Last updated: 2021-12-23

Checks: 7 0

Knit directory: emlr_obs_preprocessing/

This reproducible R Markdown analysis was created with workflowr (version 1.6.2). The Checks tab describes the reproducibility checks that were applied when the results were created. The Past versions tab lists the development history.


Great! Since the R Markdown file has been committed to the Git repository, you know the exact version of the code that produced these results.

Great job! The global environment was empty. Objects defined in the global environment can affect the analysis in your R Markdown file in unknown ways. For reproduciblity it’s best to always run the code in an empty environment.

The command set.seed(20200707) was run prior to running the code in the R Markdown file. Setting a seed ensures that any results that rely on randomness, e.g. subsampling or permutations, are reproducible.

Great job! Recording the operating system, R version, and package versions is critical for reproducibility.

Nice! There were no cached chunks for this analysis, so you can be confident that you successfully produced the results during this run.

Great job! Using relative paths to the files within your workflowr project makes it easier to run your code on other machines.

Great! You are using Git for version control. Tracking code development and connecting the code version to the results is critical for reproducibility.

The results in this page were generated with repository version 468c324. See the Past versions tab to see a history of the changes made to the R Markdown and HTML files.

Note that you need to be careful to ensure that all relevant files for the analysis have been committed to Git prior to generating the results (you can use wflow_publish or wflow_git_commit). workflowr only checks the R Markdown file, but you know if there are other scripts or data files that it depends on. Below is the status of the Git repository when the results were generated:


Ignored files:
    Ignored:    .Rhistory
    Ignored:    .Rproj.user/
    Ignored:    data/
    Ignored:    output/

Untracked files:
    Untracked:  code/IO_1990_own_crossover_analysis_backup.R
    Untracked:  code/read_GLODAPv2_2020.Rmd

Note that any generated files, e.g. HTML, png, CSS, etc., are not included in this status report because it is ok for generated content to have uncommitted changes.


These are the previous versions of the repository in which changes were made to the R Markdown (analysis/read_GLODAPv2_2021.Rmd) and HTML (docs/read_GLODAPv2_2021.html) files. If you’ve configured a remote Git repository (see ?wflow_git_remote), click on the hyperlinks in the table below to view the files as they were in that past version.

File Version Author Date Message
Rmd 468c324 jens-daniel-mueller 2021-12-23 added crossover cruise subsetting
html 28ed51f jens-daniel-mueller 2021-12-21 Build site.
Rmd f99a7ce jens-daniel-mueller 2021-12-21 print tables with flagging number
html fcff192 jens-daniel-mueller 2021-12-21 Build site.
Rmd e60be65 jens-daniel-mueller 2021-12-21 added flagging profiles
html a87f8c7 jens-daniel-mueller 2021-12-20 Build site.
Rmd 7511f8c jens-daniel-mueller 2021-12-20 revised IO analysis
html 2704ff6 jens-daniel-mueller 2021-12-20 Build site.
Rmd f4696af jens-daniel-mueller 2021-12-20 added cruise maps
html 7f65d3a jens-daniel-mueller 2021-12-20 Build site.
Rmd 208283d jens-daniel-mueller 2021-12-20 revised missing cruise crossover analysis
html 6106236 jens-daniel-mueller 2021-12-20 Build site.
Rmd 953ac0a jens-daniel-mueller 2021-12-20 revised missing cruise crossover analysis
html d5ef2c6 jens-daniel-mueller 2021-12-20 Build site.
Rmd 0b0800e jens-daniel-mueller 2021-12-20 restructured IO crossover analysis
html 00227e6 jens-daniel-mueller 2021-12-20 Build site.
Rmd 8728169 jens-daniel-mueller 2021-12-20 added IO crossover analysis
html e810585 jens-daniel-mueller 2021-12-16 Build site.
Rmd aca9273 jens-daniel-mueller 2021-12-16 added maps per expocode
html 6aa4b75 jens-daniel-mueller 2021-12-16 Build site.
Rmd 3511fa7 jens-daniel-mueller 2021-12-16 f == 9 analysis added
html 163f976 jens-daniel-mueller 2021-12-16 Build site.
Rmd 7fa3a99 jens-daniel-mueller 2021-12-16 added cumulative data contribution as threshold
html be0850d jens-daniel-mueller 2021-12-16 Build site.
Rmd 8db3760 jens-daniel-mueller 2021-12-16 plot maps of f and qc data loss
html 61d5f49 jens-daniel-mueller 2021-12-15 Build site.
Rmd be2f94e jens-daniel-mueller 2021-12-15 analyse IO 1990 CRM data from Millero 1998 - TA only
html d454df1 jens-daniel-mueller 2021-12-15 Build site.
Rmd 7802f47 jens-daniel-mueller 2021-12-15 analyse IO 1990 CRM data from Millero 1998
html ce6cdae jens-daniel-mueller 2021-12-15 Build site.
Rmd acff553 jens-daniel-mueller 2021-12-15 plot qc data loss by cruise size
html 7ace7ab jens-daniel-mueller 2021-12-15 Build site.
Rmd 554383a jens-daniel-mueller 2021-12-15 plot qc data loss by cruise size
html faa6b3c jens-daniel-mueller 2021-12-15 Build site.
Rmd be8751d jens-daniel-mueller 2021-12-15 started data loss assesment
html 70923f2 jens-daniel-mueller 2021-12-14 Build site.
Rmd 1acf7ff jens-daniel-mueller 2021-12-14 checked P18 nitrate data - quadratic fit
html b68b58e jens-daniel-mueller 2021-12-13 Build site.
Rmd 4c002c1 jens-daniel-mueller 2021-12-13 checked P18 nitrate data
html de20732 jens-daniel-mueller 2021-12-08 Build site.
Rmd badaed2 jens-daniel-mueller 2021-12-08 plotted f maps
html daa43b9 jens-daniel-mueller 2021-12-06 Build site.
Rmd b578bd9 jens-daniel-mueller 2021-12-06 plotted qc maps
html 2b22ffe jens-daniel-mueller 2021-11-24 Build site.
Rmd 1b7ec1f jens-daniel-mueller 2021-11-24 revised combined IO NS and EW analysis
html 0ef46e8 jens-daniel-mueller 2021-11-23 Build site.
Rmd 7fb15cf jens-daniel-mueller 2021-11-23 combined IO NS and EW analysis
html f2871b9 jens-daniel-mueller 2021-11-20 Build site.
Rmd 46c1246 jens-daniel-mueller 2021-11-19 rerun with GLODAP cast column
html 375d7c7 jens-daniel-mueller 2021-11-18 Build site.
Rmd 1839007 jens-daniel-mueller 2021-11-18 delta EW crossover values determined
html f30883c jens-daniel-mueller 2021-11-18 Build site.
Rmd 7acd48c jens-daniel-mueller 2021-11-18 delta crossover values determined
html 2e6c3f1 jens-daniel-mueller 2021-11-18 Build site.
Rmd 49ca05c jens-daniel-mueller 2021-11-18 delta crossover values determined
html 16dab59 jens-daniel-mueller 2021-11-18 Build site.
Rmd 620b6f4 jens-daniel-mueller 2021-11-18 delta crossover values determined
html 42965b9 jens-daniel-mueller 2021-11-18 Build site.
Rmd 69dbb5f jens-daniel-mueller 2021-11-18 crossing checks
html c9363ce jens-daniel-mueller 2021-11-18 Build site.
Rmd 6bc79d6 jens-daniel-mueller 2021-11-18 crossing checks
html 0908ee5 jens-daniel-mueller 2021-11-15 Build site.
html 6d6a23e jens-daniel-mueller 2021-11-01 Build site.
Rmd 2f36786 jens-daniel-mueller 2021-11-01 preprocess adjustment table, create new basinmaps
html 2a50fa9 jens-daniel-mueller 2021-10-28 Build site.
Rmd 67de9ab jens-daniel-mueller 2021-10-28 preprocess tracers
html a96bf9e jens-daniel-mueller 2021-10-27 Build site.
Rmd d99b131 jens-daniel-mueller 2021-10-27 added time series plots
html fde6c32 jens-daniel-mueller 2021-10-27 Build site.
Rmd db93d9f jens-daniel-mueller 2021-10-27 added time series plots
html 7db7e6a jens-daniel-mueller 2021-10-27 Build site.
Rmd d6fb0dc jens-daniel-mueller 2021-10-27 added time series plots
html 68d67e7 jens-daniel-mueller 2021-10-27 Build site.
Rmd b4ea199 jens-daniel-mueller 2021-10-27 added time series plots
html 7987bb7 jens-daniel-mueller 2021-10-21 Build site.
Rmd b64c54d jens-daniel-mueller 2021-10-21 added inventory layer depth
html 8d1aaf8 jens-daniel-mueller 2021-10-20 Build site.
Rmd 5bce752 jens-daniel-mueller 2021-10-20 corrected qc flag in glodap
html dc8d958 jens-daniel-mueller 2021-10-20 Build site.
Rmd b2ccc04 jens-daniel-mueller 2021-10-20 corrected qc flag in glodap
html 2438c5a jens-daniel-mueller 2021-08-30 Build site.
Rmd 4296433 jens-daniel-mueller 2021-08-30 rerun GLODAP preprocessing with officially released file
html e49875a jens-daniel-mueller 2021-07-07 Build site.
html 6312bd4 jens-daniel-mueller 2021-07-07 Build site.
Rmd 4905409 jens-daniel-mueller 2021-07-07 rerun with new setup_obs.Rmd file
html 58bc706 jens-daniel-mueller 2021-07-06 Build site.
Rmd 0db89e1 jens-daniel-mueller 2021-07-06 rerun with revised variable names
html f600971 jens-daniel-mueller 2021-07-02 Build site.
html 98599d8 jens-daniel-mueller 2021-06-27 Build site.
Rmd 4f9c370 jens-daniel-mueller 2021-06-27 update to latest GLODAP pre-release
html 265c4ef jens-daniel-mueller 2021-06-04 Build site.
html c79346a jens-daniel-mueller 2021-06-03 Build site.
html 9d8353f jens-daniel-mueller 2021-05-31 Build site.
Rmd b948168 jens-daniel-mueller 2021-05-31 ingest GLODAPv2_2021 beta data

path_glodapv2_2021  <- "/nfs/kryo/work/updata/glodapv2_2021/"
path_glodapv2_CRM  <- "/nfs/kryo/work/updata/glodapv2_CRM/"
path_crossover <- "/nfs/kryo/work/updata/glodapv2_crossover"

path_preprocessing  <- paste(path_root, "/observations/preprocessing/", sep = "")

1 Read files

1.1 Adjusted data

Main data source for this project is GLODAPv2.2021_Merged_Master_File.csv downloaded from https://www.ncei.noaa.gov/data/oceans/ncei/ocads/data/0237935/GLODAPv2.2021_Merged_Master_File.csv on Aug 30, 2021.

GLODAP <-
  read_csv(
    paste(
      path_glodapv2_2021,
      "GLODAPv2.2021_Merged_Master_File_20210830.csv",
      sep = ""
    ),
    na = "-9999",
    col_types = cols(.default = col_double())
  )


GLODAP <- GLODAP %>%
  rename_with(~str_remove(., 'G2'))

1.2 Adjustment table

GLODAP_adjustments <-
  read_csv(
    paste(
      path_glodapv2_2021,
      "GLODAPv2.2021_adjustments_last_updated_on_2021_05_10.csv",
      sep = ""
    ),
    na = c("-666", "-777", "-888", "-999"),
    skip = 2
  )

1.3 Expocodes

GLODAP_expocodes <-
  read_tsv(
    paste(
      path_glodapv2_2021,
      "EXPOCODES.txt",
      sep = ""
    ),
    col_names = c("cruise", "cruise_expocode")
  )

1.4 Crossover tables

# tables from glodapv2, provided by Steven van Heuven

glodapv2_xover_files <- fs::dir_ls(paste0(path_crossover, "/glodapv2"))

glodapv2_xover <- glodapv2_xover_files %>% 
  map_dfr(read_csv, .id = "parameter")

glodapv2_xover <- glodapv2_xover %>% 
  mutate(parameter = str_remove(parameter, ".csv"),
         parameter = str_sub(parameter, -3))


glodapv2_xover <- glodapv2_xover %>% 
  mutate(parameter = recode(parameter,
                            "ALK" = "talk",
                            "DIC" = "tco2",
                            "NO3" = "nitrate",
                            "_O2" = "oxygen",
                            "PO4" = "phosphate",
                            "SAL" = "salinity",
                            "SIL" = "silicate"))

# Note: In the files provided by Steven von Heuven
# the column names sigma_ratio and sigma_offset_sd were swapped

glodapv2_xover_absolute <- glodapv2_xover %>% 
  filter(parameter %in% c("salinity", "talk", "tco2")) %>% 
  select(parameter,
         offset = sigma_offset,
         offset_sd = sigma_ratio,
         cruise_A = CruiseA_EXPOCODE,
         cruise_B = CruiseB_EXPOCODE)

glodapv2_xover_ratio <- glodapv2_xover %>% 
  filter(!(parameter %in% c("salinity", "talk", "tco2"))) %>% 
  select(parameter,
         offset = sigma_offset_sd,
         offset_sd = sigma_ratio_sd,
         cruise_A = CruiseA_EXPOCODE,
         cruise_B = CruiseB_EXPOCODE)

glodapv2_xover <- bind_rows(
  glodapv2_xover_absolute,
  glodapv2_xover_ratio
)


rm(glodapv2_xover_files, glodapv2_2021_xover_files,
   glodapv2_xover_absolute, glodapv2_xover_ratio)

# tables created between glodapv2 and glodapv2.2021
# provided by Nico Lange

glodapv2_2021_xover_files <- fs::dir_ls(paste0(path_crossover, "/glodapv2_2021"))

glodapv2_2021_xover <- glodapv2_2021_xover_files %>% 
  map_dfr(readxl::read_excel)

glodapv2_2021_xover <- glodapv2_2021_xover %>%
  rename(parameter = Parameter) %>%
  mutate(parameter = recode(parameter,
                            "alkalinity" = "talk")) %>%
  filter(
    parameter %in%
      c(
        "tco2",
        "nitrate",
        "oxygen",
        "phosphate",
        "salinity",
        "silicate",
        "talk"
      )
  )


glodapv2_2021_xover <- glodapv2_2021_xover %>% 
  rename(offset = Offset,
         offset_sd = Std,
         cruise_A = Cruise_A,
         cruise_B = Cruise_B)

1.5 Missing/flagged cruises

GLODAP_cruises_missing <-
  read_csv(
    paste(
      path_glodapv2_2021,
      "GLODAPv2.2021_major_cruises_missing_flagged.csv",
      sep = ""
    )
  )

1.6 IO CRM data

IO_CRM_meas <-
  read_csv(
    paste(
      path_glodapv2_CRM,
      "/Millero_1998_Tab2.csv",
      sep = ""
    )
  )

CRM_ref <-
  read_csv(
    paste(
      path_glodapv2_CRM,
      "/Dickson_CRM_reference_values_20211215.csv",
      sep = ""
    )
  )

2 Data preparation

2.1 Correct qc flag

From an email conversation with Nico Lange

Yes, we are aware of these faulty(!) calculated TA data (using DIC and fCO2). It is linked to v2.2020 where we’ve added fCO2 to the “missing carbon calculation matrix”. Overall, including fCO2 in these calculations has worked great to fill some missing carbon gaps. However, for this cruise in particular the fCO2 values have most likely been converted wrongly to 20°C and are thus off! The problem of this all is that we haven’t really done a 2nd QC on the fCO2 values neither have we defined the corresponding “G2fCO2qc” variable, hence for the sake of consistency we kept all fCO2 values in. Again and unfortunately, in this particular case it led to the bad calculations of TA data…. We plan to do a full 2nd QC on all (!) fCO2 data for v3.

But you have indeed found a flaw in our merging script, as the corresponding calculated TA values should not have received a 2nd QC flag of 1! I missed out on adding a line to our merging script to accommodate for the non-existence of 2nd fCO2 flags in the carbon calculation matrix.

So long story short: Thank you very much for finding this flaw and letting me know of it!

and

Yes, the all calculated TA data from cruise 695 should have a talkqc of 0 (as they are based upon un QC’d fCO2 data…).

And no (thanks to your hint and questions), I figured that this wrongly assigned 2nd QC flag is a problem for all calculated carbon data, which used fCO2 for the calculations. However, luckily this is not really often the case.

You can check if thats the case by looking at which other carbon parameters are measured, i.e. by checking their primary flags (e.g. G2talkf, G2tco2f and G2phts25p0f and G2fco2f). If only two are measured and one of them is fCO2, it means that the other carbon parameters (the ones with a primary flag of 0) are calculated using fCO2. Hence, for these instances no 2nd QC is done and the corresponding qc flag should be 0 and not 1.

GLODAP_qc_check <- GLODAP %>% 
  filter(cruise == 717) %>% 
  count(talkqc)
# calculate number of measured co2 system variables

GLODAP <- GLODAP %>%
  mutate(measured_CO2_vars = rowSums(select(., c(
    tco2f, talkf, fco2f, phts25p0f
  )) == 2))

# identify cruises on which talk/tco2 was calculated

talk_qc_error_cruises <- GLODAP %>%
  select(cruise, tco2:phtsqc, measured_CO2_vars) %>% 
  filter(measured_CO2_vars == 2,
         fco2f == 2,
         talkf == 0) %>% 
  distinct(cruise, talkf, talkqc, fco2f)

tco2_qc_error_cruises <- GLODAP %>%
  select(cruise, tco2:phtsqc, measured_CO2_vars) %>% 
  filter(measured_CO2_vars == 2,
         fco2f == 2,
         tco2f == 0) %>% 
  distinct(cruise, tco2f, tco2qc, fco2f)

talk_qc_error_cruises %>% 
  write_csv("data/talk_qc_error_cruises_GLODAPv2_2021.csv")

tco2_qc_error_cruises %>% 
  write_csv("data/tco2_qc_error_cruises_GLODAPv2_2021.csv")

rm(talk_qc_error_cruises, tco2_qc_error_cruises)


# set qc = 0 for tco2 and talk values calculated from fco2   

GLODAP <- GLODAP %>%
  mutate(tco2qc = if_else(measured_CO2_vars == 2 &
                            fco2f == 2 & tco2f == 0,
                          0,
                          tco2qc))

GLODAP <- GLODAP %>%
  mutate(talkqc = if_else(measured_CO2_vars == 2 &
                            fco2f == 2 & talkf == 0,
                          0,
                          talkqc))

GLODAP <- GLODAP %>% 
  select(-measured_CO2_vars)
# calculate number of measured co2 system variables

GLODAP <- GLODAP %>%
  mutate(measured_CO2_vars = rowSums(select(., c(
    tco2f, talkf, fco2f, phts25p0f
  )) == 2))

# identify cruises on which talk/tco2 was calculated

tco2_talk_calc <- GLODAP %>%
  select(cruise, tco2:phtsqc, measured_CO2_vars) %>% 
  filter(measured_CO2_vars == 2,
         fco2f == 2,
         phts25p0f == 2)

GLODAP <- GLODAP %>% 
  select(-measured_CO2_vars)

2.2 Harmonize nomenclature

# create date column
GLODAP <- GLODAP %>%
  mutate(date = ymd(paste(year, month, day))) %>%
  relocate(date)

# harmonize column names
GLODAP <- GLODAP  %>%
  rename(sal = salinity,
         temp = temperature)

# harmonize coordinates
GLODAP <- GLODAP  %>%
  rename(lon = longitude,
         lat = latitude) %>%
  mutate(lon = if_else(lon < 20, lon + 360, lon))

2.3 Horizontal gridding

For merging with other data sets, all observations were grouped into latitude intervals of:

  • 1° x 1°
GLODAP <- m_grid_horizontal(GLODAP)

2.4 Apply basin mask

# use only three basin to assign general basin mask
# ie this is not specific to the MLR fitting
basinmask <- basinmask %>% 
  filter(MLR_basins == "2") %>% 
  select(lat, lon, basin_AIP)

GLODAP <- inner_join(GLODAP, basinmask)

2.5 Add row number

GLODAP <- GLODAP  %>%  
  mutate(row_number = row_number()) %>% 
  relocate(row_number)

2.6 Split CO2 and tracers

# remove irrelevant columns
GLODAP <- GLODAP %>%
  select(-c(region,
            month:minute,
            maxsampdepth, sigma0:sigma4,
            nitrite:nitritef))


GLODAP_tracer <- GLODAP %>% 
  select(row_number:gamma,
         cfc11:sf6f,
         basin_AIP)

# select relevant columns
GLODAP <- GLODAP %>%
  select(row_number:talkqc,
         basin_AIP)

2.7 Subset measured data

2.7.1 tco2

The vast majority of rows is removed due to missing tco2 observations.

GLODAP <- GLODAP %>% 
  filter(!is.na(tco2))

2.7.2 tracer

Rows are removed if no tracer observation is available.

GLODAP_tracer <- GLODAP_tracer %>%
  filter(if_any(
    c(
      cfc11,
      cfc12,
      cfc113,
      ccl4,
      sf6,
      pcfc11,
      pcfc12,
      pcfc113,
      pccl4,
      psf6
    ),
    ~ !is.na(.)
  ))

2.8 Create clean observations grid

2.8.1 tco2

GLODAP_obs_grid <- GLODAP %>% 
  count(lat, lon)
GLODAP_grid_year <- GLODAP %>%
  count(lat, lon, year)

map +
  geom_raster(data = GLODAP_grid_year,
              aes(lon, lat)) +
  facet_wrap(~ year, ncol=3)

Version Author Date
dc8d958 jens-daniel-mueller 2021-10-20

2.8.2 tracer

GLODAP_obs_grid_tracer <- GLODAP_tracer %>% 
  count(lat, lon)
GLODAP_grid_year_tracer <- GLODAP_tracer %>%
  count(lat, lon, year)

map +
  geom_raster(data = GLODAP_grid_year_tracer,
              aes(lon, lat)) +
  facet_wrap(~ year, ncol=3)

Version Author Date
2a50fa9 jens-daniel-mueller 2021-10-28

3 Flagging

3.1 qc

qc_flag <- full_join(
  GLODAP,
  GLODAP_expocodes
)

qc_flag <- qc_flag %>%
  mutate(decade = cut(
    year,
    seq(1990, 2020, 10),
    right = FALSE,
    labels = c("1990-1999", "2000-2009", "2010-2019")
  ),
  .after = year) %>%
  filter(!is.na(decade)) %>% 
  select(lon, lat, basin_AIP, decade, cruise_expocode, ends_with("qc")) %>%
  pivot_longer(ends_with("qc"),
               names_to = "parameter",
               values_to = "value")

qc_flag_grid <- qc_flag %>%
  count(lon, lat, decade, parameter, value)

p_qc_flag_map <- qc_flag_grid %>% 
  group_split(value) %>%
  # head(1) %>% 
  map(
    ~map +
  geom_tile(data = .x,
            aes(lon, lat, fill=n)) +
  facet_grid(parameter ~ decade) +
  labs(title = paste("qc flag =", unique(.x$value))) +
    scale_fill_viridis_c(option = "magma",
                         direction = -1,
                         trans = "log10")
  )

p_qc_flag_map
[[1]]

Version Author Date
daa43b9 jens-daniel-mueller 2021-12-06

[[2]]

Version Author Date
daa43b9 jens-daniel-mueller 2021-12-06
pdf("output/qc_flag_coverage_maps.pdf")
p_qc_flag_map
[[1]]

[[2]]
dev.off()
png 
  2 
qc_flag %>% 
  filter(basin_AIP == "Pacific",
         decade == "1990-1999") %>% 
  count(cruise_expocode, parameter, value) %>% 
  arrange(value, -n) %>% 
  write_csv("output/Pacific_1990_qc_by_cruise_and_parameter.csv")

rm(qc_flag, qc_flag_grid, p_qc_flag_map)

3.2 f

f_flag <- full_join(
  GLODAP,
  GLODAP_expocodes
)

f_flag <- f_flag %>%
  mutate(decade = cut(
    year,
    seq(1990, 2020, 10),
    right = FALSE,
    labels = c("1990-1999", "2000-2009", "2010-2019")
  ),
  .after = year) %>%
  filter(!is.na(decade)) %>% 
  select(lon, lat, basin_AIP, decade, cruise_expocode, ends_with("f")) %>%
  pivot_longer(ends_with("f"),
               names_to = "parameter",
               values_to = "value")

f_flag_grid <- f_flag %>%
  count(lon, lat, decade, parameter, value)

p_f_flag_map <- f_flag_grid %>% 
  group_split(value) %>%
  # head(1) %>% 
  map(
    ~map +
  geom_tile(data = .x,
            aes(lon, lat, fill=n)) +
  facet_grid(parameter ~ decade) +
  labs(title = paste("f flag =", unique(.x$value))) +
    scale_fill_viridis_c(option = "magma",
                         direction = -1,
                         trans = "log10")
  )

p_f_flag_map
[[1]]

Version Author Date
de20732 jens-daniel-mueller 2021-12-08

[[2]]

Version Author Date
de20732 jens-daniel-mueller 2021-12-08

[[3]]

Version Author Date
de20732 jens-daniel-mueller 2021-12-08
pdf("output/f_flag_coverage_maps.pdf")
p_f_flag_map
[[1]]

[[2]]

[[3]]
dev.off()
png 
  2 
f_flag %>% 
  filter(basin_AIP == "Pacific",
         decade == "1990-1999") %>% 
  count(cruise_expocode, parameter, value) %>% 
  arrange(value, -n) %>% 
  write_csv("output/Pacific_1990_f_by_cruise_and_parameter.csv")

rm(f_flag, f_flag_grid, p_f_flag_map)

4 Data loss

loss_all <- full_join(
  GLODAP,
  GLODAP_expocodes
)

loss_all <- loss_all %>%
  mutate(decade = cut(
    year,
    seq(1989, 2019, 10),
    right = FALSE,
    labels = c("1989-1999", "2000-2009", "2010-2019")
  ),
  .after = year) %>%
  filter(!is.na(decade))

map +
  geom_tile(data = loss_all %>% distinct(lon, lat, decade),
            aes(lon, lat)) +
  facet_grid(decade ~ .)

Version Author Date
e810585 jens-daniel-mueller 2021-12-16
loss <- loss_all %>% 
  filter(if_all(ends_with("f"), ~ . != 9))

loss_all_n <- loss_all %>% 
  count(basin_AIP, decade)

loss_n <- loss %>% 
  count(basin_AIP, decade)

4.1 qc

loss_qc <- loss %>% 
  select(lon, lat, basin_AIP, decade, cruise_expocode, ends_with("qc")) %>%
  pivot_longer(ends_with("qc"),
               names_to = "parameter",
               values_to = "value") %>% 
  mutate(parameter = str_remove(parameter, "qc"))

loss_qc <- loss_qc %>%
  count(cruise_expocode, basin_AIP, decade, parameter, value) %>%
  pivot_wider(
    names_from = value,
    names_prefix = "qc_",
    values_from = n,
    values_fill = 0
  ) %>%
  mutate(n_cruise = qc_0 + qc_1,
         category = if_else(qc_0 <= 0.1 * (n_cruise), "OK", "loss"))

loss_qc_cruise <- loss_qc %>%
  mutate(parameter_class = if_else(
    parameter %in% c("tco2", "talk", "phosphate"),
    "target",
    "predictor"
  )) %>%
  count(cruise_expocode,
        basin_AIP,
        decade,
        n_cruise,
        parameter_class,
        category) %>% 
  pivot_wider(names_from = category,
              values_from = n,
              values_fill = 0) %>% 
  select(-OK) %>% 
  pivot_wider(names_from = parameter_class,
              values_from = loss) %>% 
  group_by(basin_AIP, decade) %>%
  mutate(rank_n_cruise = rank(-n_cruise)) %>%
  ungroup()

loss_qc_cruise <- full_join(loss_qc_cruise, loss_n)

loss_qc_cruise <- loss_qc_cruise %>% 
  mutate(n_cruise_rel = 100 * n_cruise / n) %>% 
  arrange(basin_AIP, decade, -n_cruise_rel) %>% 
  group_by(basin_AIP, decade) %>% 
  mutate(n_cruise_rel_cum = cumsum(n_cruise_rel)) %>% 
  ungroup() %>% 
  select(-n)

loss_qc_cruise <- loss_qc_cruise %>% 
  pivot_longer(predictor:target,
               names_to = "parameter_class",
               values_to = "loss") %>% 
  mutate(loss = as.factor(loss))

grey_plasma <- c("grey80", viridisLite::plasma(4))

loss_qc_cruise <- loss_qc_cruise %>%
  filter(n_cruise_rel >= 3)

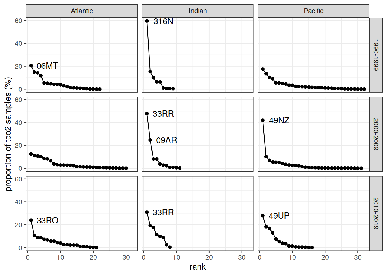
loss_qc_cruise %>%
  group_split(basin_AIP) %>%
  # head(3) %>%
  map(
    ~ ggplot(data = .x,
             aes(rank_n_cruise, n_cruise_rel, fill = loss)) +
      geom_point(shape = 21, size = 2) +
      scale_fill_manual(values = grey_plasma,
                        name = "variables missing") +
      facet_grid(decade ~ parameter_class) +
      labs(title = paste("basin_AIP:", unique(.x$basin_AIP))) +
      ylim(0, NA)
  )
[[1]]

Version Author Date
6aa4b75 jens-daniel-mueller 2021-12-16
163f976 jens-daniel-mueller 2021-12-16
be0850d jens-daniel-mueller 2021-12-16
ce6cdae jens-daniel-mueller 2021-12-15

[[2]]

Version Author Date
6aa4b75 jens-daniel-mueller 2021-12-16
163f976 jens-daniel-mueller 2021-12-16
be0850d jens-daniel-mueller 2021-12-16
ce6cdae jens-daniel-mueller 2021-12-15

[[3]]

Version Author Date
6aa4b75 jens-daniel-mueller 2021-12-16
163f976 jens-daniel-mueller 2021-12-16
be0850d jens-daniel-mueller 2021-12-16
ce6cdae jens-daniel-mueller 2021-12-15
loss_qc_cruise %>% 
  filter(loss != 0) %>% 
  select(basin_AIP, decade, parameter_class, rank_n_cruise, cruise_expocode) %>% 
  arrange(basin_AIP, decade, parameter_class, rank_n_cruise) %>% 
  kable() %>% 
  kable_styling() %>% 
  scroll_box(height = "300px")
basin_AIP decade parameter_class rank_n_cruise cruise_expocode
Atlantic 1989-1999 target 11 06MT19900123
Atlantic 1989-1999 target 12 33LK19960415
Atlantic 1989-1999 target 13 33MW19930704
Atlantic 2000-2009 predictor 7 35TH20010823
Atlantic 2000-2009 predictor 13 33RO20070710
Atlantic 2000-2009 target 7 35TH20010823
Atlantic 2000-2009 target 8 74DI20040404
Atlantic 2000-2009 target 9 35TH20080610
Atlantic 2000-2009 target 11 35TH20040604
Atlantic 2000-2009 target 12 35TH20020611
Atlantic 2010-2019 predictor 5 74EQ20151206
Indian 1989-1999 target 11 320619960503
Pacific 1989-1999 predictor 2 31DS19940126
Pacific 1989-1999 predictor 4 31DS19920907
Pacific 1989-1999 target 4 31DS19920907
Pacific 1989-1999 target 6 316N19930222
Pacific 1989-1999 target 7 316N19921006
Pacific 1989-1999 target 8 90KD19920214
Pacific 1989-1999 target 11 316N19921204
loss_grid <- loss %>% distinct(lon, lat, cruise_expocode)

loss_qc_grid <- left_join(loss_qc_cruise,
                          loss_grid)

map +
  geom_tile(data = loss_qc_grid,
            aes(lon, lat, fill = loss)) +
  facet_grid(decade ~ parameter_class) +
  scale_fill_manual(values = grey_plasma)

Version Author Date
6aa4b75 jens-daniel-mueller 2021-12-16
163f976 jens-daniel-mueller 2021-12-16
be0850d jens-daniel-mueller 2021-12-16
loss_qc_grid %>% filter(loss != 0) %>%
  group_split(parameter_class, decade) %>%
  # head(1) %>%
  map(
    ~ map +
      geom_tile(data = .x,
                aes(lon, lat, fill = cruise_expocode)) +
      scale_fill_brewer(palette = "Paired") +
      facet_grid(decade ~ parameter_class)
  )
[[1]]

Version Author Date
e810585 jens-daniel-mueller 2021-12-16

[[2]]

Version Author Date
e810585 jens-daniel-mueller 2021-12-16

[[3]]

Version Author Date
e810585 jens-daniel-mueller 2021-12-16

[[4]]

Version Author Date
e810585 jens-daniel-mueller 2021-12-16

[[5]]

Version Author Date
e810585 jens-daniel-mueller 2021-12-16

4.2 f

loss_f <- loss %>% 
  select(lon, lat, basin_AIP, decade, cruise_expocode, ends_with("f")) %>%
  pivot_longer(ends_with("f"),
               names_to = "parameter",
               values_to = "value") %>% 
  mutate(parameter = str_remove(parameter, "f"))

loss_f <- loss_f %>%
  count(cruise_expocode, basin_AIP, decade, parameter, value) %>%
  pivot_wider(
    names_from = value,
    names_prefix = "f_",
    values_from = n,
    values_fill = 0
  ) %>%
  mutate(n_cruise = f_0 + f_2,
         category = if_else(f_0 <= 0.1 * (n_cruise), "OK", "loss"))

loss_f_cruise <- loss_f %>%
  mutate(parameter_class = if_else(
    parameter %in% c("tco2", "talk", "phosphate"),
    "target",
    "predictor"
  )) %>%
  count(cruise_expocode,
        basin_AIP,
        decade,
        n_cruise,
        parameter_class,
        category) %>% 
  pivot_wider(names_from = category,
              values_from = n,
              values_fill = 0) %>% 
  select(-OK) %>% 
  pivot_wider(names_from = parameter_class,
              values_from = loss) %>% 
  group_by(basin_AIP, decade) %>%
  mutate(rank_n_cruise = rank(-n_cruise)) %>%
  ungroup()

loss_f_cruise <- full_join(loss_f_cruise, loss_n)

loss_f_cruise <- loss_f_cruise %>% 
  mutate(n_cruise_rel = 100 * n_cruise / n) %>% 
  arrange(basin_AIP, decade, -n_cruise_rel) %>% 
  group_by(basin_AIP, decade) %>% 
  mutate(n_cruise_rel_cum = cumsum(n_cruise_rel)) %>% 
  ungroup() %>% 
  select(-n)

loss_f_cruise <- loss_f_cruise %>% 
  pivot_longer(predictor:target,
               names_to = "parameter_class",
               values_to = "loss") %>% 
  mutate(loss = as.factor(loss))

grey_plasma <- c("grey80", viridisLite::plasma(4))

loss_f_cruise <- loss_f_cruise %>%
    filter(n_cruise_rel >= 3)

loss_f_cruise %>%
  # filter(n_cruise_rel_cum <= 90) %>%
  group_split(basin_AIP) %>%
  # head(1) %>%
  map(
    ~ ggplot(data = .x,
             aes(rank_n_cruise, n_cruise, fill = loss)) +
      geom_point(shape = 21, size = 2) +
      scale_fill_manual(values = grey_plasma,
                        name = "variables missing") +
      facet_grid(decade ~ parameter_class) +
      labs(title = paste("basin_AIP:", unique(.x$basin_AIP))) +
      ylim(0, NA)
  )
[[1]]

Version Author Date
6aa4b75 jens-daniel-mueller 2021-12-16
163f976 jens-daniel-mueller 2021-12-16
ce6cdae jens-daniel-mueller 2021-12-15

[[2]]

Version Author Date
6aa4b75 jens-daniel-mueller 2021-12-16
163f976 jens-daniel-mueller 2021-12-16
ce6cdae jens-daniel-mueller 2021-12-15

[[3]]

Version Author Date
6aa4b75 jens-daniel-mueller 2021-12-16
163f976 jens-daniel-mueller 2021-12-16
ce6cdae jens-daniel-mueller 2021-12-15
loss_f_cruise %>% 
  filter(loss != 0) %>% 
  select(basin_AIP, decade, parameter_class, rank_n_cruise, cruise_expocode) %>% 
  arrange(basin_AIP, decade, parameter_class, rank_n_cruise) %>% 
  kable() %>% 
  kable_styling() %>% 
  scroll_box(height = "300px")
basin_AIP decade parameter_class rank_n_cruise cruise_expocode
Atlantic 1989-1999 target 1 323019940104
Atlantic 1989-1999 target 7 33RO19980123
Atlantic 1989-1999 target 9 35A319950113
Atlantic 1989-1999 target 11 06MT19900123
Atlantic 1989-1999 target 12 33LK19960415
Atlantic 1989-1999 target 13 33MW19930704
Atlantic 2000-2009 target 7 35TH20010823
Atlantic 2000-2009 target 8 74DI20040404
Atlantic 2000-2009 target 9 35TH20080610
Atlantic 2000-2009 target 11 35TH20040604
Atlantic 2000-2009 target 12 35TH20020611
Atlantic 2010-2019 target 10 33RO20110926
Indian 1989-1999 target 11 320619960503
Indian 2000-2009 target 2 33RR20080204
Pacific 1989-1999 target 3 31DS19960105
Pacific 1989-1999 target 6 316N19930222
Pacific 1989-1999 target 7 316N19921006
Pacific 1989-1999 target 8 90KD19920214
Pacific 1989-1999 target 11 316N19921204
Pacific 2000-2009 target 1 33RO20071215
Pacific 2010-2019 target 1 318M20091121
Pacific 2010-2019 target 5 320620170703
loss_grid <- loss %>% distinct(lon, lat, cruise_expocode)

loss_f_grid <- left_join(loss_f_cruise,
                          loss_grid)
map +
  geom_tile(data = loss_f_grid,
            aes(lon, lat, fill = loss)) +
  facet_grid(decade ~ parameter_class) +
  scale_fill_manual(values = grey_plasma)

Version Author Date
6aa4b75 jens-daniel-mueller 2021-12-16
163f976 jens-daniel-mueller 2021-12-16
be0850d jens-daniel-mueller 2021-12-16
loss_f_grid %>% filter(loss != 0) %>%
  group_split(parameter_class, decade) %>%
  # head(1) %>%
  map(
    ~ map +
      geom_tile(data = .x,
                aes(lon, lat, fill = cruise_expocode)) +
      scale_fill_brewer(palette = "Paired") +
      facet_grid(decade ~ parameter_class)
  )
[[1]]

Version Author Date
e810585 jens-daniel-mueller 2021-12-16

[[2]]

Version Author Date
e810585 jens-daniel-mueller 2021-12-16

[[3]]

Version Author Date
e810585 jens-daniel-mueller 2021-12-16

4.3 f == 9

loss_f9 <- loss_all %>% 
  select(lon, lat, basin_AIP, decade, cruise_expocode, ends_with("f")) %>%
  pivot_longer(ends_with("f"),
               names_to = "parameter",
               values_to = "value") %>% 
  mutate(parameter = str_remove(parameter, "f"))

loss_f9 <- loss_f9 %>%
  count(cruise_expocode, basin_AIP, decade, parameter, value) %>%
  pivot_wider(
    names_from = value,
    names_prefix = "f_",
    values_from = n,
    values_fill = 0
  ) %>%
  mutate(n_cruise = f_0 + f_2 + f_9,
         category = if_else(f_9 <= 0.1 * (n_cruise), "OK", "loss"))

loss_f9_cruise <- loss_f9 %>%
  mutate(parameter_class = if_else(
    parameter %in% c("tco2", "talk", "phosphate"),
    "target",
    "predictor"
  )) %>%
  count(cruise_expocode,
        basin_AIP,
        decade,
        n_cruise,
        parameter_class,
        category) %>% 
  pivot_wider(names_from = category,
              values_from = n,
              values_fill = 0) %>% 
  select(-OK) %>% 
  pivot_wider(names_from = parameter_class,
              values_from = loss) %>% 
  group_by(basin_AIP, decade) %>%
  mutate(rank_n_cruise = rank(-n_cruise)) %>%
  ungroup()

loss_f9_cruise <- full_join(loss_f9_cruise, loss_all_n)

loss_f9_cruise <- loss_f9_cruise %>% 
  mutate(n_cruise_rel = 100 * n_cruise / n) %>% 
  arrange(basin_AIP, decade, -n_cruise_rel) %>% 
  group_by(basin_AIP, decade) %>% 
  mutate(n_cruise_rel_cum = cumsum(n_cruise_rel)) %>% 
  ungroup() %>% 
  select(-n)

loss_f9_cruise <- loss_f9_cruise %>% 
  pivot_longer(predictor:target,
               names_to = "parameter_class",
               values_to = "loss") %>% 
  mutate(loss = as.factor(loss))

grey_plasma <- c("grey80", viridisLite::plasma(4))

loss_f9_cruise <- loss_f9_cruise %>%
    filter(n_cruise_rel >= 3)

loss_f9_cruise %>%
  group_split(basin_AIP) %>%
  # head(1) %>%
  map(
    ~ ggplot(data = .x,
             aes(rank_n_cruise, n_cruise, fill = loss)) +
      geom_point(shape = 21, size = 2) +
      scale_fill_manual(values = grey_plasma,
                        name = "variables missing") +
      facet_grid(decade ~ parameter_class) +
      labs(title = paste("basin_AIP:", unique(.x$basin_AIP))) +
      ylim(0, NA)
  )
[[1]]

Version Author Date
6aa4b75 jens-daniel-mueller 2021-12-16

[[2]]

Version Author Date
6aa4b75 jens-daniel-mueller 2021-12-16

[[3]]

Version Author Date
6aa4b75 jens-daniel-mueller 2021-12-16
loss_f9_cruise %>% 
  filter(loss != 0) %>% 
  select(basin_AIP, decade, parameter_class, rank_n_cruise, cruise_expocode) %>% 
  arrange(basin_AIP, decade, parameter_class, rank_n_cruise) %>% 
  kable() %>% 
  kable_styling() %>% 
  scroll_box(height = "300px")
basin_AIP decade parameter_class rank_n_cruise cruise_expocode
Atlantic 1989-1999 predictor 2 316N19871123
Atlantic 1989-1999 predictor 4 06AQ19980328
Atlantic 1989-1999 predictor 6 74DI19970807
Atlantic 1989-1999 target 2 316N19871123
Atlantic 1989-1999 target 3 33RO19980123
Atlantic 1989-1999 target 4 06AQ19980328
Atlantic 1989-1999 target 6 74DI19970807
Atlantic 1989-1999 target 7 33MW19930704
Atlantic 2000-2009 target 1 33RO20050111
Atlantic 2000-2009 target 2 33RO20030604
Atlantic 2000-2009 target 3 06AQ20050122
Atlantic 2000-2009 target 4 06AQ20080210
Atlantic 2000-2009 target 5 35TH19990712
Atlantic 2010-2019 predictor 10 06M220170104
Atlantic 2010-2019 predictor 11 06AQ20120107
Atlantic 2010-2019 target 3 33RO20110926
Atlantic 2010-2019 target 6 29HE20130320
Atlantic 2010-2019 target 10 06M220170104
Indian 1989-1999 predictor 1 316N19951202
Indian 1989-1999 predictor 3 316N19950310
Indian 1989-1999 predictor 7 35MF19960220
Indian 1989-1999 target 1 316N19951202
Indian 1989-1999 target 5 316N19941201
Indian 1989-1999 target 8 320619960503
Indian 1989-1999 target 10 316N19950611
Indian 1989-1999 target 12 35MF19930123
Indian 2000-2009 predictor 9 09AR20071216
Indian 2000-2009 target 6 09AR20060102
Indian 2010-2019 predictor 7 09AR20141205
Indian 2010-2019 target 7 09AR20141205
Pacific 1989-1999 predictor 6 33MW19920224
Pacific 1989-1999 target 1 316N19920502
Pacific 1989-1999 target 6 33MW19920224
Pacific 1989-1999 target 8 316N19921006
Pacific 2000-2009 predictor 6 325020060213
loss_all_grid <- loss_all %>% distinct(lon, lat, cruise_expocode)

loss_f9_grid <- left_join(loss_f9_cruise,
                          loss_all_grid)
map +
  geom_tile(data = loss_f9_grid,
            aes(lon, lat, fill = loss)) +
  facet_grid(decade ~ parameter_class) +
  scale_fill_manual(values = grey_plasma)

Version Author Date
6aa4b75 jens-daniel-mueller 2021-12-16
loss_f9_grid %>% filter(loss != 0) %>%
  group_split(parameter_class, decade) %>%
  # head(1) %>%
  map(
    ~ map +
      geom_tile(data = .x,
                aes(lon, lat, fill = cruise_expocode)) +
      scale_fill_brewer(palette = "Paired") +
      facet_grid(decade ~ parameter_class)
  )
[[1]]

Version Author Date
e810585 jens-daniel-mueller 2021-12-16

[[2]]

Version Author Date
e810585 jens-daniel-mueller 2021-12-16

[[3]]

Version Author Date
e810585 jens-daniel-mueller 2021-12-16

[[4]]

Version Author Date
e810585 jens-daniel-mueller 2021-12-16

[[5]]

Version Author Date
e810585 jens-daniel-mueller 2021-12-16

[[6]]

Version Author Date
e810585 jens-daniel-mueller 2021-12-16

4.4 Overview

expocodes_missing <- GLODAP_cruises_missing %>%
  distinct(cruise_expocode) %>%
  pull()

missing_cruise_grid <- loss_all %>%
  filter(cruise_expocode %in% expocodes_missing) %>% 
  distinct(cruise_expocode, decade, lon, lat)

missing_cruise_grid %>%
  group_split(decade) %>%
  # head(1) %>%
  map(
    ~ map +
      geom_tile(data = .x,
                aes(lon, lat, fill = str_sub(
                  cruise_expocode, 1, 4
                ))) +
      facet_grid(decade ~ .) +
      scale_fill_brewer(palette = "Paired",
                        name = "RV")
  )
[[1]]

Version Author Date
00227e6 jens-daniel-mueller 2021-12-20

[[2]]

Version Author Date
00227e6 jens-daniel-mueller 2021-12-20

[[3]]

Version Author Date
00227e6 jens-daniel-mueller 2021-12-20

4.5 P18 phosphate

P18 <- full_join(
  GLODAP,
  GLODAP_expocodes
)

P18 <- P18 %>% 
  filter(cruise_expocode %in% c("33RO20161119",
                                "33RO20071215",
                                "31DS19940126"))

P18 %>% 
  ggplot(aes(date, lat)) +
  geom_point() +
  facet_grid() +
  facet_wrap(cruise_expocode ~., scales = "free_x", ncol = 1)

Version Author Date
70923f2 jens-daniel-mueller 2021-12-14
b68b58e jens-daniel-mueller 2021-12-13
P18 %>% 
  filter(!is.na(nitrate)) %>% 
  ggplot(aes(lat, depth, col= nitrate)) +
  geom_point() +
  scale_color_viridis_c() +
  scale_y_reverse() +
  facet_grid(cruise_expocode ~.)

Version Author Date
70923f2 jens-daniel-mueller 2021-12-14
b68b58e jens-daniel-mueller 2021-12-13
P18_grid <- P18 %>% 
  select(lat, lon, depth, cruise_expocode, nitrate) %>% 
  mutate(depth = as.numeric(as.character(cut(depth,
                     seq(0,1e4, 500), 
                     seq(250,1e4,500))))) %>% 
  group_by(lat, depth, cruise_expocode) %>% 
  summarise(nitrate = mean(nitrate, na.rm=TRUE)) %>% 
  ungroup()

P18_grid %>% 
  ggplot(aes(lat, depth, col= nitrate)) +
  geom_point() +
  scale_color_viridis_c() +
  scale_y_reverse() +
  facet_grid(cruise_expocode ~.)

Version Author Date
70923f2 jens-daniel-mueller 2021-12-14
b68b58e jens-daniel-mueller 2021-12-13
P18_grid_offset <- P18_grid %>% 
  pivot_wider(names_from = cruise_expocode,
              values_from = nitrate) %>% 
  mutate(delta_nitrate_1994_2007 = (`31DS19940126` - `33RO20071215`) / `33RO20071215`,
         delta_nitrate_1994_2016 = (`31DS19940126` - `33RO20161119`) / `33RO20071215`,
         delta_nitrate_2007_2016 = (`33RO20071215` - `33RO20161119`) / `33RO20071215`) %>% 
  select(lat, depth, starts_with("delta")) %>% 
  pivot_longer(starts_with("delta"),
               values_to = "delta_nitrate",
               names_to = "years",
               names_prefix = "delta_nitrate_") %>% 
  filter(delta_nitrate > -20,
         depth > 1500)

P18_grid_offset %>% 
  ggplot(aes(lat, depth, col= delta_nitrate)) +
  geom_point() +
  scale_color_divergent() +
  scale_y_reverse() +
  facet_grid(years ~.)

Version Author Date
70923f2 jens-daniel-mueller 2021-12-14
P18_grid_offset %>%
  group_by(lat, years) %>%
  summarise(delta_nitrate = mean(delta_nitrate, na.rm = TRUE)) %>%
  ungroup() %>%
  ggplot(aes(lat, delta_nitrate, col = years, fill = years)) +
  geom_hline(yintercept = 0) +
  stat_smooth(method = "lm", formula = y ~ x + I(x ^ 2)) +
  geom_point() +
  geom_line()

Version Author Date
70923f2 jens-daniel-mueller 2021-12-14
rm(P18, P18_grid)

4.6 A16

A16 <- full_join(
  GLODAP,
  GLODAP_expocodes
)

A16 <- A16 %>% 
  filter(cruise_expocode %in% c(
    "33MW19930704" #A16N-1993
    ))

map + 
  geom_tile(data = A16 %>% distinct(lon, lat),
            aes(lon, lat))

Version Author Date
70923f2 jens-daniel-mueller 2021-12-14
A16 %>% 
  select(ends_with(c("qc"))) %>% 
  pivot_longer(everything(),
               names_to = "flag",
               values_to = "value") %>% 
  distinct(flag, value)
# A tibble: 9 × 2
  flag        value
  <chr>       <dbl>
1 salinityqc      1
2 oxygenqc        1
3 nitrateqc       1
4 silicateqc      1
5 phosphateqc     1
6 tco2qc          1
7 talkqc          1
8 talkqc          0
9 tco2qc          0
rm(A16)

5 Adjustments

Typically, the reasons for multiple expocode entries of the same cruise in the adjustment table list are:

  1. The cruise adjustments are different for different station, i.e. station split (e.g. 316N19821201)

-> How to merge? Based on first and last station? Cruise_ID not in GLODAP merged master file.

  1. The cruise adjustments are different for different legs (e.g. 316N19871123.6) but have been merged into one cruise (316N19871123) for the product

-> How to merge? Based on first and last station?

  1. The cruise adjustments have been updated/changed through the versions, here always look for the most recent entry (see table below) (e.g. 320620180309)

For the expocodes not listed in the expocode list the reason is that INDIGO has been splitted into three cruises: 35MF1985-1987 and the same holds for SAVE (316N1987 - 6legs). Further 49HH20011208 has been assigned wrongly and corrected to 49HH20011127.

Remove expocode INDIGO and maintain only 35MF19850224. Remove expocode SAVE and maintain only 316N1987.

GLODAP_adjustments <- GLODAP_adjustments %>%
  select(cruise_expocode,
         first_station, last_station,
         version,
         calculated_carbon_parameter,
         ends_with("_adj")) %>% 
  rename(talk_adj = alkalinity_adj)

# Remove cruises INDIGO and SAVE

GLODAP_adjustments <- 
  GLODAP_adjustments %>% 
  filter(!(cruise_expocode %in% c("INDIGO", "SAVE")))

# correct expocode 49HH20011208 to 49HH20011127

GLODAP_adjustments <- 
  GLODAP_adjustments %>% 
  mutate(cruise_expocode = if_else(
    cruise_expocode == "49HH20011208",
    "49HH20011127",
    cruise_expocode
  ))


# select latest adjustment versions

GLODAP_adjustments <- 
  GLODAP_adjustments %>% 
  group_by(cruise_expocode, first_station) %>% 
  mutate(n = n(),
         version_max = max(version)) %>%
  ungroup() %>% 
  filter(version == version_max | is.na(version)) %>% 
  select(-c(version_max, version, n))

# harmonize multiple cruise expocodes of 316N1987

GLODAP_adjustments <- GLODAP_adjustments %>% 
  # filter(str_detect(cruise_expocode, "\\.")) %>% 
  mutate(cruise_expocode = str_split(cruise_expocode,
                                     "\\.",
                                     simplify = TRUE)[,1])

# correct one wrong last_cruise label

GLODAP_adjustments <- GLODAP_adjustments %>%
  mutate(
    last_station = if_else(
      cruise_expocode == "318M20091121" &
        first_station == 1,
      127,
      last_station
    )
  )

# merge with expocode table
GLODAP_adjustments <- full_join(GLODAP_adjustments, GLODAP_expocodes) %>% 
  relocate(cruise)



GLODAP_adjustments_NA_cruises <- 
  GLODAP_adjustments %>% 
  filter(is.na(cruise))

GLODAP_adjustments_duplicated_cruises <- 
  GLODAP_adjustments %>% 
  group_by(cruise_expocode, cruise) %>% 
  mutate(n = n()) %>%
  ungroup() %>% 
  filter(n != 1)


GLODAP_adjustments %>% 
  pivot_longer(salinity_adj:c13_adj,
               names_to = "parameter",
               values_to = "adjustment") %>% 
  ggplot(aes(adjustment)) +
  geom_histogram() +
  scale_y_log10() +
  facet_wrap(~ parameter, scales = "free_x")

Version Author Date
6d6a23e jens-daniel-mueller 2021-11-01

6 Crossover analysis

GLODAP <-
  left_join(GLODAP,
            GLODAP_adjustments %>%
              distinct(cruise, cruise_expocode))

6.1 Histograms

GLODAP_adjustments_long <- GLODAP_adjustments %>%
  select(
    cruise_expocode,
    first_station,
    last_station,
    tco2_adj,
    talk_adj,
    phosphate_adj,
    nitrate_adj,
    oxygen_adj,
    silicate_adj,
    salinity_adj
  ) %>%
  pivot_longer(tco2_adj:salinity_adj,
               names_to = "parameter",
               values_to = "adjustment") %>% 
  mutate(parameter = str_remove(parameter, "_adj"))

p_adjustment_histo <- GLODAP_adjustments_long %>% 
  ggplot(aes(adjustment)) +
  geom_histogram() +
  scale_y_log10() +
  facet_wrap(~ parameter, scales = "free_x", ncol = 1)

p_xover_histo <- 
  ggplot() +
  geom_histogram(data = glodapv2_xover,
                 aes(offset)) +
  labs(title = "v2") +
  scale_y_log10() +
  facet_wrap(~ parameter, scales = "free_x", ncol = 1)

p_xover_histo_2021 <- 
  ggplot() +
  geom_histogram(data = glodapv2_2021_xover,
                 aes(offset)) +
  labs(title = "v2_2021") +
  scale_y_log10() +
  facet_wrap(~ parameter, scales = "free_x", ncol = 1)

p_xover_histo + p_xover_histo_2021 + p_adjustment_histo

Version Author Date
a87f8c7 jens-daniel-mueller 2021-12-20
d5ef2c6 jens-daniel-mueller 2021-12-20
rm(p_xover_histo, p_xover_histo_2021, p_adjustment_histo)

6.2 Adjustment correction

glodapv2_xover <- left_join(
  glodapv2_xover,
  GLODAP_adjustments_long %>%
    select(
      cruise_A = cruise_expocode,
      parameter,
      first_station_A = first_station,
      last_station_A = last_station,
      adjustment_A = adjustment
    )
)

glodapv2_xover <- left_join(
  glodapv2_xover,
  GLODAP_adjustments_long %>%
    select(
      cruise_B = cruise_expocode,
      parameter,
      first_station_B = first_station,
      last_station_B = last_station,
      adjustment_B = adjustment
    )
)

glodapv2_xover <- glodapv2_xover  %>%
  mutate(offset_adj = 
           if_else(parameter %in% c("salinity", "talk", "tco2"),
                   offset + adjustment_A - adjustment_B,
                   offset * adjustment_A / adjustment_B))

glodapv2_2021_xover <- left_join(
  glodapv2_2021_xover,
  GLODAP_adjustments_long %>%
    select(
      cruise_A = cruise_expocode,
      parameter,
      first_station_A = first_station,
      last_station_A = last_station,
      adjustment_A = adjustment
    )
)

glodapv2_2021_xover <- left_join(
  glodapv2_2021_xover,
  GLODAP_adjustments_long %>%
    select(
      cruise_B = cruise_expocode,
      parameter,
      first_station_B = first_station,
      last_station_B = last_station,
      adjustment_B = adjustment
    )
)

glodapv2_2021_xover <- glodapv2_2021_xover  %>%
  mutate(offset_adj = 
           if_else(parameter %in% c("salinity", "talk", "tco2"),
                   offset + adjustment_A,
                   offset * adjustment_A))


xover <- bind_rows(glodapv2_xover,
                   glodapv2_2021_xover)

6.3 Missing/flagged data

hline_intercept <-
  tibble(parameter = unique(xover$parameter)) %>%
  mutate(intercept = if_else(parameter %in% c("salinity", "talk", "tco2"),
                             0,
                             1))

for (i_expocodes_missing in expocodes_missing) {
  # i_expocodes_missing <- expocodes_missing[1]
  
  cruise <- GLODAP %>%
    filter(cruise_expocode == i_expocodes_missing) %>% 
    rename(salinity = sal)
  
  parameter_qc <- loss_qc %>%
    filter(cruise_expocode == i_expocodes_missing,
           category == "loss") 
  
  print(parameter_qc)
  
  parameter_qc <- parameter_qc %>%
    pull(parameter)
  
  if (length(parameter_qc) > 0) {
    parameter_qc <- parameter_qc %>% str_c(.,"qc")
  }
    
  parameter_f <- loss_f %>%
    filter(cruise_expocode == i_expocodes_missing,
           category == "loss")
  
  print(parameter_f)
  
  parameter_f <- parameter_f %>%
    pull(parameter)
    
  if (length(parameter_f) > 0) {
    parameter_f <- parameter_f %>% str_c(.,"f")
  }
  
  parameter_f9 <- loss_f9 %>%
    filter(cruise_expocode == i_expocodes_missing,
           category == "loss")
  
  print(parameter_f9)
  
  parameter_f9 <- parameter_f9 %>%
    pull(parameter)
  
  if (length(parameter_f9) > 0) {
    parameter_f9 <- parameter_f9 %>% str_c(.,"f")
  }
  
  parameter_check <-
    unique(c(parameter_qc, parameter_f, parameter_f9))
  
  print(parameter_check)
  
  rm(parameter_qc, parameter_f, parameter_f9)
  
  xover_cruise_A <- xover %>%
    filter(cruise_A %in% i_expocodes_missing)
  
  xover_cruise_B <- xover %>%
    filter(cruise_B %in% i_expocodes_missing)
  
  xover_cruise_B_rev <- xover_cruise_B %>%
    rename(
      cruise_A_back = cruise_A,
      cruise_A = cruise_B,
      adjustment_A_back = adjustment_A,
      adjustment_A = adjustment_B
    ) %>%
    rename(cruise_B = cruise_A_back,
           adjustment_B = adjustment_A_back) %>%
    mutate(
      offset = if_else(
        parameter %in% c("salinity", "talk", "tco2"),
        -offset,
        1 / offset
      ),
      offset_adj = if_else(
        parameter %in% c("salinity", "talk", "tco2"),
        -offset_adj,
        1 / offset_adj
      )
    )
  
  xover_cruise <- bind_rows(xover_cruise_A,
                            xover_cruise_B_rev)
  
  xover_cruise <- xover_cruise %>%
    mutate(dateA = ymd(str_sub(cruise_A, 5, 12)),
           dateB = ymd(str_sub(cruise_B, 5, 12)))
  
  
  # xover_cruise <- xover_cruise %>%
  #   mutate(RV = str_sub(cruise_B, 1, 4))
  
  for (i_parameter_check in parameter_check) {
    # i_parameter_check <- parameter_check[1]
    
    cruise_flag_count <- cruise %>%
      count(lon, lat, !!sym(i_parameter_check)) %>%
      group_by(lon, lat) %>%
      mutate(n_rel = 100 * n / sum(n)) %>%
      ungroup()
    
    print(
      map +
        geom_tile(data = cruise_flag_count,
                  aes(lon, lat, fill = n_rel)) +
        scale_fill_viridis_c(option = "magma",
                             direction = -1) +
        facet_wrap(i_parameter_check, ncol = 2) +
        labs(title = i_expocodes_missing,
             subtitle = i_parameter_check)
    )
    
    i_parameter_check_var <- str_remove(i_parameter_check, "f")
    i_parameter_check_var <- str_remove(i_parameter_check_var, "qc")
    
    print(
      cruise %>% 
        ggplot(aes(!!sym(i_parameter_check_var), depth, fill=station)) +
        geom_point(alpha = 0.2, shape = 21) +
        scale_fill_viridis_c() +
        scale_y_reverse() +
        facet_wrap(i_parameter_check, ncol = 2) +
        labs(title = i_expocodes_missing,
             subtitle = i_parameter_check)
    )
    
  }

  p_crossover_ts <- xover_cruise %>%
    ggplot(aes(dateB, offset_adj)) +
    geom_vline(xintercept = ymd(str_sub(i_expocodes_missing, 5)),
               col = "red") +
    geom_hline(data = hline_intercept, aes(yintercept = intercept)) +
    geom_point() +
    facet_grid(parameter ~ ., scales = "free_y") +
    labs(title = i_expocodes_missing,
         subtitle = str_c(parameter_check, collapse = "+")) +
    theme(
      legend.position = "bottom",
      legend.direction = "vertical",
      axis.title.x = element_blank()
    )
  
  
  xover_cruise_decade <- xover_cruise %>%
    mutate(decade = cut(
      year(dateB),
      c(1989, 1999, 2009, 2019),
      labels = c("1989-1999", "2000-2009", "2010-2019")
    )) %>%
    filter(!is.na(decade),
           !is.na(offset_adj)) %>%
    group_by(parameter, decade) %>%
    mutate(n = n()) %>%
    ungroup() %>% 
    filter(n > 2)
  
  
  p_crossover_decadal <-
    ggplot() +
    geom_hline(data = hline_intercept, aes(yintercept = intercept)) +
    geom_violin(
      data = xover_cruise_decade,
      aes(x = decade, y = offset_adj),
      fill = "gold"
    ) +
    geom_boxplot(
      data = xover_cruise_decade,
      aes(x = decade, y = offset_adj),
      width = 0.2
    ) +
    labs(title = "Decadal averages") +
    facet_grid(parameter ~ ., scales = "free_y") +
    theme(axis.title.x = element_blank(),
          axis.text.x = element_text(angle = 90))
  
  print(
  p_crossover_ts + p_crossover_decadal +
    plot_layout(widths = c(2, 1))
  )
  
  rm(p_crossover_ts, p_crossover_decadal)
  
}
# A tibble: 0 × 8
# … with 8 variables: cruise_expocode <chr>, basin_AIP <chr>, decade <fct>,
#   parameter <chr>, qc_0 <int>, qc_1 <int>, n_cruise <int>, category <chr>
# A tibble: 1 × 8
  cruise_expocode basin_AIP decade    parameter   f_2   f_0 n_cruise category
  <chr>           <chr>     <fct>     <chr>     <int> <int>    <int> <chr>   
1 320620170703    Pacific   2010-2019 talk       2809   449     3258 loss    
# A tibble: 0 × 9
# … with 9 variables: cruise_expocode <chr>, basin_AIP <chr>, decade <fct>,
#   parameter <chr>, f_2 <int>, f_9 <int>, f_0 <int>, n_cruise <int>,
#   category <chr>
[1] "talkf"

Version Author Date
2704ff6 jens-daniel-mueller 2021-12-20
7f65d3a jens-daniel-mueller 2021-12-20
6106236 jens-daniel-mueller 2021-12-20

Version Author Date
fcff192 jens-daniel-mueller 2021-12-21
2704ff6 jens-daniel-mueller 2021-12-20
7f65d3a jens-daniel-mueller 2021-12-20
6106236 jens-daniel-mueller 2021-12-20

Version Author Date
fcff192 jens-daniel-mueller 2021-12-21
2704ff6 jens-daniel-mueller 2021-12-20
7f65d3a jens-daniel-mueller 2021-12-20
6106236 jens-daniel-mueller 2021-12-20
# A tibble: 0 × 8
# … with 8 variables: cruise_expocode <chr>, basin_AIP <chr>, decade <fct>,
#   parameter <chr>, qc_0 <int>, qc_1 <int>, n_cruise <int>, category <chr>
# A tibble: 1 × 8
  cruise_expocode basin_AIP decade    parameter   f_2   f_0 n_cruise category
  <chr>           <chr>     <fct>     <chr>     <int> <int>    <int> <chr>   
1 323019940104    Atlantic  1989-1999 talk       2393   539     2932 loss    
# A tibble: 0 × 9
# … with 9 variables: cruise_expocode <chr>, basin_AIP <chr>, decade <fct>,
#   parameter <chr>, f_2 <int>, f_9 <int>, f_0 <int>, n_cruise <int>,
#   category <chr>
[1] "talkf"

Version Author Date
fcff192 jens-daniel-mueller 2021-12-21
2704ff6 jens-daniel-mueller 2021-12-20
7f65d3a jens-daniel-mueller 2021-12-20
6106236 jens-daniel-mueller 2021-12-20

Version Author Date
fcff192 jens-daniel-mueller 2021-12-21
2704ff6 jens-daniel-mueller 2021-12-20
7f65d3a jens-daniel-mueller 2021-12-20
6106236 jens-daniel-mueller 2021-12-20

Version Author Date
fcff192 jens-daniel-mueller 2021-12-21
2704ff6 jens-daniel-mueller 2021-12-20
7f65d3a jens-daniel-mueller 2021-12-20
6106236 jens-daniel-mueller 2021-12-20
# A tibble: 0 × 8
# … with 8 variables: cruise_expocode <chr>, basin_AIP <chr>, decade <fct>,
#   parameter <chr>, qc_0 <int>, qc_1 <int>, n_cruise <int>, category <chr>
# A tibble: 0 × 8
# … with 8 variables: cruise_expocode <chr>, basin_AIP <chr>, decade <fct>,
#   parameter <chr>, f_2 <int>, f_0 <int>, n_cruise <int>, category <chr>
# A tibble: 1 × 9
  cruise_expocode basin_AIP decade    parameter   f_2   f_9   f_0 n_cruise category
  <chr>           <chr>     <fct>     <chr>     <int> <int> <int>    <int> <chr>   
1 325020060213    Pacific   2000-2009 aou        2236   349     0     2585 loss    
[1] "aouf"

Version Author Date
fcff192 jens-daniel-mueller 2021-12-21
2704ff6 jens-daniel-mueller 2021-12-20
7f65d3a jens-daniel-mueller 2021-12-20
6106236 jens-daniel-mueller 2021-12-20

Version Author Date
fcff192 jens-daniel-mueller 2021-12-21
2704ff6 jens-daniel-mueller 2021-12-20
7f65d3a jens-daniel-mueller 2021-12-20
6106236 jens-daniel-mueller 2021-12-20

Version Author Date
fcff192 jens-daniel-mueller 2021-12-21
2704ff6 jens-daniel-mueller 2021-12-20
7f65d3a jens-daniel-mueller 2021-12-20
6106236 jens-daniel-mueller 2021-12-20
# A tibble: 0 × 8
# … with 8 variables: cruise_expocode <chr>, basin_AIP <chr>, decade <fct>,
#   parameter <chr>, qc_0 <int>, qc_1 <int>, n_cruise <int>, category <chr>
# A tibble: 0 × 8
# … with 8 variables: cruise_expocode <chr>, basin_AIP <chr>, decade <fct>,
#   parameter <chr>, f_2 <int>, f_0 <int>, n_cruise <int>, category <chr>
# A tibble: 4 × 9
  cruise_expocode basin_AIP decade    parameter   f_2   f_9   f_0 n_cruise category
  <chr>           <chr>     <fct>     <chr>     <int> <int> <int>    <int> <chr>   
1 06AQ19980328    Atlantic  1989-1999 nitrate    1343   706     9     2058 loss    
2 06AQ19980328    Atlantic  1989-1999 phosphate  1347   707     4     2058 loss    
3 06AQ19980328    Atlantic  1989-1999 silicate   1348   708     2     2058 loss    
4 06AQ19980328    Atlantic  1989-1999 talk          0  2058     0     2058 loss    
[1] "nitratef"   "phosphatef" "silicatef"  "talkf"     

Version Author Date
fcff192 jens-daniel-mueller 2021-12-21
2704ff6 jens-daniel-mueller 2021-12-20
7f65d3a jens-daniel-mueller 2021-12-20
6106236 jens-daniel-mueller 2021-12-20

Version Author Date
fcff192 jens-daniel-mueller 2021-12-21
2704ff6 jens-daniel-mueller 2021-12-20
7f65d3a jens-daniel-mueller 2021-12-20
6106236 jens-daniel-mueller 2021-12-20

Version Author Date
fcff192 jens-daniel-mueller 2021-12-21
2704ff6 jens-daniel-mueller 2021-12-20
7f65d3a jens-daniel-mueller 2021-12-20
6106236 jens-daniel-mueller 2021-12-20

Version Author Date
fcff192 jens-daniel-mueller 2021-12-21
2704ff6 jens-daniel-mueller 2021-12-20
7f65d3a jens-daniel-mueller 2021-12-20
6106236 jens-daniel-mueller 2021-12-20

Version Author Date
fcff192 jens-daniel-mueller 2021-12-21
2704ff6 jens-daniel-mueller 2021-12-20
7f65d3a jens-daniel-mueller 2021-12-20
6106236 jens-daniel-mueller 2021-12-20

Version Author Date
fcff192 jens-daniel-mueller 2021-12-21
2704ff6 jens-daniel-mueller 2021-12-20
7f65d3a jens-daniel-mueller 2021-12-20
6106236 jens-daniel-mueller 2021-12-20

Version Author Date
fcff192 jens-daniel-mueller 2021-12-21
2704ff6 jens-daniel-mueller 2021-12-20
7f65d3a jens-daniel-mueller 2021-12-20
6106236 jens-daniel-mueller 2021-12-20

Version Author Date
fcff192 jens-daniel-mueller 2021-12-21
2704ff6 jens-daniel-mueller 2021-12-20
7f65d3a jens-daniel-mueller 2021-12-20
6106236 jens-daniel-mueller 2021-12-20

Version Author Date
fcff192 jens-daniel-mueller 2021-12-21
2704ff6 jens-daniel-mueller 2021-12-20
7f65d3a jens-daniel-mueller 2021-12-20
6106236 jens-daniel-mueller 2021-12-20
# A tibble: 2 × 8
  cruise_expocode basin_AIP decade    parameter  qc_0  qc_1 n_cruise category
  <chr>           <chr>     <fct>     <chr>     <int> <int>    <int> <chr>   
1 06MT19900123    Atlantic  1989-1999 talk        660     0      660 loss    
2 06MT19900123    Pacific   1989-1999 talk          9     0        9 loss    
# A tibble: 2 × 8
  cruise_expocode basin_AIP decade    parameter   f_2   f_0 n_cruise category
  <chr>           <chr>     <fct>     <chr>     <int> <int>    <int> <chr>   
1 06MT19900123    Atlantic  1989-1999 talk          0   660      660 loss    
2 06MT19900123    Pacific   1989-1999 talk          0     9        9 loss    
# A tibble: 3 × 9
  cruise_expocode basin_AIP decade    parameter   f_2   f_9   f_0 n_cruise category
  <chr>           <chr>     <fct>     <chr>     <int> <int> <int>    <int> <chr>   
1 06MT19900123    Atlantic  1989-1999 talk          0   324   667      991 loss    
2 06MT19900123    Pacific   1989-1999 aou         233    62     0      295 loss    
3 06MT19900123    Pacific   1989-1999 talk          0   282    13      295 loss    
[1] "talkqc" "talkf"  "aouf"  

Version Author Date
fcff192 jens-daniel-mueller 2021-12-21
2704ff6 jens-daniel-mueller 2021-12-20
7f65d3a jens-daniel-mueller 2021-12-20
6106236 jens-daniel-mueller 2021-12-20

Version Author Date
fcff192 jens-daniel-mueller 2021-12-21
2704ff6 jens-daniel-mueller 2021-12-20
7f65d3a jens-daniel-mueller 2021-12-20
6106236 jens-daniel-mueller 2021-12-20

Version Author Date
fcff192 jens-daniel-mueller 2021-12-21
2704ff6 jens-daniel-mueller 2021-12-20
7f65d3a jens-daniel-mueller 2021-12-20
6106236 jens-daniel-mueller 2021-12-20

Version Author Date
fcff192 jens-daniel-mueller 2021-12-21
2704ff6 jens-daniel-mueller 2021-12-20
7f65d3a jens-daniel-mueller 2021-12-20
6106236 jens-daniel-mueller 2021-12-20

Version Author Date
fcff192 jens-daniel-mueller 2021-12-21
2704ff6 jens-daniel-mueller 2021-12-20
7f65d3a jens-daniel-mueller 2021-12-20
6106236 jens-daniel-mueller 2021-12-20

Version Author Date
fcff192 jens-daniel-mueller 2021-12-21
2704ff6 jens-daniel-mueller 2021-12-20
7f65d3a jens-daniel-mueller 2021-12-20
6106236 jens-daniel-mueller 2021-12-20

Version Author Date
fcff192 jens-daniel-mueller 2021-12-21
2704ff6 jens-daniel-mueller 2021-12-20
7f65d3a jens-daniel-mueller 2021-12-20
6106236 jens-daniel-mueller 2021-12-20
# A tibble: 0 × 8
# … with 8 variables: cruise_expocode <chr>, basin_AIP <chr>, decade <fct>,
#   parameter <chr>, qc_0 <int>, qc_1 <int>, n_cruise <int>, category <chr>
# A tibble: 0 × 8
# … with 8 variables: cruise_expocode <chr>, basin_AIP <chr>, decade <fct>,
#   parameter <chr>, f_2 <int>, f_0 <int>, n_cruise <int>, category <chr>
# A tibble: 2 × 9
  cruise_expocode basin_AIP decade    parameter   f_2   f_9   f_0 n_cruise category
  <chr>           <chr>     <fct>     <chr>     <int> <int> <int>    <int> <chr>   
1 316N19871123    Atlantic  1989-1999 aou        2554   344     0     2898 loss    
2 316N19871123    Atlantic  1989-1999 talk       1870  1028     0     2898 loss    
[1] "aouf"  "talkf"

Version Author Date
fcff192 jens-daniel-mueller 2021-12-21
2704ff6 jens-daniel-mueller 2021-12-20
7f65d3a jens-daniel-mueller 2021-12-20
6106236 jens-daniel-mueller 2021-12-20

Version Author Date
fcff192 jens-daniel-mueller 2021-12-21
2704ff6 jens-daniel-mueller 2021-12-20
7f65d3a jens-daniel-mueller 2021-12-20
6106236 jens-daniel-mueller 2021-12-20

Version Author Date
fcff192 jens-daniel-mueller 2021-12-21
2704ff6 jens-daniel-mueller 2021-12-20
7f65d3a jens-daniel-mueller 2021-12-20
6106236 jens-daniel-mueller 2021-12-20

Version Author Date
fcff192 jens-daniel-mueller 2021-12-21
2704ff6 jens-daniel-mueller 2021-12-20
7f65d3a jens-daniel-mueller 2021-12-20
6106236 jens-daniel-mueller 2021-12-20

Version Author Date
fcff192 jens-daniel-mueller 2021-12-21
2704ff6 jens-daniel-mueller 2021-12-20
7f65d3a jens-daniel-mueller 2021-12-20
6106236 jens-daniel-mueller 2021-12-20
# A tibble: 1 × 8
  cruise_expocode basin_AIP decade    parameter  qc_0  qc_1 n_cruise category
  <chr>           <chr>     <fct>     <chr>     <int> <int>    <int> <chr>   
1 316N19920502    Pacific   1989-1999 talk        570     0      570 loss    
# A tibble: 1 × 8
  cruise_expocode basin_AIP decade    parameter   f_2   f_0 n_cruise category
  <chr>           <chr>     <fct>     <chr>     <int> <int>    <int> <chr>   
1 316N19920502    Pacific   1989-1999 talk          0   570      570 loss    
# A tibble: 2 × 9
  cruise_expocode basin_AIP decade    parameter   f_2   f_9   f_0 n_cruise category
  <chr>           <chr>     <fct>     <chr>     <int> <int> <int>    <int> <chr>   
1 316N19920502    Pacific   1989-1999 phosphate  2676   376    29     3081 loss    
2 316N19920502    Pacific   1989-1999 talk          0  2508   573     3081 loss    
[1] "talkqc"     "talkf"      "phosphatef"

Version Author Date
fcff192 jens-daniel-mueller 2021-12-21
2704ff6 jens-daniel-mueller 2021-12-20
7f65d3a jens-daniel-mueller 2021-12-20
6106236 jens-daniel-mueller 2021-12-20

Version Author Date
fcff192 jens-daniel-mueller 2021-12-21
2704ff6 jens-daniel-mueller 2021-12-20
7f65d3a jens-daniel-mueller 2021-12-20
6106236 jens-daniel-mueller 2021-12-20

Version Author Date
fcff192 jens-daniel-mueller 2021-12-21
2704ff6 jens-daniel-mueller 2021-12-20
7f65d3a jens-daniel-mueller 2021-12-20
6106236 jens-daniel-mueller 2021-12-20

Version Author Date
fcff192 jens-daniel-mueller 2021-12-21
2704ff6 jens-daniel-mueller 2021-12-20

Version Author Date
fcff192 jens-daniel-mueller 2021-12-21
2704ff6 jens-daniel-mueller 2021-12-20

Version Author Date
fcff192 jens-daniel-mueller 2021-12-21
2704ff6 jens-daniel-mueller 2021-12-20

Version Author Date
fcff192 jens-daniel-mueller 2021-12-21
2704ff6 jens-daniel-mueller 2021-12-20
# A tibble: 1 × 8
  cruise_expocode basin_AIP decade    parameter  qc_0  qc_1 n_cruise category
  <chr>           <chr>     <fct>     <chr>     <int> <int>    <int> <chr>   
1 316N19921006    Pacific   1989-1999 talk       1352     0     1352 loss    
# A tibble: 1 × 8
  cruise_expocode basin_AIP decade    parameter   f_2   f_0 n_cruise category
  <chr>           <chr>     <fct>     <chr>     <int> <int>    <int> <chr>   
1 316N19921006    Pacific   1989-1999 talk          0  1352     1352 loss    
# A tibble: 1 × 9
  cruise_expocode basin_AIP decade    parameter   f_2   f_9   f_0 n_cruise category
  <chr>           <chr>     <fct>     <chr>     <int> <int> <int>    <int> <chr>   
1 316N19921006    Pacific   1989-1999 talk          0   175  1359     1534 loss    
[1] "talkqc" "talkf" 

Version Author Date
fcff192 jens-daniel-mueller 2021-12-21
2704ff6 jens-daniel-mueller 2021-12-20

Version Author Date
fcff192 jens-daniel-mueller 2021-12-21
2704ff6 jens-daniel-mueller 2021-12-20

Version Author Date
fcff192 jens-daniel-mueller 2021-12-21
2704ff6 jens-daniel-mueller 2021-12-20

Version Author Date
fcff192 jens-daniel-mueller 2021-12-21
2704ff6 jens-daniel-mueller 2021-12-20

Version Author Date
fcff192 jens-daniel-mueller 2021-12-21
2704ff6 jens-daniel-mueller 2021-12-20
# A tibble: 0 × 8
# … with 8 variables: cruise_expocode <chr>, basin_AIP <chr>, decade <fct>,
#   parameter <chr>, qc_0 <int>, qc_1 <int>, n_cruise <int>, category <chr>
# A tibble: 0 × 8
# … with 8 variables: cruise_expocode <chr>, basin_AIP <chr>, decade <fct>,
#   parameter <chr>, f_2 <int>, f_0 <int>, n_cruise <int>, category <chr>
# A tibble: 1 × 9
  cruise_expocode basin_AIP decade    parameter   f_2   f_9   f_0 n_cruise category
  <chr>           <chr>     <fct>     <chr>     <int> <int> <int>    <int> <chr>   
1 316N19941201    Indian    1989-1999 talk       1705   466     0     2171 loss    
[1] "talkf"

Version Author Date
fcff192 jens-daniel-mueller 2021-12-21
2704ff6 jens-daniel-mueller 2021-12-20

Version Author Date
fcff192 jens-daniel-mueller 2021-12-21
2704ff6 jens-daniel-mueller 2021-12-20

Version Author Date
fcff192 jens-daniel-mueller 2021-12-21
2704ff6 jens-daniel-mueller 2021-12-20
# A tibble: 0 × 8
# … with 8 variables: cruise_expocode <chr>, basin_AIP <chr>, decade <fct>,
#   parameter <chr>, qc_0 <int>, qc_1 <int>, n_cruise <int>, category <chr>
# A tibble: 0 × 8
# … with 8 variables: cruise_expocode <chr>, basin_AIP <chr>, decade <fct>,
#   parameter <chr>, f_2 <int>, f_0 <int>, n_cruise <int>, category <chr>
# A tibble: 2 × 9
  cruise_expocode basin_AIP decade    parameter   f_2   f_9   f_0 n_cruise category
  <chr>           <chr>     <fct>     <chr>     <int> <int> <int>    <int> <chr>   
1 316N19950310    Indian    1989-1999 aou        1958   439     0     2397 loss    
2 316N19950310    Indian    1989-1999 salinity   1989   394    14     2397 loss    
[1] "aouf"      "salinityf"

Version Author Date
fcff192 jens-daniel-mueller 2021-12-21
2704ff6 jens-daniel-mueller 2021-12-20

Version Author Date
fcff192 jens-daniel-mueller 2021-12-21
2704ff6 jens-daniel-mueller 2021-12-20

Version Author Date
fcff192 jens-daniel-mueller 2021-12-21
2704ff6 jens-daniel-mueller 2021-12-20

Version Author Date
fcff192 jens-daniel-mueller 2021-12-21
2704ff6 jens-daniel-mueller 2021-12-20

Version Author Date
fcff192 jens-daniel-mueller 2021-12-21
2704ff6 jens-daniel-mueller 2021-12-20
# A tibble: 0 × 8
# … with 8 variables: cruise_expocode <chr>, basin_AIP <chr>, decade <fct>,
#   parameter <chr>, qc_0 <int>, qc_1 <int>, n_cruise <int>, category <chr>
# A tibble: 0 × 8
# … with 8 variables: cruise_expocode <chr>, basin_AIP <chr>, decade <fct>,
#   parameter <chr>, f_2 <int>, f_0 <int>, n_cruise <int>, category <chr>
# A tibble: 1 × 9
  cruise_expocode basin_AIP decade    parameter   f_2   f_9   f_0 n_cruise category
  <chr>           <chr>     <fct>     <chr>     <int> <int> <int>    <int> <chr>   
1 316N19950611    Indian    1989-1999 talk       1657   264     0     1921 loss    
[1] "talkf"

Version Author Date
fcff192 jens-daniel-mueller 2021-12-21
2704ff6 jens-daniel-mueller 2021-12-20

Version Author Date
fcff192 jens-daniel-mueller 2021-12-21
2704ff6 jens-daniel-mueller 2021-12-20

Version Author Date
fcff192 jens-daniel-mueller 2021-12-21
2704ff6 jens-daniel-mueller 2021-12-20
# A tibble: 0 × 8
# … with 8 variables: cruise_expocode <chr>, basin_AIP <chr>, decade <fct>,
#   parameter <chr>, qc_0 <int>, qc_1 <int>, n_cruise <int>, category <chr>
# A tibble: 2 × 8
  cruise_expocode basin_AIP decade    parameter   f_2   f_0 n_cruise category
  <chr>           <chr>     <fct>     <chr>     <int> <int>    <int> <chr>   
1 318M20091121    Pacific   2010-2019 talk       4159  1041     5200 loss    
2 318M20091121    Pacific   2010-2019 tco2       4332   868     5200 loss    
# A tibble: 0 × 9
# … with 9 variables: cruise_expocode <chr>, basin_AIP <chr>, decade <fct>,
#   parameter <chr>, f_2 <int>, f_9 <int>, f_0 <int>, n_cruise <int>,
#   category <chr>
[1] "talkf" "tco2f"

Version Author Date
fcff192 jens-daniel-mueller 2021-12-21
2704ff6 jens-daniel-mueller 2021-12-20

Version Author Date
fcff192 jens-daniel-mueller 2021-12-21
2704ff6 jens-daniel-mueller 2021-12-20

Version Author Date
fcff192 jens-daniel-mueller 2021-12-21
2704ff6 jens-daniel-mueller 2021-12-20

Version Author Date
fcff192 jens-daniel-mueller 2021-12-21
2704ff6 jens-daniel-mueller 2021-12-20

Version Author Date
fcff192 jens-daniel-mueller 2021-12-21
2704ff6 jens-daniel-mueller 2021-12-20
# A tibble: 1 × 8
  cruise_expocode basin_AIP decade    parameter  qc_0  qc_1 n_cruise category
  <chr>           <chr>     <fct>     <chr>     <int> <int>    <int> <chr>   
1 31DS19940126    Pacific   1989-1999 nitrate    2873     0     2873 loss    
# A tibble: 0 × 8
# … with 8 variables: cruise_expocode <chr>, basin_AIP <chr>, decade <fct>,
#   parameter <chr>, f_2 <int>, f_0 <int>, n_cruise <int>, category <chr>
# A tibble: 0 × 9
# … with 9 variables: cruise_expocode <chr>, basin_AIP <chr>, decade <fct>,
#   parameter <chr>, f_2 <int>, f_9 <int>, f_0 <int>, n_cruise <int>,
#   category <chr>
[1] "nitrateqc"

Version Author Date
fcff192 jens-daniel-mueller 2021-12-21
2704ff6 jens-daniel-mueller 2021-12-20

Version Author Date
fcff192 jens-daniel-mueller 2021-12-21
2704ff6 jens-daniel-mueller 2021-12-20

Version Author Date
fcff192 jens-daniel-mueller 2021-12-21
2704ff6 jens-daniel-mueller 2021-12-20
# A tibble: 0 × 8
# … with 8 variables: cruise_expocode <chr>, basin_AIP <chr>, decade <fct>,
#   parameter <chr>, qc_0 <int>, qc_1 <int>, n_cruise <int>, category <chr>
# A tibble: 1 × 8
  cruise_expocode basin_AIP decade    parameter   f_2   f_0 n_cruise category
  <chr>           <chr>     <fct>     <chr>     <int> <int>    <int> <chr>   
1 31DS19960105    Pacific   1989-1999 talk       2395   282     2677 loss    
# A tibble: 0 × 9
# … with 9 variables: cruise_expocode <chr>, basin_AIP <chr>, decade <fct>,
#   parameter <chr>, f_2 <int>, f_9 <int>, f_0 <int>, n_cruise <int>,
#   category <chr>
[1] "talkf"

Version Author Date
fcff192 jens-daniel-mueller 2021-12-21
2704ff6 jens-daniel-mueller 2021-12-20

Version Author Date
fcff192 jens-daniel-mueller 2021-12-21
2704ff6 jens-daniel-mueller 2021-12-20

Version Author Date
fcff192 jens-daniel-mueller 2021-12-21
2704ff6 jens-daniel-mueller 2021-12-20
# A tibble: 1 × 8
  cruise_expocode basin_AIP decade    parameter  qc_0  qc_1 n_cruise category
  <chr>           <chr>     <fct>     <chr>     <int> <int>    <int> <chr>   
1 33MW19930704    Atlantic  1989-1999 talk         78   545      623 loss    
# A tibble: 1 × 8
  cruise_expocode basin_AIP decade    parameter   f_2   f_0 n_cruise category
  <chr>           <chr>     <fct>     <chr>     <int> <int>    <int> <chr>   
1 33MW19930704    Atlantic  1989-1999 talk        500   123      623 loss    
# A tibble: 1 × 9
  cruise_expocode basin_AIP decade    parameter   f_2   f_9   f_0 n_cruise category
  <chr>           <chr>     <fct>     <chr>     <int> <int> <int>    <int> <chr>   
1 33MW19930704    Atlantic  1989-1999 phosphate   671  1146     1     1818 loss    
[1] "talkqc"     "talkf"      "phosphatef"

Version Author Date
fcff192 jens-daniel-mueller 2021-12-21
2704ff6 jens-daniel-mueller 2021-12-20

Version Author Date
fcff192 jens-daniel-mueller 2021-12-21
2704ff6 jens-daniel-mueller 2021-12-20

Version Author Date
fcff192 jens-daniel-mueller 2021-12-21
2704ff6 jens-daniel-mueller 2021-12-20

Version Author Date
fcff192 jens-daniel-mueller 2021-12-21
2704ff6 jens-daniel-mueller 2021-12-20

Version Author Date
fcff192 jens-daniel-mueller 2021-12-21
2704ff6 jens-daniel-mueller 2021-12-20

Version Author Date
fcff192 jens-daniel-mueller 2021-12-21
2704ff6 jens-daniel-mueller 2021-12-20

Version Author Date
fcff192 jens-daniel-mueller 2021-12-21
2704ff6 jens-daniel-mueller 2021-12-20
# A tibble: 0 × 8
# … with 8 variables: cruise_expocode <chr>, basin_AIP <chr>, decade <fct>,
#   parameter <chr>, qc_0 <int>, qc_1 <int>, n_cruise <int>, category <chr>
# A tibble: 1 × 8
  cruise_expocode basin_AIP decade    parameter   f_2   f_0 n_cruise category
  <chr>           <chr>     <fct>     <chr>     <int> <int>    <int> <chr>   
1 33RO19980123    Atlantic  1989-1999 talk        864   385     1249 loss    
# A tibble: 1 × 9
  cruise_expocode basin_AIP decade    parameter   f_2   f_9   f_0 n_cruise category
  <chr>           <chr>     <fct>     <chr>     <int> <int> <int>    <int> <chr>   
1 33RO19980123    Atlantic  1989-1999 phosphate  1430   661     5     2096 loss    
[1] "talkf"      "phosphatef"

Version Author Date
fcff192 jens-daniel-mueller 2021-12-21
2704ff6 jens-daniel-mueller 2021-12-20

Version Author Date
fcff192 jens-daniel-mueller 2021-12-21
2704ff6 jens-daniel-mueller 2021-12-20

Version Author Date
fcff192 jens-daniel-mueller 2021-12-21
2704ff6 jens-daniel-mueller 2021-12-20

Version Author Date
fcff192 jens-daniel-mueller 2021-12-21
2704ff6 jens-daniel-mueller 2021-12-20

Version Author Date
fcff192 jens-daniel-mueller 2021-12-21
2704ff6 jens-daniel-mueller 2021-12-20
# A tibble: 0 × 8
# … with 8 variables: cruise_expocode <chr>, basin_AIP <chr>, decade <fct>,
#   parameter <chr>, qc_0 <int>, qc_1 <int>, n_cruise <int>, category <chr>
# A tibble: 1 × 8
  cruise_expocode basin_AIP decade    parameter   f_2   f_0 n_cruise category
  <chr>           <chr>     <fct>     <chr>     <int> <int>    <int> <chr>   
1 33RO20071215    Pacific   2000-2009 talk       3549   951     4500 loss    
# A tibble: 0 × 9
# … with 9 variables: cruise_expocode <chr>, basin_AIP <chr>, decade <fct>,
#   parameter <chr>, f_2 <int>, f_9 <int>, f_0 <int>, n_cruise <int>,
#   category <chr>
[1] "talkf"

Version Author Date
fcff192 jens-daniel-mueller 2021-12-21
2704ff6 jens-daniel-mueller 2021-12-20

Version Author Date
fcff192 jens-daniel-mueller 2021-12-21
2704ff6 jens-daniel-mueller 2021-12-20

Version Author Date
fcff192 jens-daniel-mueller 2021-12-21
2704ff6 jens-daniel-mueller 2021-12-20
# A tibble: 0 × 8
# … with 8 variables: cruise_expocode <chr>, basin_AIP <chr>, decade <fct>,
#   parameter <chr>, qc_0 <int>, qc_1 <int>, n_cruise <int>, category <chr>
# A tibble: 1 × 8
  cruise_expocode basin_AIP decade    parameter   f_2   f_0 n_cruise category
  <chr>           <chr>     <fct>     <chr>     <int> <int>    <int> <chr>   
1 33RO20110926    Atlantic  2010-2019 tco2        842   283     1125 loss    
# A tibble: 1 × 9
  cruise_expocode basin_AIP decade    parameter   f_2   f_9   f_0 n_cruise category
  <chr>           <chr>     <fct>     <chr>     <int> <int> <int>    <int> <chr>   
1 33RO20110926    Atlantic  2010-2019 phosphate  1239  1304     1     2544 loss    
[1] "tco2f"      "phosphatef"

Version Author Date
fcff192 jens-daniel-mueller 2021-12-21
2704ff6 jens-daniel-mueller 2021-12-20

Version Author Date
fcff192 jens-daniel-mueller 2021-12-21
2704ff6 jens-daniel-mueller 2021-12-20

Version Author Date
fcff192 jens-daniel-mueller 2021-12-21
2704ff6 jens-daniel-mueller 2021-12-20

Version Author Date
fcff192 jens-daniel-mueller 2021-12-21
2704ff6 jens-daniel-mueller 2021-12-20

Version Author Date
fcff192 jens-daniel-mueller 2021-12-21
2704ff6 jens-daniel-mueller 2021-12-20
# A tibble: 0 × 8
# … with 8 variables: cruise_expocode <chr>, basin_AIP <chr>, decade <fct>,
#   parameter <chr>, qc_0 <int>, qc_1 <int>, n_cruise <int>, category <chr>
# A tibble: 1 × 8
  cruise_expocode basin_AIP decade    parameter   f_2   f_0 n_cruise category
  <chr>           <chr>     <fct>     <chr>     <int> <int>    <int> <chr>   
1 33RR20080204    Indian    2000-2009 tco2       1720   405     2125 loss    
# A tibble: 0 × 9
# … with 9 variables: cruise_expocode <chr>, basin_AIP <chr>, decade <fct>,
#   parameter <chr>, f_2 <int>, f_9 <int>, f_0 <int>, n_cruise <int>,
#   category <chr>
[1] "tco2f"

Version Author Date
fcff192 jens-daniel-mueller 2021-12-21
2704ff6 jens-daniel-mueller 2021-12-20

Version Author Date
fcff192 jens-daniel-mueller 2021-12-21
2704ff6 jens-daniel-mueller 2021-12-20

Version Author Date
fcff192 jens-daniel-mueller 2021-12-21
2704ff6 jens-daniel-mueller 2021-12-20
# A tibble: 0 × 8
# … with 8 variables: cruise_expocode <chr>, basin_AIP <chr>, decade <fct>,
#   parameter <chr>, qc_0 <int>, qc_1 <int>, n_cruise <int>, category <chr>
# A tibble: 1 × 8
  cruise_expocode basin_AIP decade    parameter   f_2   f_0 n_cruise category
  <chr>           <chr>     <fct>     <chr>     <int> <int>    <int> <chr>   
1 35A319950113    Atlantic  1989-1999 tco2        733   162      895 loss    
# A tibble: 1 × 9
  cruise_expocode basin_AIP decade    parameter   f_2   f_9   f_0 n_cruise category
  <chr>           <chr>     <fct>     <chr>     <int> <int> <int>    <int> <chr>   
1 35A319950113    Atlantic  1989-1999 aou         900   198     0     1098 loss    
[1] "tco2f" "aouf" 

Version Author Date
fcff192 jens-daniel-mueller 2021-12-21
2704ff6 jens-daniel-mueller 2021-12-20

Version Author Date
fcff192 jens-daniel-mueller 2021-12-21
2704ff6 jens-daniel-mueller 2021-12-20

Version Author Date
fcff192 jens-daniel-mueller 2021-12-21
2704ff6 jens-daniel-mueller 2021-12-20

Version Author Date
fcff192 jens-daniel-mueller 2021-12-21
2704ff6 jens-daniel-mueller 2021-12-20

Version Author Date
fcff192 jens-daniel-mueller 2021-12-21
2704ff6 jens-daniel-mueller 2021-12-20
# A tibble: 0 × 8
# … with 8 variables: cruise_expocode <chr>, basin_AIP <chr>, decade <fct>,
#   parameter <chr>, qc_0 <int>, qc_1 <int>, n_cruise <int>, category <chr>
# A tibble: 0 × 8
# … with 8 variables: cruise_expocode <chr>, basin_AIP <chr>, decade <fct>,
#   parameter <chr>, f_2 <int>, f_0 <int>, n_cruise <int>, category <chr>
# A tibble: 1 × 9
  cruise_expocode basin_AIP decade    parameter   f_2   f_9   f_0 n_cruise category
  <chr>           <chr>     <fct>     <chr>     <int> <int> <int>    <int> <chr>   
1 35MF19930123    Indian    1989-1999 phosphate     0  1436     0     1436 loss    
[1] "phosphatef"

Version Author Date
fcff192 jens-daniel-mueller 2021-12-21

Version Author Date
fcff192 jens-daniel-mueller 2021-12-21

Version Author Date
fcff192 jens-daniel-mueller 2021-12-21
# A tibble: 0 × 8
# … with 8 variables: cruise_expocode <chr>, basin_AIP <chr>, decade <fct>,
#   parameter <chr>, qc_0 <int>, qc_1 <int>, n_cruise <int>, category <chr>
# A tibble: 0 × 8
# … with 8 variables: cruise_expocode <chr>, basin_AIP <chr>, decade <fct>,
#   parameter <chr>, f_2 <int>, f_0 <int>, n_cruise <int>, category <chr>
# A tibble: 1 × 9
  cruise_expocode basin_AIP decade    parameter   f_2   f_9   f_0 n_cruise category
  <chr>           <chr>     <fct>     <chr>     <int> <int> <int>    <int> <chr>   
1 35MF19960220    Indian    1989-1999 silicate   1630   350    24     2004 loss    
[1] "silicatef"

Version Author Date
fcff192 jens-daniel-mueller 2021-12-21

Version Author Date
fcff192 jens-daniel-mueller 2021-12-21

Version Author Date
fcff192 jens-daniel-mueller 2021-12-21
# A tibble: 1 × 8
  cruise_expocode basin_AIP decade    parameter  qc_0  qc_1 n_cruise category
  <chr>           <chr>     <fct>     <chr>     <int> <int>    <int> <chr>   
1 35TH20020611    Atlantic  2000-2009 tco2        926     0      926 loss    
# A tibble: 1 × 8
  cruise_expocode basin_AIP decade    parameter   f_2   f_0 n_cruise category
  <chr>           <chr>     <fct>     <chr>     <int> <int>    <int> <chr>   
1 35TH20020611    Atlantic  2000-2009 tco2          0   926      926 loss    
# A tibble: 0 × 9
# … with 9 variables: cruise_expocode <chr>, basin_AIP <chr>, decade <fct>,
#   parameter <chr>, f_2 <int>, f_9 <int>, f_0 <int>, n_cruise <int>,
#   category <chr>
[1] "tco2qc" "tco2f" 

Version Author Date
fcff192 jens-daniel-mueller 2021-12-21

Version Author Date
fcff192 jens-daniel-mueller 2021-12-21

Version Author Date
fcff192 jens-daniel-mueller 2021-12-21

Version Author Date
fcff192 jens-daniel-mueller 2021-12-21

Version Author Date
fcff192 jens-daniel-mueller 2021-12-21
# A tibble: 1 × 8
  cruise_expocode basin_AIP decade    parameter  qc_0  qc_1 n_cruise category
  <chr>           <chr>     <fct>     <chr>     <int> <int>    <int> <chr>   
1 35TH20040604    Atlantic  2000-2009 tco2        928     0      928 loss    
# A tibble: 1 × 8
  cruise_expocode basin_AIP decade    parameter   f_2   f_0 n_cruise category
  <chr>           <chr>     <fct>     <chr>     <int> <int>    <int> <chr>   
1 35TH20040604    Atlantic  2000-2009 tco2          0   928      928 loss    
# A tibble: 1 × 9
  cruise_expocode basin_AIP decade    parameter   f_2   f_9   f_0 n_cruise category
  <chr>           <chr>     <fct>     <chr>     <int> <int> <int>    <int> <chr>   
1 35TH20040604    Atlantic  2000-2009 nitrate     926   110    14     1050 loss    
[1] "tco2qc"   "tco2f"    "nitratef"

Version Author Date
fcff192 jens-daniel-mueller 2021-12-21

Version Author Date
fcff192 jens-daniel-mueller 2021-12-21

Version Author Date
fcff192 jens-daniel-mueller 2021-12-21

Version Author Date
fcff192 jens-daniel-mueller 2021-12-21

Version Author Date
fcff192 jens-daniel-mueller 2021-12-21

Version Author Date
fcff192 jens-daniel-mueller 2021-12-21

Version Author Date
fcff192 jens-daniel-mueller 2021-12-21
# A tibble: 1 × 8
  cruise_expocode basin_AIP decade    parameter  qc_0  qc_1 n_cruise category
  <chr>           <chr>     <fct>     <chr>     <int> <int>    <int> <chr>   
1 35TH20080610    Atlantic  2000-2009 tco2       1032     0     1032 loss    
# A tibble: 1 × 8
  cruise_expocode basin_AIP decade    parameter   f_2   f_0 n_cruise category
  <chr>           <chr>     <fct>     <chr>     <int> <int>    <int> <chr>   
1 35TH20080610    Atlantic  2000-2009 tco2          0  1032     1032 loss    
# A tibble: 0 × 9
# … with 9 variables: cruise_expocode <chr>, basin_AIP <chr>, decade <fct>,
#   parameter <chr>, f_2 <int>, f_9 <int>, f_0 <int>, n_cruise <int>,
#   category <chr>
[1] "tco2qc" "tco2f" 

Version Author Date
fcff192 jens-daniel-mueller 2021-12-21

Version Author Date
fcff192 jens-daniel-mueller 2021-12-21

Version Author Date
fcff192 jens-daniel-mueller 2021-12-21

Version Author Date
fcff192 jens-daniel-mueller 2021-12-21

Version Author Date
fcff192 jens-daniel-mueller 2021-12-21
# A tibble: 0 × 8
# … with 8 variables: cruise_expocode <chr>, basin_AIP <chr>, decade <fct>,
#   parameter <chr>, qc_0 <int>, qc_1 <int>, n_cruise <int>, category <chr>
# A tibble: 0 × 8
# … with 8 variables: cruise_expocode <chr>, basin_AIP <chr>, decade <fct>,
#   parameter <chr>, f_2 <int>, f_0 <int>, n_cruise <int>, category <chr>
# A tibble: 3 × 9
  cruise_expocode basin_AIP decade    parameter   f_2   f_9   f_0 n_cruise category
  <chr>           <chr>     <fct>     <chr>     <int> <int> <int>    <int> <chr>   
1 74DI19970807    Atlantic  1989-1999 nitrate    1650   274    12     1936 loss    
2 74DI19970807    Atlantic  1989-1999 phosphate     0  1936     0     1936 loss    
3 74DI19970807    Atlantic  1989-1999 silicate   1649   262    25     1936 loss    
[1] "nitratef"   "phosphatef" "silicatef" 

Version Author Date
fcff192 jens-daniel-mueller 2021-12-21

Version Author Date
fcff192 jens-daniel-mueller 2021-12-21

Version Author Date
fcff192 jens-daniel-mueller 2021-12-21

Version Author Date
fcff192 jens-daniel-mueller 2021-12-21

Version Author Date
fcff192 jens-daniel-mueller 2021-12-21

Version Author Date
fcff192 jens-daniel-mueller 2021-12-21

Version Author Date
fcff192 jens-daniel-mueller 2021-12-21
# A tibble: 1 × 8
  cruise_expocode basin_AIP decade    parameter  qc_0  qc_1 n_cruise category
  <chr>           <chr>     <fct>     <chr>     <int> <int>    <int> <chr>   
1 74DI20040404    Atlantic  2000-2009 talk        110   948     1058 loss    
# A tibble: 1 × 8
  cruise_expocode basin_AIP decade    parameter   f_2   f_0 n_cruise category
  <chr>           <chr>     <fct>     <chr>     <int> <int>    <int> <chr>   
1 74DI20040404    Atlantic  2000-2009 talk        948   110     1058 loss    
# A tibble: 0 × 9
# … with 9 variables: cruise_expocode <chr>, basin_AIP <chr>, decade <fct>,
#   parameter <chr>, f_2 <int>, f_9 <int>, f_0 <int>, n_cruise <int>,
#   category <chr>
[1] "talkqc" "talkf" 

Version Author Date
fcff192 jens-daniel-mueller 2021-12-21

Version Author Date
fcff192 jens-daniel-mueller 2021-12-21

Version Author Date
fcff192 jens-daniel-mueller 2021-12-21

Version Author Date
fcff192 jens-daniel-mueller 2021-12-21

Version Author Date
fcff192 jens-daniel-mueller 2021-12-21
# A tibble: 1 × 8
  cruise_expocode basin_AIP decade    parameter  qc_0  qc_1 n_cruise category
  <chr>           <chr>     <fct>     <chr>     <int> <int>    <int> <chr>   
1 74EQ20151206    Atlantic  2010-2019 nitrate    1844     0     1844 loss    
# A tibble: 0 × 8
# … with 8 variables: cruise_expocode <chr>, basin_AIP <chr>, decade <fct>,
#   parameter <chr>, f_2 <int>, f_0 <int>, n_cruise <int>, category <chr>
# A tibble: 0 × 9
# … with 9 variables: cruise_expocode <chr>, basin_AIP <chr>, decade <fct>,
#   parameter <chr>, f_2 <int>, f_9 <int>, f_0 <int>, n_cruise <int>,
#   category <chr>
[1] "nitrateqc"

Version Author Date
fcff192 jens-daniel-mueller 2021-12-21

Version Author Date
fcff192 jens-daniel-mueller 2021-12-21

Version Author Date
fcff192 jens-daniel-mueller 2021-12-21
# A tibble: 0 × 8
# … with 8 variables: cruise_expocode <chr>, basin_AIP <chr>, decade <fct>,
#   parameter <chr>, qc_0 <int>, qc_1 <int>, n_cruise <int>, category <chr>
# A tibble: 0 × 8
# … with 8 variables: cruise_expocode <chr>, basin_AIP <chr>, decade <fct>,
#   parameter <chr>, f_2 <int>, f_0 <int>, n_cruise <int>, category <chr>
# A tibble: 1 × 9
  cruise_expocode basin_AIP decade    parameter   f_2   f_9   f_0 n_cruise category
  <chr>           <chr>     <fct>     <chr>     <int> <int> <int>    <int> <chr>   
1 33RO20030604    Atlantic  2000-2009 phosphate     0  2487     0     2487 loss    
[1] "phosphatef"

Version Author Date
fcff192 jens-daniel-mueller 2021-12-21

Version Author Date
fcff192 jens-daniel-mueller 2021-12-21

Version Author Date
fcff192 jens-daniel-mueller 2021-12-21
# A tibble: 0 × 8
# … with 8 variables: cruise_expocode <chr>, basin_AIP <chr>, decade <fct>,
#   parameter <chr>, qc_0 <int>, qc_1 <int>, n_cruise <int>, category <chr>
# A tibble: 0 × 8
# … with 8 variables: cruise_expocode <chr>, basin_AIP <chr>, decade <fct>,
#   parameter <chr>, f_2 <int>, f_0 <int>, n_cruise <int>, category <chr>
# A tibble: 1 × 9
  cruise_expocode basin_AIP decade    parameter   f_2   f_9   f_0 n_cruise category
  <chr>           <chr>     <fct>     <chr>     <int> <int> <int>    <int> <chr>   
1 33RO20050111    Atlantic  2000-2009 phosphate     0  2546     0     2546 loss    
[1] "phosphatef"

Version Author Date
fcff192 jens-daniel-mueller 2021-12-21

Version Author Date
fcff192 jens-daniel-mueller 2021-12-21

Version Author Date
fcff192 jens-daniel-mueller 2021-12-21
# A tibble: 0 × 8
# … with 8 variables: cruise_expocode <chr>, basin_AIP <chr>, decade <fct>,
#   parameter <chr>, qc_0 <int>, qc_1 <int>, n_cruise <int>, category <chr>
# A tibble: 3 × 8
  cruise_expocode basin_AIP decade    parameter   f_2   f_0 n_cruise category
  <chr>           <chr>     <fct>     <chr>     <int> <int>    <int> <chr>   
1 06AQ20080210    Pacific   2000-2009 nitrate      48    17       65 loss    
2 06AQ20080210    Pacific   2000-2009 phosphate    48    17       65 loss    
3 06AQ20080210    Pacific   2000-2009 silicate     48    17       65 loss    
# A tibble: 5 × 9
  cruise_expocode basin_AIP decade    parameter   f_2   f_9   f_0 n_cruise category
  <chr>           <chr>     <fct>     <chr>     <int> <int> <int>    <int> <chr>   
1 06AQ20080210    Atlantic  2000-2009 talk       1144   778     0     1922 loss    
2 06AQ20080210    Pacific   2000-2009 nitrate      62    31    24      117 loss    
3 06AQ20080210    Pacific   2000-2009 phosphate    62    31    24      117 loss    
4 06AQ20080210    Pacific   2000-2009 silicate     62    31    24      117 loss    
5 06AQ20080210    Pacific   2000-2009 talk         74    43     0      117 loss    
[1] "nitratef"   "phosphatef" "silicatef"  "talkf"     

Version Author Date
fcff192 jens-daniel-mueller 2021-12-21

Version Author Date
fcff192 jens-daniel-mueller 2021-12-21

Version Author Date
fcff192 jens-daniel-mueller 2021-12-21

Version Author Date
fcff192 jens-daniel-mueller 2021-12-21

Version Author Date
fcff192 jens-daniel-mueller 2021-12-21

Version Author Date
fcff192 jens-daniel-mueller 2021-12-21

Version Author Date
fcff192 jens-daniel-mueller 2021-12-21

Version Author Date
fcff192 jens-daniel-mueller 2021-12-21

Version Author Date
fcff192 jens-daniel-mueller 2021-12-21
# A tibble: 0 × 8
# … with 8 variables: cruise_expocode <chr>, basin_AIP <chr>, decade <fct>,
#   parameter <chr>, qc_0 <int>, qc_1 <int>, n_cruise <int>, category <chr>
# A tibble: 0 × 8
# … with 8 variables: cruise_expocode <chr>, basin_AIP <chr>, decade <fct>,
#   parameter <chr>, f_2 <int>, f_0 <int>, n_cruise <int>, category <chr>
# A tibble: 1 × 9
  cruise_expocode basin_AIP decade    parameter   f_2   f_9   f_0 n_cruise category
  <chr>           <chr>     <fct>     <chr>     <int> <int> <int>    <int> <chr>   
1 06AQ20050122    Atlantic  2000-2009 talk          0  2248     0     2248 loss    
[1] "talkf"

Version Author Date
fcff192 jens-daniel-mueller 2021-12-21

Version Author Date
fcff192 jens-daniel-mueller 2021-12-21

Version Author Date
fcff192 jens-daniel-mueller 2021-12-21
# A tibble: 0 × 8
# … with 8 variables: cruise_expocode <chr>, basin_AIP <chr>, decade <fct>,
#   parameter <chr>, qc_0 <int>, qc_1 <int>, n_cruise <int>, category <chr>
# A tibble: 0 × 8
# … with 8 variables: cruise_expocode <chr>, basin_AIP <chr>, decade <fct>,
#   parameter <chr>, f_2 <int>, f_0 <int>, n_cruise <int>, category <chr>
# A tibble: 1 × 9
  cruise_expocode basin_AIP decade    parameter   f_2   f_9   f_0 n_cruise category
  <chr>           <chr>     <fct>     <chr>     <int> <int> <int>    <int> <chr>   
1 29HE20130320    Atlantic  2010-2019 phosphate     0  2256     0     2256 loss    
[1] "phosphatef"

Version Author Date
fcff192 jens-daniel-mueller 2021-12-21

Version Author Date
fcff192 jens-daniel-mueller 2021-12-21

Version Author Date
fcff192 jens-daniel-mueller 2021-12-21

6.4 IO 1990 data

IO_1990_expocodes <- GLODAP %>%
  filter(str_detect(cruise_expocode, "316N199") &
           basin_AIP == "Indian") %>%
  distinct(cruise_expocode) %>%
  pull()

xover_IO_1990_A <- xover %>%
  filter(cruise_A %in% IO_1990_expocodes)

xover_IO_1990_B <- xover %>%
  filter(cruise_B %in% IO_1990_expocodes)

xover_IO_1990_B_rev <- xover_IO_1990_B %>%
  rename(
    cruise_A_back = cruise_A,
    cruise_A = cruise_B,
    adjustment_A_back = adjustment_A,
    adjustment_A = adjustment_B
  ) %>%
  rename(cruise_B = cruise_A_back,
         adjustment_B = adjustment_A_back) %>%
  mutate(
    offset = if_else(parameter %in% c("salinity", "talk", "tco2"),
                     -offset,
                     1/offset),
    offset_adj = if_else(
      parameter %in% c("salinity", "talk", "tco2"),
      -offset_adj,
      1/offset_adj
    )
  )

xover_IO_1990 <- bind_rows(xover_IO_1990_A,
                           xover_IO_1990_B_rev)

xover_IO_1990 <- xover_IO_1990 %>%
  mutate(dateA = ymd(str_sub(cruise_A, 5, 12)),
         dateB = ymd(str_sub(cruise_B, 5, 12)))


xover_IO_1990 <- xover_IO_1990 %>%
  mutate(RV = if_else(str_detect(cruise_B, "316N"),
                      "316N",
                      "other"))


xover_IO_1990_decade <- xover_IO_1990 %>%
    mutate(decade = cut(
      year(dateB),
      c(1989, 1999, 2009, 2019),
      labels = c("1989-1999", "2000-2009", "2010-2019")
    )) %>%
    filter(!is.na(decade),
           !is.na(offset_adj),
           !is.na(offset),
           RV != "316N") %>% 
  arrange(dateB)


xover_IO_1990_decade %>%
  group_by(parameter, decade) %>%
  summarise(offset_adj_mean = mean(offset_adj, na.rm = TRUE),
            offset_adj_median = median(offset_adj, na.rm = TRUE)) %>%
  ungroup() %>%
  kable() %>%
  kable_styling() %>%
  scroll_box(height = "300px")
parameter decade offset_adj_mean offset_adj_median
nitrate 1989-1999 0.9957851 0.9952475
nitrate 2000-2009 1.0018716 1.0034000
nitrate 2010-2019 0.9942423 0.9954335
oxygen 1989-1999 0.9951297 0.9961500
oxygen 2000-2009 0.9984347 1.0003001
oxygen 2010-2019 0.9992518 0.9981748
phosphate 1989-1999 0.9916439 0.9953220
phosphate 2000-2009 1.0050862 1.0052750
phosphate 2010-2019 1.0016116 1.0031516
salinity 1989-1999 -0.0014211 -0.0011000
salinity 2000-2009 -0.0009812 -0.0012000
salinity 2010-2019 -0.0008173 -0.0009442
silicate 1989-1999 0.9963137 0.9996248
silicate 2000-2009 1.0045634 1.0058000
silicate 2010-2019 1.0076910 1.0101825
talk 1989-1999 2.8826300 3.2700000
talk 2000-2009 2.9318063 3.4280000
talk 2010-2019 3.3860085 3.8736858
tco2 1989-1999 -0.7060357 -0.3462000
tco2 2000-2009 -2.6973312 -2.5524500
tco2 2010-2019 -2.0787148 -1.9810457
p_crossover_ts <- xover_IO_1990 %>%
  ggplot(aes(dateB, offset, col = RV)) +
  geom_hline(data = hline_intercept, aes(yintercept = intercept)) +
  geom_point(shape = 21) +
  scale_color_brewer(palette = "Set1") +
  facet_grid(parameter ~ ., scales = "free_y") +
  labs(title = "Crossover 316N199XXXXX") +
  theme(
    legend.position = "bottom",
    legend.direction = "vertical",
    axis.title.x = element_blank()
  )

p_crossover_decadal <-
  ggplot() +
  geom_hline(data = hline_intercept, aes(yintercept = intercept)) +
  geom_violin(data = xover_IO_1990_decade,
               aes(x = decade, y = offset), fill="gold") +
  geom_boxplot(data = xover_IO_1990_decade,
               aes(x = decade, y = offset),
               width = 0.2) +
  facet_grid(parameter ~ ., scales = "free_y") +
  labs(title = "Decadal offsets") +
  theme(axis.title.x = element_blank(),
        axis.text.x = element_text(angle = 90))


p_crossover_ts + p_crossover_decadal +
  plot_layout(widths = c(2, 1))

Version Author Date
a87f8c7 jens-daniel-mueller 2021-12-20
d5ef2c6 jens-daniel-mueller 2021-12-20
00227e6 jens-daniel-mueller 2021-12-20
rm(p_crossover_ts, p_crossover_decadal)

p_crossover_ts <- xover_IO_1990 %>%
  ggplot(aes(dateB, offset_adj, col = RV)) +
  geom_hline(data = hline_intercept, aes(yintercept = intercept)) +
  geom_point(shape = 21) +
  scale_color_brewer(palette = "Set1") +
  facet_grid(parameter ~ ., scales = "free_y") +
  labs(title = "Crossover 316N199XXXXX") +
  theme(
    legend.position = "bottom",
    legend.direction = "vertical",
    axis.title.x = element_blank()
  )

p_crossover_decadal <-
  ggplot() +
  geom_hline(data = hline_intercept, aes(yintercept = intercept)) +
  geom_violin(data = xover_IO_1990_decade,
               aes(x = decade, y = offset_adj), fill="gold") +
  geom_boxplot(data = xover_IO_1990_decade,
               aes(x = decade, y = offset_adj),
               width = 0.2) +
  facet_grid(parameter ~ ., scales = "free_y") +
  labs(title = "Decadal offsets") +
  theme(axis.title.x = element_blank(),
        axis.text.x = element_text(angle = 90))

  ggplot() +
  geom_hline(data = hline_intercept, aes(yintercept = intercept)) +
  # geom_violin(data = xover_IO_1990 %>% 
  #               filter(year(dateB) >= 2000, year(dateB) < 2010),
  #              aes(x = "2000-2009", y = offset_adj), fill="gold") +
  geom_boxplot(data = xover_IO_1990 %>% 
                filter(year(dateB) >= 2000, year(dateB) < 2010),
               aes(x = "2000-2009", y = offset_adj),
               width = 0.2) +
  facet_grid(parameter ~ ., scales = "free_y") +
  labs(title = "Decadal offsets") +
  theme(axis.title.x = element_blank(),
        axis.text.x = element_text(angle = 90))

Version Author Date
a87f8c7 jens-daniel-mueller 2021-12-20
d5ef2c6 jens-daniel-mueller 2021-12-20
00227e6 jens-daniel-mueller 2021-12-20
p_crossover_ts + p_crossover_decadal +
  plot_layout(widths = c(2, 1))

Version Author Date
d5ef2c6 jens-daniel-mueller 2021-12-20
00227e6 jens-daniel-mueller 2021-12-20
rm(p_crossover_ts, p_crossover_decadal)
rm(hline_intercept)

7 RV activity

RV_activity <- full_join(
  GLODAP,
  GLODAP_expocodes
)

RV_activity <- RV_activity %>%
  mutate(decade = cut(
    year,
    seq(1990, 2020, 10),
    right = FALSE,
    labels = c("1990-1999", "2000-2009", "2010-2019")
  ), .after = year) %>% 
  filter(!is.na(decade))

RV_activity <- RV_activity %>% 
  mutate(RV = str_sub(cruise_expocode, 1, 4))

RV_activity <- RV_activity %>% 
  count(decade, basin_AIP, RV) %>% 
  group_by(decade, basin_AIP) %>% 
  mutate(n_total = sum(n)) %>% 
  ungroup() %>% 
  mutate(n_prop = 100* n / n_total)

RV_activity <-RV_activity %>% 
  group_by(decade, basin_AIP) %>% 
  mutate(rank = rank(-n_prop)) %>% 
  ungroup()

RV_activity %>% 
  ggplot(aes(rank, n_prop)) +
  geom_line() +
  geom_point() +
  geom_text(data = RV_activity %>% filter(n_prop > 20),
             aes(rank, n_prop, label = RV),
             nudge_x = 5) +
  labs(y = "proportion of tco2 samples (%)") +
  facet_grid(decade ~ basin_AIP)

Version Author Date
daa43b9 jens-daniel-mueller 2021-12-06
rm(RV_activity)

8 Indian Ocean 1990 CRM

IO_CRM_meas <- IO_CRM_meas %>%
  fill(cruise:batch) %>% 
  select(-starts_with("ph")) %>% 
  rename(talk_meas = talk_ave,
         tco2_meas = tco2_ave)
  
CRM_ref <- CRM_ref %>% 
  select(-c(date, comment, sal)) %>% 
  rename(talk_ref = talk,
         tco2_ref = tco2)

IO_CRM_offset <-
  left_join(IO_CRM_meas,
            CRM_ref) %>% 
  mutate(batch = as.factor(batch))

IO_CRM_offset <- IO_CRM_offset %>% 
  mutate(talk_offset = talk_meas - talk_ref,
         tco2_offset = tco2_meas - tco2_ref)

IO_CRM_offset <- IO_CRM_offset %>% 
  select(-c(talk_meas:talk_ref)) %>% 
  pivot_longer(ends_with("_offset"),
               values_to = "offset",
               names_to = "parameter") %>% 
  mutate(parameter = str_remove(parameter, "_offset"),
         start_date = mdy(start_date))

IO_CRM_offset %>% 
  ggplot(aes(offset)) +
  geom_histogram(binwidth = 1) +
  facet_wrap(~ parameter)

Version Author Date
d454df1 jens-daniel-mueller 2021-12-15
IO_CRM_offset <- IO_CRM_offset %>% 
  filter(cell != "All")

IO_CRM_offset_mean <- IO_CRM_offset %>% 
  group_by(parameter) %>% 
  summarise(offset_mean = mean(offset),
            offset_sd = sd(offset)) %>% 
  ungroup()

IO_CRM_offset %>%
  filter(parameter == "talk") %>%
  ggplot() +
  scale_fill_brewer(palette = "Set1",
                    name = "CRM batch") +
  geom_hline(data = IO_CRM_offset_mean %>% filter(parameter == "talk"),
             aes(yintercept = offset_mean)) +
  geom_hline(
    data = IO_CRM_offset_mean %>% filter(parameter == "talk"),
    aes(yintercept = offset_mean - offset_sd),
    linetype = 2
  ) +
  geom_hline(
    data = IO_CRM_offset_mean %>% filter(parameter == "talk"),
    aes(yintercept = offset_mean + offset_sd),
    linetype = 2
  ) +
  geom_point(aes(start_date, offset, fill = batch, size=n),
             shape = 21) +
  scale_size(name = "Nr of\nmeasurements") +
  labs(x = "Cruise start date",
       y = "TA offset meas-CRM (µmol/kg)",
       title = "RV Knorr IO 1990 - TA reference measurements",
       subtitle = "Data source: Tables 1 and 2 from Millero et al. (1998)")

Version Author Date
61d5f49 jens-daniel-mueller 2021-12-15
d454df1 jens-daniel-mueller 2021-12-15

9 Write files

GLODAP  %>%
  write_csv(paste(path_preprocessing,
                  "GLODAPv2.2021_preprocessed.csv",
                  sep = ""))

GLODAP_tracer  %>%
  write_csv(paste(
    path_preprocessing,
    "GLODAPv2.2021_preprocessed_tracer.csv",
    sep = ""
  ))

GLODAP_adjustments  %>%
  write_csv(paste(path_preprocessing,
                  "GLODAPv2.2021_adustments.csv",
                  sep = ""))

# GLODAP_adjustments_NA_cruises  %>%
#   select(cruise_expocode, cruise) %>%
#   write_csv(paste(
#     path_preprocessing,
#     "GLODAPv2.2021_adustments_NA_cruises.csv",
#     sep = ""
#   ))
# 
# GLODAP_adjustments_duplicated_cruises  %>%
#   drop_na() %>%
#   write_csv(
#     paste(
#       path_preprocessing,
#       "GLODAPv2.2021_adustments_duplicated_cruises.csv",
#       sep = ""
#     )
#   )

10 Overview plots

10.1 Assign coarse spatial grid

For the following plots, the cleaned data set was re-opened and observations were gridded spatially to intervals of:

  • 5° x 5°
GLODAP <- m_grid_horizontal_coarse(GLODAP)

10.2 Histogram Zonal coverage

GLODAP_histogram_lat <- GLODAP %>%
  group_by(lat_grid) %>%
  tally() %>%
  ungroup()

GLODAP_histogram_lat %>%
  ggplot(aes(lat_grid, n)) +
  geom_col() +
  coord_flip() +
  theme(legend.title = element_blank())

Version Author Date
98599d8 jens-daniel-mueller 2021-06-27
9d8353f jens-daniel-mueller 2021-05-31
rm(GLODAP_histogram_lat)

10.3 Histogram temporal coverage

GLODAP_histogram_year <- GLODAP %>%
  group_by(year) %>%
  tally() %>%
  ungroup()

GLODAP_histogram_year %>%
  ggplot() +
  geom_col(aes(year, n)) +
  theme(
    axis.title.x = element_blank()
  )

Version Author Date
98599d8 jens-daniel-mueller 2021-06-27
9d8353f jens-daniel-mueller 2021-05-31
rm(GLODAP_histogram_year)

10.4 Zonal temporal coverage (Hovmoeller)

GLODAP_hovmoeller_year <- GLODAP %>%
  group_by(year, lat_grid) %>%
  tally() %>%
  ungroup()

GLODAP_hovmoeller_year %>%
  ggplot(aes(year, lat_grid, fill = log10(n))) +
  geom_tile() +
  geom_vline(xintercept = c(1999.5, 2012.5)) +
  scale_fill_viridis_c(option = "magma", direction = -1) +
  theme(legend.position = "top",
        axis.title.x = element_blank())

Version Author Date
98599d8 jens-daniel-mueller 2021-06-27
9d8353f jens-daniel-mueller 2021-05-31
rm(GLODAP_hovmoeller_year)

10.5 Coverage map

map +
  geom_raster(data = GLODAP_obs_grid,
              aes(lon, lat, fill = log10(n))) +
  scale_fill_viridis_c(option = "magma",
                       direction = -1)

Version Author Date
98599d8 jens-daniel-mueller 2021-06-27
9d8353f jens-daniel-mueller 2021-05-31
GLODAP_obs_grid_all_vars <- GLODAP %>% 
  select(year, lat, lon, cruise, sal, temp, oxygen,
         phosphate, nitrate, silicate, tco2, talk) %>% 
  pivot_longer(cols = sal:talk,
               names_to = "parameter",
               values_to = "value") %>% 
  mutate(presence = if_else(is.na(value), "missing", "available")) %>% 
  count(year, lat, lon, parameter, presence)

GLODAP_obs_grid_all_vars_wide <- GLODAP_obs_grid_all_vars %>% 
  pivot_wider(names_from = "presence",
              values_from = n,
              values_fill = 0) %>% 
  mutate(ratio_available = available/(available+missing))

all_plots <- GLODAP_obs_grid_all_vars_wide %>%
  # mutate(cruise = as.factor(cruise)) %>%
  group_split(year) %>%
  # tail(3) %>%
  map(
    ~ map +
      geom_tile(
        data = .x,
        aes(
          x = lon,
          y = lat,
          width = 1,
          height = 1,
          fill = ratio_available
        )
      ) +
      scale_fill_scico(palette = "berlin",
                       limits = c(0,1)) +
      labs(title = unique(.x$year)) +
      facet_wrap(~ parameter)
  )


pdf(file = paste0(path_preprocessing, "GLODAPv2.2021_preprocessed_coverage_maps.pdf"),
    width = 10, 
    height = 5)
all_plots
[[1]]

[[2]]

[[3]]

[[4]]

[[5]]

[[6]]

[[7]]

[[8]]

[[9]]

[[10]]

[[11]]

[[12]]

[[13]]

[[14]]

[[15]]

[[16]]

[[17]]

[[18]]

[[19]]

[[20]]

[[21]]

[[22]]

[[23]]

[[24]]

[[25]]

[[26]]

[[27]]

[[28]]

[[29]]

[[30]]

[[31]]

[[32]]

[[33]]

[[34]]

[[35]]

[[36]]

[[37]]

[[38]]

[[39]]

[[40]]

[[41]]

[[42]]

[[43]]

[[44]]

[[45]]
dev.off()
png 
  2 

10.6 Time series

GLODAP_time_series <- GLODAP %>% 
  select(year, basin_AIP, lat, depth, sal, temp,
         oxygen, aou, nitrate, silicate, phosphate,
         tco2, talk)

GLODAP_time_series <- GLODAP_time_series %>% 
  mutate(depth_grid = cut(depth, seq(0,1e4,1000)))

GLODAP_time_series <- GLODAP_time_series %>% 
  pivot_longer(sal:talk,
               names_to = "parameter",
               values_to = "value") %>% 
  filter(!is.na(value),
         !is.na(depth_grid))

GLODAP_time_series %>%
  group_split(basin_AIP, depth_grid) %>%
  # head(1) %>%
  map(
    ~ ggplot(data = .x,
             aes(year, value, col = lat)) +
      geom_jitter(alpha = 0.1) +
      scale_color_divergent() +
      facet_grid(parameter ~ depth_grid,
                 scales = "free_y") +
      labs(title = paste(
        "basin_AIP:",
        unique(.x$basin_AIP),
        "| depth_grid:",
        unique(.x$depth_grid)
      ))
  )

11 CANYON-B

11.1 Prediction

source("/net/kryo/work/uptools/co2_calculation/CANYON-B/CANYONB.R")

GLODAP_CB <- GLODAP %>%
  mutate(lon = if_else(lon > 180, lon - 360, lon)) %>%
  arrange(year) %>% 
  select(row_number, year, date, lat, lon, depth, basin_AIP,
         temp, sal, oxygen,
         talk, tco2, nitrate, phosphate, silicate)

# filter rows with essential variables for Canyon-B
GLODAP_CB <- GLODAP_CB %>%
  filter(across(c(lat, lon, depth,
                  temp, sal, oxygen), ~ !is.na(.x)))

GLODAP_CB <- GLODAP_CB %>%
  mutate(as_tibble(
    CANYONB(
      date = paste0(as.character(date), " 12:00"),
      lat = lat,
      lon = lon,
      pres = depth,
      temp = temp,
      psal = sal,
      doxy = oxygen,
      param = c("AT", "CT", "NO3", "PO4", "SiOH4")
    )
  ))

GLODAP_CB <- GLODAP_CB %>%
  select(-ends_with(c("_cim", "_cin", "_cii")))


GLODAP_CB <- GLODAP_CB %>%
  rename(
    "talk_CANYONB" = "AT",
    "tco2_CANYONB" = "CT",
    "nitrate_CANYONB" = "NO3",
    "phosphate_CANYONB" = "PO4",
    "silicate_CANYONB" = "SiOH4"
  )

11.2 Comparison to observations

variables <- c("talk", "tco2", "nitrate", "phosphate", "silicate")

for (i_variable in variables) {
  # i_variable <- variables[1]
  
  # calculate equal axis limits and binwidth
  axis_lims <- GLODAP_CB %>%
    drop_na() %>% 
    summarise(max_value = max(c(max(
      !!sym(i_variable)
    ),
    max(!!sym(
      paste0(i_variable, "_CANYONB")
    )))),
    min_value = min(c(min(
      !!sym(i_variable)
    ),
    min(!!sym(
      paste0(i_variable, "_CANYONB")
    )))))
  
  binwidth_value <- (axis_lims$max_value - axis_lims$min_value) / 60
  axis_lims <- c(axis_lims$min_value, axis_lims$max_value)
  
  print(
    ggplot(GLODAP_CB, aes(
      x = !!sym(i_variable),
      y = !!sym(paste0(i_variable, "_CANYONB"))
    )) +
      geom_bin2d(binwidth = binwidth_value) +
      scale_fill_viridis_c(trans = "log10") +
      geom_abline(slope = 1, col = 'red') +
      coord_equal(xlim = axis_lims,
                  ylim = axis_lims) +
      facet_wrap( ~ basin_AIP) +
      labs(title = "All years")
  ) 
  
  
  # for (i_year in unique(GLODAP_CB$year)) {
  #   # i_year <- 2017
  #   
  #   print(
  #     ggplot(
  #       GLODAP_CB %>% filter(year == i_year),
  #       aes(x = !!sym(i_variable),
  #           y = !!sym(paste0(
  #             i_variable, "_CANYONB"
  #           )))
  #     ) +
  #       geom_bin2d(binwidth = binwidth_value) +
  #       scale_fill_viridis_c(trans = "log10") +
  #       geom_abline(slope = 1, col = 'red') +
  #       coord_equal(xlim = axis_lims,
  #                   ylim = axis_lims) +
  #       facet_wrap( ~ basin_AIP) +
  #       labs(title = paste("Year:", i_year))
  #   )
  # }
  
}

11.3 Write files

GLODAP_CB %>% 
  select(row_number,
         talk_CANYONB, tco2_CANYONB,
         nitrate_CANYONB, phosphate_CANYONB, silicate_CANYONB) %>% 
  write_csv(paste(path_preprocessing,
                             "GLODAPv2.2021_Canyon-B.csv",
                             sep = ""))

12 Crossover data

12.1 Gap filling

GLODAP <- left_join(GLODAP,
                    GLODAP_CB %>% 
                      select(row_number, ends_with("_CANYONB")))

# fill missing phosphate with CANYON-B estimate

cruises_phosphate_gap_fill <- c("33MW19930704",
                                "33RO20030604",
                                "33RO20050111",
                                "33RO19980123")

GLODAP_phosphate_fill <- GLODAP %>%
  filter(cruise_expocode %in% cruises_phosphate_gap_fill,
         is.na(phosphate),
         oxygenqc == 1)

GLODAP_phosphate_fill <- GLODAP_phosphate_fill %>% 
  mutate(phosphate = phosphate_CANYONB) %>% 
  filter(!is.na(phosphate))

# fill missing talk with CANYON-B estimate

cruises_talk_gap_fill <- c("06AQ19980328")

GLODAP_talk_fill <- GLODAP %>%
  filter(cruise_expocode %in% cruises_talk_gap_fill,
         is.na(talk),
         oxygenqc == 1)

GLODAP_talk_fill <- GLODAP_talk_fill %>% 
  mutate(talk = talk_CANYONB) %>% 
  filter(!is.na(talk))

GLODAP_gap_fill <- bind_rows(
  GLODAP_phosphate_fill,
  GLODAP_talk_fill
)

12.2 Flagging

cruises_tco2_calc <- c(
  "35TH20040604",
  "29AH20160617")

GLODAP_tco2_calc <- GLODAP %>% 
  filter(cruise_expocode %in% cruises_tco2_calc,
         tco2f == 0)

cruises_talk_calc <- c(
  "06MT19900123",
  "316N19920502",
  "316N19921006")

GLODAP_talk_calc <- GLODAP %>% 
  filter(cruise_expocode %in% cruises_talk_calc,
         talkf == 0)

GLODAP_calc <- bind_rows(
  GLODAP_tco2_calc,
  GLODAP_talk_calc
)

12.3 Write files

GLODAP_crossover <- bind_rows(
  GLODAP_gap_fill,
  GLODAP_calc
) 

GLODAP_crossover_write <- GLODAP_crossover %>% 
  select(
    EXPOCODE = cruise_expocode,
    STNNBR = station,
    CASTNO = cast,
    BTLNBR = bottle,
    DATE = date,
    LATITUDE = lat,
    LONGITUDE = lon,
    CTDPRS = pressure,
    CTDTMP = temp,
    CTDSAL = sal,
    CTDSAL_FLAG_W = salinityf,
    PHSPHT = phosphate,
    PHSPHT_FLAG_W = phosphatef,
    TCARBN = tco2,
    TCARBN_FLAG_W = tco2f,
    ALKALI = talk,
    ALKALI_FLAG_W = talkf)

GLODAP_crossover_write <- GLODAP_crossover_write %>% 
  mutate(DATE = format(DATE,  "%Y%m%d"))


last_line <- "END_DATA"

for (i_EXPOCODE in unique(GLODAP_crossover_write$EXPOCODE)) {
  # i_EXPOCODE <- unique(GLODAP_crossover_write$EXPOCODE)[1]
  
  temp <- GLODAP_crossover_write %>%
    filter(EXPOCODE == i_EXPOCODE) %>%
    add_row(.before = 1)
  
  cat("Bottle",
      "\n",
      file = paste0(
        path_preprocessing,
        "crossover_cruises/",
        i_EXPOCODE,
        ".exc.csv"
      )
    )
  
  temp %>%
    write_csv(
      file = paste0(
        path_preprocessing,
        "crossover_cruises/",
        i_EXPOCODE,
        ".exc.csv"
      ),
      na = "",
      append = TRUE,
      col_names = TRUE
    )
  
  write(
    last_line,
    file = paste0(
      path_preprocessing,
      "crossover_cruises/",
      i_EXPOCODE,
      ".exc.csv"
    ),
    append = TRUE
  )
  
  
}

sessionInfo()
R version 4.0.3 (2020-10-10)
Platform: x86_64-pc-linux-gnu (64-bit)
Running under: openSUSE Leap 15.2

Matrix products: default
BLAS:   /usr/local/R-4.0.3/lib64/R/lib/libRblas.so
LAPACK: /usr/local/R-4.0.3/lib64/R/lib/libRlapack.so

locale:
 [1] LC_CTYPE=en_US.UTF-8       LC_NUMERIC=C              
 [3] LC_TIME=en_US.UTF-8        LC_COLLATE=en_US.UTF-8    
 [5] LC_MONETARY=en_US.UTF-8    LC_MESSAGES=en_US.UTF-8   
 [7] LC_PAPER=en_US.UTF-8       LC_NAME=C                 
 [9] LC_ADDRESS=C               LC_TELEPHONE=C            
[11] LC_MEASUREMENT=en_US.UTF-8 LC_IDENTIFICATION=C       

attached base packages:
[1] stats     graphics  grDevices utils     datasets  methods   base     

other attached packages:
 [1] mgcv_1.8-33      nlme_3.1-149     kableExtra_1.3.1 ggrepel_0.8.2   
 [5] lubridate_1.7.9  ggforce_0.3.3    metR_0.9.0       scico_1.2.0     
 [9] patchwork_1.1.1  collapse_1.5.0   forcats_0.5.0    stringr_1.4.0   
[13] dplyr_1.0.5      purrr_0.3.4      readr_1.4.0      tidyr_1.1.3     
[17] tibble_3.1.3     ggplot2_3.3.5    tidyverse_1.3.0  workflowr_1.6.2 

loaded via a namespace (and not attached):
 [1] fs_1.5.0                 RColorBrewer_1.1-2       webshot_0.5.2           
 [4] httr_1.4.2               rprojroot_2.0.2          tools_4.0.3             
 [7] backports_1.1.10         bslib_0.2.5.1            utf8_1.1.4              
[10] R6_2.5.0                 DBI_1.1.0                colorspace_2.0-2        
[13] withr_2.3.0              tidyselect_1.1.0         compiler_4.0.3          
[16] git2r_0.27.1             cli_3.0.1                rvest_0.3.6             
[19] xml2_1.3.2               labeling_0.4.2           sass_0.4.0              
[22] scales_1.1.1             checkmate_2.0.0          digest_0.6.27           
[25] rmarkdown_2.10           pkgconfig_2.0.3          htmltools_0.5.1.1       
[28] highr_0.8                dbplyr_1.4.4             rlang_0.4.11            
[31] readxl_1.3.1             rstudioapi_0.13          jquerylib_0.1.4         
[34] generics_0.1.0           farver_2.0.3             jsonlite_1.7.1          
[37] magrittr_1.5             Matrix_1.2-18            Rcpp_1.0.5              
[40] munsell_0.5.0            fansi_0.4.1              lifecycle_1.0.0         
[43] stringi_1.5.3            whisker_0.4              yaml_2.2.1              
[46] MASS_7.3-53              grid_4.0.3               blob_1.2.1              
[49] parallel_4.0.3           promises_1.1.1           crayon_1.3.4            
[52] lattice_0.20-41          splines_4.0.3            haven_2.3.1             
[55] hms_0.5.3                knitr_1.33               pillar_1.6.2            
[58] reprex_0.3.0             glue_1.4.2               evaluate_0.14           
[61] RcppArmadillo_0.10.1.2.0 data.table_1.14.0        modelr_0.1.8            
[64] vctrs_0.3.8              tweenr_1.0.2             httpuv_1.5.4            
[67] cellranger_1.1.0         gtable_0.3.0             polyclip_1.10-0         
[70] assertthat_0.2.1         xfun_0.25                broom_0.7.9             
[73] RcppEigen_0.3.3.7.0      later_1.2.0              viridisLite_0.3.0       
[76] ellipsis_0.3.2