Last updated: 2022-06-08
Checks: 7 0
Knit directory: emlr_obs_preprocessing/
This reproducible R Markdown analysis was created with workflowr (version 1.7.0). The Checks tab describes the reproducibility checks that were applied when the results were created. The Past versions tab lists the development history.
Great! Since the R Markdown file has been committed to the Git repository, you know the exact version of the code that produced these results.
Great job! The global environment was empty. Objects defined in the global environment can affect the analysis in your R Markdown file in unknown ways. For reproduciblity it’s best to always run the code in an empty environment.
The command set.seed(20200707) was run prior to running the code in the R Markdown file. Setting a seed ensures that any results that rely on randomness, e.g. subsampling or permutations, are reproducible.
Great job! Recording the operating system, R version, and package versions is critical for reproducibility.
Nice! There were no cached chunks for this analysis, so you can be confident that you successfully produced the results during this run.
Great job! Using relative paths to the files within your workflowr project makes it easier to run your code on other machines.
Great! You are using Git for version control. Tracking code development and connecting the code version to the results is critical for reproducibility.
The results in this page were generated with repository version 152e3df. See the Past versions tab to see a history of the changes made to the R Markdown and HTML files.
Note that you need to be careful to ensure that all relevant files for the analysis have been committed to Git prior to generating the results (you can use wflow_publish or wflow_git_commit). workflowr only checks the R Markdown file, but you know if there are other scripts or data files that it depends on. Below is the status of the Git repository when the results were generated:
Ignored files:
Ignored: .Rhistory
Ignored: .Rproj.user/
Ignored: data/
Ignored: output/
Note that any generated files, e.g. HTML, png, CSS, etc., are not included in this status report because it is ok for generated content to have uncommitted changes.
These are the previous versions of the repository in which changes were made to the R Markdown (analysis/read_GLODAPv2_2021.Rmd) and HTML (docs/read_GLODAPv2_2021.html) files. If you’ve configured a remote Git repository (see ?wflow_git_remote), click on the hyperlinks in the table below to view the files as they were in that past version.
| File | Version | Author | Date | Message |
|---|---|---|---|---|
| Rmd | 152e3df | jens-daniel-mueller | 2022-06-08 | included Nicos xover analysis for adjusted Knorr data, tested mean offset correction |
| html | bafeecc | jens-daniel-mueller | 2022-06-07 | Build site. |
| Rmd | 46f2c6b | jens-daniel-mueller | 2022-06-06 | included Nicos xover analysis for adjusted Knorr data |
| html | 5fd6f6c | jens-daniel-mueller | 2022-05-16 | Build site. |
| Rmd | 251b8d9 | jens-daniel-mueller | 2022-05-16 | revised NPO analysis for GLODAP |
| html | e5a1aa7 | jens-daniel-mueller | 2022-05-16 | Build site. |
| Rmd | df99c3a | jens-daniel-mueller | 2022-05-16 | revised NPO analysis for GLODAP |
| html | 54f98c2 | jens-daniel-mueller | 2022-04-28 | Build site. |
| Rmd | b2b53b1 | jens-daniel-mueller | 2022-04-28 | plots for GLODAP RG meeting |
| html | a6f8f8c | jens-daniel-mueller | 2022-04-28 | Build site. |
| Rmd | e899697 | jens-daniel-mueller | 2022-04-28 | plots for GLODAP RG meeting |
| html | e949567 | jens-daniel-mueller | 2022-04-13 | Build site. |
| html | 013fe68 | jens-daniel-mueller | 2022-04-12 | Build site. |
| Rmd | ad52475 | jens-daniel-mueller | 2022-04-12 | revised plots |
| html | e6efbd9 | jens-daniel-mueller | 2022-04-12 | Build site. |
| Rmd | eb4e348 | jens-daniel-mueller | 2022-04-12 | rerun including all cruises, except Indian and N Pacifc |
| html | 15c6091 | jens-daniel-mueller | 2022-04-12 | Build site. |
| Rmd | 88644e2 | jens-daniel-mueller | 2022-04-12 | rerun including all cruises, except Indian and N Pacifc |
| html | 6d9a172 | jens-daniel-mueller | 2022-04-12 | Build site. |
| Rmd | 91374c3 | jens-daniel-mueller | 2022-04-12 | testrun excluding all cruises extending beyond 40S |
| html | fd1d0ce | jens-daniel-mueller | 2022-04-11 | Build site. |
| Rmd | 72848f8 | jens-daniel-mueller | 2022-04-11 | revise xover assesment |
| html | 552e4bc | jens-daniel-mueller | 2022-04-08 | Build site. |
| Rmd | 875f247 | jens-daniel-mueller | 2022-04-08 | restrict IO crossover to > 40S |
| html | 481712d | jens-daniel-mueller | 2022-04-08 | Build site. |
| Rmd | fd862ed | jens-daniel-mueller | 2022-04-08 | compared CRM and xover results for IO 1990 |
| html | ebfaa81 | jens-daniel-mueller | 2022-04-08 | Build site. |
| Rmd | 86fd022 | jens-daniel-mueller | 2022-04-08 | compared CRM and xover results for IO 1990 |
| html | 8f9904b | jens-daniel-mueller | 2022-04-07 | Build site. |
| Rmd | 7659624 | jens-daniel-mueller | 2022-04-07 | removed cruise 18LU20080702 |
| html | aea9afe | jens-daniel-mueller | 2022-04-07 | Build site. |
| Rmd | af08e38 | jens-daniel-mueller | 2022-04-07 | rerun all with lat max 65N and without arcic |
| html | 278cf74 | jens-daniel-mueller | 2022-04-06 | Build site. |
| Rmd | 91cc53e | jens-daniel-mueller | 2022-04-06 | added offset analysis for phosphate |
| html | b788368 | jens-daniel-mueller | 2022-04-06 | Build site. |
| Rmd | 34b376c | jens-daniel-mueller | 2022-04-06 | added offset analysis for regular parameters |
| html | 71f5724 | jens-daniel-mueller | 2022-04-06 | Build site. |
| Rmd | 4508b0a | jens-daniel-mueller | 2022-04-06 | added decadal offset uncertainty |
| html | f4c820e | jens-daniel-mueller | 2022-04-06 | Build site. |
| Rmd | 08d9b61 | jens-daniel-mueller | 2022-04-06 | fixed conversion error in cstar_tco2_talk |
| html | 37dce62 | jens-daniel-mueller | 2022-04-06 | Build site. |
| Rmd | e64b534 | jens-daniel-mueller | 2022-04-06 | updated coverage maps for xover |
| html | 1f9c888 | jens-daniel-mueller | 2022-04-05 | Build site. |
| Rmd | c1e234e | jens-daniel-mueller | 2022-04-05 | use only xover north of 40S |
| html | f088f55 | jens-daniel-mueller | 2022-04-01 | Build site. |
| Rmd | d23e425 | jens-daniel-mueller | 2022-04-01 | rerun all including arctic and North Atlantic biome |
| html | dde77eb | jens-daniel-mueller | 2022-04-01 | Build site. |
| Rmd | a1ea47d | jens-daniel-mueller | 2022-04-01 | rerun all including arctic and North Atlantic biome |
| html | 68c5278 | jens-daniel-mueller | 2022-03-15 | Build site. |
| Rmd | a49100c | jens-daniel-mueller | 2022-03-15 | corrected sign of cstar phosphate contribution |
| html | 8fd2480 | jens-daniel-mueller | 2022-03-15 | Build site. |
| Rmd | ffa9cb3 | jens-daniel-mueller | 2022-03-15 | updated offset plots with restricted y range |
| html | 9e284d1 | jens-daniel-mueller | 2022-03-14 | Build site. |
| Rmd | cbadbca | jens-daniel-mueller | 2022-03-14 | updated offset plots |
| html | 253dc15 | jens-daniel-mueller | 2022-03-14 | Build site. |
| Rmd | 7e9cd4c | jens-daniel-mueller | 2022-03-14 | mean decadal offsets in cstar units |
| html | ee27ba1 | jens-daniel-mueller | 2022-03-14 | Build site. |
| Rmd | ff606d9 | jens-daniel-mueller | 2022-03-14 | converted offsets to cstar units |
| html | 66761b9 | jens-daniel-mueller | 2022-03-14 | Build site. |
| Rmd | 0bbb21d | jens-daniel-mueller | 2022-03-14 | converted offsets to cstar units |
| html | 1f48613 | jens-daniel-mueller | 2022-03-14 | Build site. |
| Rmd | 1dedeef | jens-daniel-mueller | 2022-03-14 | converted offsets to cstar units |
| html | 6aedeb8 | jens-daniel-mueller | 2022-03-14 | Build site. |
| Rmd | 4688c81 | jens-daniel-mueller | 2022-03-14 | converted offsets to cstar units |
| html | ceae601 | jens-daniel-mueller | 2022-03-14 | Build site. |
| Rmd | 19cd114 | jens-daniel-mueller | 2022-03-14 | revised cruise mean offset plots |
| html | 744b90f | jens-daniel-mueller | 2022-03-11 | Build site. |
| Rmd | aae5fc5 | jens-daniel-mueller | 2022-03-11 | revised cruise mean offsets |
| html | 84ca078 | jens-daniel-mueller | 2022-03-11 | Build site. |
| Rmd | f9a4a5b | jens-daniel-mueller | 2022-03-11 | revised cruise-by_cruise |
| html | efd6581 | jens-daniel-mueller | 2022-03-11 | Build site. |
| Rmd | a5262b7 | jens-daniel-mueller | 2022-03-11 | revised cruise-by_cruise |
| html | 25fef5b | jens-daniel-mueller | 2022-03-11 | Build site. |
| Rmd | 064dea1 | jens-daniel-mueller | 2022-03-11 | revised cruise-by_cruise |
| html | 02a01ef | jens-daniel-mueller | 2022-03-10 | Build site. |
| Rmd | c6d5f07 | jens-daniel-mueller | 2022-03-10 | revised crossover analysis |
| html | e3d1a2b | jens-daniel-mueller | 2022-03-10 | Build site. |
| Rmd | a706c3e | jens-daniel-mueller | 2022-03-10 | revised xover analysis |
| html | 070ca03 | jens-daniel-mueller | 2022-03-09 | Build site. |
| Rmd | 204f92a | jens-daniel-mueller | 2022-03-09 | revised crossover analysis |
| html | 9db485e | jens-daniel-mueller | 2022-02-25 | Build site. |
| Rmd | ad16b56 | jens-daniel-mueller | 2022-02-25 | added cruise by cruise annual mean offset analysis |
| html | fecc329 | jens-daniel-mueller | 2022-02-25 | Build site. |
| Rmd | 4030fe6 | jens-daniel-mueller | 2022-02-25 | added cruise by cruise offset analysis |
| html | 29af13b | jens-daniel-mueller | 2022-02-16 | Build site. |
| Rmd | 9755b16 | jens-daniel-mueller | 2022-02-16 | cruise wise crossover analysis |
| html | 6e65117 | jens-daniel-mueller | 2022-02-16 | Build site. |
| Rmd | fc1cf80 | jens-daniel-mueller | 2022-02-15 | rerun with flux products |
| html | cf43743 | jens-daniel-mueller | 2022-02-15 | Build site. |
| Rmd | 04014b7 | jens-daniel-mueller | 2022-02-15 | decadal crossover evaluation pre subbasin |
| html | 4a7550e | jens-daniel-mueller | 2022-02-15 | Build site. |
| Rmd | 856705f | jens-daniel-mueller | 2022-02-15 | decadal crossover evaluation pre subbasin |
| html | 8804a83 | jens-daniel-mueller | 2022-02-15 | Build site. |
| Rmd | 0c2d719 | jens-daniel-mueller | 2022-02-15 | decadal crossover evaluation pre subbasin |
| html | e1243c2 | jens-daniel-mueller | 2022-02-15 | Build site. |
| Rmd | 8eced63 | jens-daniel-mueller | 2022-02-15 | decadal crossover evaluation pre subbasin |
| html | efc2025 | jens-daniel-mueller | 2022-02-15 | Build site. |
| Rmd | 73fc278 | jens-daniel-mueller | 2022-02-15 | decadal crossover evaluation pre subbasin |
| html | 4d9d1cd | jens-daniel-mueller | 2022-01-17 | Build site. |
| Rmd | 0a1ca07 | jens-daniel-mueller | 2022-01-17 | rerun without saving expocodes |
| html | 9075296 | jens-daniel-mueller | 2022-01-12 | Build site. |
| Rmd | 86182f0 | jens-daniel-mueller | 2022-01-12 | data contribution per cruise |
| html | ecc669f | jens-daniel-mueller | 2022-01-04 | Build site. |
| Rmd | 98d874a | jens-daniel-mueller | 2022-01-04 | calculate crossover of gap filled data |
| html | 2620d02 | jens-daniel-mueller | 2022-01-03 | Build site. |
| Rmd | ee1e44a | jens-daniel-mueller | 2022-01-03 | plot crossover of gap filled data |
| html | ca3a146 | jens-daniel-mueller | 2022-01-03 | Build site. |
| Rmd | f71bc69 | jens-daniel-mueller | 2022-01-03 | plot crossover of gap filled data |
| html | 6e1b56c | jens-daniel-mueller | 2022-01-03 | Build site. |
| Rmd | c5258b1 | jens-daniel-mueller | 2022-01-03 | plot crossover of gap filled data |
| html | 9febbb8 | jens-daniel-mueller | 2022-01-03 | Build site. |
| Rmd | cd89345 | jens-daniel-mueller | 2022-01-03 | plot crossover of gap filled data |
| html | 1a9c797 | jens-daniel-mueller | 2022-01-03 | Build site. |
| Rmd | cde43c6 | jens-daniel-mueller | 2022-01-03 | plot crossover of gap filled data |
| html | 494beda | jens-daniel-mueller | 2022-01-03 | Build site. |
| Rmd | 47811bd | jens-daniel-mueller | 2022-01-03 | plot crossover of gap filled data |
| html | 51ec1fe | jens-daniel-mueller | 2021-12-23 | Build site. |
| Rmd | 468c324 | jens-daniel-mueller | 2021-12-23 | added crossover cruise subsetting |
| html | 28ed51f | jens-daniel-mueller | 2021-12-21 | Build site. |
| Rmd | f99a7ce | jens-daniel-mueller | 2021-12-21 | print tables with flagging number |
| html | fcff192 | jens-daniel-mueller | 2021-12-21 | Build site. |
| Rmd | e60be65 | jens-daniel-mueller | 2021-12-21 | added flagging profiles |
| html | a87f8c7 | jens-daniel-mueller | 2021-12-20 | Build site. |
| Rmd | 7511f8c | jens-daniel-mueller | 2021-12-20 | revised IO analysis |
| html | 2704ff6 | jens-daniel-mueller | 2021-12-20 | Build site. |
| Rmd | f4696af | jens-daniel-mueller | 2021-12-20 | added cruise maps |
| html | 7f65d3a | jens-daniel-mueller | 2021-12-20 | Build site. |
| Rmd | 208283d | jens-daniel-mueller | 2021-12-20 | revised missing cruise crossover analysis |
| html | 6106236 | jens-daniel-mueller | 2021-12-20 | Build site. |
| Rmd | 953ac0a | jens-daniel-mueller | 2021-12-20 | revised missing cruise crossover analysis |
| html | d5ef2c6 | jens-daniel-mueller | 2021-12-20 | Build site. |
| Rmd | 0b0800e | jens-daniel-mueller | 2021-12-20 | restructured IO crossover analysis |
| html | 00227e6 | jens-daniel-mueller | 2021-12-20 | Build site. |
| Rmd | 8728169 | jens-daniel-mueller | 2021-12-20 | added IO crossover analysis |
| html | e810585 | jens-daniel-mueller | 2021-12-16 | Build site. |
| Rmd | aca9273 | jens-daniel-mueller | 2021-12-16 | added maps per expocode |
| html | 6aa4b75 | jens-daniel-mueller | 2021-12-16 | Build site. |
| Rmd | 3511fa7 | jens-daniel-mueller | 2021-12-16 | f == 9 analysis added |
| html | 163f976 | jens-daniel-mueller | 2021-12-16 | Build site. |
| Rmd | 7fa3a99 | jens-daniel-mueller | 2021-12-16 | added cumulative data contribution as threshold |
| html | be0850d | jens-daniel-mueller | 2021-12-16 | Build site. |
| Rmd | 8db3760 | jens-daniel-mueller | 2021-12-16 | plot maps of f and qc data loss |
| html | 61d5f49 | jens-daniel-mueller | 2021-12-15 | Build site. |
| Rmd | be2f94e | jens-daniel-mueller | 2021-12-15 | analyse IO 1990 CRM data from Millero 1998 - TA only |
| html | d454df1 | jens-daniel-mueller | 2021-12-15 | Build site. |
| Rmd | 7802f47 | jens-daniel-mueller | 2021-12-15 | analyse IO 1990 CRM data from Millero 1998 |
| html | ce6cdae | jens-daniel-mueller | 2021-12-15 | Build site. |
| Rmd | acff553 | jens-daniel-mueller | 2021-12-15 | plot qc data loss by cruise size |
| html | 7ace7ab | jens-daniel-mueller | 2021-12-15 | Build site. |
| Rmd | 554383a | jens-daniel-mueller | 2021-12-15 | plot qc data loss by cruise size |
| html | faa6b3c | jens-daniel-mueller | 2021-12-15 | Build site. |
| Rmd | be8751d | jens-daniel-mueller | 2021-12-15 | started data loss assesment |
| html | 70923f2 | jens-daniel-mueller | 2021-12-14 | Build site. |
| Rmd | 1acf7ff | jens-daniel-mueller | 2021-12-14 | checked P18 nitrate data - quadratic fit |
| html | b68b58e | jens-daniel-mueller | 2021-12-13 | Build site. |
| Rmd | 4c002c1 | jens-daniel-mueller | 2021-12-13 | checked P18 nitrate data |
| html | de20732 | jens-daniel-mueller | 2021-12-08 | Build site. |
| Rmd | badaed2 | jens-daniel-mueller | 2021-12-08 | plotted f maps |
| html | daa43b9 | jens-daniel-mueller | 2021-12-06 | Build site. |
| Rmd | b578bd9 | jens-daniel-mueller | 2021-12-06 | plotted qc maps |
| html | 2b22ffe | jens-daniel-mueller | 2021-11-24 | Build site. |
| Rmd | 1b7ec1f | jens-daniel-mueller | 2021-11-24 | revised combined IO NS and EW analysis |
| html | 0ef46e8 | jens-daniel-mueller | 2021-11-23 | Build site. |
| Rmd | 7fb15cf | jens-daniel-mueller | 2021-11-23 | combined IO NS and EW analysis |
| html | f2871b9 | jens-daniel-mueller | 2021-11-20 | Build site. |
| Rmd | 46c1246 | jens-daniel-mueller | 2021-11-19 | rerun with GLODAP cast column |
| html | 375d7c7 | jens-daniel-mueller | 2021-11-18 | Build site. |
| Rmd | 1839007 | jens-daniel-mueller | 2021-11-18 | delta EW crossover values determined |
| html | f30883c | jens-daniel-mueller | 2021-11-18 | Build site. |
| Rmd | 7acd48c | jens-daniel-mueller | 2021-11-18 | delta crossover values determined |
| html | 2e6c3f1 | jens-daniel-mueller | 2021-11-18 | Build site. |
| Rmd | 49ca05c | jens-daniel-mueller | 2021-11-18 | delta crossover values determined |
| html | 16dab59 | jens-daniel-mueller | 2021-11-18 | Build site. |
| Rmd | 620b6f4 | jens-daniel-mueller | 2021-11-18 | delta crossover values determined |
| html | 42965b9 | jens-daniel-mueller | 2021-11-18 | Build site. |
| Rmd | 69dbb5f | jens-daniel-mueller | 2021-11-18 | crossing checks |
| html | c9363ce | jens-daniel-mueller | 2021-11-18 | Build site. |
| Rmd | 6bc79d6 | jens-daniel-mueller | 2021-11-18 | crossing checks |
| html | 0908ee5 | jens-daniel-mueller | 2021-11-15 | Build site. |
| html | 6d6a23e | jens-daniel-mueller | 2021-11-01 | Build site. |
| Rmd | 2f36786 | jens-daniel-mueller | 2021-11-01 | preprocess adjustment table, create new basinmaps |
| html | 2a50fa9 | jens-daniel-mueller | 2021-10-28 | Build site. |
| Rmd | 67de9ab | jens-daniel-mueller | 2021-10-28 | preprocess tracers |
| html | a96bf9e | jens-daniel-mueller | 2021-10-27 | Build site. |
| Rmd | d99b131 | jens-daniel-mueller | 2021-10-27 | added time series plots |
| html | fde6c32 | jens-daniel-mueller | 2021-10-27 | Build site. |
| Rmd | db93d9f | jens-daniel-mueller | 2021-10-27 | added time series plots |
| html | 7db7e6a | jens-daniel-mueller | 2021-10-27 | Build site. |
| Rmd | d6fb0dc | jens-daniel-mueller | 2021-10-27 | added time series plots |
| html | 68d67e7 | jens-daniel-mueller | 2021-10-27 | Build site. |
| Rmd | b4ea199 | jens-daniel-mueller | 2021-10-27 | added time series plots |
| html | 7987bb7 | jens-daniel-mueller | 2021-10-21 | Build site. |
| Rmd | b64c54d | jens-daniel-mueller | 2021-10-21 | added inventory layer depth |
| html | 8d1aaf8 | jens-daniel-mueller | 2021-10-20 | Build site. |
| Rmd | 5bce752 | jens-daniel-mueller | 2021-10-20 | corrected qc flag in glodap |
| html | dc8d958 | jens-daniel-mueller | 2021-10-20 | Build site. |
| Rmd | b2ccc04 | jens-daniel-mueller | 2021-10-20 | corrected qc flag in glodap |
| html | 2438c5a | jens-daniel-mueller | 2021-08-30 | Build site. |
| Rmd | 4296433 | jens-daniel-mueller | 2021-08-30 | rerun GLODAP preprocessing with officially released file |
| html | e49875a | jens-daniel-mueller | 2021-07-07 | Build site. |
| html | 6312bd4 | jens-daniel-mueller | 2021-07-07 | Build site. |
| Rmd | 4905409 | jens-daniel-mueller | 2021-07-07 | rerun with new setup_obs.Rmd file |
| html | 58bc706 | jens-daniel-mueller | 2021-07-06 | Build site. |
| Rmd | 0db89e1 | jens-daniel-mueller | 2021-07-06 | rerun with revised variable names |
| html | f600971 | jens-daniel-mueller | 2021-07-02 | Build site. |
| html | 98599d8 | jens-daniel-mueller | 2021-06-27 | Build site. |
| Rmd | 4f9c370 | jens-daniel-mueller | 2021-06-27 | update to latest GLODAP pre-release |
| html | 265c4ef | jens-daniel-mueller | 2021-06-04 | Build site. |
| html | c79346a | jens-daniel-mueller | 2021-06-03 | Build site. |
| html | 9d8353f | jens-daniel-mueller | 2021-05-31 | Build site. |
| Rmd | b948168 | jens-daniel-mueller | 2021-05-31 | ingest GLODAPv2_2021 beta data |
path_glodapv2_2021 <- "/nfs/kryo/work/updata/glodapv2_2021/"
path_glodapv2_CRM <- "/nfs/kryo/work/updata/glodapv2_CRM/"
path_crossover <- "/nfs/kryo/work/updata/glodapv2_crossover"
path_preprocessing <- paste(path_root, "/observations/preprocessing/", sep = "")
Main data source for this project is GLODAPv2.2021_Merged_Master_File.csv downloaded from https://www.ncei.noaa.gov/data/oceans/ncei/ocads/data/0237935/GLODAPv2.2021_Merged_Master_File.csv on Aug 30, 2021.
GLODAP <-
read_csv(
paste(
path_glodapv2_2021,
"GLODAPv2.2021_Merged_Master_File_20210830.csv",
sep = ""
),
na = "-9999",
col_types = cols(.default = col_double())
)
GLODAP <- GLODAP %>%
rename_with(~str_remove(., 'G2'))
GLODAP_adjustments <-
read_csv(
paste(
path_glodapv2_2021,
"GLODAPv2.2021_adjustments_last_updated_on_2021_05_10.csv",
sep = ""
),
na = c("-666", "-777", "-888", "-999"),
skip = 2
)
GLODAP_expocodes <-
read_tsv(
paste(
path_glodapv2_2021,
"EXPOCODES.txt",
sep = ""
),
col_names = c("cruise", "cruise_expocode")
)
# tables from glodapv2, provided by Steven van Heuven
glodapv2_xover_files <- fs::dir_ls(paste0(path_crossover, "/glodapv2"))
glodapv2_xover <- glodapv2_xover_files %>%
map_dfr(read_csv, .id = "parameter")
glodapv2_xover <- glodapv2_xover %>%
mutate(parameter = str_remove(parameter, ".csv"),
parameter = str_sub(parameter, -3))
glodapv2_xover <- glodapv2_xover %>%
mutate(parameter = recode(parameter,
"ALK" = "talk",
"DIC" = "tco2",
"NO3" = "nitrate",
"_O2" = "oxygen",
"PO4" = "phosphate",
"SAL" = "salinity",
"SIL" = "silicate"))
# Note: In the files provided by Steven von Heuven
# the column names sigma_ratio and sigma_offset_sd were swapped
glodapv2_xover_absolute <- glodapv2_xover %>%
filter(parameter %in% c("salinity", "talk", "tco2")) %>%
select(parameter,
offset = sigma_offset,
offset_sd = sigma_ratio,
cruise_A = CruiseA_EXPOCODE,
cruise_B = CruiseB_EXPOCODE)
glodapv2_xover_ratio <- glodapv2_xover %>%
filter(!(parameter %in% c("salinity", "talk", "tco2"))) %>%
select(parameter,
offset = sigma_offset_sd,
offset_sd = sigma_ratio_sd,
cruise_A = CruiseA_EXPOCODE,
cruise_B = CruiseB_EXPOCODE)
glodapv2_xover <- bind_rows(
glodapv2_xover_absolute,
glodapv2_xover_ratio
)
rm(glodapv2_xover_files,
glodapv2_xover_absolute, glodapv2_xover_ratio)
# tables created between glodapv2 and glodapv2.2021
# provided by Nico Lange
glodapv2_2021_xover_files <- fs::dir_ls(paste0(path_crossover, "/glodapv2_2021"))
glodapv2_2021_xover <- glodapv2_2021_xover_files %>%
map_dfr(readxl::read_excel)
glodapv2_2021_xover <- glodapv2_2021_xover %>%
rename(parameter = Parameter) %>%
mutate(parameter = recode(parameter,
"alkalinity" = "talk")) %>%
filter(
parameter %in%
c(
"tco2",
"nitrate",
"oxygen",
"phosphate",
"salinity",
"silicate",
"talk"
)
)
glodapv2_2021_xover <- glodapv2_2021_xover %>%
rename(offset = Offset,
offset_sd = Std,
cruise_A = Cruise_A,
cruise_B = Cruise_B)
rm(glodapv2_2021_xover_files)
# tables for data not qc'ed in the regular GLODAP release
# provided by Nico Lange
glodapv2_2021_xover_files_add <-
fs::dir_ls(paste0(path_crossover, "/glodapv2_2021_additional_crossover"),
glob = "*.xlsx")
glodapv2_2021_xover_add <- glodapv2_2021_xover_files_add %>%
map_dfr(readxl::read_excel)
glodapv2_2021_xover_add <- glodapv2_2021_xover_add %>%
rename(parameter = Parameter) %>%
mutate(parameter = recode(parameter,
"alkalinity" = "talk"))
glodapv2_2021_xover_add <- glodapv2_2021_xover_add %>%
rename(offset = Offset,
offset_sd = Std,
cruise_A = Cruise_A,
cruise_B = Cruise_B)
rm(glodapv2_2021_xover_files_add)
# tables for RV Knorr crossover after adjustment
# provided by Nico Lange
glodapv2_2021_xover_files_Knorr <-
fs::dir_ls(paste0(path_crossover, "/glodapv2_2021_additional_crossover"),
glob = "*.csv")
glodapv2_2021_xover_Knorr <- glodapv2_2021_xover_files_Knorr %>%
map_dfr(read_csv, .id = "adjustment")
glodapv2_2021_xover_Knorr <- glodapv2_2021_xover_Knorr %>%
mutate(
adjustment = str_remove(adjustment, ".csv"),
adjustment = str_remove(
adjustment,
paste0(path_crossover, "/glodapv2_2021_additional_crossover/Knorr_")
)
)
rm(glodapv2_2021_xover_files_Knorr)
I generated this file manually based on the analysis presented in the Data loss section below.
GLODAP_cruises_missing <-
read_csv(
paste(
path_glodapv2_2021,
"GLODAPv2.2021_major_cruises_missing_flagged.csv",
sep = ""
)
)
CRM_IO_meas_talk <-
read_csv(
paste(
path_glodapv2_CRM,
"/Millero_1998_Tab2.csv",
sep = ""
)
)
CRM_IO_meas_tco2 <-
read_csv(
paste(
path_glodapv2_CRM,
"/Johnson_1998_Tab3.csv",
sep = ""
)
)
CRM_ref_values <-
read_csv(
paste(
path_glodapv2_CRM,
"/Dickson_CRM_reference_values_20211215.csv",
sep = ""
)
)
From an email conversation with Nico Lange
Yes, we are aware of these faulty(!) calculated TA data (using DIC and fCO2). It is linked to v2.2020 where we’ve added fCO2 to the “missing carbon calculation matrix”. Overall, including fCO2 in these calculations has worked great to fill some missing carbon gaps. However, for this cruise in particular the fCO2 values have most likely been converted wrongly to 20°C and are thus off! The problem of this all is that we haven’t really done a 2nd QC on the fCO2 values neither have we defined the corresponding “G2fCO2qc” variable, hence for the sake of consistency we kept all fCO2 values in. Again and unfortunately, in this particular case it led to the bad calculations of TA data…. We plan to do a full 2nd QC on all (!) fCO2 data for v3.
But you have indeed found a flaw in our merging script, as the corresponding calculated TA values should not have received a 2nd QC flag of 1! I missed out on adding a line to our merging script to accommodate for the non-existence of 2nd fCO2 flags in the carbon calculation matrix.
So long story short: Thank you very much for finding this flaw and letting me know of it!
and
Yes, the all calculated TA data from cruise 695 should have a talkqc of 0 (as they are based upon un QC’d fCO2 data…).
And no (thanks to your hint and questions), I figured that this wrongly assigned 2nd QC flag is a problem for all calculated carbon data, which used fCO2 for the calculations. However, luckily this is not really often the case.
You can check if thats the case by looking at which other carbon parameters are measured, i.e. by checking their primary flags (e.g. G2talkf, G2tco2f and G2phts25p0f and G2fco2f). If only two are measured and one of them is fCO2, it means that the other carbon parameters (the ones with a primary flag of 0) are calculated using fCO2. Hence, for these instances no 2nd QC is done and the corresponding qc flag should be 0 and not 1.
# calculate number of measured co2 system variables
GLODAP <- GLODAP %>%
mutate(measured_CO2_vars = rowSums(select(., c(
tco2f, talkf, fco2f, phts25p0f
)) == 2))
# identify cruises on which talk/tco2 was calculated
talk_qc_error_cruises <- GLODAP %>%
select(cruise, tco2:phtsqc, measured_CO2_vars) %>%
filter(measured_CO2_vars == 2,
fco2f == 2,
talkf == 0) %>%
distinct(cruise, talkf, talkqc, fco2f)
tco2_qc_error_cruises <- GLODAP %>%
select(cruise, tco2:phtsqc, measured_CO2_vars) %>%
filter(measured_CO2_vars == 2,
fco2f == 2,
tco2f == 0) %>%
distinct(cruise, tco2f, tco2qc, fco2f)
talk_qc_error_cruises %>%
write_csv("data/talk_qc_error_cruises_GLODAPv2_2021.csv")
tco2_qc_error_cruises %>%
write_csv("data/tco2_qc_error_cruises_GLODAPv2_2021.csv")
rm(talk_qc_error_cruises, tco2_qc_error_cruises)
# set qc = 0 for tco2 and talk values calculated from fco2
GLODAP <- GLODAP %>%
mutate(tco2qc = if_else(measured_CO2_vars == 2 &
fco2f == 2 & tco2f == 0,
0,
tco2qc))
GLODAP <- GLODAP %>%
mutate(talkqc = if_else(measured_CO2_vars == 2 &
fco2f == 2 & talkf == 0,
0,
talkqc))
GLODAP <- GLODAP %>%
select(-measured_CO2_vars)
# create date column
GLODAP <- GLODAP %>%
mutate(date = ymd(paste(year, month, day))) %>%
relocate(date)
# harmonize column names
GLODAP <- GLODAP %>%
rename(sal = salinity,
temp = temperature)
# harmonize coordinates
GLODAP <- GLODAP %>%
rename(lon = longitude,
lat = latitude) %>%
mutate(lon = if_else(lon < 20, lon + 360, lon))
For merging with other data sets, all observations were grouped into latitude intervals of:
GLODAP <- m_grid_horizontal(GLODAP)
map +
geom_tile(
data = GLODAP %>%
filter(!is.na(gamma)) %>%
count(lon, lat),
aes(lon, lat, fill = n)) +
scale_fill_viridis_c(direction = -1)
GLODAP %>%
ggplot(aes(depth, gamma-sigma0)) +
geom_hline(yintercept = 0) +
geom_bin2d() +
ylim(c(-1,1)) +
scale_fill_viridis_c(trans = "log10")
# use only three basin to assign general basin mask
# ie this is not specific to the MLR fitting
basinmask_5 <- basinmask %>%
filter(MLR_basins == "5") %>%
select(lat, lon, basin)
basinmask <- basinmask %>%
filter(MLR_basins == "2") %>%
select(lat, lon, basin_AIP)
GLODAP <- inner_join(GLODAP, basinmask)
GLODAP <- right_join(
GLODAP_expocodes,
GLODAP)
GLODAP <- GLODAP %>%
mutate(row_number = row_number()) %>%
relocate(row_number)
Measurements of CO2 system and other biogeochemical parameters are separated from the measurements of halogenated tracers.
# remove irrelevant columns
GLODAP <- GLODAP %>%
select(-c(region,
month:minute,
maxsampdepth, sigma0:sigma4,
nitrite:nitritef))
GLODAP_tracer <- GLODAP %>%
select(row_number:gamma,
cfc11:sf6f,
basin_AIP)
# select relevant columns
GLODAP <- GLODAP %>%
select(row_number:talkqc,
basin_AIP)
The vast majority of rows is removed due to missing tco2 observations.
GLODAP <- GLODAP %>%
filter(!is.na(tco2))
Rows are removed if no tracer observation is available.
GLODAP_tracer <- GLODAP_tracer %>%
filter(if_any(
c(
cfc11,
cfc12,
cfc113,
ccl4,
sf6,
pcfc11,
pcfc12,
pcfc113,
pccl4,
psf6
),
~ !is.na(.)
))
GLODAP_obs_grid <- GLODAP %>%
count(lat, lon)
GLODAP_grid_year <- GLODAP %>%
count(lat, lon, year)
map +
geom_tile(data = GLODAP_grid_year,
aes(lon, lat)) +
facet_wrap(~ year, ncol=3)

GLODAP_obs_grid_tracer <- GLODAP_tracer %>%
count(lat, lon)
GLODAP_grid_year_tracer <- GLODAP_tracer %>%
count(lat, lon, year)
map +
geom_tile(data = GLODAP_grid_year_tracer,
aes(lon, lat)) +
facet_wrap(~ year, ncol=3)

In this sections, I explore the data coverage with respect to the flagging scheme. Data are not manipulated in this section.
qc_flag <- GLODAP %>%
mutate(decade = m_grid_decade(year),
.after = year) %>%
filter(!is.na(decade)) %>%
select(lon, lat, basin_AIP, decade, cruise_expocode, ends_with("qc"))
qc_flag_grid <- qc_flag %>%
pivot_longer(ends_with("qc"),
names_to = "parameter",
values_to = "value") %>%
count(lon, lat, decade, parameter, value)
p_qc_flag_map <- qc_flag_grid %>%
group_split(value) %>%
# head(1) %>%
map(
~ map +
geom_tile(data = .x,
aes(lon, lat, fill = n)) +
facet_grid(parameter ~ decade) +
labs(title = paste("qc flag =", unique(.x$value))) +
scale_fill_viridis_c(
option = "magma",
direction = -1,
trans = "log10"
)
)
p_qc_flag_map
[[1]]

[[2]]

pdf("output/qc_flag_coverage_maps.pdf")
p_qc_flag_map
[[1]]
[[2]]
dev.off()
png
2
qc_flag_grid_all_1 <- qc_flag %>%
filter(
if_all(ends_with("qc"), ~ . == 1)) %>%
count(lon, lat, decade)
map +
geom_tile(data = qc_flag_grid_all_1,
aes(lon, lat, fill = n)) +
facet_grid(decade ~ .) +
labs(title = "All parameters qc == 1") +
scale_fill_viridis_c(option = "magma",
direction = -1,
trans = "log10")

rm(qc_flag, qc_flag_grid, p_qc_flag_map, qc_flag_grid_all_1)
f_flag <- GLODAP %>%
mutate(decade = m_grid_decade(year),
.after = year) %>%
filter(!is.na(decade)) %>%
select(lon, lat, basin_AIP, decade, cruise_expocode, ends_with("f"))
f_flag_grid <- f_flag %>%
pivot_longer(ends_with("f"),
names_to = "parameter",
values_to = "value") %>%
count(lon, lat, decade, parameter, value)
p_f_flag_map <- f_flag_grid %>%
group_split(value) %>%
# head(1) %>%
map(
~map +
geom_tile(data = .x,
aes(lon, lat, fill=n)) +
facet_grid(parameter ~ decade) +
labs(title = paste("f flag =", unique(.x$value))) +
scale_fill_viridis_c(option = "magma",
direction = -1,
trans = "log10")
)
p_f_flag_map
[[1]]

[[2]]

[[3]]

pdf("output/f_flag_coverage_maps.pdf")
p_f_flag_map
[[1]]
[[2]]
[[3]]
dev.off()
png
2
f_flag_grid_all_2 <- f_flag %>%
filter(
if_all(ends_with("f"), ~ . == 2)) %>%
count(lon, lat, decade)
map +
geom_tile(data = f_flag_grid_all_2,
aes(lon, lat, fill = n)) +
facet_grid(decade ~ .) +
labs(title = "All parameters f == 2") +
scale_fill_viridis_c(option = "magma",
direction = -1,
trans = "log10")

rm(f_flag, f_flag_grid, p_f_flag_map, f_flag_grid_all_2)
In this section, I explore the potential loss of data if certain quality quality flag criteria are not met by the observations.
loss_all <- GLODAP %>%
mutate(decade = m_grid_decade(year),
.after = year) %>%
filter(!is.na(decade))
loss <- loss_all %>%
filter(if_all(ends_with("f"), ~ . != 9))
map +
geom_tile(data = loss_all %>% distinct(lon, lat, decade),
aes(lon, lat, fill = "incl f = 9")) +
geom_tile(data = loss %>% distinct(lon, lat, decade),
aes(lon, lat, fill = "excl f = 9")) +
scale_fill_brewer(palette = "Set1") +
facet_grid(decade ~ .) +
labs(title = "All available data") +
theme(legend.title = element_blank())

loss_all_n <- loss_all %>%
count(basin_AIP, decade)
loss_n <- loss %>%
count(basin_AIP, decade)
Here, I analysis the loss of data due to qc flagging, based on the samples were all parameters are available (i.e. where f-flag != 9).
# prepare qc loss data
loss_qc <- loss %>%
select(lon, lat, basin_AIP, decade, cruise_expocode, ends_with("qc")) %>%
pivot_longer(ends_with("qc"),
names_to = "parameter",
values_to = "value") %>%
mutate(parameter = str_remove(parameter, "qc"))
# compute fraction of qc loss per parameters and cruise
loss_qc <- loss_qc %>%
count(cruise_expocode, basin_AIP, decade, parameter, value) %>%
pivot_wider(
names_from = value,
names_prefix = "qc_",
values_from = n,
values_fill = 0
) %>%
mutate(n_cruise = qc_0 + qc_1,
category = if_else(qc_0 <= 0.1 * (n_cruise), "OK", "loss"))
# calculate number of parameters with loss
# separately for target/predictor variables
loss_qc_cruise <- loss_qc %>%
mutate(parameter_class = if_else(
parameter %in% c("tco2", "talk", "phosphate"),
"target",
"predictor"
)) %>%
count(cruise_expocode,
basin_AIP,
decade,
n_cruise,
parameter_class,
category) %>%
pivot_wider(names_from = category,
values_from = n,
values_fill = 0) %>%
select(-OK) %>%
pivot_wider(names_from = parameter_class,
values_from = loss) %>%
group_by(basin_AIP, decade) %>%
mutate(rank_n_cruise = rank(-n_cruise)) %>%
ungroup()
# combine with total number of observations
loss_qc_cruise <- full_join(loss_qc_cruise, loss_n)
# calculate relative contribution of cruise samples to total
loss_qc_cruise <- loss_qc_cruise %>%
mutate(n_cruise_rel = 100 * n_cruise / n) %>%
arrange(basin_AIP, decade, -n_cruise_rel) %>%
group_by(basin_AIP, decade) %>%
mutate(n_cruise_rel_cum = cumsum(n_cruise_rel)) %>%
ungroup() %>%
select(-n)
loss_qc_cruise <- loss_qc_cruise %>%
pivot_longer(predictor:target,
names_to = "parameter_class",
values_to = "loss") %>%
mutate(loss = as.factor(loss))
grey_plasma <- c("grey80", viridisLite::plasma(4))
# filter large cruises
loss_qc_cruise <- loss_qc_cruise %>%
filter(n_cruise_rel >= 3)
loss_qc_cruise %>%
group_split(basin_AIP) %>%
# head(3) %>%
map(
~ ggplot(data = .x,
aes(rank_n_cruise, n_cruise_rel, fill = loss)) +
geom_point(shape = 21, size = 2) +
scale_fill_manual(values = grey_plasma,
name = "variables missing") +
facet_grid(decade ~ parameter_class) +
labs(title = paste("basin_AIP:", unique(.x$basin_AIP))) +
ylim(0, NA)
)
[[1]]

| Version | Author | Date |
|---|---|---|
| aea9afe | jens-daniel-mueller | 2022-04-07 |
| f088f55 | jens-daniel-mueller | 2022-04-01 |
| dde77eb | jens-daniel-mueller | 2022-04-01 |
| e3d1a2b | jens-daniel-mueller | 2022-03-10 |
| 6aa4b75 | jens-daniel-mueller | 2021-12-16 |
| 163f976 | jens-daniel-mueller | 2021-12-16 |
| be0850d | jens-daniel-mueller | 2021-12-16 |
| ce6cdae | jens-daniel-mueller | 2021-12-15 |
[[2]]

| Version | Author | Date |
|---|---|---|
| aea9afe | jens-daniel-mueller | 2022-04-07 |
| f088f55 | jens-daniel-mueller | 2022-04-01 |
| dde77eb | jens-daniel-mueller | 2022-04-01 |
| e3d1a2b | jens-daniel-mueller | 2022-03-10 |
| 6aa4b75 | jens-daniel-mueller | 2021-12-16 |
| 163f976 | jens-daniel-mueller | 2021-12-16 |
| be0850d | jens-daniel-mueller | 2021-12-16 |
| ce6cdae | jens-daniel-mueller | 2021-12-15 |
[[3]]

| Version | Author | Date |
|---|---|---|
| aea9afe | jens-daniel-mueller | 2022-04-07 |
| f088f55 | jens-daniel-mueller | 2022-04-01 |
| dde77eb | jens-daniel-mueller | 2022-04-01 |
| e3d1a2b | jens-daniel-mueller | 2022-03-10 |
| 6aa4b75 | jens-daniel-mueller | 2021-12-16 |
| 163f976 | jens-daniel-mueller | 2021-12-16 |
| be0850d | jens-daniel-mueller | 2021-12-16 |
| ce6cdae | jens-daniel-mueller | 2021-12-15 |
loss_qc_cruise %>%
filter(loss != 0) %>%
select(basin_AIP,
decade,
parameter_class,
rank_n_cruise,
cruise_expocode,
loss) %>%
arrange(basin_AIP, decade, parameter_class, rank_n_cruise) %>%
kable() %>%
kable_styling() %>%
scroll_box(height = "300px")
| basin_AIP | decade | parameter_class | rank_n_cruise | cruise_expocode | loss |
|---|---|---|---|---|---|
| Atlantic | 1989-1999 | target | 11 | 06MT19900123 | 1 |
| Atlantic | 1989-1999 | target | 12 | 33LK19960415 | 1 |
| Atlantic | 2000-2009 | predictor | 8 | 35TH20010823 | 3 |
| Atlantic | 2000-2009 | predictor | 14 | 33RO20070710 | 1 |
| Atlantic | 2000-2009 | target | 8 | 35TH20010823 | 2 |
| Atlantic | 2000-2009 | target | 9 | 74DI20040404 | 1 |
| Atlantic | 2000-2009 | target | 10 | 35TH20080610 | 1 |
| Atlantic | 2000-2009 | target | 12 | 35TH20040604 | 1 |
| Atlantic | 2000-2009 | target | 13 | 35TH20020611 | 1 |
| Atlantic | 2010-2020 | predictor | 5 | 74EQ20151206 | 1 |
| Atlantic | 2010-2020 | target | 12 | 35TH20100608 | 1 |
| Atlantic | 2010-2020 | target | 13 | 29AH20160617 | 1 |
| Indian | 1989-1999 | target | 11 | 320619960503 | 1 |
| Pacific | 1989-1999 | predictor | 2 | 31DS19940126 | 1 |
| Pacific | 1989-1999 | predictor | 4 | 31DS19920907 | 3 |
| Pacific | 1989-1999 | target | 4 | 31DS19920907 | 3 |
| Pacific | 1989-1999 | target | 6 | 316N19930222 | 1 |
| Pacific | 1989-1999 | target | 7 | 316N19921006 | 1 |
| Pacific | 1989-1999 | target | 8 | 90KD19920214 | 1 |
loss_grid <- loss %>% distinct(lon, lat, cruise_expocode)
loss_qc_grid <- left_join(loss_qc_cruise,
loss_grid)
map +
geom_tile(data = loss_qc_grid,
aes(lon, lat, fill = loss)) +
facet_grid(decade ~ parameter_class) +
scale_fill_manual(values = grey_plasma)

| Version | Author | Date |
|---|---|---|
| aea9afe | jens-daniel-mueller | 2022-04-07 |
| f088f55 | jens-daniel-mueller | 2022-04-01 |
| dde77eb | jens-daniel-mueller | 2022-04-01 |
| e3d1a2b | jens-daniel-mueller | 2022-03-10 |
| 9db485e | jens-daniel-mueller | 2022-02-25 |
| 6aa4b75 | jens-daniel-mueller | 2021-12-16 |
| 163f976 | jens-daniel-mueller | 2021-12-16 |
| be0850d | jens-daniel-mueller | 2021-12-16 |
loss_qc_grid %>% filter(loss != 0) %>%
group_split(parameter_class, decade) %>%
# head(1) %>%
map(
~ map +
geom_tile(data = .x,
aes(lon, lat, fill = cruise_expocode)) +
scale_fill_brewer(palette = "Paired") +
facet_grid(decade ~ parameter_class)
)
[[1]]

[[2]]

[[3]]

[[4]]

[[5]]

[[6]]

rm(loss_qc_cruise, loss_qc_grid)
Here, I analysis the loss of data due to f flagging, based on the samples were all parameters are available (i.e. where f-flag != 9).
# prepare qc loss data
loss_f <- loss %>%
select(lon, lat, basin_AIP, decade, cruise_expocode, ends_with("f")) %>%
pivot_longer(ends_with("f"),
names_to = "parameter",
values_to = "value") %>%
mutate(parameter = str_remove(parameter, "f"))
# compute fraction of qc loss per parameters and cruise
loss_f <- loss_f %>%
count(cruise_expocode, basin_AIP, decade, parameter, value) %>%
pivot_wider(
names_from = value,
names_prefix = "f_",
values_from = n,
values_fill = 0
) %>%
mutate(n_cruise = f_0 + f_2,
category = if_else(f_0 <= 0.1 * (n_cruise), "OK", "loss"))
# calculate number of parameters with loss
# separately for target/predictor variables
loss_f_cruise <- loss_f %>%
mutate(parameter_class = if_else(
parameter %in% c("tco2", "talk", "phosphate"),
"target",
"predictor"
)) %>%
count(cruise_expocode,
basin_AIP,
decade,
n_cruise,
parameter_class,
category) %>%
pivot_wider(names_from = category,
values_from = n,
values_fill = 0) %>%
select(-OK) %>%
pivot_wider(names_from = parameter_class,
values_from = loss) %>%
group_by(basin_AIP, decade) %>%
mutate(rank_n_cruise = rank(-n_cruise)) %>%
ungroup()
# combine with total number of observations
loss_f_cruise <- full_join(loss_f_cruise, loss_n)
# calculate relative contribution of cruise samples to total
loss_f_cruise <- loss_f_cruise %>%
mutate(n_cruise_rel = 100 * n_cruise / n) %>%
arrange(basin_AIP, decade, -n_cruise_rel) %>%
group_by(basin_AIP, decade) %>%
mutate(n_cruise_rel_cum = cumsum(n_cruise_rel)) %>%
ungroup() %>%
select(-n)
loss_f_cruise <- loss_f_cruise %>%
pivot_longer(predictor:target,
names_to = "parameter_class",
values_to = "loss") %>%
mutate(loss = as.factor(loss))
grey_plasma <- c("grey80", viridisLite::plasma(4))
# filter large cruises
loss_f_cruise <- loss_f_cruise %>%
filter(n_cruise_rel >= 3)
loss_f_cruise %>%
group_split(basin_AIP) %>%
# head(1) %>%
map(
~ ggplot(data = .x,
aes(rank_n_cruise, n_cruise, fill = loss)) +
geom_point(shape = 21, size = 2) +
scale_fill_manual(values = grey_plasma,
name = "variables missing") +
facet_grid(decade ~ parameter_class) +
labs(title = paste("basin_AIP:", unique(.x$basin_AIP))) +
ylim(0, NA)
)
[[1]]

[[2]]

[[3]]

loss_f_cruise %>%
filter(loss != 0) %>%
select(basin_AIP,
decade,
parameter_class,
rank_n_cruise,
cruise_expocode,
loss) %>%
arrange(basin_AIP, decade, parameter_class, rank_n_cruise) %>%
kable() %>%
kable_styling() %>%
scroll_box(height = "300px")
| basin_AIP | decade | parameter_class | rank_n_cruise | cruise_expocode | loss |
|---|---|---|---|---|---|
| Atlantic | 1989-1999 | target | 1 | 323019940104 | 1 |
| Atlantic | 1989-1999 | target | 7 | 33RO19980123 | 1 |
| Atlantic | 1989-1999 | target | 9 | 35A319950113 | 1 |
| Atlantic | 1989-1999 | target | 11 | 06MT19900123 | 1 |
| Atlantic | 1989-1999 | target | 12 | 33LK19960415 | 1 |
| Atlantic | 2000-2009 | target | 8 | 35TH20010823 | 1 |
| Atlantic | 2000-2009 | target | 9 | 74DI20040404 | 1 |
| Atlantic | 2000-2009 | target | 10 | 35TH20080610 | 1 |
| Atlantic | 2000-2009 | target | 12 | 35TH20040604 | 1 |
| Atlantic | 2000-2009 | target | 13 | 35TH20020611 | 1 |
| Atlantic | 2010-2020 | target | 9 | 33RO20110926 | 1 |
| Atlantic | 2010-2020 | target | 12 | 35TH20100608 | 1 |
| Atlantic | 2010-2020 | target | 13 | 29AH20160617 | 1 |
| Indian | 1989-1999 | target | 11 | 320619960503 | 1 |
| Indian | 2000-2009 | target | 3 | 33RR20080204 | 1 |
| Pacific | 1989-1999 | target | 3 | 31DS19960105 | 1 |
| Pacific | 1989-1999 | target | 6 | 316N19930222 | 1 |
| Pacific | 1989-1999 | target | 7 | 316N19921006 | 1 |
| Pacific | 1989-1999 | target | 8 | 90KD19920214 | 1 |
| Pacific | 2000-2009 | target | 1 | 33RO20071215 | 1 |
| Pacific | 2000-2009 | target | 6 | 318M20091121 | 1 |
| Pacific | 2010-2020 | target | 4 | 320620170703 | 1 |
| Pacific | 2010-2020 | target | 9 | 318M20091121 | 2 |
rm(loss_n)
loss_grid <- loss %>% distinct(lon, lat, cruise_expocode)
loss_f_grid <- left_join(loss_f_cruise,
loss_grid)
map +
geom_tile(data = loss_f_grid,
aes(lon, lat, fill = loss)) +
facet_grid(decade ~ parameter_class) +
scale_fill_manual(values = grey_plasma)

| Version | Author | Date |
|---|---|---|
| aea9afe | jens-daniel-mueller | 2022-04-07 |
| f088f55 | jens-daniel-mueller | 2022-04-01 |
| dde77eb | jens-daniel-mueller | 2022-04-01 |
| e3d1a2b | jens-daniel-mueller | 2022-03-10 |
| 9db485e | jens-daniel-mueller | 2022-02-25 |
| 6aa4b75 | jens-daniel-mueller | 2021-12-16 |
| 163f976 | jens-daniel-mueller | 2021-12-16 |
| be0850d | jens-daniel-mueller | 2021-12-16 |
loss_f_grid %>% filter(loss != 0) %>%
group_split(parameter_class, decade) %>%
# head(1) %>%
map(
~ map +
geom_tile(data = .x,
aes(lon, lat, fill = cruise_expocode)) +
scale_fill_brewer(palette = "Paired") +
facet_grid(decade ~ parameter_class)
)
[[1]]

[[2]]

[[3]]

rm(loss_f_cruise, loss_f_grid)
rm(loss_grid)
Here, I analysis the loss of data due to unavailability (i.e. where f-flag == 9).
loss_f9 <- loss_all %>%
select(lon, lat, basin_AIP, decade, cruise_expocode, ends_with("f")) %>%
pivot_longer(ends_with("f"),
names_to = "parameter",
values_to = "value") %>%
mutate(parameter = str_remove(parameter, "f"))
loss_f9 <- loss_f9 %>%
count(cruise_expocode, basin_AIP, decade, parameter, value) %>%
pivot_wider(
names_from = value,
names_prefix = "f_",
values_from = n,
values_fill = 0
) %>%
mutate(n_cruise = f_0 + f_2 + f_9,
category = if_else(f_9 <= 0.1 * (n_cruise), "OK", "loss"))
loss_f9_cruise <- loss_f9 %>%
mutate(parameter_class = if_else(
parameter %in% c("tco2", "talk", "phosphate"),
"target",
"predictor"
)) %>%
count(cruise_expocode,
basin_AIP,
decade,
n_cruise,
parameter_class,
category) %>%
pivot_wider(names_from = category,
values_from = n,
values_fill = 0) %>%
select(-OK) %>%
pivot_wider(names_from = parameter_class,
values_from = loss) %>%
group_by(basin_AIP, decade) %>%
mutate(rank_n_cruise = rank(-n_cruise)) %>%
ungroup()
loss_f9_cruise <- full_join(loss_f9_cruise, loss_all_n)
loss_f9_cruise <- loss_f9_cruise %>%
mutate(n_cruise_rel = 100 * n_cruise / n) %>%
arrange(basin_AIP, decade, -n_cruise_rel) %>%
group_by(basin_AIP, decade) %>%
mutate(n_cruise_rel_cum = cumsum(n_cruise_rel)) %>%
ungroup() %>%
select(-n)
loss_f9_cruise <- loss_f9_cruise %>%
pivot_longer(predictor:target,
names_to = "parameter_class",
values_to = "loss") %>%
mutate(loss = as.factor(loss))
grey_plasma <- c("grey80", viridisLite::plasma(4))
loss_f9_cruise <- loss_f9_cruise %>%
filter(n_cruise_rel >= 3)
loss_f9_cruise %>%
group_split(basin_AIP) %>%
# head(1) %>%
map(
~ ggplot(data = .x,
aes(rank_n_cruise, n_cruise, fill = loss)) +
geom_point(shape = 21, size = 2) +
scale_fill_manual(values = grey_plasma,
name = "variables missing") +
facet_grid(decade ~ parameter_class) +
labs(title = paste("basin_AIP:", unique(.x$basin_AIP))) +
ylim(0, NA)
)
[[1]]

[[2]]

[[3]]

loss_f9_cruise %>%
filter(loss != 0) %>%
select(basin_AIP, decade, parameter_class, rank_n_cruise, cruise_expocode) %>%
arrange(basin_AIP, decade, parameter_class, rank_n_cruise) %>%
kable() %>%
kable_styling() %>%
scroll_box(height = "300px")
| basin_AIP | decade | parameter_class | rank_n_cruise | cruise_expocode |
|---|---|---|---|---|
| Atlantic | 1989-1999 | predictor | 2 | 316N19871123 |
| Atlantic | 1989-1999 | predictor | 4 | 06AQ19980328 |
| Atlantic | 1989-1999 | predictor | 6 | 74DI19970807 |
| Atlantic | 1989-1999 | target | 2 | 316N19871123 |
| Atlantic | 1989-1999 | target | 3 | 33RO19980123 |
| Atlantic | 1989-1999 | target | 4 | 06AQ19980328 |
| Atlantic | 1989-1999 | target | 6 | 74DI19970807 |
| Atlantic | 1989-1999 | target | 7 | 33MW19930704 |
| Atlantic | 2000-2009 | target | 1 | 33RO20050111 |
| Atlantic | 2000-2009 | target | 2 | 33RO20030604 |
| Atlantic | 2000-2009 | target | 3 | 06AQ20050122 |
| Atlantic | 2000-2009 | target | 4 | 06AQ20080210 |
| Atlantic | 2010-2020 | predictor | 10 | 06M220170104 |
| Atlantic | 2010-2020 | predictor | 11 | 06AQ20120107 |
| Atlantic | 2010-2020 | target | 3 | 33RO20110926 |
| Atlantic | 2010-2020 | target | 6 | 29HE20130320 |
| Atlantic | 2010-2020 | target | 10 | 06M220170104 |
| Indian | 1989-1999 | predictor | 1 | 316N19951202 |
| Indian | 1989-1999 | predictor | 3 | 316N19950310 |
| Indian | 1989-1999 | predictor | 7 | 35MF19960220 |
| Indian | 1989-1999 | target | 1 | 316N19951202 |
| Indian | 1989-1999 | target | 5 | 316N19941201 |
| Indian | 1989-1999 | target | 8 | 320619960503 |
| Indian | 1989-1999 | target | 10 | 316N19950611 |
| Indian | 1989-1999 | target | 12 | 35MF19930123 |
| Indian | 2000-2009 | predictor | 10 | 09AR20071216 |
| Indian | 2000-2009 | target | 7 | 09AR20060102 |
| Indian | 2010-2020 | predictor | 8 | 09AR20141205 |
| Indian | 2010-2020 | target | 5 | 325020190403 |
| Indian | 2010-2020 | target | 8 | 09AR20141205 |
| Pacific | 1989-1999 | predictor | 6 | 33MW19920224 |
| Pacific | 1989-1999 | target | 1 | 316N19920502 |
| Pacific | 1989-1999 | target | 6 | 33MW19920224 |
| Pacific | 2000-2009 | predictor | 8 | 325020060213 |
loss_all_grid <- loss_all %>% distinct(lon, lat, cruise_expocode)
loss_f9_grid <- left_join(loss_f9_cruise,
loss_all_grid)
map +
geom_tile(data = loss_f9_grid,
aes(lon, lat, fill = loss)) +
facet_grid(decade ~ parameter_class) +
scale_fill_manual(values = grey_plasma)

loss_f9_grid %>% filter(loss != 0) %>%
group_split(parameter_class, decade) %>%
# head(1) %>%
map(
~ map +
geom_tile(data = .x,
aes(lon, lat, fill = cruise_expocode)) +
scale_fill_brewer(palette = "Paired") +
facet_grid(decade ~ parameter_class)
)
[[1]]

[[2]]

[[3]]

[[4]]

[[5]]

[[6]]

rm(loss_f9_cruise, loss_f9_grid)
rm(loss_all_grid)
rm(loss_all_n)
rm(loss)
Below, I plot the most relevant cruises that would be lost when applying the strictest quality flagging criteria. These cruises were hand-picked, based on the relevance analysis shown above.
expocodes_missing <- GLODAP_cruises_missing %>%
distinct(cruise_expocode) %>%
pull()
missing_cruise_grid <- loss_all %>%
filter(cruise_expocode %in% expocodes_missing) %>%
distinct(cruise_expocode, decade, lon, lat)
missing_cruise_grid %>%
group_split(decade) %>%
# head(1) %>%
map(
~ map +
geom_tile(data = .x,
aes(lon, lat, fill = str_sub(
cruise_expocode, 1, 4
))) +
facet_grid(decade ~ .) +
scale_fill_brewer(palette = "Paired",
name = "RV")
)
[[1]]

[[2]]

[[3]]

Here I analyse the phosphate data from section P18, which was repeated 3 times.
P18 <- GLODAP %>%
filter(cruise_expocode %in% c("33RO20161119",
"33RO20071215",
"31DS19940126"))
# plot raw data section
P18 %>%
filter(!is.na(nitrate)) %>%
ggplot(aes(lat, depth, col= nitrate)) +
geom_point() +
scale_color_viridis_c() +
scale_y_reverse() +
facet_grid(cruise_expocode ~.)

# grid section data
P18_grid <- P18 %>%
select(lat, lon, depth, cruise_expocode, nitrate) %>%
mutate(depth = as.numeric(as.character(cut(depth,
seq(0,1e4, 500),
seq(250,1e4,500))))) %>%
group_by(lat, depth, cruise_expocode) %>%
summarise(nitrate = mean(nitrate, na.rm=TRUE)) %>%
ungroup()
P18_grid %>%
ggplot(aes(lat, depth, fill= nitrate)) +
geom_tile() +
scale_fill_viridis_c() +
scale_y_reverse() +
facet_grid(cruise_expocode ~.)

# calculate gridded offsets
P18_grid_offset <- P18_grid %>%
pivot_wider(names_from = cruise_expocode,
values_from = nitrate) %>%
mutate(
delta_nitrate_1994_2007 = (`31DS19940126` - `33RO20071215`) / `33RO20071215`,
delta_nitrate_1994_2016 = (`31DS19940126` - `33RO20161119`) / `33RO20071215`,
delta_nitrate_2007_2016 = (`33RO20071215` - `33RO20161119`) / `33RO20071215`
) %>%
select(lat, depth, starts_with("delta")) %>%
pivot_longer(
starts_with("delta"),
values_to = "delta_nitrate",
names_to = "years",
names_prefix = "delta_nitrate_"
) %>%
filter(delta_nitrate > -20,
depth > 1500)
P18_grid_offset %>%
ggplot(aes(lat, depth, fill = delta_nitrate)) +
geom_tile() +
scale_fill_divergent() +
scale_y_reverse() +
facet_grid(years ~.)

P18_grid_offset %>%
group_by(lat, years) %>%
summarise(delta_nitrate = mean(delta_nitrate, na.rm = TRUE)) %>%
ungroup() %>%
ggplot(aes(lat, delta_nitrate, col = years, fill = years)) +
geom_hline(yintercept = 0) +
stat_smooth(method = "lm", formula = y ~ x + I(x ^ 2)) +
geom_point() +
geom_line()

rm(P18, P18_grid, P18_grid_offset)
A16 <- GLODAP %>%
filter(cruise_expocode %in% c(
"33MW19930704" #A16N-1993
))
map +
geom_tile(data = A16 %>% distinct(lon, lat),
aes(lon, lat))

A16 %>%
select(ends_with(c("qc"))) %>%
pivot_longer(everything(),
names_to = "flag",
values_to = "value") %>%
distinct(flag, value)
# A tibble: 9 × 2
flag value
<chr> <dbl>
1 salinityqc 1
2 oxygenqc 1
3 nitrateqc 1
4 silicateqc 1
5 phosphateqc 1
6 tco2qc 1
7 talkqc 1
8 talkqc 0
9 tco2qc 0
rm(A16)
Typically, the reasons for multiple expocode entries of the same cruise in the adjustment table list are:
-> How to merge? Based on first and last station? Cruise_ID not in GLODAP merged master file.
-> How to merge? Based on first and last station?
For the expocodes not listed in the expocode list the reason is that INDIGO has been splitted into three cruises: 35MF1985-1987 and the same holds for SAVE (316N1987 - 6legs). Further 49HH20011208 has been assigned wrongly and corrected to 49HH20011127.
Remove expocode INDIGO and maintain only 35MF19850224. Remove expocode SAVE and maintain only 316N1987.
GLODAP_adjustments <- GLODAP_adjustments %>%
select(cruise_expocode,
first_station, last_station,
version,
calculated_carbon_parameter,
ends_with("_adj")) %>%
rename(talk_adj = alkalinity_adj)
# Remove cruises INDIGO and SAVE
GLODAP_adjustments <-
GLODAP_adjustments %>%
filter(!(cruise_expocode %in% c("INDIGO", "SAVE")))
# correct expocode 49HH20011208 to 49HH20011127
GLODAP_adjustments <-
GLODAP_adjustments %>%
mutate(cruise_expocode = if_else(
cruise_expocode == "49HH20011208",
"49HH20011127",
cruise_expocode
))
# select latest adjustment versions
GLODAP_adjustments <-
GLODAP_adjustments %>%
group_by(cruise_expocode, first_station) %>%
mutate(n = n(),
version_max = max(version)) %>%
ungroup() %>%
filter(version == version_max | is.na(version)) %>%
select(-c(version_max, version, n))
# harmonize multiple cruise expocodes of 316N1987
GLODAP_adjustments <- GLODAP_adjustments %>%
mutate(cruise_expocode = str_split(cruise_expocode,
"\\.",
simplify = TRUE)[,1])
# correct one wrong last_cruise label
GLODAP_adjustments <- GLODAP_adjustments %>%
mutate(
last_station = if_else(
cruise_expocode == "318M20091121" &
first_station == 1,
127,
last_station
)
)
# merge with expocode table
GLODAP_adjustments <-
full_join(GLODAP_adjustments, GLODAP_expocodes) %>%
relocate(cruise)
GLODAP_adjustments_NA_cruises <-
GLODAP_adjustments %>%
filter(is.na(cruise))
GLODAP_adjustments_duplicated_cruises <-
GLODAP_adjustments %>%
group_by(cruise_expocode, cruise) %>%
mutate(n = n()) %>%
ungroup() %>%
filter(n != 1)
GLODAP_adjustments %>%
pivot_longer(salinity_adj:c13_adj,
names_to = "parameter",
values_to = "adjustment") %>%
ggplot(aes(adjustment)) +
geom_histogram() +
scale_y_log10() +
facet_wrap(~ parameter, scales = "free_x")

| Version | Author | Date |
|---|---|---|
| 6d6a23e | jens-daniel-mueller | 2021-11-01 |
rm(GLODAP_adjustments_duplicated_cruises,
GLODAP_adjustments_NA_cruises)
GLODAP_adjustments_long <- GLODAP_adjustments %>%
select(
cruise_expocode,
first_station,
last_station,
tco2_adj,
talk_adj,
phosphate_adj,
nitrate_adj,
oxygen_adj,
silicate_adj,
salinity_adj
) %>%
pivot_longer(tco2_adj:salinity_adj,
names_to = "parameter",
values_to = "adjustment") %>%
mutate(parameter = str_remove(parameter, "_adj"))
p_adjustment_histo <- GLODAP_adjustments_long %>%
ggplot(aes(adjustment)) +
geom_histogram() +
scale_y_log10() +
facet_wrap(~ parameter, scales = "free_x", ncol = 1)
p_xover_histo <-
ggplot() +
geom_histogram(data = glodapv2_xover,
aes(offset)) +
labs(title = "v2") +
scale_y_log10() +
facet_wrap(~ parameter, scales = "free_x", ncol = 1)
p_xover_histo_2021 <-
ggplot() +
geom_histogram(data = glodapv2_2021_xover,
aes(offset)) +
labs(title = "v2_2021") +
scale_y_log10() +
facet_wrap(~ parameter, scales = "free_x", ncol = 1)
p_xover_histo + p_xover_histo_2021 + p_adjustment_histo

rm(p_xover_histo, p_xover_histo_2021, p_adjustment_histo)
The crossover analysis I received refer to unadjusted data. In order to analyse remaining crossover biases that are relevant for the adjusted data, the crossover results are adjusted with the same value that was also applied to the data.
# join crossover and adjustments
glodapv2_xover <- left_join(
glodapv2_xover,
GLODAP_adjustments_long %>%
select(
cruise_A = cruise_expocode,
parameter,
first_station_A = first_station,
last_station_A = last_station,
adjustment_A = adjustment
)
)
glodapv2_xover <- left_join(
glodapv2_xover,
GLODAP_adjustments_long %>%
select(
cruise_B = cruise_expocode,
parameter,
first_station_B = first_station,
last_station_B = last_station,
adjustment_B = adjustment
)
)
glodapv2_xover <- glodapv2_xover %>%
mutate(adjustment_A = if_else(
parameter %in% c("salinity", "talk", "tco2"),
replace_na(adjustment_A, 0),
replace_na(adjustment_A, 1)
)) %>%
mutate(adjustment_B = if_else(
parameter %in% c("salinity", "talk", "tco2"),
replace_na(adjustment_B, 0),
replace_na(adjustment_B, 1)
))
# apply adjustment to crossover
glodapv2_xover <- glodapv2_xover %>%
mutate(offset_adj =
if_else(parameter %in% c("salinity", "talk", "tco2"),
offset + adjustment_A - adjustment_B,
offset * adjustment_A / adjustment_B))
# join crossover and adjustments
glodapv2_2021_xover <- left_join(
glodapv2_2021_xover,
GLODAP_adjustments_long %>%
select(
cruise_A = cruise_expocode,
parameter,
first_station_A = first_station,
last_station_A = last_station,
adjustment_A = adjustment
)
)
glodapv2_2021_xover <- left_join(
glodapv2_2021_xover,
GLODAP_adjustments_long %>%
select(
cruise_B = cruise_expocode,
parameter,
first_station_B = first_station,
last_station_B = last_station,
adjustment_B = adjustment
)
)
glodapv2_2021_xover <- glodapv2_2021_xover %>%
mutate(adjustment_A = if_else(
parameter %in% c("salinity", "talk", "tco2"),
replace_na(adjustment_A, 0),
replace_na(adjustment_A, 1)
)) %>%
mutate(adjustment_B = if_else(
parameter %in% c("salinity", "talk", "tco2"),
replace_na(adjustment_B, 0),
replace_na(adjustment_B, 1)
))
# apply adjustment to crossover
glodapv2_2021_xover <- glodapv2_2021_xover %>%
mutate(offset_adj =
if_else(parameter %in% c("salinity", "talk", "tco2"),
offset + adjustment_A,
offset * adjustment_A))
xover <- bind_rows(glodapv2_xover,
glodapv2_2021_xover)
rm(glodapv2_xover,
glodapv2_2021_xover)
xover <- xover %>%
mutate(date_A = ymd(str_sub(cruise_A, 5, 12)),
date_B = ymd(str_sub(cruise_B, 5, 12)))
# Remove cruises with expocodes starting with "OMEX"
# for which dates cannot be extracted from expocode
xover <- xover %>%
filter(!is.na(date_A),
!is.na(date_B))
xover <- xover %>%
filter(!is.na(offset_adj))
# reverse cruise A and B
m_xover_reverse <- function(df) {
df_rev <- df %>%
rename(
cruise_A_back = cruise_A,
cruise_A = cruise_B,
date_A_back = date_A,
date_A = date_B,
n_A_back = n_A,
n_A = n_B,
adjustment_A_back = adjustment_A,
adjustment_A = adjustment_B
) %>%
rename(cruise_B = cruise_A_back,
date_B = date_A_back,
n_B = n_A_back,
adjustment_B = adjustment_A_back) %>%
mutate(
offset = if_else(
parameter %in% c("salinity", "talk", "tco2"),
-offset,
1 / offset
),
offset_adj = if_else(
parameter %in% c("salinity", "talk", "tco2",
"cstar_total", "cstar_phosphate", "cstar_talk", "cstar_tco2", "cstar_tco2_talk"),
-offset_adj,
1 / offset_adj
)
)
return(df_rev)
}
# extract cruise based on expocode
m_xover_cruise_extractation <- function (df, expocode) {
xover_cruise_A <- df %>%
filter(cruise_A %in% expocode)
xover_cruise_B <- df %>%
filter(cruise_B %in% expocode)
xover_cruise_B_rev <- m_xover_reverse(df = xover_cruise_B)
xover_cruise <- bind_rows(xover_cruise_A,
xover_cruise_B_rev)
return(xover_cruise)
}
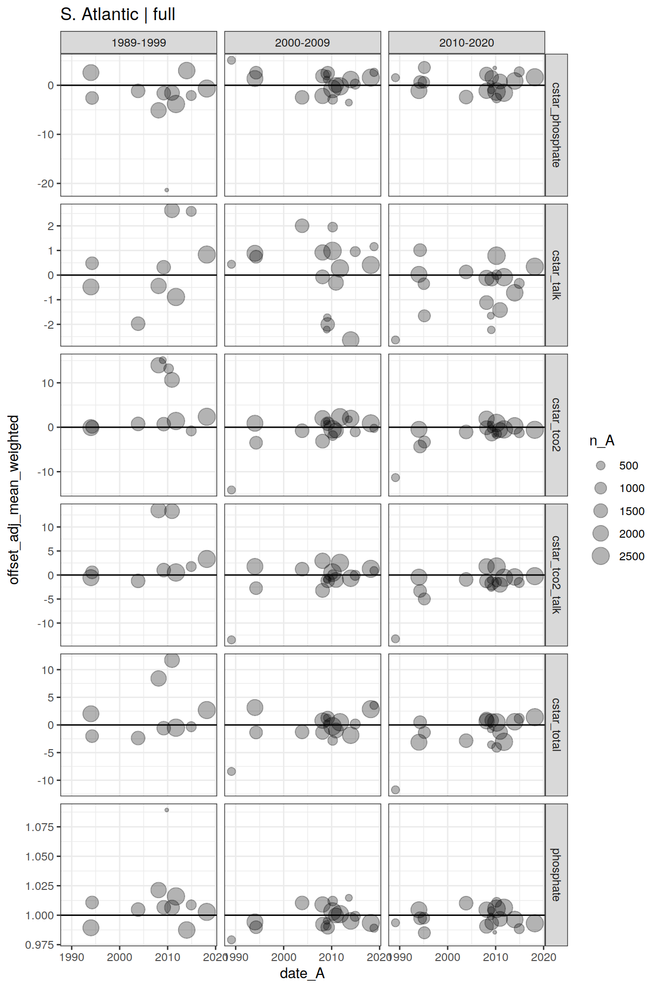
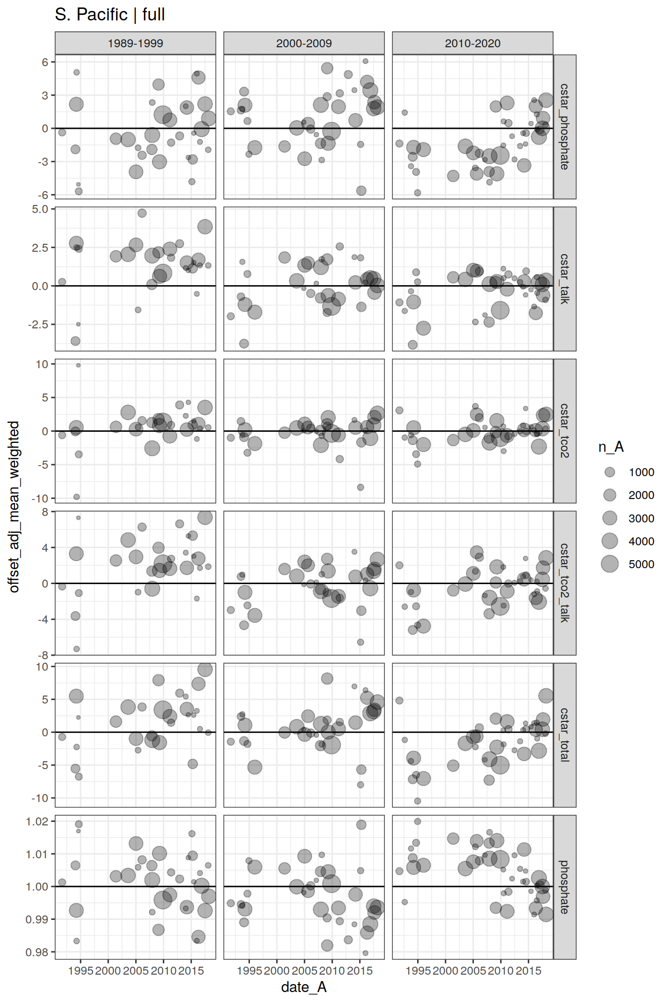
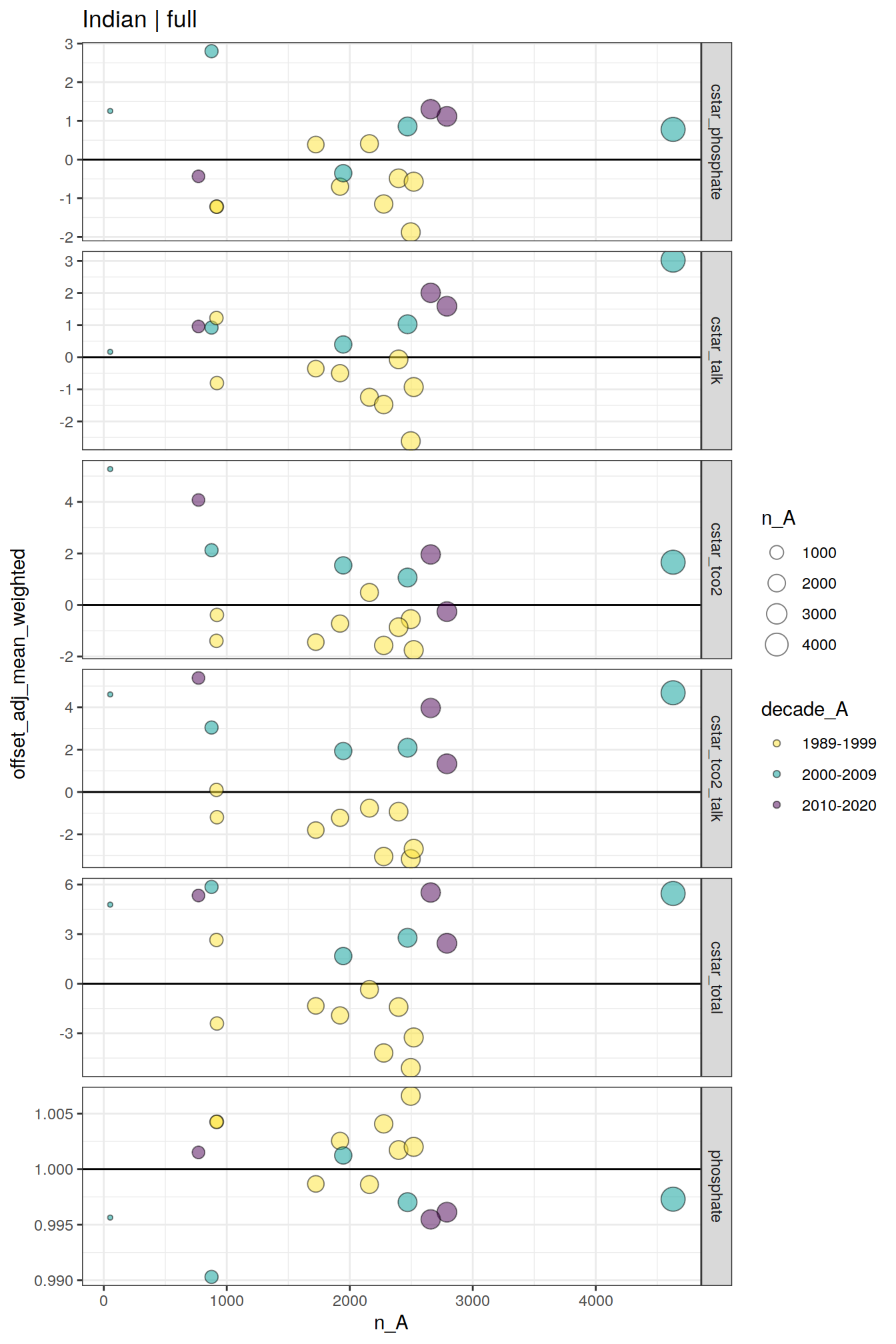
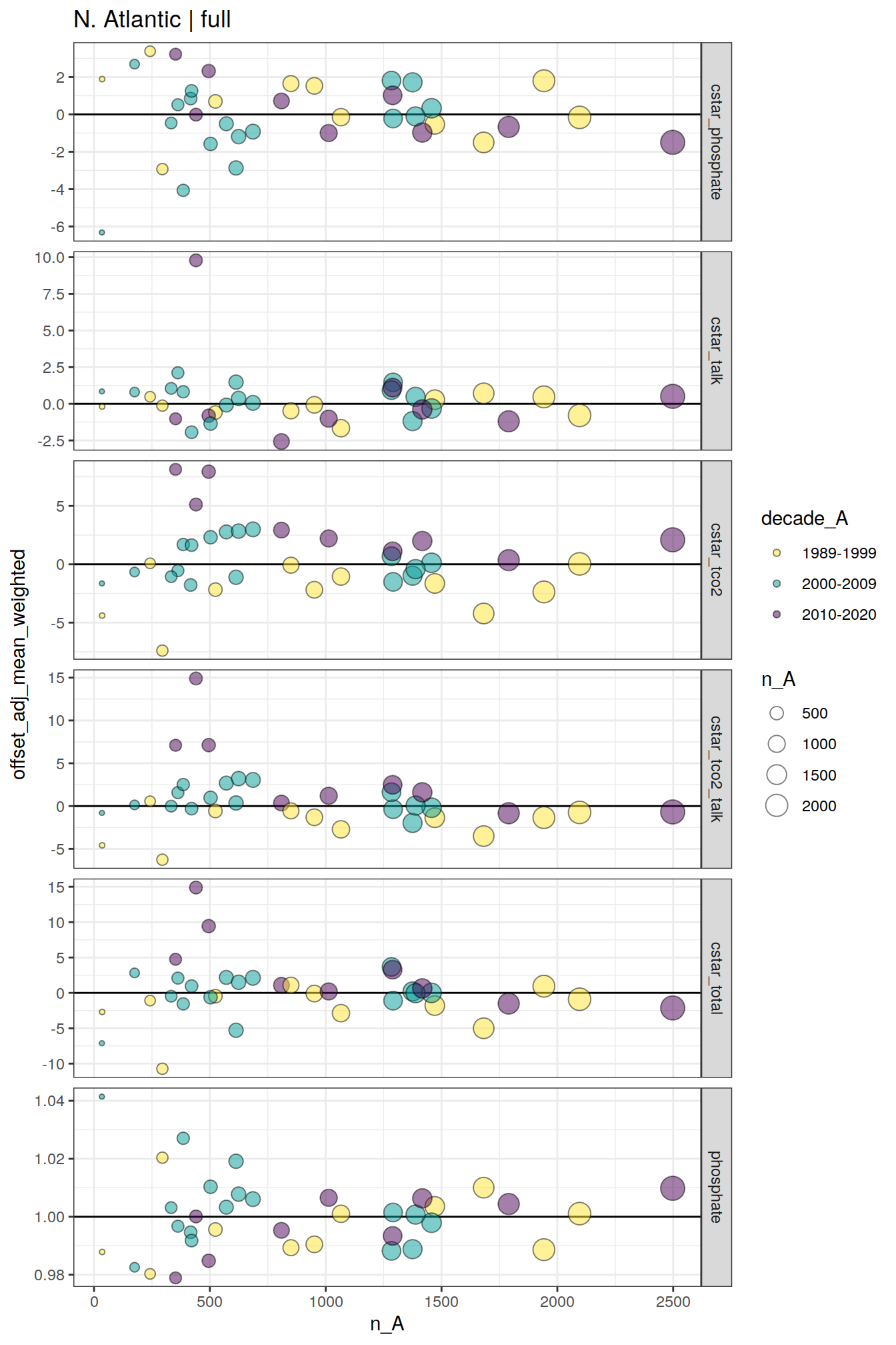
Analyse crossover results for cruises that cause a relevant data gap, with the aim to inform the use of data from these cruises.
hline_intercept <-
tibble(parameter = unique(xover$parameter)) %>%
mutate(intercept = if_else(parameter %in% c("salinity", "talk", "tco2"),
0,
1))
for (i_expocodes_missing in expocodes_missing) {
# i_expocodes_missing <- expocodes_missing[1]
cruise <- GLODAP %>%
filter(cruise_expocode == i_expocodes_missing) %>%
rename(salinity = sal)
# extract parameter that cause qc loss
parameter_qc <- loss_qc %>%
filter(cruise_expocode == i_expocodes_missing,
category == "loss")
parameter_qc <- parameter_qc %>%
pull(parameter)
print(paste("qc parameter:", parameter_qc))
if (length(parameter_qc) > 0) {
parameter_qc <- parameter_qc %>% str_c(.,"qc")
}
# extract parameter that cause f loss
parameter_f <- loss_f %>%
filter(cruise_expocode == i_expocodes_missing,
category == "loss")
parameter_f <- parameter_f %>%
pull(parameter)
print(paste("f parameter:", parameter_f))
if (length(parameter_f) > 0) {
parameter_f <- parameter_f %>% str_c(.,"f")
}
# extract parameter that cause f9 loss
parameter_f9 <- loss_f9 %>%
filter(cruise_expocode == i_expocodes_missing,
category == "loss")
parameter_f9 <- parameter_f9 %>%
pull(parameter)
print(paste("f9 parameter:", parameter_f9))
if (length(parameter_f9) > 0) {
parameter_f9 <- parameter_f9 %>% str_c(.,"f")
}
# extract unique loss parameters
parameter_check <-
unique(c(parameter_qc, parameter_f, parameter_f9))
rm(parameter_qc, parameter_f, parameter_f9)
xover_cruise <- m_xover_cruise_extractation(
df = xover %>% mutate(n_A = 0,
n_B = 0),
expocode = i_expocodes_missing
)
for (i_parameter_check in parameter_check) {
# i_parameter_check <- parameter_check[1]
cruise_flag_count <- cruise %>%
count(lon, lat, !!sym(i_parameter_check)) %>%
group_by(lon, lat) %>%
mutate(n_rel = 100 * n / sum(n)) %>%
ungroup()
print(
map +
geom_tile(data = cruise_flag_count,
aes(lon, lat, fill = n_rel)) +
scale_fill_viridis_c(option = "magma",
direction = -1) +
facet_wrap(i_parameter_check, ncol = 2) +
labs(title = i_expocodes_missing,
subtitle = i_parameter_check)
)
i_parameter_check_var <- str_remove(i_parameter_check, "f")
i_parameter_check_var <- str_remove(i_parameter_check_var, "qc")
print(
cruise %>%
ggplot(aes(!!sym(i_parameter_check_var), depth, fill=station)) +
geom_point(alpha = 0.2, shape = 21) +
scale_fill_viridis_c() +
scale_y_reverse() +
facet_wrap(i_parameter_check, ncol = 2) +
labs(title = i_expocodes_missing,
subtitle = i_parameter_check)
)
}
p_crossover_ts <- xover_cruise %>%
ggplot(aes(date_B, offset_adj)) +
geom_vline(xintercept = ymd(str_sub(i_expocodes_missing, 5)),
col = "red") +
geom_hline(data = hline_intercept, aes(yintercept = intercept)) +
geom_point() +
facet_grid(parameter ~ ., scales = "free_y") +
labs(title = i_expocodes_missing,
subtitle = str_c(parameter_check, collapse = "+")) +
theme(
legend.position = "bottom",
legend.direction = "vertical",
axis.title.x = element_blank()
)
xover_cruise_decade <- xover_cruise %>%
mutate(decade = m_grid_decade(year(date_B))) %>%
filter(!is.na(decade)) %>%
group_by(parameter, decade) %>%
mutate(n = n()) %>%
ungroup() %>%
filter(n > 2)
p_crossover_decadal <-
ggplot() +
geom_hline(data = hline_intercept, aes(yintercept = intercept)) +
geom_violin(
data = xover_cruise_decade,
aes(x = decade, y = offset_adj),
fill = "gold"
) +
geom_boxplot(
data = xover_cruise_decade,
aes(x = decade, y = offset_adj),
width = 0.2
) +
labs(title = "Decadal averages") +
facet_grid(parameter ~ ., scales = "free_y") +
theme(axis.title.x = element_blank(),
axis.text.x = element_text(angle = 90))
print(
p_crossover_ts + p_crossover_decadal +
plot_layout(widths = c(2, 1))
)
rm(p_crossover_ts, p_crossover_decadal)
}
[1] "qc parameter: "
[1] "f parameter: talk"
[1] "f9 parameter: "



[1] "qc parameter: "
[1] "f parameter: talk"
[1] "f9 parameter: "

| Version | Author | Date |
|---|---|---|
| aea9afe | jens-daniel-mueller | 2022-04-07 |
| dde77eb | jens-daniel-mueller | 2022-04-01 |
| e3d1a2b | jens-daniel-mueller | 2022-03-10 |
| 9db485e | jens-daniel-mueller | 2022-02-25 |
| fcff192 | jens-daniel-mueller | 2021-12-21 |
| 2704ff6 | jens-daniel-mueller | 2021-12-20 |
| 7f65d3a | jens-daniel-mueller | 2021-12-20 |
| 6106236 | jens-daniel-mueller | 2021-12-20 |


[1] "qc parameter: "
[1] "f parameter: "
[1] "f9 parameter: aou"

| Version | Author | Date |
|---|---|---|
| aea9afe | jens-daniel-mueller | 2022-04-07 |
| dde77eb | jens-daniel-mueller | 2022-04-01 |
| e3d1a2b | jens-daniel-mueller | 2022-03-10 |
| 9db485e | jens-daniel-mueller | 2022-02-25 |
| fcff192 | jens-daniel-mueller | 2021-12-21 |
| 2704ff6 | jens-daniel-mueller | 2021-12-20 |
| 7f65d3a | jens-daniel-mueller | 2021-12-20 |
| 6106236 | jens-daniel-mueller | 2021-12-20 |


[1] "qc parameter: "
[1] "f parameter: "
[1] "f9 parameter: nitrate" "f9 parameter: phosphate"
[3] "f9 parameter: silicate" "f9 parameter: talk"

| Version | Author | Date |
|---|---|---|
| aea9afe | jens-daniel-mueller | 2022-04-07 |
| dde77eb | jens-daniel-mueller | 2022-04-01 |
| e3d1a2b | jens-daniel-mueller | 2022-03-10 |
| 9db485e | jens-daniel-mueller | 2022-02-25 |
| fcff192 | jens-daniel-mueller | 2021-12-21 |
| 2704ff6 | jens-daniel-mueller | 2021-12-20 |
| 7f65d3a | jens-daniel-mueller | 2021-12-20 |
| 6106236 | jens-daniel-mueller | 2021-12-20 |


| Version | Author | Date |
|---|---|---|
| aea9afe | jens-daniel-mueller | 2022-04-07 |
| dde77eb | jens-daniel-mueller | 2022-04-01 |
| e3d1a2b | jens-daniel-mueller | 2022-03-10 |
| 9db485e | jens-daniel-mueller | 2022-02-25 |
| fcff192 | jens-daniel-mueller | 2021-12-21 |
| 2704ff6 | jens-daniel-mueller | 2021-12-20 |
| 7f65d3a | jens-daniel-mueller | 2021-12-20 |
| 6106236 | jens-daniel-mueller | 2021-12-20 |


| Version | Author | Date |
|---|---|---|
| aea9afe | jens-daniel-mueller | 2022-04-07 |
| dde77eb | jens-daniel-mueller | 2022-04-01 |
| e3d1a2b | jens-daniel-mueller | 2022-03-10 |
| 9db485e | jens-daniel-mueller | 2022-02-25 |
| fcff192 | jens-daniel-mueller | 2021-12-21 |
| 2704ff6 | jens-daniel-mueller | 2021-12-20 |
| 7f65d3a | jens-daniel-mueller | 2021-12-20 |
| 6106236 | jens-daniel-mueller | 2021-12-20 |


| Version | Author | Date |
|---|---|---|
| aea9afe | jens-daniel-mueller | 2022-04-07 |
| dde77eb | jens-daniel-mueller | 2022-04-01 |
| e3d1a2b | jens-daniel-mueller | 2022-03-10 |
| 9db485e | jens-daniel-mueller | 2022-02-25 |
| fcff192 | jens-daniel-mueller | 2021-12-21 |
| 2704ff6 | jens-daniel-mueller | 2021-12-20 |
| 7f65d3a | jens-daniel-mueller | 2021-12-20 |
| 6106236 | jens-daniel-mueller | 2021-12-20 |


[1] "qc parameter: talk" "qc parameter: talk"
[1] "f parameter: talk" "f parameter: talk"
[1] "f9 parameter: talk" "f9 parameter: aou" "f9 parameter: talk"

| Version | Author | Date |
|---|---|---|
| aea9afe | jens-daniel-mueller | 2022-04-07 |
| dde77eb | jens-daniel-mueller | 2022-04-01 |
| e3d1a2b | jens-daniel-mueller | 2022-03-10 |
| 9db485e | jens-daniel-mueller | 2022-02-25 |
| fcff192 | jens-daniel-mueller | 2021-12-21 |
| 2704ff6 | jens-daniel-mueller | 2021-12-20 |
| 7f65d3a | jens-daniel-mueller | 2021-12-20 |
| 6106236 | jens-daniel-mueller | 2021-12-20 |


| Version | Author | Date |
|---|---|---|
| aea9afe | jens-daniel-mueller | 2022-04-07 |
| dde77eb | jens-daniel-mueller | 2022-04-01 |
| e3d1a2b | jens-daniel-mueller | 2022-03-10 |
| 9db485e | jens-daniel-mueller | 2022-02-25 |
| fcff192 | jens-daniel-mueller | 2021-12-21 |
| 2704ff6 | jens-daniel-mueller | 2021-12-20 |
| 7f65d3a | jens-daniel-mueller | 2021-12-20 |
| 6106236 | jens-daniel-mueller | 2021-12-20 |


| Version | Author | Date |
|---|---|---|
| aea9afe | jens-daniel-mueller | 2022-04-07 |
| dde77eb | jens-daniel-mueller | 2022-04-01 |
| e3d1a2b | jens-daniel-mueller | 2022-03-10 |
| 9db485e | jens-daniel-mueller | 2022-02-25 |
| fcff192 | jens-daniel-mueller | 2021-12-21 |
| 2704ff6 | jens-daniel-mueller | 2021-12-20 |
| 7f65d3a | jens-daniel-mueller | 2021-12-20 |
| 6106236 | jens-daniel-mueller | 2021-12-20 |


[1] "qc parameter: "
[1] "f parameter: "
[1] "f9 parameter: aou" "f9 parameter: talk"

| Version | Author | Date |
|---|---|---|
| aea9afe | jens-daniel-mueller | 2022-04-07 |
| dde77eb | jens-daniel-mueller | 2022-04-01 |
| e3d1a2b | jens-daniel-mueller | 2022-03-10 |
| 9db485e | jens-daniel-mueller | 2022-02-25 |
| fcff192 | jens-daniel-mueller | 2021-12-21 |
| 2704ff6 | jens-daniel-mueller | 2021-12-20 |
| 7f65d3a | jens-daniel-mueller | 2021-12-20 |
| 6106236 | jens-daniel-mueller | 2021-12-20 |


| Version | Author | Date |
|---|---|---|
| aea9afe | jens-daniel-mueller | 2022-04-07 |
| dde77eb | jens-daniel-mueller | 2022-04-01 |
| e3d1a2b | jens-daniel-mueller | 2022-03-10 |
| 9db485e | jens-daniel-mueller | 2022-02-25 |
| fcff192 | jens-daniel-mueller | 2021-12-21 |
| 2704ff6 | jens-daniel-mueller | 2021-12-20 |
| 7f65d3a | jens-daniel-mueller | 2021-12-20 |
| 6106236 | jens-daniel-mueller | 2021-12-20 |


[1] "qc parameter: talk"
[1] "f parameter: talk"
[1] "f9 parameter: phosphate" "f9 parameter: talk"

| Version | Author | Date |
|---|---|---|
| aea9afe | jens-daniel-mueller | 2022-04-07 |
| dde77eb | jens-daniel-mueller | 2022-04-01 |
| e3d1a2b | jens-daniel-mueller | 2022-03-10 |
| 9db485e | jens-daniel-mueller | 2022-02-25 |
| fcff192 | jens-daniel-mueller | 2021-12-21 |
| 2704ff6 | jens-daniel-mueller | 2021-12-20 |
| 7f65d3a | jens-daniel-mueller | 2021-12-20 |
| 6106236 | jens-daniel-mueller | 2021-12-20 |


| Version | Author | Date |
|---|---|---|
| aea9afe | jens-daniel-mueller | 2022-04-07 |
| dde77eb | jens-daniel-mueller | 2022-04-01 |
| e3d1a2b | jens-daniel-mueller | 2022-03-10 |
| 9db485e | jens-daniel-mueller | 2022-02-25 |
| fcff192 | jens-daniel-mueller | 2021-12-21 |
| 2704ff6 | jens-daniel-mueller | 2021-12-20 |
| 7f65d3a | jens-daniel-mueller | 2021-12-20 |
| 6106236 | jens-daniel-mueller | 2021-12-20 |




[1] "qc parameter: talk"
[1] "f parameter: talk"
[1] "f9 parameter: talk"





[1] "qc parameter: "
[1] "f parameter: "
[1] "f9 parameter: talk"



[1] "qc parameter: "
[1] "f parameter: "
[1] "f9 parameter: aou" "f9 parameter: salinity"





[1] "qc parameter: "
[1] "f parameter: "
[1] "f9 parameter: talk"



[1] "qc parameter: "
[1] "f parameter: tco2" "f parameter: talk" "f parameter: tco2"
[1] "f9 parameter: "





[1] "qc parameter: nitrate"
[1] "f parameter: "
[1] "f9 parameter: "



[1] "qc parameter: "
[1] "f parameter: talk"
[1] "f9 parameter: "



[1] "qc parameter: talk"
[1] "f parameter: talk"
[1] "f9 parameter: phosphate"







[1] "qc parameter: "
[1] "f parameter: talk"
[1] "f9 parameter: phosphate"





[1] "qc parameter: "
[1] "f parameter: talk"
[1] "f9 parameter: "



[1] "qc parameter: "
[1] "f parameter: tco2"
[1] "f9 parameter: phosphate"





[1] "qc parameter: "
[1] "f parameter: tco2"
[1] "f9 parameter: "



[1] "qc parameter: "
[1] "f parameter: tco2"
[1] "f9 parameter: aou"





[1] "qc parameter: "
[1] "f parameter: "
[1] "f9 parameter: phosphate"


| Version | Author | Date |
|---|---|---|
| fcff192 | jens-daniel-mueller | 2021-12-21 |

[1] "qc parameter: "
[1] "f parameter: "
[1] "f9 parameter: silicate"


| Version | Author | Date |
|---|---|---|
| fcff192 | jens-daniel-mueller | 2021-12-21 |

| Version | Author | Date |
|---|---|---|
| fcff192 | jens-daniel-mueller | 2021-12-21 |
[1] "qc parameter: tco2"
[1] "f parameter: tco2"
[1] "f9 parameter: "


| Version | Author | Date |
|---|---|---|
| fcff192 | jens-daniel-mueller | 2021-12-21 |


| Version | Author | Date |
|---|---|---|
| fcff192 | jens-daniel-mueller | 2021-12-21 |

[1] "qc parameter: tco2"
[1] "f parameter: tco2"
[1] "f9 parameter: nitrate"


| Version | Author | Date |
|---|---|---|
| fcff192 | jens-daniel-mueller | 2021-12-21 |


| Version | Author | Date |
|---|---|---|
| fcff192 | jens-daniel-mueller | 2021-12-21 |


| Version | Author | Date |
|---|---|---|
| fcff192 | jens-daniel-mueller | 2021-12-21 |

[1] "qc parameter: tco2"
[1] "f parameter: tco2"
[1] "f9 parameter: "


| Version | Author | Date |
|---|---|---|
| fcff192 | jens-daniel-mueller | 2021-12-21 |


| Version | Author | Date |
|---|---|---|
| fcff192 | jens-daniel-mueller | 2021-12-21 |

[1] "qc parameter: "
[1] "f parameter: "
[1] "f9 parameter: nitrate" "f9 parameter: phosphate"
[3] "f9 parameter: silicate"


| Version | Author | Date |
|---|---|---|
| fcff192 | jens-daniel-mueller | 2021-12-21 |


| Version | Author | Date |
|---|---|---|
| fcff192 | jens-daniel-mueller | 2021-12-21 |


| Version | Author | Date |
|---|---|---|
| fcff192 | jens-daniel-mueller | 2021-12-21 |

[1] "qc parameter: talk"
[1] "f parameter: talk"
[1] "f9 parameter: "


| Version | Author | Date |
|---|---|---|
| fcff192 | jens-daniel-mueller | 2021-12-21 |


| Version | Author | Date |
|---|---|---|
| fcff192 | jens-daniel-mueller | 2021-12-21 |

[1] "qc parameter: nitrate"
[1] "f parameter: "
[1] "f9 parameter: "


| Version | Author | Date |
|---|---|---|
| fcff192 | jens-daniel-mueller | 2021-12-21 |

[1] "qc parameter: "
[1] "f parameter: "
[1] "f9 parameter: phosphate"


| Version | Author | Date |
|---|---|---|
| fcff192 | jens-daniel-mueller | 2021-12-21 |

[1] "qc parameter: "
[1] "f parameter: "
[1] "f9 parameter: phosphate"


| Version | Author | Date |
|---|---|---|
| fcff192 | jens-daniel-mueller | 2021-12-21 |

[1] "qc parameter: "
[1] "f parameter: nitrate" "f parameter: phosphate" "f parameter: silicate"
[1] "f9 parameter: talk" "f9 parameter: nitrate"
[3] "f9 parameter: phosphate" "f9 parameter: silicate"
[5] "f9 parameter: talk"


| Version | Author | Date |
|---|---|---|
| fcff192 | jens-daniel-mueller | 2021-12-21 |


| Version | Author | Date |
|---|---|---|
| fcff192 | jens-daniel-mueller | 2021-12-21 |


| Version | Author | Date |
|---|---|---|
| fcff192 | jens-daniel-mueller | 2021-12-21 |


| Version | Author | Date |
|---|---|---|
| fcff192 | jens-daniel-mueller | 2021-12-21 |

[1] "qc parameter: "
[1] "f parameter: "
[1] "f9 parameter: talk"


| Version | Author | Date |
|---|---|---|
| fcff192 | jens-daniel-mueller | 2021-12-21 |

[1] "qc parameter: "
[1] "f parameter: "
[1] "f9 parameter: phosphate"



rm(xover_cruise, xover_cruise_decade)
IO_1990_expocodes <- GLODAP %>%
filter(str_detect(cruise_expocode, "316N199") &
basin_AIP == "Indian") %>%
distinct(cruise_expocode) %>%
pull()
xover_IO_1990 <-
m_xover_cruise_extractation(df = xover %>% mutate(n_A = 0,
n_B = 0),
expocode = IO_1990_expocodes)
xover_IO_1990 <- xover_IO_1990 %>%
mutate(RV = if_else(str_detect(cruise_B, "316N"),
"316N",
"other"))
xover_IO_1990_decade <- xover_IO_1990 %>%
mutate(decade = m_grid_decade(year(date_B))) %>%
filter(!is.na(decade),
RV != "316N") %>%
arrange(date_B)
xover_IO_1990_decade %>%
group_by(parameter, decade) %>%
summarise(offset_adj_mean = mean(offset_adj, na.rm = TRUE),
offset_adj_median = median(offset_adj, na.rm = TRUE)) %>%
ungroup() %>%
kable() %>%
kable_styling() %>%
scroll_box(height = "300px")
| parameter | decade | offset_adj_mean | offset_adj_median |
|---|---|---|---|
| nitrate | 1989-1999 | 0.9959899 | 0.9952475 |
| nitrate | 2000-2009 | 1.0018716 | 1.0034000 |
| nitrate | 2010-2020 | 0.9942423 | 0.9954335 |
| oxygen | 1989-1999 | 0.9986282 | 0.9974067 |
| oxygen | 2000-2009 | 0.9983700 | 1.0002000 |
| oxygen | 2010-2020 | 0.9992518 | 0.9981748 |
| phosphate | 1989-1999 | 0.9926563 | 0.9962076 |
| phosphate | 2000-2009 | 1.0050862 | 1.0052750 |
| phosphate | 2010-2020 | 1.0016116 | 1.0031516 |
| salinity | 1989-1999 | -0.0016439 | -0.0012000 |
| salinity | 2000-2009 | -0.0009812 | -0.0012000 |
| salinity | 2010-2020 | -0.0008173 | -0.0009442 |
| silicate | 1989-1999 | 0.9994382 | 1.0012621 |
| silicate | 2000-2009 | 1.0045634 | 1.0058000 |
| silicate | 2010-2020 | 1.0076910 | 1.0101825 |
| talk | 1989-1999 | 3.0075385 | 2.5782000 |
| talk | 2000-2009 | 2.3614576 | 2.9766000 |
| talk | 2010-2020 | 3.3860085 | 3.8736858 |
| tco2 | 1989-1999 | -0.7801709 | -0.3723461 |
| tco2 | 2000-2009 | -2.6973312 | -2.5524500 |
| tco2 | 2010-2020 | -2.0787148 | -1.9810457 |
p_crossover_ts <- xover_IO_1990 %>%
ggplot(aes(date_B, offset, col = RV)) +
geom_hline(data = hline_intercept, aes(yintercept = intercept)) +
geom_point(shape = 21) +
scale_color_brewer(palette = "Set1") +
facet_grid(parameter ~ ., scales = "free_y") +
labs(title = "Crossover 316N199XXXXX") +
theme(
legend.position = "bottom",
legend.direction = "vertical",
axis.title.x = element_blank()
)
p_crossover_decadal <-
ggplot() +
geom_hline(data = hline_intercept, aes(yintercept = intercept)) +
geom_violin(data = xover_IO_1990_decade,
aes(x = decade, y = offset), fill="gold") +
geom_boxplot(data = xover_IO_1990_decade,
aes(x = decade, y = offset),
width = 0.2) +
facet_grid(parameter ~ ., scales = "free_y") +
labs(title = "Decadal offsets") +
theme(axis.title.x = element_blank(),
axis.text.x = element_text(angle = 90))
p_crossover_ts + p_crossover_decadal +
plot_layout(widths = c(2, 1))

rm(p_crossover_ts, p_crossover_decadal)
p_crossover_ts <- xover_IO_1990 %>%
ggplot(aes(date_B, offset_adj, col = RV)) +
geom_hline(data = hline_intercept, aes(yintercept = intercept)) +
geom_point(shape = 21) +
scale_color_brewer(palette = "Set1") +
facet_grid(parameter ~ ., scales = "free_y") +
labs(title = "Crossover 316N199XXXXX") +
theme(
legend.position = "bottom",
legend.direction = "vertical",
axis.title.x = element_blank()
)
p_crossover_decadal <-
ggplot() +
geom_hline(data = hline_intercept, aes(yintercept = intercept)) +
geom_violin(data = xover_IO_1990_decade,
aes(x = decade, y = offset_adj), fill="gold") +
geom_boxplot(data = xover_IO_1990_decade,
aes(x = decade, y = offset_adj),
width = 0.2) +
facet_grid(parameter ~ ., scales = "free_y") +
labs(title = "Decadal offsets") +
theme(axis.title.x = element_blank(),
axis.text.x = element_text(angle = 90))
p_crossover_ts + p_crossover_decadal +
plot_layout(widths = c(2, 1))

rm(p_crossover_ts, p_crossover_decadal)
# rm(xover_IO_1990, xover_IO_1990_decade)
In this section, I analyse GLODAP’s crossover data separately for each of 5 subbasins. For this purpose, each cruise is taken into account that provided at least one measurement in the respective subbasin, irrespective of measurements done outside this subbasin.
Here, I filter all crossover and use only those were both cruises covered the basin of interest.
# reformat basin labels
basinmask_5 <- basinmask_5 %>%
mutate(
basin = str_replace(basin, "_", ". "),
basin = fct_relevel(
basin,
"N. Pacific",
"S. Pacific",
"N. Atlantic",
"S. Atlantic",
"Indian"
)
)
basins <- unique(basinmask_5$basin)
# basins <- basins[5]
GLODAP <- inner_join(GLODAP, basinmask_5)
GLODAP <- GLODAP %>%
mutate(decade = m_grid_decade(year))
# remove cruise with phosphate offset > 1.3
GLODAP <- GLODAP %>%
filter(cruise_expocode != "18LU20080702")
# loop over all 5 subbasins
for (i_basin in basins) {
# i_basin <- basins[5]
# retrieve subbasin expocodes
expocodes_basin <- GLODAP %>%
filter(basin == i_basin,
!is.na(decade)) %>%
count(cruise_expocode)
# remove expocodes with observations outside decades
expocodes_basin_out <- GLODAP %>%
filter(basin == i_basin,
is.na(decade)) %>%
distinct(cruise_expocode) %>%
pull()
expocodes_basin <- expocodes_basin %>%
filter(!(cruise_expocode %in% expocodes_basin_out))
rm(expocodes_basin_out)
GLODAP_basin <- GLODAP %>%
filter(cruise_expocode %in% expocodes_basin$cruise_expocode)
# subset cruise with all qc flag = 1
expocodes_basin_qc <- GLODAP_basin %>%
select(cruise_expocode, ends_with("qc")) %>%
filter(if_all(ends_with("qc"), ~ . == 1)) %>%
distinct(cruise_expocode) %>%
pull(cruise_expocode)
# subset cruise with all f flag = 2
expocodes_basin_f <- GLODAP_basin %>%
select(cruise_expocode, ends_with("f")) %>%
filter(if_all(ends_with("f"), ~ . == 2)) %>%
distinct(cruise_expocode) %>%
pull(cruise_expocode)
# join qc and f cruises and identify lower number of observations
expocodes_basin <- expocodes_basin %>%
mutate(
parameter_coverage = if_else(
cruise_expocode %in% expocodes_basin_qc &
cruise_expocode %in% expocodes_basin_f,
"full",
"partial"
)
)
rm(expocodes_basin_f, expocodes_basin_qc)
GLODAP_basin_grid <- GLODAP_basin %>%
count(cruise_expocode, lat, lon, decade)
print(
map +
geom_tile(data = GLODAP_basin_grid,
aes(lon, lat, fill = n)) +
scale_fill_viridis_c(
option = "magma",
direction = -1,
trans = "log10"
) +
labs(title = i_basin) +
facet_grid(decade ~ .) +
theme(legend.title = element_blank())
)
GLODAP_basin_grid <- full_join(GLODAP_basin_grid %>% select(-n),
expocodes_basin)
print(
map +
geom_tile(
data = GLODAP_basin_grid %>% filter(parameter_coverage == "partial"),
aes(lon, lat, fill = "partial")
) +
geom_tile(
data = GLODAP_basin_grid %>% filter(parameter_coverage == "full"),
aes(lon, lat, fill = "full")
) +
scale_fill_brewer(palette = "Set1") +
labs(title = i_basin) +
facet_grid(decade ~ .) +
theme(legend.title = element_blank())
)
# only for the N Pacifc we remove xover from cruises that go further south than 40S
if(i_basin %in% c("N. Pacific", "Indian")){
expocodes_basin_removed_40S <- GLODAP_basin_grid %>%
filter(lat < -40) %>%
distinct(cruise_expocode) %>%
pull()
print(
map +
geom_tile(
data = GLODAP_basin_grid %>%
filter(
parameter_coverage == "partial" &
cruise_expocode %in% expocodes_basin_removed_40S
),
aes(lon, lat, fill = "partial")
) +
geom_tile(
data = GLODAP_basin_grid %>%
filter(
parameter_coverage == "full" &
cruise_expocode %in% expocodes_basin_removed_40S
),
aes(lon, lat, fill = "full")
) +
scale_fill_brewer(palette = "Set1") +
labs(title = i_basin,
subtitle = "Removed cruises") +
facet_grid(decade ~ .) +
theme(legend.title = element_blank())
)
expocodes_basin <- expocodes_basin %>%
filter(!(cruise_expocode %in% expocodes_basin_removed_40S))
if (i_basin %in% c("N. Pacific")) {
expocodes_xover_NP <- expocodes_basin
}
if (i_basin %in% c("Indian")) {
expocodes_xover_IO <- expocodes_basin
}
print(
map +
geom_tile(
data = GLODAP_basin_grid %>% filter(parameter_coverage == "full"),
aes(lon, lat, fill = "full - all")
) +
geom_tile(
data = GLODAP_basin_grid %>%
filter(
parameter_coverage == "full" &
cruise_expocode %in% expocodes_basin$cruise_expocode
),
aes(lon, lat, fill = "full - used")
) +
scale_fill_brewer(palette = "Set1") +
labs(title = i_basin,
subtitle = "Maintained cruises") +
facet_grid(decade ~ .) +
theme(legend.title = element_blank())
)
}
# filter crossover with both cruises falling into subbasin
xover_basin <- xover %>%
filter(
cruise_A %in% expocodes_basin$cruise_expocode &
cruise_B %in% expocodes_basin$cruise_expocode
)
xover_basin <- xover_basin %>%
mutate(basin = i_basin)
# combine with cruise meta data
xover_basin <- left_join(
xover_basin,
expocodes_basin %>%
rename(
cruise_A = cruise_expocode,
n_A = n,
parameter_coverage_A = parameter_coverage
)
)
xover_basin <- left_join(
xover_basin,
expocodes_basin %>%
rename(
cruise_B = cruise_expocode,
n_B = n,
parameter_coverage_B = parameter_coverage
)
)
xover_basin <- xover_basin %>%
mutate(
parameter_coverage = if_else(
parameter_coverage_A == "full" & parameter_coverage_B == "full",
"full",
"partial"
),
n = n_A + n_B
) %>%
select(-c(parameter_coverage_A, parameter_coverage_B))
# reverse later cruise to cruise A
xover_basin_A <- xover_basin %>%
filter(date_A > date_B)
xover_basin_B <- xover_basin %>%
filter(date_A <= date_B)
xover_basin_B_rev <- m_xover_reverse(df = xover_basin_B)
xover_basin <- bind_rows(xover_basin_A,
xover_basin_B_rev)
rm(xover_basin_A,
xover_basin_B,
xover_basin_B_rev)
if (exists("xover_basin_all")) {
xover_basin_all <-
bind_rows(xover_basin_all, xover_basin)
}
if (!exists("xover_basin_all")) {
xover_basin_all <- xover_basin
}
print(
xover_basin %>%
filter(
!is.na(offset_adj),
parameter %in% c("talk", "tco2"),
parameter_coverage == "full"
) %>%
mutate(offset_adj = cut(
offset_adj, c(-Inf, -5, -2, -1, 1, 2, 5, Inf)
)) %>%
group_split(parameter) %>%
# head(1) %>%
map(
~ ggplot(data = .x,
aes(
date_A, date_B, fill = offset_adj, size = n
)) +
geom_point(alpha = 0.5, shape = 21) +
scale_fill_discrete_diverging(palette = "Blue-Red", drop = FALSE) +
labs(title = paste(i_basin, "|", .x$parameter, "| full")) +
coord_fixed(xlim = c(ymd("1990-01-01"), ymd("2021-01-01")),
ylim = c(ymd("1990-01-01"), ymd("2021-01-01")))
)
)
print(
xover_basin %>%
filter(
!is.na(offset_adj),
parameter %in% c("phosphate"),
parameter_coverage == "full"
) %>%
mutate(offset_adj = cut(
offset_adj, 1 + c(-Inf, -5, -2, -1, 1, 2, 5, Inf) /
100
)) %>%
group_split(parameter) %>%
# head(1) %>%
map(
~ ggplot(data = .x,
aes(
date_A, date_B, fill = offset_adj, size = n
)) +
geom_point(alpha = 0.5, shape = 21) +
scale_fill_discrete_diverging(palette = "Blue-Red", drop = FALSE) +
labs(title = paste(i_basin, "|", .x$parameter, "| full")) +
coord_fixed(xlim = c(ymd("1990-01-01"), ymd("2021-01-01")),
ylim = c(ymd("1990-01-01"), ymd("2021-01-01")))
)
)
print(
xover_basin %>%
filter(!is.na(offset_adj),
parameter %in% c("talk", "tco2")) %>%
mutate(offset_adj = cut(
offset_adj, c(-Inf, -5, -2, -1, 1, 2, 5, Inf)
)) %>%
group_split(parameter) %>%
# head(1) %>%
map(
~ ggplot(data = .x,
aes(
date_A, date_B, fill = offset_adj, size = n
)) +
geom_point(alpha = 0.5, shape = 21) +
scale_fill_discrete_diverging(palette = "Blue-Red", drop = FALSE) +
labs(title = paste(i_basin, "|", .x$parameter, "| partial")) +
coord_fixed(xlim = c(ymd("1990-01-01"), ymd("2021-01-01")),
ylim = c(ymd("1990-01-01"), ymd("2021-01-01")))
)
)
print(
xover_basin %>%
filter(!is.na(offset_adj),
parameter %in% c("phosphate")) %>%
mutate(offset_adj = cut(
offset_adj, 1 + c(-Inf, -5, -2, -1, 1, 2, 5, Inf) /
100
)) %>%
group_split(basin, parameter) %>%
# head(1) %>%
map(
~ ggplot(data = .x,
aes(
date_A, date_B, fill = offset_adj, size = n
)) +
geom_point(alpha = 0.5, shape = 21) +
scale_fill_discrete_diverging(palette = "Blue-Red", drop = FALSE) +
labs(title = paste(i_basin, "|", .x$parameter, "| partial")) +
coord_fixed(xlim = c(ymd("1990-01-01"), ymd("2021-01-01")),
ylim = c(ymd("1990-01-01"), ymd("2021-01-01")))
)
)
}


[[1]]

| Version | Author | Date |
|---|---|---|
| 15c6091 | jens-daniel-mueller | 2022-04-12 |
| 6d9a172 | jens-daniel-mueller | 2022-04-12 |
| b788368 | jens-daniel-mueller | 2022-04-06 |
| 71f5724 | jens-daniel-mueller | 2022-04-06 |
| f4c820e | jens-daniel-mueller | 2022-04-06 |
| 37dce62 | jens-daniel-mueller | 2022-04-06 |
| 1f9c888 | jens-daniel-mueller | 2022-04-05 |
| f088f55 | jens-daniel-mueller | 2022-04-01 |
| dde77eb | jens-daniel-mueller | 2022-04-01 |
| 84ca078 | jens-daniel-mueller | 2022-03-11 |
| 25fef5b | jens-daniel-mueller | 2022-03-11 |
[[2]]

| Version | Author | Date |
|---|---|---|
| 15c6091 | jens-daniel-mueller | 2022-04-12 |
| 6d9a172 | jens-daniel-mueller | 2022-04-12 |
| b788368 | jens-daniel-mueller | 2022-04-06 |
| 71f5724 | jens-daniel-mueller | 2022-04-06 |
| f4c820e | jens-daniel-mueller | 2022-04-06 |
| 37dce62 | jens-daniel-mueller | 2022-04-06 |
| 1f9c888 | jens-daniel-mueller | 2022-04-05 |
| f088f55 | jens-daniel-mueller | 2022-04-01 |
| dde77eb | jens-daniel-mueller | 2022-04-01 |
| 84ca078 | jens-daniel-mueller | 2022-03-11 |
| 25fef5b | jens-daniel-mueller | 2022-03-11 |
[[1]]

| Version | Author | Date |
|---|---|---|
| 15c6091 | jens-daniel-mueller | 2022-04-12 |
| 6d9a172 | jens-daniel-mueller | 2022-04-12 |
| b788368 | jens-daniel-mueller | 2022-04-06 |
| 71f5724 | jens-daniel-mueller | 2022-04-06 |
| f4c820e | jens-daniel-mueller | 2022-04-06 |
| 37dce62 | jens-daniel-mueller | 2022-04-06 |
| 1f9c888 | jens-daniel-mueller | 2022-04-05 |
| f088f55 | jens-daniel-mueller | 2022-04-01 |
| dde77eb | jens-daniel-mueller | 2022-04-01 |
| ee27ba1 | jens-daniel-mueller | 2022-03-14 |
| 84ca078 | jens-daniel-mueller | 2022-03-11 |
| 25fef5b | jens-daniel-mueller | 2022-03-11 |
[[1]]

| Version | Author | Date |
|---|---|---|
| 15c6091 | jens-daniel-mueller | 2022-04-12 |
| 6d9a172 | jens-daniel-mueller | 2022-04-12 |
| b788368 | jens-daniel-mueller | 2022-04-06 |
| 71f5724 | jens-daniel-mueller | 2022-04-06 |
| f4c820e | jens-daniel-mueller | 2022-04-06 |
| 37dce62 | jens-daniel-mueller | 2022-04-06 |
| 1f9c888 | jens-daniel-mueller | 2022-04-05 |
| f088f55 | jens-daniel-mueller | 2022-04-01 |
| dde77eb | jens-daniel-mueller | 2022-04-01 |
| 744b90f | jens-daniel-mueller | 2022-03-11 |
| 84ca078 | jens-daniel-mueller | 2022-03-11 |
| 25fef5b | jens-daniel-mueller | 2022-03-11 |
[[2]]

| Version | Author | Date |
|---|---|---|
| 15c6091 | jens-daniel-mueller | 2022-04-12 |
| 6d9a172 | jens-daniel-mueller | 2022-04-12 |
| b788368 | jens-daniel-mueller | 2022-04-06 |
| 71f5724 | jens-daniel-mueller | 2022-04-06 |
| f4c820e | jens-daniel-mueller | 2022-04-06 |
| 37dce62 | jens-daniel-mueller | 2022-04-06 |
| 1f9c888 | jens-daniel-mueller | 2022-04-05 |
| f088f55 | jens-daniel-mueller | 2022-04-01 |
| dde77eb | jens-daniel-mueller | 2022-04-01 |
| 744b90f | jens-daniel-mueller | 2022-03-11 |
| 84ca078 | jens-daniel-mueller | 2022-03-11 |
| 25fef5b | jens-daniel-mueller | 2022-03-11 |
[[1]]

| Version | Author | Date |
|---|---|---|
| 15c6091 | jens-daniel-mueller | 2022-04-12 |
| 6d9a172 | jens-daniel-mueller | 2022-04-12 |
| b788368 | jens-daniel-mueller | 2022-04-06 |
| 71f5724 | jens-daniel-mueller | 2022-04-06 |
| f4c820e | jens-daniel-mueller | 2022-04-06 |
| 37dce62 | jens-daniel-mueller | 2022-04-06 |
| 1f9c888 | jens-daniel-mueller | 2022-04-05 |
| f088f55 | jens-daniel-mueller | 2022-04-01 |
| dde77eb | jens-daniel-mueller | 2022-04-01 |
| 744b90f | jens-daniel-mueller | 2022-03-11 |
| 84ca078 | jens-daniel-mueller | 2022-03-11 |
| 25fef5b | jens-daniel-mueller | 2022-03-11 |

| Version | Author | Date |
|---|---|---|
| 15c6091 | jens-daniel-mueller | 2022-04-12 |
| 6d9a172 | jens-daniel-mueller | 2022-04-12 |
| fd1d0ce | jens-daniel-mueller | 2022-04-11 |
| aea9afe | jens-daniel-mueller | 2022-04-07 |
| b788368 | jens-daniel-mueller | 2022-04-06 |
| 71f5724 | jens-daniel-mueller | 2022-04-06 |
| f4c820e | jens-daniel-mueller | 2022-04-06 |
| 37dce62 | jens-daniel-mueller | 2022-04-06 |
| 1f9c888 | jens-daniel-mueller | 2022-04-05 |
| f088f55 | jens-daniel-mueller | 2022-04-01 |
| dde77eb | jens-daniel-mueller | 2022-04-01 |
| 84ca078 | jens-daniel-mueller | 2022-03-11 |
| 25fef5b | jens-daniel-mueller | 2022-03-11 |

| Version | Author | Date |
|---|---|---|
| 15c6091 | jens-daniel-mueller | 2022-04-12 |
| 6d9a172 | jens-daniel-mueller | 2022-04-12 |
| fd1d0ce | jens-daniel-mueller | 2022-04-11 |
| aea9afe | jens-daniel-mueller | 2022-04-07 |
| b788368 | jens-daniel-mueller | 2022-04-06 |
| 71f5724 | jens-daniel-mueller | 2022-04-06 |
| f4c820e | jens-daniel-mueller | 2022-04-06 |
| 37dce62 | jens-daniel-mueller | 2022-04-06 |
| 1f9c888 | jens-daniel-mueller | 2022-04-05 |
| dde77eb | jens-daniel-mueller | 2022-04-01 |
| 84ca078 | jens-daniel-mueller | 2022-03-11 |
| 25fef5b | jens-daniel-mueller | 2022-03-11 |
[[1]]

| Version | Author | Date |
|---|---|---|
| 15c6091 | jens-daniel-mueller | 2022-04-12 |
| 6d9a172 | jens-daniel-mueller | 2022-04-12 |
| fd1d0ce | jens-daniel-mueller | 2022-04-11 |
| b788368 | jens-daniel-mueller | 2022-04-06 |
| 71f5724 | jens-daniel-mueller | 2022-04-06 |
| f4c820e | jens-daniel-mueller | 2022-04-06 |
| 37dce62 | jens-daniel-mueller | 2022-04-06 |
| 1f9c888 | jens-daniel-mueller | 2022-04-05 |
| f088f55 | jens-daniel-mueller | 2022-04-01 |
| dde77eb | jens-daniel-mueller | 2022-04-01 |
| 84ca078 | jens-daniel-mueller | 2022-03-11 |
[[2]]

| Version | Author | Date |
|---|---|---|
| 15c6091 | jens-daniel-mueller | 2022-04-12 |
| 6d9a172 | jens-daniel-mueller | 2022-04-12 |
| fd1d0ce | jens-daniel-mueller | 2022-04-11 |
| b788368 | jens-daniel-mueller | 2022-04-06 |
| 71f5724 | jens-daniel-mueller | 2022-04-06 |
| f4c820e | jens-daniel-mueller | 2022-04-06 |
| 37dce62 | jens-daniel-mueller | 2022-04-06 |
| 1f9c888 | jens-daniel-mueller | 2022-04-05 |
| f088f55 | jens-daniel-mueller | 2022-04-01 |
| dde77eb | jens-daniel-mueller | 2022-04-01 |
| ee27ba1 | jens-daniel-mueller | 2022-03-14 |
| 84ca078 | jens-daniel-mueller | 2022-03-11 |
[[1]]

| Version | Author | Date |
|---|---|---|
| 15c6091 | jens-daniel-mueller | 2022-04-12 |
| 6d9a172 | jens-daniel-mueller | 2022-04-12 |
| fd1d0ce | jens-daniel-mueller | 2022-04-11 |
| b788368 | jens-daniel-mueller | 2022-04-06 |
| 71f5724 | jens-daniel-mueller | 2022-04-06 |
| f4c820e | jens-daniel-mueller | 2022-04-06 |
| 37dce62 | jens-daniel-mueller | 2022-04-06 |
| 1f9c888 | jens-daniel-mueller | 2022-04-05 |
| f088f55 | jens-daniel-mueller | 2022-04-01 |
| dde77eb | jens-daniel-mueller | 2022-04-01 |
| ee27ba1 | jens-daniel-mueller | 2022-03-14 |
| 84ca078 | jens-daniel-mueller | 2022-03-11 |
[[1]]

| Version | Author | Date |
|---|---|---|
| 15c6091 | jens-daniel-mueller | 2022-04-12 |
| 6d9a172 | jens-daniel-mueller | 2022-04-12 |
| fd1d0ce | jens-daniel-mueller | 2022-04-11 |
| b788368 | jens-daniel-mueller | 2022-04-06 |
| 71f5724 | jens-daniel-mueller | 2022-04-06 |
| f4c820e | jens-daniel-mueller | 2022-04-06 |
| 37dce62 | jens-daniel-mueller | 2022-04-06 |
| 1f9c888 | jens-daniel-mueller | 2022-04-05 |
| f088f55 | jens-daniel-mueller | 2022-04-01 |
| dde77eb | jens-daniel-mueller | 2022-04-01 |
| 744b90f | jens-daniel-mueller | 2022-03-11 |
| 84ca078 | jens-daniel-mueller | 2022-03-11 |
[[2]]

| Version | Author | Date |
|---|---|---|
| 15c6091 | jens-daniel-mueller | 2022-04-12 |
| 6d9a172 | jens-daniel-mueller | 2022-04-12 |
| fd1d0ce | jens-daniel-mueller | 2022-04-11 |
| b788368 | jens-daniel-mueller | 2022-04-06 |
| 71f5724 | jens-daniel-mueller | 2022-04-06 |
| f4c820e | jens-daniel-mueller | 2022-04-06 |
| 37dce62 | jens-daniel-mueller | 2022-04-06 |
| 1f9c888 | jens-daniel-mueller | 2022-04-05 |
| f088f55 | jens-daniel-mueller | 2022-04-01 |
| dde77eb | jens-daniel-mueller | 2022-04-01 |
| 744b90f | jens-daniel-mueller | 2022-03-11 |
| 84ca078 | jens-daniel-mueller | 2022-03-11 |
[[1]]

| Version | Author | Date |
|---|---|---|
| 15c6091 | jens-daniel-mueller | 2022-04-12 |
| 6d9a172 | jens-daniel-mueller | 2022-04-12 |
| fd1d0ce | jens-daniel-mueller | 2022-04-11 |
| b788368 | jens-daniel-mueller | 2022-04-06 |
| 71f5724 | jens-daniel-mueller | 2022-04-06 |
| f4c820e | jens-daniel-mueller | 2022-04-06 |
| 37dce62 | jens-daniel-mueller | 2022-04-06 |
| 1f9c888 | jens-daniel-mueller | 2022-04-05 |
| f088f55 | jens-daniel-mueller | 2022-04-01 |
| dde77eb | jens-daniel-mueller | 2022-04-01 |
| 744b90f | jens-daniel-mueller | 2022-03-11 |
| 84ca078 | jens-daniel-mueller | 2022-03-11 |

| Version | Author | Date |
|---|---|---|
| 15c6091 | jens-daniel-mueller | 2022-04-12 |
| 6d9a172 | jens-daniel-mueller | 2022-04-12 |
| aea9afe | jens-daniel-mueller | 2022-04-07 |
| b788368 | jens-daniel-mueller | 2022-04-06 |
| 71f5724 | jens-daniel-mueller | 2022-04-06 |
| f4c820e | jens-daniel-mueller | 2022-04-06 |
| 37dce62 | jens-daniel-mueller | 2022-04-06 |
| 1f9c888 | jens-daniel-mueller | 2022-04-05 |
| f088f55 | jens-daniel-mueller | 2022-04-01 |
| dde77eb | jens-daniel-mueller | 2022-04-01 |
| 84ca078 | jens-daniel-mueller | 2022-03-11 |

| Version | Author | Date |
|---|---|---|
| 15c6091 | jens-daniel-mueller | 2022-04-12 |
| 6d9a172 | jens-daniel-mueller | 2022-04-12 |
| aea9afe | jens-daniel-mueller | 2022-04-07 |
| b788368 | jens-daniel-mueller | 2022-04-06 |
| 71f5724 | jens-daniel-mueller | 2022-04-06 |
| f4c820e | jens-daniel-mueller | 2022-04-06 |
| 37dce62 | jens-daniel-mueller | 2022-04-06 |
| 1f9c888 | jens-daniel-mueller | 2022-04-05 |
| dde77eb | jens-daniel-mueller | 2022-04-01 |
| 84ca078 | jens-daniel-mueller | 2022-03-11 |

| Version | Author | Date |
|---|---|---|
| 15c6091 | jens-daniel-mueller | 2022-04-12 |
| 6d9a172 | jens-daniel-mueller | 2022-04-12 |
| 552e4bc | jens-daniel-mueller | 2022-04-08 |
| aea9afe | jens-daniel-mueller | 2022-04-07 |
| b788368 | jens-daniel-mueller | 2022-04-06 |
| 71f5724 | jens-daniel-mueller | 2022-04-06 |
| f4c820e | jens-daniel-mueller | 2022-04-06 |
| 37dce62 | jens-daniel-mueller | 2022-04-06 |
| 1f9c888 | jens-daniel-mueller | 2022-04-05 |
| f088f55 | jens-daniel-mueller | 2022-04-01 |
| dde77eb | jens-daniel-mueller | 2022-04-01 |
| 84ca078 | jens-daniel-mueller | 2022-03-11 |

| Version | Author | Date |
|---|---|---|
| 013fe68 | jens-daniel-mueller | 2022-04-12 |
| 15c6091 | jens-daniel-mueller | 2022-04-12 |
| 6d9a172 | jens-daniel-mueller | 2022-04-12 |
| 552e4bc | jens-daniel-mueller | 2022-04-08 |
| aea9afe | jens-daniel-mueller | 2022-04-07 |
| b788368 | jens-daniel-mueller | 2022-04-06 |
| 71f5724 | jens-daniel-mueller | 2022-04-06 |
| f4c820e | jens-daniel-mueller | 2022-04-06 |
| 37dce62 | jens-daniel-mueller | 2022-04-06 |
| 1f9c888 | jens-daniel-mueller | 2022-04-05 |
| f088f55 | jens-daniel-mueller | 2022-04-01 |
| dde77eb | jens-daniel-mueller | 2022-04-01 |
| 84ca078 | jens-daniel-mueller | 2022-03-11 |
[[1]]

| Version | Author | Date |
|---|---|---|
| 15c6091 | jens-daniel-mueller | 2022-04-12 |
| 6d9a172 | jens-daniel-mueller | 2022-04-12 |
| 552e4bc | jens-daniel-mueller | 2022-04-08 |
| aea9afe | jens-daniel-mueller | 2022-04-07 |
| b788368 | jens-daniel-mueller | 2022-04-06 |
| 71f5724 | jens-daniel-mueller | 2022-04-06 |
| f4c820e | jens-daniel-mueller | 2022-04-06 |
| 37dce62 | jens-daniel-mueller | 2022-04-06 |
| 1f9c888 | jens-daniel-mueller | 2022-04-05 |
| f088f55 | jens-daniel-mueller | 2022-04-01 |
| dde77eb | jens-daniel-mueller | 2022-04-01 |
| ee27ba1 | jens-daniel-mueller | 2022-03-14 |
| 84ca078 | jens-daniel-mueller | 2022-03-11 |
[[2]]

| Version | Author | Date |
|---|---|---|
| 15c6091 | jens-daniel-mueller | 2022-04-12 |
| 6d9a172 | jens-daniel-mueller | 2022-04-12 |
| 552e4bc | jens-daniel-mueller | 2022-04-08 |
| aea9afe | jens-daniel-mueller | 2022-04-07 |
| b788368 | jens-daniel-mueller | 2022-04-06 |
| 71f5724 | jens-daniel-mueller | 2022-04-06 |
| f4c820e | jens-daniel-mueller | 2022-04-06 |
| 37dce62 | jens-daniel-mueller | 2022-04-06 |
| 1f9c888 | jens-daniel-mueller | 2022-04-05 |
| f088f55 | jens-daniel-mueller | 2022-04-01 |
| dde77eb | jens-daniel-mueller | 2022-04-01 |
| 744b90f | jens-daniel-mueller | 2022-03-11 |
| 84ca078 | jens-daniel-mueller | 2022-03-11 |
[[1]]

| Version | Author | Date |
|---|---|---|
| 15c6091 | jens-daniel-mueller | 2022-04-12 |
| 6d9a172 | jens-daniel-mueller | 2022-04-12 |
| 552e4bc | jens-daniel-mueller | 2022-04-08 |
| aea9afe | jens-daniel-mueller | 2022-04-07 |
| b788368 | jens-daniel-mueller | 2022-04-06 |
| 71f5724 | jens-daniel-mueller | 2022-04-06 |
| f4c820e | jens-daniel-mueller | 2022-04-06 |
| 37dce62 | jens-daniel-mueller | 2022-04-06 |
| 1f9c888 | jens-daniel-mueller | 2022-04-05 |
| f088f55 | jens-daniel-mueller | 2022-04-01 |
| dde77eb | jens-daniel-mueller | 2022-04-01 |
| 84ca078 | jens-daniel-mueller | 2022-03-11 |
[[1]]

| Version | Author | Date |
|---|---|---|
| 15c6091 | jens-daniel-mueller | 2022-04-12 |
| 6d9a172 | jens-daniel-mueller | 2022-04-12 |
| 552e4bc | jens-daniel-mueller | 2022-04-08 |
| aea9afe | jens-daniel-mueller | 2022-04-07 |
| b788368 | jens-daniel-mueller | 2022-04-06 |
| 71f5724 | jens-daniel-mueller | 2022-04-06 |
| f4c820e | jens-daniel-mueller | 2022-04-06 |
| 37dce62 | jens-daniel-mueller | 2022-04-06 |
| 1f9c888 | jens-daniel-mueller | 2022-04-05 |
| f088f55 | jens-daniel-mueller | 2022-04-01 |
| dde77eb | jens-daniel-mueller | 2022-04-01 |
| ee27ba1 | jens-daniel-mueller | 2022-03-14 |
| 744b90f | jens-daniel-mueller | 2022-03-11 |
| 84ca078 | jens-daniel-mueller | 2022-03-11 |
[[2]]

| Version | Author | Date |
|---|---|---|
| 15c6091 | jens-daniel-mueller | 2022-04-12 |
| 6d9a172 | jens-daniel-mueller | 2022-04-12 |
| 552e4bc | jens-daniel-mueller | 2022-04-08 |
| aea9afe | jens-daniel-mueller | 2022-04-07 |
| b788368 | jens-daniel-mueller | 2022-04-06 |
| 71f5724 | jens-daniel-mueller | 2022-04-06 |
| f4c820e | jens-daniel-mueller | 2022-04-06 |
| 37dce62 | jens-daniel-mueller | 2022-04-06 |
| 1f9c888 | jens-daniel-mueller | 2022-04-05 |
| f088f55 | jens-daniel-mueller | 2022-04-01 |
| dde77eb | jens-daniel-mueller | 2022-04-01 |
| 84ca078 | jens-daniel-mueller | 2022-03-11 |
[[1]]

| Version | Author | Date |
|---|---|---|
| 15c6091 | jens-daniel-mueller | 2022-04-12 |
| 6d9a172 | jens-daniel-mueller | 2022-04-12 |
| 552e4bc | jens-daniel-mueller | 2022-04-08 |
| aea9afe | jens-daniel-mueller | 2022-04-07 |
| b788368 | jens-daniel-mueller | 2022-04-06 |
| 71f5724 | jens-daniel-mueller | 2022-04-06 |
| f4c820e | jens-daniel-mueller | 2022-04-06 |
| 37dce62 | jens-daniel-mueller | 2022-04-06 |
| 1f9c888 | jens-daniel-mueller | 2022-04-05 |
| dde77eb | jens-daniel-mueller | 2022-04-01 |
| 84ca078 | jens-daniel-mueller | 2022-03-11 |

| Version | Author | Date |
|---|---|---|
| 15c6091 | jens-daniel-mueller | 2022-04-12 |
| 6d9a172 | jens-daniel-mueller | 2022-04-12 |
| fd1d0ce | jens-daniel-mueller | 2022-04-11 |
| 552e4bc | jens-daniel-mueller | 2022-04-08 |
| aea9afe | jens-daniel-mueller | 2022-04-07 |
| b788368 | jens-daniel-mueller | 2022-04-06 |
| 71f5724 | jens-daniel-mueller | 2022-04-06 |
| f4c820e | jens-daniel-mueller | 2022-04-06 |
| 37dce62 | jens-daniel-mueller | 2022-04-06 |
| 1f9c888 | jens-daniel-mueller | 2022-04-05 |
| f088f55 | jens-daniel-mueller | 2022-04-01 |
| dde77eb | jens-daniel-mueller | 2022-04-01 |
| 84ca078 | jens-daniel-mueller | 2022-03-11 |

| Version | Author | Date |
|---|---|---|
| 15c6091 | jens-daniel-mueller | 2022-04-12 |
| 6d9a172 | jens-daniel-mueller | 2022-04-12 |
| fd1d0ce | jens-daniel-mueller | 2022-04-11 |
| 552e4bc | jens-daniel-mueller | 2022-04-08 |
| aea9afe | jens-daniel-mueller | 2022-04-07 |
| b788368 | jens-daniel-mueller | 2022-04-06 |
| 71f5724 | jens-daniel-mueller | 2022-04-06 |
| f4c820e | jens-daniel-mueller | 2022-04-06 |
| 37dce62 | jens-daniel-mueller | 2022-04-06 |
| 1f9c888 | jens-daniel-mueller | 2022-04-05 |
| f088f55 | jens-daniel-mueller | 2022-04-01 |
| dde77eb | jens-daniel-mueller | 2022-04-01 |
| ee27ba1 | jens-daniel-mueller | 2022-03-14 |
| 84ca078 | jens-daniel-mueller | 2022-03-11 |
[[1]]

| Version | Author | Date |
|---|---|---|
| 15c6091 | jens-daniel-mueller | 2022-04-12 |
| 6d9a172 | jens-daniel-mueller | 2022-04-12 |
| 552e4bc | jens-daniel-mueller | 2022-04-08 |
| aea9afe | jens-daniel-mueller | 2022-04-07 |
| b788368 | jens-daniel-mueller | 2022-04-06 |
| 71f5724 | jens-daniel-mueller | 2022-04-06 |
| f4c820e | jens-daniel-mueller | 2022-04-06 |
| 37dce62 | jens-daniel-mueller | 2022-04-06 |
| 1f9c888 | jens-daniel-mueller | 2022-04-05 |
| f088f55 | jens-daniel-mueller | 2022-04-01 |
| dde77eb | jens-daniel-mueller | 2022-04-01 |
| 84ca078 | jens-daniel-mueller | 2022-03-11 |
[[2]]

| Version | Author | Date |
|---|---|---|
| 15c6091 | jens-daniel-mueller | 2022-04-12 |
| 6d9a172 | jens-daniel-mueller | 2022-04-12 |
| 552e4bc | jens-daniel-mueller | 2022-04-08 |
| aea9afe | jens-daniel-mueller | 2022-04-07 |
| b788368 | jens-daniel-mueller | 2022-04-06 |
| 71f5724 | jens-daniel-mueller | 2022-04-06 |
| f4c820e | jens-daniel-mueller | 2022-04-06 |
| 37dce62 | jens-daniel-mueller | 2022-04-06 |
| 1f9c888 | jens-daniel-mueller | 2022-04-05 |
| f088f55 | jens-daniel-mueller | 2022-04-01 |
| dde77eb | jens-daniel-mueller | 2022-04-01 |
| 744b90f | jens-daniel-mueller | 2022-03-11 |
| 84ca078 | jens-daniel-mueller | 2022-03-11 |
[[1]]

| Version | Author | Date |
|---|---|---|
| 15c6091 | jens-daniel-mueller | 2022-04-12 |
| 6d9a172 | jens-daniel-mueller | 2022-04-12 |
| 552e4bc | jens-daniel-mueller | 2022-04-08 |
| aea9afe | jens-daniel-mueller | 2022-04-07 |
| b788368 | jens-daniel-mueller | 2022-04-06 |
| 71f5724 | jens-daniel-mueller | 2022-04-06 |
| f4c820e | jens-daniel-mueller | 2022-04-06 |
| 37dce62 | jens-daniel-mueller | 2022-04-06 |
| 1f9c888 | jens-daniel-mueller | 2022-04-05 |
| f088f55 | jens-daniel-mueller | 2022-04-01 |
| dde77eb | jens-daniel-mueller | 2022-04-01 |
| 744b90f | jens-daniel-mueller | 2022-03-11 |
| 84ca078 | jens-daniel-mueller | 2022-03-11 |
[[1]]

| Version | Author | Date |
|---|---|---|
| 15c6091 | jens-daniel-mueller | 2022-04-12 |
| 6d9a172 | jens-daniel-mueller | 2022-04-12 |
| 552e4bc | jens-daniel-mueller | 2022-04-08 |
| aea9afe | jens-daniel-mueller | 2022-04-07 |
| b788368 | jens-daniel-mueller | 2022-04-06 |
| 71f5724 | jens-daniel-mueller | 2022-04-06 |
| f4c820e | jens-daniel-mueller | 2022-04-06 |
| 37dce62 | jens-daniel-mueller | 2022-04-06 |
| 1f9c888 | jens-daniel-mueller | 2022-04-05 |
| f088f55 | jens-daniel-mueller | 2022-04-01 |
| dde77eb | jens-daniel-mueller | 2022-04-01 |
| 744b90f | jens-daniel-mueller | 2022-03-11 |
| 84ca078 | jens-daniel-mueller | 2022-03-11 |
[[2]]

| Version | Author | Date |
|---|---|---|
| 15c6091 | jens-daniel-mueller | 2022-04-12 |
| 6d9a172 | jens-daniel-mueller | 2022-04-12 |
| 552e4bc | jens-daniel-mueller | 2022-04-08 |
| 8f9904b | jens-daniel-mueller | 2022-04-07 |
| aea9afe | jens-daniel-mueller | 2022-04-07 |
| b788368 | jens-daniel-mueller | 2022-04-06 |
| 71f5724 | jens-daniel-mueller | 2022-04-06 |
| f4c820e | jens-daniel-mueller | 2022-04-06 |
| 37dce62 | jens-daniel-mueller | 2022-04-06 |
| 1f9c888 | jens-daniel-mueller | 2022-04-05 |
| dde77eb | jens-daniel-mueller | 2022-04-01 |
| 84ca078 | jens-daniel-mueller | 2022-03-11 |
[[1]]

| Version | Author | Date |
|---|---|---|
| 15c6091 | jens-daniel-mueller | 2022-04-12 |
| 6d9a172 | jens-daniel-mueller | 2022-04-12 |
| 552e4bc | jens-daniel-mueller | 2022-04-08 |
| 8f9904b | jens-daniel-mueller | 2022-04-07 |
| aea9afe | jens-daniel-mueller | 2022-04-07 |
| b788368 | jens-daniel-mueller | 2022-04-06 |
| 71f5724 | jens-daniel-mueller | 2022-04-06 |
| f4c820e | jens-daniel-mueller | 2022-04-06 |
| 37dce62 | jens-daniel-mueller | 2022-04-06 |
| 1f9c888 | jens-daniel-mueller | 2022-04-05 |
| dde77eb | jens-daniel-mueller | 2022-04-01 |
| 84ca078 | jens-daniel-mueller | 2022-03-11 |

| Version | Author | Date |
|---|---|---|
| 15c6091 | jens-daniel-mueller | 2022-04-12 |
| 6d9a172 | jens-daniel-mueller | 2022-04-12 |
| 552e4bc | jens-daniel-mueller | 2022-04-08 |
| aea9afe | jens-daniel-mueller | 2022-04-07 |
| b788368 | jens-daniel-mueller | 2022-04-06 |
| 71f5724 | jens-daniel-mueller | 2022-04-06 |
| f4c820e | jens-daniel-mueller | 2022-04-06 |
| 37dce62 | jens-daniel-mueller | 2022-04-06 |
| 1f9c888 | jens-daniel-mueller | 2022-04-05 |
| 84ca078 | jens-daniel-mueller | 2022-03-11 |

| Version | Author | Date |
|---|---|---|
| 15c6091 | jens-daniel-mueller | 2022-04-12 |
| 6d9a172 | jens-daniel-mueller | 2022-04-12 |
| 552e4bc | jens-daniel-mueller | 2022-04-08 |
| 8f9904b | jens-daniel-mueller | 2022-04-07 |
| aea9afe | jens-daniel-mueller | 2022-04-07 |
| b788368 | jens-daniel-mueller | 2022-04-06 |
| 71f5724 | jens-daniel-mueller | 2022-04-06 |
| f4c820e | jens-daniel-mueller | 2022-04-06 |
| 37dce62 | jens-daniel-mueller | 2022-04-06 |
| 1f9c888 | jens-daniel-mueller | 2022-04-05 |
| 84ca078 | jens-daniel-mueller | 2022-03-11 |

| Version | Author | Date |
|---|---|---|
| 15c6091 | jens-daniel-mueller | 2022-04-12 |
| 6d9a172 | jens-daniel-mueller | 2022-04-12 |
| 552e4bc | jens-daniel-mueller | 2022-04-08 |
| b788368 | jens-daniel-mueller | 2022-04-06 |
| 71f5724 | jens-daniel-mueller | 2022-04-06 |
| f4c820e | jens-daniel-mueller | 2022-04-06 |
| 37dce62 | jens-daniel-mueller | 2022-04-06 |
| 1f9c888 | jens-daniel-mueller | 2022-04-05 |
| dde77eb | jens-daniel-mueller | 2022-04-01 |
| 84ca078 | jens-daniel-mueller | 2022-03-11 |

| Version | Author | Date |
|---|---|---|
| 013fe68 | jens-daniel-mueller | 2022-04-12 |
| 15c6091 | jens-daniel-mueller | 2022-04-12 |
| 6d9a172 | jens-daniel-mueller | 2022-04-12 |
| 552e4bc | jens-daniel-mueller | 2022-04-08 |
| b788368 | jens-daniel-mueller | 2022-04-06 |
| 71f5724 | jens-daniel-mueller | 2022-04-06 |
| f4c820e | jens-daniel-mueller | 2022-04-06 |
| 37dce62 | jens-daniel-mueller | 2022-04-06 |
| 1f9c888 | jens-daniel-mueller | 2022-04-05 |
| 744b90f | jens-daniel-mueller | 2022-03-11 |
| 84ca078 | jens-daniel-mueller | 2022-03-11 |
[[1]]

| Version | Author | Date |
|---|---|---|
| 15c6091 | jens-daniel-mueller | 2022-04-12 |
| 6d9a172 | jens-daniel-mueller | 2022-04-12 |
| 552e4bc | jens-daniel-mueller | 2022-04-08 |
| 8f9904b | jens-daniel-mueller | 2022-04-07 |
| aea9afe | jens-daniel-mueller | 2022-04-07 |
| b788368 | jens-daniel-mueller | 2022-04-06 |
| 71f5724 | jens-daniel-mueller | 2022-04-06 |
| f4c820e | jens-daniel-mueller | 2022-04-06 |
| 37dce62 | jens-daniel-mueller | 2022-04-06 |
| 1f9c888 | jens-daniel-mueller | 2022-04-05 |
| 744b90f | jens-daniel-mueller | 2022-03-11 |
| 84ca078 | jens-daniel-mueller | 2022-03-11 |
[[2]]

| Version | Author | Date |
|---|---|---|
| 15c6091 | jens-daniel-mueller | 2022-04-12 |
| 6d9a172 | jens-daniel-mueller | 2022-04-12 |
| 552e4bc | jens-daniel-mueller | 2022-04-08 |
| b788368 | jens-daniel-mueller | 2022-04-06 |
| 71f5724 | jens-daniel-mueller | 2022-04-06 |
| f4c820e | jens-daniel-mueller | 2022-04-06 |
| 37dce62 | jens-daniel-mueller | 2022-04-06 |
| 1f9c888 | jens-daniel-mueller | 2022-04-05 |
| dde77eb | jens-daniel-mueller | 2022-04-01 |
| 744b90f | jens-daniel-mueller | 2022-03-11 |
| 84ca078 | jens-daniel-mueller | 2022-03-11 |
[[1]]

| Version | Author | Date |
|---|---|---|
| 15c6091 | jens-daniel-mueller | 2022-04-12 |
| 6d9a172 | jens-daniel-mueller | 2022-04-12 |
| 552e4bc | jens-daniel-mueller | 2022-04-08 |
| b788368 | jens-daniel-mueller | 2022-04-06 |
| 71f5724 | jens-daniel-mueller | 2022-04-06 |
| f4c820e | jens-daniel-mueller | 2022-04-06 |
| 37dce62 | jens-daniel-mueller | 2022-04-06 |
| 1f9c888 | jens-daniel-mueller | 2022-04-05 |
[[1]]

| Version | Author | Date |
|---|---|---|
| 15c6091 | jens-daniel-mueller | 2022-04-12 |
| 6d9a172 | jens-daniel-mueller | 2022-04-12 |
| 552e4bc | jens-daniel-mueller | 2022-04-08 |
| 8f9904b | jens-daniel-mueller | 2022-04-07 |
| aea9afe | jens-daniel-mueller | 2022-04-07 |
| b788368 | jens-daniel-mueller | 2022-04-06 |
| 71f5724 | jens-daniel-mueller | 2022-04-06 |
| f4c820e | jens-daniel-mueller | 2022-04-06 |
| 37dce62 | jens-daniel-mueller | 2022-04-06 |
| 1f9c888 | jens-daniel-mueller | 2022-04-05 |
[[2]]

| Version | Author | Date |
|---|---|---|
| 15c6091 | jens-daniel-mueller | 2022-04-12 |
| 6d9a172 | jens-daniel-mueller | 2022-04-12 |
| 552e4bc | jens-daniel-mueller | 2022-04-08 |
| b788368 | jens-daniel-mueller | 2022-04-06 |
| 71f5724 | jens-daniel-mueller | 2022-04-06 |
| f4c820e | jens-daniel-mueller | 2022-04-06 |
| 37dce62 | jens-daniel-mueller | 2022-04-06 |
| 1f9c888 | jens-daniel-mueller | 2022-04-05 |
[[1]]

| Version | Author | Date |
|---|---|---|
| 15c6091 | jens-daniel-mueller | 2022-04-12 |
| 6d9a172 | jens-daniel-mueller | 2022-04-12 |
| 552e4bc | jens-daniel-mueller | 2022-04-08 |
| b788368 | jens-daniel-mueller | 2022-04-06 |
| 71f5724 | jens-daniel-mueller | 2022-04-06 |
| f4c820e | jens-daniel-mueller | 2022-04-06 |
| 37dce62 | jens-daniel-mueller | 2022-04-06 |
| 1f9c888 | jens-daniel-mueller | 2022-04-05 |
rm(xover_basin, GLODAP_basin, GLODAP_basin_grid, expocodes_basin)
xover_basin <- xover_basin_all
rm(xover_basin_all)
# xover_basin_18LU20080702 <- xover_basin %>%
# filter(cruise_A == "18LU20080702" |
# cruise_B == "18LU20080702",
# parameter_coverage == "full")
#
#
# map +
# geom_tile(data = GLODAP %>%
# filter(cruise_expocode == "18LU20080702") %>%
# distinct(lon, lat),
# aes(lon, lat))
xover_basin <- xover_basin %>%
group_by(basin,
cruise_A,
cruise_B,
date_A,
date_B,
n_A,
n_B,
n,
parameter,
parameter_coverage) %>%
summarise(
# offset_adj_sd = sd(offset_adj, na.rm = TRUE),
offset_adj = mean(offset_adj, na.rm = TRUE)
) %>%
ungroup()
# xover_basin %>%
# ggplot(aes(offset_adj_sd)) +
# geom_histogram() +
# facet_grid(basin ~ parameter, scales = "free_x")
xover_basin <- xover_basin %>%
filter(parameter %in% c("tco2", "talk", "phosphate")) %>%
pivot_wider(names_from = parameter,
values_from = offset_adj)
GLODAP_deep_phosphate <- GLODAP %>%
filter(depth > 1500) %>%
group_by(basin) %>%
summarise(phosphate_mean = mean(phosphate, na.rm = TRUE)) %>%
ungroup()
xover_basin <- full_join(xover_basin,
GLODAP_deep_phosphate)
rm(GLODAP_deep_phosphate)
xover_basin <- xover_basin %>%
mutate(
cstar_tco2 = tco2,
cstar_talk = -0.5 * talk,
phosphate_fac = phosphate - 1,
cstar_phosphate = -117 * phosphate_fac * phosphate_mean - 16 * 0.5 * phosphate_fac * phosphate_mean
) %>%
select(-phosphate_fac)
xover_basin %>%
select(starts_with("cstar")) %>%
pivot_longer(starts_with("cstar"),
names_to = "parameter",
values_to = "value") %>%
ggplot(aes(value)) +
geom_histogram() +
facet_wrap(~parameter, scales = "free_x")

| Version | Author | Date |
|---|---|---|
| 15c6091 | jens-daniel-mueller | 2022-04-12 |
| 6d9a172 | jens-daniel-mueller | 2022-04-12 |
| fd1d0ce | jens-daniel-mueller | 2022-04-11 |
| 552e4bc | jens-daniel-mueller | 2022-04-08 |
| 8f9904b | jens-daniel-mueller | 2022-04-07 |
| aea9afe | jens-daniel-mueller | 2022-04-07 |
| b788368 | jens-daniel-mueller | 2022-04-06 |
| 71f5724 | jens-daniel-mueller | 2022-04-06 |
| f4c820e | jens-daniel-mueller | 2022-04-06 |
| 1f9c888 | jens-daniel-mueller | 2022-04-05 |
| f088f55 | jens-daniel-mueller | 2022-04-01 |
| dde77eb | jens-daniel-mueller | 2022-04-01 |
| 68c5278 | jens-daniel-mueller | 2022-03-15 |
| 9e284d1 | jens-daniel-mueller | 2022-03-14 |
| 6aedeb8 | jens-daniel-mueller | 2022-03-14 |
xover_basin <- xover_basin %>%
select(-c(phosphate_mean, tco2, talk))
xover_basin <- xover_basin %>%
mutate(cstar_total = cstar_tco2 + cstar_talk + cstar_phosphate,
cstar_tco2_talk = cstar_tco2 + cstar_talk) %>%
pivot_longer(phosphate:cstar_tco2_talk,
names_to = "parameter",
values_to = "offset_adj")
xover_basin <- xover_basin %>%
drop_na()
xover_basin %>%
filter(parameter_coverage == "full") %>%
# filter(basin == "N. Pacific") %>%
mutate(offset_adj = cut(offset_adj, c(-Inf, -5, -2, -1, 1, 2, 5, Inf))) %>%
group_split(basin, parameter) %>%
# head(1) %>%
map(
~ ggplot(data = .x,
aes(
date_A, date_B, fill = offset_adj, size = n
)) +
geom_point(alpha = 0.5, shape = 21) +
scale_fill_discrete_diverging(palette = "Blue-Red", drop = FALSE) +
labs(title = paste(.x$basin, "|", .x$parameter, "| full")) +
coord_fixed(xlim = c(ymd("1990-01-01"), ymd("2021-01-01")),
ylim = c(ymd("1990-01-01"), ymd("2021-01-01")))
)
[[1]]

| Version | Author | Date |
|---|---|---|
| 552e4bc | jens-daniel-mueller | 2022-04-08 |
| aea9afe | jens-daniel-mueller | 2022-04-07 |
| b788368 | jens-daniel-mueller | 2022-04-06 |
| 71f5724 | jens-daniel-mueller | 2022-04-06 |
| f4c820e | jens-daniel-mueller | 2022-04-06 |
| 1f9c888 | jens-daniel-mueller | 2022-04-05 |
| f088f55 | jens-daniel-mueller | 2022-04-01 |
| dde77eb | jens-daniel-mueller | 2022-04-01 |
| 68c5278 | jens-daniel-mueller | 2022-03-15 |
| 8fd2480 | jens-daniel-mueller | 2022-03-15 |
| 9e284d1 | jens-daniel-mueller | 2022-03-14 |
| 1f48613 | jens-daniel-mueller | 2022-03-14 |
| 6aedeb8 | jens-daniel-mueller | 2022-03-14 |
[[2]]

| Version | Author | Date |
|---|---|---|
| 552e4bc | jens-daniel-mueller | 2022-04-08 |
| aea9afe | jens-daniel-mueller | 2022-04-07 |
| b788368 | jens-daniel-mueller | 2022-04-06 |
| 71f5724 | jens-daniel-mueller | 2022-04-06 |
| f4c820e | jens-daniel-mueller | 2022-04-06 |
| 1f9c888 | jens-daniel-mueller | 2022-04-05 |
| f088f55 | jens-daniel-mueller | 2022-04-01 |
| dde77eb | jens-daniel-mueller | 2022-04-01 |
| 8fd2480 | jens-daniel-mueller | 2022-03-15 |
| 1f48613 | jens-daniel-mueller | 2022-03-14 |
| 6aedeb8 | jens-daniel-mueller | 2022-03-14 |
[[3]]

| Version | Author | Date |
|---|---|---|
| 552e4bc | jens-daniel-mueller | 2022-04-08 |
| aea9afe | jens-daniel-mueller | 2022-04-07 |
| b788368 | jens-daniel-mueller | 2022-04-06 |
| 71f5724 | jens-daniel-mueller | 2022-04-06 |
| f4c820e | jens-daniel-mueller | 2022-04-06 |
| 1f9c888 | jens-daniel-mueller | 2022-04-05 |
| f088f55 | jens-daniel-mueller | 2022-04-01 |
| dde77eb | jens-daniel-mueller | 2022-04-01 |
| 8fd2480 | jens-daniel-mueller | 2022-03-15 |
| 1f48613 | jens-daniel-mueller | 2022-03-14 |
| 6aedeb8 | jens-daniel-mueller | 2022-03-14 |
[[4]]

| Version | Author | Date |
|---|---|---|
| 552e4bc | jens-daniel-mueller | 2022-04-08 |
| aea9afe | jens-daniel-mueller | 2022-04-07 |
| b788368 | jens-daniel-mueller | 2022-04-06 |
| 71f5724 | jens-daniel-mueller | 2022-04-06 |
| f4c820e | jens-daniel-mueller | 2022-04-06 |
| 1f9c888 | jens-daniel-mueller | 2022-04-05 |
| f088f55 | jens-daniel-mueller | 2022-04-01 |
| dde77eb | jens-daniel-mueller | 2022-04-01 |
| 68c5278 | jens-daniel-mueller | 2022-03-15 |
| 8fd2480 | jens-daniel-mueller | 2022-03-15 |
| 9e284d1 | jens-daniel-mueller | 2022-03-14 |
| 1f48613 | jens-daniel-mueller | 2022-03-14 |
| 6aedeb8 | jens-daniel-mueller | 2022-03-14 |
[[5]]

| Version | Author | Date |
|---|---|---|
| 552e4bc | jens-daniel-mueller | 2022-04-08 |
| aea9afe | jens-daniel-mueller | 2022-04-07 |
| b788368 | jens-daniel-mueller | 2022-04-06 |
| 71f5724 | jens-daniel-mueller | 2022-04-06 |
| f4c820e | jens-daniel-mueller | 2022-04-06 |
| 1f9c888 | jens-daniel-mueller | 2022-04-05 |
| f088f55 | jens-daniel-mueller | 2022-04-01 |
| dde77eb | jens-daniel-mueller | 2022-04-01 |
| 68c5278 | jens-daniel-mueller | 2022-03-15 |
| 8fd2480 | jens-daniel-mueller | 2022-03-15 |
| 9e284d1 | jens-daniel-mueller | 2022-03-14 |
| 1f48613 | jens-daniel-mueller | 2022-03-14 |
| 6aedeb8 | jens-daniel-mueller | 2022-03-14 |
[[6]]

| Version | Author | Date |
|---|---|---|
| 552e4bc | jens-daniel-mueller | 2022-04-08 |
| aea9afe | jens-daniel-mueller | 2022-04-07 |
| b788368 | jens-daniel-mueller | 2022-04-06 |
| 71f5724 | jens-daniel-mueller | 2022-04-06 |
| f4c820e | jens-daniel-mueller | 2022-04-06 |
| 1f9c888 | jens-daniel-mueller | 2022-04-05 |
| f088f55 | jens-daniel-mueller | 2022-04-01 |
| dde77eb | jens-daniel-mueller | 2022-04-01 |
| 68c5278 | jens-daniel-mueller | 2022-03-15 |
| 8fd2480 | jens-daniel-mueller | 2022-03-15 |
| 1f48613 | jens-daniel-mueller | 2022-03-14 |
| 6aedeb8 | jens-daniel-mueller | 2022-03-14 |
[[7]]

| Version | Author | Date |
|---|---|---|
| 15c6091 | jens-daniel-mueller | 2022-04-12 |
| 6d9a172 | jens-daniel-mueller | 2022-04-12 |
| aea9afe | jens-daniel-mueller | 2022-04-07 |
| 278cf74 | jens-daniel-mueller | 2022-04-06 |
| b788368 | jens-daniel-mueller | 2022-04-06 |
| 71f5724 | jens-daniel-mueller | 2022-04-06 |
| f4c820e | jens-daniel-mueller | 2022-04-06 |
| 1f9c888 | jens-daniel-mueller | 2022-04-05 |
| f088f55 | jens-daniel-mueller | 2022-04-01 |
| dde77eb | jens-daniel-mueller | 2022-04-01 |
| 68c5278 | jens-daniel-mueller | 2022-03-15 |
| 8fd2480 | jens-daniel-mueller | 2022-03-15 |
| 1f48613 | jens-daniel-mueller | 2022-03-14 |
| 6aedeb8 | jens-daniel-mueller | 2022-03-14 |
[[8]]

| Version | Author | Date |
|---|---|---|
| 15c6091 | jens-daniel-mueller | 2022-04-12 |
| 6d9a172 | jens-daniel-mueller | 2022-04-12 |
| aea9afe | jens-daniel-mueller | 2022-04-07 |
| 278cf74 | jens-daniel-mueller | 2022-04-06 |
| b788368 | jens-daniel-mueller | 2022-04-06 |
| 71f5724 | jens-daniel-mueller | 2022-04-06 |
| f4c820e | jens-daniel-mueller | 2022-04-06 |
| 1f9c888 | jens-daniel-mueller | 2022-04-05 |
| f088f55 | jens-daniel-mueller | 2022-04-01 |
| dde77eb | jens-daniel-mueller | 2022-04-01 |
| 68c5278 | jens-daniel-mueller | 2022-03-15 |
| 8fd2480 | jens-daniel-mueller | 2022-03-15 |
| 9e284d1 | jens-daniel-mueller | 2022-03-14 |
| 1f48613 | jens-daniel-mueller | 2022-03-14 |
| 6aedeb8 | jens-daniel-mueller | 2022-03-14 |
[[9]]

| Version | Author | Date |
|---|---|---|
| 15c6091 | jens-daniel-mueller | 2022-04-12 |
| 6d9a172 | jens-daniel-mueller | 2022-04-12 |
| aea9afe | jens-daniel-mueller | 2022-04-07 |
| 278cf74 | jens-daniel-mueller | 2022-04-06 |
| b788368 | jens-daniel-mueller | 2022-04-06 |
| 71f5724 | jens-daniel-mueller | 2022-04-06 |
| f4c820e | jens-daniel-mueller | 2022-04-06 |
| 1f9c888 | jens-daniel-mueller | 2022-04-05 |
| f088f55 | jens-daniel-mueller | 2022-04-01 |
| dde77eb | jens-daniel-mueller | 2022-04-01 |
| 68c5278 | jens-daniel-mueller | 2022-03-15 |
| 8fd2480 | jens-daniel-mueller | 2022-03-15 |
| 9e284d1 | jens-daniel-mueller | 2022-03-14 |
| 1f48613 | jens-daniel-mueller | 2022-03-14 |
| 6aedeb8 | jens-daniel-mueller | 2022-03-14 |
[[10]]

| Version | Author | Date |
|---|---|---|
| 15c6091 | jens-daniel-mueller | 2022-04-12 |
| 6d9a172 | jens-daniel-mueller | 2022-04-12 |
| aea9afe | jens-daniel-mueller | 2022-04-07 |
| 278cf74 | jens-daniel-mueller | 2022-04-06 |
| b788368 | jens-daniel-mueller | 2022-04-06 |
| 71f5724 | jens-daniel-mueller | 2022-04-06 |
| f4c820e | jens-daniel-mueller | 2022-04-06 |
| 1f9c888 | jens-daniel-mueller | 2022-04-05 |
| f088f55 | jens-daniel-mueller | 2022-04-01 |
| dde77eb | jens-daniel-mueller | 2022-04-01 |
| 68c5278 | jens-daniel-mueller | 2022-03-15 |
| 8fd2480 | jens-daniel-mueller | 2022-03-15 |
| 1f48613 | jens-daniel-mueller | 2022-03-14 |
[[11]]

| Version | Author | Date |
|---|---|---|
| 15c6091 | jens-daniel-mueller | 2022-04-12 |
| 6d9a172 | jens-daniel-mueller | 2022-04-12 |
| aea9afe | jens-daniel-mueller | 2022-04-07 |
| 278cf74 | jens-daniel-mueller | 2022-04-06 |
| b788368 | jens-daniel-mueller | 2022-04-06 |
| 71f5724 | jens-daniel-mueller | 2022-04-06 |
| f4c820e | jens-daniel-mueller | 2022-04-06 |
| 1f9c888 | jens-daniel-mueller | 2022-04-05 |
| dde77eb | jens-daniel-mueller | 2022-04-01 |
| 68c5278 | jens-daniel-mueller | 2022-03-15 |
| 8fd2480 | jens-daniel-mueller | 2022-03-15 |
| 1f48613 | jens-daniel-mueller | 2022-03-14 |
[[12]]

| Version | Author | Date |
|---|---|---|
| 15c6091 | jens-daniel-mueller | 2022-04-12 |
| 6d9a172 | jens-daniel-mueller | 2022-04-12 |
| aea9afe | jens-daniel-mueller | 2022-04-07 |
| 278cf74 | jens-daniel-mueller | 2022-04-06 |
| b788368 | jens-daniel-mueller | 2022-04-06 |
| 71f5724 | jens-daniel-mueller | 2022-04-06 |
| f4c820e | jens-daniel-mueller | 2022-04-06 |
| 1f9c888 | jens-daniel-mueller | 2022-04-05 |
| 68c5278 | jens-daniel-mueller | 2022-03-15 |
| 8fd2480 | jens-daniel-mueller | 2022-03-15 |
| 9e284d1 | jens-daniel-mueller | 2022-03-14 |
| 1f48613 | jens-daniel-mueller | 2022-03-14 |
[[13]]

| Version | Author | Date |
|---|---|---|
| 8f9904b | jens-daniel-mueller | 2022-04-07 |
| aea9afe | jens-daniel-mueller | 2022-04-07 |
| 278cf74 | jens-daniel-mueller | 2022-04-06 |
| b788368 | jens-daniel-mueller | 2022-04-06 |
| 71f5724 | jens-daniel-mueller | 2022-04-06 |
| f4c820e | jens-daniel-mueller | 2022-04-06 |
| 1f9c888 | jens-daniel-mueller | 2022-04-05 |
| 68c5278 | jens-daniel-mueller | 2022-03-15 |
| 8fd2480 | jens-daniel-mueller | 2022-03-15 |
| 9e284d1 | jens-daniel-mueller | 2022-03-14 |
| 1f48613 | jens-daniel-mueller | 2022-03-14 |
[[14]]

| Version | Author | Date |
|---|---|---|
| 278cf74 | jens-daniel-mueller | 2022-04-06 |
| b788368 | jens-daniel-mueller | 2022-04-06 |
| 71f5724 | jens-daniel-mueller | 2022-04-06 |
| f4c820e | jens-daniel-mueller | 2022-04-06 |
| 1f9c888 | jens-daniel-mueller | 2022-04-05 |
| 68c5278 | jens-daniel-mueller | 2022-03-15 |
| 8fd2480 | jens-daniel-mueller | 2022-03-15 |
| 1f48613 | jens-daniel-mueller | 2022-03-14 |
[[15]]

| Version | Author | Date |
|---|---|---|
| 278cf74 | jens-daniel-mueller | 2022-04-06 |
| b788368 | jens-daniel-mueller | 2022-04-06 |
| 71f5724 | jens-daniel-mueller | 2022-04-06 |
| f4c820e | jens-daniel-mueller | 2022-04-06 |
| 1f9c888 | jens-daniel-mueller | 2022-04-05 |
| 68c5278 | jens-daniel-mueller | 2022-03-15 |
| 8fd2480 | jens-daniel-mueller | 2022-03-15 |
| 1f48613 | jens-daniel-mueller | 2022-03-14 |
[[16]]

| Version | Author | Date |
|---|---|---|
| 278cf74 | jens-daniel-mueller | 2022-04-06 |
| b788368 | jens-daniel-mueller | 2022-04-06 |
| 71f5724 | jens-daniel-mueller | 2022-04-06 |
| f4c820e | jens-daniel-mueller | 2022-04-06 |
| 1f9c888 | jens-daniel-mueller | 2022-04-05 |
| f088f55 | jens-daniel-mueller | 2022-04-01 |
| dde77eb | jens-daniel-mueller | 2022-04-01 |
| 68c5278 | jens-daniel-mueller | 2022-03-15 |
| 8fd2480 | jens-daniel-mueller | 2022-03-15 |
| 9e284d1 | jens-daniel-mueller | 2022-03-14 |
| 1f48613 | jens-daniel-mueller | 2022-03-14 |
[[17]]

| Version | Author | Date |
|---|---|---|
| 278cf74 | jens-daniel-mueller | 2022-04-06 |
| b788368 | jens-daniel-mueller | 2022-04-06 |
| 71f5724 | jens-daniel-mueller | 2022-04-06 |
| f4c820e | jens-daniel-mueller | 2022-04-06 |
| 1f9c888 | jens-daniel-mueller | 2022-04-05 |
| f088f55 | jens-daniel-mueller | 2022-04-01 |
| dde77eb | jens-daniel-mueller | 2022-04-01 |
| 68c5278 | jens-daniel-mueller | 2022-03-15 |
| 8fd2480 | jens-daniel-mueller | 2022-03-15 |
| 9e284d1 | jens-daniel-mueller | 2022-03-14 |
| 1f48613 | jens-daniel-mueller | 2022-03-14 |
[[18]]

| Version | Author | Date |
|---|---|---|
| 8f9904b | jens-daniel-mueller | 2022-04-07 |
| aea9afe | jens-daniel-mueller | 2022-04-07 |
| 278cf74 | jens-daniel-mueller | 2022-04-06 |
| b788368 | jens-daniel-mueller | 2022-04-06 |
| 71f5724 | jens-daniel-mueller | 2022-04-06 |
| f4c820e | jens-daniel-mueller | 2022-04-06 |
| 1f9c888 | jens-daniel-mueller | 2022-04-05 |
| f088f55 | jens-daniel-mueller | 2022-04-01 |
| dde77eb | jens-daniel-mueller | 2022-04-01 |
| 68c5278 | jens-daniel-mueller | 2022-03-15 |
| 8fd2480 | jens-daniel-mueller | 2022-03-15 |
| 1f48613 | jens-daniel-mueller | 2022-03-14 |
[[19]]

| Version | Author | Date |
|---|---|---|
| 15c6091 | jens-daniel-mueller | 2022-04-12 |
| 6d9a172 | jens-daniel-mueller | 2022-04-12 |
| fd1d0ce | jens-daniel-mueller | 2022-04-11 |
| 278cf74 | jens-daniel-mueller | 2022-04-06 |
| b788368 | jens-daniel-mueller | 2022-04-06 |
| 71f5724 | jens-daniel-mueller | 2022-04-06 |
| f4c820e | jens-daniel-mueller | 2022-04-06 |
| 1f9c888 | jens-daniel-mueller | 2022-04-05 |
| f088f55 | jens-daniel-mueller | 2022-04-01 |
| dde77eb | jens-daniel-mueller | 2022-04-01 |
| 68c5278 | jens-daniel-mueller | 2022-03-15 |
| 8fd2480 | jens-daniel-mueller | 2022-03-15 |
| 1f48613 | jens-daniel-mueller | 2022-03-14 |
[[20]]

| Version | Author | Date |
|---|---|---|
| 15c6091 | jens-daniel-mueller | 2022-04-12 |
| 6d9a172 | jens-daniel-mueller | 2022-04-12 |
| fd1d0ce | jens-daniel-mueller | 2022-04-11 |
| 278cf74 | jens-daniel-mueller | 2022-04-06 |
| b788368 | jens-daniel-mueller | 2022-04-06 |
| 71f5724 | jens-daniel-mueller | 2022-04-06 |
| f4c820e | jens-daniel-mueller | 2022-04-06 |
| 1f9c888 | jens-daniel-mueller | 2022-04-05 |
| f088f55 | jens-daniel-mueller | 2022-04-01 |
| dde77eb | jens-daniel-mueller | 2022-04-01 |
| 68c5278 | jens-daniel-mueller | 2022-03-15 |
| 8fd2480 | jens-daniel-mueller | 2022-03-15 |
| 9e284d1 | jens-daniel-mueller | 2022-03-14 |
| 1f48613 | jens-daniel-mueller | 2022-03-14 |
[[21]]

| Version | Author | Date |
|---|---|---|
| 15c6091 | jens-daniel-mueller | 2022-04-12 |
| 6d9a172 | jens-daniel-mueller | 2022-04-12 |
| fd1d0ce | jens-daniel-mueller | 2022-04-11 |
| 278cf74 | jens-daniel-mueller | 2022-04-06 |
| b788368 | jens-daniel-mueller | 2022-04-06 |
| 71f5724 | jens-daniel-mueller | 2022-04-06 |
| f4c820e | jens-daniel-mueller | 2022-04-06 |
| 1f9c888 | jens-daniel-mueller | 2022-04-05 |
| f088f55 | jens-daniel-mueller | 2022-04-01 |
| dde77eb | jens-daniel-mueller | 2022-04-01 |
| 68c5278 | jens-daniel-mueller | 2022-03-15 |
| 8fd2480 | jens-daniel-mueller | 2022-03-15 |
| 9e284d1 | jens-daniel-mueller | 2022-03-14 |
| 1f48613 | jens-daniel-mueller | 2022-03-14 |
[[22]]

| Version | Author | Date |
|---|---|---|
| 15c6091 | jens-daniel-mueller | 2022-04-12 |
| 6d9a172 | jens-daniel-mueller | 2022-04-12 |
| fd1d0ce | jens-daniel-mueller | 2022-04-11 |
| 278cf74 | jens-daniel-mueller | 2022-04-06 |
| b788368 | jens-daniel-mueller | 2022-04-06 |
| 71f5724 | jens-daniel-mueller | 2022-04-06 |
| f4c820e | jens-daniel-mueller | 2022-04-06 |
| 1f9c888 | jens-daniel-mueller | 2022-04-05 |
| f088f55 | jens-daniel-mueller | 2022-04-01 |
| dde77eb | jens-daniel-mueller | 2022-04-01 |
| 68c5278 | jens-daniel-mueller | 2022-03-15 |
| 8fd2480 | jens-daniel-mueller | 2022-03-15 |
| 1f48613 | jens-daniel-mueller | 2022-03-14 |
[[23]]

| Version | Author | Date |
|---|---|---|
| 15c6091 | jens-daniel-mueller | 2022-04-12 |
| 6d9a172 | jens-daniel-mueller | 2022-04-12 |
| fd1d0ce | jens-daniel-mueller | 2022-04-11 |
| 278cf74 | jens-daniel-mueller | 2022-04-06 |
| b788368 | jens-daniel-mueller | 2022-04-06 |
| 71f5724 | jens-daniel-mueller | 2022-04-06 |
| f4c820e | jens-daniel-mueller | 2022-04-06 |
| 1f9c888 | jens-daniel-mueller | 2022-04-05 |
| f088f55 | jens-daniel-mueller | 2022-04-01 |
| dde77eb | jens-daniel-mueller | 2022-04-01 |
| 68c5278 | jens-daniel-mueller | 2022-03-15 |
| 8fd2480 | jens-daniel-mueller | 2022-03-15 |
| 1f48613 | jens-daniel-mueller | 2022-03-14 |
[[24]]

| Version | Author | Date |
|---|---|---|
| 15c6091 | jens-daniel-mueller | 2022-04-12 |
| 6d9a172 | jens-daniel-mueller | 2022-04-12 |
| fd1d0ce | jens-daniel-mueller | 2022-04-11 |
| 278cf74 | jens-daniel-mueller | 2022-04-06 |
| b788368 | jens-daniel-mueller | 2022-04-06 |
| 71f5724 | jens-daniel-mueller | 2022-04-06 |
| f4c820e | jens-daniel-mueller | 2022-04-06 |
| 1f9c888 | jens-daniel-mueller | 2022-04-05 |
| f088f55 | jens-daniel-mueller | 2022-04-01 |
| dde77eb | jens-daniel-mueller | 2022-04-01 |
| 68c5278 | jens-daniel-mueller | 2022-03-15 |
| 8fd2480 | jens-daniel-mueller | 2022-03-15 |
| 9e284d1 | jens-daniel-mueller | 2022-03-14 |
| 1f48613 | jens-daniel-mueller | 2022-03-14 |
[[25]]

| Version | Author | Date |
|---|---|---|
| 15c6091 | jens-daniel-mueller | 2022-04-12 |
| 6d9a172 | jens-daniel-mueller | 2022-04-12 |
| 278cf74 | jens-daniel-mueller | 2022-04-06 |
| b788368 | jens-daniel-mueller | 2022-04-06 |
| 71f5724 | jens-daniel-mueller | 2022-04-06 |
| f4c820e | jens-daniel-mueller | 2022-04-06 |
| 1f9c888 | jens-daniel-mueller | 2022-04-05 |
| f088f55 | jens-daniel-mueller | 2022-04-01 |
| dde77eb | jens-daniel-mueller | 2022-04-01 |
| 68c5278 | jens-daniel-mueller | 2022-03-15 |
| 8fd2480 | jens-daniel-mueller | 2022-03-15 |
| 9e284d1 | jens-daniel-mueller | 2022-03-14 |
| 1f48613 | jens-daniel-mueller | 2022-03-14 |
[[26]]

| Version | Author | Date |
|---|---|---|
| 15c6091 | jens-daniel-mueller | 2022-04-12 |
| 6d9a172 | jens-daniel-mueller | 2022-04-12 |
| 278cf74 | jens-daniel-mueller | 2022-04-06 |
| b788368 | jens-daniel-mueller | 2022-04-06 |
| 71f5724 | jens-daniel-mueller | 2022-04-06 |
| f4c820e | jens-daniel-mueller | 2022-04-06 |
| 1f9c888 | jens-daniel-mueller | 2022-04-05 |
| f088f55 | jens-daniel-mueller | 2022-04-01 |
| dde77eb | jens-daniel-mueller | 2022-04-01 |
| 68c5278 | jens-daniel-mueller | 2022-03-15 |
| 8fd2480 | jens-daniel-mueller | 2022-03-15 |
| 1f48613 | jens-daniel-mueller | 2022-03-14 |
[[27]]

| Version | Author | Date |
|---|---|---|
| 15c6091 | jens-daniel-mueller | 2022-04-12 |
| 6d9a172 | jens-daniel-mueller | 2022-04-12 |
| 278cf74 | jens-daniel-mueller | 2022-04-06 |
| b788368 | jens-daniel-mueller | 2022-04-06 |
| 71f5724 | jens-daniel-mueller | 2022-04-06 |
| f4c820e | jens-daniel-mueller | 2022-04-06 |
| 1f9c888 | jens-daniel-mueller | 2022-04-05 |
| f088f55 | jens-daniel-mueller | 2022-04-01 |
| dde77eb | jens-daniel-mueller | 2022-04-01 |
| 68c5278 | jens-daniel-mueller | 2022-03-15 |
| 8fd2480 | jens-daniel-mueller | 2022-03-15 |
| 1f48613 | jens-daniel-mueller | 2022-03-14 |
[[28]]

| Version | Author | Date |
|---|---|---|
| 15c6091 | jens-daniel-mueller | 2022-04-12 |
| 6d9a172 | jens-daniel-mueller | 2022-04-12 |
| 278cf74 | jens-daniel-mueller | 2022-04-06 |
| b788368 | jens-daniel-mueller | 2022-04-06 |
| 71f5724 | jens-daniel-mueller | 2022-04-06 |
| f4c820e | jens-daniel-mueller | 2022-04-06 |
| 1f9c888 | jens-daniel-mueller | 2022-04-05 |
| f088f55 | jens-daniel-mueller | 2022-04-01 |
| dde77eb | jens-daniel-mueller | 2022-04-01 |
| 68c5278 | jens-daniel-mueller | 2022-03-15 |
| 8fd2480 | jens-daniel-mueller | 2022-03-15 |
| 9e284d1 | jens-daniel-mueller | 2022-03-14 |
| 1f48613 | jens-daniel-mueller | 2022-03-14 |
[[29]]

| Version | Author | Date |
|---|---|---|
| 15c6091 | jens-daniel-mueller | 2022-04-12 |
| 6d9a172 | jens-daniel-mueller | 2022-04-12 |
| 278cf74 | jens-daniel-mueller | 2022-04-06 |
| b788368 | jens-daniel-mueller | 2022-04-06 |
| 71f5724 | jens-daniel-mueller | 2022-04-06 |
| f4c820e | jens-daniel-mueller | 2022-04-06 |
| 1f9c888 | jens-daniel-mueller | 2022-04-05 |
| f088f55 | jens-daniel-mueller | 2022-04-01 |
| dde77eb | jens-daniel-mueller | 2022-04-01 |
| 68c5278 | jens-daniel-mueller | 2022-03-15 |
| 8fd2480 | jens-daniel-mueller | 2022-03-15 |
| 9e284d1 | jens-daniel-mueller | 2022-03-14 |
| 1f48613 | jens-daniel-mueller | 2022-03-14 |
[[30]]

| Version | Author | Date |
|---|---|---|
| 15c6091 | jens-daniel-mueller | 2022-04-12 |
| 6d9a172 | jens-daniel-mueller | 2022-04-12 |
| 278cf74 | jens-daniel-mueller | 2022-04-06 |
| b788368 | jens-daniel-mueller | 2022-04-06 |
| 71f5724 | jens-daniel-mueller | 2022-04-06 |
| f4c820e | jens-daniel-mueller | 2022-04-06 |
| 1f9c888 | jens-daniel-mueller | 2022-04-05 |
| f088f55 | jens-daniel-mueller | 2022-04-01 |
| dde77eb | jens-daniel-mueller | 2022-04-01 |
| 68c5278 | jens-daniel-mueller | 2022-03-15 |
| 8fd2480 | jens-daniel-mueller | 2022-03-15 |
| 1f48613 | jens-daniel-mueller | 2022-03-14 |
xover_basin %>%
mutate(offset_adj = cut(offset_adj, c(-Inf, -5, -2, -1, 1, 2, 5, Inf))) %>%
# filter(basin == "N. Pacific") %>%
group_split(basin, parameter) %>%
# head(1) %>%
map(
~ ggplot(data = .x,
aes(
date_A, date_B, fill = offset_adj, size = n
)) +
geom_point(alpha = 0.5, shape = 21) +
scale_fill_discrete_diverging(palette = "Blue-Red", drop = FALSE) +
labs(title = paste(.x$basin, "|", .x$parameter, "| partial")) +
coord_fixed(xlim = c(ymd("1990-01-01"), ymd("2021-01-01")),
ylim = c(ymd("1990-01-01"), ymd("2021-01-01")))
)
[[1]]

| Version | Author | Date |
|---|---|---|
| 552e4bc | jens-daniel-mueller | 2022-04-08 |
| aea9afe | jens-daniel-mueller | 2022-04-07 |
| 278cf74 | jens-daniel-mueller | 2022-04-06 |
| b788368 | jens-daniel-mueller | 2022-04-06 |
| 71f5724 | jens-daniel-mueller | 2022-04-06 |
| f4c820e | jens-daniel-mueller | 2022-04-06 |
| 1f9c888 | jens-daniel-mueller | 2022-04-05 |
| f088f55 | jens-daniel-mueller | 2022-04-01 |
| dde77eb | jens-daniel-mueller | 2022-04-01 |
| 68c5278 | jens-daniel-mueller | 2022-03-15 |
| 8fd2480 | jens-daniel-mueller | 2022-03-15 |
| 1f48613 | jens-daniel-mueller | 2022-03-14 |
[[2]]

| Version | Author | Date |
|---|---|---|
| 552e4bc | jens-daniel-mueller | 2022-04-08 |
| aea9afe | jens-daniel-mueller | 2022-04-07 |
| 278cf74 | jens-daniel-mueller | 2022-04-06 |
| b788368 | jens-daniel-mueller | 2022-04-06 |
| 71f5724 | jens-daniel-mueller | 2022-04-06 |
| f4c820e | jens-daniel-mueller | 2022-04-06 |
| 1f9c888 | jens-daniel-mueller | 2022-04-05 |
| f088f55 | jens-daniel-mueller | 2022-04-01 |
| dde77eb | jens-daniel-mueller | 2022-04-01 |
| 68c5278 | jens-daniel-mueller | 2022-03-15 |
| 8fd2480 | jens-daniel-mueller | 2022-03-15 |
| 9e284d1 | jens-daniel-mueller | 2022-03-14 |
| 1f48613 | jens-daniel-mueller | 2022-03-14 |
[[3]]

| Version | Author | Date |
|---|---|---|
| 552e4bc | jens-daniel-mueller | 2022-04-08 |
| aea9afe | jens-daniel-mueller | 2022-04-07 |
| 278cf74 | jens-daniel-mueller | 2022-04-06 |
| b788368 | jens-daniel-mueller | 2022-04-06 |
| 71f5724 | jens-daniel-mueller | 2022-04-06 |
| f4c820e | jens-daniel-mueller | 2022-04-06 |
| 1f9c888 | jens-daniel-mueller | 2022-04-05 |
| f088f55 | jens-daniel-mueller | 2022-04-01 |
| dde77eb | jens-daniel-mueller | 2022-04-01 |
| 68c5278 | jens-daniel-mueller | 2022-03-15 |
| 8fd2480 | jens-daniel-mueller | 2022-03-15 |
| 9e284d1 | jens-daniel-mueller | 2022-03-14 |
| 1f48613 | jens-daniel-mueller | 2022-03-14 |
[[4]]

| Version | Author | Date |
|---|---|---|
| 552e4bc | jens-daniel-mueller | 2022-04-08 |
| aea9afe | jens-daniel-mueller | 2022-04-07 |
| 278cf74 | jens-daniel-mueller | 2022-04-06 |
| b788368 | jens-daniel-mueller | 2022-04-06 |
| 71f5724 | jens-daniel-mueller | 2022-04-06 |
| f4c820e | jens-daniel-mueller | 2022-04-06 |
| 1f9c888 | jens-daniel-mueller | 2022-04-05 |
| f088f55 | jens-daniel-mueller | 2022-04-01 |
| dde77eb | jens-daniel-mueller | 2022-04-01 |
| 68c5278 | jens-daniel-mueller | 2022-03-15 |
| 8fd2480 | jens-daniel-mueller | 2022-03-15 |
| 1f48613 | jens-daniel-mueller | 2022-03-14 |
[[5]]

| Version | Author | Date |
|---|---|---|
| 552e4bc | jens-daniel-mueller | 2022-04-08 |
| aea9afe | jens-daniel-mueller | 2022-04-07 |
| 278cf74 | jens-daniel-mueller | 2022-04-06 |
| b788368 | jens-daniel-mueller | 2022-04-06 |
| 71f5724 | jens-daniel-mueller | 2022-04-06 |
| f4c820e | jens-daniel-mueller | 2022-04-06 |
| 1f9c888 | jens-daniel-mueller | 2022-04-05 |
| f088f55 | jens-daniel-mueller | 2022-04-01 |
| dde77eb | jens-daniel-mueller | 2022-04-01 |
| 68c5278 | jens-daniel-mueller | 2022-03-15 |
| 8fd2480 | jens-daniel-mueller | 2022-03-15 |
| 1f48613 | jens-daniel-mueller | 2022-03-14 |
[[6]]

| Version | Author | Date |
|---|---|---|
| 552e4bc | jens-daniel-mueller | 2022-04-08 |
| aea9afe | jens-daniel-mueller | 2022-04-07 |
| 278cf74 | jens-daniel-mueller | 2022-04-06 |
| b788368 | jens-daniel-mueller | 2022-04-06 |
| 71f5724 | jens-daniel-mueller | 2022-04-06 |
| f4c820e | jens-daniel-mueller | 2022-04-06 |
| 1f9c888 | jens-daniel-mueller | 2022-04-05 |
| dde77eb | jens-daniel-mueller | 2022-04-01 |
| 68c5278 | jens-daniel-mueller | 2022-03-15 |
| 8fd2480 | jens-daniel-mueller | 2022-03-15 |
| 9e284d1 | jens-daniel-mueller | 2022-03-14 |
| 1f48613 | jens-daniel-mueller | 2022-03-14 |
[[7]]

| Version | Author | Date |
|---|---|---|
| 15c6091 | jens-daniel-mueller | 2022-04-12 |
| 6d9a172 | jens-daniel-mueller | 2022-04-12 |
| aea9afe | jens-daniel-mueller | 2022-04-07 |
| 278cf74 | jens-daniel-mueller | 2022-04-06 |
| b788368 | jens-daniel-mueller | 2022-04-06 |
| 71f5724 | jens-daniel-mueller | 2022-04-06 |
| f4c820e | jens-daniel-mueller | 2022-04-06 |
| 1f9c888 | jens-daniel-mueller | 2022-04-05 |
| 68c5278 | jens-daniel-mueller | 2022-03-15 |
| 8fd2480 | jens-daniel-mueller | 2022-03-15 |
| 9e284d1 | jens-daniel-mueller | 2022-03-14 |
| 1f48613 | jens-daniel-mueller | 2022-03-14 |
[[8]]

| Version | Author | Date |
|---|---|---|
| 15c6091 | jens-daniel-mueller | 2022-04-12 |
| 6d9a172 | jens-daniel-mueller | 2022-04-12 |
| aea9afe | jens-daniel-mueller | 2022-04-07 |
| 278cf74 | jens-daniel-mueller | 2022-04-06 |
| b788368 | jens-daniel-mueller | 2022-04-06 |
| 71f5724 | jens-daniel-mueller | 2022-04-06 |
| f4c820e | jens-daniel-mueller | 2022-04-06 |
| 1f9c888 | jens-daniel-mueller | 2022-04-05 |
| 68c5278 | jens-daniel-mueller | 2022-03-15 |
| 8fd2480 | jens-daniel-mueller | 2022-03-15 |
| 1f48613 | jens-daniel-mueller | 2022-03-14 |
[[9]]

| Version | Author | Date |
|---|---|---|
| 15c6091 | jens-daniel-mueller | 2022-04-12 |
| 6d9a172 | jens-daniel-mueller | 2022-04-12 |
| aea9afe | jens-daniel-mueller | 2022-04-07 |
| 278cf74 | jens-daniel-mueller | 2022-04-06 |
| b788368 | jens-daniel-mueller | 2022-04-06 |
| 71f5724 | jens-daniel-mueller | 2022-04-06 |
| f4c820e | jens-daniel-mueller | 2022-04-06 |
| 1f9c888 | jens-daniel-mueller | 2022-04-05 |
| 68c5278 | jens-daniel-mueller | 2022-03-15 |
| 8fd2480 | jens-daniel-mueller | 2022-03-15 |
| 1f48613 | jens-daniel-mueller | 2022-03-14 |
[[10]]

| Version | Author | Date |
|---|---|---|
| 15c6091 | jens-daniel-mueller | 2022-04-12 |
| 6d9a172 | jens-daniel-mueller | 2022-04-12 |
| aea9afe | jens-daniel-mueller | 2022-04-07 |
| 278cf74 | jens-daniel-mueller | 2022-04-06 |
| b788368 | jens-daniel-mueller | 2022-04-06 |
| 71f5724 | jens-daniel-mueller | 2022-04-06 |
| f4c820e | jens-daniel-mueller | 2022-04-06 |
| 1f9c888 | jens-daniel-mueller | 2022-04-05 |
| 68c5278 | jens-daniel-mueller | 2022-03-15 |
| 8fd2480 | jens-daniel-mueller | 2022-03-15 |
| 9e284d1 | jens-daniel-mueller | 2022-03-14 |
| 1f48613 | jens-daniel-mueller | 2022-03-14 |
[[11]]

| Version | Author | Date |
|---|---|---|
| 15c6091 | jens-daniel-mueller | 2022-04-12 |
| 6d9a172 | jens-daniel-mueller | 2022-04-12 |
| aea9afe | jens-daniel-mueller | 2022-04-07 |
| 278cf74 | jens-daniel-mueller | 2022-04-06 |
| b788368 | jens-daniel-mueller | 2022-04-06 |
| 71f5724 | jens-daniel-mueller | 2022-04-06 |
| f4c820e | jens-daniel-mueller | 2022-04-06 |
| 1f9c888 | jens-daniel-mueller | 2022-04-05 |
| f088f55 | jens-daniel-mueller | 2022-04-01 |
| dde77eb | jens-daniel-mueller | 2022-04-01 |
| 68c5278 | jens-daniel-mueller | 2022-03-15 |
| 8fd2480 | jens-daniel-mueller | 2022-03-15 |
| 9e284d1 | jens-daniel-mueller | 2022-03-14 |
| 1f48613 | jens-daniel-mueller | 2022-03-14 |
[[12]]

| Version | Author | Date |
|---|---|---|
| 15c6091 | jens-daniel-mueller | 2022-04-12 |
| 6d9a172 | jens-daniel-mueller | 2022-04-12 |
| aea9afe | jens-daniel-mueller | 2022-04-07 |
| 278cf74 | jens-daniel-mueller | 2022-04-06 |
| b788368 | jens-daniel-mueller | 2022-04-06 |
| 71f5724 | jens-daniel-mueller | 2022-04-06 |
| f4c820e | jens-daniel-mueller | 2022-04-06 |
| 1f9c888 | jens-daniel-mueller | 2022-04-05 |
| f088f55 | jens-daniel-mueller | 2022-04-01 |
| dde77eb | jens-daniel-mueller | 2022-04-01 |
| 68c5278 | jens-daniel-mueller | 2022-03-15 |
[[13]]

| Version | Author | Date |
|---|---|---|
| 8f9904b | jens-daniel-mueller | 2022-04-07 |
| aea9afe | jens-daniel-mueller | 2022-04-07 |
| 278cf74 | jens-daniel-mueller | 2022-04-06 |
| b788368 | jens-daniel-mueller | 2022-04-06 |
| 71f5724 | jens-daniel-mueller | 2022-04-06 |
| f4c820e | jens-daniel-mueller | 2022-04-06 |
| 1f9c888 | jens-daniel-mueller | 2022-04-05 |
| f088f55 | jens-daniel-mueller | 2022-04-01 |
| dde77eb | jens-daniel-mueller | 2022-04-01 |
| 68c5278 | jens-daniel-mueller | 2022-03-15 |
[[14]]

| Version | Author | Date |
|---|---|---|
| 278cf74 | jens-daniel-mueller | 2022-04-06 |
| b788368 | jens-daniel-mueller | 2022-04-06 |
| 71f5724 | jens-daniel-mueller | 2022-04-06 |
| f4c820e | jens-daniel-mueller | 2022-04-06 |
| 1f9c888 | jens-daniel-mueller | 2022-04-05 |
| f088f55 | jens-daniel-mueller | 2022-04-01 |
| dde77eb | jens-daniel-mueller | 2022-04-01 |
| 68c5278 | jens-daniel-mueller | 2022-03-15 |
[[15]]

| Version | Author | Date |
|---|---|---|
| 278cf74 | jens-daniel-mueller | 2022-04-06 |
| b788368 | jens-daniel-mueller | 2022-04-06 |
| 71f5724 | jens-daniel-mueller | 2022-04-06 |
| f4c820e | jens-daniel-mueller | 2022-04-06 |
| 1f9c888 | jens-daniel-mueller | 2022-04-05 |
| f088f55 | jens-daniel-mueller | 2022-04-01 |
| dde77eb | jens-daniel-mueller | 2022-04-01 |
| 68c5278 | jens-daniel-mueller | 2022-03-15 |
[[16]]

| Version | Author | Date |
|---|---|---|
| 278cf74 | jens-daniel-mueller | 2022-04-06 |
| b788368 | jens-daniel-mueller | 2022-04-06 |
| 71f5724 | jens-daniel-mueller | 2022-04-06 |
| f4c820e | jens-daniel-mueller | 2022-04-06 |
| 1f9c888 | jens-daniel-mueller | 2022-04-05 |
| f088f55 | jens-daniel-mueller | 2022-04-01 |
| dde77eb | jens-daniel-mueller | 2022-04-01 |
| 68c5278 | jens-daniel-mueller | 2022-03-15 |
[[17]]

| Version | Author | Date |
|---|---|---|
| 278cf74 | jens-daniel-mueller | 2022-04-06 |
| b788368 | jens-daniel-mueller | 2022-04-06 |
| 71f5724 | jens-daniel-mueller | 2022-04-06 |
| f4c820e | jens-daniel-mueller | 2022-04-06 |
| 1f9c888 | jens-daniel-mueller | 2022-04-05 |
| f088f55 | jens-daniel-mueller | 2022-04-01 |
| dde77eb | jens-daniel-mueller | 2022-04-01 |
| 68c5278 | jens-daniel-mueller | 2022-03-15 |
[[18]]

| Version | Author | Date |
|---|---|---|
| 8f9904b | jens-daniel-mueller | 2022-04-07 |
| aea9afe | jens-daniel-mueller | 2022-04-07 |
| 278cf74 | jens-daniel-mueller | 2022-04-06 |
| b788368 | jens-daniel-mueller | 2022-04-06 |
| 71f5724 | jens-daniel-mueller | 2022-04-06 |
| f4c820e | jens-daniel-mueller | 2022-04-06 |
| 1f9c888 | jens-daniel-mueller | 2022-04-05 |
| f088f55 | jens-daniel-mueller | 2022-04-01 |
| dde77eb | jens-daniel-mueller | 2022-04-01 |
| 68c5278 | jens-daniel-mueller | 2022-03-15 |
[[19]]

| Version | Author | Date |
|---|---|---|
| 15c6091 | jens-daniel-mueller | 2022-04-12 |
| 6d9a172 | jens-daniel-mueller | 2022-04-12 |
| fd1d0ce | jens-daniel-mueller | 2022-04-11 |
| 278cf74 | jens-daniel-mueller | 2022-04-06 |
| b788368 | jens-daniel-mueller | 2022-04-06 |
| 71f5724 | jens-daniel-mueller | 2022-04-06 |
| f4c820e | jens-daniel-mueller | 2022-04-06 |
| 1f9c888 | jens-daniel-mueller | 2022-04-05 |
| f088f55 | jens-daniel-mueller | 2022-04-01 |
| dde77eb | jens-daniel-mueller | 2022-04-01 |
| 68c5278 | jens-daniel-mueller | 2022-03-15 |
[[20]]

| Version | Author | Date |
|---|---|---|
| 15c6091 | jens-daniel-mueller | 2022-04-12 |
| 6d9a172 | jens-daniel-mueller | 2022-04-12 |
| fd1d0ce | jens-daniel-mueller | 2022-04-11 |
| 278cf74 | jens-daniel-mueller | 2022-04-06 |
| b788368 | jens-daniel-mueller | 2022-04-06 |
| 71f5724 | jens-daniel-mueller | 2022-04-06 |
| f4c820e | jens-daniel-mueller | 2022-04-06 |
| 1f9c888 | jens-daniel-mueller | 2022-04-05 |
| f088f55 | jens-daniel-mueller | 2022-04-01 |
| dde77eb | jens-daniel-mueller | 2022-04-01 |
| 68c5278 | jens-daniel-mueller | 2022-03-15 |
[[21]]

| Version | Author | Date |
|---|---|---|
| 15c6091 | jens-daniel-mueller | 2022-04-12 |
| 6d9a172 | jens-daniel-mueller | 2022-04-12 |
| fd1d0ce | jens-daniel-mueller | 2022-04-11 |
| 278cf74 | jens-daniel-mueller | 2022-04-06 |
| b788368 | jens-daniel-mueller | 2022-04-06 |
| 71f5724 | jens-daniel-mueller | 2022-04-06 |
| f4c820e | jens-daniel-mueller | 2022-04-06 |
| 1f9c888 | jens-daniel-mueller | 2022-04-05 |
| f088f55 | jens-daniel-mueller | 2022-04-01 |
| dde77eb | jens-daniel-mueller | 2022-04-01 |
| 68c5278 | jens-daniel-mueller | 2022-03-15 |
[[22]]

[[23]]

[[24]]

[[25]]

[[26]]

[[27]]

[[28]]

[[29]]

[[30]]

xover_basin %>%
mutate(offset_adj = cut(offset_adj, c(-Inf, -5, -2, -1, 1, 2, 5, Inf))) %>%
filter(parameter_coverage == "full") %>%
ggplot(aes(date_A, date_B, fill = offset_adj, size = n)) +
geom_point(alpha = 0.5, shape = 21) +
scale_fill_discrete_diverging(palette = "Blue-Red", drop = FALSE) +
coord_fixed(xlim = c(ymd("1990-01-01"), ymd("2021-01-01")),
ylim = c(ymd("1990-01-01"), ymd("2021-01-01"))) +
facet_grid(basin ~ parameter)

| Version | Author | Date |
|---|---|---|
| 15c6091 | jens-daniel-mueller | 2022-04-12 |
| 6d9a172 | jens-daniel-mueller | 2022-04-12 |
| fd1d0ce | jens-daniel-mueller | 2022-04-11 |
| 552e4bc | jens-daniel-mueller | 2022-04-08 |
| 8f9904b | jens-daniel-mueller | 2022-04-07 |
| aea9afe | jens-daniel-mueller | 2022-04-07 |
| 278cf74 | jens-daniel-mueller | 2022-04-06 |
| b788368 | jens-daniel-mueller | 2022-04-06 |
xover_basin_annual <- xover_basin %>%
filter(parameter_coverage == "full") %>%
mutate(date_A = year(date_A),
date_B = year(date_B)) %>%
group_by(date_A, date_B, parameter, basin) %>%
summarise(offset_adj_weighted_mean = weighted.mean(offset_adj, w = n),
n = mean(n)) %>%
ungroup()
xover_basin_annual %>%
mutate(offset_adj_weighted_mean = cut(offset_adj_weighted_mean, c(-Inf, -5, -2, -1, 1, 2, 5, Inf))) %>%
group_split(basin, parameter) %>%
# head(1) %>%
map(
~ ggplot(data = .x,
aes(
date_A, date_B, fill = offset_adj_weighted_mean, size = n)) +
geom_point(shape = 21) +
scale_fill_discrete_diverging(palette = "Blue-Red", drop = FALSE) +
labs(title = paste(.x$basin, "|", .x$parameter, "| full")) +
coord_fixed(xlim = c(1990,2021),
ylim = c(1990,2021))
)
[[1]]

| Version | Author | Date |
|---|---|---|
| 552e4bc | jens-daniel-mueller | 2022-04-08 |
| aea9afe | jens-daniel-mueller | 2022-04-07 |
| b788368 | jens-daniel-mueller | 2022-04-06 |
| 71f5724 | jens-daniel-mueller | 2022-04-06 |
| f4c820e | jens-daniel-mueller | 2022-04-06 |
| 1f9c888 | jens-daniel-mueller | 2022-04-05 |
| f088f55 | jens-daniel-mueller | 2022-04-01 |
| dde77eb | jens-daniel-mueller | 2022-04-01 |
| 68c5278 | jens-daniel-mueller | 2022-03-15 |
| 8fd2480 | jens-daniel-mueller | 2022-03-15 |
| 9e284d1 | jens-daniel-mueller | 2022-03-14 |
| ee27ba1 | jens-daniel-mueller | 2022-03-14 |
| 1f48613 | jens-daniel-mueller | 2022-03-14 |
[[2]]

| Version | Author | Date |
|---|---|---|
| 552e4bc | jens-daniel-mueller | 2022-04-08 |
| aea9afe | jens-daniel-mueller | 2022-04-07 |
| b788368 | jens-daniel-mueller | 2022-04-06 |
| 71f5724 | jens-daniel-mueller | 2022-04-06 |
| f4c820e | jens-daniel-mueller | 2022-04-06 |
| 1f9c888 | jens-daniel-mueller | 2022-04-05 |
| f088f55 | jens-daniel-mueller | 2022-04-01 |
| dde77eb | jens-daniel-mueller | 2022-04-01 |
| 8fd2480 | jens-daniel-mueller | 2022-03-15 |
| 253dc15 | jens-daniel-mueller | 2022-03-14 |
| ee27ba1 | jens-daniel-mueller | 2022-03-14 |
| 66761b9 | jens-daniel-mueller | 2022-03-14 |
[[3]]

| Version | Author | Date |
|---|---|---|
| 552e4bc | jens-daniel-mueller | 2022-04-08 |
| aea9afe | jens-daniel-mueller | 2022-04-07 |
| b788368 | jens-daniel-mueller | 2022-04-06 |
| 71f5724 | jens-daniel-mueller | 2022-04-06 |
| f4c820e | jens-daniel-mueller | 2022-04-06 |
| 1f9c888 | jens-daniel-mueller | 2022-04-05 |
| f088f55 | jens-daniel-mueller | 2022-04-01 |
| dde77eb | jens-daniel-mueller | 2022-04-01 |
| 8fd2480 | jens-daniel-mueller | 2022-03-15 |
| 253dc15 | jens-daniel-mueller | 2022-03-14 |
| ee27ba1 | jens-daniel-mueller | 2022-03-14 |
| 66761b9 | jens-daniel-mueller | 2022-03-14 |
[[4]]

| Version | Author | Date |
|---|---|---|
| 552e4bc | jens-daniel-mueller | 2022-04-08 |
| aea9afe | jens-daniel-mueller | 2022-04-07 |
| b788368 | jens-daniel-mueller | 2022-04-06 |
| 71f5724 | jens-daniel-mueller | 2022-04-06 |
| f4c820e | jens-daniel-mueller | 2022-04-06 |
| 1f9c888 | jens-daniel-mueller | 2022-04-05 |
| f088f55 | jens-daniel-mueller | 2022-04-01 |
| dde77eb | jens-daniel-mueller | 2022-04-01 |
| 68c5278 | jens-daniel-mueller | 2022-03-15 |
| 8fd2480 | jens-daniel-mueller | 2022-03-15 |
| 9e284d1 | jens-daniel-mueller | 2022-03-14 |
| 253dc15 | jens-daniel-mueller | 2022-03-14 |
| ee27ba1 | jens-daniel-mueller | 2022-03-14 |
| 66761b9 | jens-daniel-mueller | 2022-03-14 |
[[5]]

| Version | Author | Date |
|---|---|---|
| 552e4bc | jens-daniel-mueller | 2022-04-08 |
| aea9afe | jens-daniel-mueller | 2022-04-07 |
| b788368 | jens-daniel-mueller | 2022-04-06 |
| 71f5724 | jens-daniel-mueller | 2022-04-06 |
| f4c820e | jens-daniel-mueller | 2022-04-06 |
| 1f9c888 | jens-daniel-mueller | 2022-04-05 |
| f088f55 | jens-daniel-mueller | 2022-04-01 |
| dde77eb | jens-daniel-mueller | 2022-04-01 |
| 68c5278 | jens-daniel-mueller | 2022-03-15 |
| 8fd2480 | jens-daniel-mueller | 2022-03-15 |
| 9e284d1 | jens-daniel-mueller | 2022-03-14 |
| 253dc15 | jens-daniel-mueller | 2022-03-14 |
| ee27ba1 | jens-daniel-mueller | 2022-03-14 |
| 66761b9 | jens-daniel-mueller | 2022-03-14 |
[[6]]

| Version | Author | Date |
|---|---|---|
| 552e4bc | jens-daniel-mueller | 2022-04-08 |
| aea9afe | jens-daniel-mueller | 2022-04-07 |
| b788368 | jens-daniel-mueller | 2022-04-06 |
| 71f5724 | jens-daniel-mueller | 2022-04-06 |
| f4c820e | jens-daniel-mueller | 2022-04-06 |
| 1f9c888 | jens-daniel-mueller | 2022-04-05 |
| f088f55 | jens-daniel-mueller | 2022-04-01 |
| dde77eb | jens-daniel-mueller | 2022-04-01 |
| 68c5278 | jens-daniel-mueller | 2022-03-15 |
| 8fd2480 | jens-daniel-mueller | 2022-03-15 |
| 253dc15 | jens-daniel-mueller | 2022-03-14 |
| ee27ba1 | jens-daniel-mueller | 2022-03-14 |
| 66761b9 | jens-daniel-mueller | 2022-03-14 |
[[7]]

| Version | Author | Date |
|---|---|---|
| 15c6091 | jens-daniel-mueller | 2022-04-12 |
| 6d9a172 | jens-daniel-mueller | 2022-04-12 |
| aea9afe | jens-daniel-mueller | 2022-04-07 |
| 278cf74 | jens-daniel-mueller | 2022-04-06 |
| b788368 | jens-daniel-mueller | 2022-04-06 |
| 71f5724 | jens-daniel-mueller | 2022-04-06 |
| f4c820e | jens-daniel-mueller | 2022-04-06 |
| 1f9c888 | jens-daniel-mueller | 2022-04-05 |
| f088f55 | jens-daniel-mueller | 2022-04-01 |
| dde77eb | jens-daniel-mueller | 2022-04-01 |
| 68c5278 | jens-daniel-mueller | 2022-03-15 |
| 8fd2480 | jens-daniel-mueller | 2022-03-15 |
| 253dc15 | jens-daniel-mueller | 2022-03-14 |
| ee27ba1 | jens-daniel-mueller | 2022-03-14 |
| 66761b9 | jens-daniel-mueller | 2022-03-14 |
[[8]]

| Version | Author | Date |
|---|---|---|
| 15c6091 | jens-daniel-mueller | 2022-04-12 |
| 6d9a172 | jens-daniel-mueller | 2022-04-12 |
| aea9afe | jens-daniel-mueller | 2022-04-07 |
| 278cf74 | jens-daniel-mueller | 2022-04-06 |
| b788368 | jens-daniel-mueller | 2022-04-06 |
| 71f5724 | jens-daniel-mueller | 2022-04-06 |
| f4c820e | jens-daniel-mueller | 2022-04-06 |
| 1f9c888 | jens-daniel-mueller | 2022-04-05 |
| f088f55 | jens-daniel-mueller | 2022-04-01 |
| dde77eb | jens-daniel-mueller | 2022-04-01 |
| 68c5278 | jens-daniel-mueller | 2022-03-15 |
| 8fd2480 | jens-daniel-mueller | 2022-03-15 |
| 9e284d1 | jens-daniel-mueller | 2022-03-14 |
| 253dc15 | jens-daniel-mueller | 2022-03-14 |
| ee27ba1 | jens-daniel-mueller | 2022-03-14 |
| 66761b9 | jens-daniel-mueller | 2022-03-14 |
[[9]]

| Version | Author | Date |
|---|---|---|
| 15c6091 | jens-daniel-mueller | 2022-04-12 |
| 6d9a172 | jens-daniel-mueller | 2022-04-12 |
| aea9afe | jens-daniel-mueller | 2022-04-07 |
| 278cf74 | jens-daniel-mueller | 2022-04-06 |
| b788368 | jens-daniel-mueller | 2022-04-06 |
| 71f5724 | jens-daniel-mueller | 2022-04-06 |
| f4c820e | jens-daniel-mueller | 2022-04-06 |
| 1f9c888 | jens-daniel-mueller | 2022-04-05 |
| f088f55 | jens-daniel-mueller | 2022-04-01 |
| dde77eb | jens-daniel-mueller | 2022-04-01 |
| 68c5278 | jens-daniel-mueller | 2022-03-15 |
| 8fd2480 | jens-daniel-mueller | 2022-03-15 |
| 9e284d1 | jens-daniel-mueller | 2022-03-14 |
| 253dc15 | jens-daniel-mueller | 2022-03-14 |
| ee27ba1 | jens-daniel-mueller | 2022-03-14 |
| 66761b9 | jens-daniel-mueller | 2022-03-14 |
[[10]]

| Version | Author | Date |
|---|---|---|
| 15c6091 | jens-daniel-mueller | 2022-04-12 |
| 6d9a172 | jens-daniel-mueller | 2022-04-12 |
| aea9afe | jens-daniel-mueller | 2022-04-07 |
| 278cf74 | jens-daniel-mueller | 2022-04-06 |
| b788368 | jens-daniel-mueller | 2022-04-06 |
| 71f5724 | jens-daniel-mueller | 2022-04-06 |
| f4c820e | jens-daniel-mueller | 2022-04-06 |
| 1f9c888 | jens-daniel-mueller | 2022-04-05 |
| f088f55 | jens-daniel-mueller | 2022-04-01 |
| dde77eb | jens-daniel-mueller | 2022-04-01 |
| 68c5278 | jens-daniel-mueller | 2022-03-15 |
| 8fd2480 | jens-daniel-mueller | 2022-03-15 |
| 253dc15 | jens-daniel-mueller | 2022-03-14 |
| ee27ba1 | jens-daniel-mueller | 2022-03-14 |
| 66761b9 | jens-daniel-mueller | 2022-03-14 |
[[11]]

| Version | Author | Date |
|---|---|---|
| 15c6091 | jens-daniel-mueller | 2022-04-12 |
| 6d9a172 | jens-daniel-mueller | 2022-04-12 |
| aea9afe | jens-daniel-mueller | 2022-04-07 |
| 278cf74 | jens-daniel-mueller | 2022-04-06 |
| b788368 | jens-daniel-mueller | 2022-04-06 |
| 71f5724 | jens-daniel-mueller | 2022-04-06 |
| f4c820e | jens-daniel-mueller | 2022-04-06 |
| 1f9c888 | jens-daniel-mueller | 2022-04-05 |
| dde77eb | jens-daniel-mueller | 2022-04-01 |
| 68c5278 | jens-daniel-mueller | 2022-03-15 |
| 8fd2480 | jens-daniel-mueller | 2022-03-15 |
| 253dc15 | jens-daniel-mueller | 2022-03-14 |
| ee27ba1 | jens-daniel-mueller | 2022-03-14 |
| 66761b9 | jens-daniel-mueller | 2022-03-14 |
[[12]]

| Version | Author | Date |
|---|---|---|
| 15c6091 | jens-daniel-mueller | 2022-04-12 |
| 6d9a172 | jens-daniel-mueller | 2022-04-12 |
| aea9afe | jens-daniel-mueller | 2022-04-07 |
| 278cf74 | jens-daniel-mueller | 2022-04-06 |
| b788368 | jens-daniel-mueller | 2022-04-06 |
| 71f5724 | jens-daniel-mueller | 2022-04-06 |
| f4c820e | jens-daniel-mueller | 2022-04-06 |
| 1f9c888 | jens-daniel-mueller | 2022-04-05 |
| 68c5278 | jens-daniel-mueller | 2022-03-15 |
| 8fd2480 | jens-daniel-mueller | 2022-03-15 |
| 9e284d1 | jens-daniel-mueller | 2022-03-14 |
| 253dc15 | jens-daniel-mueller | 2022-03-14 |
| ee27ba1 | jens-daniel-mueller | 2022-03-14 |
| 66761b9 | jens-daniel-mueller | 2022-03-14 |
[[13]]

| Version | Author | Date |
|---|---|---|
| 8f9904b | jens-daniel-mueller | 2022-04-07 |
| aea9afe | jens-daniel-mueller | 2022-04-07 |
| 278cf74 | jens-daniel-mueller | 2022-04-06 |
| b788368 | jens-daniel-mueller | 2022-04-06 |
| 71f5724 | jens-daniel-mueller | 2022-04-06 |
| f4c820e | jens-daniel-mueller | 2022-04-06 |
| 1f9c888 | jens-daniel-mueller | 2022-04-05 |
| 68c5278 | jens-daniel-mueller | 2022-03-15 |
| 8fd2480 | jens-daniel-mueller | 2022-03-15 |
| 9e284d1 | jens-daniel-mueller | 2022-03-14 |
| 253dc15 | jens-daniel-mueller | 2022-03-14 |
| ee27ba1 | jens-daniel-mueller | 2022-03-14 |
| 66761b9 | jens-daniel-mueller | 2022-03-14 |
[[14]]

| Version | Author | Date |
|---|---|---|
| 278cf74 | jens-daniel-mueller | 2022-04-06 |
| b788368 | jens-daniel-mueller | 2022-04-06 |
| 71f5724 | jens-daniel-mueller | 2022-04-06 |
| f4c820e | jens-daniel-mueller | 2022-04-06 |
| 1f9c888 | jens-daniel-mueller | 2022-04-05 |
| 68c5278 | jens-daniel-mueller | 2022-03-15 |
| 8fd2480 | jens-daniel-mueller | 2022-03-15 |
| 253dc15 | jens-daniel-mueller | 2022-03-14 |
| ee27ba1 | jens-daniel-mueller | 2022-03-14 |
| 66761b9 | jens-daniel-mueller | 2022-03-14 |
[[15]]

| Version | Author | Date |
|---|---|---|
| 278cf74 | jens-daniel-mueller | 2022-04-06 |
| b788368 | jens-daniel-mueller | 2022-04-06 |
| 71f5724 | jens-daniel-mueller | 2022-04-06 |
| f4c820e | jens-daniel-mueller | 2022-04-06 |
| 1f9c888 | jens-daniel-mueller | 2022-04-05 |
| 68c5278 | jens-daniel-mueller | 2022-03-15 |
| 8fd2480 | jens-daniel-mueller | 2022-03-15 |
| 253dc15 | jens-daniel-mueller | 2022-03-14 |
| ee27ba1 | jens-daniel-mueller | 2022-03-14 |
| 66761b9 | jens-daniel-mueller | 2022-03-14 |
[[16]]

| Version | Author | Date |
|---|---|---|
| 278cf74 | jens-daniel-mueller | 2022-04-06 |
| b788368 | jens-daniel-mueller | 2022-04-06 |
| 71f5724 | jens-daniel-mueller | 2022-04-06 |
| f4c820e | jens-daniel-mueller | 2022-04-06 |
| 1f9c888 | jens-daniel-mueller | 2022-04-05 |
| f088f55 | jens-daniel-mueller | 2022-04-01 |
| dde77eb | jens-daniel-mueller | 2022-04-01 |
| 68c5278 | jens-daniel-mueller | 2022-03-15 |
| 8fd2480 | jens-daniel-mueller | 2022-03-15 |
| 253dc15 | jens-daniel-mueller | 2022-03-14 |
| ee27ba1 | jens-daniel-mueller | 2022-03-14 |
| 66761b9 | jens-daniel-mueller | 2022-03-14 |
[[17]]

| Version | Author | Date |
|---|---|---|
| 278cf74 | jens-daniel-mueller | 2022-04-06 |
| b788368 | jens-daniel-mueller | 2022-04-06 |
| 71f5724 | jens-daniel-mueller | 2022-04-06 |
| f4c820e | jens-daniel-mueller | 2022-04-06 |
| 1f9c888 | jens-daniel-mueller | 2022-04-05 |
| f088f55 | jens-daniel-mueller | 2022-04-01 |
| dde77eb | jens-daniel-mueller | 2022-04-01 |
| 68c5278 | jens-daniel-mueller | 2022-03-15 |
| 8fd2480 | jens-daniel-mueller | 2022-03-15 |
| 9e284d1 | jens-daniel-mueller | 2022-03-14 |
| 253dc15 | jens-daniel-mueller | 2022-03-14 |
| ee27ba1 | jens-daniel-mueller | 2022-03-14 |
| 66761b9 | jens-daniel-mueller | 2022-03-14 |
[[18]]

| Version | Author | Date |
|---|---|---|
| 8f9904b | jens-daniel-mueller | 2022-04-07 |
| aea9afe | jens-daniel-mueller | 2022-04-07 |
| 278cf74 | jens-daniel-mueller | 2022-04-06 |
| b788368 | jens-daniel-mueller | 2022-04-06 |
| 71f5724 | jens-daniel-mueller | 2022-04-06 |
| f4c820e | jens-daniel-mueller | 2022-04-06 |
| 1f9c888 | jens-daniel-mueller | 2022-04-05 |
| f088f55 | jens-daniel-mueller | 2022-04-01 |
| dde77eb | jens-daniel-mueller | 2022-04-01 |
| 68c5278 | jens-daniel-mueller | 2022-03-15 |
| 8fd2480 | jens-daniel-mueller | 2022-03-15 |
| 253dc15 | jens-daniel-mueller | 2022-03-14 |
| ee27ba1 | jens-daniel-mueller | 2022-03-14 |
| 66761b9 | jens-daniel-mueller | 2022-03-14 |
[[19]]

| Version | Author | Date |
|---|---|---|
| 15c6091 | jens-daniel-mueller | 2022-04-12 |
| 6d9a172 | jens-daniel-mueller | 2022-04-12 |
| fd1d0ce | jens-daniel-mueller | 2022-04-11 |
| 278cf74 | jens-daniel-mueller | 2022-04-06 |
| b788368 | jens-daniel-mueller | 2022-04-06 |
| 71f5724 | jens-daniel-mueller | 2022-04-06 |
| f4c820e | jens-daniel-mueller | 2022-04-06 |
| 1f9c888 | jens-daniel-mueller | 2022-04-05 |
| f088f55 | jens-daniel-mueller | 2022-04-01 |
| dde77eb | jens-daniel-mueller | 2022-04-01 |
| 68c5278 | jens-daniel-mueller | 2022-03-15 |
| 8fd2480 | jens-daniel-mueller | 2022-03-15 |
| 253dc15 | jens-daniel-mueller | 2022-03-14 |
| ee27ba1 | jens-daniel-mueller | 2022-03-14 |
| 66761b9 | jens-daniel-mueller | 2022-03-14 |
[[20]]

| Version | Author | Date |
|---|---|---|
| 15c6091 | jens-daniel-mueller | 2022-04-12 |
| 6d9a172 | jens-daniel-mueller | 2022-04-12 |
| fd1d0ce | jens-daniel-mueller | 2022-04-11 |
| 278cf74 | jens-daniel-mueller | 2022-04-06 |
| b788368 | jens-daniel-mueller | 2022-04-06 |
| 71f5724 | jens-daniel-mueller | 2022-04-06 |
| f4c820e | jens-daniel-mueller | 2022-04-06 |
| 1f9c888 | jens-daniel-mueller | 2022-04-05 |
| f088f55 | jens-daniel-mueller | 2022-04-01 |
| dde77eb | jens-daniel-mueller | 2022-04-01 |
| 68c5278 | jens-daniel-mueller | 2022-03-15 |
| 8fd2480 | jens-daniel-mueller | 2022-03-15 |
| 9e284d1 | jens-daniel-mueller | 2022-03-14 |
| 253dc15 | jens-daniel-mueller | 2022-03-14 |
| ee27ba1 | jens-daniel-mueller | 2022-03-14 |
| 66761b9 | jens-daniel-mueller | 2022-03-14 |
[[21]]

| Version | Author | Date |
|---|---|---|
| 15c6091 | jens-daniel-mueller | 2022-04-12 |
| 6d9a172 | jens-daniel-mueller | 2022-04-12 |
| fd1d0ce | jens-daniel-mueller | 2022-04-11 |
| 278cf74 | jens-daniel-mueller | 2022-04-06 |
| b788368 | jens-daniel-mueller | 2022-04-06 |
| 71f5724 | jens-daniel-mueller | 2022-04-06 |
| f4c820e | jens-daniel-mueller | 2022-04-06 |
| 1f9c888 | jens-daniel-mueller | 2022-04-05 |
| f088f55 | jens-daniel-mueller | 2022-04-01 |
| dde77eb | jens-daniel-mueller | 2022-04-01 |
| 68c5278 | jens-daniel-mueller | 2022-03-15 |
[[22]]

| Version | Author | Date |
|---|---|---|
| 15c6091 | jens-daniel-mueller | 2022-04-12 |
| 6d9a172 | jens-daniel-mueller | 2022-04-12 |
| fd1d0ce | jens-daniel-mueller | 2022-04-11 |
| 278cf74 | jens-daniel-mueller | 2022-04-06 |
| b788368 | jens-daniel-mueller | 2022-04-06 |
| 71f5724 | jens-daniel-mueller | 2022-04-06 |
| f4c820e | jens-daniel-mueller | 2022-04-06 |
| 1f9c888 | jens-daniel-mueller | 2022-04-05 |
| f088f55 | jens-daniel-mueller | 2022-04-01 |
| dde77eb | jens-daniel-mueller | 2022-04-01 |
| 68c5278 | jens-daniel-mueller | 2022-03-15 |
[[23]]

| Version | Author | Date |
|---|---|---|
| 15c6091 | jens-daniel-mueller | 2022-04-12 |
| 6d9a172 | jens-daniel-mueller | 2022-04-12 |
| fd1d0ce | jens-daniel-mueller | 2022-04-11 |
| 278cf74 | jens-daniel-mueller | 2022-04-06 |
| b788368 | jens-daniel-mueller | 2022-04-06 |
| 71f5724 | jens-daniel-mueller | 2022-04-06 |
| f4c820e | jens-daniel-mueller | 2022-04-06 |
| 1f9c888 | jens-daniel-mueller | 2022-04-05 |
| f088f55 | jens-daniel-mueller | 2022-04-01 |
| dde77eb | jens-daniel-mueller | 2022-04-01 |
| 68c5278 | jens-daniel-mueller | 2022-03-15 |
[[24]]

| Version | Author | Date |
|---|---|---|
| 15c6091 | jens-daniel-mueller | 2022-04-12 |
| 6d9a172 | jens-daniel-mueller | 2022-04-12 |
| fd1d0ce | jens-daniel-mueller | 2022-04-11 |
| 278cf74 | jens-daniel-mueller | 2022-04-06 |
| b788368 | jens-daniel-mueller | 2022-04-06 |
| 71f5724 | jens-daniel-mueller | 2022-04-06 |
| f4c820e | jens-daniel-mueller | 2022-04-06 |
| 1f9c888 | jens-daniel-mueller | 2022-04-05 |
| f088f55 | jens-daniel-mueller | 2022-04-01 |
| dde77eb | jens-daniel-mueller | 2022-04-01 |
| 68c5278 | jens-daniel-mueller | 2022-03-15 |
[[25]]

| Version | Author | Date |
|---|---|---|
| 15c6091 | jens-daniel-mueller | 2022-04-12 |
| 6d9a172 | jens-daniel-mueller | 2022-04-12 |
| 278cf74 | jens-daniel-mueller | 2022-04-06 |
| b788368 | jens-daniel-mueller | 2022-04-06 |
| 71f5724 | jens-daniel-mueller | 2022-04-06 |
| f4c820e | jens-daniel-mueller | 2022-04-06 |
| 1f9c888 | jens-daniel-mueller | 2022-04-05 |
| f088f55 | jens-daniel-mueller | 2022-04-01 |
| dde77eb | jens-daniel-mueller | 2022-04-01 |
| 68c5278 | jens-daniel-mueller | 2022-03-15 |
[[26]]

[[27]]

[[28]]

[[29]]

[[30]]

The aim of the decadal scale analysis is to investigate mean crossover offsets between all cruises from two decades.
expocodes_basin <- unique(c(xover_basin$cruise_A, xover_basin$cruise_B))
# loop over each cruises
# determine the mean decadal crossover from other cruises
for (i_cruise_expocode in expocodes_basin) {
# i_cruise_expocode <- expocodes_basin[1]
xover_cruise <- m_xover_cruise_extractation(
df = xover_basin %>% mutate(adjustment_A = 0,
adjustment_B = 0,
offset = 0),
expocode = i_cruise_expocode)
xover_cruise <- xover_cruise %>%
select(-c(starts_with("adjustment"), offset))
# calculate long-term mean offsets for cruise
# Note: weighting is only done based on size of cruise B
xover_cruise_partial <- xover_cruise %>%
group_by(cruise_A, date_A, n_A, parameter, basin) %>%
summarise(
offset_adj_mean = mean(offset_adj, na.rm = TRUE),
offset_adj_mean_weighted = weighted.mean(x = offset_adj, w = n_B, na.rm = TRUE)
) %>%
ungroup()
xover_cruise_full <- xover_cruise %>%
filter(parameter_coverage == "full") %>%
group_by(cruise_A, date_A, n_A, parameter, basin) %>%
summarise(
offset_adj_mean = mean(offset_adj, na.rm = TRUE),
offset_adj_mean_weighted = weighted.mean(x = offset_adj, w = n_B, na.rm = TRUE)
) %>%
ungroup()
xover_cruise_long_term <- bind_rows(
xover_cruise_full %>% mutate(parameter_coverage = "full"),
xover_cruise_partial %>% mutate(parameter_coverage = "partial")
)
rm(xover_cruise_full,
xover_cruise_partial)
if (exists("xover_cruise_long_term_all")) {
xover_cruise_long_term_all <-
bind_rows(xover_cruise_long_term_all, xover_cruise_long_term)
}
if (!exists("xover_cruise_long_term_all")) {
xover_cruise_long_term_all <- xover_cruise_long_term
}
# cut cruise B date into decades
xover_cruise <- xover_cruise %>%
mutate(decade = m_grid_decade(year(date_B))) %>%
arrange(date_B)
# calculate decadal mean offsets for cruise
# Note: weighting is only done based on size of cruise B
xover_cruise_decade_partial <- xover_cruise %>%
group_by(cruise_A, date_A, n_A, parameter, decade, basin) %>%
summarise(
offset_adj_sd = sd(offset_adj, na.rm = TRUE),
offset_adj_mean = mean(offset_adj, na.rm = TRUE),
offset_adj_mean_weighted = weighted.mean(x = offset_adj, w = n_B, na.rm = TRUE)
) %>%
ungroup()
xover_cruise_decade_full <- xover_cruise %>%
filter(parameter_coverage == "full") %>%
group_by(cruise_A, date_A, n_A, parameter, decade, basin) %>%
summarise(
offset_adj_sd = sd(offset_adj, na.rm = TRUE),
offset_adj_mean = mean(offset_adj, na.rm = TRUE),
offset_adj_mean_weighted = weighted.mean(x = offset_adj, w = n_B, na.rm = TRUE)
) %>%
ungroup()
xover_cruise_decade <- bind_rows(
xover_cruise_decade_full %>% mutate(parameter_coverage = "full"),
xover_cruise_decade_partial %>% mutate(parameter_coverage = "partial")
)
rm(xover_cruise_decade_full,
xover_cruise_decade_partial)
if (exists("xover_cruise_decade_all")) {
xover_cruise_decade_all <-
bind_rows(xover_cruise_decade_all, xover_cruise_decade)
}
if (!exists("xover_cruise_decade_all")) {
xover_cruise_decade_all <- xover_cruise_decade
}
}
hline_intercept <-
tibble(parameter = unique(xover_basin$parameter)) %>%
mutate(intercept = if_else(parameter %in% c("phosphate"),
1,
0))
xover_cruise_long_term_all %>%
filter(parameter_coverage == "full") %>%
group_split(basin) %>%
# head(1) %>%
map(
~ ggplot(data = .x,
aes(date_A, offset_adj_mean_weighted, size = n_A)) +
geom_hline(data = hline_intercept, aes(yintercept = intercept)) +
geom_point(alpha = 0.3) +
labs(title = paste(.x$basin, "| full")) +
# coord_cartesian(ylim = c(-10,10)) +
facet_grid(parameter ~ ., scales = "free_y")
)
[[1]] 
| Version | Author | Date |
|---|---|---|
| 552e4bc | jens-daniel-mueller | 2022-04-08 |
| aea9afe | jens-daniel-mueller | 2022-04-07 |
| 278cf74 | jens-daniel-mueller | 2022-04-06 |
| b788368 | jens-daniel-mueller | 2022-04-06 |
| 71f5724 | jens-daniel-mueller | 2022-04-06 |
| f4c820e | jens-daniel-mueller | 2022-04-06 |
| 1f9c888 | jens-daniel-mueller | 2022-04-05 |
| f088f55 | jens-daniel-mueller | 2022-04-01 |
| dde77eb | jens-daniel-mueller | 2022-04-01 |
| 68c5278 | jens-daniel-mueller | 2022-03-15 |
| 8fd2480 | jens-daniel-mueller | 2022-03-15 |
| 9e284d1 | jens-daniel-mueller | 2022-03-14 |
| 6aedeb8 | jens-daniel-mueller | 2022-03-14 |
| ceae601 | jens-daniel-mueller | 2022-03-14 |
| 744b90f | jens-daniel-mueller | 2022-03-11 |
| 25fef5b | jens-daniel-mueller | 2022-03-11 |
| e3d1a2b | jens-daniel-mueller | 2022-03-10 |
| 070ca03 | jens-daniel-mueller | 2022-03-09 |
| 9db485e | jens-daniel-mueller | 2022-02-25 |
| 4a7550e | jens-daniel-mueller | 2022-02-15 |
| 8804a83 | jens-daniel-mueller | 2022-02-15 |
| e1243c2 | jens-daniel-mueller | 2022-02-15 |
[[2]] 
| Version | Author | Date |
|---|---|---|
| 15c6091 | jens-daniel-mueller | 2022-04-12 |
| 6d9a172 | jens-daniel-mueller | 2022-04-12 |
| ebfaa81 | jens-daniel-mueller | 2022-04-08 |
| 8f9904b | jens-daniel-mueller | 2022-04-07 |
| aea9afe | jens-daniel-mueller | 2022-04-07 |
| 278cf74 | jens-daniel-mueller | 2022-04-06 |
| b788368 | jens-daniel-mueller | 2022-04-06 |
| 71f5724 | jens-daniel-mueller | 2022-04-06 |
| f4c820e | jens-daniel-mueller | 2022-04-06 |
| 1f9c888 | jens-daniel-mueller | 2022-04-05 |
| f088f55 | jens-daniel-mueller | 2022-04-01 |
| dde77eb | jens-daniel-mueller | 2022-04-01 |
| 68c5278 | jens-daniel-mueller | 2022-03-15 |
| 8fd2480 | jens-daniel-mueller | 2022-03-15 |
| 9e284d1 | jens-daniel-mueller | 2022-03-14 |
| 253dc15 | jens-daniel-mueller | 2022-03-14 |
| 6aedeb8 | jens-daniel-mueller | 2022-03-14 |
| ceae601 | jens-daniel-mueller | 2022-03-14 |
| 744b90f | jens-daniel-mueller | 2022-03-11 |
| 25fef5b | jens-daniel-mueller | 2022-03-11 |
| e3d1a2b | jens-daniel-mueller | 2022-03-10 |
| 070ca03 | jens-daniel-mueller | 2022-03-09 |
| 6e65117 | jens-daniel-mueller | 2022-02-16 |
| 4a7550e | jens-daniel-mueller | 2022-02-15 |
| 8804a83 | jens-daniel-mueller | 2022-02-15 |
| e1243c2 | jens-daniel-mueller | 2022-02-15 |
[[3]] 
| Version | Author | Date |
|---|---|---|
| ebfaa81 | jens-daniel-mueller | 2022-04-08 |
| 8f9904b | jens-daniel-mueller | 2022-04-07 |
| aea9afe | jens-daniel-mueller | 2022-04-07 |
| 278cf74 | jens-daniel-mueller | 2022-04-06 |
| b788368 | jens-daniel-mueller | 2022-04-06 |
| 71f5724 | jens-daniel-mueller | 2022-04-06 |
| f4c820e | jens-daniel-mueller | 2022-04-06 |
| 1f9c888 | jens-daniel-mueller | 2022-04-05 |
| dde77eb | jens-daniel-mueller | 2022-04-01 |
| 68c5278 | jens-daniel-mueller | 2022-03-15 |
| 8fd2480 | jens-daniel-mueller | 2022-03-15 |
| 9e284d1 | jens-daniel-mueller | 2022-03-14 |
| 253dc15 | jens-daniel-mueller | 2022-03-14 |
| 6aedeb8 | jens-daniel-mueller | 2022-03-14 |
| ceae601 | jens-daniel-mueller | 2022-03-14 |
| 744b90f | jens-daniel-mueller | 2022-03-11 |
| 25fef5b | jens-daniel-mueller | 2022-03-11 |
| e3d1a2b | jens-daniel-mueller | 2022-03-10 |
| 070ca03 | jens-daniel-mueller | 2022-03-09 |
| 6e65117 | jens-daniel-mueller | 2022-02-16 |
| 4a7550e | jens-daniel-mueller | 2022-02-15 |
| 8804a83 | jens-daniel-mueller | 2022-02-15 |
| e1243c2 | jens-daniel-mueller | 2022-02-15 |
[[4]] 
| Version | Author | Date |
|---|---|---|
| 15c6091 | jens-daniel-mueller | 2022-04-12 |
| 6d9a172 | jens-daniel-mueller | 2022-04-12 |
| fd1d0ce | jens-daniel-mueller | 2022-04-11 |
| ebfaa81 | jens-daniel-mueller | 2022-04-08 |
| 8f9904b | jens-daniel-mueller | 2022-04-07 |
| 278cf74 | jens-daniel-mueller | 2022-04-06 |
| b788368 | jens-daniel-mueller | 2022-04-06 |
| 71f5724 | jens-daniel-mueller | 2022-04-06 |
| f4c820e | jens-daniel-mueller | 2022-04-06 |
| 1f9c888 | jens-daniel-mueller | 2022-04-05 |
| f088f55 | jens-daniel-mueller | 2022-04-01 |
| dde77eb | jens-daniel-mueller | 2022-04-01 |
| 68c5278 | jens-daniel-mueller | 2022-03-15 |
| 8fd2480 | jens-daniel-mueller | 2022-03-15 |
| 9e284d1 | jens-daniel-mueller | 2022-03-14 |
| 253dc15 | jens-daniel-mueller | 2022-03-14 |
| 6aedeb8 | jens-daniel-mueller | 2022-03-14 |
| ceae601 | jens-daniel-mueller | 2022-03-14 |
| 744b90f | jens-daniel-mueller | 2022-03-11 |
| 25fef5b | jens-daniel-mueller | 2022-03-11 |
| e3d1a2b | jens-daniel-mueller | 2022-03-10 |
| 070ca03 | jens-daniel-mueller | 2022-03-09 |
| 6e65117 | jens-daniel-mueller | 2022-02-16 |
| 4a7550e | jens-daniel-mueller | 2022-02-15 |
| 8804a83 | jens-daniel-mueller | 2022-02-15 |
| e1243c2 | jens-daniel-mueller | 2022-02-15 |
[[5]] 
| Version | Author | Date |
|---|---|---|
| 15c6091 | jens-daniel-mueller | 2022-04-12 |
| 6d9a172 | jens-daniel-mueller | 2022-04-12 |
| 552e4bc | jens-daniel-mueller | 2022-04-08 |
| ebfaa81 | jens-daniel-mueller | 2022-04-08 |
| 8f9904b | jens-daniel-mueller | 2022-04-07 |
| 278cf74 | jens-daniel-mueller | 2022-04-06 |
| b788368 | jens-daniel-mueller | 2022-04-06 |
| 71f5724 | jens-daniel-mueller | 2022-04-06 |
| f4c820e | jens-daniel-mueller | 2022-04-06 |
| 1f9c888 | jens-daniel-mueller | 2022-04-05 |
| f088f55 | jens-daniel-mueller | 2022-04-01 |
| dde77eb | jens-daniel-mueller | 2022-04-01 |
| 68c5278 | jens-daniel-mueller | 2022-03-15 |
| 8fd2480 | jens-daniel-mueller | 2022-03-15 |
| 9e284d1 | jens-daniel-mueller | 2022-03-14 |
| 253dc15 | jens-daniel-mueller | 2022-03-14 |
| 6aedeb8 | jens-daniel-mueller | 2022-03-14 |
| ceae601 | jens-daniel-mueller | 2022-03-14 |
| 744b90f | jens-daniel-mueller | 2022-03-11 |
| 25fef5b | jens-daniel-mueller | 2022-03-11 |
| e3d1a2b | jens-daniel-mueller | 2022-03-10 |
| 070ca03 | jens-daniel-mueller | 2022-03-09 |
| 9db485e | jens-daniel-mueller | 2022-02-25 |
| 6e65117 | jens-daniel-mueller | 2022-02-16 |
| 4a7550e | jens-daniel-mueller | 2022-02-15 |
| 8804a83 | jens-daniel-mueller | 2022-02-15 |
| e1243c2 | jens-daniel-mueller | 2022-02-15 |
xover_cruise_decade_all %>%
filter(parameter_coverage == "full") %>%
group_split(basin) %>%
# head(1) %>%
map(
~ ggplot(data = .x,
aes(date_A, offset_adj_mean_weighted, size = n_A)) +
geom_hline(data = hline_intercept, aes(yintercept = intercept)) +
geom_point(alpha = 0.3) +
labs(title = paste(.x$basin, "| full")) +
# coord_cartesian(ylim = c(-10,10)) +
facet_grid(parameter ~ decade, scales = "free_y")
)
[[1]] 
| Version | Author | Date |
|---|---|---|
| 552e4bc | jens-daniel-mueller | 2022-04-08 |
| ebfaa81 | jens-daniel-mueller | 2022-04-08 |
| 8f9904b | jens-daniel-mueller | 2022-04-07 |
| aea9afe | jens-daniel-mueller | 2022-04-07 |
| 278cf74 | jens-daniel-mueller | 2022-04-06 |
| b788368 | jens-daniel-mueller | 2022-04-06 |
| 71f5724 | jens-daniel-mueller | 2022-04-06 |
| f4c820e | jens-daniel-mueller | 2022-04-06 |
| 1f9c888 | jens-daniel-mueller | 2022-04-05 |
| f088f55 | jens-daniel-mueller | 2022-04-01 |
| dde77eb | jens-daniel-mueller | 2022-04-01 |
| 68c5278 | jens-daniel-mueller | 2022-03-15 |
| 8fd2480 | jens-daniel-mueller | 2022-03-15 |
| 9e284d1 | jens-daniel-mueller | 2022-03-14 |
| 253dc15 | jens-daniel-mueller | 2022-03-14 |
| 6aedeb8 | jens-daniel-mueller | 2022-03-14 |
| ceae601 | jens-daniel-mueller | 2022-03-14 |
| 744b90f | jens-daniel-mueller | 2022-03-11 |
| 25fef5b | jens-daniel-mueller | 2022-03-11 |
| e3d1a2b | jens-daniel-mueller | 2022-03-10 |
| 070ca03 | jens-daniel-mueller | 2022-03-09 |
| 6e65117 | jens-daniel-mueller | 2022-02-16 |
| 4a7550e | jens-daniel-mueller | 2022-02-15 |
| 8804a83 | jens-daniel-mueller | 2022-02-15 |
| e1243c2 | jens-daniel-mueller | 2022-02-15 |
[[2]] 
| Version | Author | Date |
|---|---|---|
| 15c6091 | jens-daniel-mueller | 2022-04-12 |
| 6d9a172 | jens-daniel-mueller | 2022-04-12 |
| ebfaa81 | jens-daniel-mueller | 2022-04-08 |
| 8f9904b | jens-daniel-mueller | 2022-04-07 |
| aea9afe | jens-daniel-mueller | 2022-04-07 |
| 278cf74 | jens-daniel-mueller | 2022-04-06 |
| b788368 | jens-daniel-mueller | 2022-04-06 |
| 71f5724 | jens-daniel-mueller | 2022-04-06 |
| f4c820e | jens-daniel-mueller | 2022-04-06 |
| 1f9c888 | jens-daniel-mueller | 2022-04-05 |
| f088f55 | jens-daniel-mueller | 2022-04-01 |
| dde77eb | jens-daniel-mueller | 2022-04-01 |
| 68c5278 | jens-daniel-mueller | 2022-03-15 |
| 8fd2480 | jens-daniel-mueller | 2022-03-15 |
| 9e284d1 | jens-daniel-mueller | 2022-03-14 |
| 253dc15 | jens-daniel-mueller | 2022-03-14 |
| 6aedeb8 | jens-daniel-mueller | 2022-03-14 |
| ceae601 | jens-daniel-mueller | 2022-03-14 |
| 744b90f | jens-daniel-mueller | 2022-03-11 |
| 25fef5b | jens-daniel-mueller | 2022-03-11 |
| e3d1a2b | jens-daniel-mueller | 2022-03-10 |
| 070ca03 | jens-daniel-mueller | 2022-03-09 |
| 6e65117 | jens-daniel-mueller | 2022-02-16 |
| 4a7550e | jens-daniel-mueller | 2022-02-15 |
| 8804a83 | jens-daniel-mueller | 2022-02-15 |
| e1243c2 | jens-daniel-mueller | 2022-02-15 |
[[3]] 
| Version | Author | Date |
|---|---|---|
| ebfaa81 | jens-daniel-mueller | 2022-04-08 |
| 8f9904b | jens-daniel-mueller | 2022-04-07 |
| aea9afe | jens-daniel-mueller | 2022-04-07 |
| 278cf74 | jens-daniel-mueller | 2022-04-06 |
| b788368 | jens-daniel-mueller | 2022-04-06 |
| 71f5724 | jens-daniel-mueller | 2022-04-06 |
| f4c820e | jens-daniel-mueller | 2022-04-06 |
| 1f9c888 | jens-daniel-mueller | 2022-04-05 |
| dde77eb | jens-daniel-mueller | 2022-04-01 |
| 68c5278 | jens-daniel-mueller | 2022-03-15 |
| 8fd2480 | jens-daniel-mueller | 2022-03-15 |
| 9e284d1 | jens-daniel-mueller | 2022-03-14 |
| 253dc15 | jens-daniel-mueller | 2022-03-14 |
| 6aedeb8 | jens-daniel-mueller | 2022-03-14 |
| ceae601 | jens-daniel-mueller | 2022-03-14 |
| 744b90f | jens-daniel-mueller | 2022-03-11 |
| 25fef5b | jens-daniel-mueller | 2022-03-11 |
| e3d1a2b | jens-daniel-mueller | 2022-03-10 |
| 070ca03 | jens-daniel-mueller | 2022-03-09 |
| 6e65117 | jens-daniel-mueller | 2022-02-16 |
| 4a7550e | jens-daniel-mueller | 2022-02-15 |
| 8804a83 | jens-daniel-mueller | 2022-02-15 |
| e1243c2 | jens-daniel-mueller | 2022-02-15 |
[[4]] 
| Version | Author | Date |
|---|---|---|
| 15c6091 | jens-daniel-mueller | 2022-04-12 |
| 6d9a172 | jens-daniel-mueller | 2022-04-12 |
| fd1d0ce | jens-daniel-mueller | 2022-04-11 |
| 552e4bc | jens-daniel-mueller | 2022-04-08 |
| ebfaa81 | jens-daniel-mueller | 2022-04-08 |
| 8f9904b | jens-daniel-mueller | 2022-04-07 |
| 278cf74 | jens-daniel-mueller | 2022-04-06 |
| b788368 | jens-daniel-mueller | 2022-04-06 |
| 71f5724 | jens-daniel-mueller | 2022-04-06 |
| f4c820e | jens-daniel-mueller | 2022-04-06 |
| 1f9c888 | jens-daniel-mueller | 2022-04-05 |
| f088f55 | jens-daniel-mueller | 2022-04-01 |
| dde77eb | jens-daniel-mueller | 2022-04-01 |
| 68c5278 | jens-daniel-mueller | 2022-03-15 |
| 8fd2480 | jens-daniel-mueller | 2022-03-15 |
| 9e284d1 | jens-daniel-mueller | 2022-03-14 |
| 253dc15 | jens-daniel-mueller | 2022-03-14 |
| 6aedeb8 | jens-daniel-mueller | 2022-03-14 |
| ceae601 | jens-daniel-mueller | 2022-03-14 |
| 744b90f | jens-daniel-mueller | 2022-03-11 |
| 25fef5b | jens-daniel-mueller | 2022-03-11 |
| e3d1a2b | jens-daniel-mueller | 2022-03-10 |
| 070ca03 | jens-daniel-mueller | 2022-03-09 |
| 9db485e | jens-daniel-mueller | 2022-02-25 |
| 6e65117 | jens-daniel-mueller | 2022-02-16 |
| 4a7550e | jens-daniel-mueller | 2022-02-15 |
| 8804a83 | jens-daniel-mueller | 2022-02-15 |
| e1243c2 | jens-daniel-mueller | 2022-02-15 |
[[5]] 
| Version | Author | Date |
|---|---|---|
| 15c6091 | jens-daniel-mueller | 2022-04-12 |
| 6d9a172 | jens-daniel-mueller | 2022-04-12 |
| 552e4bc | jens-daniel-mueller | 2022-04-08 |
| ebfaa81 | jens-daniel-mueller | 2022-04-08 |
| 8f9904b | jens-daniel-mueller | 2022-04-07 |
| 278cf74 | jens-daniel-mueller | 2022-04-06 |
| b788368 | jens-daniel-mueller | 2022-04-06 |
| 71f5724 | jens-daniel-mueller | 2022-04-06 |
| f4c820e | jens-daniel-mueller | 2022-04-06 |
| 1f9c888 | jens-daniel-mueller | 2022-04-05 |
| f088f55 | jens-daniel-mueller | 2022-04-01 |
| dde77eb | jens-daniel-mueller | 2022-04-01 |
| 68c5278 | jens-daniel-mueller | 2022-03-15 |
| 8fd2480 | jens-daniel-mueller | 2022-03-15 |
| 9e284d1 | jens-daniel-mueller | 2022-03-14 |
| 253dc15 | jens-daniel-mueller | 2022-03-14 |
| 6aedeb8 | jens-daniel-mueller | 2022-03-14 |
| ceae601 | jens-daniel-mueller | 2022-03-14 |
| 744b90f | jens-daniel-mueller | 2022-03-11 |
| 25fef5b | jens-daniel-mueller | 2022-03-11 |
| e3d1a2b | jens-daniel-mueller | 2022-03-10 |
| 070ca03 | jens-daniel-mueller | 2022-03-09 |
| 6e65117 | jens-daniel-mueller | 2022-02-16 |
| 4a7550e | jens-daniel-mueller | 2022-02-15 |
| 8804a83 | jens-daniel-mueller | 2022-02-15 |
| e1243c2 | jens-daniel-mueller | 2022-02-15 |
xover_cruise_long_term_all <- xover_cruise_long_term_all %>%
mutate(decade_A = m_grid_decade(year(date_A)))
xover_cruise_long_term_all %>%
filter(parameter_coverage == "full") %>%
group_split(basin) %>%
# head(1) %>%
map(
~ ggplot(data = .x,
aes(n_A, offset_adj_mean_weighted, size = n_A, fill = decade_A)) +
geom_hline(data = hline_intercept, aes(yintercept = intercept)) +
geom_point(alpha = 0.5, shape = 21) +
scale_fill_discrete_sequential(palette = "viridis") +
labs(title = paste(.x$basin, "| full")) +
# coord_cartesian(ylim = c(-10,10)) +
facet_grid(parameter ~ ., scales = "free_y")
)
[[1]]

| Version | Author | Date |
|---|---|---|
| 552e4bc | jens-daniel-mueller | 2022-04-08 |
| aea9afe | jens-daniel-mueller | 2022-04-07 |
| 278cf74 | jens-daniel-mueller | 2022-04-06 |
| b788368 | jens-daniel-mueller | 2022-04-06 |
| 71f5724 | jens-daniel-mueller | 2022-04-06 |
| f4c820e | jens-daniel-mueller | 2022-04-06 |
| 1f9c888 | jens-daniel-mueller | 2022-04-05 |
| f088f55 | jens-daniel-mueller | 2022-04-01 |
| dde77eb | jens-daniel-mueller | 2022-04-01 |
| 68c5278 | jens-daniel-mueller | 2022-03-15 |
| 8fd2480 | jens-daniel-mueller | 2022-03-15 |
| 9e284d1 | jens-daniel-mueller | 2022-03-14 |
| 253dc15 | jens-daniel-mueller | 2022-03-14 |
| 6aedeb8 | jens-daniel-mueller | 2022-03-14 |
| ceae601 | jens-daniel-mueller | 2022-03-14 |
[[2]]

| Version | Author | Date |
|---|---|---|
| 15c6091 | jens-daniel-mueller | 2022-04-12 |
| 6d9a172 | jens-daniel-mueller | 2022-04-12 |
| aea9afe | jens-daniel-mueller | 2022-04-07 |
| 278cf74 | jens-daniel-mueller | 2022-04-06 |
| b788368 | jens-daniel-mueller | 2022-04-06 |
| 71f5724 | jens-daniel-mueller | 2022-04-06 |
| f4c820e | jens-daniel-mueller | 2022-04-06 |
| 1f9c888 | jens-daniel-mueller | 2022-04-05 |
| f088f55 | jens-daniel-mueller | 2022-04-01 |
| dde77eb | jens-daniel-mueller | 2022-04-01 |
| 68c5278 | jens-daniel-mueller | 2022-03-15 |
| 8fd2480 | jens-daniel-mueller | 2022-03-15 |
| 9e284d1 | jens-daniel-mueller | 2022-03-14 |
| 253dc15 | jens-daniel-mueller | 2022-03-14 |
| 6aedeb8 | jens-daniel-mueller | 2022-03-14 |
| ceae601 | jens-daniel-mueller | 2022-03-14 |
[[3]]

| Version | Author | Date |
|---|---|---|
| 8f9904b | jens-daniel-mueller | 2022-04-07 |
| aea9afe | jens-daniel-mueller | 2022-04-07 |
| 278cf74 | jens-daniel-mueller | 2022-04-06 |
| b788368 | jens-daniel-mueller | 2022-04-06 |
| 71f5724 | jens-daniel-mueller | 2022-04-06 |
| f4c820e | jens-daniel-mueller | 2022-04-06 |
| 1f9c888 | jens-daniel-mueller | 2022-04-05 |
| dde77eb | jens-daniel-mueller | 2022-04-01 |
| 68c5278 | jens-daniel-mueller | 2022-03-15 |
| 8fd2480 | jens-daniel-mueller | 2022-03-15 |
| 9e284d1 | jens-daniel-mueller | 2022-03-14 |
| 253dc15 | jens-daniel-mueller | 2022-03-14 |
| 6aedeb8 | jens-daniel-mueller | 2022-03-14 |
| ceae601 | jens-daniel-mueller | 2022-03-14 |
[[4]]

| Version | Author | Date |
|---|---|---|
| 15c6091 | jens-daniel-mueller | 2022-04-12 |
| 6d9a172 | jens-daniel-mueller | 2022-04-12 |
| fd1d0ce | jens-daniel-mueller | 2022-04-11 |
| 552e4bc | jens-daniel-mueller | 2022-04-08 |
| 278cf74 | jens-daniel-mueller | 2022-04-06 |
| b788368 | jens-daniel-mueller | 2022-04-06 |
| 71f5724 | jens-daniel-mueller | 2022-04-06 |
| f4c820e | jens-daniel-mueller | 2022-04-06 |
| 1f9c888 | jens-daniel-mueller | 2022-04-05 |
| f088f55 | jens-daniel-mueller | 2022-04-01 |
| dde77eb | jens-daniel-mueller | 2022-04-01 |
| 68c5278 | jens-daniel-mueller | 2022-03-15 |
| 8fd2480 | jens-daniel-mueller | 2022-03-15 |
| 9e284d1 | jens-daniel-mueller | 2022-03-14 |
| 253dc15 | jens-daniel-mueller | 2022-03-14 |
| 6aedeb8 | jens-daniel-mueller | 2022-03-14 |
| ceae601 | jens-daniel-mueller | 2022-03-14 |
[[5]]

| Version | Author | Date |
|---|---|---|
| 15c6091 | jens-daniel-mueller | 2022-04-12 |
| 6d9a172 | jens-daniel-mueller | 2022-04-12 |
| 552e4bc | jens-daniel-mueller | 2022-04-08 |
| 278cf74 | jens-daniel-mueller | 2022-04-06 |
| b788368 | jens-daniel-mueller | 2022-04-06 |
| 71f5724 | jens-daniel-mueller | 2022-04-06 |
| f4c820e | jens-daniel-mueller | 2022-04-06 |
| 1f9c888 | jens-daniel-mueller | 2022-04-05 |
| f088f55 | jens-daniel-mueller | 2022-04-01 |
| dde77eb | jens-daniel-mueller | 2022-04-01 |
| 68c5278 | jens-daniel-mueller | 2022-03-15 |
| 8fd2480 | jens-daniel-mueller | 2022-03-15 |
| 9e284d1 | jens-daniel-mueller | 2022-03-14 |
| 253dc15 | jens-daniel-mueller | 2022-03-14 |
| 6aedeb8 | jens-daniel-mueller | 2022-03-14 |
| ceae601 | jens-daniel-mueller | 2022-03-14 |
xover_cruise_decade_all <- xover_cruise_decade_all %>%
mutate(decade_A = m_grid_decade(year(date_A)))
xover_cruise_decade_all %>%
filter(parameter_coverage == "full") %>%
group_split(basin) %>%
# head(1) %>%
map(
~ ggplot(data = .x,
aes(n_A, offset_adj_mean_weighted, size = n_A, fill = decade_A)) +
geom_hline(data = hline_intercept, aes(yintercept = intercept)) +
geom_point(alpha = 0.5, shape = 21) +
scale_fill_discrete_sequential(palette = "viridis") +
labs(title = paste(.x$basin, "| full")) +
# coord_cartesian(ylim = c(-10,10)) +
facet_grid(parameter ~ decade, scales = "free_y")
)
[[1]]

| Version | Author | Date |
|---|---|---|
| 552e4bc | jens-daniel-mueller | 2022-04-08 |
| aea9afe | jens-daniel-mueller | 2022-04-07 |
| 278cf74 | jens-daniel-mueller | 2022-04-06 |
| b788368 | jens-daniel-mueller | 2022-04-06 |
| 71f5724 | jens-daniel-mueller | 2022-04-06 |
| f4c820e | jens-daniel-mueller | 2022-04-06 |
| 1f9c888 | jens-daniel-mueller | 2022-04-05 |
| f088f55 | jens-daniel-mueller | 2022-04-01 |
| dde77eb | jens-daniel-mueller | 2022-04-01 |
| 68c5278 | jens-daniel-mueller | 2022-03-15 |
| 8fd2480 | jens-daniel-mueller | 2022-03-15 |
| 9e284d1 | jens-daniel-mueller | 2022-03-14 |
| 253dc15 | jens-daniel-mueller | 2022-03-14 |
| 6aedeb8 | jens-daniel-mueller | 2022-03-14 |
| ceae601 | jens-daniel-mueller | 2022-03-14 |
[[2]]

| Version | Author | Date |
|---|---|---|
| 15c6091 | jens-daniel-mueller | 2022-04-12 |
| 6d9a172 | jens-daniel-mueller | 2022-04-12 |
| aea9afe | jens-daniel-mueller | 2022-04-07 |
| 278cf74 | jens-daniel-mueller | 2022-04-06 |
| b788368 | jens-daniel-mueller | 2022-04-06 |
| 71f5724 | jens-daniel-mueller | 2022-04-06 |
| f4c820e | jens-daniel-mueller | 2022-04-06 |
| 1f9c888 | jens-daniel-mueller | 2022-04-05 |
| f088f55 | jens-daniel-mueller | 2022-04-01 |
| dde77eb | jens-daniel-mueller | 2022-04-01 |
| 68c5278 | jens-daniel-mueller | 2022-03-15 |
| 8fd2480 | jens-daniel-mueller | 2022-03-15 |
| 9e284d1 | jens-daniel-mueller | 2022-03-14 |
| 253dc15 | jens-daniel-mueller | 2022-03-14 |
| 6aedeb8 | jens-daniel-mueller | 2022-03-14 |
| ceae601 | jens-daniel-mueller | 2022-03-14 |
[[3]]

| Version | Author | Date |
|---|---|---|
| 8f9904b | jens-daniel-mueller | 2022-04-07 |
| aea9afe | jens-daniel-mueller | 2022-04-07 |
| 278cf74 | jens-daniel-mueller | 2022-04-06 |
| b788368 | jens-daniel-mueller | 2022-04-06 |
| 71f5724 | jens-daniel-mueller | 2022-04-06 |
| f4c820e | jens-daniel-mueller | 2022-04-06 |
| 1f9c888 | jens-daniel-mueller | 2022-04-05 |
| dde77eb | jens-daniel-mueller | 2022-04-01 |
| 68c5278 | jens-daniel-mueller | 2022-03-15 |
| 8fd2480 | jens-daniel-mueller | 2022-03-15 |
| 9e284d1 | jens-daniel-mueller | 2022-03-14 |
| 253dc15 | jens-daniel-mueller | 2022-03-14 |
| 6aedeb8 | jens-daniel-mueller | 2022-03-14 |
| ceae601 | jens-daniel-mueller | 2022-03-14 |
[[4]]

| Version | Author | Date |
|---|---|---|
| 15c6091 | jens-daniel-mueller | 2022-04-12 |
| 6d9a172 | jens-daniel-mueller | 2022-04-12 |
| fd1d0ce | jens-daniel-mueller | 2022-04-11 |
| 552e4bc | jens-daniel-mueller | 2022-04-08 |
| 278cf74 | jens-daniel-mueller | 2022-04-06 |
| b788368 | jens-daniel-mueller | 2022-04-06 |
| 71f5724 | jens-daniel-mueller | 2022-04-06 |
| f4c820e | jens-daniel-mueller | 2022-04-06 |
| 1f9c888 | jens-daniel-mueller | 2022-04-05 |
| f088f55 | jens-daniel-mueller | 2022-04-01 |
| dde77eb | jens-daniel-mueller | 2022-04-01 |
| 68c5278 | jens-daniel-mueller | 2022-03-15 |
| 8fd2480 | jens-daniel-mueller | 2022-03-15 |
| 9e284d1 | jens-daniel-mueller | 2022-03-14 |
| 253dc15 | jens-daniel-mueller | 2022-03-14 |
| 6aedeb8 | jens-daniel-mueller | 2022-03-14 |
| ceae601 | jens-daniel-mueller | 2022-03-14 |
[[5]]

| Version | Author | Date |
|---|---|---|
| 15c6091 | jens-daniel-mueller | 2022-04-12 |
| 6d9a172 | jens-daniel-mueller | 2022-04-12 |
| 552e4bc | jens-daniel-mueller | 2022-04-08 |
| 278cf74 | jens-daniel-mueller | 2022-04-06 |
| b788368 | jens-daniel-mueller | 2022-04-06 |
| 71f5724 | jens-daniel-mueller | 2022-04-06 |
| f4c820e | jens-daniel-mueller | 2022-04-06 |
| 1f9c888 | jens-daniel-mueller | 2022-04-05 |
| f088f55 | jens-daniel-mueller | 2022-04-01 |
| dde77eb | jens-daniel-mueller | 2022-04-01 |
| 68c5278 | jens-daniel-mueller | 2022-03-15 |
| 8fd2480 | jens-daniel-mueller | 2022-03-15 |
| 9e284d1 | jens-daniel-mueller | 2022-03-14 |
| 253dc15 | jens-daniel-mueller | 2022-03-14 |
| 6aedeb8 | jens-daniel-mueller | 2022-03-14 |
| ceae601 | jens-daniel-mueller | 2022-03-14 |
xover_cruise_decade_all %>%
filter(
parameter_coverage == "full",
parameter %in% c("cstar_tco2", "cstar_talk", "cstar_phosphate"),
basin == "N. Pacific",
decade != "1989-1999"
) %>%
group_split(basin) %>%
# head(1) %>%
map(
~ ggplot(
data = .x,
aes(
n_A,
offset_adj_mean_weighted,
size = n_A,
fill = decade_A
)
) +
geom_hline(data = hline_intercept, aes(yintercept = intercept)) +
geom_point(alpha = 0.5, shape = 21) +
scale_fill_discrete_sequential(palette = "viridis") +
labs(title = paste(.x$basin, "| full")) +
# coord_cartesian(ylim = c(-10,10)) +
facet_grid(decade ~ parameter)
)
[[1]]

| Version | Author | Date |
|---|---|---|
| e5a1aa7 | jens-daniel-mueller | 2022-05-16 |
| 8f9904b | jens-daniel-mueller | 2022-04-07 |
| aea9afe | jens-daniel-mueller | 2022-04-07 |
| 278cf74 | jens-daniel-mueller | 2022-04-06 |
| b788368 | jens-daniel-mueller | 2022-04-06 |
| f4c820e | jens-daniel-mueller | 2022-04-06 |
| 1f9c888 | jens-daniel-mueller | 2022-04-05 |
| dde77eb | jens-daniel-mueller | 2022-04-01 |
| 68c5278 | jens-daniel-mueller | 2022-03-15 |
| 9e284d1 | jens-daniel-mueller | 2022-03-14 |
xover_cruise_decade_all %>%
filter(
parameter_coverage == "full",
parameter %in% c("cstar_total"),
basin == "N. Pacific",
decade == "2000-2009"
) %>%
group_split(basin) %>%
# head(1) %>%
map(
~ ggplot(
data = .x,
aes(
n_A,
offset_adj_mean_weighted,
size = n_A,
fill = decade_A
)
) +
geom_hline(yintercept = 0) +
geom_point(alpha = 0.5, shape = 21) +
scale_fill_discrete_sequential(palette = "viridis",
name = "Cruise decade") +
labs(title = paste(.x$basin, "| full"),
y = "Mean C* xover offset (µmol/kg)",
x = "Cruise size") +
# coord_cartesian(ylim = c(-10,10)) +
facet_grid(decade ~ .)
)
[[1]]

NPO_2010_small_cruises <- xover_cruise_decade_all %>%
filter(
parameter_coverage == "full",
parameter %in% c("cstar_total"),
basin == "N. Pacific",
decade == "2000-2009",
n_A < 500,
decade_A == "2010-2020"
) %>%
distinct(cruise_A) %>%
pull()
unique(str_sub(NPO_2010_small_cruises, 1, 4))
[1] "49UF" "49UP"
# retrieve subbasin expocodes
expocodes_basin <- GLODAP %>%
filter(basin == "N. Pacific",
!is.na(decade)) %>%
count(cruise_expocode)
# remove expocodes with observations outside decades
expocodes_basin_out <- GLODAP %>%
filter(basin == i_basin,
is.na(decade)) %>%
distinct(cruise_expocode) %>%
pull()
expocodes_basin <- expocodes_basin %>%
filter(!(cruise_expocode %in% expocodes_basin_out))
rm(expocodes_basin_out)
GLODAP_basin <- GLODAP %>%
filter(cruise_expocode %in% expocodes_basin$cruise_expocode)
# subset cruise with all qc flag = 1
expocodes_basin_qc <- GLODAP_basin %>%
select(cruise_expocode, ends_with("qc")) %>%
filter(if_all(ends_with("qc"), ~ . == 1)) %>%
distinct(cruise_expocode) %>%
pull(cruise_expocode)
# subset cruise with all f flag = 2
expocodes_basin_f <- GLODAP_basin %>%
select(cruise_expocode, ends_with("f")) %>%
filter(if_all(ends_with("f"), ~ . == 2)) %>%
distinct(cruise_expocode) %>%
pull(cruise_expocode)
# join qc and f cruises and identify lower number of observations
expocodes_basin <- expocodes_basin %>%
mutate(
parameter_coverage = if_else(
cruise_expocode %in% expocodes_basin_qc &
cruise_expocode %in% expocodes_basin_f,
"full",
"partial"
)
)
rm(expocodes_basin_f, expocodes_basin_qc)
GLODAP_basin_grid <- GLODAP_basin %>%
count(cruise_expocode, lat, lon, decade)
GLODAP_basin_grid <- full_join(GLODAP_basin_grid %>% select(-n),
expocodes_basin)
map +
geom_tile(data = GLODAP_basin_grid %>% filter(parameter_coverage == "full"),
aes(lon, lat, fill = "full")) +
scale_fill_brewer(palette = "Set1") +
labs(title = i_basin) +
facet_grid(decade ~ .) +
theme(legend.title = element_blank())

| Version | Author | Date |
|---|---|---|
| e5a1aa7 | jens-daniel-mueller | 2022-05-16 |
expocodes_basin_removed_40S <- GLODAP_basin_grid %>%
filter(lat < -40) %>%
distinct(cruise_expocode) %>%
pull()
expocodes_basin <- expocodes_basin %>%
filter(!(cruise_expocode %in% expocodes_basin_removed_40S))
expocodes_xover_NP <- expocodes_basin
map +
geom_tile(
data = GLODAP_basin_grid %>%
filter(
parameter_coverage == "full" &
cruise_expocode %in% expocodes_basin$cruise_expocode &
decade == "2010-2020"
),
aes(lon, lat, fill = "all cruises")
) +
geom_tile(
data = GLODAP_basin_grid %>%
filter(
parameter_coverage == "full" &
cruise_expocode %in% expocodes_basin$cruise_expocode &
cruise_expocode %in% NPO_2010_small_cruises &
decade == "2010-2020"
),
aes(lon, lat, fill = "n_A < 500")
) +
coord_quickmap(xlim = c(100,280),
ylim = c(-20,60))+
# scale_fill_brewer(palette = "Dark2") +
scale_fill_manual(values = c("#8dd3c7", "#e41a1c")) +
labs(title = i_basin,
subtitle = "Maintained cruises") +
facet_grid(decade ~ .) +
theme(legend.title = element_blank())

xover_cruise_long_term_all %>%
filter(parameter_coverage == "full") %>%
group_split(basin) %>%
# head(1) %>%
map(
~ ggplot(data = .x,
aes(decade_A, offset_adj_mean_weighted)) +
geom_hline(data = hline_intercept, aes(yintercept = intercept)) +
geom_boxplot() +
geom_point(aes(size = n_A), alpha = 0.3) +
scale_fill_discrete_sequential(palette = "viridis") +
labs(title = paste(.x$basin, "| full")) +
# coord_cartesian(ylim = c(-10,10)) +
facet_grid(parameter ~ ., scales = "free_y")
)
[[1]]

| Version | Author | Date |
|---|---|---|
| 552e4bc | jens-daniel-mueller | 2022-04-08 |
| aea9afe | jens-daniel-mueller | 2022-04-07 |
| 278cf74 | jens-daniel-mueller | 2022-04-06 |
| b788368 | jens-daniel-mueller | 2022-04-06 |
| 71f5724 | jens-daniel-mueller | 2022-04-06 |
| f4c820e | jens-daniel-mueller | 2022-04-06 |
| 1f9c888 | jens-daniel-mueller | 2022-04-05 |
| f088f55 | jens-daniel-mueller | 2022-04-01 |
| dde77eb | jens-daniel-mueller | 2022-04-01 |
| 68c5278 | jens-daniel-mueller | 2022-03-15 |
| 9e284d1 | jens-daniel-mueller | 2022-03-14 |
| 253dc15 | jens-daniel-mueller | 2022-03-14 |
[[2]]

| Version | Author | Date |
|---|---|---|
| 15c6091 | jens-daniel-mueller | 2022-04-12 |
| 6d9a172 | jens-daniel-mueller | 2022-04-12 |
| aea9afe | jens-daniel-mueller | 2022-04-07 |
| 278cf74 | jens-daniel-mueller | 2022-04-06 |
| b788368 | jens-daniel-mueller | 2022-04-06 |
| 71f5724 | jens-daniel-mueller | 2022-04-06 |
| f4c820e | jens-daniel-mueller | 2022-04-06 |
| 1f9c888 | jens-daniel-mueller | 2022-04-05 |
| f088f55 | jens-daniel-mueller | 2022-04-01 |
| dde77eb | jens-daniel-mueller | 2022-04-01 |
| 68c5278 | jens-daniel-mueller | 2022-03-15 |
| 9e284d1 | jens-daniel-mueller | 2022-03-14 |
| 253dc15 | jens-daniel-mueller | 2022-03-14 |
[[3]]

| Version | Author | Date |
|---|---|---|
| 8f9904b | jens-daniel-mueller | 2022-04-07 |
| aea9afe | jens-daniel-mueller | 2022-04-07 |
| 278cf74 | jens-daniel-mueller | 2022-04-06 |
| b788368 | jens-daniel-mueller | 2022-04-06 |
| 71f5724 | jens-daniel-mueller | 2022-04-06 |
| f4c820e | jens-daniel-mueller | 2022-04-06 |
| 1f9c888 | jens-daniel-mueller | 2022-04-05 |
| dde77eb | jens-daniel-mueller | 2022-04-01 |
| 68c5278 | jens-daniel-mueller | 2022-03-15 |
| 9e284d1 | jens-daniel-mueller | 2022-03-14 |
| 253dc15 | jens-daniel-mueller | 2022-03-14 |
[[4]]

| Version | Author | Date |
|---|---|---|
| 15c6091 | jens-daniel-mueller | 2022-04-12 |
| 6d9a172 | jens-daniel-mueller | 2022-04-12 |
| fd1d0ce | jens-daniel-mueller | 2022-04-11 |
| 552e4bc | jens-daniel-mueller | 2022-04-08 |
| 278cf74 | jens-daniel-mueller | 2022-04-06 |
| b788368 | jens-daniel-mueller | 2022-04-06 |
| 71f5724 | jens-daniel-mueller | 2022-04-06 |
| f4c820e | jens-daniel-mueller | 2022-04-06 |
| 1f9c888 | jens-daniel-mueller | 2022-04-05 |
| f088f55 | jens-daniel-mueller | 2022-04-01 |
| dde77eb | jens-daniel-mueller | 2022-04-01 |
| 68c5278 | jens-daniel-mueller | 2022-03-15 |
| 9e284d1 | jens-daniel-mueller | 2022-03-14 |
| 253dc15 | jens-daniel-mueller | 2022-03-14 |
[[5]]

| Version | Author | Date |
|---|---|---|
| 15c6091 | jens-daniel-mueller | 2022-04-12 |
| 6d9a172 | jens-daniel-mueller | 2022-04-12 |
| 552e4bc | jens-daniel-mueller | 2022-04-08 |
| 278cf74 | jens-daniel-mueller | 2022-04-06 |
| b788368 | jens-daniel-mueller | 2022-04-06 |
| 71f5724 | jens-daniel-mueller | 2022-04-06 |
| f4c820e | jens-daniel-mueller | 2022-04-06 |
| 1f9c888 | jens-daniel-mueller | 2022-04-05 |
| f088f55 | jens-daniel-mueller | 2022-04-01 |
| dde77eb | jens-daniel-mueller | 2022-04-01 |
| 68c5278 | jens-daniel-mueller | 2022-03-15 |
| 9e284d1 | jens-daniel-mueller | 2022-03-14 |
| 253dc15 | jens-daniel-mueller | 2022-03-14 |
xover_cruise_long_term_all %>%
group_by(basin, decade_A, parameter_coverage, parameter) %>%
summarise(
offset_adj_sd = sd(offset_adj_mean_weighted, na.rm = TRUE),
offset_adj_mean_weighted = weighted.mean(offset_adj_mean_weighted, w = n_A)
) %>%
ungroup() %>%
drop_na() %>%
filter(parameter_coverage == "full") %>%
ggplot(
aes(
decade_A,
offset_adj_mean_weighted,
ymin = offset_adj_mean_weighted - offset_adj_sd,
ymax = offset_adj_mean_weighted + offset_adj_sd
)
) +
geom_hline(data = hline_intercept, aes(yintercept = intercept)) +
geom_linerange() +
geom_point() +
facet_grid(parameter ~ basin, scales = "free_y") +
# coord_cartesian(ylim = c(-10,10)) +
theme(axis.text.x = element_text(angle = 90))

| Version | Author | Date |
|---|---|---|
| 15c6091 | jens-daniel-mueller | 2022-04-12 |
| 6d9a172 | jens-daniel-mueller | 2022-04-12 |
| fd1d0ce | jens-daniel-mueller | 2022-04-11 |
| 552e4bc | jens-daniel-mueller | 2022-04-08 |
| 8f9904b | jens-daniel-mueller | 2022-04-07 |
| aea9afe | jens-daniel-mueller | 2022-04-07 |
| 278cf74 | jens-daniel-mueller | 2022-04-06 |
| b788368 | jens-daniel-mueller | 2022-04-06 |
| 71f5724 | jens-daniel-mueller | 2022-04-06 |
| f4c820e | jens-daniel-mueller | 2022-04-06 |
| 1f9c888 | jens-daniel-mueller | 2022-04-05 |
| f088f55 | jens-daniel-mueller | 2022-04-01 |
| dde77eb | jens-daniel-mueller | 2022-04-01 |
| 68c5278 | jens-daniel-mueller | 2022-03-15 |
| 9e284d1 | jens-daniel-mueller | 2022-03-14 |
| 253dc15 | jens-daniel-mueller | 2022-03-14 |
xover_cruise_decade_all %>%
filter(parameter_coverage == "full") %>%
group_split(basin) %>%
# head(1) %>%
map(
~ ggplot(
data = .x,
aes(
decade_A,
offset_adj_mean_weighted
)
) +
geom_hline(data = hline_intercept, aes(yintercept = intercept)) +
geom_boxplot() +
geom_point(aes(size = n_A), alpha = 0.3) +
scale_fill_discrete_sequential(palette = "viridis") +
labs(title = paste(.x$basin, "| full")) +
# coord_cartesian(ylim = c(-10,10)) +
facet_grid(parameter ~ decade, scales = "free_y") +
theme(axis.text.x = element_text(angle = 90))
)
[[1]]

| Version | Author | Date |
|---|---|---|
| 013fe68 | jens-daniel-mueller | 2022-04-12 |
| 552e4bc | jens-daniel-mueller | 2022-04-08 |
| aea9afe | jens-daniel-mueller | 2022-04-07 |
| 278cf74 | jens-daniel-mueller | 2022-04-06 |
| b788368 | jens-daniel-mueller | 2022-04-06 |
| 71f5724 | jens-daniel-mueller | 2022-04-06 |
| f4c820e | jens-daniel-mueller | 2022-04-06 |
| 1f9c888 | jens-daniel-mueller | 2022-04-05 |
| f088f55 | jens-daniel-mueller | 2022-04-01 |
| dde77eb | jens-daniel-mueller | 2022-04-01 |
| 68c5278 | jens-daniel-mueller | 2022-03-15 |
| 9e284d1 | jens-daniel-mueller | 2022-03-14 |
| 253dc15 | jens-daniel-mueller | 2022-03-14 |
[[2]]

| Version | Author | Date |
|---|---|---|
| 013fe68 | jens-daniel-mueller | 2022-04-12 |
| 15c6091 | jens-daniel-mueller | 2022-04-12 |
| 6d9a172 | jens-daniel-mueller | 2022-04-12 |
| aea9afe | jens-daniel-mueller | 2022-04-07 |
| 278cf74 | jens-daniel-mueller | 2022-04-06 |
| b788368 | jens-daniel-mueller | 2022-04-06 |
| 71f5724 | jens-daniel-mueller | 2022-04-06 |
| f4c820e | jens-daniel-mueller | 2022-04-06 |
| 1f9c888 | jens-daniel-mueller | 2022-04-05 |
| f088f55 | jens-daniel-mueller | 2022-04-01 |
| dde77eb | jens-daniel-mueller | 2022-04-01 |
| 68c5278 | jens-daniel-mueller | 2022-03-15 |
| 9e284d1 | jens-daniel-mueller | 2022-03-14 |
| 253dc15 | jens-daniel-mueller | 2022-03-14 |
[[3]]

| Version | Author | Date |
|---|---|---|
| 013fe68 | jens-daniel-mueller | 2022-04-12 |
| 8f9904b | jens-daniel-mueller | 2022-04-07 |
| aea9afe | jens-daniel-mueller | 2022-04-07 |
| 278cf74 | jens-daniel-mueller | 2022-04-06 |
| b788368 | jens-daniel-mueller | 2022-04-06 |
| 71f5724 | jens-daniel-mueller | 2022-04-06 |
| f4c820e | jens-daniel-mueller | 2022-04-06 |
| 1f9c888 | jens-daniel-mueller | 2022-04-05 |
| dde77eb | jens-daniel-mueller | 2022-04-01 |
| 68c5278 | jens-daniel-mueller | 2022-03-15 |
| 9e284d1 | jens-daniel-mueller | 2022-03-14 |
| 253dc15 | jens-daniel-mueller | 2022-03-14 |
[[4]]

| Version | Author | Date |
|---|---|---|
| 013fe68 | jens-daniel-mueller | 2022-04-12 |
| 15c6091 | jens-daniel-mueller | 2022-04-12 |
| 6d9a172 | jens-daniel-mueller | 2022-04-12 |
| fd1d0ce | jens-daniel-mueller | 2022-04-11 |
| 552e4bc | jens-daniel-mueller | 2022-04-08 |
| 278cf74 | jens-daniel-mueller | 2022-04-06 |
| b788368 | jens-daniel-mueller | 2022-04-06 |
| 71f5724 | jens-daniel-mueller | 2022-04-06 |
| f4c820e | jens-daniel-mueller | 2022-04-06 |
| 1f9c888 | jens-daniel-mueller | 2022-04-05 |
| f088f55 | jens-daniel-mueller | 2022-04-01 |
| dde77eb | jens-daniel-mueller | 2022-04-01 |
| 68c5278 | jens-daniel-mueller | 2022-03-15 |
| 9e284d1 | jens-daniel-mueller | 2022-03-14 |
| 253dc15 | jens-daniel-mueller | 2022-03-14 |
[[5]]

| Version | Author | Date |
|---|---|---|
| 013fe68 | jens-daniel-mueller | 2022-04-12 |
| 15c6091 | jens-daniel-mueller | 2022-04-12 |
| 6d9a172 | jens-daniel-mueller | 2022-04-12 |
| 552e4bc | jens-daniel-mueller | 2022-04-08 |
| 278cf74 | jens-daniel-mueller | 2022-04-06 |
| b788368 | jens-daniel-mueller | 2022-04-06 |
| 71f5724 | jens-daniel-mueller | 2022-04-06 |
| f4c820e | jens-daniel-mueller | 2022-04-06 |
| 1f9c888 | jens-daniel-mueller | 2022-04-05 |
| f088f55 | jens-daniel-mueller | 2022-04-01 |
| dde77eb | jens-daniel-mueller | 2022-04-01 |
| 68c5278 | jens-daniel-mueller | 2022-03-15 |
| 9e284d1 | jens-daniel-mueller | 2022-03-14 |
| 253dc15 | jens-daniel-mueller | 2022-03-14 |
xover_cruise_decade_all_stats <- xover_cruise_decade_all %>%
group_by(basin, decade_A, decade, parameter_coverage, parameter) %>%
summarise(
offset_adj_sd = sd(offset_adj_mean_weighted),
offset_adj_mean_weighted = weighted.mean(offset_adj_mean_weighted, w = n_A)
) %>%
ungroup() %>%
drop_na() %>%
filter(parameter_coverage == "full")
xover_cruise_decade_all_stats %>%
group_split(basin) %>%
# head(1) %>%
map(
~ ggplot(
data = .x,
aes(
decade_A,
offset_adj_mean_weighted,
ymin = offset_adj_mean_weighted - offset_adj_sd,
ymax = offset_adj_mean_weighted + offset_adj_sd
)
) +
geom_hline(data = hline_intercept, aes(yintercept = intercept)) +
geom_linerange() +
geom_point() +
labs(title = .x$basin) +
facet_grid(parameter ~ decade, scales = "free_y") +
# coord_cartesian(ylim = c(-10,10)) +
theme(axis.text.x = element_text(angle = 90))
)
[[1]]

| Version | Author | Date |
|---|---|---|
| 552e4bc | jens-daniel-mueller | 2022-04-08 |
| aea9afe | jens-daniel-mueller | 2022-04-07 |
| 278cf74 | jens-daniel-mueller | 2022-04-06 |
| b788368 | jens-daniel-mueller | 2022-04-06 |
| 71f5724 | jens-daniel-mueller | 2022-04-06 |
| f4c820e | jens-daniel-mueller | 2022-04-06 |
| 1f9c888 | jens-daniel-mueller | 2022-04-05 |
| f088f55 | jens-daniel-mueller | 2022-04-01 |
| dde77eb | jens-daniel-mueller | 2022-04-01 |
| 68c5278 | jens-daniel-mueller | 2022-03-15 |
| 9e284d1 | jens-daniel-mueller | 2022-03-14 |
| 253dc15 | jens-daniel-mueller | 2022-03-14 |
[[2]]

[[3]]

[[4]]

[[5]]

xover_cruise_decade_all %>%
filter(parameter_coverage == "full",
parameter == "cstar_total") %>%
ggplot(aes(basin,
offset_adj_mean_weighted,
col = decade_A)) +
geom_hline(yintercept = 0) +
geom_boxplot(position = position_dodge(width = 0.5), width = 0.4) +
geom_point(aes(size = n_A), alpha = 0.3, position = position_dodge(width = 0.5)) +
scale_color_brewer(palette = "Set1",
name = "Cruise decade") +
scale_size(name = "Cruise size") +
labs(y = "Mean C* xover offset (µmol/kg)") +
facet_grid(decade ~ ., scales = "free_y")

| Version | Author | Date |
|---|---|---|
| e6efbd9 | jens-daniel-mueller | 2022-04-12 |
xover_cruise_decade_all_stats %>%
filter(parameter == "cstar_total") %>%
ggplot(
aes(
basin,
offset_adj_mean_weighted,
ymin = offset_adj_mean_weighted - offset_adj_sd,
ymax = offset_adj_mean_weighted + offset_adj_sd,
col = decade_A
)
) +
geom_hline(yintercept = 0) +
geom_linerange(position = position_dodge(width = 0.5)) +
geom_point(position = position_dodge(width = 0.5)) +
scale_color_brewer(palette = "Set1",
name = "Cruise decade") +
facet_grid(decade ~ ., scales = "free_y") +
labs(y = "Mean C* xover offset (µmol/kg)")

| Version | Author | Date |
|---|---|---|
| e6efbd9 | jens-daniel-mueller | 2022-04-12 |
xover_cruise_decade_all_stats %>%
kable() %>%
kable_styling() %>%
scroll_box(height = "300px")
| basin | decade_A | decade | parameter_coverage | parameter | offset_adj_sd | offset_adj_mean_weighted |
|---|---|---|---|---|---|---|
| Indian | 1989-1999 | 1989-1999 | full | cstar_phosphate | 0.9631055 | -0.1826489 |
| Indian | 1989-1999 | 1989-1999 | full | cstar_talk | 1.2424576 | 0.1373542 |
| Indian | 1989-1999 | 1989-1999 | full | cstar_tco2 | 1.0564448 | 0.1224673 |
| Indian | 1989-1999 | 1989-1999 | full | cstar_tco2_talk | 1.5618456 | 0.2598215 |
| Indian | 1989-1999 | 1989-1999 | full | cstar_total | 1.3419899 | 0.1392754 |
| Indian | 1989-1999 | 1989-1999 | full | phosphate | 0.0033578 | 1.0006577 |
| Indian | 1989-1999 | 2000-2009 | full | cstar_phosphate | 2.7976918 | -1.4212444 |
| Indian | 1989-1999 | 2000-2009 | full | cstar_talk | 1.2271519 | -2.0396302 |
| Indian | 1989-1999 | 2000-2009 | full | cstar_tco2 | 1.0116962 | -2.4013387 |
| Indian | 1989-1999 | 2000-2009 | full | cstar_tco2_talk | 1.0726414 | -4.4322588 |
| Indian | 1989-1999 | 2000-2009 | full | cstar_total | 3.4564378 | -5.7626271 |
| Indian | 1989-1999 | 2000-2009 | full | phosphate | 0.0097916 | 1.0050585 |
| Indian | 1989-1999 | 2010-2020 | full | cstar_phosphate | 1.9491732 | -1.5370083 |
| Indian | 1989-1999 | 2010-2020 | full | cstar_talk | 1.0551398 | -1.9062670 |
| Indian | 1989-1999 | 2010-2020 | full | cstar_tco2 | 1.5527528 | -1.3398019 |
| Indian | 1989-1999 | 2010-2020 | full | cstar_tco2_talk | 1.7526136 | -3.2460689 |
| Indian | 1989-1999 | 2010-2020 | full | cstar_total | 2.3768977 | -4.8299192 |
| Indian | 1989-1999 | 2010-2020 | full | phosphate | 0.0068743 | 1.0054067 |
| Indian | 2000-2009 | 1989-1999 | full | cstar_phosphate | 1.5481489 | 1.3617898 |
| Indian | 2000-2009 | 1989-1999 | full | cstar_talk | 0.8491657 | 2.3770500 |
| Indian | 2000-2009 | 1989-1999 | full | cstar_tco2 | 0.9953539 | 2.1820878 |
| Indian | 2000-2009 | 1989-1999 | full | cstar_tco2_talk | 1.1282869 | 4.5615973 |
| Indian | 2000-2009 | 1989-1999 | full | cstar_total | 2.5521002 | 5.9071792 |
| Indian | 2000-2009 | 1989-1999 | full | phosphate | 0.0053715 | 0.9952751 |
| Indian | 2000-2009 | 2000-2009 | full | cstar_phosphate | 1.3681917 | -0.7053242 |
| Indian | 2000-2009 | 2000-2009 | full | cstar_talk | 0.8455740 | 0.2388593 |
| Indian | 2000-2009 | 2000-2009 | full | cstar_tco2 | 3.1444963 | -0.7415573 |
| Indian | 2000-2009 | 2000-2009 | full | cstar_tco2_talk | 2.3546141 | -0.5026980 |
| Indian | 2000-2009 | 2000-2009 | full | cstar_total | 3.2327337 | -1.2080222 |
| Indian | 2000-2009 | 2000-2009 | full | phosphate | 0.0047269 | 1.0024547 |
| Indian | 2000-2009 | 2010-2020 | full | cstar_phosphate | 1.1956580 | -0.6178377 |
| Indian | 2000-2009 | 2010-2020 | full | cstar_talk | 0.4522808 | -0.6743647 |
| Indian | 2000-2009 | 2010-2020 | full | cstar_tco2 | 1.4503446 | 0.3482799 |
| Indian | 2000-2009 | 2010-2020 | full | cstar_tco2_talk | 1.2156743 | -0.3785022 |
| Indian | 2000-2009 | 2010-2020 | full | cstar_total | 1.7084040 | -1.0971634 |
| Indian | 2000-2009 | 2010-2020 | full | phosphate | 0.0041476 | 1.0021605 |
| Indian | 2010-2020 | 1989-1999 | full | cstar_phosphate | 0.4838364 | 1.2571975 |
| Indian | 2010-2020 | 1989-1999 | full | cstar_talk | 0.6533940 | 2.0861444 |
| Indian | 2010-2020 | 1989-1999 | full | cstar_tco2 | 2.2185765 | 1.8344808 |
| Indian | 2010-2020 | 1989-1999 | full | cstar_tco2_talk | 2.2311179 | 3.9206252 |
| Indian | 2010-2020 | 1989-1999 | full | cstar_total | 2.4527398 | 5.3403599 |
| Indian | 2010-2020 | 1989-1999 | full | phosphate | 0.0016787 | 0.9956380 |
| Indian | 2010-2020 | 2000-2009 | full | cstar_phosphate | 1.7372188 | 0.9188737 |
| Indian | 2010-2020 | 2000-2009 | full | cstar_talk | 0.3475233 | 0.7699599 |
| Indian | 2010-2020 | 2000-2009 | full | cstar_tco2 | 3.2147801 | -0.8264844 |
| Indian | 2010-2020 | 2000-2009 | full | cstar_tco2_talk | 3.1986717 | 0.0195429 |
| Indian | 2010-2020 | 2000-2009 | full | cstar_total | 1.6905531 | 0.8995135 |
| Indian | 2010-2020 | 2000-2009 | full | phosphate | 0.0060275 | 0.9968119 |
| N. Atlantic | 1989-1999 | 1989-1999 | full | cstar_phosphate | 1.8522680 | 0.0380725 |
| N. Atlantic | 1989-1999 | 1989-1999 | full | cstar_talk | 0.7821484 | 0.0300445 |
| N. Atlantic | 1989-1999 | 1989-1999 | full | cstar_tco2 | 2.7996690 | -0.0817260 |
| N. Atlantic | 1989-1999 | 1989-1999 | full | cstar_tco2_talk | 2.3104955 | -0.0516815 |
| N. Atlantic | 1989-1999 | 1989-1999 | full | cstar_total | 3.6864755 | -0.0136091 |
| N. Atlantic | 1989-1999 | 1989-1999 | full | phosphate | 0.0125717 | 0.9998684 |
| N. Atlantic | 1989-1999 | 2000-2009 | full | cstar_phosphate | 4.8433632 | 0.0539574 |
| N. Atlantic | 1989-1999 | 2000-2009 | full | cstar_talk | 1.2732581 | -0.2241677 |
| N. Atlantic | 1989-1999 | 2000-2009 | full | cstar_tco2 | 1.6783162 | -1.9948989 |
| N. Atlantic | 1989-1999 | 2000-2009 | full | cstar_tco2_talk | 1.4210953 | -2.2190666 |
| N. Atlantic | 1989-1999 | 2000-2009 | full | cstar_total | 2.9743525 | -2.4779484 |
| N. Atlantic | 1989-1999 | 2000-2009 | full | phosphate | 0.0298682 | 1.0002473 |
| N. Atlantic | 1989-1999 | 2010-2020 | full | cstar_phosphate | 1.6190169 | 0.6525501 |
| N. Atlantic | 1989-1999 | 2010-2020 | full | cstar_talk | 1.2065681 | -0.0100468 |
| N. Atlantic | 1989-1999 | 2010-2020 | full | cstar_tco2 | 3.5527365 | -4.2445403 |
| N. Atlantic | 1989-1999 | 2010-2020 | full | cstar_tco2_talk | 3.0584075 | -4.0768213 |
| N. Atlantic | 1989-1999 | 2010-2020 | full | cstar_total | 4.5807196 | -2.6425977 |
| N. Atlantic | 1989-1999 | 2010-2020 | full | phosphate | 0.0104615 | 0.9958570 |
| N. Atlantic | 2000-2009 | 1989-1999 | full | cstar_phosphate | 4.2749016 | -0.5778945 |
| N. Atlantic | 2000-2009 | 1989-1999 | full | cstar_talk | 1.1714038 | 0.3841504 |
| N. Atlantic | 2000-2009 | 1989-1999 | full | cstar_tco2 | 2.5424426 | 2.3950842 |
| N. Atlantic | 2000-2009 | 1989-1999 | full | cstar_tco2_talk | 2.3725451 | 2.7792345 |
| N. Atlantic | 2000-2009 | 1989-1999 | full | cstar_total | 4.3430704 | 2.5051509 |
| N. Atlantic | 2000-2009 | 1989-1999 | full | phosphate | 0.0279895 | 1.0037837 |
| N. Atlantic | 2000-2009 | 2000-2009 | full | cstar_phosphate | 2.1723560 | -0.1020065 |
| N. Atlantic | 2000-2009 | 2000-2009 | full | cstar_talk | 1.3523082 | 0.0211256 |
| N. Atlantic | 2000-2009 | 2000-2009 | full | cstar_tco2 | 1.8578489 | 0.1695433 |
| N. Atlantic | 2000-2009 | 2000-2009 | full | cstar_tco2_talk | 2.2189836 | 0.1906689 |
| N. Atlantic | 2000-2009 | 2000-2009 | full | cstar_total | 3.1817616 | -0.1220870 |
| N. Atlantic | 2000-2009 | 2000-2009 | full | phosphate | 0.0144409 | 1.0008083 |
| N. Atlantic | 2000-2009 | 2010-2020 | full | cstar_phosphate | 1.6924360 | -0.0797780 |
| N. Atlantic | 2000-2009 | 2010-2020 | full | cstar_talk | 1.7415208 | 0.4601185 |
| N. Atlantic | 2000-2009 | 2010-2020 | full | cstar_tco2 | 1.5809408 | -2.1016211 |
| N. Atlantic | 2000-2009 | 2010-2020 | full | cstar_tco2_talk | 1.9126218 | -1.9470059 |
| N. Atlantic | 2000-2009 | 2010-2020 | full | cstar_total | 2.7052815 | -2.4149582 |
| N. Atlantic | 2000-2009 | 2010-2020 | full | phosphate | 0.0112367 | 1.0006677 |
| N. Atlantic | 2010-2020 | 1989-1999 | full | cstar_phosphate | 1.8121239 | -0.7423459 |
| N. Atlantic | 2010-2020 | 1989-1999 | full | cstar_talk | 3.4551205 | 0.1980788 |
| N. Atlantic | 2010-2020 | 1989-1999 | full | cstar_tco2 | 4.4816869 | 3.7545364 |
| N. Atlantic | 2010-2020 | 1989-1999 | full | cstar_tco2_talk | 5.8781328 | 4.0287865 |
| N. Atlantic | 2010-2020 | 1989-1999 | full | cstar_total | 7.1281814 | 3.4634167 |
| N. Atlantic | 2010-2020 | 1989-1999 | full | phosphate | 0.0118647 | 1.0048604 |
| N. Atlantic | 2010-2020 | 2000-2009 | full | cstar_phosphate | 1.5687865 | -0.2176621 |
| N. Atlantic | 2010-2020 | 2000-2009 | full | cstar_talk | 4.0006327 | -0.3790497 |
| N. Atlantic | 2010-2020 | 2000-2009 | full | cstar_tco2 | 1.8189240 | 2.0536913 |
| N. Atlantic | 2010-2020 | 2000-2009 | full | cstar_tco2_talk | 4.7110837 | 1.9294120 |
| N. Atlantic | 2010-2020 | 2000-2009 | full | cstar_total | 5.3005704 | 1.8472916 |
| N. Atlantic | 2010-2020 | 2000-2009 | full | phosphate | 0.0102715 | 1.0014251 |
| N. Atlantic | 2010-2020 | 2010-2020 | full | cstar_phosphate | 1.6764219 | -0.5296656 |
| N. Atlantic | 2010-2020 | 2010-2020 | full | cstar_talk | 4.8546717 | -0.1181060 |
| N. Atlantic | 2010-2020 | 2010-2020 | full | cstar_tco2 | 2.3214161 | -0.2500351 |
| N. Atlantic | 2010-2020 | 2010-2020 | full | cstar_tco2_talk | 6.4542485 | -0.4887707 |
| N. Atlantic | 2010-2020 | 2010-2020 | full | cstar_total | 6.2593449 | -0.9725758 |
| N. Atlantic | 2010-2020 | 2010-2020 | full | phosphate | 0.0109467 | 1.0035063 |
| N. Pacific | 1989-1999 | 1989-1999 | full | cstar_phosphate | 2.9031457 | 0.3388906 |
| N. Pacific | 1989-1999 | 1989-1999 | full | cstar_talk | 1.5435045 | 0.2918820 |
| N. Pacific | 1989-1999 | 1989-1999 | full | cstar_tco2 | 2.4179817 | 0.2454546 |
| N. Pacific | 1989-1999 | 1989-1999 | full | cstar_tco2_talk | 2.4524715 | 0.0002714 |
| N. Pacific | 1989-1999 | 1989-1999 | full | cstar_total | 4.6338280 | -0.1223613 |
| N. Pacific | 1989-1999 | 1989-1999 | full | phosphate | 0.0087031 | 0.9990988 |
| N. Pacific | 1989-1999 | 2000-2009 | full | cstar_phosphate | 2.2106020 | 1.9013209 |
| N. Pacific | 1989-1999 | 2000-2009 | full | cstar_talk | 0.9325883 | -0.7682435 |
| N. Pacific | 1989-1999 | 2000-2009 | full | cstar_tco2 | 1.8440585 | -0.9353876 |
| N. Pacific | 1989-1999 | 2000-2009 | full | cstar_tco2_talk | 1.9176931 | -1.7372839 |
| N. Pacific | 1989-1999 | 2000-2009 | full | cstar_total | 2.9806332 | -0.0628394 |
| N. Pacific | 1989-1999 | 2000-2009 | full | phosphate | 0.0065463 | 0.9944274 |
| N. Pacific | 1989-1999 | 2010-2020 | full | cstar_phosphate | 2.9398619 | -0.0561962 |
| N. Pacific | 1989-1999 | 2010-2020 | full | cstar_talk | 0.7782306 | -1.1099437 |
| N. Pacific | 1989-1999 | 2010-2020 | full | cstar_tco2 | 3.1072283 | -0.6622350 |
| N. Pacific | 1989-1999 | 2010-2020 | full | cstar_tco2_talk | 3.7988852 | -1.8010645 |
| N. Pacific | 1989-1999 | 2010-2020 | full | cstar_total | 5.4933185 | -2.7533715 |
| N. Pacific | 1989-1999 | 2010-2020 | full | phosphate | 0.0088138 | 1.0003003 |
| N. Pacific | 2000-2009 | 1989-1999 | full | cstar_phosphate | 1.7564117 | -1.7332870 |
| N. Pacific | 2000-2009 | 1989-1999 | full | cstar_talk | 0.6795082 | 0.6840389 |
| N. Pacific | 2000-2009 | 1989-1999 | full | cstar_tco2 | 1.9871125 | 0.6181486 |
| N. Pacific | 2000-2009 | 1989-1999 | full | cstar_tco2_talk | 2.1242334 | 1.2728314 |
| N. Pacific | 2000-2009 | 1989-1999 | full | cstar_total | 2.8283687 | -0.3992048 |
| N. Pacific | 2000-2009 | 1989-1999 | full | phosphate | 0.0052770 | 1.0052076 |
| N. Pacific | 2000-2009 | 2000-2009 | full | cstar_phosphate | 1.4722027 | 0.0578617 |
| N. Pacific | 2000-2009 | 2000-2009 | full | cstar_talk | 0.7311559 | -0.0934746 |
| N. Pacific | 2000-2009 | 2000-2009 | full | cstar_tco2 | 1.4445345 | 0.0574401 |
| N. Pacific | 2000-2009 | 2000-2009 | full | cstar_tco2_talk | 1.3123636 | -0.0636844 |
| N. Pacific | 2000-2009 | 2000-2009 | full | cstar_total | 2.0223104 | 0.0204029 |
| N. Pacific | 2000-2009 | 2000-2009 | full | phosphate | 0.0044159 | 0.9998675 |
| N. Pacific | 2000-2009 | 2010-2020 | full | cstar_phosphate | 1.5728654 | -2.0744786 |
| N. Pacific | 2000-2009 | 2010-2020 | full | cstar_talk | 0.9337861 | -1.2926457 |
| N. Pacific | 2000-2009 | 2010-2020 | full | cstar_tco2 | 1.5222497 | 0.2040770 |
| N. Pacific | 2000-2009 | 2010-2020 | full | cstar_tco2_talk | 1.2867327 | -1.0930911 |
| N. Pacific | 2000-2009 | 2010-2020 | full | cstar_total | 2.2252692 | -2.9708510 |
| N. Pacific | 2000-2009 | 2010-2020 | full | phosphate | 0.0047591 | 1.0063129 |
| N. Pacific | 2010-2020 | 1989-1999 | full | cstar_phosphate | 4.0064477 | 0.8913650 |
| N. Pacific | 2010-2020 | 1989-1999 | full | cstar_talk | 1.8676394 | 1.3668892 |
| N. Pacific | 2010-2020 | 1989-1999 | full | cstar_tco2 | 1.9428379 | 1.3745740 |
| N. Pacific | 2010-2020 | 1989-1999 | full | cstar_tco2_talk | 3.0886499 | 2.7671480 |
| N. Pacific | 2010-2020 | 1989-1999 | full | cstar_total | 3.9362856 | 4.0920284 |
| N. Pacific | 2010-2020 | 1989-1999 | full | phosphate | 0.0120372 | 0.9973219 |
| N. Pacific | 2010-2020 | 2000-2009 | full | cstar_phosphate | 2.1182107 | 2.4417286 |
| N. Pacific | 2010-2020 | 2000-2009 | full | cstar_talk | 1.0728870 | 1.0267488 |
| N. Pacific | 2010-2020 | 2000-2009 | full | cstar_tco2 | 2.2154265 | 0.6041904 |
| N. Pacific | 2010-2020 | 2000-2009 | full | cstar_tco2_talk | 2.5942542 | 1.6645951 |
| N. Pacific | 2010-2020 | 2000-2009 | full | cstar_total | 3.2604867 | 3.9058408 |
| N. Pacific | 2010-2020 | 2000-2009 | full | phosphate | 0.0063640 | 0.9926640 |
| N. Pacific | 2010-2020 | 2010-2020 | full | cstar_phosphate | 1.7076262 | -0.0018951 |
| N. Pacific | 2010-2020 | 2010-2020 | full | cstar_talk | 1.1080617 | 0.0185797 |
| N. Pacific | 2010-2020 | 2010-2020 | full | cstar_tco2 | 2.0383124 | 0.3148970 |
| N. Pacific | 2010-2020 | 2010-2020 | full | cstar_tco2_talk | 1.9439389 | 0.2723060 |
| N. Pacific | 2010-2020 | 2010-2020 | full | cstar_total | 2.7134913 | 0.4668651 |
| N. Pacific | 2010-2020 | 2010-2020 | full | phosphate | 0.0051451 | 1.0000280 |
| S. Atlantic | 1989-1999 | 1989-1999 | full | cstar_phosphate | 3.6533666 | 0.6772111 |
| S. Atlantic | 1989-1999 | 1989-1999 | full | cstar_talk | 0.6802367 | -0.1260930 |
| S. Atlantic | 1989-1999 | 1989-1999 | full | cstar_tco2 | 0.1127128 | -0.0208932 |
| S. Atlantic | 1989-1999 | 1989-1999 | full | cstar_tco2_talk | 0.7929495 | -0.1469861 |
| S. Atlantic | 1989-1999 | 1989-1999 | full | cstar_total | 2.8604170 | 0.5302250 |
| S. Atlantic | 1989-1999 | 1989-1999 | full | phosphate | 0.0151919 | 0.9972416 |
| S. Atlantic | 1989-1999 | 2000-2009 | full | cstar_phosphate | 1.9046798 | 2.1817999 |
| S. Atlantic | 1989-1999 | 2000-2009 | full | cstar_talk | 0.2281703 | 0.7895083 |
| S. Atlantic | 1989-1999 | 2000-2009 | full | cstar_tco2 | 7.7139130 | -2.2350374 |
| S. Atlantic | 1989-1999 | 2000-2009 | full | cstar_tco2_talk | 7.8530770 | -1.4273608 |
| S. Atlantic | 1989-1999 | 2000-2009 | full | cstar_total | 5.8241503 | 0.3667068 |
| S. Atlantic | 1989-1999 | 2000-2009 | full | phosphate | 0.0078051 | 0.9911257 |
| S. Atlantic | 1989-1999 | 2010-2020 | full | cstar_phosphate | 1.7188044 | 0.6262581 |
| S. Atlantic | 1989-1999 | 2010-2020 | full | cstar_talk | 1.4361594 | -0.3308193 |
| S. Atlantic | 1989-1999 | 2010-2020 | full | cstar_tco2 | 4.6065674 | -3.0446853 |
| S. Atlantic | 1989-1999 | 2010-2020 | full | cstar_tco2_talk | 5.5140668 | -3.3119987 |
| S. Atlantic | 1989-1999 | 2010-2020 | full | cstar_total | 5.4092137 | -2.5732439 |
| S. Atlantic | 1989-1999 | 2010-2020 | full | phosphate | 0.0071103 | 0.9974669 |
| S. Atlantic | 2000-2009 | 1989-1999 | full | cstar_phosphate | 9.5332955 | -3.5368321 |
| S. Atlantic | 2000-2009 | 1989-1999 | full | cstar_talk | 1.1677518 | -0.6765031 |
| S. Atlantic | 2000-2009 | 1989-1999 | full | cstar_tco2 | 7.9800308 | 6.5653714 |
| S. Atlantic | 2000-2009 | 1989-1999 | full | cstar_tco2_talk | 7.9389829 | 5.3320389 |
| S. Atlantic | 2000-2009 | 1989-1999 | full | cstar_total | 5.7778471 | 2.4695920 |
| S. Atlantic | 2000-2009 | 1989-1999 | full | phosphate | 0.0398555 | 1.0147863 |
| S. Atlantic | 2000-2009 | 2000-2009 | full | cstar_phosphate | 2.2482082 | -0.0277733 |
| S. Atlantic | 2000-2009 | 2000-2009 | full | cstar_talk | 1.7408291 | 0.0496895 |
| S. Atlantic | 2000-2009 | 2000-2009 | full | cstar_tco2 | 1.8629766 | -0.0178403 |
| S. Atlantic | 2000-2009 | 2000-2009 | full | cstar_tco2_talk | 2.1431749 | 0.0318492 |
| S. Atlantic | 2000-2009 | 2000-2009 | full | cstar_total | 1.1911401 | 0.0040758 |
| S. Atlantic | 2000-2009 | 2000-2009 | full | phosphate | 0.0094163 | 1.0001700 |
| S. Atlantic | 2000-2009 | 2010-2020 | full | cstar_phosphate | 2.1104503 | 0.0675796 |
| S. Atlantic | 2000-2009 | 2010-2020 | full | cstar_talk | 0.9558312 | -0.4722264 |
| S. Atlantic | 2000-2009 | 2010-2020 | full | cstar_tco2 | 1.2956370 | -0.0742287 |
| S. Atlantic | 2000-2009 | 2010-2020 | full | cstar_tco2_talk | 1.4839610 | -0.5022185 |
| S. Atlantic | 2000-2009 | 2010-2020 | full | cstar_total | 2.0043336 | -0.2365135 |
| S. Atlantic | 2000-2009 | 2010-2020 | full | phosphate | 0.0087869 | 0.9998224 |
| S. Atlantic | 2010-2020 | 1989-1999 | full | cstar_phosphate | 2.5262567 | -0.8890334 |
| S. Atlantic | 2010-2020 | 1989-1999 | full | cstar_talk | 1.6787756 | 0.8356001 |
| S. Atlantic | 2010-2020 | 1989-1999 | full | cstar_tco2 | 6.1654300 | 4.4404975 |
| S. Atlantic | 2010-2020 | 1989-1999 | full | cstar_tco2_talk | 5.8218178 | 4.5771264 |
| S. Atlantic | 2010-2020 | 1989-1999 | full | cstar_total | 5.7454956 | 3.4593799 |
| S. Atlantic | 2010-2020 | 1989-1999 | full | phosphate | 0.0105614 | 1.0037168 |
| S. Atlantic | 2010-2020 | 2000-2009 | full | cstar_phosphate | 1.9934759 | 0.1835053 |
| S. Atlantic | 2010-2020 | 2000-2009 | full | cstar_talk | 1.3803286 | 0.0115315 |
| S. Atlantic | 2010-2020 | 2000-2009 | full | cstar_tco2 | 1.4822194 | 0.6081081 |
| S. Atlantic | 2010-2020 | 2000-2009 | full | cstar_tco2_talk | 1.1413353 | 0.5923754 |
| S. Atlantic | 2010-2020 | 2000-2009 | full | cstar_total | 2.1756294 | 0.1192100 |
| S. Atlantic | 2010-2020 | 2000-2009 | full | phosphate | 0.0083341 | 0.9992328 |
| S. Atlantic | 2010-2020 | 2010-2020 | full | cstar_phosphate | 1.9223583 | 0.0348204 |
| S. Atlantic | 2010-2020 | 2010-2020 | full | cstar_talk | 0.7182158 | -0.1272320 |
| S. Atlantic | 2010-2020 | 2010-2020 | full | cstar_tco2 | 0.8406877 | -0.1814046 |
| S. Atlantic | 2010-2020 | 2010-2020 | full | cstar_tco2_talk | 1.2494336 | -0.3086366 |
| S. Atlantic | 2010-2020 | 2010-2020 | full | cstar_total | 2.1585380 | -0.4428466 |
| S. Atlantic | 2010-2020 | 2010-2020 | full | phosphate | 0.0080742 | 0.9998886 |
| S. Pacific | 1989-1999 | 1989-1999 | full | cstar_phosphate | 4.1582519 | 0.7920472 |
| S. Pacific | 1989-1999 | 1989-1999 | full | cstar_talk | 2.7658889 | 1.4486098 |
| S. Pacific | 1989-1999 | 1989-1999 | full | cstar_tco2 | 6.3673715 | -0.1635956 |
| S. Pacific | 1989-1999 | 1989-1999 | full | cstar_tco2_talk | 5.1318721 | 1.2850141 |
| S. Pacific | 1989-1999 | 1989-1999 | full | cstar_total | 4.6394862 | 2.0770613 |
| S. Pacific | 1989-1999 | 1989-1999 | full | phosphate | 0.0138831 | 0.9973662 |
| S. Pacific | 1989-1999 | 2000-2009 | full | cstar_phosphate | 1.9420170 | 0.5674330 |
| S. Pacific | 1989-1999 | 2000-2009 | full | cstar_talk | 1.7730696 | -1.5479623 |
| S. Pacific | 1989-1999 | 2000-2009 | full | cstar_tco2 | 1.4835990 | -0.8184435 |
| S. Pacific | 1989-1999 | 2000-2009 | full | cstar_tco2_talk | 2.1583655 | -2.3664058 |
| S. Pacific | 1989-1999 | 2000-2009 | full | cstar_total | 2.8186849 | -1.7299117 |
| S. Pacific | 1989-1999 | 2000-2009 | full | phosphate | 0.0065153 | 0.9981938 |
| S. Pacific | 1989-1999 | 2010-2020 | full | cstar_phosphate | 2.1211612 | -2.0288647 |
| S. Pacific | 1989-1999 | 2010-2020 | full | cstar_talk | 1.5462129 | -1.8777213 |
| S. Pacific | 1989-1999 | 2010-2020 | full | cstar_tco2 | 2.4227098 | -0.8670115 |
| S. Pacific | 1989-1999 | 2010-2020 | full | cstar_tco2_talk | 2.4713188 | -2.8215740 |
| S. Pacific | 1989-1999 | 2010-2020 | full | cstar_total | 4.6502488 | -5.3178726 |
| S. Pacific | 1989-1999 | 2010-2020 | full | phosphate | 0.0072208 | 1.0069120 |
| S. Pacific | 2000-2009 | 1989-1999 | full | cstar_phosphate | 2.3684822 | -0.7504913 |
| S. Pacific | 2000-2009 | 1989-1999 | full | cstar_talk | 1.6815418 | 1.5855362 |
| S. Pacific | 2000-2009 | 1989-1999 | full | cstar_tco2 | 1.3979418 | 0.7348857 |
| S. Pacific | 2000-2009 | 1989-1999 | full | cstar_tco2_talk | 2.2623636 | 2.3204219 |
| S. Pacific | 2000-2009 | 1989-1999 | full | cstar_total | 3.3417172 | 1.5530038 |
| S. Pacific | 2000-2009 | 1989-1999 | full | phosphate | 0.0079519 | 1.0025197 |
| S. Pacific | 2000-2009 | 2000-2009 | full | cstar_phosphate | 2.2375600 | 0.0439794 |
| S. Pacific | 2000-2009 | 2000-2009 | full | cstar_talk | 1.2215948 | 0.2757532 |
| S. Pacific | 2000-2009 | 2000-2009 | full | cstar_tco2 | 0.9536733 | 0.1713150 |
| S. Pacific | 2000-2009 | 2000-2009 | full | cstar_tco2_talk | 1.3685486 | 0.4470682 |
| S. Pacific | 2000-2009 | 2000-2009 | full | cstar_total | 2.5610377 | 0.4910475 |
| S. Pacific | 2000-2009 | 2000-2009 | full | phosphate | 0.0074940 | 0.9998962 |
| S. Pacific | 2000-2009 | 2010-2020 | full | cstar_phosphate | 1.7509078 | -2.5949941 |
| S. Pacific | 2000-2009 | 2010-2020 | full | cstar_talk | 1.3340678 | -0.0871107 |
| S. Pacific | 2000-2009 | 2010-2020 | full | cstar_tco2 | 1.6975147 | -0.1675842 |
| S. Pacific | 2000-2009 | 2010-2020 | full | cstar_tco2_talk | 2.1307431 | -0.2546949 |
| S. Pacific | 2000-2009 | 2010-2020 | full | cstar_total | 2.6914748 | -2.7956901 |
| S. Pacific | 2000-2009 | 2010-2020 | full | phosphate | 0.0059244 | 1.0088555 |
| S. Pacific | 2010-2020 | 1989-1999 | full | cstar_phosphate | 2.6418701 | 1.1726029 |
| S. Pacific | 2010-2020 | 1989-1999 | full | cstar_talk | 1.0183265 | 2.3136041 |
| S. Pacific | 2010-2020 | 1989-1999 | full | cstar_tco2 | 1.6994755 | 1.1889559 |
| S. Pacific | 2010-2020 | 1989-1999 | full | cstar_tco2_talk | 2.4287326 | 3.7274536 |
| S. Pacific | 2010-2020 | 1989-1999 | full | cstar_total | 3.6135539 | 4.8656204 |
| S. Pacific | 2010-2020 | 1989-1999 | full | phosphate | 0.0088698 | 0.9960631 |
| S. Pacific | 2010-2020 | 2000-2009 | full | cstar_phosphate | 2.9870181 | 2.0749873 |
| S. Pacific | 2010-2020 | 2000-2009 | full | cstar_talk | 1.1451987 | 0.0705806 |
| S. Pacific | 2010-2020 | 2000-2009 | full | cstar_tco2 | 3.0541102 | 0.4398590 |
| S. Pacific | 2010-2020 | 2000-2009 | full | cstar_tco2_talk | 2.7395312 | 0.5104396 |
| S. Pacific | 2010-2020 | 2000-2009 | full | cstar_total | 4.5422088 | 2.5728304 |
| S. Pacific | 2010-2020 | 2000-2009 | full | phosphate | 0.0100286 | 0.9930335 |
| S. Pacific | 2010-2020 | 2010-2020 | full | cstar_phosphate | 1.5895703 | 0.4640673 |
| S. Pacific | 2010-2020 | 2010-2020 | full | cstar_talk | 0.7488920 | -0.1388110 |
| S. Pacific | 2010-2020 | 2010-2020 | full | cstar_tco2 | 1.4520040 | 0.2659588 |
| S. Pacific | 2010-2020 | 2010-2020 | full | cstar_tco2_talk | 1.4547771 | 0.1271478 |
| S. Pacific | 2010-2020 | 2010-2020 | full | cstar_total | 2.0109284 | 0.5202557 |
| S. Pacific | 2010-2020 | 2010-2020 | full | phosphate | 0.0053542 | 0.9984722 |
xover_cruise_decade_all %>%
filter(parameter_coverage == "full",
parameter == "cstar_total",
basin == "Indian",
decade != "2010-2020") %>%
ggplot(aes(decade_A,
offset_adj_mean_weighted)) +
geom_hline(yintercept = 0) +
geom_boxplot(position = position_dodge(width = 0.5), width = 0.4) +
geom_point(aes(size = n_A), alpha = 0.3, position = position_dodge(width = 0.5)) +
scale_color_brewer(palette = "Set1") +
scale_size(name = "Cruise size") +
labs(y = "Mean C* xover offset (µmol/kg)",
x = "Cruise decade") +
facet_grid(decade ~ ., scales = "free_y")

| Version | Author | Date |
|---|---|---|
| a6f8f8c | jens-daniel-mueller | 2022-04-28 |
xover_cruise_decade_all %>%
filter(parameter_coverage == "full",
parameter == "cstar_total",
basin == "N. Pacific",
decade != "1989-1999") %>%
ggplot(aes(decade_A,
offset_adj_mean_weighted)) +
geom_hline(yintercept = 0) +
geom_boxplot(position = position_dodge(width = 0.5), width = 0.4) +
geom_point(aes(size = n_A), alpha = 0.3, position = position_dodge(width = 0.5)) +
scale_color_brewer(palette = "Set1") +
scale_size(name = "Cruise size") +
labs(y = "Mean C* xover offset (µmol/kg)",
x = "Cruise decade") +
facet_grid(decade ~ ., scales = "free_y")

| Version | Author | Date |
|---|---|---|
| a6f8f8c | jens-daniel-mueller | 2022-04-28 |
hline_intercept <- hline_intercept %>%
filter(parameter %in% c("cstar_tco2", "cstar_talk", "cstar_phosphate"))
xover_cruise_decade_all %>%
filter(
parameter_coverage == "full",
parameter %in% c("cstar_tco2", "cstar_talk", "cstar_phosphate"),
basin == "Indian",
decade != "2010-2020"
) %>%
ggplot(aes(decade_A,
offset_adj_mean_weighted)) +
geom_hline(data = hline_intercept, aes(yintercept = intercept)) +
geom_boxplot() +
geom_point(aes(size = n_A), alpha = 0.3) +
scale_size(name = "Cruise size") +
scale_fill_discrete_sequential(palette = "viridis") +
facet_grid(decade ~ parameter) +
labs(y = "Mean C* xover offset (µmol/kg)",
x = "Cruise decade") +
scale_x_discrete(guide = guide_axis(n.dodge = 2))

| Version | Author | Date |
|---|---|---|
| e5a1aa7 | jens-daniel-mueller | 2022-05-16 |
xover_cruise_decade_all %>%
filter(
parameter_coverage == "full",
parameter %in% c("cstar_tco2", "cstar_talk", "cstar_phosphate"),
basin == "N. Pacific",
decade != "1989-1999"
) %>%
ggplot(aes(decade_A,
offset_adj_mean_weighted)) +
geom_hline(data = hline_intercept, aes(yintercept = intercept)) +
geom_boxplot() +
geom_point(aes(size = n_A), alpha = 0.3) +
scale_size(name = "Cruise size") +
scale_fill_discrete_sequential(palette = "viridis") +
facet_grid(decade ~ parameter) +
labs(y = "Mean C* xover offset (µmol/kg)",
x = "Cruise decade") +
scale_x_discrete(guide = guide_axis(n.dodge = 2))

| Version | Author | Date |
|---|---|---|
| e5a1aa7 | jens-daniel-mueller | 2022-05-16 |
offset_test <- tibble(
cruise_A = c(1, 1, 2, 2, 2),
n_A = c(11, 11, 12, 12, 12),
cruise_B = c(1, 2, 1, 2, 3),
n_B = c(21, 22, 21, 22, 3),
offset = c(1, 3, -1, 1, -4)
)
offset_test %>%
group_by(cruise_A, n_A) %>%
summarise(offset = weighted.mean(offset, w = n_B)) %>%
ungroup() %>%
summarise(offset = weighted.mean(offset, w = n_A))
offset_test %>%
group_by(cruise_B, n_B) %>%
summarise(offset = weighted.mean(-offset, w = n_A)) %>%
ungroup() %>%
summarise(offset = weighted.mean(offset, w = n_B))
GLODAP_counts <- GLODAP %>%
mutate(decade = m_grid_decade(year),
.after = year) %>%
filter(!is.na(decade))
GLODAP_counts <- GLODAP_counts %>%
mutate(RV = str_sub(cruise_expocode, 1, 4))
RV_activity <- GLODAP_counts %>%
count(decade, basin_AIP, RV) %>%
group_by(decade, basin_AIP) %>%
mutate(n_total = sum(n)) %>%
ungroup() %>%
mutate(n_prop = 100* n / n_total)
RV_activity <-RV_activity %>%
group_by(decade, basin_AIP) %>%
mutate(rank = rank(-n_prop)) %>%
ungroup()
RV_activity %>%
ggplot(aes(rank, n_prop)) +
geom_line() +
geom_point() +
geom_text(data = RV_activity %>% filter(n_prop > 20),
aes(rank, n_prop, label = RV),
nudge_x = 5) +
labs(y = "proportion of tco2 samples (%)") +
facet_grid(decade ~ basin_AIP)

rm(RV_activity)
large_cruises <- GLODAP_counts %>%
count(decade, basin_AIP, cruise_expocode) %>%
group_by(decade, basin_AIP) %>%
mutate(n_total = sum(n)) %>%
ungroup() %>%
mutate(n_prop = 100* n / n_total)
large_cruises <- large_cruises %>%
group_by(decade, basin_AIP) %>%
mutate(rank = rank(-n_prop)) %>%
ungroup()
large_cruises %>%
group_split(decade, basin_AIP) %>%
head(1) %>%
map(
~
ggplot(data = .x,
aes(rank, n_prop)) +
geom_line() +
geom_point(
data = .x %>% filter(rank <= 5),
aes(rank, n_prop, fill = cruise_expocode), shape = 21) +
scale_fill_brewer(palette = "Set1") +
xlim(0, max(large_cruises$rank)) +
labs(y = "proportion of tco2 samples (%)") +
facet_grid(decade ~ basin_AIP)
)
[[1]]

large_cruises %>%
filter(rank <= 5) %>%
select(decade, basin_AIP, rank, n_prop, cruise_expocode) %>%
mutate(n_prop = round(n_prop, 1)) %>%
arrange(decade, basin_AIP, rank) %>%
kable() %>%
kable_styling() %>%
scroll_box(height = "300px")
| decade | basin_AIP | rank | n_prop | cruise_expocode |
|---|---|---|---|---|
| 1989-1999 | Atlantic | 1 | 5.0 | 323019940104 |
| 1989-1999 | Atlantic | 2 | 4.9 | 316N19871123 |
| 1989-1999 | Atlantic | 3 | 3.5 | 33RO19980123 |
| 1989-1999 | Atlantic | 4 | 3.5 | 06AQ19980328 |
| 1989-1999 | Atlantic | 5 | 3.3 | 316N19970530 |
| 1989-1999 | Indian | 1 | 7.8 | 316N19951202 |
| 1989-1999 | Indian | 2 | 7.8 | 316N19950124 |
| 1989-1999 | Indian | 3 | 7.5 | 316N19950310 |
| 1989-1999 | Indian | 4 | 7.1 | 316N19950829 |
| 1989-1999 | Indian | 5 | 6.8 | 316N19941201 |
| 1989-1999 | Pacific | 1 | 5.7 | 316N19920502 |
| 1989-1999 | Pacific | 2 | 5.6 | 31DS19960105 |
| 1989-1999 | Pacific | 3 | 5.6 | 31DS19940126 |
| 1989-1999 | Pacific | 4 | 5.5 | 318M19940327 |
| 1989-1999 | Pacific | 5 | 4.2 | 31DS19920907 |
| 2000-2009 | Atlantic | 1 | 4.6 | 33RO20050111 |
| 2000-2009 | Atlantic | 2 | 4.5 | 33RO20030604 |
| 2000-2009 | Atlantic | 3 | 4.1 | 06AQ20050122 |
| 2000-2009 | Atlantic | 4 | 3.5 | 06AQ20080210 |
| 2000-2009 | Atlantic | 5 | 2.7 | 35MF20080207 |
| 2000-2009 | Indian | 1 | 19.4 | 33RR20090320 |
| 2000-2009 | Indian | 2 | 10.4 | 33RR20070322 |
| 2000-2009 | Indian | 3 | 9.1 | 33RR20070204 |
| 2000-2009 | Indian | 4 | 9.0 | 33RR20080204 |
| 2000-2009 | Indian | 5 | 8.2 | 49NZ20031209 |
| 2000-2009 | Pacific | 1 | 7.0 | 33RO20071215 |
| 2000-2009 | Pacific | 2 | 6.0 | 318M20040615 |
| 2000-2009 | Pacific | 3 | 4.9 | 49NZ20030803 |
| 2000-2009 | Pacific | 4 | 4.6 | 49NZ20090410 |
| 2000-2009 | Pacific | 5 | 4.6 | 49NZ20051031 |
| 2010-2020 | Atlantic | 1 | 6.8 | 33RO20100308 |
| 2010-2020 | Atlantic | 2 | 6.3 | 33RO20130803 |
| 2010-2020 | Atlantic | 3 | 5.7 | 33RO20110926 |
| 2010-2020 | Atlantic | 4 | 5.5 | 740H20180228 |
| 2010-2020 | Atlantic | 5 | 5.1 | 33RO20131223 |
| 2010-2020 | Indian | 1 | 17.7 | 33RO20180423 |
| 2010-2020 | Indian | 2 | 16.8 | 33RR20160321 |
| 2010-2020 | Indian | 3 | 11.4 | 33RR20160208 |
| 2010-2020 | Indian | 4 | 9.6 | 096U20180111 |
| 2010-2020 | Indian | 5 | 8.8 | 325020190403 |
| 2010-2020 | Pacific | 1 | 5.9 | 33RO20161119 |
| 2010-2020 | Pacific | 2 | 4.1 | 318M20130321 |
| 2010-2020 | Pacific | 3 | 4.1 | 320620180309 |
| 2010-2020 | Pacific | 4 | 4.0 | 320620170703 |
| 2010-2020 | Pacific | 5 | 3.6 | 49RY20110515 |
rm(GLODAP_count, large_cruises)
CRM_IO_meas_talk <- CRM_IO_meas_talk %>%
fill(cruise:batch) %>%
select(-starts_with(c("ph", "tco2"))) %>%
rename(talk_meas = talk_ave)
CRM_ref_values <- CRM_ref_values %>%
select(-c(date, comment, sal)) %>%
rename(talk_ref = talk,
tco2_ref = tco2)
IO_CRM_offset_talk <-
left_join(CRM_IO_meas_talk,
CRM_ref_values %>% select(-tco2_ref)) %>%
mutate(batch = as.factor(batch))
IO_CRM_offset_talk <- IO_CRM_offset_talk %>%
mutate(offset = talk_meas - talk_ref)
IO_CRM_offset_talk <- IO_CRM_offset_talk %>%
filter(cell != "All") %>%
select(-c(talk_meas:talk_ref)) %>%
mutate(start_date = mdy(start_date))
IO_CRM_offset_talk_mean <- IO_CRM_offset_talk %>%
summarise(offset_mean = mean(offset),
offset_sd = sd(offset))
IO_CRM_offset_talk %>%
ggplot() +
scale_fill_brewer(palette = "Set1",
name = "CRM batch") +
geom_hline(data = IO_CRM_offset_talk_mean,
aes(yintercept = offset_mean)) +
geom_hline(
data = IO_CRM_offset_talk_mean,
aes(yintercept = offset_mean - offset_sd),
linetype = 2
) +
geom_hline(
data = IO_CRM_offset_talk_mean,
aes(yintercept = offset_mean + offset_sd),
linetype = 2
) +
geom_point(aes(start_date, offset, fill = batch, size=n),
shape = 21) +
scale_size(name = "Nr of\nmeasurements") +
labs(x = "Cruise start date",
y = "TA offset meas-CRM (µmol/kg)",
title = "RV Knorr IO 1990 - TA reference measurements",
subtitle = "Data source: Tables 1 and 2 from Millero et al. (1998)")

IO_CRM_offset_talk <- IO_CRM_offset_talk %>%
group_by(cruise, start_date) %>%
summarise(
offset_mean = mean(offset, na.rm = TRUE),
offset_sd = sd(offset, na.rm = TRUE)
) %>%
ungroup()
IO_CRM_offset_tco2 <- CRM_IO_meas_tco2 %>%
group_by(cruise) %>%
summarise(
offset_mean = mean(-`Const-vp`, na.rm = TRUE),
offset_sd = sd(`Const-vp`, na.rm = TRUE)
) %>%
ungroup()
IO_CRM_offset_tco2 <- left_join(
IO_CRM_offset_tco2,
IO_CRM_offset_talk %>% select(cruise, start_date)
)
IO_CRM_offset <- bind_rows(IO_CRM_offset_tco2 %>% mutate(parameter = "tco2"),
IO_CRM_offset_talk %>% mutate(parameter = "talk"))
xover_IO_1990_decade %>%
filter(parameter %in% c("tco2", "talk"),
decade == "2000-2009") %>%
ggplot(aes(date_A, offset)) +
geom_hline(yintercept = 0) +
geom_point() +
facet_grid(parameter~., scales = "free_y")

| Version | Author | Date |
|---|---|---|
| 481712d | jens-daniel-mueller | 2022-04-08 |
xover_IO <- xover_cruise_decade_all %>%
filter(
parameter_coverage == "full",
basin == "Indian",
decade == "2000-2009",
date_A > ymd("1993-01-01"),
date_A < ymd("1997-01-01"),
parameter %in% c("cstar_talk", "cstar_tco2"),
str_sub(cruise_A, 1, 4) == "316N"
)
xover_IO <- xover_IO %>%
mutate(parameter = str_remove(parameter, "cstar_")) %>%
select(start_date = date_A,
cruise_expocode = cruise_A,
parameter,
offset_mean = offset_adj_mean_weighted,
offset_sd = offset_adj_sd) %>%
mutate(offset_mean = if_else(parameter == "talk",
offset_mean * -2,
offset_mean),
offset_sd = if_else(parameter == "talk",
offset_sd * 2,
offset_sd))
IO_1990_start_dates <- GLODAP %>%
filter(str_sub(cruise_expocode, 1, 7) == "316N199",
basin == "Indian") %>%
distinct(cruise_expocode) %>%
mutate(start_date = ymd(str_sub(cruise_expocode, 5, 12)))
IO_CRM_offset <- IO_CRM_offset %>%
mutate(
start_date = if_else(start_date == ymd("1995-04-20"),
ymd("1995-04-23"),
start_date),
start_date = if_else(start_date == ymd("1995-11-06"),
ymd("1995-11-11"),
start_date),
start_date = if_else(start_date == ymd("1995-11-28"),
ymd("1995-12-02"),
start_date)
)
IO_CRM_offset <- full_join(IO_CRM_offset, IO_1990_start_dates) %>%
select(-cruise) %>%
drop_na()
IO_CRM_xover <- bind_rows(
xover_IO %>% mutate(type = "xover"),
IO_CRM_offset %>% mutate(type = "CRM")
)
IO_CRM_xover %>%
ggplot(aes(start_date, offset_mean, col = type)) +
geom_hline(yintercept = 0) +
geom_linerange(aes(ymin = offset_mean - offset_sd,
ymax = offset_mean + offset_sd),
position = position_dodge(width = 5)
) +
geom_point(position = position_dodge(width = 5)) +
facet_grid(parameter ~., scales = "free_y") +
labs(y = "Mean xover offset (µmol/kg)") +
scale_color_brewer(palette = "Set1")

glodapv2_2021_xover_Knorr %>%
ggplot(aes(adjustment, Mean)) +
geom_hline(yintercept = 0) +
geom_point(shape = 21) +
facet_wrap( ~ Parameter)

| Version | Author | Date |
|---|---|---|
| bafeecc | jens-daniel-mueller | 2022-06-07 |
glodapv2_2021_xover_Knorr_wide <- glodapv2_2021_xover_Knorr %>%
pivot_wider(names_from = adjustment,
values_from = Mean)
glodapv2_2021_xover_Knorr_wide %>%
ggplot(aes(adj, unadj)) +
geom_hline(yintercept = 0) +
geom_vline(xintercept = 0) +
geom_point(shape = 21) +
facet_wrap( ~ Parameter) +
coord_equal()

| Version | Author | Date |
|---|---|---|
| bafeecc | jens-daniel-mueller | 2022-06-07 |
IO_adj <- bind_rows(
IO_CRM_xover %>% select(-start_date),
glodapv2_2021_xover_Knorr %>%
rename(parameter = Parameter,
cruise_expocode = Cruise,
type = adjustment,
offset_mean = Mean,
offset_sd = Std) %>%
mutate(parameter = if_else(parameter == "alk",
"talk", parameter))
)
IO_adj <- full_join(
IO_CRM_xover %>% distinct(start_date, cruise_expocode),
IO_adj
)
IO_adj %>%
ggplot(aes(start_date, offset_mean)) +
geom_hline(yintercept = 0) +
geom_linerange(
aes(
start_date,
offset_mean,
ymin = offset_mean - offset_sd,
ymax = offset_mean + offset_sd
)
) +
geom_point() +
geom_line() +
facet_grid(type ~ parameter) +
labs(y = "Mean xover offset (µmol/kg)") +
scale_color_brewer(palette = "Set1")

| Version | Author | Date |
|---|---|---|
| bafeecc | jens-daniel-mueller | 2022-06-07 |
IO_adj_wide <- IO_adj %>%
# select(-offset_sd) %>%
pivot_wider(names_from = type,
values_from = c(offset_mean, offset_sd))
IO_adj_wide %>%
ggplot(aes(offset_mean_adj - offset_mean_unadj, offset_mean_CRM)) +
geom_hline(yintercept = 0) +
geom_vline(xintercept = 0) +
geom_point(shape = 21) +
facet_wrap(~ parameter) +
coord_equal()

| Version | Author | Date |
|---|---|---|
| bafeecc | jens-daniel-mueller | 2022-06-07 |
IO_adj_wide %>%
ggplot(aes(offset_mean_adj, offset_mean_unadj)) +
geom_hline(yintercept = 0) +
geom_vline(xintercept = 0) +
geom_point(shape = 21) +
facet_wrap(~ parameter) +
coord_equal()

IO_adj_wide %>%
ggplot(aes(offset_mean_CRM, offset_mean_unadj)) +
geom_hline(yintercept = 0) +
geom_vline(xintercept = 0) +
geom_point(shape = 21) +
facet_wrap(~ parameter) +
coord_equal()

IO_adj_wide <- IO_adj_wide %>%
group_by(parameter) %>%
mutate(offset_mean_adj.mean = offset_mean_unadj - mean(offset_mean_CRM)) %>%
ungroup()
IO_adj_wide <- IO_adj_wide %>%
mutate(offset_sd_adj.mean = offset_sd_adj)
IO_adj_wide %>%
ggplot(aes(offset_mean_adj.mean, offset_mean_unadj)) +
geom_hline(yintercept = 0) +
geom_vline(xintercept = 0) +
geom_point(shape = 21) +
facet_wrap(~ parameter) +
coord_equal()

IO_adj <- IO_adj_wide %>%
pivot_longer(starts_with("offset"),
names_prefix = "offset_",
names_to = c("offset", ".value"),
names_sep="_" )
IO_adj <- IO_adj %>%
pivot_longer(xover:adj.mean,
names_to = "type",
values_to = "value")
IO_adj <- IO_adj %>%
pivot_wider(names_from = offset,
values_from = value,
names_prefix = "offset_")
IO_adj %>%
ggplot(aes(start_date, offset_mean)) +
geom_hline(yintercept = 0) +
geom_point() +
geom_line() +
facet_grid(type ~ parameter) +
labs(y = "Mean xover offset (µmol/kg)") +
scale_color_brewer(palette = "Set1")

IO_adj %>%
ggplot(aes(type, offset_mean)) +
geom_hline(yintercept = 0) +
geom_point(shape = 21) +
facet_wrap( ~ parameter)

IO_adj %>%
group_by(parameter, type) %>%
summarise(offset_sd = sd(offset_mean, na.rm = TRUE),
offset_mean = mean(offset_mean, na.rm = TRUE)) %>%
ungroup()
# A tibble: 10 × 4
parameter type offset_sd offset_mean
<chr> <chr> <dbl> <dbl>
1 talk adj 3.83 -0.716
2 talk adj.mean 1.76 -0.716
3 talk CRM 3.62 3.48
4 talk unadj 1.76 2.76
5 talk xover 2.42 4.03
6 tco2 adj 1.40 -0.554
7 tco2 adj.mean 0.881 -0.554
8 tco2 CRM 0.880 -1.70
9 tco2 unadj 0.881 -2.25
10 tco2 xover 0.786 -2.22
GLODAP %>%
select(-cruise_expocode) %>%
write_csv(paste(path_preprocessing,
"GLODAPv2.2021_preprocessed.csv",
sep = ""))
GLODAP_tracer %>%
write_csv(paste(
path_preprocessing,
"GLODAPv2.2021_preprocessed_tracer.csv",
sep = ""
))
GLODAP_adjustments %>%
write_csv(paste(path_preprocessing,
"GLODAPv2.2021_adustments.csv",
sep = ""))
expocodes_xover_NP %>%
write_csv(paste(path_preprocessing,
"expocodes_xover_NP.csv",
sep = ""))
expocodes_xover_IO %>%
write_csv(paste(path_preprocessing,
"expocodes_xover_IO.csv",
sep = ""))
xover_cruise_decade_all %>%
write_csv(paste(path_preprocessing,
"xover_cruise_decade_all.csv",
sep = ""))
IO_CRM_xover %>%
write_csv(paste(path_preprocessing,
"IO_CRM_xover_1990.csv",
sep = ""))
# GLODAP_adjustments_NA_cruises %>%
# select(cruise_expocode, cruise) %>%
# write_csv(paste(
# path_preprocessing,
# "GLODAPv2.2021_adustments_NA_cruises.csv",
# sep = ""
# ))
#
# GLODAP_adjustments_duplicated_cruises %>%
# drop_na() %>%
# write_csv(
# paste(
# path_preprocessing,
# "GLODAPv2.2021_adustments_duplicated_cruises.csv",
# sep = ""
# )
# )
For the following plots, the cleaned data set was re-opened and observations were gridded spatially to intervals of:
GLODAP <- m_grid_horizontal_coarse(GLODAP)
GLODAP_histogram_lat <- GLODAP %>%
group_by(lat_grid) %>%
tally() %>%
ungroup()
GLODAP_histogram_lat %>%
ggplot(aes(lat_grid, n)) +
geom_col() +
coord_flip() +
theme(legend.title = element_blank())

rm(GLODAP_histogram_lat)
GLODAP_histogram_year <- GLODAP %>%
group_by(year) %>%
tally() %>%
ungroup()
GLODAP_histogram_year %>%
ggplot() +
geom_col(aes(year, n)) +
theme(
axis.title.x = element_blank()
)

rm(GLODAP_histogram_year)
GLODAP_hovmoeller_year <- GLODAP %>%
group_by(year, lat_grid) %>%
tally() %>%
ungroup()
GLODAP_hovmoeller_year %>%
ggplot(aes(year, lat_grid, fill = log10(n))) +
geom_tile() +
geom_vline(xintercept = c(1999.5, 2012.5)) +
scale_fill_viridis_c(option = "magma", direction = -1) +
theme(legend.position = "top",
axis.title.x = element_blank())

rm(GLODAP_hovmoeller_year)
map +
geom_raster(data = GLODAP_obs_grid,
aes(lon, lat, fill = log10(n))) +
scale_fill_viridis_c(option = "magma",
direction = -1)

GLODAP_obs_grid_all_vars <- GLODAP %>%
select(year, lat, lon, cruise, sal, temp, oxygen,
phosphate, nitrate, silicate, tco2, talk) %>%
pivot_longer(cols = sal:talk,
names_to = "parameter",
values_to = "value") %>%
mutate(presence = if_else(is.na(value), "missing", "available")) %>%
count(year, lat, lon, parameter, presence)
GLODAP_obs_grid_all_vars_wide <- GLODAP_obs_grid_all_vars %>%
pivot_wider(names_from = "presence",
values_from = n,
values_fill = 0) %>%
mutate(ratio_available = available/(available+missing))
all_plots <- GLODAP_obs_grid_all_vars_wide %>%
# mutate(cruise = as.factor(cruise)) %>%
group_split(year) %>%
# tail(3) %>%
map(
~ map +
geom_tile(
data = .x,
aes(
x = lon,
y = lat,
width = 1,
height = 1,
fill = ratio_available
)
) +
scale_fill_scico(palette = "berlin",
limits = c(0,1)) +
labs(title = unique(.x$year)) +
facet_wrap(~ parameter)
)
pdf(file = paste0(path_preprocessing, "GLODAPv2.2021_preprocessed_coverage_maps.pdf"),
width = 10,
height = 5)
all_plots
dev.off()
source("/net/kryo/work/uptools/co2_calculation/CANYON-B/CANYONB.R")
GLODAP_CB <- GLODAP %>%
mutate(lon = if_else(lon > 180, lon - 360, lon)) %>%
arrange(year) %>%
select(row_number, year, date, lat, lon, depth, basin_AIP,
temp, sal, oxygen,
talk, tco2, nitrate, phosphate, silicate)
# filter rows with essential variables for Canyon-B
GLODAP_CB <- GLODAP_CB %>%
filter(across(c(lat, lon, depth,
temp, sal, oxygen), ~ !is.na(.x)))
GLODAP_CB <- GLODAP_CB %>%
mutate(as_tibble(
CANYONB(
date = paste0(as.character(date), " 12:00"),
lat = lat,
lon = lon,
pres = depth,
temp = temp,
psal = sal,
doxy = oxygen,
param = c("AT", "CT", "NO3", "PO4", "SiOH4")
)
))
GLODAP_CB <- GLODAP_CB %>%
select(-ends_with(c("_cim", "_cin", "_cii")))
GLODAP_CB <- GLODAP_CB %>%
rename(
"talk_CANYONB" = "AT",
"tco2_CANYONB" = "CT",
"nitrate_CANYONB" = "NO3",
"phosphate_CANYONB" = "PO4",
"silicate_CANYONB" = "SiOH4"
)
variables <- c("talk", "tco2", "nitrate", "phosphate", "silicate")
for (i_variable in variables) {
# i_variable <- variables[1]
# calculate equal axis limits and binwidth
axis_lims <- GLODAP_CB %>%
drop_na() %>%
summarise(max_value = max(c(max(
!!sym(i_variable)
),
max(!!sym(
paste0(i_variable, "_CANYONB")
)))),
min_value = min(c(min(
!!sym(i_variable)
),
min(!!sym(
paste0(i_variable, "_CANYONB")
)))))
binwidth_value <- (axis_lims$max_value - axis_lims$min_value) / 60
axis_lims <- c(axis_lims$min_value, axis_lims$max_value)
print(
ggplot(GLODAP_CB, aes(
x = !!sym(i_variable),
y = !!sym(paste0(i_variable, "_CANYONB"))
)) +
geom_bin2d(binwidth = binwidth_value) +
scale_fill_viridis_c(trans = "log10") +
geom_abline(slope = 1, col = 'red') +
coord_equal(xlim = axis_lims,
ylim = axis_lims) +
facet_wrap( ~ basin_AIP) +
labs(title = "All years")
)
# for (i_year in unique(GLODAP_CB$year)) {
# # i_year <- 2017
#
# print(
# ggplot(
# GLODAP_CB %>% filter(year == i_year),
# aes(x = !!sym(i_variable),
# y = !!sym(paste0(
# i_variable, "_CANYONB"
# )))
# ) +
# geom_bin2d(binwidth = binwidth_value) +
# scale_fill_viridis_c(trans = "log10") +
# geom_abline(slope = 1, col = 'red') +
# coord_equal(xlim = axis_lims,
# ylim = axis_lims) +
# facet_wrap( ~ basin_AIP) +
# labs(title = paste("Year:", i_year))
# )
# }
}
GLODAP_CB %>%
select(row_number,
talk_CANYONB, tco2_CANYONB,
nitrate_CANYONB, phosphate_CANYONB, silicate_CANYONB) %>%
write_csv(paste(path_preprocessing,
"GLODAPv2.2021_Canyon-B.csv",
sep = ""))
GLODAP_CB <-
read_csv(paste(path_preprocessing,
"GLODAPv2.2021_Canyon-B.csv",
sep = ""))
cruises_phosphate_gap_fill <-
c("33MW19930704",
"33RO20030604",
"33RO20050111",
"33RO19980123")
cruises_talk_gap_fill <-
c("06AQ19980328")
cruises_tco2_calc <-
c("35TH20040604",
"29AH20160617")
cruises_talk_calc <-
c("06MT19900123",
"316N19920502",
"316N19921006")
xover_add_decade <- glodapv2_2021_xover_add %>%
mutate(date_A = ymd(str_sub(cruise_A, 5, 12)),
date_B = ymd(str_sub(cruise_B, 5, 12))) %>%
mutate(decade = m_grid_decade(year(date_B))) %>%
filter(!is.na(decade),
!is.na(offset)) %>%
arrange(date_B)
xover_add_decade %>%
group_by(parameter, cruise_A) %>%
summarise(offset_mean = mean(offset, na.rm = TRUE)) %>%
ungroup() %>%
kable(caption = "Long-term average per cruise and parameter") %>%
kable_styling() %>%
scroll_box(height = "250px")
| parameter | cruise_A | offset_mean |
|---|---|---|
| phosphate | 06AQ19980328 | 1.0098973 |
| phosphate | 06MT19900123 | 0.9952731 |
| phosphate | 29AH20160617 | 0.9858769 |
| phosphate | 316N19920502 | 1.0081928 |
| phosphate | 316N19921006 | 1.0099657 |
| phosphate | 33MW19930704 | 0.9885767 |
| phosphate | 33RO19980123 | 0.9965710 |
| phosphate | 33RO20030604 | 0.9964464 |
| phosphate | 33RO20050111 | 1.0019318 |
| phosphate | 35TH20040604 | 0.9741076 |
| talk | 06AQ19980328 | 0.3560390 |
| talk | 06MT19900123 | -3.5574819 |
| talk | 29AH20160617 | 1.4984801 |
| talk | 316N19920502 | -4.3333542 |
| talk | 316N19921006 | -1.0527798 |
| talk | 33MW19930704 | -0.3729507 |
| talk | 33RO19980123 | -0.8518579 |
| talk | 33RO20030604 | -1.7537741 |
| talk | 33RO20050111 | 1.6308865 |
| talk | 35TH20040604 | 0.4044252 |
| tco2 | 06AQ19980328 | -0.0178595 |
| tco2 | 06MT19900123 | -2.6515513 |
| tco2 | 29AH20160617 | 6.2652692 |
| tco2 | 316N19920502 | 0.2705865 |
| tco2 | 316N19921006 | 0.7551445 |
| tco2 | 33MW19930704 | -1.0446168 |
| tco2 | 33RO19980123 | 0.5594899 |
| tco2 | 33RO20030604 | -0.4492114 |
| tco2 | 33RO20050111 | -0.3622474 |
| tco2 | 35TH20040604 | 1.3619943 |
xover_add_decade %>%
group_by(parameter, decade, cruise_A) %>%
summarise(offset_mean = mean(offset, na.rm = TRUE)) %>%
ungroup() %>%
kable(caption = "Decadal average per cruise and parameter") %>%
kable_styling() %>%
scroll_box(height = "250px")
| parameter | decade | cruise_A | offset_mean |
|---|---|---|---|
| phosphate | 1989-1999 | 06AQ19980328 | 1.0125648 |
| phosphate | 1989-1999 | 06MT19900123 | 0.9925257 |
| phosphate | 1989-1999 | 29AH20160617 | 0.9820529 |
| phosphate | 1989-1999 | 316N19920502 | 1.0067578 |
| phosphate | 1989-1999 | 316N19921006 | 1.0017277 |
| phosphate | 1989-1999 | 33MW19930704 | 0.9874284 |
| phosphate | 1989-1999 | 33RO19980123 | 0.9952849 |
| phosphate | 1989-1999 | 33RO20030604 | 1.0005093 |
| phosphate | 1989-1999 | 33RO20050111 | 1.0009821 |
| phosphate | 1989-1999 | 35TH20040604 | 0.9716428 |
| phosphate | 2000-2009 | 06AQ19980328 | 1.0053414 |
| phosphate | 2000-2009 | 06MT19900123 | 1.0010033 |
| phosphate | 2000-2009 | 29AH20160617 | 0.9899738 |
| phosphate | 2000-2009 | 316N19920502 | 1.0075795 |
| phosphate | 2000-2009 | 316N19921006 | 1.0137857 |
| phosphate | 2000-2009 | 33MW19930704 | 0.9846140 |
| phosphate | 2000-2009 | 33RO19980123 | 1.0037495 |
| phosphate | 2000-2009 | 33RO20030604 | 0.9921003 |
| phosphate | 2000-2009 | 33RO20050111 | 1.0025604 |
| phosphate | 2000-2009 | 35TH20040604 | 0.9765408 |
| phosphate | 2010-2020 | 06AQ19980328 | 1.0092836 |
| phosphate | 2010-2020 | 06MT19900123 | 0.9922316 |
| phosphate | 2010-2020 | 29AH20160617 | 0.9904749 |
| phosphate | 2010-2020 | 316N19920502 | 1.0127004 |
| phosphate | 2010-2020 | 316N19921006 | 1.0143839 |
| phosphate | 2010-2020 | 33MW19930704 | 0.9964602 |
| phosphate | 2010-2020 | 33RO19980123 | 0.9950980 |
| phosphate | 2010-2020 | 33RO20030604 | 0.9944871 |
| phosphate | 2010-2020 | 33RO20050111 | 1.0032793 |
| phosphate | 2010-2020 | 35TH20040604 | 0.9766304 |
| talk | 1989-1999 | 06AQ19980328 | 1.5260164 |
| talk | 1989-1999 | 06MT19900123 | -1.7866112 |
| talk | 1989-1999 | 29AH20160617 | 1.4400768 |
| talk | 1989-1999 | 316N19920502 | -0.0551690 |
| talk | 1989-1999 | 316N19921006 | 0.4878711 |
| talk | 1989-1999 | 33MW19930704 | -0.0863005 |
| talk | 1989-1999 | 33RO19980123 | 0.1289735 |
| talk | 1989-1999 | 33RO20030604 | -2.4099030 |
| talk | 1989-1999 | 33RO20050111 | 1.2382129 |
| talk | 1989-1999 | 35TH20040604 | 0.4187151 |
| talk | 2000-2009 | 06AQ19980328 | -0.2162355 |
| talk | 2000-2009 | 06MT19900123 | -4.0659303 |
| talk | 2000-2009 | 29AH20160617 | 2.3884257 |
| talk | 2000-2009 | 316N19920502 | -4.0265274 |
| talk | 2000-2009 | 316N19921006 | -0.9215473 |
| talk | 2000-2009 | 33MW19930704 | -0.3195600 |
| talk | 2000-2009 | 33RO19980123 | -5.2032065 |
| talk | 2000-2009 | 33RO20030604 | -0.9500663 |
| talk | 2000-2009 | 33RO20050111 | 1.2662351 |
| talk | 2000-2009 | 35TH20040604 | 1.1230941 |
| talk | 2010-2020 | 06AQ19980328 | 0.7206032 |
| talk | 2010-2020 | 06MT19900123 | -3.9344689 |
| talk | 2010-2020 | 29AH20160617 | -0.1395747 |
| talk | 2010-2020 | 316N19920502 | -6.9326869 |
| talk | 2010-2020 | 316N19921006 | -2.7246632 |
| talk | 2010-2020 | 33MW19930704 | -0.9855887 |
| talk | 2010-2020 | 33RO19980123 | 0.3001826 |
| talk | 2010-2020 | 33RO20030604 | -1.7612909 |
| talk | 2010-2020 | 33RO20050111 | 1.8786579 |
| talk | 2010-2020 | 35TH20040604 | -1.0676170 |
| tco2 | 1989-1999 | 06AQ19980328 | 2.3474558 |
| tco2 | 1989-1999 | 06MT19900123 | -0.2131875 |
| tco2 | 1989-1999 | 29AH20160617 | 7.8369106 |
| tco2 | 1989-1999 | 316N19920502 | 0.1582007 |
| tco2 | 1989-1999 | 316N19921006 | 0.2100602 |
| tco2 | 1989-1999 | 33MW19930704 | 0.3093986 |
| tco2 | 1989-1999 | 33RO19980123 | 0.4187870 |
| tco2 | 1989-1999 | 33RO20030604 | 1.3040708 |
| tco2 | 1989-1999 | 33RO20050111 | 1.4562572 |
| tco2 | 1989-1999 | 35TH20040604 | 2.7638627 |
| tco2 | 2000-2009 | 06AQ19980328 | -1.3551591 |
| tco2 | 2000-2009 | 06MT19900123 | -3.4099140 |
| tco2 | 2000-2009 | 29AH20160617 | 6.1180167 |
| tco2 | 2000-2009 | 316N19920502 | 0.5997351 |
| tco2 | 2000-2009 | 316N19921006 | 0.8386702 |
| tco2 | 2000-2009 | 33MW19930704 | -1.6191444 |
| tco2 | 2000-2009 | 33RO19980123 | 1.0463619 |
| tco2 | 2000-2009 | 33RO20030604 | -1.2259491 |
| tco2 | 2000-2009 | 33RO20050111 | 1.0973981 |
| tco2 | 2000-2009 | 35TH20040604 | 1.2641341 |
| tco2 | 2010-2020 | 06AQ19980328 | -1.1823577 |
| tco2 | 2010-2020 | 06MT19900123 | -3.9523709 |
| tco2 | 2010-2020 | 29AH20160617 | 1.1923250 |
| tco2 | 2010-2020 | 316N19920502 | -0.1669434 |
| tco2 | 2010-2020 | 316N19921006 | 1.2167030 |
| tco2 | 2010-2020 | 33MW19930704 | -3.8756236 |
| tco2 | 2010-2020 | 33RO19980123 | 0.4491628 |
| tco2 | 2010-2020 | 33RO20030604 | -2.5484791 |
| tco2 | 2010-2020 | 33RO20050111 | -2.0013224 |
| tco2 | 2010-2020 | 35TH20040604 | -3.0344442 |
xover_add_decade %>%
filter(cruise_A %in% cruises_talk_calc,
parameter == "talk") %>%
group_by(parameter, decade, cruise_A) %>%
summarise(offset_mean = mean(offset, na.rm = TRUE)) %>%
ungroup() %>%
kable(caption = "Decadal talk average per cruise") %>%
kable_styling() %>%
scroll_box(height = "250px")
| parameter | decade | cruise_A | offset_mean |
|---|---|---|---|
| talk | 1989-1999 | 06MT19900123 | -1.7866112 |
| talk | 1989-1999 | 316N19920502 | -0.0551690 |
| talk | 1989-1999 | 316N19921006 | 0.4878711 |
| talk | 2000-2009 | 06MT19900123 | -4.0659303 |
| talk | 2000-2009 | 316N19920502 | -4.0265274 |
| talk | 2000-2009 | 316N19921006 | -0.9215473 |
| talk | 2010-2020 | 06MT19900123 | -3.9344689 |
| talk | 2010-2020 | 316N19920502 | -6.9326869 |
| talk | 2010-2020 | 316N19921006 | -2.7246632 |
xover_add_decade %>%
filter(cruise_A %in% cruises_talk_calc,
parameter == "talk") %>%
group_by(parameter, decade) %>%
summarise(offset_mean = mean(offset, na.rm = TRUE)) %>%
ungroup() %>%
kable(caption = "Decadal talk average") %>%
kable_styling() %>%
scroll_box(height = "250px")
| parameter | decade | offset_mean |
|---|---|---|
| talk | 1989-1999 | -0.7851301 |
| talk | 2000-2009 | -3.6581063 |
| talk | 2010-2020 | -4.6182733 |
xover_add_decade %>%
filter(cruise_A %in% cruises_talk_calc,
parameter == "talk") %>%
group_by(parameter) %>%
summarise(offset_mean = mean(offset, na.rm = TRUE)) %>%
ungroup() %>%
kable(caption = "talk average") %>%
kable_styling() %>%
scroll_box(height = "250px")
| parameter | offset_mean |
|---|---|
| talk | -3.407015 |
xover_add_decade %>%
filter(cruise_A %in% cruises_talk_calc,
parameter == "talk") %>%
group_by(parameter, cruise_A) %>%
summarise(offset_mean = mean(offset, na.rm = TRUE)) %>%
ungroup() %>%
kable(caption = "talk average per cruise") %>%
kable_styling() %>%
scroll_box(height = "250px")
| parameter | cruise_A | offset_mean |
|---|---|---|
| talk | 06MT19900123 | -3.557482 |
| talk | 316N19920502 | -4.333354 |
| talk | 316N19921006 | -1.052780 |
hline_intercept <-
tibble(parameter = unique(xover_add_decade$parameter)) %>%
mutate(intercept = if_else(parameter %in% c("phosphate"),
1,
0))
p_crossover_ts <- xover_add_decade %>%
ggplot(aes(date_B, offset)) +
geom_hline(data = hline_intercept, aes(yintercept = intercept)) +
geom_point(shape = 21) +
scale_color_brewer(palette = "Set1") +
facet_grid(parameter ~ ., scales = "free_y") +
theme(
legend.position = "bottom",
legend.direction = "vertical",
axis.title.x = element_blank()
)
p_crossover_decadal <-
ggplot() +
geom_hline(data = hline_intercept, aes(yintercept = intercept)) +
geom_violin(data = xover_add_decade,
aes(x = decade, y = offset), fill="gold") +
geom_boxplot(data = xover_add_decade,
aes(x = decade, y = offset),
width = 0.2) +
facet_grid(parameter ~ ., scales = "free_y") +
labs(title = "Decadal offsets") +
theme(axis.title.x = element_blank(),
axis.text.x = element_text(angle = 90))
p_crossover_ts + p_crossover_decadal +
plot_layout(widths = c(2, 1))

GLODAP <- left_join(GLODAP,
GLODAP_CB %>%
select(row_number, ends_with("_CANYONB")))
# fill missing phosphate with CANYON-B estimate
GLODAP_phosphate_fill <- GLODAP %>%
filter(cruise_expocode %in% cruises_phosphate_gap_fill,
is.na(phosphate),
oxygenqc == 1)
GLODAP_phosphate_fill <- GLODAP_phosphate_fill %>%
mutate(phosphate = phosphate_CANYONB) %>%
filter(!is.na(phosphate))
map +
geom_tile(data = GLODAP_phosphate_fill %>%
distinct(lon, lat, cruise_expocode),
aes(lon, lat, fill = cruise_expocode)) +
scale_fill_brewer(palette = "Set1")

for (i_cruise in cruises_phosphate_gap_fill) {
# i_cruise <- cruises_phosphate_gap_fill[1]
p_crossover_ts <- xover_add_decade %>%
filter(cruise_A %in% i_cruise) %>%
ggplot(aes(date_B, offset)) +
geom_hline(data = hline_intercept, aes(yintercept = intercept)) +
geom_point(shape = 21) +
scale_color_brewer(palette = "Set1") +
facet_grid(parameter ~ ., scales = "free_y") +
labs(title = i_cruise) +
theme(
legend.position = "bottom",
legend.direction = "vertical",
axis.title.x = element_blank()
)
p_crossover_decadal <-
ggplot() +
geom_hline(data = hline_intercept, aes(yintercept = intercept)) +
geom_violin(
data = xover_add_decade %>%
filter(cruise_A %in% i_cruise),
aes(x = decade, y = offset),
fill = "gold"
) +
geom_boxplot(
data = xover_add_decade %>%
filter(cruise_A %in% i_cruise),
aes(x = decade, y = offset),
width = 0.2
) +
facet_grid(parameter ~ ., scales = "free_y") +
theme(axis.title.x = element_blank(),
axis.text.x = element_text(angle = 90))
print(
p_crossover_ts + p_crossover_decadal +
plot_layout(widths = c(2, 1))
)
}




# fill missing talk with CANYON-B estimate
GLODAP_talk_fill <- GLODAP %>%
filter(cruise_expocode %in% cruises_talk_gap_fill,
is.na(talk),
oxygenqc == 1)
GLODAP_talk_fill <- GLODAP_talk_fill %>%
mutate(talk = talk_CANYONB) %>%
filter(!is.na(talk))
map +
geom_tile(data = GLODAP_talk_fill %>%
distinct(lon, lat, cruise_expocode),
aes(lon, lat, fill = cruise_expocode)) +
scale_fill_brewer(palette = "Set1")

for (i_cruise in cruises_talk_gap_fill) {
# i_cruise <- cruises_phosphate_gap_fill[1]
p_crossover_ts <- xover_add_decade %>%
filter(cruise_A %in% i_cruise) %>%
ggplot(aes(date_B, offset)) +
geom_hline(data = hline_intercept, aes(yintercept = intercept)) +
geom_point(shape = 21) +
scale_color_brewer(palette = "Set1") +
facet_grid(parameter ~ ., scales = "free_y") +
labs(title = i_cruise) +
theme(
legend.position = "bottom",
legend.direction = "vertical",
axis.title.x = element_blank()
)
p_crossover_decadal <-
ggplot() +
geom_hline(data = hline_intercept, aes(yintercept = intercept)) +
geom_violin(
data = xover_add_decade %>%
filter(cruise_A %in% i_cruise),
aes(x = decade, y = offset),
fill = "gold"
) +
geom_boxplot(
data = xover_add_decade %>%
filter(cruise_A %in% i_cruise),
aes(x = decade, y = offset),
width = 0.2
) +
facet_grid(parameter ~ ., scales = "free_y") +
theme(axis.title.x = element_blank(),
axis.text.x = element_text(angle = 90))
print(p_crossover_ts + p_crossover_decadal +
plot_layout(widths = c(2, 1)))
}

GLODAP_gap_fill <- bind_rows(
GLODAP_phosphate_fill,
GLODAP_talk_fill
)
GLODAP_tco2_calc <- GLODAP %>%
filter(cruise_expocode %in% cruises_tco2_calc,
tco2f == 0)
map +
geom_tile(data = GLODAP_tco2_calc %>%
distinct(lon, lat, cruise_expocode),
aes(lon, lat, fill = cruise_expocode)) +
scale_fill_brewer(palette = "Set1")

for (i_cruise in cruises_tco2_calc) {
# i_cruise <- cruises_phosphate_gap_fill[1]
p_crossover_ts <- xover_add_decade %>%
filter(cruise_A %in% i_cruise) %>%
ggplot(aes(date_B, offset)) +
geom_hline(data = hline_intercept, aes(yintercept = intercept)) +
geom_point(shape = 21) +
scale_color_brewer(palette = "Set1") +
facet_grid(parameter ~ ., scales = "free_y") +
labs(title = i_cruise) +
theme(
legend.position = "bottom",
legend.direction = "vertical",
axis.title.x = element_blank()
)
p_crossover_decadal <-
ggplot() +
geom_hline(data = hline_intercept, aes(yintercept = intercept)) +
geom_violin(
data = xover_add_decade %>%
filter(cruise_A %in% i_cruise),
aes(x = decade, y = offset),
fill = "gold"
) +
geom_boxplot(
data = xover_add_decade %>%
filter(cruise_A %in% i_cruise),
aes(x = decade, y = offset),
width = 0.2
) +
facet_grid(parameter ~ ., scales = "free_y") +
theme(axis.title.x = element_blank(),
axis.text.x = element_text(angle = 90))
print(p_crossover_ts + p_crossover_decadal +
plot_layout(widths = c(2, 1)))
}


GLODAP_talk_calc <- GLODAP %>%
filter(cruise_expocode %in% cruises_talk_calc,
talkf == 0)
map +
geom_tile(data = GLODAP_talk_calc %>%
distinct(lon, lat, cruise_expocode),
aes(lon, lat, fill = cruise_expocode)) +
scale_fill_brewer(palette = "Set1")

for (i_cruise in cruises_talk_calc) {
# i_cruise <- cruises_phosphate_gap_fill[1]
p_crossover_ts <- xover_add_decade %>%
filter(cruise_A %in% i_cruise) %>%
ggplot(aes(date_B, offset)) +
geom_hline(data = hline_intercept, aes(yintercept = intercept)) +
geom_point(shape = 21) +
scale_color_brewer(palette = "Set1") +
facet_grid(parameter ~ ., scales = "free_y") +
labs(title = i_cruise) +
theme(
legend.position = "bottom",
legend.direction = "vertical",
axis.title.x = element_blank()
)
p_crossover_decadal <-
ggplot() +
geom_hline(data = hline_intercept, aes(yintercept = intercept)) +
geom_violin(
data = xover_add_decade %>%
filter(cruise_A %in% i_cruise),
aes(x = decade, y = offset),
fill = "gold"
) +
geom_boxplot(
data = xover_add_decade %>%
filter(cruise_A %in% i_cruise),
aes(x = decade, y = offset),
width = 0.2
) +
facet_grid(parameter ~ ., scales = "free_y") +
theme(axis.title.x = element_blank(),
axis.text.x = element_text(angle = 90))
print(
p_crossover_ts + p_crossover_decadal +
plot_layout(widths = c(2, 1))
)
}



GLODAP_calc <- bind_rows(
GLODAP_tco2_calc,
GLODAP_talk_calc
)
GLODAP_crossover <- bind_rows(
GLODAP_gap_fill,
GLODAP_calc
)
GLODAP_crossover_write <- GLODAP_crossover %>%
select(
EXPOCODE = cruise_expocode,
STNNBR = station,
CASTNO = cast,
BTLNBR = bottle,
DATE = date,
LATITUDE = lat,
LONGITUDE = lon,
CTDPRS = pressure,
CTDTMP = temp,
CTDSAL = sal,
CTDSAL_FLAG_W = salinityf,
PHSPHT = phosphate,
PHSPHT_FLAG_W = phosphatef,
TCARBN = tco2,
TCARBN_FLAG_W = tco2f,
ALKALI = talk,
ALKALI_FLAG_W = talkf)
GLODAP_crossover_write <- GLODAP_crossover_write %>%
mutate(DATE = format(DATE, "%Y%m%d"))
last_line <- "END_DATA"
for (i_EXPOCODE in unique(GLODAP_crossover_write$EXPOCODE)) {
# i_EXPOCODE <- unique(GLODAP_crossover_write$EXPOCODE)[1]
temp <- GLODAP_crossover_write %>%
filter(EXPOCODE == i_EXPOCODE) %>%
add_row(.before = 1)
cat("Bottle",
"\n",
file = paste0(
path_preprocessing,
"crossover_cruises/",
i_EXPOCODE,
".exc.csv"
)
)
temp %>%
write_csv(
file = paste0(
path_preprocessing,
"crossover_cruises/",
i_EXPOCODE,
".exc.csv"
),
na = "",
append = TRUE,
col_names = TRUE
)
write(
last_line,
file = paste0(
path_preprocessing,
"crossover_cruises/",
i_EXPOCODE,
".exc.csv"
),
append = TRUE
)
}
sessionInfo()
R version 4.1.2 (2021-11-01)
Platform: x86_64-pc-linux-gnu (64-bit)
Running under: openSUSE Leap 15.3
Matrix products: default
BLAS: /usr/local/R-4.1.2/lib64/R/lib/libRblas.so
LAPACK: /usr/local/R-4.1.2/lib64/R/lib/libRlapack.so
locale:
[1] LC_CTYPE=en_US.UTF-8 LC_NUMERIC=C
[3] LC_TIME=en_US.UTF-8 LC_COLLATE=en_US.UTF-8
[5] LC_MONETARY=en_US.UTF-8 LC_MESSAGES=en_US.UTF-8
[7] LC_PAPER=en_US.UTF-8 LC_NAME=C
[9] LC_ADDRESS=C LC_TELEPHONE=C
[11] LC_MEASUREMENT=en_US.UTF-8 LC_IDENTIFICATION=C
attached base packages:
[1] stats graphics grDevices utils datasets methods base
other attached packages:
[1] kableExtra_1.3.4 ggrepel_0.9.1 lubridate_1.8.0 colorspace_2.0-2
[5] marelac_2.1.10 shape_1.4.6 ggforce_0.3.3 metR_0.11.0
[9] scico_1.3.0 patchwork_1.1.1 collapse_1.7.0 forcats_0.5.1
[13] stringr_1.4.0 dplyr_1.0.7 purrr_0.3.4 readr_2.1.1
[17] tidyr_1.1.4 tibble_3.1.6 ggplot2_3.3.5 tidyverse_1.3.1
[21] workflowr_1.7.0
loaded via a namespace (and not attached):
[1] nlme_3.1-155 fs_1.5.2 bit64_4.0.5 gsw_1.0-6
[5] RColorBrewer_1.1-2 webshot_0.5.2 httr_1.4.2 rprojroot_2.0.2
[9] tools_4.1.2 backports_1.4.1 bslib_0.3.1 utf8_1.2.2
[13] R6_2.5.1 mgcv_1.8-38 DBI_1.1.2 withr_2.4.3
[17] tidyselect_1.1.1 processx_3.5.2 bit_4.0.4 compiler_4.1.2
[21] git2r_0.29.0 cli_3.1.1 rvest_1.0.2 xml2_1.3.3
[25] labeling_0.4.2 sass_0.4.0 scales_1.1.1 checkmate_2.0.0
[29] SolveSAPHE_2.1.0 callr_3.7.0 systemfonts_1.0.3 digest_0.6.29
[33] svglite_2.0.0 rmarkdown_2.11 oce_1.5-0 pkgconfig_2.0.3
[37] htmltools_0.5.2 highr_0.9 dbplyr_2.1.1 fastmap_1.1.0
[41] rlang_1.0.2 readxl_1.3.1 rstudioapi_0.13 jquerylib_0.1.4
[45] generics_0.1.1 farver_2.1.0 jsonlite_1.7.3 vroom_1.5.7
[49] magrittr_2.0.1 Matrix_1.4-0 Rcpp_1.0.8 munsell_0.5.0
[53] fansi_1.0.2 lifecycle_1.0.1 stringi_1.7.6 whisker_0.4
[57] yaml_2.2.1 MASS_7.3-55 grid_4.1.2 parallel_4.1.2
[61] promises_1.2.0.1 crayon_1.4.2 lattice_0.20-45 splines_4.1.2
[65] haven_2.4.3 hms_1.1.1 seacarb_3.3.0 knitr_1.37
[69] ps_1.6.0 pillar_1.6.4 reprex_2.0.1 glue_1.6.0
[73] evaluate_0.14 getPass_0.2-2 data.table_1.14.2 modelr_0.1.8
[77] vctrs_0.3.8 tzdb_0.2.0 tweenr_1.0.2 httpuv_1.6.5
[81] cellranger_1.1.0 gtable_0.3.0 polyclip_1.10-0 assertthat_0.2.1
[85] xfun_0.29 broom_0.7.11 later_1.3.0 viridisLite_0.4.0
[89] ellipsis_0.3.2