(year), year, sep = "-")) %>%
ungroup() %>%
filter(!is.na(change)) %>%
group_split(name) %>%
# head(1) %>%
map(
~ map +
geom_tile(data = .x,
aes(lon, lat, fill = change)) +
labs(title = paste("Change: ", .x$period)) +
scale_fill_divergent(name = labels_breaks(.x %>% distinct(name))) +
theme(legend.title = element_markdown()) +
facet_wrap(~ month, ncol = 2)
)
[[1]]

[[2]]

[[3]]

[[4]]

[[5]]

[[6]]

[[7]]

[[8]]

[[9]]

[[10]]

[[11]]

pco2_product_coarse_monthly_regression %>%
filter(year == 2023) %>%
group_split(name) %>%
# head(1) %>%
map(
~ map +
geom_tile(data = .x,
aes(lon, lat, fill = resid)) +
labs(title = paste(2023, "anomaly")) +
scale_fill_divergent(name = labels_breaks(.x %>% distinct(name))) +
theme(legend.title = element_markdown()) +
facet_wrap( ~ month, ncol = 2)
)
[[1]]

[[2]]

[[3]]

[[4]]

[[5]]

[[6]]

[[7]]

[[8]]

[[9]]

[[10]]

[[11]]

pco2_product_coarse_monthly_regression %>%
filter(year == 2023) %>%
write_csv(paste0("../data/","NRT_fco2residual","_","2023","_anomaly_map_monthly.csv"))
The following Hovmoeller plots show the anomalies from the prediction of the linear/quadratic fits.
Hovmoeller plots are first presented as annual means, and than as monthly means. Note that the predictions for the monthly Hovmoeller plots are done individually for each month, such the mean seasonal anomaly from the annual mean is removed.
pco2_product_hovmoeller_monthly_annual_regression <-
pco2_product_hovmoeller_monthly_annual %>%
anomaly_determination(lat) %>%
filter(!is.na(resid))
pco2_product_hovmoeller_monthly_annual_regression %>%
# filter(name == "mld") %>%
group_split(name) %>%
# head(1) %>%
map(
~ ggplot(data = .x,
aes(year, lat, fill = resid)) +
geom_raster() +
scale_fill_divergent(name = labels_breaks(.x %>% distinct(name))) +
theme(legend.title = element_markdown()) +
coord_cartesian(expand = 0) +
labs(title = "Annual mean anomalies",
y = "Latitude") +
theme(axis.title.x = element_blank())
)
[[1]]

[[2]]

[[3]]

[[4]]

[[5]]

[[6]]

[[7]]

[[8]]

[[9]]

[[10]]

[[11]]

[[12]]

pco2_product_hovmoeller_monthly_regression <-
pco2_product_hovmoeller_monthly %>%
select(-c(decimal)) %>%
anomaly_determination(lat, month) %>%
filter(!is.na(resid))
pco2_product_hovmoeller_monthly_regression <-
pco2_product_hovmoeller_monthly_regression %>%
mutate(decimal = year + (month - 1) / 12)
pco2_product_hovmoeller_monthly_regression %>%
group_split(name) %>%
# head(1) %>%
map(
~ ggplot(data = .x,
aes(decimal, lat, fill = resid)) +
geom_raster() +
scale_fill_divergent(name = labels_breaks(.x %>% distinct(name))) +
theme(legend.title = element_markdown()) +
coord_cartesian(expand = 0) +
labs(title = "Monthly mean anomalies",
y = "Latitude") +
theme(axis.title.x = element_blank())
)
[[1]]

[[2]]

[[3]]

[[4]]

[[5]]

[[6]]

[[7]]

[[8]]

[[9]]

[[10]]

[[11]]

[[12]]

pco2_product_hovmoeller_monthly_regression %>%
write_csv(paste0("../data/","NRT_fco2residual","_","2023","_anomaly_hovmoeller_monthly.csv"))
pco2_product_hovmoeller_monthly_regression %>%
filter(between(year, 2023-2, 2023)) %>%
group_split(name) %>%
# head(1) %>%
map(
~ ggplot(data = .x,
aes(decimal, lat, fill = resid)) +
geom_raster() +
scale_fill_divergent(name = labels_breaks(.x %>% distinct(name))) +
theme(legend.title = element_markdown()) +
coord_cartesian(expand = 0) +
labs(title = "Monthly mean anomalies",
y = "Latitude") +
theme(axis.title.x = element_blank())
)
[[1]]

[[2]]

[[3]]

[[4]]

[[5]]

[[6]]

[[7]]

[[8]]

[[9]]

[[10]]

[[11]]

[[12]]

The following plots show regionally averaged (or integrated) values of each variable as provided through the pCO2 product, as well as the anomalies from the prediction of a linear/quadratic fit.
Anomalies are first presented relative to the predicted annual mean of each year, hence preserving the seasonality. Furthermore, anomalies are presented relative to the predicted monthly mean values, such that the mean seasonality is removed.
fig.height <- pco2_product_monthly %>%
distinct(name) %>%
nrow()
fig.height <- (fig.height + 2) * 0.1
pco2_product_monthly %>%
filter(biome %in% "Global") %>%
ggplot(aes(month, value, group = as.factor(year))) +
geom_path(data = . %>% filter(!between(year, 2023-1, 2023)),
aes(col = year)) +
scale_color_grayC() +
new_scale_color() +
geom_path(data = . %>% filter(between(year, 2023-1, 2023)),
aes(col = as.factor(year)),
linewidth = 1) +
scale_color_manual(values = c("orange", "red"),
guide = guide_legend(reverse = TRUE,
order = 1)) +
scale_x_continuous(breaks = seq(1, 12, 3), expand = c(0, 0)) +
labs(title = "Absolute values | Global") +
facet_wrap(name ~ .,
scales = "free_y",
labeller = labeller(name = x_axis_labels),
strip.position = "left",
ncol = 2) +
theme(
strip.text.y.left = element_markdown(),
strip.placement = "outside",
strip.background.y = element_blank(),
legend.title = element_blank(),
axis.title.y = element_blank()
)

pco2_product_monthly %>%
filter(biome %in% key_biomes) %>%
ggplot(aes(month, value, group = as.factor(year))) +
geom_path(data = . %>% filter(!between(year, 2023-1, 2023)),
aes(col = year)) +
scale_color_grayC() +
new_scale_color() +
geom_path(data = . %>% filter(between(year, 2023-1, 2023)),
aes(col = as.factor(year)),
linewidth = 1) +
scale_color_manual(values = c("orange", "red"),
guide = guide_legend(reverse = TRUE,
order = 1)) +
scale_x_continuous(breaks = seq(1, 12, 3), expand = c(0, 0)) +
labs(title = "Absolute values | Selected biomes") +
facet_grid(name ~ biome,
scales = "free_y",
labeller = labeller(name = x_axis_labels),
switch = "y") +
theme(
strip.text.y.left = element_markdown(),
strip.placement = "outside",
strip.background.y = element_blank(),
legend.title = element_blank(),
axis.title.y = element_blank()
)

pco2_product_monthly %>%
filter(biome %in% key_biomes) %>%
group_split(biome) %>%
# head(1) %>%
map(
~ ggplot(data = .x,
aes(month, value, group = as.factor(year))) +
geom_path(data = . %>% filter(!between(year, 2023-1, 2023)),
aes(col = year)) +
scale_color_grayC() +
new_scale_color() +
geom_path(
data = . %>% filter(between(year, 2023-1, 2023)),
aes(col = as.factor(year)),
linewidth = 1
) +
scale_color_manual(
values = c("orange", "red"),
guide = guide_legend(reverse = TRUE,
order = 1)
) +
scale_x_continuous(breaks = seq(1, 12, 3), expand = c(0, 0)) +
labs(title = paste("Absolute values |", .x$biome)) +
facet_wrap(name ~ .,
scales = "free_y",
labeller = labeller(name = x_axis_labels),
strip.position = "left",
ncol = 2) +
theme(
strip.text.y.left = element_markdown(),
strip.placement = "outside",
strip.background.y = element_blank(),
legend.title = element_blank(),
axis.title.y = element_blank()
)
)
[[1]]

[[2]]

[[3]]

[[4]]

pco2_product_monthly %>%
filter(biome %in% super_biomes) %>%
ggplot(aes(month, value, group = as.factor(year))) +
geom_path(data = . %>% filter(!between(year, 2023-1, 2023)),
aes(col = year)) +
scale_color_grayC() +
new_scale_color() +
geom_path(data = . %>% filter(between(year, 2023-1, 2023)),
aes(col = as.factor(year)),
linewidth = 1) +
scale_color_manual(values = c("orange", "red"),
guide = guide_legend(reverse = TRUE,
order = 1)) +
scale_x_continuous(breaks = seq(1, 12, 3), expand = c(0, 0)) +
labs(title = "Absolute values | Selected super biomes") +
facet_grid(name ~ biome,
scales = "free_y",
labeller = labeller(name = x_axis_labels),
switch = "y") +
theme(
strip.text.y.left = element_markdown(),
strip.placement = "outside",
strip.background.y = element_blank(),
legend.title = element_blank(),
axis.title.y = element_blank()
)

pco2_product_monthly %>%
filter(biome %in% super_biomes) %>%
group_split(biome) %>%
# head(1) %>%
map(
~ ggplot(data = .x,
aes(month, value, group = as.factor(year))) +
geom_path(data = . %>% filter(!between(year, 2023-1, 2023)),
aes(col = year)) +
scale_color_grayC() +
new_scale_color() +
geom_path(
data = . %>% filter(between(year, 2023-1, 2023)),
aes(col = as.factor(year)),
linewidth = 1
) +
scale_color_manual(
values = c("orange", "red"),
guide = guide_legend(reverse = TRUE,
order = 1)
) +
scale_x_continuous(breaks = seq(1, 12, 3), expand = c(0, 0)) +
labs(title = paste("Absolute values |", .x$biome)) +
facet_wrap(name ~ .,
scales = "free_y",
labeller = labeller(name = x_axis_labels),
strip.position = "left",
ncol = 2) +
theme(
strip.text.y.left = element_markdown(),
strip.placement = "outside",
strip.background.y = element_blank(),
legend.title = element_blank(),
axis.title.y = element_blank()
)
)
[[1]]

[[2]]

pco2_product_annual <-
pco2_product_monthly %>%
group_by(year, biome, name) %>%
summarise(value = mean(value)) %>%
ungroup()
pco2_product_annual %>%
filter(biome %in% "Global") %>%
ggplot(aes(year, value)) +
geom_path() +
geom_point(data = . %>% filter(year != 2023)) +
geom_point(data = . %>% filter(year == 2023),
shape = 1) +
geom_smooth(data = . %>% filter(year != 2023,
!(name %in% name_quadratic_fit)),
method = "lm",
fullrange = TRUE,
aes(col = "linear"),
se = FALSE) +
geom_smooth(data = . %>% filter(year != 2023,
name %in% name_quadratic_fit),
method = "lm",
fullrange = TRUE,
formula = y ~ x + I(x^2),
aes(col = "quadratic"),
se = FALSE) +
scale_color_brewer(
palette = "Set1",
name = paste("Regression fit\nexcl.", 2023)) +
scale_x_continuous(breaks = seq(1980, 2020, 20)) +
labs(title = "Annual mean trends | Global") +
facet_wrap(name ~ .,
scales = "free_y",
labeller = labeller(name = x_axis_labels),
strip.position = "left",
ncol = 2) +
theme(
strip.text.y.left = element_markdown(),
strip.placement = "outside",
strip.background.y = element_blank(),
axis.title = element_blank()
)

pco2_product_annual %>%
filter(biome %in% key_biomes) %>%
ggplot(aes(year, value)) +
geom_path() +
geom_point(data = . %>% filter(year != 2023),
size = 0.2) +
geom_point(data = . %>% filter(year == 2023),
shape = 1) +
geom_smooth(data = . %>% filter(year != 2023,
!(name %in% name_quadratic_fit)),
method = "lm",
fullrange = TRUE,
aes(col = "linear"),
se = FALSE) +
geom_smooth(data = . %>% filter(year != 2023,
name %in% name_quadratic_fit),
method = "lm",
fullrange = TRUE,
formula = y ~ x + I(x^2),
aes(col = "quadratic"),
se = FALSE) +
scale_color_brewer(
palette = "Set1",
name = paste("Regression fit\nexcl.", 2023)) +
scale_x_continuous(breaks = seq(1980, 2020, 20)) +
labs(title = "Annual mean trends | Selected biomes") +
facet_grid(name ~ biome,
scales = "free_y",
labeller = labeller(name = x_axis_labels),
switch = "y") +
theme(
strip.text.y.left = element_markdown(),
strip.placement = "outside",
strip.background.y = element_blank(),
axis.title = element_blank()
)

pco2_product_annual %>%
filter(biome %in% super_biomes) %>%
ggplot(aes(year, value)) +
geom_path() +
geom_point(data = . %>% filter(year != 2023),
size = 0.2) +
geom_point(data = . %>% filter(year == 2023),
shape = 1) +
geom_smooth(data = . %>% filter(year != 2023,
!(name %in% name_quadratic_fit)),
method = "lm",
fullrange = TRUE,
aes(col = "linear"),
se = FALSE) +
geom_smooth(data = . %>% filter(year != 2023,
name %in% name_quadratic_fit),
method = "lm",
fullrange = TRUE,
formula = y ~ x + I(x^2),
aes(col = "quadratic"),
se = FALSE) +
scale_color_brewer(
palette = "Set1",
name = paste("Regression fit\nexcl.", 2023)) +
scale_x_continuous(breaks = seq(1980, 2020, 20)) +
labs(title = "Annual mean trends | Selected super biomes") +
facet_grid(name ~ biome,
scales = "free_y",
labeller = labeller(name = x_axis_labels),
switch = "y") +
theme(
strip.text.y.left = element_markdown(),
strip.placement = "outside",
strip.background.y = element_blank(),
axis.title = element_blank()
)

pco2_product_annual_regression <-
pco2_product_annual %>%
anomaly_determination(biome)
pco2_product_annual_regression %>%
filter(biome %in% "Global") %>%
ggplot(aes(year, resid)) +
geom_hline(yintercept = 0) +
geom_path() +
geom_point(data = . %>% filter(!between(year, 2023-1, 2023)),
aes(fill = year),
shape = 21) +
scale_fill_grayC() +
new_scale_fill() +
geom_point(data = . %>% filter(between(year, 2023-1, 2023)),
aes(fill = as.factor(year)),
shape = 21, size = 2) +
scale_fill_manual(values = c("orange", "red"),
guide = guide_legend(reverse = TRUE,
order = 1)) +
scale_x_continuous(breaks = seq(1980, 2020, 20)) +
labs(title = "Residual from fit to annual means (actual - predicted) | Global") +
facet_wrap(name ~ .,
scales = "free_y",
labeller = labeller(name = x_axis_labels),
strip.position = "left",
ncol = 2) +
theme(
strip.text.y.left = element_markdown(),
strip.placement = "outside",
strip.background.y = element_blank(),
axis.title = element_blank(),
legend.title = element_blank()
)

pco2_product_annual_regression %>%
filter(biome %in% key_biomes) %>%
ggplot(aes(year, resid)) +
geom_hline(yintercept = 0) +
geom_path() +
geom_point(data = . %>% filter(!between(year, 2023-1, 2023)),
aes(fill = year),
shape = 21) +
scale_fill_grayC() +
new_scale_fill() +
geom_point(data = . %>% filter(between(year, 2023-1, 2023)),
aes(fill = as.factor(year)),
shape = 21, size = 2) +
scale_fill_manual(values = c("orange", "red"),
guide = guide_legend(reverse = TRUE,
order = 1)) +
scale_x_continuous(breaks = seq(1980, 2020, 20)) +
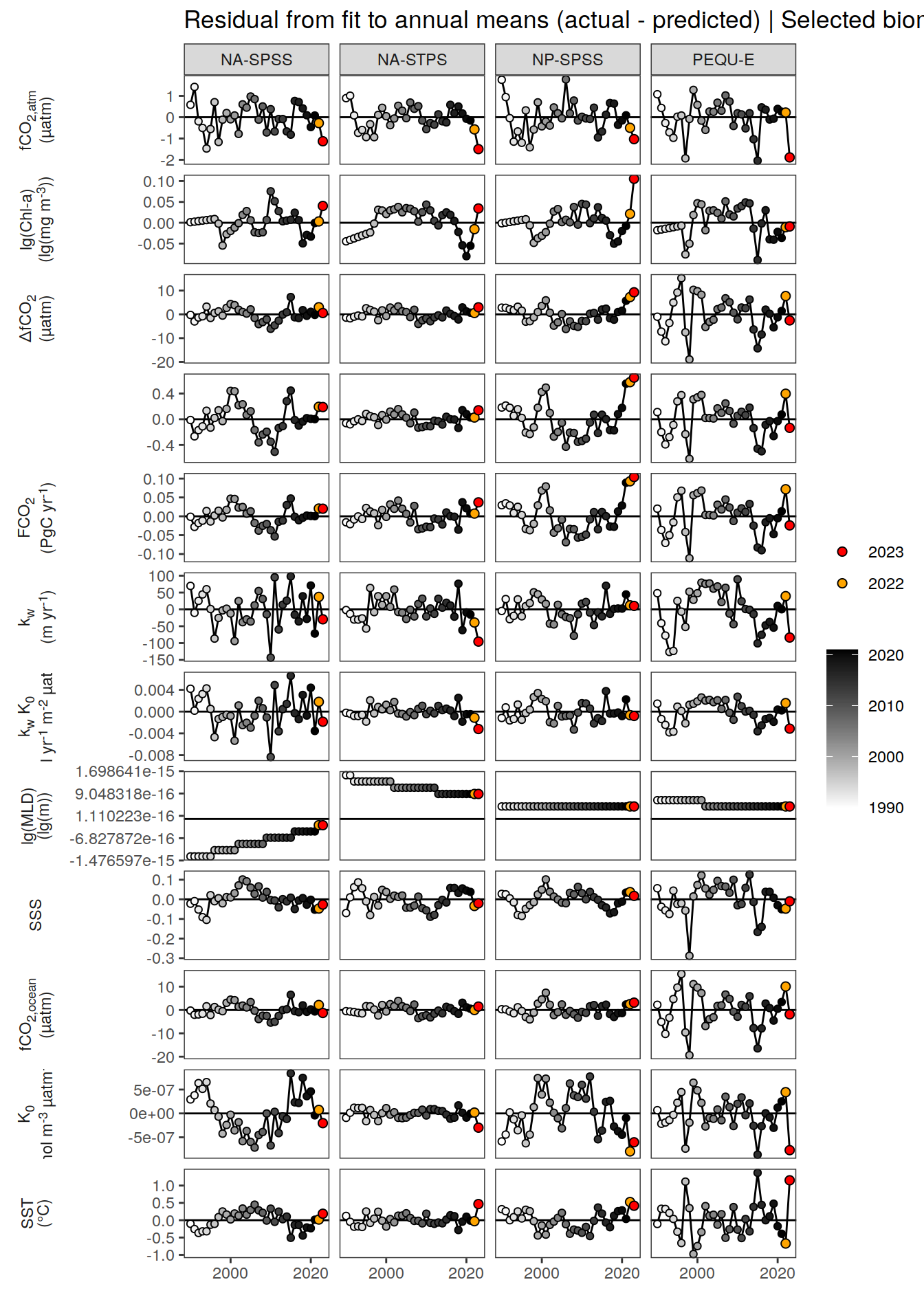
labs(title = "Residual from fit to annual means (actual - predicted) | Selected biomes") +
facet_grid(name ~ biome,
scales = "free_y",
labeller = labeller(name = x_axis_labels),
switch = "y") +
theme(
strip.text.y.left = element_markdown(),
strip.placement = "outside",
strip.background.y = element_blank(),
axis.title = element_blank(),
legend.title = element_blank()
)

pco2_product_annual_regression %>%
filter(biome %in% super_biomes) %>%
ggplot(aes(year, resid)) +
geom_hline(yintercept = 0) +
geom_path() +
geom_point(data = . %>% filter(!between(year, 2023-1, 2023)),
aes(fill = year),
shape = 21) +
scale_fill_grayC() +
new_scale_fill() +
geom_point(data = . %>% filter(between(year, 2023-1, 2023)),
aes(fill = as.factor(year)),
shape = 21, size = 2) +
scale_fill_manual(values = c("orange", "red"),
guide = guide_legend(reverse = TRUE,
order = 1)) +
scale_x_continuous(breaks = seq(1980, 2020, 20)) +
labs(title = "Residual from fit to annual means (actual - predicted) | Selected super biomes") +
facet_grid(name ~ biome,
scales = "free_y",
labeller = labeller(name = x_axis_labels),
switch = "y") +
theme(
strip.text.y.left = element_markdown(),
strip.placement = "outside",
strip.background.y = element_blank(),
axis.title = element_blank(),
legend.title = element_blank()
)

pco2_product_annual_regression %>%
filter(biome != "global") %>%
ggplot(aes(biome, resid)) +
geom_hline(yintercept = 0) +
geom_jitter(data = . %>% filter(!between(year, 2023-1, 2023)),
aes(fill = year),
shape = 21, width = 0.2) +
scale_fill_grayC() +
new_scale_fill() +
geom_point(data = . %>% filter(between(year, 2023-1, 2023)),
aes(fill = as.factor(year)),
shape = 21, size = 2) +
scale_fill_manual(values = c("orange", "red"),
guide = guide_legend(reverse = TRUE,
order = 1)) +
labs(title = "Residual from fit to annual means (actual - predicted) | All biomes") +
facet_grid(name ~ .,
scales = "free_y",
labeller = labeller(name = x_axis_labels),
switch = "y") +
theme(
strip.text.y.left = element_markdown(),
strip.placement = "outside",
strip.background.y = element_blank(),
axis.title = element_blank(),
legend.title = element_blank(),
axis.text.x = element_text(angle = 90, vjust = 0.5, hjust=1)
)

pco2_product_annual_regression %>%
write_csv(paste0("../data/","NRT_fco2residual","_","2023","_biome_annual_regression.csv"))
pco2_product_annual_detrended <-
full_join(pco2_product_monthly,
pco2_product_annual_regression %>% select(-c(value, resid))) %>%
mutate(resid = value - fit)
pco2_product_annual_detrended %>%
filter(biome %in% "Global") %>%
ggplot(aes(month, resid, group = as.factor(year))) +
geom_path(data = . %>% filter(!between(year, 2023-1, 2023)),
aes(col = year)) +
scale_color_grayC() +
new_scale_color() +
geom_path(data = . %>% filter(between(year, 2023-1, 2023)),
aes(col = as.factor(year)),
linewidth = 1) +
scale_color_manual(values = c("orange", "red"),
guide = guide_legend(reverse = TRUE,
order = 1)) +
scale_x_continuous(breaks = seq(1, 12, 3), expand = c(0, 0)) +
labs(title = "Anomalies from predicted annual mean | Global") +
facet_wrap(name ~ .,
scales = "free_y",
labeller = labeller(name = x_axis_labels),
strip.position = "left",
ncol = 2) +
theme(
strip.text.y.left = element_markdown(),
strip.placement = "outside",
strip.background.y = element_blank(),
axis.title.y = element_blank(),
legend.title = element_blank()
)

pco2_product_annual_detrended %>%
filter(biome %in% key_biomes) %>%
ggplot(aes(month, resid, group = as.factor(year))) +
geom_path(data = . %>% filter(!between(year, 2023-1, 2023)),
aes(col = year)) +
scale_color_grayC() +
new_scale_color() +
geom_path(data = . %>% filter(between(year, 2023-1, 2023)),
aes(col = as.factor(year)),
linewidth = 1) +
scale_color_manual(values = c("orange", "red"),
guide = guide_legend(reverse = TRUE,
order = 1)) +
scale_x_continuous(breaks = seq(1, 12, 3), expand = c(0, 0)) +
labs(title = "Anomalies from predicted annual mean | Selected biomes") +
facet_grid(name ~ biome,
scales = "free_y",
labeller = labeller(name = x_axis_labels),
switch = "y") +
theme(
strip.text.y.left = element_markdown(),
strip.placement = "outside",
strip.background.y = element_blank(),
axis.title.y = element_blank(),
legend.title = element_blank(),
axis.text.x = element_text(angle = 90, vjust = 0.5, hjust=1)
)

pco2_product_annual_detrended %>%
filter(biome %in% super_biomes) %>%
ggplot(aes(month, resid, group = as.factor(year))) +
geom_path(data = . %>% filter(!between(year, 2023-1, 2023)),
aes(col = year)) +
scale_color_grayC() +
new_scale_color() +
geom_path(data = . %>% filter(between(year, 2023-1, 2023)),
aes(col = as.factor(year)),
linewidth = 1) +
scale_color_manual(values = c("orange", "red"),
guide = guide_legend(reverse = TRUE,
order = 1)) +
scale_x_continuous(breaks = seq(1, 12, 3), expand = c(0, 0)) +
labs(title = "Anomalies from predicted annual mean | Selected super biomes") +
facet_grid(name ~ biome,
scales = "free_y",
labeller = labeller(name = x_axis_labels),
switch = "y") +
theme(
strip.text.y.left = element_markdown(),
strip.placement = "outside",
strip.background.y = element_blank(),
axis.title.y = element_blank(),
legend.title = element_blank(),
axis.text.x = element_text(angle = 90, vjust = 0.5, hjust=1)
)

pco2_product_annual_detrended %>%
filter(biome %in% key_biomes) %>%
group_split(biome) %>%
# head(1) %>%
map(
~ ggplot(data = .x,
aes(month, resid, group = as.factor(year))) +
geom_path(data = . %>% filter(!between(year, 2023-1, 2023)),
aes(col = year)) +
scale_color_grayC() +
new_scale_color() +
geom_path(
data = . %>% filter(between(year, 2023-1, 2023)),
aes(col = as.factor(year)),
linewidth = 1
) +
scale_color_manual(
values = c("orange", "red"),
guide = guide_legend(reverse = TRUE,
order = 1)
) +
scale_x_continuous(breaks = seq(1, 12, 3), expand = c(0, 0)) +
labs(title = paste("Anomalies from predicted annual mean |", .x$biome)) +
facet_wrap(
name ~ .,
scales = "free_y",
labeller = labeller(name = x_axis_labels),
strip.position = "left",
ncol = 2
) +
theme(
strip.text.y.left = element_markdown(),
strip.placement = "outside",
strip.background.y = element_blank(),
axis.title = element_blank(),
legend.title = element_blank()
)
)
[[1]]

[[2]]

[[3]]

[[4]]

pco2_product_annual_detrended %>%
filter(biome %in% super_biomes) %>%
group_split(biome) %>%
# head(1) %>%
map(
~ ggplot(data = .x,
aes(month, resid, group = as.factor(year))) +
geom_path(data = . %>% filter(!between(year, 2023-1, 2023)),
aes(col = year)) +
scale_color_grayC() +
new_scale_color() +
geom_path(
data = . %>% filter(between(year, 2023-1, 2023)),
aes(col = as.factor(year)),
linewidth = 1
) +
scale_color_manual(
values = c("orange", "red"),
guide = guide_legend(reverse = TRUE,
order = 1)
) +
scale_x_continuous(breaks = seq(1, 12, 3), expand = c(0, 0)) +
labs(title = paste("Anomalies from predicted annual mean |", .x$biome)) +
facet_wrap(
name ~ .,
scales = "free_y",
labeller = labeller(name = x_axis_labels),
strip.position = "left",
ncol = 2
) +
theme(
strip.text.y.left = element_markdown(),
strip.placement = "outside",
strip.background.y = element_blank(),
axis.title = element_blank(),
legend.title = element_blank()
)
)
[[1]]

[[2]]

pco2_product_annual_detrended %>%
write_csv(paste0("../data/","NRT_fco2residual","_","2023","_biome_annual_detrended.csv"))
pco2_product_monthly %>%
filter(biome %in% "Global") %>%
mutate(month = as.factor(month)) %>%
ggplot(aes(year, value, col = month)) +
# geom_point() +
geom_smooth(data = . %>% filter(year != 2023,
!(name %in% name_quadratic_fit)),
method = "lm",
se = FALSE,
fullrange = TRUE) +
geom_smooth(
data = . %>% filter(year != 2023,
name %in% name_quadratic_fit),
method = "lm",
fullrange = TRUE,
formula = y ~ x + I(x ^ 2),
se = FALSE
) +
scale_color_scico_d(palette = "romaO",
name = paste("Regression fit\nexcl.", 2023)) +
scale_x_continuous(breaks = seq(1980, 2020, 20)) +
labs(title = "Monthly mean trends | Global") +
facet_wrap(name ~ .,
scales = "free_y",
labeller = labeller(name = x_axis_labels),
strip.position = "left",
ncol = 2) +
theme(
strip.text.y.left = element_markdown(),
strip.placement = "outside",
strip.background.y = element_blank(),
axis.title = element_blank()
)

pco2_product_monthly %>%
filter(biome %in% key_biomes) %>%
mutate(month = as.factor(month)) %>%
ggplot(aes(year, value, col = month)) +
# geom_point() +
geom_smooth(data = . %>% filter(year != 2023,
!(name %in% name_quadratic_fit)),
method = "lm",
fullrange = TRUE,
se = FALSE) +
geom_smooth(
data = . %>% filter(year != 2023,
name %in% name_quadratic_fit),
method = "lm",
fullrange = TRUE,
formula = y ~ x + I(x ^ 2),
se = FALSE
) +
scale_color_scico_d(palette = "romaO",
name = paste("Regression fit\nexcl.", 2023)) +
scale_x_continuous(breaks = seq(1980, 2020, 20)) +
labs(title = "Monthly mean trends | Selected biomes") +
facet_grid(name ~ biome,
scales = "free_y",
labeller = labeller(name = x_axis_labels),
switch = "y") +
theme(
strip.text.y.left = element_markdown(),
strip.placement = "outside",
strip.background.y = element_blank(),
axis.title = element_blank()
)

pco2_product_monthly_regression <-
pco2_product_monthly %>%
anomaly_determination(biome, month)
pco2_product_monthly_regression %>%
filter(biome %in% "Global") %>%
group_split(month) %>%
head(1) %>%
map(
~ ggplot(data = .x,
aes(year, resid)) +
geom_hline(yintercept = 0) +
geom_path() +
geom_point(
data = . %>% filter(!between(year, 2023-1, 2023)),
aes(fill = year),
shape = 21
) +
scale_fill_grayC() +
new_scale_fill() +
geom_point(
data = . %>% filter(between(year, 2023-1, 2023)),
aes(fill = as.factor(year)),
shape = 21,
size = 2
) +
scale_fill_manual(
values = c("orange", "red"),
guide = guide_legend(reverse = TRUE,
order = 1)
) +
scale_x_continuous(breaks = seq(1980, 2020, 20)) +
labs(title = "Residual from fit to monthly means (actual - predicted) | Global",
subtitle = paste("Month:", .x$month)) +
facet_wrap(
name ~ .,
scales = "free_y",
labeller = labeller(name = x_axis_labels),
strip.position = "left",
ncol = 2
) +
theme(
strip.text.y.left = element_markdown(),
strip.placement = "outside",
strip.background.y = element_blank(),
axis.title = element_blank(),
legend.title = element_blank()
)
)
[[1]]

pco2_product_monthly_regression %>%
filter(biome %in% key_biomes) %>%
group_split(month) %>%
head(1) %>%
map(
~ ggplot(data = .x,
aes(year, resid)) +
geom_hline(yintercept = 0) +
geom_path() +
geom_point(
data = . %>% filter(!between(year, 2023-1, 2023)),
aes(fill = year),
shape = 21
) +
scale_fill_grayC() +
new_scale_fill() +
geom_point(
data = . %>% filter(between(year, 2023-1, 2023)),
aes(fill = as.factor(year)),
shape = 21,
size = 2
) +
scale_fill_manual(
values = c("orange", "red"),
guide = guide_legend(reverse = TRUE,
order = 1)
) +
scale_x_continuous(breaks = seq(1980, 2020, 20)) +
labs(title = "Residual from fit to monthly means (actual - predicted) | Selected biomes",
subtitle = paste("Month:", .x$month)) +
facet_grid(
name ~ biome,
scales = "free_y",
labeller = labeller(name = x_axis_labels),
switch = "y"
) +
theme(
strip.text.y.left = element_markdown(),
strip.placement = "outside",
strip.background.y = element_blank(),
axis.title = element_blank(),
legend.title = element_blank()
)
)
[[1]]

pco2_product_monthly_regression %>%
write_csv(paste0("../data/","NRT_fco2residual","_","2023","_biome_monthly_regression.csv"))
pco2_product_monthly_detrended <-
full_join(pco2_product_monthly,
pco2_product_monthly_regression %>% select(-c(value, resid, time))) %>%
mutate(resid = value - fit)
pco2_product_monthly_detrended %>%
filter(biome %in% "Global") %>%
ggplot(aes(month, resid, group = as.factor(year))) +
geom_path(data = . %>% filter(!between(year, 2023-1, 2023)),
aes(col = year)) +
scale_color_grayC() +
new_scale_color() +
geom_path(data = . %>% filter(between(year, 2023-1, 2023)),
aes(col = as.factor(year)),
linewidth = 1) +
scale_color_manual(values = c("orange", "red"),
guide = guide_legend(reverse = TRUE,
order = 1)) +
scale_x_continuous(breaks = seq(1, 12, 3), expand = c(0, 0)) +
labs(title = "Anomalies from predicted monthly mean | Global") +
facet_wrap(
name ~ .,
scales = "free_y",
labeller = labeller(name = x_axis_labels),
strip.position = "left",
ncol = 2
) +
theme(
strip.text.y.left = element_markdown(),
strip.placement = "outside",
strip.background.y = element_blank(),
axis.title.y = element_blank(),
legend.title = element_blank()
)

pco2_product_monthly_detrended %>%
filter(biome %in% key_biomes) %>%
ggplot(aes(month, resid, group = as.factor(year))) +
geom_path(data = . %>% filter(!between(year, 2023-1, 2023)),
aes(col = year)) +
scale_color_grayC() +
new_scale_color() +
geom_path(data = . %>% filter(between(year, 2023-1, 2023)),
aes(col = as.factor(year)),
linewidth = 1) +
scale_color_manual(values = c("orange", "red"),
guide = guide_legend(reverse = TRUE,
order = 1)) +
scale_x_continuous(breaks = seq(1, 12, 3), expand = c(0, 0)) +
labs(title = "Anomalies from predicted monthly mean | Selected biomes") +
facet_grid(
name ~ biome,
scales = "free_y",
labeller = labeller(name = x_axis_labels),
switch = "y"
) +
theme(
strip.text.y.left = element_markdown(),
strip.placement = "outside",
strip.background.y = element_blank(),
axis.title.y = element_blank(),
legend.title = element_blank()
)

pco2_product_monthly_detrended %>%
filter(biome %in% super_biomes) %>%
ggplot(aes(month, resid, group = as.factor(year))) +
geom_path(data = . %>% filter(!between(year, 2023-1, 2023)),
aes(col = year)) +
scale_color_grayC() +
new_scale_color() +
geom_path(data = . %>% filter(between(year, 2023-1, 2023)),
aes(col = as.factor(year)),
linewidth = 1) +
scale_color_manual(values = c("orange", "red"),
guide = guide_legend(reverse = TRUE,
order = 1)) +
scale_x_continuous(breaks = seq(1, 12, 3), expand = c(0, 0)) +
labs(title = "Anomalies from predicted monthly mean | Selected super biomes") +
facet_grid(
name ~ biome,
scales = "free_y",
labeller = labeller(name = x_axis_labels),
switch = "y"
) +
theme(
strip.text.y.left = element_markdown(),
strip.placement = "outside",
strip.background.y = element_blank(),
axis.title.y = element_blank(),
legend.title = element_blank()
)

pco2_product_monthly_detrended %>%
filter(biome %in% key_biomes) %>%
ggplot(aes(month, resid, group = as.factor(year))) +
geom_path(data = . %>% filter(!between(year, 2023-1, 2023)),
aes(col = year)) +
scale_color_grayC() +
new_scale_color() +
geom_path(data = . %>% filter(between(year, 2023-1, 2023)),
aes(col = as.factor(year)),
linewidth = 1) +
scale_color_manual(values = c("orange", "red"),
guide = guide_legend(reverse = TRUE,
order = 1)) +
scale_x_continuous(breaks = seq(1, 12, 3), expand = c(0, 0)) +
labs(title = "Anomalies from predicted monthly mean | Selected biomes") +
facet_grid(
name ~ biome,
scales = "free_y",
labeller = labeller(name = x_axis_labels),
switch = "y"
) +
theme(
strip.text.y.left = element_markdown(),
strip.placement = "outside",
strip.background.y = element_blank(),
axis.title.y = element_blank(),
legend.title = element_blank()
)

pco2_product_monthly_detrended %>%
filter(biome %in% key_biomes) %>%
group_split(biome) %>%
# head(1) %>%
map(
~ ggplot(data = .x,
aes(month, resid, group = as.factor(year))) +
geom_path(data = . %>% filter(!between(year, 2023-1, 2023)),
aes(col = year)) +
scale_color_grayC() +
new_scale_color() +
geom_path(
data = . %>% filter(between(year, 2023-1, 2023)),
aes(col = as.factor(year)),
linewidth = 1
) +
scale_color_manual(
values = c("orange", "red"),
guide = guide_legend(reverse = TRUE,
order = 1)
) +
scale_x_continuous(breaks = seq(1, 12, 3), expand = c(0, 0)) +
labs(title = paste("Anomalies from predicted monthly mean |", .x$biome)) +
facet_wrap(
name ~ .,
scales = "free_y",
labeller = labeller(name = x_axis_labels),
strip.position = "left",
ncol = 2
) +
theme(
strip.text.y.left = element_markdown(),
strip.placement = "outside",
strip.background.y = element_blank(),
axis.title.y = element_blank(),
legend.title = element_blank()
)
)
[[1]]

[[2]]

[[3]]

[[4]]

pco2_product_monthly_detrended %>%
filter(biome %in% super_biomes) %>%
ggplot(aes(month, resid, group = as.factor(year))) +
geom_path(data = . %>% filter(!between(year, 2023-1, 2023)),
aes(col = year)) +
scale_color_grayC() +
new_scale_color() +
geom_path(data = . %>% filter(between(year, 2023-1, 2023)),
aes(col = as.factor(year)),
linewidth = 1) +
scale_color_manual(values = c("orange", "red"),
guide = guide_legend(reverse = TRUE,
order = 1)) +
scale_x_continuous(breaks = seq(1, 12, 3), expand = c(0, 0)) +
labs(title = "Anomalies from predicted monthly mean | Selected super biomes") +
facet_grid(
name ~ biome,
scales = "free_y",
labeller = labeller(name = x_axis_labels),
switch = "y"
) +
theme(
strip.text.y.left = element_markdown(),
strip.placement = "outside",
strip.background.y = element_blank(),
axis.title.y = element_blank(),
legend.title = element_blank()
)

pco2_product_monthly_detrended %>%
filter(biome %in% super_biomes) %>%
group_split(biome) %>%
# head(1) %>%
map(
~ ggplot(data = .x,
aes(month, resid, group = as.factor(year))) +
geom_path(data = . %>% filter(!between(year, 2023-1, 2023)),
aes(col = year)) +
scale_color_grayC() +
new_scale_color() +
geom_path(
data = . %>% filter(between(year, 2023-1, 2023)),
aes(col = as.factor(year)),
linewidth = 1
) +
scale_color_manual(
values = c("orange", "red"),
guide = guide_legend(reverse = TRUE,
order = 1)
) +
scale_x_continuous(breaks = seq(1, 12, 3), expand = c(0, 0)) +
labs(title = paste("Anomalies from predicted monthly mean |", .x$biome)) +
facet_wrap(
name ~ .,
scales = "free_y",
labeller = labeller(name = x_axis_labels),
strip.position = "left",
ncol = 2
) +
theme(
strip.text.y.left = element_markdown(),
strip.placement = "outside",
strip.background.y = element_blank(),
axis.title.y = element_blank(),
legend.title = element_blank()
)
)
[[1]]

[[2]]

pco2_product_monthly_detrended %>%
write_csv(paste0("../data/","NRT_fco2residual","_","2023","_biome_monthly_detrended.csv"))
The following plots aim to unravel the correlation between regionally integrated monthly flux anomalies and the corresponding anomalies of the means/integrals of each other variable.
Anomalies are first presented are first presented in absolute units. Due to the different flux magnitudes, we need to plot integrated fluxes separately for each region. Secondly, we normalize the monthly anomalies to the spread (expressed as standard deviation) of the residuals from the fit.
pco2_product_annual_regression %>%
filter(biome == "Global") %>%
select(-c(value, fit)) %>%
pivot_wider(values_from = resid) %>%
pivot_longer(-c(year, biome, fgco2_int)) %>%
ggplot(aes(value, fgco2_int)) +
geom_hline(yintercept = 0) +
geom_point(data = . %>% filter(!between(year, 2023-1, 2023)),
aes(fill = year),
shape = 21) +
geom_smooth(
data = . %>% filter(!between(year, 2023-1, 2023)),
method = "lm",
se = FALSE,
fullrange = TRUE,
aes(col = paste("Regression fit\nexcl.", 2023))
) +
scale_color_grey() +
scale_fill_grayC()+
new_scale_fill() +
geom_point(data = . %>% filter(between(year, 2023-1, 2023)),
aes(fill = as.factor(year)),
shape = 21, size = 2) +
scale_fill_manual(values = c("orange", "red"),
guide = guide_legend(reverse = TRUE,
order = 1)) +
labs(title = "Globally integrated fluxes",
y = labels_breaks("fgco2_int")$i_legend_title) +
facet_wrap(
~ name,
scales = "free_x",
labeller = labeller(name = x_axis_labels),
strip.position = "bottom",
ncol = 2
) +
theme(
strip.text.x.bottom = element_markdown(),
strip.placement = "outside",
strip.background.x = element_blank(),
axis.title.y = element_markdown(),
axis.title.x = element_blank(),
legend.title = element_blank()
)

pco2_product_monthly_detrended_anomaly <-
pco2_product_monthly_detrended %>%
select(year, month, biome, name, resid) %>%
pivot_wider(names_from = name,
values_from = resid)
pco2_product_monthly_detrended_anomaly %>%
filter(biome == "Global") %>%
pivot_longer(-c(year, month, biome, fgco2_int)) %>%
ggplot(aes(value, fgco2_int)) +
geom_hline(yintercept = 0) +
geom_point(data = . %>% filter(year != 2023),
aes(col = paste(min(year), max(year), sep = "-")),
alpha = 0.2) +
geom_smooth(
data = . %>% filter(year != 2023),
aes(col = paste(min(year), max(year), sep = "-")),
method = "lm",
se = FALSE,
fullrange = TRUE
) +
scale_color_grey(name = "") +
new_scale_color() +
geom_path(data = . %>% filter(year == 2023),
aes(col = as.factor(month), group = 1)) +
geom_point(data = . %>% filter(year == 2023),
aes(fill = as.factor(month)),
shape = 21,
size = 3) +
scale_color_scico_d(palette = "buda",
guide = guide_legend(reverse = TRUE,
order = 1),
name = paste("Month\nof", 2023)) +
scale_fill_scico_d(palette = "buda",
guide = guide_legend(reverse = TRUE,
order = 1),
name = paste("Month\nof", 2023)) +
labs(title = "Globally integrated fluxes",
y = labels_breaks("fgco2_int")$i_legend_title) +
facet_wrap(
~ name,
scales = "free_x",
labeller = labeller(name = x_axis_labels),
strip.position = "bottom",
ncol = 2
) +
theme(
strip.text.x.bottom = element_markdown(),
strip.placement = "outside",
strip.background.x = element_blank(),
axis.title.y = element_markdown(),
axis.title.x = element_blank()
)

pco2_product_monthly_detrended_anomaly %>%
filter(!(biome %in% c(super_biomes, "Global"))) %>%
pivot_longer(-c(year, month, biome, fgco2_int)) %>%
group_split(name) %>%
# head(1) %>%
map(
~ ggplot(data = .x,
aes(value, fgco2_int)) +
geom_hline(yintercept = 0) +
geom_point(
data = . %>% filter(year != 2023),
aes(col = paste(min(year), max(year), sep = "-")),
alpha = 0.2
) +
geom_smooth(
data = . %>% filter(year != 2023),
aes(col = paste(min(year), max(year), sep = "-")),
method = "lm",
se = FALSE,
fullrange = TRUE
) +
scale_color_grey(name = "") +
new_scale_color() +
geom_path(data = . %>% filter(year == 2023),
aes(col = as.factor(month), group = 1)) +
geom_point(
data = . %>% filter(year == 2023),
aes(fill = as.factor(month)),
shape = 21,
size = 3
) +
scale_color_scico_d(
palette = "buda",
guide = guide_legend(reverse = TRUE,
order = 1),
name = paste("Month\nof", 2023)
) +
scale_fill_scico_d(
palette = "buda",
guide = guide_legend(reverse = TRUE,
order = 1),
name = paste("Month\nof", 2023)
) +
facet_wrap( ~ biome, ncol = 3, scales = "free") +
labs(
title = "Biome integrated fluxes",
y = labels_breaks("fgco2_int")$i_legend_title,
x = labels_breaks(.x %>% distinct(name))$i_legend_title
) +
theme(axis.title.x = element_markdown(),
axis.title.y = element_markdown())
)
[[1]]

[[2]]

[[3]]

[[4]]

[[5]]

[[6]]

[[7]]

[[8]]

[[9]]

[[10]]

[[11]]

pco2_product_monthly_detrended_anomaly %>%
filter(biome %in% super_biomes) %>%
pivot_longer(-c(year, month, biome, fgco2_int)) %>%
group_split(name) %>%
# head(1) %>%
map(
~ ggplot(data = .x,
aes(value, fgco2_int)) +
geom_hline(yintercept = 0) +
geom_point(
data = . %>% filter(year != 2023),
aes(col = paste(min(year), max(year), sep = "-")),
alpha = 0.2
) +
geom_smooth(
data = . %>% filter(year != 2023),
aes(col = paste(min(year), max(year), sep = "-")),
method = "lm",
se = FALSE,
fullrange = TRUE
) +
scale_color_grey(name = "") +
new_scale_color() +
geom_path(data = . %>% filter(year == 2023),
aes(col = as.factor(month), group = 1)) +
geom_point(
data = . %>% filter(year == 2023),
aes(fill = as.factor(month)),
shape = 21,
size = 3
) +
scale_color_scico_d(
palette = "buda",
guide = guide_legend(reverse = TRUE,
order = 1),
name = paste("Month\nof", 2023)
) +
scale_fill_scico_d(
palette = "buda",
guide = guide_legend(reverse = TRUE,
order = 1),
name = paste("Month\nof", 2023)
) +
facet_wrap( ~ biome, ncol = 3, scales = "free_x") +
labs(
title = "Super biome integrated fluxes",
y = labels_breaks("fgco2_int")$i_legend_title,
x = labels_breaks(.x %>% distinct(name))$i_legend_title
) +
theme(axis.title.x = element_markdown(),
axis.title.y = element_markdown())
)
[[1]]

[[2]]

[[3]]

[[4]]

[[5]]

[[6]]

[[7]]

[[8]]

[[9]]

[[10]]

[[11]]

pco2_product_monthly_detrended_anomaly_spread <-
pco2_product_monthly_detrended_anomaly %>%
pivot_longer(-c(month, biome, year)) %>%
filter(year != 2023) %>%
group_by(month, biome, name) %>%
summarise(spread = sd(value, na.rm = TRUE)) %>%
ungroup()
pco2_product_monthly_detrended_anomaly_relative <-
full_join(
pco2_product_monthly_detrended_anomaly_spread,
pco2_product_monthly_detrended_anomaly %>%
pivot_longer(-c(month, biome, year))
)
pco2_product_monthly_detrended_anomaly_relative <-
pco2_product_monthly_detrended_anomaly_relative %>%
mutate(value = value / spread) %>%
select(-spread) %>%
pivot_wider() %>%
pivot_longer(-c(month, biome, year, fgco2_int))
pco2_product_monthly_detrended_anomaly_relative %>%
group_split(name) %>%
# head(1) %>%
map(
~ ggplot(data = .x,
aes(value, fgco2_int)) +
geom_vline(xintercept = 0) +
geom_hline(yintercept = 0) +
geom_point(
data = . %>% filter(year != 2023),
aes(col = paste(min(year), max(year), sep = "-")),
alpha = 0.2
) +
geom_smooth(
data = . %>% filter(year != 2023),
aes(col = paste(min(year), max(year), sep = "-")),
method = "lm",
se = FALSE,
fullrange = TRUE
) +
scale_color_grey(name = "") +
new_scale_color() +
geom_path(data = . %>% filter(year == 2023),
aes(col = as.factor(month), group = 1)) +
geom_point(
data = . %>% filter(year == 2023),
aes(fill = as.factor(month)),
shape = 21,
size = 3
) +
scale_color_scico_d(
palette = "buda",
guide = guide_legend(reverse = TRUE,
order = 1),
name = paste("Month\nof", 2023)
) +
scale_fill_scico_d(
palette = "buda",
guide = guide_legend(reverse = TRUE,
order = 1),
name = paste("Month\nof", 2023)
) +
facet_wrap( ~ biome, ncol = 3) +
coord_fixed() +
labs(
title = "Biome integrated fluxes normalized to spread",
y = str_split_i(labels_breaks("fgco2_int")$i_legend_title, "<br>", i = 1),
x = str_split_i(labels_breaks(.x %>% distinct(name))$i_legend_title, "<br>", i = 1)
) +
theme(axis.title.x = element_markdown(),
axis.title.y = element_markdown())
)
[[1]]

[[2]]

[[3]]

[[4]]

[[5]]

[[6]]

[[7]]

[[8]]

[[9]]

[[10]]

[[11]]

sessionInfo()
R version 4.2.2 (2022-10-31)
Platform: x86_64-pc-linux-gnu (64-bit)
Running under: openSUSE Leap 15.5
Matrix products: default
BLAS: /usr/local/R-4.2.2/lib64/R/lib/libRblas.so
LAPACK: /usr/local/R-4.2.2/lib64/R/lib/libRlapack.so
locale:
[1] LC_CTYPE=en_US.UTF-8 LC_NUMERIC=C
[3] LC_TIME=en_US.UTF-8 LC_COLLATE=en_US.UTF-8
[5] LC_MONETARY=en_US.UTF-8 LC_MESSAGES=en_US.UTF-8
[7] LC_PAPER=en_US.UTF-8 LC_NAME=C
[9] LC_ADDRESS=C LC_TELEPHONE=C
[11] LC_MEASUREMENT=en_US.UTF-8 LC_IDENTIFICATION=C
attached base packages:
[1] stats graphics grDevices utils datasets methods base
other attached packages:
[1] ggtext_0.1.2 broom_1.0.5 khroma_1.9.0
[4] ggnewscale_0.4.8 lubridate_1.9.0 timechange_0.1.1
[7] stars_0.6-0 abind_1.4-5 terra_1.7-65
[10] sf_1.0-9 rnaturalearth_0.1.0 geomtextpath_0.1.1
[13] colorspace_2.0-3 marelac_2.1.10 shape_1.4.6
[16] ggforce_0.4.1 metR_0.13.0 scico_1.3.1
[19] patchwork_1.1.2 collapse_1.8.9 forcats_0.5.2
[22] stringr_1.5.0 dplyr_1.1.3 purrr_1.0.2
[25] readr_2.1.3 tidyr_1.3.0 tibble_3.2.1
[28] ggplot2_3.4.4 tidyverse_1.3.2 workflowr_1.7.0
loaded via a namespace (and not attached):
[1] googledrive_2.0.0 ellipsis_0.3.2 class_7.3-20
[4] rprojroot_2.0.3 markdown_1.4 fs_1.5.2
[7] gridtext_0.1.5 rstudioapi_0.15.0 proxy_0.4-27
[10] farver_2.1.1 bit64_4.0.5 fansi_1.0.3
[13] xml2_1.3.3 splines_4.2.2 codetools_0.2-18
[16] cachem_1.0.6 knitr_1.41 polyclip_1.10-4
[19] jsonlite_1.8.3 gsw_1.1-1 dbplyr_2.2.1
[22] compiler_4.2.2 httr_1.4.4 backports_1.4.1
[25] Matrix_1.5-3 assertthat_0.2.1 fastmap_1.1.0
[28] gargle_1.2.1 cli_3.6.1 later_1.3.0
[31] tweenr_2.0.2 htmltools_0.5.3 tools_4.2.2
[34] rnaturalearthdata_0.1.0 gtable_0.3.1 glue_1.6.2
[37] Rcpp_1.0.11 RNetCDF_2.6-1 cellranger_1.1.0
[40] jquerylib_0.1.4 vctrs_0.6.4 nlme_3.1-160
[43] lwgeom_0.2-10 xfun_0.35 ps_1.7.2
[46] rvest_1.0.3 ncmeta_0.3.5 lifecycle_1.0.3
[49] googlesheets4_1.0.1 oce_1.7-10 getPass_0.2-2
[52] MASS_7.3-58.1 scales_1.2.1 vroom_1.6.0
[55] hms_1.1.2 promises_1.2.0.1 parallel_4.2.2
[58] RColorBrewer_1.1-3 yaml_2.3.6 memoise_2.0.1
[61] sass_0.4.4 stringi_1.7.8 highr_0.9
[64] e1071_1.7-12 checkmate_2.1.0 commonmark_1.8.1
[67] rlang_1.1.1 pkgconfig_2.0.3 systemfonts_1.0.4
[70] evaluate_0.18 lattice_0.20-45 SolveSAPHE_2.1.0
[73] labeling_0.4.2 bit_4.0.5 processx_3.8.0
[76] tidyselect_1.2.0 here_1.0.1 seacarb_3.3.1
[79] magrittr_2.0.3 R6_2.5.1 generics_0.1.3
[82] DBI_1.1.3 mgcv_1.8-41 pillar_1.9.0
[85] haven_2.5.1 whisker_0.4 withr_2.5.0
[88] units_0.8-0 sp_1.5-1 modelr_0.1.10
[91] crayon_1.5.2 KernSmooth_2.23-20 utf8_1.2.2
[94] tzdb_0.3.0 rmarkdown_2.18 grid_4.2.2
[97] readxl_1.4.1 data.table_1.14.6 callr_3.7.3
[100] git2r_0.30.1 reprex_2.0.2 digest_0.6.30
[103] classInt_0.4-8 httpuv_1.6.6 textshaping_0.3.6
[106] munsell_0.5.0 viridisLite_0.4.1 bslib_0.4.1