Last updated: 2021-08-18
Checks: 7 0
Knit directory: emlr_mod_v_XXX/
This reproducible R Markdown analysis was created with workflowr (version 1.6.2). The Checks tab describes the reproducibility checks that were applied when the results were created. The Past versions tab lists the development history.
Great! Since the R Markdown file has been committed to the Git repository, you know the exact version of the code that produced these results.
Great job! The global environment was empty. Objects defined in the global environment can affect the analysis in your R Markdown file in unknown ways. For reproduciblity it’s best to always run the code in an empty environment.
The command set.seed(20200707) was run prior to running the code in the R Markdown file. Setting a seed ensures that any results that rely on randomness, e.g. subsampling or permutations, are reproducible.
Great job! Recording the operating system, R version, and package versions is critical for reproducibility.
Nice! There were no cached chunks for this analysis, so you can be confident that you successfully produced the results during this run.
Great job! Using relative paths to the files within your workflowr project makes it easier to run your code on other machines.
Great! You are using Git for version control. Tracking code development and connecting the code version to the results is critical for reproducibility.
The results in this page were generated with repository version cc24186. See the Past versions tab to see a history of the changes made to the R Markdown and HTML files.
Note that you need to be careful to ensure that all relevant files for the analysis have been committed to Git prior to generating the results (you can use wflow_publish or wflow_git_commit). workflowr only checks the R Markdown file, but you know if there are other scripts or data files that it depends on. Below is the status of the Git repository when the results were generated:
Ignored files:
Ignored: .Rhistory
Ignored: .Rproj.user/
Untracked files:
Untracked: docs_GV_2021_2R_ann_standard_ftref_CESM/
Unstaged changes:
Modified: data/auxillary/params_local.rds
Note that any generated files, e.g. HTML, png, CSS, etc., are not included in this status report because it is ok for generated content to have uncommitted changes.
These are the previous versions of the repository in which changes were made to the R Markdown (analysis/eMLR_model_fitting.Rmd) and HTML (docs/eMLR_model_fitting.html) files. If you’ve configured a remote Git repository (see ?wflow_git_remote), click on the hyperlinks in the table below to view the files as they were in that past version.
| File | Version | Author | Date | Message |
|---|---|---|---|---|
| html | cceae84 | Donghe-Zhu | 2021-08-18 | Build site. |
| html | 1cdb694 | Donghe-Zhu | 2021-08-18 | Build site. |
| html | 9b7a798 | Donghe-Zhu | 2021-08-06 | Build site. |
| html | f6552d8 | Donghe-Zhu | 2021-08-06 | update with commit |
| html | 496fa02 | Donghe-Zhu | 2021-08-05 | Build site. |
| html | 19ecfe2 | Donghe-Zhu | 2021-08-05 | Build site. |
| html | 3253031 | Donghe-Zhu | 2021-08-05 | Build site. |
| html | 6c70952 | Donghe-Zhu | 2021-08-01 | Build site. |
| html | 2666bd7 | Donghe-Zhu | 2021-08-01 | Build site. |
| html | e51cfa2 | Donghe-Zhu | 2021-08-01 | Build site. |
| html | 78cbc18 | Donghe-Zhu | 2021-08-01 | Build site. |
| html | c55d4d7 | Donghe-Zhu | 2021-08-01 | Build site. |
| html | 26741db | Donghe-Zhu | 2021-08-01 | Build site. |
| html | ca539b5 | Donghe-Zhu | 2021-08-01 | Build site. |
| html | 1e98138 | Donghe-Zhu | 2021-08-01 | Build site. |
| html | 777b9e9 | Donghe-Zhu | 2021-08-01 | Build site. |
| html | b110c47 | Donghe-Zhu | 2021-08-01 | Build site. |
| html | 3611a48 | Donghe-Zhu | 2021-08-01 | Build site. |
| html | af832ef | Donghe-Zhu | 2021-07-31 | Build site. |
| html | 016f9ed | Donghe-Zhu | 2021-07-31 | Build site. |
| html | 2080ac5 | Donghe-Zhu | 2021-07-31 | Build site. |
| html | 50f0a16 | Donghe-Zhu | 2021-07-31 | Build site. |
| html | 1682579 | Donghe-Zhu | 2021-07-31 | Build site. |
| html | 9fa8832 | Donghe-Zhu | 2021-07-31 | Build site. |
| html | 4abf542 | Donghe-Zhu | 2021-07-31 | Build site. |
| html | a2483f0 | Donghe-Zhu | 2021-07-31 | Build site. |
| html | 3300527 | Donghe-Zhu | 2021-07-31 | Build site. |
| html | afeb6fd | Donghe-Zhu | 2021-07-31 | Build site. |
| html | cb3ef32 | Donghe-Zhu | 2021-07-31 | Build site. |
| html | 6528618 | Donghe-Zhu | 2021-07-31 | Build site. |
| html | f50925e | Donghe-Zhu | 2021-07-31 | Build site. |
| html | f4de2f3 | Donghe-Zhu | 2021-07-30 | Build site. |
| html | 43bc7b4 | Donghe-Zhu | 2021-07-30 | Build site. |
| html | f8c34a8 | Donghe-Zhu | 2021-07-30 | Build site. |
| html | 4f897c4 | Donghe-Zhu | 2021-07-30 | Build site. |
| html | 0f6e960 | Donghe-Zhu | 2021-07-30 | Build site. |
| html | fe067ea | Donghe-Zhu | 2021-07-30 | Build site. |
| html | fbca39a | Donghe-Zhu | 2021-07-30 | Build site. |
| html | f945f95 | Donghe-Zhu | 2021-07-30 | Build site. |
| html | a3006cd | Donghe-Zhu | 2021-07-30 | Build site. |
| html | a55ffdc | Donghe-Zhu | 2021-07-30 | Build site. |
| html | d5e4458 | Donghe-Zhu | 2021-07-30 | Build site. |
| html | 10a97ef | Donghe-Zhu | 2021-07-30 | Build site. |
| html | 1c501fd | Donghe-Zhu | 2021-07-30 | Build site. |
| html | 68bce3f | Donghe-Zhu | 2021-07-30 | Build site. |
| html | 400c457 | Donghe-Zhu | 2021-07-29 | Build site. |
| html | 3ba7852 | Donghe-Zhu | 2021-07-29 | Build site. |
| html | 422d5fd | Donghe-Zhu | 2021-07-29 | Build site. |
| Rmd | 0f6c901 | Donghe-Zhu | 2021-07-29 | local rebuild |
| html | ec68363 | Donghe-Zhu | 2021-07-28 | Build site. |
| html | d3018f6 | Donghe-Zhu | 2021-07-28 | Build site. |
| html | b8ba2c4 | Donghe-Zhu | 2021-07-28 | Build site. |
| Rmd | 9627e07 | Donghe-Zhu | 2021-07-28 | local rebuild |
| html | a4ddd84 | Donghe-Zhu | 2021-07-27 | Build site. |
| html | 7ef49ab | Donghe-Zhu | 2021-07-27 | Build site. |
| html | da818c0 | Donghe-Zhu | 2021-07-27 | Build site. |
| html | 8623898 | Donghe-Zhu | 2021-07-27 | Build site. |
| html | f84b77c | Donghe-Zhu | 2021-07-27 | Build site. |
| html | 70ad9a5 | Donghe-Zhu | 2021-07-27 | Build site. |
| html | 0d0b48d | Donghe-Zhu | 2021-07-27 | Build site. |
| Rmd | 376ec48 | Donghe-Zhu | 2021-07-27 | local rebuild |
| html | d0d97c6 | Donghe-Zhu | 2021-07-27 | Build site. |
| html | 829510d | Donghe-Zhu | 2021-07-27 | Build site. |
| html | 780627d | Donghe-Zhu | 2021-07-27 | Build site. |
| html | e9838c9 | Donghe-Zhu | 2021-07-27 | Build site. |
| html | 2777f33 | Donghe-Zhu | 2021-07-27 | Build site. |
| html | d19760f | Donghe-Zhu | 2021-07-27 | Build site. |
| html | cac5680 | Donghe-Zhu | 2021-07-23 | Build site. |
| html | 7bb279a | Donghe-Zhu | 2021-07-23 | Build site. |
| html | d52eac4 | Donghe-Zhu | 2021-07-23 | Build site. |
| html | dcf34b1 | Donghe-Zhu | 2021-07-23 | Build site. |
| html | 419cb72 | Donghe-Zhu | 2021-07-22 | Build site. |
| html | 9447d10 | Donghe-Zhu | 2021-07-22 | Build site. |
| html | 639c9a0 | Donghe-Zhu | 2021-07-22 | Build site. |
| html | 25bb96f | Donghe-Zhu | 2021-07-22 | Build site. |
| html | cdc98a3 | Donghe-Zhu | 2021-07-22 | Build site. |
| html | e4805a1 | Donghe-Zhu | 2021-07-22 | Build site. |
| Rmd | 573cc5d | Donghe-Zhu | 2021-07-22 | local rebuild |
| html | 7957fd1 | Donghe-Zhu | 2021-07-21 | Build site. |
| html | b94be4e | Donghe-Zhu | 2021-07-21 | Build site. |
| html | 9950e70 | Donghe-Zhu | 2021-07-21 | Build site. |
| html | 698b6f0 | Donghe-Zhu | 2021-07-20 | Build site. |
| html | d84a1cb | Donghe-Zhu | 2021-07-20 | Build site. |
| Rmd | ec15bf2 | Donghe-Zhu | 2021-07-20 | local rebuild |
| html | 4dce223 | Donghe-Zhu | 2021-07-20 | Build site. |
| html | 6f28c0c | Donghe-Zhu | 2021-07-20 | Build site. |
| html | db1e7b7 | Donghe-Zhu | 2021-07-19 | Build site. |
| Rmd | 38a8d51 | Donghe-Zhu | 2021-07-19 | local rebuild |
| html | ff0575d | Donghe-Zhu | 2021-07-19 | Build site. |
| html | 5d60eac | Donghe-Zhu | 2021-07-19 | Build site. |
| html | 57d0420 | Donghe-Zhu | 2021-07-16 | Build site. |
| html | c1be8f6 | Donghe-Zhu | 2021-07-16 | 1 |
| html | 26a7c15 | Donghe-Zhu | 2021-07-16 | Build site. |
| html | 046902b | Donghe-Zhu | 2021-07-16 | Build site. |
| html | 3d4ac14 | Donghe-Zhu | 2021-07-15 | Build site. |
| html | be6fff9 | Donghe-Zhu | 2021-07-15 | Build site. |
| Rmd | b8bd687 | Donghe-Zhu | 2021-07-15 | local rebuild |
| html | b473472 | Donghe-Zhu | 2021-07-15 | Build site. |
| html | 363270a | Donghe-Zhu | 2021-07-15 | Build site. |
| Rmd | bb00951 | Donghe-Zhu | 2021-07-15 | local rebuild |
| html | 8b75a03 | Donghe-Zhu | 2021-07-15 | Build site. |
| Rmd | 4f7d192 | Donghe-Zhu | 2021-07-15 | local rebuild |
| html | 294f8ca | Donghe-Zhu | 2021-07-15 | Build site. |
| html | a01e135 | Donghe-Zhu | 2021-07-07 | Build site. |
| html | bc83ef2 | Donghe-Zhu | 2021-07-07 | Build site. |
| Rmd | 0a4ac57 | Donghe-Zhu | 2021-07-07 | local rebuild |
| html | 75e7b07 | Donghe-Zhu | 2021-07-06 | Build site. |
| html | 697aa6d | Donghe-Zhu | 2021-07-06 | Build site. |
| html | d52e2de | Donghe-Zhu | 2021-07-06 | Build site. |
| html | f2bde6b | Donghe-Zhu | 2021-07-06 | Build site. |
| html | 1133f28 | Donghe-Zhu | 2021-07-06 | Build site. |
| html | fe3a1cd | Donghe-Zhu | 2021-07-06 | Build site. |
| html | d9cdf15 | Donghe-Zhu | 2021-07-06 | Build site. |
| html | ee4cd2d | Donghe-Zhu | 2021-07-06 | Build site. |
| html | 93821c1 | Donghe-Zhu | 2021-07-05 | Build site. |
| html | d44db8e | Donghe-Zhu | 2021-07-05 | Build site. |
| html | 20b3436 | Donghe-Zhu | 2021-07-05 | Build site. |
| html | d982ea5 | Donghe-Zhu | 2021-07-05 | Build site. |
| html | 7397e53 | Donghe-Zhu | 2021-07-05 | Build site. |
| html | f2e4805 | Donghe-Zhu | 2021-07-05 | Build site. |
| html | e2d011a | Donghe-Zhu | 2021-07-05 | Build site. |
| html | 85e0349 | Donghe-Zhu | 2021-07-05 | Build site. |
| html | 6ee0146 | Donghe-Zhu | 2021-07-05 | Build site. |
| html | a482a6b | Donghe-Zhu | 2021-07-05 | Build site. |
| html | f59f1b3 | Donghe-Zhu | 2021-07-05 | Build site. |
| html | 116bcab | Donghe-Zhu | 2021-07-04 | Build site. |
| html | cb1c8dc | Donghe-Zhu | 2021-07-04 | Build site. |
| html | c9bdd83 | Donghe-Zhu | 2021-07-04 | Build site. |
| html | 1920ad9 | Donghe-Zhu | 2021-07-04 | Build site. |
| html | 0b02791 | Donghe-Zhu | 2021-06-25 | change random subset files |
| html | caf62d8 | Donghe-Zhu | 2021-06-25 | Build site. |
| html | 90a9da5 | Donghe-Zhu | 2021-06-25 | Build site. |
| html | bb413c8 | Donghe-Zhu | 2021-06-25 | Build site. |
| html | e7a5266 | Donghe-Zhu | 2021-06-24 | Build site. |
| html | 7c57720 | Donghe-Zhu | 2021-06-24 | Build site. |
| html | b5b95a9 | Donghe-Zhu | 2021-06-24 | Build site. |
| html | 472aad4 | Donghe-Zhu | 2021-06-24 | Build site. |
| Rmd | 76ce72b | Donghe-Zhu | 2021-06-24 | local rebuild |
| html | d517836 | Donghe-Zhu | 2021-06-24 | 0 |
| html | 9221bfe | Donghe-Zhu | 2021-06-24 | Build site. |
| html | bff5fbf | Donghe-Zhu | 2021-06-23 | Build site. |
| html | 256a616 | Donghe-Zhu | 2021-06-23 | Build site. |
| html | 00072e2 | Donghe-Zhu | 2021-06-23 | Build site. |
| Rmd | 71d2509 | Donghe-Zhu | 2021-06-23 | local rebuild |
| html | 61cae2b | Donghe-Zhu | 2021-06-20 | 1 |
| html | d20c383 | Donghe-Zhu | 2021-06-18 | Build site. |
| html | b0874a2 | Donghe-Zhu | 2021-06-17 | Build site. |
| html | 72c2f2e | Donghe-Zhu | 2021-06-15 | Build site. |
| html | d97dcb6 | Donghe-Zhu | 2021-06-08 | 1 |
| html | 25dda1d | Donghe-Zhu | 2021-06-08 | Build site. |
| html | bd2bcc3 | Donghe-Zhu | 2021-06-08 | Build site. |
| html | e9b27d7 | Donghe-Zhu | 2021-06-07 | Build site. |
| html | 7ae0d4b | Donghe-Zhu | 2021-06-07 | Build site. |
| html | 325391f | Donghe-Zhu | 2021-06-07 | Build site. |
| html | ed89970 | Donghe-Zhu | 2021-06-07 | Build site. |
| html | df37958 | Donghe-Zhu | 2021-06-07 | 1 |
| html | 812bf63 | Donghe-Zhu | 2021-06-06 | Build site. |
| html | 65c89c8 | Donghe-Zhu | 2021-06-06 | Build site. |
| html | 9baa3b2 | Donghe-Zhu | 2021-06-06 | debug |
| html | b7d99cf | Donghe-Zhu | 2021-06-06 | Build site. |
| html | 5d8fa90 | Donghe-Zhu | 2021-06-06 | Build site. |
| html | dbe2a95 | Donghe-Zhu | 2021-05-28 | Build site. |
| html | d50b039 | Donghe-Zhu | 2021-05-28 | Build site. |
| html | 441ebe5 | Donghe-Zhu | 2021-05-28 | Build site. |
| html | 6262ad3 | Donghe-Zhu | 2021-05-28 | Build site. |
| html | a61aa77 | Donghe-Zhu | 2021-05-28 | Build site. |
| html | b8dbce4 | Donghe-Zhu | 2021-05-28 | Build site. |
| html | 94a833e | Donghe-Zhu | 2021-05-27 | Build site. |
| html | 5e0bd64 | Donghe-Zhu | 2021-05-27 | Build site. |
| html | af1eadd | Donghe-Zhu | 2021-05-27 | Build site. |
| html | 9179bfe | Donghe-Zhu | 2021-05-27 | Build site. |
| html | 28cbe5e | Donghe-Zhu | 2021-05-27 | Build site. |
| html | a618f02 | Donghe-Zhu | 2021-05-27 | Build site. |
| html | 4623e38 | Donghe-Zhu | 2021-05-27 | Build site. |
| html | b81bb49 | Donghe-Zhu | 2021-05-27 | Build site. |
| html | 951e188 | Donghe-Zhu | 2021-05-27 | Build site. |
| html | e377833 | Donghe-Zhu | 2021-05-26 | Build site. |
| Rmd | 896faa0 | Donghe-Zhu | 2021-05-18 | final |
| html | 2705a04 | Donghe-Zhu | 2021-03-28 | Build site. |
| html | cd5f759 | Donghe-Zhu | 2021-03-28 | Build site. |
| Rmd | 347fb44 | Donghe-Zhu | 2021-03-28 | local rebuild |
| html | 75dda4d | Donghe-Zhu | 2021-03-27 | Build site. |
| html | 0b19f6e | Donghe-Zhu | 2021-03-27 | Build site. |
| html | e2704ca | Donghe-Zhu | 2021-03-27 | Build site. |
| Rmd | b1706de | Donghe-Zhu | 2021-03-27 | local rebuild |
| html | 3061a0b | Donghe-Zhu | 2021-03-27 | Build site. |
| html | b883157 | Donghe-Zhu | 2021-03-27 | Build site. |
| html | 0c20513 | Donghe-Zhu | 2021-03-26 | Build site. |
| html | d19654d | Donghe-Zhu | 2021-03-26 | Build site. |
| Rmd | 921c9db | Donghe-Zhu | 2021-03-26 | local rebuild |
| html | 6c53dbf | Donghe-Zhu | 2021-03-25 | Build site. |
| Rmd | 195db95 | Donghe-Zhu | 2021-03-24 | local rebuild |
| html | 1914a11 | Donghe-Zhu | 2021-03-24 | Build site. |
| Rmd | e32af14 | Donghe-Zhu | 2021-03-24 | local rebuild |
| html | 8be810e | Donghe-Zhu | 2021-03-23 | Build site. |
| Rmd | 85274db | Donghe-Zhu | 2021-03-23 | local rebuild |
| html | bf19764 | Donghe-Zhu | 2021-03-22 | Build site. |
| html | 3ec9d3d | Donghe-Zhu | 2021-03-22 | Build site. |
| Rmd | 073fa6a | Donghe-Zhu | 2021-03-22 | local rebuild |
| html | 134ace1 | Donghe-Zhu | 2021-03-22 | Build site. |
| html | f6d70a4 | Donghe-Zhu | 2021-03-22 | Build site. |
| html | 183443b | Donghe-Zhu | 2021-03-21 | Build site. |
| Rmd | adca794 | Donghe-Zhu | 2021-03-21 | local rebuild |
| html | 2e6976b | Donghe-Zhu | 2021-03-21 | Build site. |
| Rmd | 4e7de35 | Donghe-Zhu | 2021-03-21 | local rebuild |
| html | 51a42bd | Donghe-Zhu | 2021-03-16 | Build site. |
| html | f745381 | Donghe-Zhu | 2021-03-16 | Build site. |
| html | aecbf75 | Donghe-Zhu | 2021-03-14 | Build site. |
| html | 1b2a0c2 | Donghe-Zhu | 2021-03-14 | Build site. |
| html | 6733e48 | Donghe-Zhu | 2021-03-12 | Build site. |
| html | ba71e6a | Donghe-Zhu | 2021-03-12 | Build site. |
| html | 9dbf5bd | Donghe-Zhu | 2021-03-11 | Build site. |
| html | a49df30 | Donghe-Zhu | 2021-03-11 | Build site. |
| html | b3348a5 | Donghe-Zhu | 2021-03-11 | Build site. |
| Rmd | 026c061 | Donghe-Zhu | 2021-03-11 | local rebuild |
| html | 1c24ff7 | Donghe-Zhu | 2021-03-10 | Build site. |
| Rmd | dbd8ff8 | Donghe-Zhu | 2021-03-10 | local rebuild |
| html | 94ce5a8 | Donghe-Zhu | 2021-03-10 | Build site. |
| html | db33928 | Donghe-Zhu | 2021-03-10 | Build site. |
| html | 3d1f470 | Donghe-Zhu | 2021-03-10 | Build site. |
| html | 9b7bc66 | Donghe-Zhu | 2021-03-10 | Build site. |
| Rmd | 498be1d | Donghe-Zhu | 2021-03-10 | local rebuild |
| html | 4168b43 | Donghe-Zhu | 2021-03-10 | Build site. |
| html | 5365f80 | Donghe-Zhu | 2021-03-10 | Build site. |
| html | 2b6c392 | Donghe-Zhu | 2021-03-10 | Build site. |
| html | 9f58753 | Donghe-Zhu | 2021-03-10 | Build site. |
| Rmd | e255177 | Donghe-Zhu | 2021-03-10 | local rebuild |
| html | f2a7146 | Donghe-Zhu | 2021-03-10 | Build site. |
| html | fd528ed | Donghe-Zhu | 2021-03-10 | Build site. |
| html | 9d5a62c | Donghe-Zhu | 2021-03-10 | Build site. |
| Rmd | 09b27ef | Donghe-Zhu | 2021-03-10 | local rebuild |
| html | 5d1e70b | Donghe-Zhu | 2021-03-10 | Build site. |
| Rmd | 6125b2d | Donghe-Zhu | 2021-03-10 | local rebuild |
| html | 2093979 | Donghe-Zhu | 2021-03-10 | Build site. |
| Rmd | 558d285 | Donghe-Zhu | 2021-03-10 | local rebuild |
| html | b865899 | Donghe-Zhu | 2021-03-10 | Build site. |
| html | cc2a956 | Donghe-Zhu | 2021-03-10 | Build site. |
| Rmd | 2a633bd | Donghe-Zhu | 2021-03-10 | local rebuild |
| html | 60689fb | Donghe-Zhu | 2021-03-10 | Build site. |
| html | 9230b52 | Donghe-Zhu | 2021-03-10 | Build site. |
| html | dba33c8 | Donghe-Zhu | 2021-03-09 | Build site. |
| Rmd | 6a60e02 | Donghe-Zhu | 2021-03-09 | local rebuild |
| html | 17f1c4a | Donghe-Zhu | 2021-03-09 | Build site. |
| Rmd | 4a4a400 | Donghe-Zhu | 2021-03-09 | local rebuild |
| html | c024d1a | Donghe-Zhu | 2021-03-09 | Build site. |
| Rmd | 34744ec | Donghe-Zhu | 2021-03-09 | local rebuild |
| html | 02f7242 | Donghe-Zhu | 2021-03-09 | Build site. |
| html | 6f50bc6 | Donghe-Zhu | 2021-03-09 | Build site. |
| Rmd | 88f0729 | Donghe-Zhu | 2021-03-09 | local rebuild |
| html | 1691156 | Donghe-Zhu | 2021-03-08 | Build site. |
| html | c0ceaf8 | Donghe-Zhu | 2021-03-08 | Build site. |
| html | 058e0a1 | Donghe-Zhu | 2021-03-08 | Build site. |
| html | 112dea0 | Donghe-Zhu | 2021-03-08 | Build site. |
| html | 1843412 | Donghe-Zhu | 2021-03-08 | Build site. |
| Rmd | d709f6c | Donghe-Zhu | 2021-03-08 | local rebuild |
| html | 65b0cef | Donghe-Zhu | 2021-03-07 | Build site. |
| html | 4083a6c | Donghe-Zhu | 2021-03-07 | Build site. |
| html | 3fbbfa4 | Donghe-Zhu | 2021-03-07 | Build site. |
| html | 627c8fb | Donghe-Zhu | 2021-03-07 | Build site. |
| html | 3607f4d | Donghe-Zhu | 2021-03-07 | Build site. |
| html | 9ef3222 | Donghe-Zhu | 2021-03-05 | Build site. |
| Rmd | 2be54f9 | Donghe-Zhu | 2021-03-05 | local rebuild |
| html | 8c1e978 | Donghe-Zhu | 2021-03-05 | Build site. |
| html | 865f68c | Donghe-Zhu | 2021-03-05 | Build site. |
| html | ee69bc1 | Donghe-Zhu | 2021-03-05 | Build site. |
| html | a79291f | Donghe-Zhu | 2021-03-05 | Build site. |
| html | e8c6f30 | Donghe-Zhu | 2021-03-04 | Build site. |
| html | 59288fe | Donghe-Zhu | 2021-03-04 | Build site. |
| html | 731abc8 | Donghe-Zhu | 2021-03-04 | Build site. |
| html | e2a5a33 | Donghe-Zhu | 2021-03-04 | Build site. |
| html | c7892c1 | Donghe-Zhu | 2021-03-04 | Build site. |
| html | 924430b | Donghe-Zhu | 2021-03-03 | Build site. |
| html | 0d0bca1 | Donghe-Zhu | 2021-03-03 | Build site. |
| html | cb63c16 | Donghe-Zhu | 2021-03-03 | Build site. |
| html | ffda45a | Donghe-Zhu | 2021-03-03 | Build site. |
| html | 691ba81 | Donghe-Zhu | 2021-03-03 | Build site. |
| html | c5e45a2 | Donghe-Zhu | 2021-03-03 | Build site. |
| html | 89c3e58 | Donghe-Zhu | 2021-03-03 | Build site. |
| html | c407a50 | Donghe-Zhu | 2021-03-03 | Build site. |
| html | c911669 | Donghe-Zhu | 2021-03-03 | Build site. |
| Rmd | e1f9d21 | Donghe-Zhu | 2021-03-03 | local rebuild |
| html | b71c719 | Donghe-Zhu | 2021-03-01 | Build site. |
| html | 13666ca | Donghe-Zhu | 2021-03-01 | Build site. |
| Rmd | c3195f4 | Donghe-Zhu | 2021-03-01 | local rebuild |
| html | c6e60fe | Donghe-Zhu | 2021-03-01 | Build site. |
| Rmd | 8ef147d | Donghe-Zhu | 2021-03-01 | local rebuild |
| html | 7a388f7 | Donghe-Zhu | 2021-03-01 | Build site. |
| html | 799e913 | Donghe-Zhu | 2021-03-01 | Build site. |
| Rmd | aa780a7 | Donghe-Zhu | 2021-03-01 | local rebuild |
| html | 66ff99f | Donghe-Zhu | 2021-03-01 | Build site. |
| html | ac9bb7a | Donghe-Zhu | 2021-02-28 | Build site. |
| html | efdc047 | Donghe-Zhu | 2021-02-28 | Build site. |
| html | e9a7418 | Donghe-Zhu | 2021-02-28 | Build site. |
| Rmd | eac1b0e | Donghe-Zhu | 2021-02-28 | local rebuild |
| html | e152917 | Donghe-Zhu | 2021-02-28 | Build site. |
| html | feb991c | Donghe-Zhu | 2021-02-27 | Build site. |
| Rmd | 4563314 | Donghe-Zhu | 2021-02-27 | local rebuild |
| html | 287123c | Donghe-Zhu | 2021-02-27 | Build site. |
| Rmd | 764a9c2 | Donghe-Zhu | 2021-02-27 | local rebuild |
| html | 54d5b5b | Donghe-Zhu | 2021-02-27 | Build site. |
| Rmd | 2e836bf | Donghe-Zhu | 2021-02-27 | local rebuild |
| html | 330f064 | Donghe-Zhu | 2021-02-27 | Build site. |
| Rmd | f360282 | Donghe-Zhu | 2021-02-27 | local rebuild |
| html | adbc9bc | Donghe-Zhu | 2021-02-27 | Build site. |
| Rmd | a8a8f9c | Donghe-Zhu | 2021-02-27 | local rebuild |
| html | 5937141 | Donghe-Zhu | 2021-02-27 | Build site. |
| Rmd | 5f0bfca | Donghe-Zhu | 2021-02-27 | local rebuild |
| html | 4414bbf | Donghe-Zhu | 2021-02-27 | Build site. |
| html | a265efb | Donghe-Zhu | 2021-02-27 | Build site. |
| html | 19edd1e | Donghe-Zhu | 2021-02-27 | Build site. |
| Rmd | 1ae5bb4 | Donghe-Zhu | 2021-02-27 | local rebuild |
| html | f20483f | Donghe-Zhu | 2021-02-26 | Build site. |
| html | 6a2c7b3 | Donghe-Zhu | 2021-02-25 | Build site. |
| html | 02b976d | Donghe-Zhu | 2021-02-24 | Build site. |
| html | 354c224 | Donghe-Zhu | 2021-02-24 | Build site. |
| Rmd | d910d39 | Donghe-Zhu | 2021-02-24 | local rebuild |
| html | 1a0a88a | Donghe-Zhu | 2021-02-24 | Build site. |
| Rmd | 663e891 | Donghe-Zhu | 2021-02-24 | local rebuild |
| html | 57f701e | Donghe-Zhu | 2021-02-24 | Build site. |
| html | 06f3149 | Donghe-Zhu | 2021-02-16 | Build site. |
| html | 401eab3 | Donghe-Zhu | 2021-02-15 | Build site. |
| html | e3bba84 | Donghe-Zhu | 2021-02-15 | Build site. |
| html | 5dce4b1 | Donghe-Zhu | 2021-02-15 | Build site. |
| Rmd | 35b0f2e | Donghe-Zhu | 2021-02-15 | local rebuild |
| html | 4469a0c | Donghe-Zhu | 2021-02-13 | Build site. |
| Rmd | 8186d57 | Donghe-Zhu | 2021-02-10 | apply nr_obs |
| html | 5ae6a69 | Donghe-Zhu | 2021-02-10 | Build site. |
| Rmd | eeb6557 | Donghe-Zhu | 2021-02-10 | local rebuild |
| html | 05385dc | Donghe-Zhu | 2021-02-10 | Build site. |
| html | f791ae4 | Donghe-Zhu | 2021-02-09 | Build site. |
| html | f71ae34 | Donghe-Zhu | 2021-02-09 | Build site. |
| html | c011832 | Donghe-Zhu | 2021-02-09 | Build site. |
| html | a145fa7 | Donghe-Zhu | 2021-02-09 | Build site. |
| Rmd | 37a41c8 | Donghe-Zhu | 2021-02-09 | local rebuild |
| html | c344e42 | Donghe-Zhu | 2021-02-08 | Build site. |
| Rmd | 8f5fa79 | Donghe-Zhu | 2021-02-08 | local rebuild |
| html | 2f095d7 | Donghe-Zhu | 2021-02-07 | Build site. |
| html | 2305044 | Donghe-Zhu | 2021-02-07 | Build site. |
| Rmd | c3638c1 | Donghe-Zhu | 2021-02-07 | local rebuild |
| html | 1fad5f1 | Donghe-Zhu | 2021-02-07 | Build site. |
| html | ca03c39 | Donghe-Zhu | 2021-02-07 | Build site. |
| html | e2ffc14 | Donghe-Zhu | 2021-02-05 | Build site. |
| html | cd7c52c | Donghe-Zhu | 2021-02-04 | Build site. |
| Rmd | bcf91a8 | jens-daniel-mueller | 2021-02-04 | separate MLR tables, added plot residuals vs location |
| html | bcf84f4 | Donghe-Zhu | 2021-02-02 | Build site. |
| html | a518739 | Donghe-Zhu | 2021-02-01 | Build site. |
| html | 61666de | Donghe-Zhu | 2021-01-31 | Build site. |
| html | 865b582 | Donghe-Zhu | 2021-01-31 | Build site. |
| html | 3e68089 | Donghe-Zhu | 2021-01-31 | Build site. |
| html | ecf335c | Donghe-Zhu | 2021-01-31 | Build site. |
| html | a618965 | Donghe-Zhu | 2021-01-31 | Build site. |
| html | 59e006e | Donghe-Zhu | 2021-01-31 | Build site. |
| html | a1c8f87 | Donghe-Zhu | 2021-01-31 | Build site. |
| html | ae5c18f | Donghe-Zhu | 2021-01-31 | Build site. |
| html | b50fe52 | Donghe-Zhu | 2021-01-31 | Build site. |
| Rmd | ac99ae5 | jens-daniel-mueller | 2021-01-29 | code review |
| html | ac99ae5 | jens-daniel-mueller | 2021-01-29 | code review |
| html | b5bdcaf | Donghe-Zhu | 2021-01-29 | Build site. |
| Rmd | b234505 | Donghe-Zhu | 2021-01-29 | MLR approach across all depth |
| html | 442010d | Donghe-Zhu | 2021-01-29 | Build site. |
| Rmd | e67e7dd | Donghe-Zhu | 2021-01-29 | surface equilibrium approach across all latitudes irrespective of gamma |
| html | 372adf5 | Donghe-Zhu | 2021-01-29 | Build site. |
| html | af8788e | Donghe-Zhu | 2021-01-29 | Build site. |
| html | 21c91c9 | Donghe-Zhu | 2021-01-29 | Build site. |
| html | eded038 | Donghe-Zhu | 2021-01-29 | Build site. |
| html | 541d4dd | Donghe-Zhu | 2021-01-29 | Build site. |
| html | 6a75576 | Donghe-Zhu | 2021-01-28 | Build site. |
| html | 16fba40 | Donghe-Zhu | 2021-01-28 | Build site. |
| Rmd | aecf0c6 | Donghe-Zhu | 2021-01-28 | diagnostic ploting |
| Rmd | a02684e | Donghe-Zhu | 2021-01-28 | error |
| Rmd | 4584be9 | Donghe-Zhu | 2021-01-28 | latest |
| html | 12bc567 | Donghe-Zhu | 2021-01-27 | Build site. |
| html | ceed31b | Donghe-Zhu | 2021-01-27 | Build site. |
| html | 342402d | Donghe-Zhu | 2021-01-27 | Build site. |
| html | 5bad5c2 | Donghe-Zhu | 2021-01-27 | Build site. |
| Rmd | c2c9529 | Donghe-Zhu | 2021-01-27 | random subsetting based on lat |
| html | 61efb56 | Donghe-Zhu | 2021-01-25 | Build site. |
| html | 48f638e | Donghe-Zhu | 2021-01-25 | Build site. |
| html | c1cec47 | Donghe-Zhu | 2021-01-25 | Build site. |
| html | 05ffb0c | Donghe-Zhu | 2021-01-25 | Build site. |
| html | 8b97165 | Donghe-Zhu | 2021-01-25 | Build site. |
| html | c569946 | Donghe-Zhu | 2021-01-24 | Build site. |
| html | a2f0d56 | Donghe-Zhu | 2021-01-23 | Build site. |
| html | 28509fc | Donghe-Zhu | 2021-01-23 | Build site. |
| html | 4c28e4a | Donghe-Zhu | 2021-01-22 | Build site. |
| html | 24cc264 | jens-daniel-mueller | 2021-01-22 | cleaned /docs before creating copies |
| html | 88eb28f | Donghe-Zhu | 2021-01-21 | Build site. |
| html | 2679490 | Donghe-Zhu | 2021-01-21 | Build site. |
| html | 7891955 | Donghe-Zhu | 2021-01-21 | Build site. |
| html | d4cf1cb | Donghe-Zhu | 2021-01-21 | Build site. |
| Rmd | 167eeec | Donghe-Zhu | 2021-01-21 | surface DIC calculation with atmospheric equilibrium option |
| html | 1f3e5b6 | jens-daniel-mueller | 2021-01-20 | Build site. |
| html | 0e7bdf1 | jens-daniel-mueller | 2021-01-15 | cleaning template repository |
| html | 73cbef3 | jens-daniel-mueller | 2021-01-15 | Build site. |
| html | 4571843 | jens-daniel-mueller | 2021-01-14 | revision and html deleted for template copying |
| html | 23151cd | jens-daniel-mueller | 2021-01-14 | Build site. |
| html | b3564aa | jens-daniel-mueller | 2021-01-14 | Build site. |
| html | 8d032c3 | jens-daniel-mueller | 2021-01-14 | Build site. |
| html | 022871c | Donghe-Zhu | 2021-01-13 | Build site. |
| Rmd | d44f36f | Donghe-Zhu | 2021-01-13 | reorder analysis final |
| html | 17dee1d | jens-daniel-mueller | 2021-01-13 | Build site. |
| Rmd | 9e04fd7 | jens-daniel-mueller | 2021-01-13 | local rebuild after revision |
| html | a076226 | Donghe-Zhu | 2021-01-11 | Build site. |
| Rmd | 52eff18 | Donghe-Zhu | 2021-01-09 | Implemet model_run and subsetting |
| html | 7cdea0c | jens-daniel-mueller | 2021-01-06 | Build site. |
| Rmd | b5934dd | jens-daniel-mueller | 2021-01-06 | local rebuild after revision |
| html | fa85b93 | jens-daniel-mueller | 2021-01-06 | Build site. |
| html | e5cb81a | Donghe-Zhu | 2021-01-05 | Build site. |
| Rmd | 608cc45 | Donghe-Zhu | 2021-01-05 | modification of analysis |
| html | a499f10 | Donghe-Zhu | 2021-01-05 | Build site. |
| Rmd | 715bdb4 | Donghe-Zhu | 2021-01-02 | model modification |
| html | fb8a752 | Donghe-Zhu | 2020-12-23 | Build site. |
| Rmd | 82e3c9c | Donghe-Zhu | 2020-12-23 | first build after creating model template |
| html | 8fae0b2 | Donghe-Zhu | 2020-12-21 | Build site. |
| Rmd | 00a1322 | Donghe-Zhu | 2020-12-21 | first build after creating model template |
| Rmd | d73ae35 | Donghe-Zhu | 2020-12-21 | first version with lm error |
| html | c8b76b3 | jens-daniel-mueller | 2020-12-19 | Build site. |
| Rmd | b5fedce | jens-daniel-mueller | 2020-12-19 | first build after creating model template |
| Rmd | 8e8abf5 | Jens Müller | 2020-12-18 | Initial commit |
Required are:
GLODAP <-
read_csv(paste(path_version_data,
"GLODAPv2.2020_MLR_fitting_ready.csv",
sep = ""))
Find all possible combinations of following considered predictor variables:
# the following code is a workaround to find all predictor combinations
# using the olsrr package and fit all models for one era, slab, and basin
i_basin <- unique(GLODAP$basin)[1]
i_era <- unique(GLODAP$era)[1]
# subset one basin and era for fitting
GLODAP_basin_era <- GLODAP %>%
filter(basin == i_basin, era == i_era)
i_gamma_slab <- unique(GLODAP_basin_era$gamma_slab)[1]
print(i_gamma_slab)
# subset one gamma slab
GLODAP_basin_era_slab <- GLODAP_basin_era %>%
filter(gamma_slab == i_gamma_slab)
# fit the full linear model, i.e. all predictor combinations
lm_full <- lm(paste(
params_local$MLR_target,
paste(params_local$MLR_predictors, collapse = " + "),
sep = " ~ "
),
data = GLODAP_basin_era_slab)
# fit linear models for all possible predictor combinations
# unfortunately, this functions does not provide model coefficients (yet)
lm_all <- ols_step_all_possible(lm_full)
# convert to tibble
lm_all <- as_tibble(lm_all)
# extract relevant columns and format model formula
lm_all <- lm_all %>%
select(n, predictors) %>%
mutate(lm_coeff = str_replace_all(predictors, " ", " + "),
lm_coeff = paste(params_local$MLR_target, "~", lm_coeff))
# remove certain predictor combinations
lm_rm_si <- lm_all %>%
filter(str_detect(lm_coeff, "silicate_star")) %>%
mutate(lm_coeff_filter = str_remove(lm_coeff, "silicate_star")) %>%
filter(str_detect(lm_coeff_filter, "silicate") &
str_detect(lm_coeff_filter, "nitrate")) %>%
select(-lm_coeff_filter)
lm_rm_ph <- lm_all %>%
filter(str_detect(lm_coeff, "phosphate_star")) %>%
mutate(lm_coeff_filter = str_remove(lm_coeff, "phosphate_star")) %>%
filter(str_detect(lm_coeff_filter, "phosphate") &
str_detect(lm_coeff_filter, "oxygen")) %>%
select(-lm_coeff_filter)
lm_rm <- bind_rows(lm_rm_ph, lm_rm_si) %>%
unique()
lm_all <- anti_join(lm_all, lm_rm)
# remove temp sal predictor combination
# lm_all <- lm_all %>%
# # filter(!(
# # str_detect(lm_coeff, "temp") &
# # str_detect(lm_coeff, "phosphate_star")
# # )) %>%
# mutate(lm_coeff_filter = str_remove(lm_coeff, "phosphate_star")) %>%
# filter(!(str_detect(lm_coeff_filter, "nitrate") &
# str_detect(lm_coeff_filter, "phosphate")
# )) %>%
# filter(!(
# str_detect(lm_coeff_filter, "temp") &
# str_detect(lm_coeff_filter, "sal")
# )) %>%
# # filter(!(
# # str_detect(lm_coeff_filter, "oxygen") &
# # str_detect(lm_coeff_filter, "aou")
# # )) %>%
# select(-lm_coeff_filter)
# remove helper objects
rm(
i_gamma_slab,
i_era,
i_basin,
GLODAP_basin_era,
GLODAP_basin_era_slab,
lm_full,
lm_rm_ph,
lm_rm_si,
lm_rm_o2,
lm_rm
)
# lm_full <- lm(paste(
# params_local$MLR_target,
# paste(params_local$MLR_predictors, collapse = " + "),
# sep = " ~ "
# ),
# data = GLODAP_basin_era_slab)
#
# lm_full <-
# loess(
# cstar_tref ~ sal + temp + aou + phosphate,
# span = 0.1,
# degree = 1,
# data = GLODAP_basin_era_slab
# )
Select combinations with a total number of predictors in the range:
lm_all <- lm_all %>%
filter(n >= params_local$MLR_predictors_min,
n <= params_local$MLR_predictors_max)
This results in a total number of MLR models of:
Individual linear regression models were fitted for the chosen target variable:
as a function of each predictor combination. Fitting was performed separately within each basin, era, and slab. Model diagnostics, such as the root mean squared error (RMSE), were calculated for each fitted model.
# loop across all basins, era, gamma slabs, and MLRs
# fit all MLR models
for (i_basin in unique(GLODAP$basin)) {
for (i_era in unique(GLODAP$era)) {
#i_basin <- unique(GLODAP$basin)[1]
#i_era <- unique(GLODAP$era)[1]
print(i_basin)
print(i_era)
GLODAP_basin_era <- GLODAP %>%
filter(basin == i_basin, era == i_era)
for (i_gamma_slab in unique(GLODAP_basin_era$gamma_slab)) {
#i_gamma_slab <- unique(GLODAP_basin_era$gamma_slab)[1]
print(i_gamma_slab)
GLODAP_basin_era_slab <- GLODAP_basin_era %>%
filter(gamma_slab == i_gamma_slab)
# number of observations used for each fitting model
i_nr_obs = nrow(GLODAP_basin_era_slab)
for (i_predictors in unique(lm_all$predictors)) {
#i_predictors <- unique(lm_all$predictors)[100]
# extract one model definition
i_lm <- lm_all %>%
filter(predictors == i_predictors) %>%
select(lm_coeff) %>%
pull()
# extract number of predictors
i_n_predictors <- lm_all %>%
filter(predictors == i_predictors) %>%
select(n) %>%
pull()
if (i_nr_obs > i_n_predictors) {
# fit model
if (params_local$MLR_type == "rlm") {
i_lm_fit <- MASS::rlm(as.formula(i_lm),
data = GLODAP_basin_era_slab)
}
if (params_local$MLR_type == "lm") {
i_lm_fit <- lm(as.formula(i_lm),
data = GLODAP_basin_era_slab)
}
# find max predictor correlation
i_cor_max <- GLODAP_basin_era_slab %>%
select(!!!syms(str_split(i_predictors, " ",
simplify = TRUE))) %>%
correlate(quiet = TRUE) %>%
select(-term) %>%
abs() %>%
max(na.rm = TRUE)
# calculate root mean squared error
i_rmse <- sqrt(c(crossprod(i_lm_fit$residuals)) /
length(i_lm_fit$residuals))
# calculate maximum residual
i_resid_max <- max(abs(i_lm_fit$residuals))
# calculate Akaike information criterion aic
i_aic <- AIC(i_lm_fit)
# calculate max VIF
if (is.na(max(i_lm_fit$coefficients))) {
i_vif_max <- as.double("NA")
} else{
i_vif_max <- max(vif(i_lm_fit))
}
# collect model coefficients and diagnostics
coefficients <- tidy(i_lm_fit)
coefficients <- coefficients %>%
mutate(
basin = i_basin,
era = i_era,
gamma_slab = i_gamma_slab,
model = i_lm,
nr_obs = i_nr_obs,
rmse = i_rmse,
aic = i_aic,
vif_max = i_vif_max,
resid_max = i_resid_max,
n_predictors = i_n_predictors,
na_predictor = anyNA(coefficients$estimate),
cor_max = i_cor_max
)
if (exists("lm_all_fitted")) {
lm_all_fitted <- bind_rows(lm_all_fitted, coefficients)
}
if (!exists("lm_all_fitted")) {
lm_all_fitted <- coefficients
}
}
}
}
}
}
rm(
i_lm_fit,
coefficients,
i_rmse,
GLODAP_basin_era,
GLODAP_basin_era_slab,
i_lm,
i_basin,
i_era,
i_gamma_slab,
i_nr_obs,
i_predictors,
i_aic,
i_vif_max,
i_n_predictors,
i_resid_max
)
Coefficients are prepared for the mapping of Cant and the chosen target variable.
# lm_all_fitted <- lm_all_fitted_1
# lm_all_fitted <-
# read_csv(paste(path_version_data,
# "lm_all_fitted.csv",
# sep = ""))
# select relevant columns
lm_all_fitted <- lm_all_fitted %>%
select(
basin,
gamma_slab,
era,
model,
nr_obs,
n_predictors,
term,
estimate,
rmse,
aic,
vif_max,
resid_max,
na_predictor,
cor_max
)
# set coefficient to zero if not fitted (=NA)
lm_all_fitted <- lm_all_fitted %>%
mutate(estimate = if_else(is.na(estimate), 0, estimate))
# Prepare model coefficients for mapping of target variable
lm_all_fitted_wide <- lm_all_fitted %>%
pivot_wider(
values_from = estimate,
names_from = term,
names_prefix = "coeff_",
values_fill = 0
)
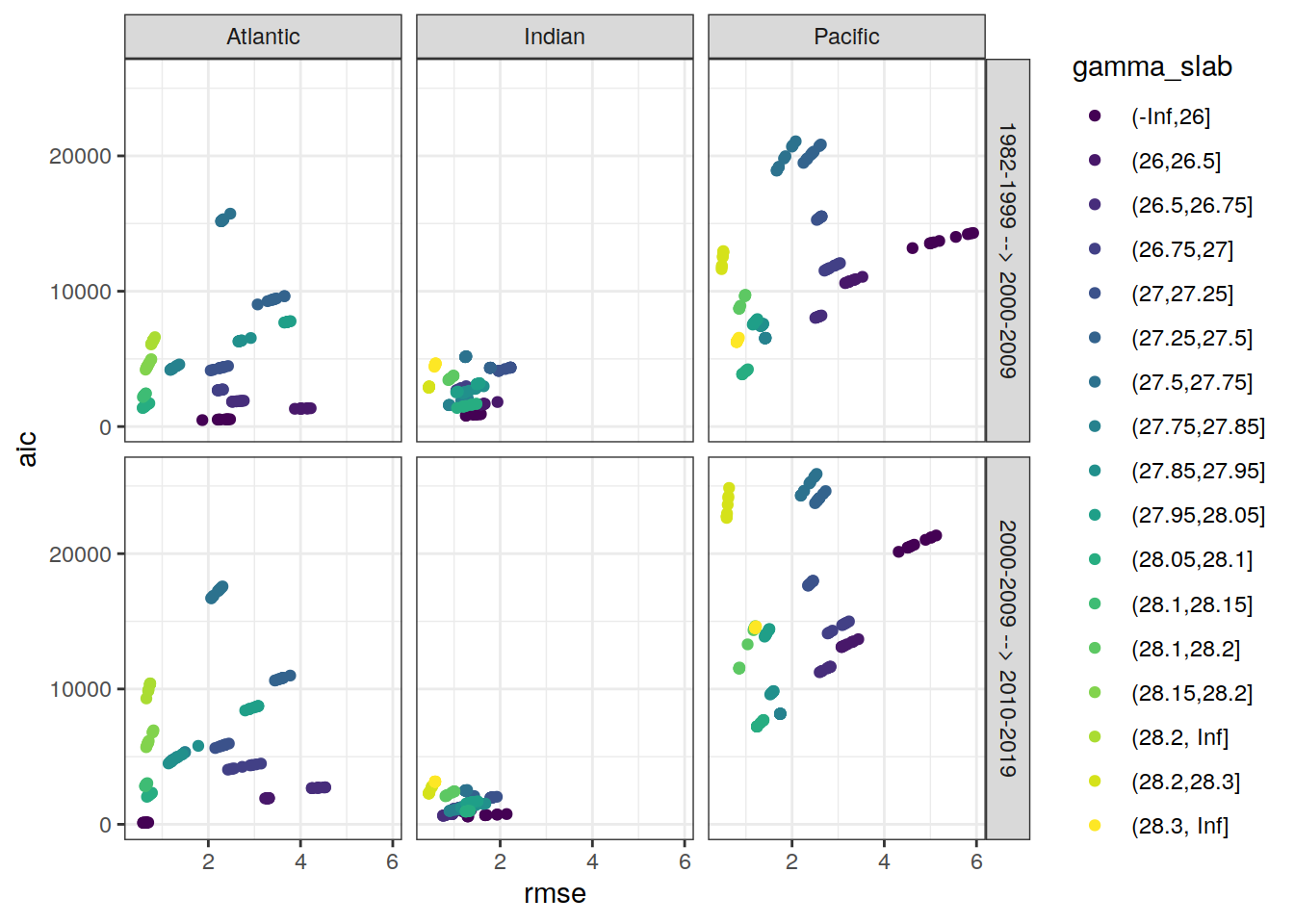
Within each basin and slab, the following number of best linear regression models was selected:
The criterion used to select the best models was:
The criterion was summed up for two adjacent eras, and the models with lowest summed values were selected.
Please note, that currently the lm() function produces NAs for some predictors. It is not yet entirely clear when this happens, but presumably it is caused by some form of collinearity between predictors, such that including another predictor does not help to explain the target variable any better. The issues also expresses as exactly identical rmse values of different models. As an interim solution, models with fitted NA predictors were not included.
# remove models with predictors fitted as NA
lm_all_fitted_wide <- lm_all_fitted_wide %>%
filter(na_predictor == FALSE)
To avoid multicollinearity among predictors, models were excluded with a VIF above:
After removing models affected by multicollinearity, the targeted number of MLRs (10) was undercut in following fitting units:
# remove models with predictors fitted as NA
lm_all_fitted_wide <- lm_all_fitted_wide %>%
filter(vif_max <= params_local$vif_max)
# lm_all_fitted_wide_check <- lm_all_fitted_wide %>%
# group_by(era, basin, gamma_slab) %>%
# count()
# filter(n < params_local$MLR_number)
# calculate RMSE sum for adjacent eras
lm_all_fitted_wide_eras <- lm_all_fitted_wide %>%
select(basin, gamma_slab, n_predictors, model, era, nr_obs, rmse, aic, vif_max, resid_max) %>%
arrange(era) %>%
group_by(basin, gamma_slab, model) %>%
mutate(
eras = paste(lag(era), era, sep = " --> "),
rmse_sum = rmse + lag(rmse),
rmse_lag = lag(rmse),
aic_sum = aic + lag(aic),
vif_max_sum = vif_max + lag(vif_max)
) %>%
ungroup() %>%
select(-c(era)) %>%
drop_na() %>%
filter(eras != "1982-1999 --> 2010-2019",
eras != "1982-1999 --> 2008-2019")
# filter tripairs
lm_all_fitted_wide_eras <- lm_all_fitted_wide_eras %>%
mutate(rmse = round(rmse, digits = 7), rmse_lag = round(rmse_lag, digits = 7)) %>%
group_by(basin, gamma_slab, eras, rmse) %>%
sample_n(1) %>%
ungroup()
# calculate rank for each era
lm_all_fitted_wide_eras <- lm_all_fitted_wide_eras %>%
group_by(eras, basin, gamma_slab) %>%
mutate(rank = rank(rmse, ties.method="first"),
rank_sum = rank + rank(rmse_lag, ties.method="first")) %>%
ungroup()
# subset models with lowest summed criterion
# chose which criterion is applied
if (params_local$MLR_criterion == "aic") {
lm_best <- lm_all_fitted_wide_eras %>%
group_by(basin, gamma_slab, eras) %>%
slice_min(order_by = aic_sum,
with_ties = FALSE,
n = params_local$MLR_number) %>%
ungroup() %>%
arrange(basin, gamma_slab, eras, aic_sum)
} else if (params_local$MLR_criterion == "rmse") {
lm_best <- lm_all_fitted_wide_eras %>%
group_by(basin, gamma_slab, eras) %>%
slice_min(order_by = rmse_sum,
with_ties = FALSE,
n = params_local$MLR_number) %>%
ungroup() %>%
arrange(basin, gamma_slab, eras, rmse_sum)
} else {
lm_best <- lm_all_fitted_wide_eras %>%
group_by(basin, gamma_slab, eras) %>%
slice_min(order_by = rank_sum,
with_ties = FALSE,
n = params_local$MLR_number) %>%
ungroup() %>%
arrange(basin, gamma_slab, eras, rank_sum)
}
lm_best %>%
kable() %>%
add_header_above() %>%
kable_styling() %>%
scroll_box(width = "100%", height = "400px")
| basin | gamma_slab | n_predictors | model | nr_obs | rmse | aic | vif_max | resid_max | eras | rmse_sum | rmse_lag | aic_sum | vif_max_sum | rank | rank_sum |
|---|---|---|---|---|---|---|---|---|---|---|---|---|---|---|---|
| Atlantic | (-Inf,26] | 5 | cstar_tref ~ sal + aou + silicate + phosphate + phosphate_star | 113 | 1.8702640 | 476.1741 | 354.074761 | 5.128574 | 1982-1999 –> 2000-2009 | 2.9940084 | 1.1237444 | 677.5179 | 397.498933 | 1 | 11 |
| Atlantic | (-Inf,26] | 5 | cstar_tref ~ sal + temp + aou + silicate + phosphate | 113 | 2.2025553 | 513.1338 | 228.274959 | 5.769325 | 1982-1999 –> 2000-2009 | 3.2523648 | 1.0498095 | 706.1746 | 248.156617 | 5 | 9 |
| Atlantic | (-Inf,26] | 5 | cstar_tref ~ sal + temp + silicate + phosphate + phosphate_star | 113 | 2.2480044 | 517.7498 | 434.547569 | 6.062632 | 1982-1999 –> 2000-2009 | 3.2828537 | 1.0348493 | 709.0395 | 446.926784 | 10 | 12 |
| Atlantic | (-Inf,26] | 5 | cstar_tref ~ sal + temp + nitrate + silicate + phosphate | 113 | 2.2232315 | 515.2455 | 206.675635 | 6.329181 | 1982-1999 –> 2000-2009 | 3.3948289 | 1.1715975 | 721.6769 | 329.909142 | 6 | 19 |
| Atlantic | (-Inf,26] | 5 | cstar_tref ~ sal + temp + aou + silicate + phosphate_star | 113 | 2.3624087 | 528.9682 | 346.510804 | 6.437126 | 1982-1999 –> 2000-2009 | 3.4027429 | 1.0403343 | 720.9028 | 363.046873 | 15 | 18 |
| Atlantic | (-Inf,26] | 5 | cstar_tref ~ sal + temp + nitrate + silicate + phosphate_star | 113 | 2.4296073 | 535.3070 | 332.450202 | 5.602892 | 1982-1999 –> 2000-2009 | 3.4568020 | 1.0271947 | 725.6909 | 351.049921 | 21 | 22 |
| Atlantic | (-Inf,26] | 5 | cstar_tref ~ sal + aou + nitrate + phosphate + phosphate_star | 113 | 2.4001566 | 532.5508 | 270.004604 | 5.832038 | 1982-1999 –> 2000-2009 | 3.5295651 | 1.1294085 | 734.5080 | 351.360451 | 19 | 30 |
| Atlantic | (-Inf,26] | 5 | cstar_tref ~ sal + temp + aou + nitrate + silicate | 113 | 2.4089753 | 533.3796 | 141.947781 | 8.326064 | 1982-1999 –> 2000-2009 | 3.6228554 | 1.2138801 | 744.1364 | 401.240276 | 20 | 34 |
| Atlantic | (-Inf,26] | 4 | cstar_tref ~ sal + temp + aou + silicate | 113 | 2.4713434 | 537.1563 | 56.439394 | 7.703097 | 1982-1999 –> 2000-2009 | 3.7100290 | 1.2386857 | 748.3810 | 62.098347 | 24 | 39 |
| Atlantic | (-Inf,26] | 4 | cstar_tref ~ sal + temp + silicate + phosphate | 113 | 2.2480535 | 515.7547 | 42.388942 | 6.058809 | 1982-1999 –> 2000-2009 | 3.8017548 | 1.5537013 | 754.6233 | 50.878029 | 11 | 31 |
| Atlantic | (-Inf,26] | 5 | cstar_tref ~ sal + aou + silicate + phosphate + phosphate_star | 58 | 0.6660142 | 131.4493 | 119.407051 | 2.495730 | 2000-2009 –> 2010-2019 | 2.5362782 | 1.8702640 | 607.6234 | 473.481812 | 16 | 17 |
| Atlantic | (-Inf,26] | 5 | cstar_tref ~ sal + temp + nitrate + silicate + phosphate | 58 | 0.5997167 | 119.2863 | 103.044884 | 3.175248 | 2000-2009 –> 2010-2019 | 2.8229481 | 2.2232315 | 634.5318 | 309.720519 | 5 | 11 |
| Atlantic | (-Inf,26] | 5 | cstar_tref ~ sal + temp + aou + silicate + phosphate | 58 | 0.6615272 | 130.6652 | 37.700230 | 2.475243 | 2000-2009 –> 2010-2019 | 2.8640825 | 2.2025553 | 643.7990 | 265.975189 | 15 | 20 |
| Atlantic | (-Inf,26] | 5 | cstar_tref ~ sal + temp + silicate + phosphate + phosphate_star | 58 | 0.6578455 | 130.0178 | 33.028133 | 2.458526 | 2000-2009 –> 2010-2019 | 2.9058499 | 2.2480044 | 647.7676 | 467.575701 | 13 | 23 |
| Atlantic | (-Inf,26] | 5 | cstar_tref ~ sal + nitrate + silicate + phosphate + phosphate_star | 58 | 0.6383206 | 126.5228 | 101.539104 | 3.350427 | 2000-2009 –> 2010-2019 | 2.9829465 | 2.3446259 | 653.7833 | 454.803544 | 10 | 24 |
| Atlantic | (-Inf,26] | 5 | cstar_tref ~ sal + temp + aou + nitrate + silicate | 58 | 0.5856762 | 116.5382 | 218.226307 | 3.012828 | 2000-2009 –> 2010-2019 | 2.9946515 | 2.4089753 | 649.9179 | 360.174088 | 1 | 21 |
| Atlantic | (-Inf,26] | 5 | cstar_tref ~ sal + aou + nitrate + phosphate + phosphate_star | 58 | 0.6026448 | 119.8513 | 274.765784 | 2.745887 | 2000-2009 –> 2010-2019 | 3.0028014 | 2.4001566 | 652.4021 | 544.770388 | 7 | 26 |
| Atlantic | (-Inf,26] | 5 | cstar_tref ~ sal + temp + nitrate + silicate + phosphate_star | 58 | 0.5860599 | 116.6142 | 32.121738 | 3.116760 | 2000-2009 –> 2010-2019 | 3.0156672 | 2.4296073 | 651.9212 | 364.571940 | 2 | 23 |
| Atlantic | (-Inf,26] | 5 | cstar_tref ~ sal + temp + aou + silicate + phosphate_star | 58 | 0.6601421 | 130.4221 | 32.918911 | 2.468684 | 2000-2009 –> 2010-2019 | 3.0225508 | 2.3624087 | 659.3902 | 379.429715 | 14 | 29 |
| Atlantic | (-Inf,26] | 4 | cstar_tref ~ sal + temp + aou + silicate | 58 | 0.6969419 | 134.7147 | 4.044677 | 2.506694 | 2000-2009 –> 2010-2019 | 3.1682852 | 2.4713434 | 671.8710 | 60.484071 | 26 | 50 |
| Atlantic | (26,26.5] | 5 | cstar_tref ~ sal + aou + nitrate + phosphate + phosphate_star | 234 | 3.8764286 | 1312.1631 | 173.146806 | 9.606280 | 1982-1999 –> 2000-2009 | 6.9864529 | 3.1100243 | 3389.4469 | 469.553828 | 1 | 3 |
| Atlantic | (26,26.5] | 5 | cstar_tref ~ sal + aou + silicate + phosphate + phosphate_star | 234 | 4.0159657 | 1328.7133 | 173.496848 | 10.207880 | 1982-1999 –> 2000-2009 | 7.0800931 | 3.0641274 | 3393.9840 | 463.874615 | 5 | 6 |
| Atlantic | (26,26.5] | 5 | cstar_tref ~ sal + temp + aou + nitrate + phosphate | 234 | 3.9919738 | 1325.9090 | 11.862042 | 10.140823 | 1982-1999 –> 2000-2009 | 7.1992636 | 3.2072898 | 3428.0758 | 28.242416 | 2 | 8 |
| Atlantic | (26,26.5] | 5 | cstar_tref ~ sal + temp + aou + nitrate + phosphate_star | 234 | 4.0050777 | 1327.4427 | 9.498563 | 10.327254 | 1982-1999 –> 2000-2009 | 7.2216162 | 3.2165385 | 3431.9361 | 20.216869 | 4 | 12 |
| Atlantic | (26,26.5] | 5 | cstar_tref ~ sal + temp + nitrate + phosphate + phosphate_star | 234 | 4.0330269 | 1330.6973 | 8.577955 | 10.534232 | 1982-1999 –> 2000-2009 | 7.2718769 | 3.2388500 | 3440.7760 | 21.543000 | 6 | 15 |
| Atlantic | (26,26.5] | 5 | cstar_tref ~ sal + temp + aou + silicate + phosphate | 234 | 4.1286286 | 1341.6616 | 10.797126 | 10.610780 | 1982-1999 –> 2000-2009 | 7.2855594 | 3.1569308 | 3431.0410 | 24.533755 | 7 | 10 |
| Atlantic | (26,26.5] | 5 | cstar_tref ~ sal + temp + aou + silicate + phosphate_star | 234 | 4.1511388 | 1344.2063 | 9.535129 | 10.737800 | 1982-1999 –> 2000-2009 | 7.3250166 | 3.1738778 | 3437.9116 | 20.031093 | 8 | 12 |
| Atlantic | (26,26.5] | 5 | cstar_tref ~ sal + temp + silicate + phosphate + phosphate_star | 234 | 4.1583381 | 1345.0173 | 8.835088 | 10.686628 | 1982-1999 –> 2000-2009 | 7.3402071 | 3.1818690 | 3440.7544 | 19.128681 | 9 | 14 |
| Atlantic | (26,26.5] | 5 | cstar_tref ~ sal + temp + aou + nitrate + silicate | 234 | 3.9967085 | 1326.4637 | 57.430161 | 10.722778 | 1982-1999 –> 2000-2009 | 7.4012268 | 3.4045184 | 3476.8497 | 114.931658 | 3 | 13 |
| Atlantic | (26,26.5] | 5 | cstar_tref ~ sal + temp + nitrate + silicate + phosphate_star | 234 | 4.2195141 | 1351.8522 | 9.514806 | 10.735852 | 1982-1999 –> 2000-2009 | 7.4298930 | 3.2103789 | 3454.7968 | 20.248212 | 11 | 18 |
| Atlantic | (26,26.5] | 5 | cstar_tref ~ sal + aou + nitrate + phosphate + phosphate_star | 367 | 3.2323894 | 1916.6455 | 258.703180 | 11.346938 | 2000-2009 –> 2010-2019 | 7.1088180 | 3.8764286 | 3228.8087 | 431.849987 | 1 | 2 |
| Atlantic | (26,26.5] | 5 | cstar_tref ~ sal + temp + aou + nitrate + phosphate | 367 | 3.2693354 | 1924.9875 | 11.405204 | 11.469014 | 2000-2009 –> 2010-2019 | 7.2613092 | 3.9919738 | 3250.8965 | 23.267246 | 3 | 5 |
| Atlantic | (26,26.5] | 5 | cstar_tref ~ sal + temp + aou + nitrate + silicate | 367 | 3.2702578 | 1925.1946 | 67.427605 | 11.462573 | 2000-2009 –> 2010-2019 | 7.2669662 | 3.9967085 | 3251.6583 | 124.857766 | 4 | 7 |
| Atlantic | (26,26.5] | 5 | cstar_tref ~ sal + temp + aou + nitrate + phosphate_star | 367 | 3.2690245 | 1924.9177 | 9.185522 | 11.482554 | 2000-2009 –> 2010-2019 | 7.2741022 | 4.0050777 | 3252.3604 | 18.684085 | 2 | 6 |
| Atlantic | (26,26.5] | 5 | cstar_tref ~ sal + aou + silicate + phosphate + phosphate_star | 367 | 3.2827991 | 1928.0041 | 258.644315 | 12.638261 | 2000-2009 –> 2010-2019 | 7.2987648 | 4.0159657 | 3256.7173 | 432.141163 | 7 | 12 |
| Atlantic | (26,26.5] | 5 | cstar_tref ~ sal + temp + nitrate + phosphate + phosphate_star | 367 | 3.2766064 | 1926.6182 | 9.796421 | 11.475763 | 2000-2009 –> 2010-2019 | 7.3096334 | 4.0330269 | 3257.3154 | 18.374376 | 6 | 12 |
| Atlantic | (26,26.5] | 4 | cstar_tref ~ sal + temp + aou + nitrate | 367 | 3.2705575 | 1923.2619 | 7.599152 | 11.354290 | 2000-2009 –> 2010-2019 | 7.4395438 | 4.1689863 | 3267.4760 | 14.610391 | 5 | 15 |
| Atlantic | (26,26.5] | 5 | cstar_tref ~ sal + temp + aou + silicate + phosphate | 367 | 3.3113842 | 1934.3677 | 13.059038 | 12.710500 | 2000-2009 –> 2010-2019 | 7.4400127 | 4.1286286 | 3276.0294 | 23.856164 | 8 | 15 |
| Atlantic | (26,26.5] | 5 | cstar_tref ~ sal + temp + aou + silicate + phosphate_star | 367 | 3.3134121 | 1934.8171 | 9.197077 | 12.719618 | 2000-2009 –> 2010-2019 | 7.4645509 | 4.1511388 | 3279.0234 | 18.732206 | 9 | 17 |
| Atlantic | (26,26.5] | 5 | cstar_tref ~ sal + temp + silicate + phosphate + phosphate_star | 367 | 3.3151547 | 1935.2030 | 8.435644 | 12.708674 | 2000-2009 –> 2010-2019 | 7.4734929 | 4.1583381 | 3280.2203 | 17.270733 | 10 | 19 |
| Atlantic | (26.5,26.75] | 5 | cstar_tref ~ sal + temp + aou + silicate + phosphate | 389 | 2.5406992 | 1843.3720 | 74.865999 | 7.519687 | 1982-1999 –> 2000-2009 | 5.4130729 | 2.8723737 | 4410.6197 | 124.965658 | 3 | 16 |
| Atlantic | (26.5,26.75] | 5 | cstar_tref ~ temp + nitrate + silicate + phosphate + phosphate_star | 389 | 2.6455560 | 1874.8358 | 94.679204 | 8.416073 | 1982-1999 –> 2000-2009 | 5.4221643 | 2.7766083 | 4407.0899 | 165.905640 | 6 | 10 |
| Atlantic | (26.5,26.75] | 5 | cstar_tref ~ sal + temp + aou + silicate + phosphate_star | 389 | 2.5140365 | 1835.1643 | 75.111235 | 7.934672 | 1982-1999 –> 2000-2009 | 5.4232113 | 2.9091749 | 4415.5502 | 125.440427 | 1 | 16 |
| Atlantic | (26.5,26.75] | 5 | cstar_tref ~ temp + aou + nitrate + silicate + phosphate_star | 389 | 2.6807156 | 1885.1074 | 73.344582 | 8.467498 | 1982-1999 –> 2000-2009 | 5.4287912 | 2.7480756 | 4406.7016 | 143.094909 | 8 | 11 |
| Atlantic | (26.5,26.75] | 5 | cstar_tref ~ sal + temp + silicate + phosphate + phosphate_star | 389 | 2.5199733 | 1836.9994 | 74.679619 | 8.089070 | 1982-1999 –> 2000-2009 | 5.4418390 | 2.9218657 | 4421.8774 | 125.214581 | 2 | 18 |
| Atlantic | (26.5,26.75] | 5 | cstar_tref ~ temp + aou + nitrate + silicate + phosphate | 389 | 2.7693961 | 1910.4278 | 84.223847 | 8.481500 | 1982-1999 –> 2000-2009 | 5.4858172 | 2.7164211 | 4420.0657 | 154.695587 | 12 | 14 |
| Atlantic | (26.5,26.75] | 5 | cstar_tref ~ sal + aou + nitrate + silicate + phosphate | 389 | 2.6070684 | 1863.4343 | 86.174101 | 7.186605 | 1982-1999 –> 2000-2009 | 5.5701741 | 2.9631056 | 4462.7764 | 159.131720 | 4 | 22 |
| Atlantic | (26.5,26.75] | 5 | cstar_tref ~ sal + temp + nitrate + phosphate + phosphate_star | 389 | 2.7247926 | 1897.7954 | 77.262299 | 7.597738 | 1982-1999 –> 2000-2009 | 5.5912777 | 2.8664851 | 4462.9253 | 132.142921 | 11 | 22 |
| Atlantic | (26.5,26.75] | 4 | cstar_tref ~ sal + aou + silicate + phosphate | 389 | 2.6078582 | 1861.6699 | 10.091969 | 7.230526 | 1982-1999 –> 2000-2009 | 5.6367610 | 3.0289028 | 4481.6774 | 24.783389 | 5 | 25 |
| Atlantic | (26.5,26.75] | 4 | cstar_tref ~ temp + aou + silicate + phosphate_star | 389 | 2.7162664 | 1893.3571 | 4.030074 | 8.802176 | 1982-1999 –> 2000-2009 | 5.6666850 | 2.9504186 | 4486.2711 | 6.924466 | 10 | 27 |
| Atlantic | (26.5,26.75] | 5 | cstar_tref ~ sal + temp + nitrate + phosphate + phosphate_star | 464 | 4.2667218 | 2677.1599 | 58.086925 | 11.615654 | 2000-2009 –> 2010-2019 | 6.9915144 | 2.7247926 | 4574.9553 | 135.349225 | 3 | 14 |
| Atlantic | (26.5,26.75] | 5 | cstar_tref ~ temp + nitrate + silicate + phosphate + phosphate_star | 464 | 4.3812784 | 2701.7470 | 104.767815 | 11.196612 | 2000-2009 –> 2010-2019 | 7.0268345 | 2.6455560 | 4576.5828 | 199.447019 | 7 | 13 |
| Atlantic | (26.5,26.75] | 5 | cstar_tref ~ sal + temp + aou + silicate + phosphate | 464 | 4.4973688 | 2726.0160 | 51.642890 | 11.943199 | 2000-2009 –> 2010-2019 | 7.0380680 | 2.5406992 | 4569.3880 | 126.508888 | 14 | 17 |
| Atlantic | (26.5,26.75] | 5 | cstar_tref ~ sal + temp + aou + silicate + phosphate_star | 464 | 4.5299332 | 2732.7112 | 52.302805 | 12.273661 | 2000-2009 –> 2010-2019 | 7.0439696 | 2.5140365 | 4567.8755 | 127.414040 | 16 | 17 |
| Atlantic | (26.5,26.75] | 5 | cstar_tref ~ temp + aou + nitrate + silicate + phosphate_star | 464 | 4.3669911 | 2698.7159 | 98.766101 | 10.909202 | 2000-2009 –> 2010-2019 | 7.0477067 | 2.6807156 | 4583.8232 | 172.110682 | 6 | 14 |
| Atlantic | (26.5,26.75] | 5 | cstar_tref ~ sal + temp + silicate + phosphate + phosphate_star | 464 | 4.5360593 | 2733.9654 | 52.441846 | 12.310092 | 2000-2009 –> 2010-2019 | 7.0560327 | 2.5199733 | 4570.9648 | 127.121466 | 17 | 19 |
| Atlantic | (26.5,26.75] | 5 | cstar_tref ~ sal + temp + aou + nitrate + phosphate_star | 464 | 4.2463231 | 2672.7126 | 58.400413 | 11.173199 | 2000-2009 –> 2010-2019 | 7.1083907 | 2.8620675 | 4608.7482 | 133.959445 | 2 | 19 |
| Atlantic | (26.5,26.75] | 5 | cstar_tref ~ temp + aou + nitrate + silicate + phosphate | 464 | 4.3598236 | 2697.1915 | 101.931042 | 10.761671 | 2000-2009 –> 2010-2019 | 7.1292197 | 2.7693961 | 4607.6192 | 186.154889 | 4 | 16 |
| Atlantic | (26.5,26.75] | 5 | cstar_tref ~ sal + temp + aou + nitrate + phosphate | 464 | 4.2427922 | 2671.9406 | 57.654964 | 11.050931 | 2000-2009 –> 2010-2019 | 7.2191025 | 2.9763104 | 4638.4272 | 133.519828 | 1 | 20 |
| Atlantic | (26.5,26.75] | 4 | cstar_tref ~ temp + nitrate + phosphate + phosphate_star | 464 | 4.4072883 | 2705.2399 | 27.401518 | 11.555455 | 2000-2009 –> 2010-2019 | 7.2416521 | 2.8343638 | 4631.7081 | 51.715368 | 12 | 26 |
| Atlantic | (26.75,27] | 5 | cstar_tref ~ sal + temp + aou + silicate + phosphate | 603 | 2.2027241 | 2677.6118 | 48.741016 | 10.604412 | 1982-1999 –> 2000-2009 | 3.8476282 | 1.6449041 | 6965.6758 | 91.913291 | 1 | 3 |
| Atlantic | (26.75,27] | 5 | cstar_tref ~ temp + aou + nitrate + silicate + phosphate | 603 | 2.2061872 | 2679.5064 | 123.825389 | 8.045130 | 1982-1999 –> 2000-2009 | 3.8604706 | 1.6542834 | 6980.2498 | 199.039478 | 2 | 5 |
| Atlantic | (26.75,27] | 5 | cstar_tref ~ aou + nitrate + silicate + phosphate + phosphate_star | 603 | 2.2946318 | 2726.9102 | 173.778055 | 9.736296 | 1982-1999 –> 2000-2009 | 3.8731511 | 1.5785194 | 6923.1098 | 371.441045 | 8 | 9 |
| Atlantic | (26.75,27] | 5 | cstar_tref ~ temp + aou + nitrate + silicate + phosphate_star | 603 | 2.2125844 | 2682.9983 | 117.809855 | 7.422109 | 1982-1999 –> 2000-2009 | 3.9128377 | 1.7002533 | 7044.8645 | 192.953455 | 3 | 9 |
| Atlantic | (26.75,27] | 5 | cstar_tref ~ sal + temp + aou + silicate + phosphate_star | 603 | 2.2500036 | 2703.2236 | 48.608974 | 10.676789 | 1982-1999 –> 2000-2009 | 3.9461074 | 1.6961038 | 7059.6408 | 91.784796 | 5 | 10 |
| Atlantic | (26.75,27] | 5 | cstar_tref ~ temp + nitrate + silicate + phosphate + phosphate_star | 603 | 2.2324462 | 2693.7760 | 131.281784 | 7.088958 | 1982-1999 –> 2000-2009 | 3.9641482 | 1.7317020 | 7096.5124 | 206.521796 | 4 | 12 |
| Atlantic | (26.75,27] | 5 | cstar_tref ~ sal + temp + silicate + phosphate + phosphate_star | 603 | 2.2755814 | 2716.8560 | 48.640531 | 10.667842 | 1982-1999 –> 2000-2009 | 3.9935414 | 1.7179600 | 7101.8256 | 91.817249 | 6 | 13 |
| Atlantic | (26.75,27] | 4 | cstar_tref ~ aou + silicate + phosphate + phosphate_star | 603 | 2.3172648 | 2736.7472 | 66.631381 | 11.923004 | 1982-1999 –> 2000-2009 | 4.0101530 | 1.6928882 | 7086.9325 | 218.982685 | 10 | 14 |
| Atlantic | (26.75,27] | 4 | cstar_tref ~ temp + aou + silicate + phosphate | 603 | 2.2793178 | 2716.8346 | 18.564909 | 11.838365 | 1982-1999 –> 2000-2009 | 4.0465121 | 1.7671943 | 7162.8142 | 50.064033 | 7 | 16 |
| Atlantic | (26.75,27] | 4 | cstar_tref ~ temp + aou + silicate + phosphate_star | 603 | 2.3153910 | 2735.7716 | 3.907343 | 11.826540 | 1982-1999 –> 2000-2009 | 4.1305329 | 1.8151419 | 7241.4495 | 10.062928 | 9 | 19 |
| Atlantic | (26.75,27] | 5 | cstar_tref ~ temp + aou + nitrate + silicate + phosphate | 873 | 2.4951514 | 4087.9207 | 98.225751 | 10.324191 | 2000-2009 –> 2010-2019 | 4.7013386 | 2.2061872 | 6767.4271 | 222.051140 | 2 | 4 |
| Atlantic | (26.75,27] | 5 | cstar_tref ~ aou + nitrate + silicate + phosphate + phosphate_star | 873 | 2.4270365 | 4039.5942 | 270.867702 | 9.744290 | 2000-2009 –> 2010-2019 | 4.7216682 | 2.2946318 | 6766.5043 | 444.645757 | 1 | 9 |
| Atlantic | (26.75,27] | 5 | cstar_tref ~ temp + aou + nitrate + silicate + phosphate_star | 873 | 2.5151472 | 4101.8572 | 97.435244 | 10.466575 | 2000-2009 –> 2010-2019 | 4.7277315 | 2.2125844 | 6784.8555 | 215.245099 | 3 | 6 |
| Atlantic | (26.75,27] | 5 | cstar_tref ~ temp + nitrate + silicate + phosphate + phosphate_star | 873 | 2.5581855 | 4131.4814 | 100.966816 | 10.621590 | 2000-2009 –> 2010-2019 | 4.7906318 | 2.2324462 | 6825.2574 | 232.248600 | 4 | 8 |
| Atlantic | (26.75,27] | 5 | cstar_tref ~ sal + temp + aou + silicate + phosphate | 873 | 2.9078260 | 4355.1571 | 30.135850 | 14.115432 | 2000-2009 –> 2010-2019 | 5.1105501 | 2.2027241 | 7032.7689 | 78.876866 | 6 | 7 |
| Atlantic | (26.75,27] | 5 | cstar_tref ~ sal + temp + aou + silicate + phosphate_star | 873 | 2.9411227 | 4375.0364 | 30.241636 | 14.229345 | 2000-2009 –> 2010-2019 | 5.1911263 | 2.2500036 | 7078.2601 | 78.850610 | 8 | 13 |
| Atlantic | (26.75,27] | 5 | cstar_tref ~ sal + temp + silicate + phosphate + phosphate_star | 873 | 2.9526717 | 4381.8791 | 30.252835 | 14.244691 | 2000-2009 –> 2010-2019 | 5.2282531 | 2.2755814 | 7098.7350 | 78.893366 | 10 | 16 |
| Atlantic | (26.75,27] | 5 | cstar_tref ~ sal + aou + nitrate + silicate + phosphate | 873 | 2.7354734 | 4248.4744 | 112.284434 | 8.940963 | 2000-2009 –> 2010-2019 | 5.2444141 | 2.5089407 | 7083.0662 | 253.607406 | 5 | 18 |
| Atlantic | (26.75,27] | 4 | cstar_tref ~ aou + silicate + phosphate + phosphate_star | 873 | 3.0369127 | 4428.9959 | 200.097279 | 14.513261 | 2000-2009 –> 2010-2019 | 5.3541776 | 2.3172648 | 7165.7431 | 266.728660 | 11 | 21 |
| Atlantic | (26.75,27] | 4 | cstar_tref ~ temp + aou + silicate + phosphate | 873 | 3.1408398 | 4487.7466 | 22.398582 | 14.932533 | 2000-2009 –> 2010-2019 | 5.4201577 | 2.2793178 | 7204.5812 | 40.963492 | 14 | 21 |
| Atlantic | (27,27.25] | 5 | cstar_tref ~ sal + aou + nitrate + silicate + phosphate | 967 | 2.1077974 | 4200.3017 | 158.594486 | 6.452832 | 1982-1999 –> 2000-2009 | 3.5751767 | 1.4673793 | 9109.6651 | 318.781468 | 2 | 7 |
| Atlantic | (27,27.25] | 5 | cstar_tref ~ temp + nitrate + silicate + phosphate + phosphate_star | 967 | 2.0514580 | 4147.9043 | 115.595359 | 5.801716 | 1982-1999 –> 2000-2009 | 3.5753166 | 1.5238585 | 9159.8445 | 261.205764 | 1 | 8 |
| Atlantic | (27,27.25] | 5 | cstar_tref ~ sal + temp + aou + silicate + phosphate_star | 967 | 2.2444779 | 4321.8138 | 55.880958 | 10.854427 | 1982-1999 –> 2000-2009 | 3.6107049 | 1.3662270 | 9037.1865 | 82.199697 | 5 | 7 |
| Atlantic | (27,27.25] | 5 | cstar_tref ~ sal + temp + silicate + phosphate + phosphate_star | 967 | 2.2356324 | 4314.1768 | 53.666047 | 10.922616 | 1982-1999 –> 2000-2009 | 3.6261050 | 1.3904727 | 9077.3263 | 79.990237 | 4 | 7 |
| Atlantic | (27,27.25] | 5 | cstar_tref ~ sal + temp + aou + silicate + phosphate | 967 | 2.3407908 | 4403.0725 | 56.480160 | 10.559847 | 1982-1999 –> 2000-2009 | 3.6907240 | 1.3499332 | 9085.8592 | 145.507344 | 11 | 12 |
| Atlantic | (27,27.25] | 5 | cstar_tref ~ sal + aou + silicate + phosphate + phosphate_star | 967 | 2.3321505 | 4395.9205 | 353.472299 | 10.311896 | 1982-1999 –> 2000-2009 | 3.7248047 | 1.3926542 | 9163.3278 | 1110.625175 | 10 | 14 |
| Atlantic | (27,27.25] | 5 | cstar_tref ~ temp + aou + nitrate + silicate + phosphate_star | 967 | 2.2515138 | 4327.8669 | 122.729238 | 6.098299 | 1982-1999 –> 2000-2009 | 3.7795572 | 1.5280433 | 9347.2556 | 262.167147 | 6 | 14 |
| Atlantic | (27,27.25] | 4 | cstar_tref ~ sal + aou + silicate + phosphate | 967 | 2.3415895 | 4401.7323 | 56.226839 | 10.487566 | 1982-1999 –> 2000-2009 | 3.8143187 | 1.4727292 | 9318.9799 | 139.510746 | 12 | 18 |
| Atlantic | (27,27.25] | 5 | cstar_tref ~ temp + aou + nitrate + silicate + phosphate | 967 | 2.2841108 | 4355.6663 | 119.756735 | 6.236487 | 1982-1999 –> 2000-2009 | 3.8611193 | 1.5770085 | 9460.7220 | 262.871985 | 8 | 17 |
| Atlantic | (27,27.25] | 5 | cstar_tref ~ sal + temp + nitrate + silicate + phosphate_star | 967 | 2.4269809 | 4473.0045 | 55.893874 | 13.811083 | 1982-1999 –> 2000-2009 | 4.0916462 | 1.6646652 | 9724.9804 | 82.428174 | 14 | 24 |
| Atlantic | (27,27.25] | 5 | cstar_tref ~ sal + aou + nitrate + silicate + phosphate | 1287 | 2.1506581 | 5637.4498 | 284.361521 | 8.049067 | 2000-2009 –> 2010-2019 | 4.2584555 | 2.1077974 | 9837.7515 | 442.956007 | 1 | 3 |
| Atlantic | (27,27.25] | 5 | cstar_tref ~ temp + nitrate + silicate + phosphate + phosphate_star | 1287 | 2.2933791 | 5802.8355 | 236.028532 | 7.255217 | 2000-2009 –> 2010-2019 | 4.3448371 | 2.0514580 | 9950.7398 | 351.623891 | 4 | 5 |
| Atlantic | (27,27.25] | 5 | cstar_tref ~ sal + temp + aou + nitrate + silicate | 1287 | 2.2770326 | 5784.4231 | 124.659518 | 7.954118 | 2000-2009 –> 2010-2019 | 4.4643638 | 2.1873312 | 10056.3576 | 200.877013 | 3 | 6 |
| Atlantic | (27,27.25] | 5 | cstar_tref ~ sal + aou + nitrate + silicate + phosphate_star | 1287 | 2.2243637 | 5724.1859 | 289.655862 | 8.009101 | 2000-2009 –> 2010-2019 | 4.4932228 | 2.2688591 | 10066.8950 | 477.658848 | 2 | 9 |
| Atlantic | (27,27.25] | 5 | cstar_tref ~ sal + temp + silicate + phosphate + phosphate_star | 1287 | 2.3684408 | 5885.7326 | 59.933563 | 12.679921 | 2000-2009 –> 2010-2019 | 4.6040732 | 2.2356324 | 10199.9094 | 113.599610 | 9 | 13 |
| Atlantic | (27,27.25] | 5 | cstar_tref ~ sal + temp + aou + silicate + phosphate_star | 1287 | 2.3613854 | 5878.0533 | 59.887506 | 12.618868 | 2000-2009 –> 2010-2019 | 4.6058633 | 2.2444779 | 10199.8671 | 115.768464 | 8 | 13 |
| Atlantic | (27,27.25] | 5 | cstar_tref ~ sal + aou + silicate + phosphate + phosphate_star | 1287 | 2.3481315 | 5863.5654 | 629.253535 | 12.339550 | 2000-2009 –> 2010-2019 | 4.6802819 | 2.3321505 | 10259.4859 | 982.725834 | 5 | 15 |
| Atlantic | (27,27.25] | 5 | cstar_tref ~ sal + temp + aou + silicate + phosphate | 1287 | 2.3502905 | 5865.9310 | 87.950691 | 12.288211 | 2000-2009 –> 2010-2019 | 4.6910813 | 2.3407908 | 10269.0035 | 144.430851 | 6 | 17 |
| Atlantic | (27,27.25] | 5 | cstar_tref ~ temp + aou + nitrate + silicate + phosphate_star | 1287 | 2.4448224 | 5967.4330 | 203.507492 | 7.874197 | 2000-2009 –> 2010-2019 | 4.6963362 | 2.2515138 | 10295.2999 | 326.236730 | 11 | 17 |
| Atlantic | (27,27.25] | 4 | cstar_tref ~ sal + aou + silicate + phosphate | 1287 | 2.3577612 | 5872.0998 | 79.054349 | 12.689458 | 2000-2009 –> 2010-2019 | 4.6993507 | 2.3415895 | 10273.8321 | 135.281188 | 7 | 19 |
| Atlantic | (27.25,27.5] | 5 | cstar_tref ~ temp + nitrate + silicate + phosphate + phosphate_star | 1773 | 3.0695299 | 9022.4817 | 215.855318 | 14.257242 | 1982-1999 –> 2000-2009 | 5.0803407 | 2.0108107 | 17231.1158 | 693.069216 | 1 | 2 |
| Atlantic | (27.25,27.5] | 5 | cstar_tref ~ temp + aou + nitrate + silicate + phosphate_star | 1773 | 3.4257936 | 9411.8634 | 153.203147 | 11.225919 | 1982-1999 –> 2000-2009 | 5.5487934 | 2.1229997 | 17830.6079 | 443.176424 | 6 | 8 |
| Atlantic | (27.25,27.5] | 5 | cstar_tref ~ temp + aou + nitrate + silicate + phosphate | 1773 | 3.4065800 | 9391.9197 | 199.083451 | 12.077748 | 1982-1999 –> 2000-2009 | 5.5878274 | 2.1812474 | 17915.4128 | 662.170217 | 5 | 8 |
| Atlantic | (27.25,27.5] | 5 | cstar_tref ~ sal + temp + aou + nitrate + silicate | 1773 | 3.3576681 | 9340.6369 | 43.485929 | 10.984043 | 1982-1999 –> 2000-2009 | 5.5993521 | 2.2416840 | 17969.8990 | 100.638768 | 3 | 7 |
| Atlantic | (27.25,27.5] | 5 | cstar_tref ~ sal + temp + nitrate + phosphate + phosphate_star | 1773 | 3.2855544 | 9263.6486 | 238.579143 | 14.996791 | 1982-1999 –> 2000-2009 | 5.6510201 | 2.3654657 | 18100.9137 | 823.247358 | 2 | 8 |
| Atlantic | (27.25,27.5] | 4 | cstar_tref ~ temp + aou + nitrate + silicate | 1773 | 3.4298929 | 9414.1040 | 32.422030 | 11.382383 | 1982-1999 –> 2000-2009 | 5.6912802 | 2.2613873 | 18075.2329 | 89.560015 | 7 | 12 |
| Atlantic | (27.25,27.5] | 4 | cstar_tref ~ temp + nitrate + phosphate + phosphate_star | 1773 | 3.3882831 | 9370.8226 | 191.592039 | 16.707190 | 1982-1999 –> 2000-2009 | 5.7836592 | 2.3953761 | 18254.7155 | 637.349177 | 4 | 12 |
| Atlantic | (27.25,27.5] | 5 | cstar_tref ~ sal + temp + aou + nitrate + phosphate_star | 1773 | 3.4769582 | 9464.4317 | 180.235704 | 12.050999 | 1982-1999 –> 2000-2009 | 5.8694041 | 2.3924459 | 18345.5877 | 546.479260 | 8 | 15 |
| Atlantic | (27.25,27.5] | 4 | cstar_tref ~ temp + aou + nitrate + phosphate_star | 1773 | 3.6516434 | 9636.2548 | 147.801361 | 13.741044 | 1982-1999 –> 2000-2009 | 6.0847496 | 2.4331062 | 18580.6298 | 433.559952 | 13 | 22 |
| Atlantic | (27.25,27.5] | 5 | cstar_tref ~ sal + temp + aou + nitrate + phosphate | 1773 | 3.6486042 | 9635.3023 | 216.308283 | 12.635913 | 1982-1999 –> 2000-2009 | 6.1138948 | 2.4652906 | 18632.5329 | 720.543136 | 12 | 22 |
| Atlantic | (27.25,27.5] | 5 | cstar_tref ~ temp + nitrate + silicate + phosphate + phosphate_star | 1998 | 3.6073293 | 10810.8173 | 482.818222 | 10.101954 | 2000-2009 –> 2010-2019 | 6.6768593 | 3.0695299 | 19833.2990 | 698.673540 | 11 | 12 |
| Atlantic | (27.25,27.5] | 5 | cstar_tref ~ sal + temp + nitrate + phosphate + phosphate_star | 1998 | 3.6164531 | 10820.9114 | 691.104551 | 12.214512 | 2000-2009 –> 2010-2019 | 6.9020076 | 3.2855544 | 20084.5600 | 929.683695 | 13 | 15 |
| Atlantic | (27.25,27.5] | 5 | cstar_tref ~ sal + temp + aou + nitrate + silicate | 1998 | 3.5708806 | 10770.2360 | 55.233117 | 10.428739 | 2000-2009 –> 2010-2019 | 6.9285487 | 3.3576681 | 20110.8729 | 98.719047 | 8 | 11 |
| Atlantic | (27.25,27.5] | 5 | cstar_tref ~ sal + aou + nitrate + silicate + phosphate | 1998 | 3.5194440 | 10712.2573 | 740.529024 | 10.376850 | 2000-2009 –> 2010-2019 | 7.0620006 | 3.5425566 | 20242.9667 | 996.448128 | 4 | 13 |
| Atlantic | (27.25,27.5] | 5 | cstar_tref ~ sal + aou + nitrate + silicate + phosphate_star | 1998 | 3.5268625 | 10720.6714 | 466.285299 | 10.923955 | 2000-2009 –> 2010-2019 | 7.0769882 | 3.5501257 | 20258.9492 | 627.090248 | 5 | 15 |
| Atlantic | (27.25,27.5] | 5 | cstar_tref ~ sal + temp + aou + nitrate + phosphate_star | 1998 | 3.6230038 | 10828.1430 | 483.310003 | 11.665935 | 2000-2009 –> 2010-2019 | 7.0999620 | 3.4769582 | 20292.5747 | 663.545707 | 14 | 22 |
| Atlantic | (27.25,27.5] | 5 | cstar_tref ~ sal + temp + nitrate + silicate + phosphate_star | 1998 | 3.4438387 | 10625.4791 | 50.557404 | 12.519004 | 2000-2009 –> 2010-2019 | 7.1183554 | 3.6745166 | 20285.8761 | 95.850162 | 1 | 15 |
| Atlantic | (27.25,27.5] | 4 | cstar_tref ~ sal + aou + nitrate + silicate | 1998 | 3.6085448 | 10810.1635 | 55.093887 | 10.678505 | 2000-2009 –> 2010-2019 | 7.1590027 | 3.5504580 | 20346.7732 | 87.491352 | 12 | 23 |
| Atlantic | (27.25,27.5] | 5 | cstar_tref ~ temp + aou + nitrate + silicate + phosphate | 1998 | 3.7751410 | 10992.5156 | 460.536258 | 10.833790 | 2000-2009 –> 2010-2019 | 7.1817210 | 3.4065800 | 20384.4352 | 659.619709 | 28 | 33 |
| Atlantic | (27.25,27.5] | 5 | cstar_tref ~ sal + temp + aou + silicate + phosphate_star | 1998 | 3.4580528 | 10641.9382 | 50.440163 | 12.924993 | 2000-2009 –> 2010-2019 | 7.2204148 | 3.7623620 | 20386.1108 | 96.349389 | 2 | 18 |
| Atlantic | (27.5,27.75] | 5 | cstar_tref ~ sal + temp + nitrate + silicate + phosphate_star | 3379 | 2.2784813 | 15168.4612 | 18.864874 | 12.418748 | 1982-1999 –> 2000-2009 | 3.9117804 | 1.6332991 | 29355.0707 | 34.371206 | 1 | 5 |
| Atlantic | (27.5,27.75] | 5 | cstar_tref ~ sal + temp + aou + silicate + phosphate_star | 3379 | 2.2795066 | 15171.5016 | 19.394744 | 12.926746 | 1982-1999 –> 2000-2009 | 3.9125400 | 1.6330334 | 29356.9037 | 35.735957 | 2 | 5 |
| Atlantic | (27.5,27.75] | 5 | cstar_tref ~ sal + temp + silicate + phosphate + phosphate_star | 3379 | 2.2798986 | 15172.6638 | 18.149224 | 12.756885 | 1982-1999 –> 2000-2009 | 3.9126514 | 1.6327527 | 29356.7901 | 34.189909 | 3 | 5 |
| Atlantic | (27.5,27.75] | 5 | cstar_tref ~ sal + temp + aou + silicate + phosphate | 3379 | 2.3127989 | 15269.4886 | 26.669177 | 11.438279 | 1982-1999 –> 2000-2009 | 3.9451159 | 1.6323170 | 29451.6340 | 61.076344 | 7 | 8 |
| Atlantic | (27.5,27.75] | 5 | cstar_tref ~ sal + aou + silicate + phosphate + phosphate_star | 3379 | 2.3266738 | 15309.9101 | 393.410706 | 11.283537 | 1982-1999 –> 2000-2009 | 4.0019232 | 1.6752494 | 29684.7421 | 1037.322887 | 8 | 14 |
| Atlantic | (27.5,27.75] | 4 | cstar_tref ~ sal + temp + phosphate + phosphate_star | 3379 | 2.2940028 | 15212.3422 | 17.791348 | 12.159574 | 1982-1999 –> 2000-2009 | 4.0593884 | 1.7653856 | 29974.1397 | 32.239580 | 5 | 13 |
| Atlantic | (27.5,27.75] | 4 | cstar_tref ~ sal + temp + aou + phosphate_star | 3379 | 2.2936421 | 15211.2795 | 17.629267 | 12.359015 | 1982-1999 –> 2000-2009 | 4.0605911 | 1.7669490 | 29979.6470 | 31.606842 | 4 | 13 |
| Atlantic | (27.5,27.75] | 4 | cstar_tref ~ sal + temp + nitrate + phosphate_star | 3379 | 2.2995524 | 15228.6713 | 18.392297 | 11.645993 | 1982-1999 –> 2000-2009 | 4.0728751 | 1.7733227 | 30023.7630 | 32.668196 | 6 | 16 |
| Atlantic | (27.5,27.75] | 4 | cstar_tref ~ sal + temp + aou + phosphate | 3379 | 2.3282676 | 15312.5379 | 17.581679 | 10.770599 | 1982-1999 –> 2000-2009 | 4.0794562 | 1.7511886 | 30014.4074 | 31.372713 | 9 | 16 |
| Atlantic | (27.5,27.75] | 4 | cstar_tref ~ sal + temp + silicate + phosphate_star | 3379 | 2.4765548 | 15729.8034 | 17.564499 | 15.676124 | 1982-1999 –> 2000-2009 | 4.1139409 | 1.6373861 | 29932.9616 | 32.703682 | 13 | 18 |
| Atlantic | (27.5,27.75] | 5 | cstar_tref ~ sal + temp + aou + nitrate + phosphate | 3894 | 2.0654464 | 16713.6909 | 795.912461 | 12.255116 | 2000-2009 –> 2010-2019 | 4.3880931 | 2.3226467 | 32011.8938 | 1405.667861 | 2 | 12 |
| Atlantic | (27.5,27.75] | 5 | cstar_tref ~ sal + temp + nitrate + phosphate + phosphate_star | 3894 | 2.1042550 | 16858.6655 | 918.549644 | 12.767408 | 2000-2009 –> 2010-2019 | 4.3981218 | 2.2938667 | 32072.6068 | 1645.687796 | 3 | 9 |
| Atlantic | (27.5,27.75] | 5 | cstar_tref ~ sal + aou + nitrate + silicate + phosphate | 3894 | 2.0646350 | 16710.6308 | 996.900221 | 12.886775 | 2000-2009 –> 2010-2019 | 4.4007870 | 2.3361520 | 32048.0151 | 1766.994305 | 1 | 14 |
| Atlantic | (27.5,27.75] | 4 | cstar_tref ~ sal + aou + nitrate + phosphate | 3894 | 2.1116253 | 16883.8958 | 758.168164 | 12.465133 | 2000-2009 –> 2010-2019 | 4.4603899 | 2.3487646 | 32255.6674 | 1337.510325 | 4 | 20 |
| Atlantic | (27.5,27.75] | 5 | cstar_tref ~ sal + temp + aou + nitrate + phosphate_star | 3894 | 2.2037908 | 17218.6070 | 562.469899 | 12.898500 | 2000-2009 –> 2010-2019 | 4.4974287 | 2.2936379 | 32431.8740 | 1019.728563 | 5 | 9 |
| Atlantic | (27.5,27.75] | 5 | cstar_tref ~ sal + temp + aou + silicate + phosphate_star | 3894 | 2.2297044 | 17309.6491 | 19.784728 | 11.933447 | 2000-2009 –> 2010-2019 | 4.5092110 | 2.2795066 | 32481.1507 | 39.179472 | 7 | 9 |
| Atlantic | (27.5,27.75] | 5 | cstar_tref ~ sal + temp + silicate + phosphate + phosphate_star | 3894 | 2.2333601 | 17322.4076 | 20.002624 | 11.877472 | 2000-2009 –> 2010-2019 | 4.5132587 | 2.2798986 | 32495.0713 | 38.151848 | 8 | 11 |
| Atlantic | (27.5,27.75] | 5 | cstar_tref ~ sal + temp + nitrate + silicate + phosphate_star | 3894 | 2.2624544 | 17423.2078 | 19.906606 | 12.121452 | 2000-2009 –> 2010-2019 | 4.5409357 | 2.2784813 | 32591.6690 | 38.771480 | 9 | 10 |
| Atlantic | (27.5,27.75] | 5 | cstar_tref ~ sal + aou + silicate + phosphate + phosphate_star | 3894 | 2.2866896 | 17506.1884 | 631.385771 | 14.315839 | 2000-2009 –> 2010-2019 | 4.6133634 | 2.3266738 | 32816.0984 | 1024.796477 | 10 | 21 |
| Atlantic | (27.5,27.75] | 5 | cstar_tref ~ sal + temp + aou + silicate + phosphate | 3894 | 2.3077027 | 17577.4281 | 31.408264 | 15.175702 | 2000-2009 –> 2010-2019 | 4.6205016 | 2.3127989 | 32846.9167 | 58.077441 | 11 | 20 |
| Atlantic | (27.75,27.85] | 5 | cstar_tref ~ sal + temp + aou + silicate + phosphate | 1320 | 1.1757566 | 4187.4450 | 30.358157 | 12.499419 | 1982-1999 –> 2000-2009 | 2.0110421 | 0.8352856 | 7355.8293 | 66.578929 | 1 | 2 |
| Atlantic | (27.75,27.85] | 5 | cstar_tref ~ sal + temp + silicate + phosphate + phosphate_star | 1320 | 1.2120818 | 4267.7737 | 27.739945 | 12.537533 | 1982-1999 –> 2000-2009 | 2.0976354 | 0.8855536 | 7584.9444 | 58.696506 | 3 | 5 |
| Atlantic | (27.75,27.85] | 5 | cstar_tref ~ sal + temp + nitrate + silicate + phosphate_star | 1320 | 1.2136973 | 4271.2900 | 24.753100 | 12.637347 | 1982-1999 –> 2000-2009 | 2.1010312 | 0.8873339 | 7593.5742 | 55.013453 | 4 | 8 |
| Atlantic | (27.75,27.85] | 5 | cstar_tref ~ sal + temp + aou + silicate + phosphate_star | 1320 | 1.2161798 | 4276.6843 | 27.516669 | 12.570656 | 1982-1999 –> 2000-2009 | 2.1030070 | 0.8868272 | 7597.5142 | 54.901390 | 5 | 8 |
| Atlantic | (27.75,27.85] | 4 | cstar_tref ~ sal + aou + silicate + phosphate | 1320 | 1.1850275 | 4206.1800 | 29.482008 | 12.417948 | 1982-1999 –> 2000-2009 | 2.1332898 | 0.9482622 | 7695.5433 | 62.906180 | 2 | 8 |
| Atlantic | (27.75,27.85] | 5 | cstar_tref ~ sal + temp + aou + nitrate + silicate | 1320 | 1.2219713 | 4289.2264 | 25.584261 | 13.469739 | 1982-1999 –> 2000-2009 | 2.1783927 | 0.9564214 | 7802.4026 | 57.648798 | 6 | 13 |
| Atlantic | (27.75,27.85] | 4 | cstar_tref ~ sal + temp + silicate + phosphate_star | 1320 | 1.3024871 | 4455.6853 | 22.125313 | 13.840017 | 1982-1999 –> 2000-2009 | 2.2124945 | 0.9100073 | 7840.2084 | 47.863406 | 8 | 13 |
| Atlantic | (27.75,27.85] | 4 | cstar_tref ~ sal + aou + nitrate + silicate | 1320 | 1.2231390 | 4289.7478 | 25.179816 | 13.506812 | 1982-1999 –> 2000-2009 | 2.2209887 | 0.9978497 | 7908.8849 | 55.252255 | 7 | 15 |
| Atlantic | (27.75,27.85] | 4 | cstar_tref ~ sal + temp + aou + phosphate | 1320 | 1.3248409 | 4500.6096 | 21.143530 | 10.963755 | 1982-1999 –> 2000-2009 | 2.3523630 | 1.0275221 | 8194.3515 | 45.990721 | 9 | 18 |
| Atlantic | (27.75,27.85] | 4 | cstar_tref ~ sal + temp + phosphate + phosphate_star | 1320 | 1.3706949 | 4590.4367 | 23.997837 | 10.926380 | 1982-1999 –> 2000-2009 | 2.4631720 | 1.0924771 | 8440.2421 | 51.649370 | 11 | 21 |
| Atlantic | (27.75,27.85] | 5 | cstar_tref ~ sal + temp + aou + silicate + phosphate | 1461 | 1.1724110 | 4624.9185 | 25.474766 | 5.084366 | 2000-2009 –> 2010-2019 | 2.3481676 | 1.1757566 | 8812.3635 | 55.832922 | 1 | 2 |
| Atlantic | (27.75,27.85] | 4 | cstar_tref ~ sal + aou + silicate + phosphate | 1461 | 1.2153951 | 4728.1306 | 21.206231 | 5.850561 | 2000-2009 –> 2010-2019 | 2.4004226 | 1.1850275 | 8934.3106 | 50.688239 | 2 | 4 |
| Atlantic | (27.75,27.85] | 5 | cstar_tref ~ sal + temp + silicate + phosphate + phosphate_star | 1461 | 1.2208991 | 4743.3331 | 29.314537 | 5.213873 | 2000-2009 –> 2010-2019 | 2.4329809 | 1.2120818 | 9011.1068 | 57.054482 | 3 | 6 |
| Atlantic | (27.75,27.85] | 5 | cstar_tref ~ sal + temp + aou + silicate + phosphate_star | 1461 | 1.2234618 | 4749.4601 | 27.934616 | 5.216012 | 2000-2009 –> 2010-2019 | 2.4396416 | 1.2161798 | 9026.1445 | 55.451285 | 4 | 9 |
| Atlantic | (27.75,27.85] | 5 | cstar_tref ~ sal + temp + nitrate + silicate + phosphate_star | 1461 | 1.2265900 | 4756.9216 | 29.483447 | 5.233725 | 2000-2009 –> 2010-2019 | 2.4402873 | 1.2136973 | 9028.2116 | 54.236546 | 5 | 9 |
| Atlantic | (27.75,27.85] | 5 | cstar_tref ~ sal + temp + aou + nitrate + silicate | 1461 | 1.3112941 | 4952.0428 | 25.129814 | 5.750197 | 2000-2009 –> 2010-2019 | 2.5332654 | 1.2219713 | 9241.2691 | 50.714075 | 7 | 13 |
| Atlantic | (27.75,27.85] | 4 | cstar_tref ~ sal + aou + nitrate + silicate | 1461 | 1.3270668 | 4984.9799 | 18.744999 | 5.744650 | 2000-2009 –> 2010-2019 | 2.5502058 | 1.2231390 | 9274.7278 | 43.924815 | 8 | 15 |
| Atlantic | (27.75,27.85] | 4 | cstar_tref ~ sal + temp + silicate + phosphate_star | 1461 | 1.2623106 | 4838.8003 | 26.650720 | 5.084013 | 2000-2009 –> 2010-2019 | 2.5647977 | 1.3024871 | 9294.4856 | 48.776033 | 6 | 14 |
| Atlantic | (27.75,27.85] | 4 | cstar_tref ~ sal + nitrate + silicate + phosphate_star | 1461 | 1.4958523 | 5334.8166 | 16.300351 | 7.527051 | 2000-2009 –> 2010-2019 | 2.8828634 | 1.3870110 | 9956.4932 | 41.018352 | 10 | 23 |
| Atlantic | (27.75,27.85] | 4 | cstar_tref ~ sal + silicate + phosphate + phosphate_star | 1461 | 1.4903196 | 5323.9889 | 17.929561 | 7.516541 | 2000-2009 –> 2010-2019 | 2.8852260 | 1.3949064 | 9960.6507 | 45.643579 | 9 | 23 |
| Atlantic | (27.85,27.95] | 5 | cstar_tref ~ sal + temp + aou + silicate + phosphate | 1311 | 2.6539089 | 6293.6169 | 37.711491 | 23.080753 | 1982-1999 –> 2000-2009 | 3.3783425 | 0.7244336 | 9450.3963 | 73.616994 | 1 | 2 |
| Atlantic | (27.85,27.95] | 5 | cstar_tref ~ sal + temp + silicate + phosphate + phosphate_star | 1311 | 2.6699463 | 6309.4138 | 58.607949 | 23.147958 | 1982-1999 –> 2000-2009 | 3.4410306 | 0.7710843 | 9645.0533 | 108.615422 | 3 | 5 |
| Atlantic | (27.85,27.95] | 5 | cstar_tref ~ sal + temp + aou + silicate + phosphate_star | 1311 | 2.6775831 | 6316.9028 | 37.228470 | 23.204550 | 1982-1999 –> 2000-2009 | 3.4490306 | 0.7714475 | 9653.8918 | 61.502817 | 4 | 7 |
| Atlantic | (27.85,27.95] | 5 | cstar_tref ~ sal + temp + nitrate + silicate + phosphate_star | 1311 | 2.7177147 | 6355.9097 | 48.615868 | 23.475611 | 1982-1999 –> 2000-2009 | 3.4897094 | 0.7719948 | 9694.9312 | 97.145089 | 9 | 13 |
| Atlantic | (27.85,27.95] | 4 | cstar_tref ~ sal + temp + aou + phosphate | 1311 | 2.6822851 | 6319.5032 | 14.461416 | 23.483501 | 1982-1999 –> 2000-2009 | 3.5474939 | 0.8652088 | 9983.2289 | 31.894926 | 5 | 11 |
| Atlantic | (27.85,27.95] | 4 | cstar_tref ~ sal + aou + silicate + phosphate | 1311 | 2.6551306 | 6292.8237 | 36.691096 | 22.974759 | 1982-1999 –> 2000-2009 | 3.5858934 | 0.9307628 | 10165.8636 | 68.827893 | 2 | 10 |
| Atlantic | (27.85,27.95] | 4 | cstar_tref ~ sal + temp + phosphate + phosphate_star | 1311 | 2.6947182 | 6331.6287 | 50.153012 | 23.526966 | 1982-1999 –> 2000-2009 | 3.6304448 | 0.9357266 | 10219.9128 | 92.708884 | 7 | 16 |
| Atlantic | (27.85,27.95] | 4 | cstar_tref ~ sal + temp + aou + phosphate_star | 1311 | 2.6996012 | 6336.3757 | 15.858384 | 23.553658 | 1982-1999 –> 2000-2009 | 3.6379668 | 0.9383656 | 10232.7310 | 35.012984 | 8 | 18 |
| Atlantic | (27.85,27.95] | 4 | cstar_tref ~ sal + temp + nitrate + phosphate_star | 1311 | 2.7243321 | 6360.2863 | 48.078752 | 23.640186 | 1982-1999 –> 2000-2009 | 3.6740415 | 0.9497094 | 10291.0807 | 85.632894 | 10 | 21 |
| Atlantic | (27.85,27.95] | 4 | cstar_tref ~ sal + temp + silicate + phosphate_star | 1311 | 2.9208495 | 6542.9117 | 23.835732 | 24.697855 | 1982-1999 –> 2000-2009 | 3.6931637 | 0.7723142 | 9881.1190 | 47.437388 | 23 | 28 |
| Atlantic | (27.85,27.95] | 5 | cstar_tref ~ sal + temp + aou + silicate + phosphate | 1449 | 1.1371207 | 4498.4750 | 23.067780 | 8.815103 | 2000-2009 –> 2010-2019 | 3.7910295 | 2.6539089 | 10792.0919 | 60.779271 | 1 | 2 |
| Atlantic | (27.85,27.95] | 5 | cstar_tref ~ sal + temp + silicate + phosphate + phosphate_star | 1449 | 1.1819705 | 4610.5801 | 51.466475 | 8.987232 | 2000-2009 –> 2010-2019 | 3.8519168 | 2.6699463 | 10919.9939 | 110.074424 | 2 | 5 |
| Atlantic | (27.85,27.95] | 5 | cstar_tref ~ sal + temp + aou + silicate + phosphate_star | 1449 | 1.1843597 | 4616.4320 | 25.755119 | 8.987766 | 2000-2009 –> 2010-2019 | 3.8619427 | 2.6775831 | 10933.3348 | 62.983588 | 3 | 7 |
| Atlantic | (27.85,27.95] | 5 | cstar_tref ~ sal + temp + nitrate + silicate + phosphate_star | 1449 | 1.1888693 | 4627.4456 | 48.542740 | 9.004989 | 2000-2009 –> 2010-2019 | 3.9065840 | 2.7177147 | 10983.3554 | 97.158608 | 4 | 13 |
| Atlantic | (27.85,27.95] | 4 | cstar_tref ~ sal + aou + silicate + phosphate | 1449 | 1.3150986 | 4917.8799 | 22.370215 | 8.353220 | 2000-2009 –> 2010-2019 | 3.9702293 | 2.6551306 | 11210.7036 | 59.061310 | 6 | 8 |
| Atlantic | (27.85,27.95] | 4 | cstar_tref ~ sal + temp + silicate + phosphate_star | 1449 | 1.2015704 | 4656.2417 | 22.449429 | 8.876596 | 2000-2009 –> 2010-2019 | 4.1224199 | 2.9208495 | 11199.1535 | 46.285161 | 5 | 28 |
| Atlantic | (27.85,27.95] | 5 | cstar_tref ~ sal + temp + aou + nitrate + silicate | 1449 | 1.3534669 | 5003.2196 | 22.675436 | 9.925656 | 2000-2009 –> 2010-2019 | 4.1776717 | 2.8242048 | 11459.9072 | 55.197228 | 7 | 25 |
| Atlantic | (27.85,27.95] | 5 | cstar_tref ~ sal + aou + nitrate + silicate + phosphate_star | 1449 | 1.4288540 | 5160.3010 | 625.040409 | 9.828690 | 2000-2009 –> 2010-2019 | 4.1980757 | 2.7692217 | 11565.4386 | 1186.379526 | 8 | 21 |
| Atlantic | (27.85,27.95] | 4 | cstar_tref ~ sal + aou + nitrate + silicate | 1449 | 1.4408265 | 5182.4825 | 19.236674 | 9.537828 | 2000-2009 –> 2010-2019 | 4.2737929 | 2.8329664 | 11645.2917 | 49.886556 | 9 | 29 |
| Atlantic | (27.85,27.95] | 4 | cstar_tref ~ sal + temp + aou + phosphate | 1449 | 1.7822562 | 5798.7804 | 23.065272 | 8.434817 | 2000-2009 –> 2010-2019 | 4.4645413 | 2.6822851 | 12118.2835 | 37.526687 | 12 | 17 |
| Atlantic | (27.95,28.05] | 5 | cstar_tref ~ sal + temp + nitrate + silicate + phosphate_star | 1414 | 3.6464598 | 7685.5023 | 95.572655 | 20.979513 | 1982-1999 –> 2000-2009 | 6.7770223 | 3.1305625 | 16455.2195 | 172.860784 | 1 | 2 |
| Atlantic | (27.95,28.05] | 4 | cstar_tref ~ sal + temp + nitrate + phosphate_star | 1414 | 3.6596388 | 7693.7049 | 93.068818 | 20.503879 | 1982-1999 –> 2000-2009 | 6.8148259 | 3.1551871 | 16488.2181 | 161.550473 | 2 | 4 |
| Atlantic | (27.95,28.05] | 4 | cstar_tref ~ temp + nitrate + silicate + phosphate_star | 1414 | 3.7653199 | 7774.2134 | 70.666317 | 20.538456 | 1982-1999 –> 2000-2009 | 6.9494118 | 3.1840919 | 16599.9148 | 129.101603 | 11 | 14 |
| Atlantic | (27.95,28.05] | 3 | cstar_tref ~ temp + nitrate + phosphate_star | 1414 | 3.7835638 | 7785.8827 | 69.064387 | 19.957271 | 1982-1999 –> 2000-2009 | 6.9800256 | 3.1964618 | 16622.8447 | 122.970780 | 12 | 16 |
| Atlantic | (27.95,28.05] | 5 | cstar_tref ~ sal + temp + silicate + phosphate + phosphate_star | 1414 | 3.7156584 | 7738.6662 | 111.485141 | 20.309710 | 1982-1999 –> 2000-2009 | 6.9913714 | 3.2757130 | 16663.3876 | 198.187431 | 3 | 8 |
| Atlantic | (27.95,28.05] | 5 | cstar_tref ~ sal + temp + aou + silicate + phosphate_star | 1414 | 3.7158932 | 7738.8449 | 28.469077 | 20.307210 | 1982-1999 –> 2000-2009 | 6.9923749 | 3.2764818 | 16664.3688 | 51.347257 | 5 | 11 |
| Atlantic | (27.95,28.05] | 5 | cstar_tref ~ sal + temp + aou + silicate + phosphate | 1414 | 3.7237914 | 7744.8495 | 28.815351 | 20.510833 | 1982-1999 –> 2000-2009 | 7.0051956 | 3.2814043 | 16675.5077 | 66.277812 | 9 | 16 |
| Atlantic | (27.95,28.05] | 4 | cstar_tref ~ sal + temp + aou + phosphate_star | 1414 | 3.7159246 | 7736.8688 | 21.732322 | 20.332324 | 1982-1999 –> 2000-2009 | 7.0245739 | 3.3086493 | 16693.8056 | 42.379161 | 6 | 15 |
| Atlantic | (27.95,28.05] | 4 | cstar_tref ~ sal + temp + phosphate + phosphate_star | 1414 | 3.7156663 | 7736.6722 | 98.773399 | 20.321997 | 1982-1999 –> 2000-2009 | 7.0255841 | 3.3099178 | 16694.9199 | 183.138012 | 4 | 14 |
| Atlantic | (27.95,28.05] | 4 | cstar_tref ~ sal + temp + aou + phosphate | 1414 | 3.7246534 | 7743.5040 | 18.513834 | 20.641758 | 1982-1999 –> 2000-2009 | 7.0292184 | 3.3045651 | 16696.2165 | 37.492786 | 10 | 18 |
| Atlantic | (27.95,28.05] | 5 | cstar_tref ~ sal + temp + nitrate + silicate + phosphate_star | 1715 | 2.7998178 | 8412.3306 | 124.863030 | 17.289319 | 2000-2009 –> 2010-2019 | 6.4462776 | 3.6464598 | 16097.8330 | 220.435685 | 1 | 2 |
| Atlantic | (27.95,28.05] | 5 | cstar_tref ~ sal + temp + aou + silicate + phosphate_star | 1715 | 2.8891785 | 8520.0938 | 38.269797 | 18.411884 | 2000-2009 –> 2010-2019 | 6.6050717 | 3.7158932 | 16258.9387 | 66.738875 | 2 | 7 |
| Atlantic | (27.95,28.05] | 5 | cstar_tref ~ sal + temp + silicate + phosphate + phosphate_star | 1715 | 2.8896385 | 8520.6399 | 149.012341 | 18.398677 | 2000-2009 –> 2010-2019 | 6.6052969 | 3.7156584 | 16259.3061 | 260.497482 | 3 | 6 |
| Atlantic | (27.95,28.05] | 5 | cstar_tref ~ sal + temp + aou + silicate + phosphate | 1715 | 2.8896753 | 8520.6835 | 33.186320 | 18.499717 | 2000-2009 –> 2010-2019 | 6.6134666 | 3.7237914 | 16265.5330 | 62.001672 | 4 | 13 |
| Atlantic | (27.95,28.05] | 4 | cstar_tref ~ sal + temp + nitrate + phosphate_star | 1715 | 3.0361981 | 8688.3381 | 124.420128 | 17.912168 | 2000-2009 –> 2010-2019 | 6.6958369 | 3.6596388 | 16382.0430 | 217.488946 | 6 | 8 |
| Atlantic | (27.95,28.05] | 4 | cstar_tref ~ sal + temp + silicate + phosphate_star | 1715 | 2.9829152 | 8627.6098 | 27.140432 | 19.650868 | 2000-2009 –> 2010-2019 | 6.7004304 | 3.7175152 | 16365.6890 | 46.291958 | 5 | 12 |
| Atlantic | (27.95,28.05] | 4 | cstar_tref ~ sal + temp + aou + phosphate | 1715 | 3.0468861 | 8700.3912 | 30.616890 | 18.941858 | 2000-2009 –> 2010-2019 | 6.7715395 | 3.7246534 | 16443.8952 | 49.130725 | 7 | 17 |
| Atlantic | (27.95,28.05] | 4 | cstar_tref ~ sal + temp + aou + phosphate_star | 1715 | 3.0799144 | 8737.3724 | 37.642679 | 18.925022 | 2000-2009 –> 2010-2019 | 6.7958390 | 3.7159246 | 16474.2412 | 59.375001 | 8 | 14 |
| Atlantic | (27.95,28.05] | 4 | cstar_tref ~ sal + temp + phosphate + phosphate_star | 1715 | 3.0807904 | 8738.3478 | 139.312466 | 18.962821 | 2000-2009 –> 2010-2019 | 6.7964566 | 3.7156663 | 16475.0200 | 238.085865 | 9 | 13 |
| Atlantic | (27.95,28.05] | 3 | cstar_tref ~ sal + temp + phosphate_star | 1715 | 3.0827242 | 8738.5001 | 14.890085 | 19.151763 | 2000-2009 –> 2010-2019 | 6.8021109 | 3.7193867 | 16476.0025 | 24.413755 | 10 | 18 |
| Atlantic | (28.05,28.1] | 5 | cstar_tref ~ sal + temp + aou + silicate + phosphate | 784 | 0.5783881 | 1380.3996 | 57.455645 | 4.674039 | 1982-1999 –> 2000-2009 | 0.9603468 | 0.3819588 | 2255.3509 | 135.890870 | 1 | 2 |
| Atlantic | (28.05,28.1] | 4 | cstar_tref ~ sal + temp + aou + phosphate | 784 | 0.5796222 | 1381.7417 | 51.251453 | 4.611282 | 1982-1999 –> 2000-2009 | 0.9620458 | 0.3824236 | 2256.9870 | 129.073962 | 2 | 4 |
| Atlantic | (28.05,28.1] | 5 | cstar_tref ~ sal + temp + silicate + phosphate + phosphate_star | 784 | 0.6152583 | 1477.2975 | 212.308559 | 4.926091 | 1982-1999 –> 2000-2009 | 1.0259357 | 0.4106774 | 2488.9751 | 505.637970 | 3 | 6 |
| Atlantic | (28.05,28.1] | 4 | cstar_tref ~ sal + temp + phosphate + phosphate_star | 784 | 0.6154249 | 1475.7219 | 189.121261 | 4.904302 | 1982-1999 –> 2000-2009 | 1.0311816 | 0.4157568 | 2508.5829 | 448.160202 | 4 | 10 |
| Atlantic | (28.05,28.1] | 5 | cstar_tref ~ sal + temp + aou + silicate + phosphate_star | 784 | 0.6206047 | 1490.8639 | 41.486535 | 4.997032 | 1982-1999 –> 2000-2009 | 1.0324205 | 0.4118159 | 2507.7625 | 89.727743 | 5 | 9 |
| Atlantic | (28.05,28.1] | 4 | cstar_tref ~ sal + temp + aou + phosphate_star | 784 | 0.6206141 | 1488.8878 | 40.669440 | 4.991347 | 1982-1999 –> 2000-2009 | 1.0384629 | 0.4178488 | 2531.2151 | 88.647954 | 6 | 13 |
| Atlantic | (28.05,28.1] | 5 | cstar_tref ~ sal + temp + nitrate + silicate + phosphate_star | 784 | 0.6277321 | 1508.7694 | 187.377336 | 4.983001 | 1982-1999 –> 2000-2009 | 1.0407217 | 0.4129895 | 2531.0353 | 442.686560 | 7 | 12 |
| Atlantic | (28.05,28.1] | 4 | cstar_tref ~ sal + temp + nitrate + phosphate_star | 784 | 0.6311466 | 1515.2751 | 183.723239 | 5.132493 | 1982-1999 –> 2000-2009 | 1.0562495 | 0.4251030 | 2590.0637 | 436.893337 | 8 | 17 |
| Atlantic | (28.05,28.1] | 4 | cstar_tref ~ sal + temp + silicate + phosphate_star | 784 | 0.6849973 | 1643.6579 | 33.633215 | 5.894181 | 1982-1999 –> 2000-2009 | 1.1036662 | 0.4186689 | 2689.6830 | 69.611874 | 10 | 18 |
| Atlantic | (28.05,28.1] | 3 | cstar_tref ~ sal + temp + phosphate_star | 784 | 0.7207750 | 1721.4881 | 26.691098 | 6.599666 | 1982-1999 –> 2000-2009 | 1.1592582 | 0.4384832 | 2852.7240 | 52.494965 | 12 | 22 |
| Atlantic | (28.05,28.1] | 5 | cstar_tref ~ sal + temp + aou + silicate + phosphate | 994 | 0.6687821 | 2035.0834 | 105.454892 | 2.485718 | 2000-2009 –> 2010-2019 | 1.2471702 | 0.5783881 | 3415.4829 | 162.910537 | 1 | 2 |
| Atlantic | (28.05,28.1] | 4 | cstar_tref ~ sal + temp + aou + phosphate | 994 | 0.7018026 | 2128.8927 | 105.363636 | 2.745763 | 2000-2009 –> 2010-2019 | 1.2814248 | 0.5796222 | 3510.6344 | 156.615089 | 2 | 4 |
| Atlantic | (28.05,28.1] | 5 | cstar_tref ~ sal + temp + silicate + phosphate + phosphate_star | 994 | 0.7023705 | 2132.5010 | 440.304111 | 2.715258 | 2000-2009 –> 2010-2019 | 1.3176289 | 0.6152583 | 3609.7985 | 652.612670 | 3 | 6 |
| Atlantic | (28.05,28.1] | 5 | cstar_tref ~ sal + temp + aou + silicate + phosphate_star | 994 | 0.7038642 | 2136.7242 | 81.602632 | 2.739803 | 2000-2009 –> 2010-2019 | 1.3244689 | 0.6206047 | 3627.5881 | 123.089167 | 4 | 9 |
| Atlantic | (28.05,28.1] | 5 | cstar_tref ~ sal + temp + nitrate + silicate + phosphate_star | 994 | 0.7047382 | 2139.1912 | 362.101623 | 2.729151 | 2000-2009 –> 2010-2019 | 1.3324703 | 0.6277321 | 3647.9606 | 549.478959 | 5 | 12 |
| Atlantic | (28.05,28.1] | 4 | cstar_tref ~ sal + temp + phosphate + phosphate_star | 994 | 0.7445900 | 2246.5457 | 336.454121 | 2.995320 | 2000-2009 –> 2010-2019 | 1.3600148 | 0.6154249 | 3722.2676 | 525.575382 | 7 | 11 |
| Atlantic | (28.05,28.1] | 4 | cstar_tref ~ sal + temp + aou + phosphate_star | 994 | 0.7508242 | 2263.1213 | 81.441541 | 3.071598 | 2000-2009 –> 2010-2019 | 1.3714383 | 0.6206141 | 3752.0091 | 122.110981 | 8 | 14 |
| Atlantic | (28.05,28.1] | 4 | cstar_tref ~ sal + temp + silicate + phosphate_star | 994 | 0.7086275 | 2148.1323 | 52.885599 | 2.821710 | 2000-2009 –> 2010-2019 | 1.3936248 | 0.6849973 | 3791.7902 | 86.518814 | 6 | 16 |
| Atlantic | (28.05,28.1] | 4 | cstar_tref ~ sal + temp + nitrate + phosphate_star | 994 | 0.7760737 | 2328.8763 | 332.816182 | 3.238640 | 2000-2009 –> 2010-2019 | 1.4072202 | 0.6311466 | 3844.1513 | 516.539421 | 10 | 18 |
| Atlantic | (28.05,28.1] | 5 | cstar_tref ~ sal + temp + aou + nitrate + silicate | 994 | 0.7698695 | 2314.9197 | 99.090251 | 2.795656 | 2000-2009 –> 2010-2019 | 1.4907749 | 0.7209054 | 4040.6915 | 150.962914 | 9 | 22 |
| Atlantic | (28.1,28.15] | 5 | cstar_tref ~ sal + temp + aou + silicate + phosphate | 1240 | 0.5802491 | 2183.1090 | 89.924673 | 4.354437 | 1982-1999 –> 2000-2009 | 1.0119082 | 0.4316591 | 3560.8077 | 157.991881 | 1 | 2 |
| Atlantic | (28.1,28.15] | 5 | cstar_tref ~ sal + temp + silicate + phosphate + phosphate_star | 1240 | 0.6054343 | 2288.4808 | 238.044401 | 4.490695 | 1982-1999 –> 2000-2009 | 1.0622974 | 0.4568630 | 3799.8764 | 435.206743 | 3 | 6 |
| Atlantic | (28.1,28.15] | 4 | cstar_tref ~ temp + aou + silicate + phosphate | 1240 | 0.6109704 | 2309.0548 | 88.280028 | 4.301762 | 1982-1999 –> 2000-2009 | 1.0665693 | 0.4555989 | 3811.9225 | 156.292421 | 6 | 8 |
| Atlantic | (28.1,28.15] | 5 | cstar_tref ~ sal + temp + nitrate + silicate + phosphate_star | 1240 | 0.6060589 | 2291.0380 | 202.779660 | 4.689959 | 1982-1999 –> 2000-2009 | 1.0680681 | 0.4620091 | 3828.8233 | 370.947554 | 4 | 9 |
| Atlantic | (28.1,28.15] | 5 | cstar_tref ~ sal + temp + aou + silicate + phosphate_star | 1240 | 0.6084967 | 2300.9934 | 53.051445 | 4.621856 | 1982-1999 –> 2000-2009 | 1.0690917 | 0.4605950 | 3831.5564 | 90.749820 | 5 | 9 |
| Atlantic | (28.1,28.15] | 4 | cstar_tref ~ sal + temp + aou + phosphate | 1240 | 0.6047942 | 2283.8575 | 77.073960 | 5.171620 | 1982-1999 –> 2000-2009 | 1.1034078 | 0.4986136 | 3999.2800 | 137.442057 | 2 | 12 |
| Atlantic | (28.1,28.15] | 4 | cstar_tref ~ sal + temp + nitrate + phosphate_star | 1240 | 0.6199949 | 2345.4184 | 200.421466 | 4.995464 | 1982-1999 –> 2000-2009 | 1.1161876 | 0.4961927 | 4049.3743 | 368.372747 | 7 | 15 |
| Atlantic | (28.1,28.15] | 3 | cstar_tref ~ temp + aou + phosphate | 1240 | 0.6204726 | 2345.3286 | 77.073158 | 4.870185 | 1982-1999 –> 2000-2009 | 1.1308939 | 0.5104212 | 4113.8932 | 137.405573 | 8 | 19 |
| Atlantic | (28.1,28.15] | 4 | cstar_tref ~ temp + silicate + phosphate + phosphate_star | 1240 | 0.6442458 | 2440.5735 | 210.664047 | 4.393687 | 1982-1999 –> 2000-2009 | 1.1334165 | 0.4891708 | 4110.9499 | 381.281418 | 14 | 20 |
| Atlantic | (28.1,28.15] | 4 | cstar_tref ~ temp + aou + silicate + phosphate_star | 1240 | 0.6457513 | 2446.3624 | 51.953683 | 4.537880 | 1982-1999 –> 2000-2009 | 1.1380603 | 0.4923090 | 4131.8051 | 89.601523 | 15 | 22 |
| Atlantic | (28.1,28.15] | 5 | cstar_tref ~ sal + temp + aou + silicate + phosphate | 1472 | 0.6280792 | 2822.1331 | 156.892872 | 2.891879 | 2000-2009 –> 2010-2019 | 1.2083283 | 0.5802491 | 5005.2421 | 246.817544 | 1 | 2 |
| Atlantic | (28.1,28.15] | 4 | cstar_tref ~ sal + temp + aou + phosphate | 1472 | 0.6286543 | 2822.8275 | 153.746865 | 2.905736 | 2000-2009 –> 2010-2019 | 1.2334486 | 0.6047942 | 5106.6850 | 230.820825 | 2 | 4 |
| Atlantic | (28.1,28.15] | 5 | cstar_tref ~ sal + temp + nitrate + silicate + phosphate_star | 1472 | 0.6494040 | 2920.4294 | 332.384384 | 2.967745 | 2000-2009 –> 2010-2019 | 1.2554629 | 0.6060589 | 5211.4675 | 535.164045 | 3 | 7 |
| Atlantic | (28.1,28.15] | 5 | cstar_tref ~ sal + temp + silicate + phosphate + phosphate_star | 1472 | 0.6513683 | 2929.3208 | 426.062952 | 2.988081 | 2000-2009 –> 2010-2019 | 1.2568026 | 0.6054343 | 5217.8016 | 664.107352 | 4 | 7 |
| Atlantic | (28.1,28.15] | 5 | cstar_tref ~ sal + temp + aou + silicate + phosphate_star | 1472 | 0.6539021 | 2940.7510 | 101.780855 | 3.008111 | 2000-2009 –> 2010-2019 | 1.2623988 | 0.6084967 | 5241.7444 | 154.832301 | 7 | 12 |
| Atlantic | (28.1,28.15] | 4 | cstar_tref ~ sal + temp + nitrate + phosphate_star | 1472 | 0.6516809 | 2928.7337 | 326.506503 | 2.946482 | 2000-2009 –> 2010-2019 | 1.2716759 | 0.6199949 | 5274.1521 | 526.927969 | 6 | 13 |
| Atlantic | (28.1,28.15] | 4 | cstar_tref ~ sal + temp + phosphate + phosphate_star | 1472 | 0.6513742 | 2927.3475 | 357.223004 | 2.989652 | 2000-2009 –> 2010-2019 | 1.2781831 | 0.6268089 | 5299.8735 | 566.314399 | 5 | 14 |
| Atlantic | (28.1,28.15] | 4 | cstar_tref ~ sal + temp + aou + phosphate_star | 1472 | 0.6539365 | 2938.9057 | 100.089610 | 3.004675 | 2000-2009 –> 2010-2019 | 1.2818972 | 0.6279607 | 5315.9845 | 145.717164 | 8 | 18 |
| Atlantic | (28.1,28.15] | 5 | cstar_tref ~ sal + temp + aou + nitrate + silicate | 1472 | 0.6673759 | 3000.7959 | 150.888828 | 3.166801 | 2000-2009 –> 2010-2019 | 1.3105328 | 0.6431570 | 5439.1746 | 232.260372 | 9 | 22 |
| Atlantic | (28.1,28.15] | 4 | cstar_tref ~ sal + temp + silicate + phosphate_star | 1472 | 0.6772846 | 3042.1852 | 75.557129 | 3.171250 | 2000-2009 –> 2010-2019 | 1.3152105 | 0.6379259 | 5458.3106 | 124.323618 | 10 | 21 |
| Atlantic | (28.15,28.2] | 4 | cstar_tref ~ aou + nitrate + phosphate + phosphate_star | 2158 | 0.6393923 | 4205.8632 | 920.594117 | 3.560188 | 1982-1999 –> 2000-2009 | 1.1368963 | 0.4975040 | 7186.0637 | 1760.930367 | 1 | 2 |
| Atlantic | (28.15,28.2] | 5 | cstar_tref ~ sal + temp + aou + nitrate + silicate | 2158 | 0.6653824 | 4379.8290 | 155.447821 | 3.804554 | 1982-1999 –> 2000-2009 | 1.1672885 | 0.5019060 | 7398.3061 | 278.742978 | 2 | 4 |
| Atlantic | (28.15,28.2] | 5 | cstar_tref ~ temp + aou + nitrate + silicate + phosphate_star | 2158 | 0.6654960 | 4380.5655 | 950.294894 | 3.768367 | 1982-1999 –> 2000-2009 | 1.1728806 | 0.5073847 | 7443.7496 | 1618.260373 | 3 | 6 |
| Atlantic | (28.15,28.2] | 4 | cstar_tref ~ temp + aou + nitrate + silicate | 2158 | 0.6655247 | 4378.7517 | 110.202784 | 3.759467 | 1982-1999 –> 2000-2009 | 1.1826029 | 0.5170782 | 7517.8676 | 187.134429 | 4 | 8 |
| Atlantic | (28.15,28.2] | 4 | cstar_tref ~ temp + aou + nitrate + phosphate | 2158 | 0.6807559 | 4476.4143 | 335.043792 | 3.829804 | 1982-1999 –> 2000-2009 | 1.2028698 | 0.5221140 | 7655.4410 | 548.392069 | 5 | 10 |
| Atlantic | (28.15,28.2] | 4 | cstar_tref ~ temp + aou + nitrate + phosphate_star | 2158 | 0.6904635 | 4537.5263 | 343.272815 | 3.851558 | 1982-1999 –> 2000-2009 | 1.2219176 | 0.5314540 | 7789.5686 | 563.811322 | 6 | 12 |
| Atlantic | (28.15,28.2] | 4 | cstar_tref ~ temp + nitrate + phosphate + phosphate_star | 2158 | 0.7111357 | 4664.8489 | 529.119540 | 3.957021 | 1982-1999 –> 2000-2009 | 1.2581961 | 0.5470604 | 8036.0765 | 872.203129 | 7 | 15 |
| Atlantic | (28.15,28.2] | 4 | cstar_tref ~ sal + temp + aou + nitrate | 2158 | 0.7247453 | 4746.6675 | 110.100791 | 4.050466 | 1982-1999 –> 2000-2009 | 1.2836534 | 0.5589080 | 8206.1260 | 202.490104 | 8 | 17 |
| Atlantic | (28.15,28.2] | 5 | cstar_tref ~ sal + aou + nitrate + silicate + phosphate_star | 2158 | 0.7585685 | 4945.5321 | 753.187263 | 4.598834 | 1982-1999 –> 2000-2009 | 1.3001732 | 0.5416047 | 8277.4858 | 1153.531853 | 9 | 16 |
| Atlantic | (28.15,28.2] | 5 | cstar_tref ~ sal + temp + aou + silicate + phosphate | 2158 | 0.7631068 | 4971.2768 | 161.244747 | 6.105476 | 1982-1999 –> 2000-2009 | 1.4144443 | 0.6513375 | 9062.9665 | 299.445388 | 10 | 22 |
| Atlantic | (28.15,28.2] | 5 | cstar_tref ~ sal + temp + aou + nitrate + silicate | 2865 | 0.6527941 | 5700.7102 | 244.661932 | 3.325047 | 2000-2009 –> 2010-2019 | 1.3181765 | 0.6653824 | 10080.5392 | 400.109754 | 1 | 2 |
| Atlantic | (28.15,28.2] | 4 | cstar_tref ~ temp + aou + nitrate + silicate | 2865 | 0.6590479 | 5753.3423 | 157.390313 | 2.965231 | 2000-2009 –> 2010-2019 | 1.3245726 | 0.6655247 | 10132.0939 | 267.593096 | 2 | 4 |
| Atlantic | (28.15,28.2] | 4 | cstar_tref ~ temp + aou + nitrate + phosphate | 2865 | 0.6830023 | 5957.9146 | 312.082038 | 3.180626 | 2000-2009 –> 2010-2019 | 1.3637581 | 0.6807559 | 10434.3289 | 647.125830 | 3 | 6 |
| Atlantic | (28.15,28.2] | 4 | cstar_tref ~ temp + aou + nitrate + phosphate_star | 2865 | 0.6908765 | 6023.5968 | 319.435060 | 3.206227 | 2000-2009 –> 2010-2019 | 1.3813400 | 0.6904635 | 10561.1230 | 662.707875 | 5 | 9 |
| Atlantic | (28.15,28.2] | 4 | cstar_tref ~ sal + temp + aou + nitrate | 2865 | 0.6926713 | 6038.4632 | 194.187971 | 3.696252 | 2000-2009 –> 2010-2019 | 1.4174166 | 0.7247453 | 10785.1307 | 304.288762 | 6 | 12 |
| Atlantic | (28.15,28.2] | 4 | cstar_tref ~ temp + nitrate + phosphate + phosphate_star | 2865 | 0.7073940 | 6158.9785 | 612.590586 | 3.303374 | 2000-2009 –> 2010-2019 | 1.4185298 | 0.7111357 | 10823.8274 | 1141.710126 | 7 | 12 |
| Atlantic | (28.15,28.2] | 5 | cstar_tref ~ sal + aou + nitrate + silicate + phosphate_star | 2865 | 0.6843511 | 5971.2195 | 868.687082 | 3.627171 | 2000-2009 –> 2010-2019 | 1.4429196 | 0.7585685 | 10916.7516 | 1621.874345 | 4 | 11 |
| Atlantic | (28.15,28.2] | 5 | cstar_tref ~ sal + temp + nitrate + silicate + phosphate_star | 2865 | 0.7894598 | 6789.9097 | 245.641457 | 3.048407 | 2000-2009 –> 2010-2019 | 1.5574959 | 0.7680361 | 11788.9758 | 392.789665 | 8 | 17 |
| Atlantic | (28.15,28.2] | 5 | cstar_tref ~ sal + temp + aou + silicate + phosphate | 2865 | 0.8108210 | 6942.8913 | 249.843716 | 3.277420 | 2000-2009 –> 2010-2019 | 1.5739278 | 0.7631068 | 11914.1681 | 411.088462 | 13 | 21 |
| Atlantic | (28.15,28.2] | 3 | cstar_tref ~ temp + aou + nitrate | 2865 | 0.7944870 | 6822.2815 | 157.306268 | 2.917600 | 2000-2009 –> 2010-2019 | 1.5822615 | 0.7877745 | 11926.8672 | 259.761185 | 9 | 23 |
| Atlantic | (28.2, Inf] | 5 | cstar_tref ~ sal + aou + nitrate + silicate + phosphate_star | 2645 | 0.7602590 | 6070.2162 | 182.210748 | 4.418903 | 1982-1999 –> 2000-2009 | 1.2711074 | 0.5108485 | 11232.8120 | 390.453314 | 1 | 2 |
| Atlantic | (28.2, Inf] | 5 | cstar_tref ~ sal + temp + aou + nitrate + silicate | 2645 | 0.7695927 | 6134.7662 | 50.958618 | 4.363464 | 1982-1999 –> 2000-2009 | 1.2898922 | 0.5202995 | 11423.6663 | 88.870969 | 2 | 4 |
| Atlantic | (28.2, Inf] | 4 | cstar_tref ~ sal + aou + nitrate + silicate | 2645 | 0.7712063 | 6143.8464 | 31.514534 | 4.332702 | 1982-1999 –> 2000-2009 | 1.2920595 | 0.5208532 | 11438.0754 | 62.561578 | 3 | 6 |
| Atlantic | (28.2, Inf] | 5 | cstar_tref ~ sal + temp + aou + nitrate + phosphate | 2645 | 0.8053302 | 6374.8842 | 633.917968 | 4.249275 | 1982-1999 –> 2000-2009 | 1.3340263 | 0.5286962 | 11774.0888 | 999.267173 | 4 | 8 |
| Atlantic | (28.2, Inf] | 5 | cstar_tref ~ sal + temp + aou + nitrate + phosphate_star | 2645 | 0.8064545 | 6382.2647 | 635.662996 | 4.251861 | 1982-1999 –> 2000-2009 | 1.3351767 | 0.5287222 | 11781.8083 | 993.532733 | 5 | 10 |
| Atlantic | (28.2, Inf] | 4 | cstar_tref ~ sal + aou + nitrate + phosphate_star | 2645 | 0.8064629 | 6380.3194 | 89.984366 | 4.253072 | 1982-1999 –> 2000-2009 | 1.3355095 | 0.5290467 | 11782.0901 | 184.094890 | 6 | 13 |
| Atlantic | (28.2, Inf] | 4 | cstar_tref ~ sal + temp + aou + nitrate | 2645 | 0.8100053 | 6403.5051 | 10.697342 | 4.234612 | 1982-1999 –> 2000-2009 | 1.3387941 | 0.5287889 | 11801.9175 | 30.522899 | 7 | 13 |
| Atlantic | (28.2, Inf] | 4 | cstar_tref ~ sal + aou + nitrate + phosphate | 2645 | 0.8100950 | 6404.0913 | 305.688815 | 4.280818 | 1982-1999 –> 2000-2009 | 1.3399492 | 0.5298542 | 11816.3703 | 512.122074 | 8 | 16 |
| Atlantic | (28.2, Inf] | 5 | cstar_tref ~ sal + temp + nitrate + phosphate + phosphate_star | 2645 | 0.8115316 | 6415.4641 | 651.700818 | 4.279961 | 1982-1999 –> 2000-2009 | 1.3426921 | 0.5311605 | 11846.7089 | 1016.422492 | 9 | 18 |
| Atlantic | (28.2, Inf] | 3 | cstar_tref ~ sal + aou + nitrate | 2645 | 0.8418593 | 6605.5517 | 10.085041 | 4.315137 | 1982-1999 –> 2000-2009 | 1.3738721 | 0.5320128 | 12043.8432 | 29.663818 | 10 | 20 |
| Atlantic | (28.2, Inf] | 5 | cstar_tref ~ sal + aou + nitrate + silicate + phosphate_star | 4656 | 0.6559939 | 9301.1807 | 713.806088 | 4.113312 | 2000-2009 –> 2010-2019 | 1.4162528 | 0.7602590 | 15371.3969 | 896.016837 | 1 | 2 |
| Atlantic | (28.2, Inf] | 5 | cstar_tref ~ sal + temp + aou + nitrate + silicate | 4656 | 0.6991503 | 9894.4876 | 308.625629 | 4.043197 | 2000-2009 –> 2010-2019 | 1.4687429 | 0.7695927 | 16029.2539 | 359.584248 | 3 | 5 |
| Atlantic | (28.2, Inf] | 4 | cstar_tref ~ sal + aou + nitrate + silicate | 4656 | 0.7045759 | 9964.4734 | 256.947569 | 3.907592 | 2000-2009 –> 2010-2019 | 1.4757823 | 0.7712063 | 16108.3197 | 288.462104 | 4 | 7 |
| Atlantic | (28.2, Inf] | 5 | cstar_tref ~ sal + temp + aou + nitrate + phosphate | 4656 | 0.7340897 | 10348.5924 | 887.914143 | 4.227225 | 2000-2009 –> 2010-2019 | 1.5394198 | 0.8053302 | 16723.4766 | 1521.832111 | 7 | 11 |
| Atlantic | (28.2, Inf] | 5 | cstar_tref ~ sal + temp + aou + nitrate + phosphate_star | 4656 | 0.7338307 | 10345.3067 | 861.260606 | 4.231681 | 2000-2009 –> 2010-2019 | 1.5402852 | 0.8064545 | 16727.5714 | 1496.923602 | 6 | 11 |
| Atlantic | (28.2, Inf] | 4 | cstar_tref ~ sal + aou + nitrate + phosphate_star | 4656 | 0.7349020 | 10356.8914 | 713.369565 | 4.235827 | 2000-2009 –> 2010-2019 | 1.5413649 | 0.8064629 | 16737.2107 | 803.353931 | 9 | 15 |
| Atlantic | (28.2, Inf] | 4 | cstar_tref ~ sal + temp + aou + nitrate | 4656 | 0.7349007 | 10356.8743 | 71.045399 | 4.182416 | 2000-2009 –> 2010-2019 | 1.5449060 | 0.8100053 | 16760.3794 | 81.742742 | 8 | 15 |
| Atlantic | (28.2, Inf] | 4 | cstar_tref ~ sal + aou + nitrate + phosphate | 4656 | 0.7386147 | 10403.8162 | 857.419245 | 4.161764 | 2000-2009 –> 2010-2019 | 1.5487097 | 0.8100950 | 16807.9074 | 1163.108060 | 10 | 18 |
| Atlantic | (28.2, Inf] | 3 | cstar_tref ~ sal + aou + nitrate | 4656 | 0.7396939 | 10415.4119 | 16.169105 | 4.107700 | 2000-2009 –> 2010-2019 | 1.5815532 | 0.8418593 | 17020.9636 | 26.254145 | 11 | 20 |
| Atlantic | (28.2, Inf] | 5 | cstar_tref ~ temp + aou + nitrate + silicate + phosphate_star | 4656 | 0.6957848 | 9849.5552 | 740.898442 | 5.450796 | 2000-2009 –> 2010-2019 | 1.6191325 | 0.9233477 | 16947.8657 | 1607.155486 | 2 | 15 |
| Indian | (-Inf,26] | 5 | cstar_tref ~ sal + temp + silicate + phosphate + phosphate_star | 243 | 1.2555508 | 814.2053 | 27.826227 | 6.180143 | 1982-1999 –> 2000-2009 | 2.8668805 | 1.6113297 | 2587.6917 | 60.622863 | 1 | 2 |
| Indian | (-Inf,26] | 5 | cstar_tref ~ sal + temp + aou + silicate + phosphate_star | 243 | 1.2570760 | 814.7953 | 24.233416 | 6.176998 | 1982-1999 –> 2000-2009 | 2.8711419 | 1.6140659 | 2589.8562 | 54.011794 | 2 | 4 |
| Indian | (-Inf,26] | 5 | cstar_tref ~ sal + temp + aou + silicate + phosphate | 243 | 1.2705578 | 819.9798 | 243.072798 | 6.137722 | 1982-1999 –> 2000-2009 | 2.8993116 | 1.6287538 | 2603.4472 | 498.630846 | 3 | 6 |
| Indian | (-Inf,26] | 5 | cstar_tref ~ sal + temp + nitrate + phosphate + phosphate_star | 243 | 1.4867916 | 896.3617 | 53.500973 | 7.475006 | 1982-1999 –> 2000-2009 | 3.4685609 | 1.9817693 | 2861.8794 | 72.552265 | 11 | 15 |
| Indian | (-Inf,26] | 5 | cstar_tref ~ sal + temp + aou + nitrate + phosphate_star | 243 | 1.4870650 | 896.4511 | 36.781776 | 7.473930 | 1982-1999 –> 2000-2009 | 3.4712452 | 1.9841802 | 2863.0970 | 48.139012 | 12 | 17 |
| Indian | (-Inf,26] | 5 | cstar_tref ~ sal + temp + aou + nitrate + phosphate | 243 | 1.4970319 | 899.6976 | 366.797663 | 7.437933 | 1982-1999 –> 2000-2009 | 3.4981796 | 2.0011477 | 2874.2455 | 436.928736 | 13 | 19 |
| Indian | (-Inf,26] | 4 | cstar_tref ~ sal + temp + phosphate + phosphate_star | 243 | 1.5656135 | 919.4671 | 27.810970 | 7.846778 | 1982-1999 –> 2000-2009 | 3.8100539 | 2.2444404 | 2998.4894 | 40.573569 | 15 | 22 |
| Indian | (-Inf,26] | 4 | cstar_tref ~ sal + temp + aou + phosphate_star | 243 | 1.5666831 | 919.7990 | 23.974020 | 7.845725 | 1982-1999 –> 2000-2009 | 3.8118673 | 2.2451842 | 2999.1288 | 32.021808 | 16 | 24 |
| Indian | (-Inf,26] | 4 | cstar_tref ~ sal + temp + aou + phosphate | 243 | 1.5814494 | 924.3582 | 240.573437 | 7.819365 | 1982-1999 –> 2000-2009 | 3.8365666 | 2.2551172 | 3007.7846 | 309.287003 | 17 | 26 |
| Indian | (-Inf,26] | 5 | cstar_tref ~ sal + temp + nitrate + silicate + phosphate_star | 243 | 1.4148252 | 872.2490 | 24.193168 | 6.875334 | 1982-1999 –> 2000-2009 | 3.8966287 | 2.4818035 | 3046.5626 | 53.680837 | 9 | 19 |
| Indian | (-Inf,26] | 5 | cstar_tref ~ sal + temp + silicate + phosphate + phosphate_star | 171 | 1.2929481 | 587.1453 | 24.477075 | 3.139696 | 2000-2009 –> 2010-2019 | 2.5484989 | 1.2555508 | 1401.3506 | 52.303302 | 1 | 2 |
| Indian | (-Inf,26] | 5 | cstar_tref ~ sal + temp + aou + silicate + phosphate_star | 171 | 1.2939543 | 587.4114 | 21.328008 | 3.141117 | 2000-2009 –> 2010-2019 | 2.5510303 | 1.2570760 | 1402.2066 | 45.561424 | 2 | 4 |
| Indian | (-Inf,26] | 5 | cstar_tref ~ sal + temp + aou + silicate + phosphate | 171 | 1.3094460 | 591.4816 | 181.463542 | 3.166575 | 2000-2009 –> 2010-2019 | 2.5800038 | 1.2705578 | 1411.4613 | 424.536339 | 3 | 6 |
| Indian | (-Inf,26] | 5 | cstar_tref ~ sal + temp + nitrate + silicate + phosphate_star | 171 | 1.6763942 | 675.9696 | 23.268031 | 4.854027 | 2000-2009 –> 2010-2019 | 3.0912194 | 1.4148252 | 1548.2187 | 47.461199 | 5 | 14 |
| Indian | (-Inf,26] | 5 | cstar_tref ~ sal + temp + nitrate + phosphate + phosphate_star | 171 | 1.6747915 | 675.6425 | 19.057906 | 3.861982 | 2000-2009 –> 2010-2019 | 3.1615831 | 1.4867916 | 1572.0042 | 72.558880 | 4 | 15 |
| Indian | (-Inf,26] | 5 | cstar_tref ~ sal + temp + aou + nitrate + phosphate_star | 171 | 1.6768833 | 676.0694 | 10.395968 | 3.869098 | 2000-2009 –> 2010-2019 | 3.1639483 | 1.4870650 | 1572.5204 | 47.177745 | 6 | 18 |
| Indian | (-Inf,26] | 5 | cstar_tref ~ sal + temp + aou + nitrate + phosphate | 171 | 1.7064752 | 682.0520 | 74.451558 | 3.926615 | 2000-2009 –> 2010-2019 | 3.2035071 | 1.4970319 | 1581.7496 | 441.249220 | 7 | 20 |
| Indian | (-Inf,26] | 5 | cstar_tref ~ temp + nitrate + silicate + phosphate + phosphate_star | 171 | 2.1400311 | 759.4775 | 32.256343 | 5.077756 | 2000-2009 –> 2010-2019 | 3.4907085 | 1.3506774 | 1609.1763 | 60.118927 | 14 | 18 |
| Indian | (-Inf,26] | 4 | cstar_tref ~ sal + temp + phosphate + phosphate_star | 171 | 1.9340533 | 722.8663 | 14.822165 | 4.899816 | 2000-2009 –> 2010-2019 | 3.4996668 | 1.5656135 | 1642.3334 | 42.633136 | 9 | 24 |
| Indian | (-Inf,26] | 4 | cstar_tref ~ sal + temp + aou + phosphate_star | 171 | 1.9346121 | 722.9651 | 8.718886 | 4.897374 | 2000-2009 –> 2010-2019 | 3.5012952 | 1.5666831 | 1642.7642 | 32.692906 | 10 | 26 |
| Indian | (26,26.5] | 5 | cstar_tref ~ temp + nitrate + silicate + phosphate + phosphate_star | 432 | 1.5814085 | 1635.9478 | 23.377845 | 4.877988 | 1982-1999 –> 2000-2009 | 3.3846411 | 1.8032326 | 5100.5843 | 36.781020 | 1 | 2 |
| Indian | (26,26.5] | 5 | cstar_tref ~ temp + aou + nitrate + silicate + phosphate_star | 432 | 1.5821729 | 1636.3654 | 15.263844 | 4.885131 | 1982-1999 –> 2000-2009 | 3.3934447 | 1.8112718 | 5108.6440 | 27.762102 | 2 | 4 |
| Indian | (26,26.5] | 5 | cstar_tref ~ temp + aou + nitrate + silicate + phosphate | 432 | 1.5888816 | 1640.0211 | 127.121106 | 4.933725 | 1982-1999 –> 2000-2009 | 3.4404563 | 1.8515747 | 5150.1081 | 252.773677 | 3 | 6 |
| Indian | (26,26.5] | 5 | cstar_tref ~ sal + temp + silicate + phosphate + phosphate_star | 432 | 1.6316832 | 1662.9878 | 13.700992 | 5.168047 | 1982-1999 –> 2000-2009 | 3.6722836 | 2.0406004 | 5340.0775 | 26.075961 | 4 | 8 |
| Indian | (26,26.5] | 5 | cstar_tref ~ sal + temp + aou + silicate + phosphate_star | 432 | 1.6326839 | 1663.5175 | 13.765648 | 5.181171 | 1982-1999 –> 2000-2009 | 3.6768617 | 2.0441778 | 5343.6164 | 26.212389 | 5 | 10 |
| Indian | (26,26.5] | 5 | cstar_tref ~ sal + temp + aou + silicate + phosphate | 432 | 1.6423956 | 1668.6416 | 160.545655 | 5.297608 | 1982-1999 –> 2000-2009 | 3.7124756 | 2.0700800 | 5370.3729 | 251.287141 | 6 | 12 |
| Indian | (26,26.5] | 4 | cstar_tref ~ temp + silicate + phosphate + phosphate_star | 432 | 1.6459653 | 1668.5175 | 10.946054 | 4.890592 | 1982-1999 –> 2000-2009 | 3.8523198 | 2.2063545 | 5477.7787 | 22.037822 | 7 | 17 |
| Indian | (26,26.5] | 4 | cstar_tref ~ temp + aou + silicate + phosphate_star | 432 | 1.6476098 | 1669.3803 | 10.058581 | 4.898254 | 1982-1999 –> 2000-2009 | 3.8599418 | 2.2123320 | 5483.2897 | 21.242272 | 8 | 19 |
| Indian | (26,26.5] | 4 | cstar_tref ~ temp + aou + silicate + phosphate | 432 | 1.6656392 | 1678.7834 | 119.305648 | 4.951988 | 1982-1999 –> 2000-2009 | 3.9152707 | 2.2496315 | 5521.4165 | 203.751589 | 9 | 21 |
| Indian | (26,26.5] | 5 | cstar_tref ~ sal + temp + nitrate + silicate + phosphate_star | 432 | 1.9416416 | 1813.2561 | 18.396664 | 6.567810 | 1982-1999 –> 2000-2009 | 4.4465557 | 2.5049141 | 5842.5536 | 30.840204 | 10 | 23 |
| Indian | (26,26.5] | 5 | cstar_tref ~ temp + nitrate + silicate + phosphate + phosphate_star | 301 | 1.1838613 | 969.8074 | 16.048382 | 3.709710 | 2000-2009 –> 2010-2019 | 2.7652697 | 1.5814085 | 2605.7552 | 39.426227 | 1 | 2 |
| Indian | (26,26.5] | 5 | cstar_tref ~ temp + aou + nitrate + silicate + phosphate_star | 301 | 1.1848132 | 970.2912 | 13.116132 | 3.716507 | 2000-2009 –> 2010-2019 | 2.7669861 | 1.5821729 | 2606.6566 | 28.379976 | 2 | 4 |
| Indian | (26,26.5] | 5 | cstar_tref ~ temp + aou + nitrate + silicate + phosphate | 301 | 1.2062818 | 981.1017 | 147.143782 | 3.826338 | 2000-2009 –> 2010-2019 | 2.7951634 | 1.5888816 | 2621.1229 | 274.264888 | 3 | 6 |
| Indian | (26,26.5] | 5 | cstar_tref ~ sal + temp + silicate + phosphate + phosphate_star | 301 | 1.2195458 | 987.6851 | 11.602088 | 3.266652 | 2000-2009 –> 2010-2019 | 2.8512290 | 1.6316832 | 2650.6728 | 25.303080 | 4 | 8 |
| Indian | (26,26.5] | 5 | cstar_tref ~ sal + temp + aou + silicate + phosphate_star | 301 | 1.2196940 | 987.7582 | 11.632703 | 3.265768 | 2000-2009 –> 2010-2019 | 2.8523779 | 1.6326839 | 2651.2757 | 25.398350 | 5 | 10 |
| Indian | (26,26.5] | 5 | cstar_tref ~ sal + temp + aou + silicate + phosphate | 301 | 1.2247327 | 990.2400 | 111.878665 | 3.228800 | 2000-2009 –> 2010-2019 | 2.8671283 | 1.6423956 | 2658.8816 | 272.424320 | 6 | 12 |
| Indian | (26,26.5] | 4 | cstar_tref ~ temp + silicate + phosphate + phosphate_star | 301 | 1.2265326 | 989.1241 | 10.373016 | 3.363650 | 2000-2009 –> 2010-2019 | 2.8724980 | 1.6459653 | 2657.6415 | 21.319070 | 7 | 14 |
| Indian | (26,26.5] | 4 | cstar_tref ~ temp + aou + silicate + phosphate_star | 301 | 1.2270438 | 989.3749 | 10.422992 | 3.369971 | 2000-2009 –> 2010-2019 | 2.8746537 | 1.6476098 | 2658.7552 | 20.481574 | 8 | 16 |
| Indian | (26,26.5] | 4 | cstar_tref ~ temp + aou + silicate + phosphate | 301 | 1.2438336 | 997.5563 | 111.565088 | 3.527465 | 2000-2009 –> 2010-2019 | 2.9094727 | 1.6656392 | 2676.3397 | 230.870736 | 9 | 18 |
| Indian | (26,26.5] | 5 | cstar_tref ~ sal + temp + nitrate + silicate + phosphate_star | 301 | 1.3674268 | 1056.5853 | 14.220932 | 4.254238 | 2000-2009 –> 2010-2019 | 3.3090684 | 1.9416416 | 2869.8414 | 32.617597 | 10 | 20 |
| Indian | (26.5,26.75] | 5 | cstar_tref ~ temp + nitrate + silicate + phosphate + phosphate_star | 499 | 1.2540434 | 1656.0210 | 59.933824 | 4.558961 | 1982-1999 –> 2000-2009 | 2.5769151 | 1.3228718 | 4364.2281 | 81.677387 | 6 | 7 |
| Indian | (26.5,26.75] | 5 | cstar_tref ~ temp + aou + nitrate + silicate + phosphate_star | 499 | 1.2551025 | 1656.8635 | 45.455449 | 4.569704 | 1982-1999 –> 2000-2009 | 2.5792794 | 1.3241768 | 4366.6345 | 61.449647 | 7 | 9 |
| Indian | (26.5,26.75] | 5 | cstar_tref ~ temp + aou + nitrate + silicate + phosphate | 499 | 1.2674691 | 1666.6487 | 202.495679 | 4.653764 | 1982-1999 –> 2000-2009 | 2.6042074 | 1.3367383 | 4391.3940 | 419.000114 | 8 | 11 |
| Indian | (26.5,26.75] | 5 | cstar_tref ~ sal + temp + nitrate + silicate + phosphate_star | 499 | 1.2386709 | 1643.7115 | 16.779474 | 4.895244 | 1982-1999 –> 2000-2009 | 2.7597943 | 1.5211234 | 4573.3944 | 30.201953 | 4 | 8 |
| Indian | (26.5,26.75] | 5 | cstar_tref ~ sal + temp + silicate + phosphate + phosphate_star | 499 | 1.2280029 | 1635.0790 | 22.351919 | 4.694230 | 1982-1999 –> 2000-2009 | 2.7805430 | 1.5525401 | 4597.1849 | 37.638156 | 1 | 6 |
| Indian | (26.5,26.75] | 5 | cstar_tref ~ sal + temp + aou + silicate + phosphate_star | 499 | 1.2282011 | 1635.2401 | 18.264771 | 4.698802 | 1982-1999 –> 2000-2009 | 2.7809958 | 1.5527947 | 4597.6060 | 33.657340 | 2 | 8 |
| Indian | (26.5,26.75] | 5 | cstar_tref ~ sal + temp + aou + silicate + phosphate | 499 | 1.2343541 | 1640.2274 | 233.136133 | 4.775310 | 1982-1999 –> 2000-2009 | 2.7945647 | 1.5602106 | 4610.1497 | 376.750887 | 3 | 11 |
| Indian | (26.5,26.75] | 4 | cstar_tref ~ sal + temp + silicate + phosphate_star | 499 | 1.2391708 | 1642.1143 | 13.014976 | 4.934170 | 1982-1999 –> 2000-2009 | 2.8169496 | 1.5777787 | 4627.7953 | 21.715215 | 5 | 14 |
| Indian | (26.5,26.75] | 4 | cstar_tref ~ temp + nitrate + silicate + phosphate_star | 499 | 1.2972176 | 1687.8019 | 10.189764 | 4.846119 | 1982-1999 –> 2000-2009 | 2.8558587 | 1.5586411 | 4654.1279 | 23.413321 | 9 | 16 |
| Indian | (26.5,26.75] | 4 | cstar_tref ~ temp + silicate + phosphate + phosphate_star | 499 | 1.3157595 | 1701.9659 | 19.938646 | 4.512869 | 1982-1999 –> 2000-2009 | 2.9034425 | 1.5876830 | 4697.5717 | 34.964137 | 10 | 20 |
| Indian | (26.5,26.75] | 5 | cstar_tref ~ temp + nitrate + silicate + phosphate + phosphate_star | 273 | 0.7653481 | 642.7266 | 19.085165 | 2.351313 | 2000-2009 –> 2010-2019 | 2.0193915 | 1.2540434 | 2298.7476 | 79.018989 | 2 | 8 |
| Indian | (26.5,26.75] | 5 | cstar_tref ~ temp + aou + nitrate + silicate + phosphate_star | 273 | 0.7655902 | 642.8994 | 16.101788 | 2.350948 | 2000-2009 –> 2010-2019 | 2.0206927 | 1.2551025 | 2299.7628 | 61.557237 | 3 | 10 |
| Indian | (26.5,26.75] | 5 | cstar_tref ~ temp + aou + nitrate + silicate + phosphate | 273 | 0.7602326 | 639.0650 | 185.423059 | 2.350265 | 2000-2009 –> 2010-2019 | 2.0277017 | 1.2674691 | 2305.7137 | 387.918738 | 1 | 9 |
| Indian | (26.5,26.75] | 5 | cstar_tref ~ sal + temp + nitrate + silicate + phosphate_star | 273 | 0.8094136 | 673.2913 | 14.177435 | 2.208963 | 2000-2009 –> 2010-2019 | 2.0480844 | 1.2386709 | 2317.0028 | 30.956909 | 4 | 8 |
| Indian | (26.5,26.75] | 4 | cstar_tref ~ temp + nitrate + silicate + phosphate_star | 273 | 0.8111309 | 672.4485 | 13.207854 | 2.212773 | 2000-2009 –> 2010-2019 | 2.1083485 | 1.2972176 | 2360.2504 | 23.397618 | 5 | 14 |
| Indian | (26.5,26.75] | 5 | cstar_tref ~ sal + temp + silicate + phosphate + phosphate_star | 273 | 0.9570202 | 764.7542 | 15.503952 | 3.074150 | 2000-2009 –> 2010-2019 | 2.1850231 | 1.2280029 | 2399.8333 | 37.855871 | 7 | 8 |
| Indian | (26.5,26.75] | 5 | cstar_tref ~ sal + temp + aou + silicate + phosphate_star | 273 | 0.9571022 | 764.8010 | 15.550378 | 3.073337 | 2000-2009 –> 2010-2019 | 2.1853033 | 1.2282011 | 2400.0412 | 33.815149 | 8 | 10 |
| Indian | (26.5,26.75] | 5 | cstar_tref ~ sal + temp + aou + silicate + phosphate | 273 | 0.9563584 | 764.3765 | 139.331708 | 3.084060 | 2000-2009 –> 2010-2019 | 2.1907125 | 1.2343541 | 2404.6040 | 372.467841 | 6 | 9 |
| Indian | (26.5,26.75] | 4 | cstar_tref ~ temp + silicate + phosphate + phosphate_star | 273 | 0.9643343 | 766.9112 | 14.688949 | 3.106418 | 2000-2009 –> 2010-2019 | 2.2800938 | 1.3157595 | 2468.8771 | 34.627595 | 10 | 20 |
| Indian | (26.5,26.75] | 4 | cstar_tref ~ temp + aou + silicate + phosphate_star | 273 | 0.9649654 | 767.2684 | 14.762642 | 3.107046 | 2000-2009 –> 2010-2019 | 2.2807496 | 1.3157842 | 2469.2531 | 31.473269 | 11 | 22 |
| Indian | (26.75,27] | 5 | cstar_tref ~ sal + temp + nitrate + silicate + phosphate_star | 900 | 1.0490279 | 2654.2444 | 16.713182 | 3.963436 | 1982-1999 –> 2000-2009 | 2.2636596 | 1.2146317 | 6095.0623 | 27.582486 | 1 | 5 |
| Indian | (26.75,27] | 5 | cstar_tref ~ temp + nitrate + silicate + phosphate + phosphate_star | 900 | 1.1452154 | 2812.1563 | 84.942050 | 3.914754 | 1982-1999 –> 2000-2009 | 2.3331717 | 1.1879563 | 6205.8077 | 124.469454 | 6 | 7 |
| Indian | (26.75,27] | 5 | cstar_tref ~ temp + aou + nitrate + silicate + phosphate_star | 900 | 1.1456476 | 2812.8354 | 68.746169 | 3.898047 | 1982-1999 –> 2000-2009 | 2.3336664 | 1.1880188 | 6206.5986 | 99.380953 | 7 | 9 |
| Indian | (26.75,27] | 5 | cstar_tref ~ temp + aou + nitrate + silicate + phosphate | 900 | 1.1541871 | 2826.2027 | 215.843807 | 3.962473 | 1982-1999 –> 2000-2009 | 2.3442266 | 1.1900395 | 6223.5755 | 455.836180 | 9 | 12 |
| Indian | (26.75,27] | 4 | cstar_tref ~ temp + nitrate + silicate + phosphate_star | 900 | 1.1517368 | 2820.3772 | 10.494198 | 3.345677 | 1982-1999 –> 2000-2009 | 2.3692962 | 1.2175595 | 6264.3087 | 20.874684 | 8 | 13 |
| Indian | (26.75,27] | 5 | cstar_tref ~ sal + temp + aou + silicate + phosphate_star | 900 | 1.0587395 | 2670.8316 | 30.270267 | 3.838387 | 1982-1999 –> 2000-2009 | 2.4348837 | 1.3761442 | 6376.8195 | 47.403909 | 2 | 8 |
| Indian | (26.75,27] | 5 | cstar_tref ~ sal + temp + silicate + phosphate + phosphate_star | 900 | 1.0592436 | 2671.6884 | 36.629447 | 3.839053 | 1982-1999 –> 2000-2009 | 2.4358011 | 1.3765575 | 6378.3142 | 54.268392 | 3 | 10 |
| Indian | (26.75,27] | 5 | cstar_tref ~ sal + temp + aou + silicate + phosphate | 900 | 1.0626515 | 2677.4703 | 208.149339 | 3.859100 | 1982-1999 –> 2000-2009 | 2.4445934 | 1.3819419 | 6392.3878 | 345.232758 | 4 | 12 |
| Indian | (26.75,27] | 4 | cstar_tref ~ sal + temp + silicate + phosphate_star | 900 | 1.1048946 | 2745.6392 | 14.652914 | 3.487397 | 1982-1999 –> 2000-2009 | 2.5408967 | 1.4360022 | 6540.0616 | 24.428387 | 5 | 17 |
| Indian | (26.75,27] | 4 | cstar_tref ~ temp + aou + silicate + phosphate_star | 900 | 1.2612855 | 2983.9260 | 29.241492 | 3.886543 | 1982-1999 –> 2000-2009 | 2.6471314 | 1.3858458 | 6702.8353 | 46.328768 | 11 | 20 |
| Indian | (26.75,27] | 5 | cstar_tref ~ sal + temp + nitrate + silicate + phosphate_star | 397 | 1.0913907 | 1210.0747 | 12.570630 | 4.703680 | 2000-2009 –> 2010-2019 | 2.1404186 | 1.0490279 | 3864.3191 | 29.283812 | 4 | 5 |
| Indian | (26.75,27] | 5 | cstar_tref ~ temp + nitrate + silicate + phosphate + phosphate_star | 397 | 0.9954076 | 1136.9824 | 53.078959 | 4.574186 | 2000-2009 –> 2010-2019 | 2.1406230 | 1.1452154 | 3949.1387 | 138.021008 | 2 | 8 |
| Indian | (26.75,27] | 5 | cstar_tref ~ temp + aou + nitrate + silicate + phosphate_star | 397 | 0.9963816 | 1137.7590 | 42.952154 | 4.573837 | 2000-2009 –> 2010-2019 | 2.1420291 | 1.1456476 | 3950.5944 | 111.698323 | 3 | 10 |
| Indian | (26.75,27] | 5 | cstar_tref ~ temp + aou + nitrate + silicate + phosphate | 397 | 0.9879111 | 1130.9802 | 280.134172 | 4.585020 | 2000-2009 –> 2010-2019 | 2.1420983 | 1.1541871 | 3957.1829 | 495.977980 | 1 | 10 |
| Indian | (26.75,27] | 5 | cstar_tref ~ sal + temp + aou + silicate + phosphate_star | 397 | 1.1347344 | 1240.9977 | 24.907456 | 4.538493 | 2000-2009 –> 2010-2019 | 2.1934739 | 1.0587395 | 3911.8293 | 55.177723 | 8 | 10 |
| Indian | (26.75,27] | 5 | cstar_tref ~ sal + temp + silicate + phosphate + phosphate_star | 397 | 1.1345219 | 1240.8490 | 26.663812 | 4.541969 | 2000-2009 –> 2010-2019 | 2.1937655 | 1.0592436 | 3912.5374 | 63.293259 | 7 | 10 |
| Indian | (26.75,27] | 5 | cstar_tref ~ sal + temp + aou + silicate + phosphate | 397 | 1.1338621 | 1240.3871 | 184.818137 | 4.555279 | 2000-2009 –> 2010-2019 | 2.1965136 | 1.0626515 | 3917.8573 | 392.967476 | 6 | 10 |
| Indian | (26.75,27] | 4 | cstar_tref ~ temp + nitrate + silicate + phosphate_star | 397 | 1.1065458 | 1219.0243 | 12.457423 | 4.750127 | 2000-2009 –> 2010-2019 | 2.2582825 | 1.1517368 | 4039.4015 | 22.951620 | 5 | 13 |
| Indian | (26.75,27] | 4 | cstar_tref ~ temp + aou + silicate + phosphate_star | 397 | 1.1459600 | 1246.8139 | 24.596121 | 4.575644 | 2000-2009 –> 2010-2019 | 2.4072455 | 1.2612855 | 4230.7399 | 53.837612 | 11 | 22 |
| Indian | (26.75,27] | 4 | cstar_tref ~ temp + silicate + phosphate + phosphate_star | 397 | 1.1447815 | 1245.9970 | 26.362514 | 4.577070 | 2000-2009 –> 2010-2019 | 2.4075313 | 1.2627497 | 4232.0113 | 61.931794 | 10 | 22 |
| Indian | (27,27.25] | 5 | cstar_tref ~ temp + nitrate + silicate + phosphate + phosphate_star | 979 | 1.9641647 | 4114.0630 | 124.496974 | 9.297005 | 1982-1999 –> 2000-2009 | 3.7978052 | 1.8336405 | 9025.0978 | 209.565209 | 2 | 5 |
| Indian | (27,27.25] | 5 | cstar_tref ~ temp + aou + nitrate + silicate + phosphate_star | 979 | 1.9669209 | 4116.8086 | 108.331993 | 9.289325 | 1982-1999 –> 2000-2009 | 3.8001599 | 1.8332390 | 9027.3139 | 179.496119 | 3 | 5 |
| Indian | (27,27.25] | 5 | cstar_tref ~ temp + aou + nitrate + silicate + phosphate | 979 | 1.9730918 | 4122.9419 | 272.712805 | 9.330575 | 1982-1999 –> 2000-2009 | 3.8040032 | 1.8309113 | 9030.3751 | 709.122873 | 4 | 5 |
| Indian | (27,27.25] | 5 | cstar_tref ~ sal + temp + nitrate + silicate + phosphate_star | 979 | 2.1079509 | 4252.3942 | 37.743145 | 8.246271 | 1982-1999 –> 2000-2009 | 3.9778121 | 1.8698612 | 9210.7273 | 54.247569 | 6 | 10 |
| Indian | (27,27.25] | 4 | cstar_tref ~ temp + nitrate + silicate + phosphate_star | 979 | 2.1924487 | 4327.3489 | 17.337011 | 7.403514 | 1982-1999 –> 2000-2009 | 4.0823843 | 1.8899356 | 9309.5027 | 33.575010 | 8 | 19 |
| Indian | (27,27.25] | 5 | cstar_tref ~ sal + temp + nitrate + phosphate + phosphate_star | 979 | 2.2228474 | 4356.3105 | 50.121229 | 9.560152 | 1982-1999 –> 2000-2009 | 4.1021933 | 1.8793459 | 9326.8775 | 107.615342 | 9 | 14 |
| Indian | (27,27.25] | 5 | cstar_tref ~ sal + temp + aou + nitrate + phosphate_star | 979 | 2.2229041 | 4356.3604 | 43.650850 | 9.548862 | 1982-1999 –> 2000-2009 | 4.1022720 | 1.8793679 | 9326.9559 | 90.792399 | 10 | 16 |
| Indian | (27,27.25] | 5 | cstar_tref ~ sal + temp + aou + nitrate + phosphate | 979 | 2.2252138 | 4358.3938 | 555.993565 | 9.546157 | 1982-1999 –> 2000-2009 | 4.1064090 | 1.8811952 | 9331.3391 | 1066.244532 | 14 | 21 |
| Indian | (27,27.25] | 4 | cstar_tref ~ sal + temp + nitrate + phosphate_star | 979 | 2.2243049 | 4355.5939 | 20.747245 | 8.986723 | 1982-1999 –> 2000-2009 | 4.1065605 | 1.8822556 | 9327.9017 | 33.035668 | 11 | 19 |
| Indian | (27,27.25] | 4 | cstar_tref ~ temp + nitrate + phosphate + phosphate_star | 979 | 2.2245026 | 4355.7679 | 33.687249 | 9.750477 | 1982-1999 –> 2000-2009 | 4.1117261 | 1.8872235 | 9334.4493 | 78.783788 | 12 | 21 |
| Indian | (27,27.25] | 5 | cstar_tref ~ temp + nitrate + silicate + phosphate + phosphate_star | 487 | 1.8102005 | 1974.0544 | 121.979413 | 6.844677 | 2000-2009 –> 2010-2019 | 3.7743652 | 1.9641647 | 6088.1174 | 246.476387 | 5 | 7 |
| Indian | (27,27.25] | 5 | cstar_tref ~ temp + aou + nitrate + silicate + phosphate_star | 487 | 1.8092818 | 1973.5599 | 106.306764 | 6.849628 | 2000-2009 –> 2010-2019 | 3.7762027 | 1.9669209 | 6090.3685 | 214.638757 | 4 | 7 |
| Indian | (27,27.25] | 5 | cstar_tref ~ temp + aou + nitrate + silicate + phosphate | 487 | 1.8164581 | 1977.4155 | 497.914612 | 6.885567 | 2000-2009 –> 2010-2019 | 3.7895500 | 1.9730918 | 6100.3575 | 770.627417 | 6 | 10 |
| Indian | (27,27.25] | 5 | cstar_tref ~ sal + temp + nitrate + silicate + phosphate_star | 487 | 1.8310884 | 1985.2290 | 20.283356 | 6.499376 | 2000-2009 –> 2010-2019 | 3.9390393 | 2.1079509 | 6237.6232 | 58.026501 | 7 | 13 |
| Indian | (27,27.25] | 5 | cstar_tref ~ sal + temp + nitrate + silicate + phosphate | 487 | 1.9269058 | 2034.9079 | 53.960426 | 8.132463 | 2000-2009 –> 2010-2019 | 3.9752274 | 2.0483216 | 6231.1161 | 148.327834 | 22 | 27 |
| Indian | (27,27.25] | 5 | cstar_tref ~ sal + temp + aou + nitrate + phosphate_star | 487 | 1.7903151 | 1963.2956 | 40.056337 | 6.816032 | 2000-2009 –> 2010-2019 | 4.0132192 | 2.2229041 | 6319.6560 | 83.707187 | 1 | 11 |
| Indian | (27,27.25] | 5 | cstar_tref ~ sal + temp + nitrate + phosphate + phosphate_star | 487 | 1.7912176 | 1963.7865 | 46.346834 | 6.814804 | 2000-2009 –> 2010-2019 | 4.0140650 | 2.2228474 | 6320.0969 | 96.468063 | 2 | 11 |
| Indian | (27,27.25] | 5 | cstar_tref ~ sal + temp + aou + nitrate + phosphate | 487 | 1.7934321 | 1964.9899 | 529.890699 | 6.828963 | 2000-2009 –> 2010-2019 | 4.0186459 | 2.2252138 | 6323.3837 | 1085.884264 | 3 | 17 |
| Indian | (27,27.25] | 4 | cstar_tref ~ temp + nitrate + silicate + phosphate_star | 487 | 1.8434211 | 1989.7671 | 19.753449 | 6.540486 | 2000-2009 –> 2010-2019 | 4.0358698 | 2.1924487 | 6317.1160 | 37.090460 | 11 | 19 |
| Indian | (27,27.25] | 4 | cstar_tref ~ temp + aou + nitrate + phosphate_star | 487 | 1.8342657 | 1984.9176 | 35.904617 | 7.027261 | 2000-2009 –> 2010-2019 | 4.0588755 | 2.2246098 | 6340.7799 | 65.346224 | 8 | 21 |
| Indian | (27.25,27.5] | 5 | cstar_tref ~ sal + temp + aou + nitrate + phosphate_star | 1083 | 1.7781827 | 4334.1529 | 118.905080 | 8.826110 | 1982-1999 –> 2000-2009 | 3.2278424 | 1.4496597 | 9948.1093 | 238.159162 | 2 | 3 |
| Indian | (27.25,27.5] | 5 | cstar_tref ~ sal + temp + nitrate + phosphate + phosphate_star | 1083 | 1.7794860 | 4335.7398 | 135.961109 | 8.728855 | 1982-1999 –> 2000-2009 | 3.2294823 | 1.4499964 | 9950.4225 | 252.610453 | 5 | 8 |
| Indian | (27.25,27.5] | 5 | cstar_tref ~ sal + temp + nitrate + silicate + phosphate_star | 1083 | 1.7773492 | 4333.1373 | 96.273007 | 8.268801 | 1982-1999 –> 2000-2009 | 3.2376035 | 1.4602543 | 9969.8710 | 131.979392 | 1 | 23 |
| Indian | (27.25,27.5] | 5 | cstar_tref ~ temp + aou + nitrate + silicate + phosphate_star | 1083 | 1.7878837 | 4345.9376 | 199.323641 | 8.986755 | 1982-1999 –> 2000-2009 | 3.2387442 | 1.4508605 | 9962.4838 | 399.276669 | 9 | 14 |
| Indian | (27.25,27.5] | 4 | cstar_tref ~ temp + aou + nitrate + phosphate_star | 1083 | 1.7886018 | 4344.8073 | 112.007593 | 8.999884 | 1982-1999 –> 2000-2009 | 3.2400498 | 1.4514480 | 9960.6199 | 168.618120 | 10 | 19 |
| Indian | (27.25,27.5] | 5 | cstar_tref ~ temp + nitrate + silicate + phosphate + phosphate_star | 1083 | 1.7893343 | 4347.6942 | 184.247795 | 8.872919 | 1982-1999 –> 2000-2009 | 3.2403904 | 1.4510561 | 9964.6622 | 384.008445 | 13 | 20 |
| Indian | (27.25,27.5] | 4 | cstar_tref ~ temp + nitrate + phosphate + phosphate_star | 1083 | 1.7897964 | 4346.2536 | 100.615991 | 8.876321 | 1982-1999 –> 2000-2009 | 3.2415324 | 1.4517359 | 9962.6866 | 161.389516 | 15 | 25 |
| Indian | (27.25,27.5] | 4 | cstar_tref ~ temp + aou + nitrate + phosphate | 1083 | 1.7898799 | 4346.3546 | 398.051786 | 8.980488 | 1982-1999 –> 2000-2009 | 3.2426927 | 1.4528128 | 9965.1071 | 1093.238370 | 16 | 27 |
| Indian | (27.25,27.5] | 5 | cstar_tref ~ sal + temp + nitrate + silicate + phosphate | 1083 | 1.7800751 | 4336.4568 | 142.588076 | 8.417659 | 1982-1999 –> 2000-2009 | 3.2448652 | 1.4647901 | 9982.8916 | 202.304438 | 6 | 36 |
| Indian | (27.25,27.5] | 4 | cstar_tref ~ sal + temp + nitrate + phosphate_star | 1083 | 1.7890123 | 4345.3044 | 68.737865 | 7.169919 | 1982-1999 –> 2000-2009 | 3.2518082 | 1.4627959 | 9985.4776 | 87.883008 | 11 | 37 |
| Indian | (27.25,27.5] | 5 | cstar_tref ~ sal + temp + aou + nitrate + silicate | 582 | 1.3749543 | 2036.2859 | 197.665092 | 4.207597 | 2000-2009 –> 2010-2019 | 3.1532467 | 1.7782924 | 6370.5725 | 416.801171 | 1 | 5 |
| Indian | (27.25,27.5] | 5 | cstar_tref ~ sal + temp + aou + nitrate + phosphate | 582 | 1.3799243 | 2040.4858 | 858.117559 | 4.142529 | 2000-2009 –> 2010-2019 | 3.1571064 | 1.7771821 | 6373.4195 | 1598.873255 | 2 | 3 |
| Indian | (27.25,27.5] | 5 | cstar_tref ~ sal + temp + aou + nitrate + phosphate_star | 582 | 1.3809477 | 2041.3487 | 145.555611 | 4.159318 | 2000-2009 –> 2010-2019 | 3.1591304 | 1.7781827 | 6375.5016 | 264.460691 | 3 | 6 |
| Indian | (27.25,27.5] | 5 | cstar_tref ~ sal + temp + nitrate + phosphate + phosphate_star | 582 | 1.3826027 | 2042.7429 | 133.771599 | 4.174574 | 2000-2009 –> 2010-2019 | 3.1620887 | 1.7794860 | 6378.4827 | 269.732708 | 4 | 10 |
| Indian | (27.25,27.5] | 4 | cstar_tref ~ sal + temp + aou + nitrate | 582 | 1.3993775 | 2054.7805 | 99.925087 | 4.517524 | 2000-2009 –> 2010-2019 | 3.1787740 | 1.7793964 | 6388.4113 | 200.471287 | 8 | 13 |
| Indian | (27.25,27.5] | 5 | cstar_tref ~ temp + aou + nitrate + silicate + phosphate_star | 582 | 1.4052459 | 2061.6516 | 263.022067 | 3.997928 | 2000-2009 –> 2010-2019 | 3.1931296 | 1.7878837 | 6407.5891 | 462.345708 | 10 | 20 |
| Indian | (27.25,27.5] | 5 | cstar_tref ~ temp + aou + nitrate + silicate + phosphate | 582 | 1.4051688 | 2061.5877 | 832.896875 | 4.004651 | 2000-2009 –> 2010-2019 | 3.1941141 | 1.7889453 | 6408.8110 | 1388.890366 | 9 | 21 |
| Indian | (27.25,27.5] | 5 | cstar_tref ~ temp + nitrate + silicate + phosphate + phosphate_star | 582 | 1.4061731 | 2062.4193 | 247.028022 | 3.952167 | 2000-2009 –> 2010-2019 | 3.1955073 | 1.7893343 | 6410.1135 | 431.275817 | 12 | 27 |
| Indian | (27.25,27.5] | 4 | cstar_tref ~ temp + aou + nitrate + silicate | 582 | 1.4061586 | 2060.4074 | 191.919834 | 3.941562 | 2000-2009 –> 2010-2019 | 3.1976248 | 1.7914662 | 6408.6807 | 357.092369 | 11 | 31 |
| Indian | (27.25,27.5] | 5 | cstar_tref ~ sal + temp + nitrate + silicate + phosphate | 582 | 1.4371850 | 2087.8113 | 75.501663 | 4.747314 | 2000-2009 –> 2010-2019 | 3.2172601 | 1.7800751 | 6424.2681 | 218.089739 | 16 | 23 |
| Indian | (27.5,27.75] | 5 | cstar_tref ~ temp + aou + nitrate + silicate + phosphate_star | 1565 | 1.2427405 | 5135.4862 | 624.146788 | 6.992367 | 1982-1999 –> 2000-2009 | 2.2568827 | 1.0141422 | 10520.3015 | 809.729016 | 2 | 3 |
| Indian | (27.5,27.75] | 5 | cstar_tref ~ temp + nitrate + silicate + phosphate + phosphate_star | 1565 | 1.2457735 | 5143.1157 | 556.596024 | 6.830446 | 1982-1999 –> 2000-2009 | 2.2599973 | 1.0142238 | 10528.2326 | 714.729062 | 5 | 7 |
| Indian | (27.5,27.75] | 5 | cstar_tref ~ sal + temp + aou + nitrate + phosphate_star | 1565 | 1.2426729 | 5135.3160 | 656.397024 | 6.992521 | 1982-1999 –> 2000-2009 | 2.2667222 | 1.0240493 | 10556.5676 | 1045.588862 | 1 | 16 |
| Indian | (27.5,27.75] | 4 | cstar_tref ~ temp + aou + nitrate + phosphate_star | 1565 | 1.2427409 | 5133.4871 | 619.135967 | 6.992163 | 1982-1999 –> 2000-2009 | 2.2673994 | 1.0246585 | 10554.9677 | 710.455611 | 3 | 20 |
| Indian | (27.5,27.75] | 5 | cstar_tref ~ sal + temp + nitrate + phosphate + phosphate_star | 1565 | 1.2457515 | 5143.0605 | 582.975938 | 6.826857 | 1982-1999 –> 2000-2009 | 2.2693497 | 1.0235982 | 10562.6609 | 1030.380456 | 4 | 16 |
| Indian | (27.5,27.75] | 4 | cstar_tref ~ temp + nitrate + phosphate + phosphate_star | 1565 | 1.2457980 | 5141.1773 | 547.346339 | 6.824978 | 1982-1999 –> 2000-2009 | 2.2697553 | 1.0239573 | 10560.0922 | 645.049340 | 6 | 20 |
| Indian | (27.5,27.75] | 5 | cstar_tref ~ sal + temp + nitrate + silicate + phosphate_star | 1565 | 1.2630956 | 5186.3377 | 243.374825 | 5.694854 | 1982-1999 –> 2000-2009 | 2.2814000 | 1.0183044 | 10586.5041 | 353.848409 | 8 | 16 |
| Indian | (27.5,27.75] | 4 | cstar_tref ~ temp + nitrate + silicate + phosphate_star | 1565 | 1.2636497 | 5185.7105 | 48.149187 | 5.746505 | 1982-1999 –> 2000-2009 | 2.2829234 | 1.0192737 | 10587.4425 | 80.874921 | 10 | 19 |
| Indian | (27.5,27.75] | 4 | cstar_tref ~ temp + aou + nitrate + phosphate | 1565 | 1.2599310 | 5176.4860 | 710.303243 | 7.124575 | 1982-1999 –> 2000-2009 | 2.2890666 | 1.0291356 | 10614.3072 | 1559.360200 | 7 | 27 |
| Indian | (27.5,27.75] | 4 | cstar_tref ~ sal + temp + nitrate + phosphate_star | 1565 | 1.2631004 | 5184.3496 | 210.562784 | 5.693437 | 1982-1999 –> 2000-2009 | 2.2932229 | 1.0301225 | 10625.7634 | 251.734663 | 9 | 30 |
| Indian | (27.5,27.75] | 5 | cstar_tref ~ sal + temp + aou + nitrate + phosphate_star | 757 | 1.2440164 | 2492.8475 | 548.765235 | 4.494902 | 2000-2009 –> 2010-2019 | 2.4866893 | 1.2426729 | 7628.1635 | 1205.162258 | 3 | 4 |
| Indian | (27.5,27.75] | 5 | cstar_tref ~ temp + aou + nitrate + silicate + phosphate_star | 757 | 1.2463316 | 2495.6626 | 464.488817 | 4.668739 | 2000-2009 –> 2010-2019 | 2.4890721 | 1.2427405 | 7631.1488 | 1088.635605 | 6 | 8 |
| Indian | (27.5,27.75] | 5 | cstar_tref ~ sal + temp + nitrate + phosphate + phosphate_star | 757 | 1.2453015 | 2494.4107 | 458.390172 | 4.486602 | 2000-2009 –> 2010-2019 | 2.4910530 | 1.2457515 | 7637.4712 | 1041.366110 | 4 | 8 |
| Indian | (27.5,27.75] | 5 | cstar_tref ~ temp + nitrate + silicate + phosphate + phosphate_star | 757 | 1.2461654 | 2495.4607 | 393.899506 | 4.661767 | 2000-2009 –> 2010-2019 | 2.4919389 | 1.2457735 | 7638.5764 | 950.495531 | 5 | 10 |
| Indian | (27.5,27.75] | 5 | cstar_tref ~ temp + aou + nitrate + silicate + phosphate | 757 | 1.2402491 | 2488.2556 | 955.570830 | 4.835627 | 2000-2009 –> 2010-2019 | 2.4993443 | 1.2590952 | 7664.6646 | 1717.108900 | 2 | 9 |
| Indian | (27.5,27.75] | 5 | cstar_tref ~ sal + temp + nitrate + silicate + phosphate_star | 757 | 1.2368681 | 2484.1228 | 192.628319 | 4.363125 | 2000-2009 –> 2010-2019 | 2.4999638 | 1.2630956 | 7670.4606 | 436.003144 | 1 | 10 |
| Indian | (27.5,27.75] | 4 | cstar_tref ~ temp + nitrate + silicate + phosphate_star | 757 | 1.2465357 | 2493.9105 | 79.948116 | 4.699120 | 2000-2009 –> 2010-2019 | 2.5101854 | 1.2636497 | 7679.6211 | 128.097303 | 7 | 18 |
| Indian | (27.5,27.75] | 4 | cstar_tref ~ sal + temp + nitrate + phosphate_star | 757 | 1.2473961 | 2494.9551 | 129.968823 | 4.474148 | 2000-2009 –> 2010-2019 | 2.5104965 | 1.2631004 | 7679.3047 | 340.531607 | 8 | 18 |
| Indian | (27.5,27.75] | 4 | cstar_tref ~ temp + aou + nitrate + phosphate | 757 | 1.2627063 | 2513.4245 | 886.765368 | 5.382948 | 2000-2009 –> 2010-2019 | 2.5226374 | 1.2599310 | 7689.9105 | 1597.068611 | 9 | 17 |
| Indian | (27.5,27.75] | 4 | cstar_tref ~ temp + aou + nitrate + phosphate_star | 757 | 1.2827297 | 2537.2444 | 463.827852 | 5.363211 | 2000-2009 –> 2010-2019 | 2.5254706 | 1.2427409 | 7670.7315 | 1082.963819 | 11 | 14 |
| Indian | (27.75,27.85] | 5 | cstar_tref ~ sal + temp + nitrate + silicate + phosphate_star | 604 | 0.8961089 | 1595.5683 | 171.118722 | 5.309266 | 1982-1999 –> 2000-2009 | 1.5554029 | 0.6592940 | 3153.1915 | 361.999747 | 3 | 4 |
| Indian | (27.75,27.85] | 5 | cstar_tref ~ sal + temp + aou + silicate + phosphate_star | 604 | 0.8868093 | 1582.9664 | 226.110655 | 4.935995 | 1982-1999 –> 2000-2009 | 1.5907243 | 0.7039150 | 3241.4413 | 431.620507 | 2 | 4 |
| Indian | (27.75,27.85] | 5 | cstar_tref ~ sal + temp + silicate + phosphate + phosphate_star | 604 | 0.8867809 | 1582.9277 | 189.578959 | 4.938623 | 1982-1999 –> 2000-2009 | 1.5920389 | 0.7052580 | 3244.3380 | 395.442420 | 1 | 4 |
| Indian | (27.75,27.85] | 4 | cstar_tref ~ sal + temp + silicate + phosphate_star | 604 | 0.8977152 | 1595.7316 | 104.820971 | 5.558710 | 1982-1999 –> 2000-2009 | 1.7005814 | 0.8028662 | 3454.7635 | 292.478072 | 4 | 12 |
| Indian | (27.75,27.85] | 4 | cstar_tref ~ sal + silicate + phosphate + phosphate_star | 604 | 1.1532304 | 1898.2988 | 112.306619 | 6.404408 | 1982-1999 –> 2000-2009 | 1.8860929 | 0.7328625 | 3616.8365 | 314.608375 | 5 | 9 |
| Indian | (27.75,27.85] | 4 | cstar_tref ~ sal + aou + silicate + phosphate_star | 604 | 1.2223995 | 1968.6632 | 114.527161 | 6.404943 | 1982-1999 –> 2000-2009 | 1.9711949 | 0.7487954 | 3720.3228 | 313.625270 | 7 | 12 |
| Indian | (27.75,27.85] | 4 | cstar_tref ~ temp + aou + silicate + phosphate_star | 604 | 1.2228689 | 1969.1269 | 179.107951 | 3.935919 | 1982-1999 –> 2000-2009 | 2.0100189 | 0.7871501 | 3797.7143 | 310.538987 | 9 | 15 |
| Indian | (27.75,27.85] | 4 | cstar_tref ~ temp + silicate + phosphate + phosphate_star | 604 | 1.2224010 | 1968.6646 | 150.021828 | 3.839375 | 1982-1999 –> 2000-2009 | 2.0104432 | 0.7880422 | 3798.9964 | 304.064346 | 8 | 15 |
| Indian | (27.75,27.85] | 4 | cstar_tref ~ sal + temp + silicate + phosphate | 604 | 1.3014781 | 2044.3865 | 98.676423 | 5.269463 | 1982-1999 –> 2000-2009 | 2.1046000 | 0.8031219 | 3903.9087 | 264.393909 | 14 | 23 |
| Indian | (27.75,27.85] | 3 | cstar_tref ~ aou + silicate + phosphate | 604 | 1.2881732 | 2029.9737 | 125.163231 | 3.740031 | 1982-1999 –> 2000-2009 | 2.1120532 | 0.8238800 | 3926.7941 | 281.541657 | 12 | 22 |
| Indian | (27.75,27.85] | 5 | cstar_tref ~ sal + temp + aou + silicate + phosphate_star | 372 | 0.9077581 | 997.6879 | 377.892678 | 4.228780 | 2000-2009 –> 2010-2019 | 1.7945674 | 0.8868093 | 2580.6543 | 604.003334 | 2 | 4 |
| Indian | (27.75,27.85] | 5 | cstar_tref ~ sal + temp + silicate + phosphate + phosphate_star | 372 | 0.9078312 | 997.7479 | 377.848663 | 4.240076 | 2000-2009 –> 2010-2019 | 1.7946122 | 0.8867809 | 2580.6756 | 567.427622 | 3 | 4 |
| Indian | (27.75,27.85] | 5 | cstar_tref ~ sal + temp + nitrate + silicate + phosphate_star | 372 | 0.9011382 | 992.2424 | 336.961596 | 4.600473 | 2000-2009 –> 2010-2019 | 1.7972472 | 0.8961089 | 2587.8106 | 508.080319 | 1 | 4 |
| Indian | (27.75,27.85] | 4 | cstar_tref ~ sal + temp + silicate + phosphate_star | 372 | 0.9928792 | 1062.3735 | 322.052933 | 4.260398 | 2000-2009 –> 2010-2019 | 1.8905944 | 0.8977152 | 2658.1051 | 426.873904 | 4 | 8 |
| Indian | (27.75,27.85] | 4 | cstar_tref ~ sal + silicate + phosphate + phosphate_star | 372 | 1.0783828 | 1123.8344 | 367.156089 | 5.515778 | 2000-2009 –> 2010-2019 | 2.2316132 | 1.1532304 | 3022.1332 | 479.462708 | 7 | 12 |
| Indian | (27.75,27.85] | 4 | cstar_tref ~ temp + silicate + phosphate + phosphate_star | 372 | 1.0412786 | 1097.7846 | 124.781952 | 3.608587 | 2000-2009 –> 2010-2019 | 2.2636796 | 1.2224010 | 3066.4492 | 274.803780 | 6 | 14 |
| Indian | (27.75,27.85] | 4 | cstar_tref ~ temp + aou + silicate + phosphate_star | 372 | 1.0411394 | 1097.6851 | 153.453759 | 3.603468 | 2000-2009 –> 2010-2019 | 2.2640082 | 1.2228689 | 3066.8120 | 332.561711 | 5 | 14 |
| Indian | (27.75,27.85] | 4 | cstar_tref ~ sal + aou + silicate + phosphate_star | 372 | 1.1353886 | 1162.1596 | 357.220497 | 5.833448 | 2000-2009 –> 2010-2019 | 2.3577881 | 1.2223995 | 3130.8228 | 471.747658 | 9 | 16 |
| Indian | (27.75,27.85] | 4 | cstar_tref ~ temp + nitrate + silicate + phosphate_star | 372 | 1.0915532 | 1132.8659 | 134.862992 | 3.778160 | 2000-2009 –> 2010-2019 | 2.4083751 | 1.3168219 | 3191.4108 | 293.410312 | 8 | 23 |
| Indian | (27.75,27.85] | 3 | cstar_tref ~ aou + silicate + phosphate | 372 | 1.1755900 | 1186.0473 | 183.311366 | 4.276460 | 2000-2009 –> 2010-2019 | 2.4637632 | 1.2881732 | 3216.0209 | 308.474598 | 11 | 23 |
| Indian | (27.85,27.95] | 5 | cstar_tref ~ sal + temp + aou + silicate + phosphate_star | 774 | 1.1818305 | 2469.1327 | 201.291700 | 8.063419 | 1982-1999 –> 2000-2009 | 1.9117014 | 0.7298709 | 4313.6492 | 334.483929 | 1 | 3 |
| Indian | (27.85,27.95] | 5 | cstar_tref ~ sal + temp + silicate + phosphate + phosphate_star | 774 | 1.1897670 | 2479.4934 | 293.546189 | 8.048502 | 1982-1999 –> 2000-2009 | 1.9195584 | 0.7297915 | 4323.8293 | 423.908510 | 2 | 3 |
| Indian | (27.85,27.95] | 4 | cstar_tref ~ sal + silicate + phosphate + phosphate_star | 774 | 1.2277061 | 2526.0852 | 100.686072 | 8.145381 | 1982-1999 –> 2000-2009 | 1.9578805 | 0.7301743 | 4369.2907 | 211.437392 | 5 | 8 |
| Indian | (27.85,27.95] | 4 | cstar_tref ~ sal + aou + silicate + phosphate_star | 774 | 1.2418226 | 2543.7829 | 111.519898 | 8.044999 | 1982-1999 –> 2000-2009 | 1.9720471 | 0.7302245 | 4387.1024 | 224.199263 | 6 | 10 |
| Indian | (27.85,27.95] | 5 | cstar_tref ~ sal + temp + nitrate + silicate + phosphate_star | 774 | 1.2234713 | 2522.7362 | 223.399285 | 7.710559 | 1982-1999 –> 2000-2009 | 1.9949799 | 0.7715087 | 4459.2389 | 326.223004 | 3 | 8 |
| Indian | (27.85,27.95] | 4 | cstar_tref ~ sal + temp + silicate + phosphate_star | 774 | 1.2264941 | 2524.5561 | 150.550292 | 7.527289 | 1982-1999 –> 2000-2009 | 2.0604559 | 0.8339618 | 4588.1170 | 252.804714 | 4 | 11 |
| Indian | (27.85,27.95] | 4 | cstar_tref ~ sal + nitrate + silicate + phosphate_star | 774 | 1.3271375 | 2646.6386 | 115.247436 | 7.903452 | 1982-1999 –> 2000-2009 | 2.1309479 | 0.8038104 | 4649.1449 | 217.616308 | 7 | 13 |
| Indian | (27.85,27.95] | 4 | cstar_tref ~ sal + temp + silicate + phosphate | 774 | 1.4757191 | 2810.9139 | 109.354147 | 7.470382 | 1982-1999 –> 2000-2009 | 2.3401911 | 0.8644720 | 4934.0488 | 187.259726 | 10 | 18 |
| Indian | (27.85,27.95] | 3 | cstar_tref ~ sal + silicate + phosphate_star | 774 | 1.4521858 | 2784.0290 | 72.975871 | 6.401439 | 1982-1999 –> 2000-2009 | 2.3840894 | 0.9319035 | 5029.6970 | 175.105602 | 9 | 18 |
| Indian | (27.85,27.95] | 4 | cstar_tref ~ sal + temp + aou + silicate | 774 | 1.6425387 | 2976.7010 | 143.253232 | 6.405278 | 1982-1999 –> 2000-2009 | 2.6122852 | 0.9697465 | 5290.3664 | 229.357533 | 20 | 30 |
| Indian | (27.85,27.95] | 5 | cstar_tref ~ sal + temp + aou + silicate + phosphate_star | 391 | 1.1542195 | 1235.7678 | 167.323148 | 8.131158 | 2000-2009 –> 2010-2019 | 2.3360500 | 1.1818305 | 3704.9005 | 368.614848 | 1 | 2 |
| Indian | (27.85,27.95] | 5 | cstar_tref ~ sal + temp + silicate + phosphate + phosphate_star | 391 | 1.1548164 | 1236.1721 | 167.327829 | 8.149176 | 2000-2009 –> 2010-2019 | 2.3445833 | 1.1897670 | 3715.6655 | 460.874018 | 2 | 4 |
| Indian | (27.85,27.95] | 5 | cstar_tref ~ sal + temp + nitrate + silicate + phosphate_star | 391 | 1.1678621 | 1244.9566 | 151.123833 | 8.345180 | 2000-2009 –> 2010-2019 | 2.3913333 | 1.2234713 | 3767.6929 | 374.523118 | 3 | 6 |
| Indian | (27.85,27.95] | 4 | cstar_tref ~ sal + silicate + phosphate + phosphate_star | 391 | 1.2155106 | 1274.2284 | 163.457995 | 8.287741 | 2000-2009 –> 2010-2019 | 2.4432167 | 1.2277061 | 3800.3136 | 264.144067 | 4 | 9 |
| Indian | (27.85,27.95] | 4 | cstar_tref ~ sal + temp + silicate + phosphate_star | 391 | 1.2292209 | 1282.9995 | 148.529863 | 7.860914 | 2000-2009 –> 2010-2019 | 2.4557150 | 1.2264941 | 3807.5557 | 299.080155 | 5 | 9 |
| Indian | (27.85,27.95] | 4 | cstar_tref ~ sal + aou + silicate + phosphate_star | 391 | 1.2426374 | 1291.4885 | 164.900123 | 8.260274 | 2000-2009 –> 2010-2019 | 2.4844599 | 1.2418226 | 3835.2714 | 276.420021 | 6 | 12 |
| Indian | (27.85,27.95] | 4 | cstar_tref ~ sal + nitrate + silicate + phosphate_star | 391 | 1.2684140 | 1307.5440 | 151.118780 | 8.638496 | 2000-2009 –> 2010-2019 | 2.5955515 | 1.3271375 | 3954.1826 | 266.366216 | 7 | 14 |
| Indian | (27.85,27.95] | 3 | cstar_tref ~ sal + silicate + phosphate_star | 391 | 1.4723233 | 1422.1201 | 147.735860 | 7.803255 | 2000-2009 –> 2010-2019 | 2.9245091 | 1.4521858 | 4206.1491 | 220.711731 | 8 | 17 |
| Indian | (27.85,27.95] | 4 | cstar_tref ~ sal + temp + silicate + phosphate | 391 | 1.6334930 | 1505.3535 | 115.389434 | 6.187253 | 2000-2009 –> 2010-2019 | 3.1092121 | 1.4757191 | 4316.2674 | 224.743580 | 9 | 19 |
| Indian | (27.85,27.95] | 5 | cstar_tref ~ temp + nitrate + silicate + phosphate + phosphate_star | 391 | 1.6788224 | 1528.7584 | 813.561601 | 4.459981 | 2000-2009 –> 2010-2019 | 3.1131854 | 1.4343630 | 4297.6711 | 1644.790529 | 10 | 18 |
| Indian | (27.95,28.05] | 5 | cstar_tref ~ sal + nitrate + silicate + phosphate + phosphate_star | 858 | 1.0813006 | 2583.0290 | 789.325588 | 7.010613 | 1982-1999 –> 2000-2009 | 1.8872151 | 0.8059145 | 5135.6985 | 937.241057 | 2 | 3 |
| Indian | (27.95,28.05] | 5 | cstar_tref ~ sal + temp + nitrate + silicate + phosphate | 858 | 1.0464903 | 2526.8769 | 793.477610 | 5.734491 | 1982-1999 –> 2000-2009 | 1.9377416 | 0.8912514 | 5291.9155 | 934.294135 | 1 | 7 |
| Indian | (27.95,28.05] | 5 | cstar_tref ~ sal + temp + aou + silicate + phosphate_star | 858 | 1.4905675 | 3133.8518 | 244.913549 | 8.217314 | 1982-1999 –> 2000-2009 | 2.3618002 | 0.8712327 | 5850.9567 | 385.336413 | 5 | 7 |
| Indian | (27.95,28.05] | 5 | cstar_tref ~ sal + temp + silicate + phosphate + phosphate_star | 858 | 1.4969229 | 3141.1528 | 325.713532 | 8.381629 | 1982-1999 –> 2000-2009 | 2.3686663 | 0.8717434 | 5859.4942 | 464.829526 | 8 | 11 |
| Indian | (27.95,28.05] | 4 | cstar_tref ~ sal + aou + silicate + phosphate_star | 858 | 1.4983571 | 3140.7961 | 104.494479 | 7.503814 | 1982-1999 –> 2000-2009 | 2.3706369 | 0.8722799 | 5858.4355 | 209.687441 | 9 | 14 |
| Indian | (27.95,28.05] | 4 | cstar_tref ~ sal + silicate + phosphate + phosphate_star | 858 | 1.5038857 | 3147.1162 | 108.083528 | 7.705419 | 1982-1999 –> 2000-2009 | 2.3756333 | 0.8717476 | 5863.4676 | 220.505765 | 10 | 14 |
| Indian | (27.95,28.05] | 5 | cstar_tref ~ sal + temp + nitrate + silicate + phosphate_star | 858 | 1.4934023 | 3137.1122 | 258.181922 | 9.341037 | 1982-1999 –> 2000-2009 | 2.4490598 | 0.9556575 | 6049.3720 | 408.588854 | 7 | 14 |
| Indian | (27.95,28.05] | 4 | cstar_tref ~ sal + temp + silicate + phosphate_star | 858 | 1.5061106 | 3149.6529 | 192.306821 | 8.920846 | 1982-1999 –> 2000-2009 | 2.4664184 | 0.9603079 | 6070.1554 | 311.983490 | 11 | 19 |
| Indian | (27.95,28.05] | 4 | cstar_tref ~ sal + nitrate + silicate + phosphate_star | 858 | 1.5508822 | 3199.9203 | 93.917837 | 7.673449 | 1982-1999 –> 2000-2009 | 2.5555999 | 1.0047178 | 6215.8117 | 227.301238 | 12 | 21 |
| Indian | (27.95,28.05] | 3 | cstar_tref ~ sal + silicate + phosphate_star | 858 | 1.5525909 | 3199.8100 | 70.832509 | 7.649586 | 1982-1999 –> 2000-2009 | 2.5961221 | 1.0435312 | 6293.6781 | 159.170806 | 13 | 24 |
| Indian | (27.95,28.05] | 5 | cstar_tref ~ sal + nitrate + silicate + phosphate + phosphate_star | 462 | 1.2641155 | 1541.6595 | 916.343934 | 7.017844 | 2000-2009 –> 2010-2019 | 2.3454161 | 1.0813006 | 4124.6885 | 1705.669522 | 1 | 3 |
| Indian | (27.95,28.05] | 5 | cstar_tref ~ sal + temp + nitrate + silicate + phosphate | 462 | 1.3283846 | 1587.4816 | 842.612024 | 4.347443 | 2000-2009 –> 2010-2019 | 2.3748748 | 1.0464903 | 4114.3585 | 1636.089634 | 2 | 3 |
| Indian | (27.95,28.05] | 5 | cstar_tref ~ sal + temp + aou + silicate + phosphate_star | 462 | 1.3596958 | 1609.0084 | 140.653779 | 7.576753 | 2000-2009 –> 2010-2019 | 2.8502633 | 1.4905675 | 4742.8602 | 385.567329 | 3 | 7 |
| Indian | (27.95,28.05] | 5 | cstar_tref ~ sal + temp + silicate + phosphate + phosphate_star | 462 | 1.3597049 | 1609.0146 | 164.364521 | 7.519554 | 2000-2009 –> 2010-2019 | 2.8566278 | 1.4969229 | 4750.1674 | 490.078053 | 4 | 11 |
| Indian | (27.95,28.05] | 4 | cstar_tref ~ sal + aou + silicate + phosphate_star | 462 | 1.3633988 | 1609.5214 | 107.747877 | 6.900905 | 2000-2009 –> 2010-2019 | 2.8617559 | 1.4983571 | 4750.3175 | 212.242356 | 6 | 14 |
| Indian | (27.95,28.05] | 4 | cstar_tref ~ sal + silicate + phosphate + phosphate_star | 462 | 1.3606586 | 1607.6624 | 112.265234 | 7.174477 | 2000-2009 –> 2010-2019 | 2.8645443 | 1.5038857 | 4754.7786 | 220.348762 | 5 | 14 |
| Indian | (27.95,28.05] | 5 | cstar_tref ~ sal + temp + nitrate + silicate + phosphate_star | 462 | 1.4016271 | 1637.0728 | 135.887706 | 8.542644 | 2000-2009 –> 2010-2019 | 2.8950294 | 1.4934023 | 4774.1850 | 394.069628 | 7 | 13 |
| Indian | (27.95,28.05] | 4 | cstar_tref ~ sal + temp + silicate + phosphate_star | 462 | 1.4181210 | 1645.8827 | 111.114576 | 9.289019 | 2000-2009 –> 2010-2019 | 2.9242316 | 1.5061106 | 4795.5356 | 303.421397 | 8 | 18 |
| Indian | (27.95,28.05] | 4 | cstar_tref ~ sal + nitrate + silicate + phosphate_star | 462 | 1.4219270 | 1648.3592 | 126.746062 | 7.057365 | 2000-2009 –> 2010-2019 | 2.9728091 | 1.5508822 | 4848.2795 | 220.663898 | 9 | 20 |
| Indian | (27.95,28.05] | 3 | cstar_tref ~ sal + silicate + phosphate_star | 462 | 1.5122374 | 1703.2566 | 97.382335 | 6.532571 | 2000-2009 –> 2010-2019 | 3.0648283 | 1.5525909 | 4903.0666 | 168.214843 | 11 | 23 |
| Indian | (28.05,28.1] | 4 | cstar_tref ~ temp + aou + nitrate + silicate | 459 | 1.0640549 | 1371.5815 | 863.807022 | 3.130722 | 1982-1999 –> 2000-2009 | 2.0050769 | 0.9410219 | 3170.9064 | 1167.531842 | 1 | 7 |
| Indian | (28.05,28.1] | 4 | cstar_tref ~ sal + temp + aou + nitrate | 459 | 1.1870867 | 1472.0245 | 981.615847 | 3.056196 | 1982-1999 –> 2000-2009 | 2.0788235 | 0.8917368 | 3200.5548 | 1384.201716 | 2 | 3 |
| Indian | (28.05,28.1] | 4 | cstar_tref ~ temp + aou + nitrate + phosphate_star | 459 | 1.2082915 | 1488.2779 | 616.670060 | 3.127860 | 1982-1999 –> 2000-2009 | 2.1214876 | 0.9131961 | 3248.1021 | 925.821058 | 3 | 5 |
| Indian | (28.05,28.1] | 4 | cstar_tref ~ temp + nitrate + phosphate + phosphate_star | 459 | 1.2116953 | 1490.8604 | 691.122825 | 3.070700 | 1982-1999 –> 2000-2009 | 2.1366763 | 0.9249810 | 3267.5591 | 1033.301936 | 4 | 7 |
| Indian | (28.05,28.1] | 3 | cstar_tref ~ temp + aou + nitrate | 459 | 1.2182634 | 1493.8230 | 559.596169 | 3.144087 | 1982-1999 –> 2000-2009 | 2.1650973 | 0.9468338 | 3299.2509 | 834.380903 | 5 | 13 |
| Indian | (28.05,28.1] | 4 | cstar_tref ~ sal + temp + nitrate + phosphate | 459 | 1.2618837 | 1528.1175 | 465.511018 | 4.487294 | 1982-1999 –> 2000-2009 | 2.3214801 | 1.0595964 | 3483.6214 | 829.345449 | 6 | 21 |
| Indian | (28.05,28.1] | 5 | cstar_tref ~ sal + temp + silicate + phosphate + phosphate_star | 459 | 1.4800508 | 1676.5117 | 303.870735 | 4.480460 | 1982-1999 –> 2000-2009 | 2.4186111 | 0.9385604 | 3474.3898 | 624.001475 | 15 | 20 |
| Indian | (28.05,28.1] | 5 | cstar_tref ~ sal + temp + aou + silicate + phosphate_star | 459 | 1.4866819 | 1680.6155 | 261.480440 | 4.581183 | 1982-1999 –> 2000-2009 | 2.4203658 | 0.9336840 | 3471.6382 | 579.678914 | 17 | 21 |
| Indian | (28.05,28.1] | 5 | cstar_tref ~ sal + temp + nitrate + silicate + phosphate_star | 459 | 1.3748272 | 1608.8107 | 255.566048 | 4.891715 | 1982-1999 –> 2000-2009 | 2.4203830 | 1.0455558 | 3548.7598 | 604.282180 | 8 | 20 |
| Indian | (28.05,28.1] | 4 | cstar_tref ~ sal + nitrate + silicate + phosphate_star | 459 | 1.3811091 | 1610.9957 | 77.806184 | 4.902802 | 1982-1999 –> 2000-2009 | 2.4388570 | 1.0577479 | 3564.2017 | 292.847784 | 9 | 23 |
| Indian | (28.05,28.1] | 3 | cstar_tref ~ temp + aou + nitrate | 285 | 1.2496092 | 945.8085 | 935.127917 | 3.549527 | 2000-2009 –> 2010-2019 | 2.4678726 | 1.2182634 | 2439.6316 | 1494.724087 | 1 | 2 |
| Indian | (28.05,28.1] | 4 | cstar_tref ~ sal + temp + nitrate + phosphate | 285 | 1.3018094 | 971.1354 | 981.139877 | 3.782116 | 2000-2009 –> 2010-2019 | 2.5636931 | 1.2618837 | 2499.2529 | 1446.650895 | 7 | 9 |
| Indian | (28.05,28.1] | 5 | cstar_tref ~ sal + temp + nitrate + silicate + phosphate_star | 285 | 1.3024468 | 973.4144 | 309.044337 | 3.508024 | 2000-2009 –> 2010-2019 | 2.6772741 | 1.3748272 | 2582.2252 | 564.610385 | 8 | 11 |
| Indian | (28.05,28.1] | 4 | cstar_tref ~ sal + nitrate + silicate + phosphate_star | 285 | 1.3212275 | 979.5749 | 254.361803 | 3.499073 | 2000-2009 –> 2010-2019 | 2.7023367 | 1.3811091 | 2590.5706 | 332.167987 | 11 | 15 |
| Indian | (28.05,28.1] | 5 | cstar_tref ~ sal + temp + silicate + phosphate + phosphate_star | 285 | 1.2573922 | 953.3477 | 314.405210 | 3.542225 | 2000-2009 –> 2010-2019 | 2.7374429 | 1.4800508 | 2629.8594 | 618.275945 | 3 | 12 |
| Indian | (28.05,28.1] | 5 | cstar_tref ~ sal + temp + aou + silicate + phosphate_star | 285 | 1.2549937 | 952.2594 | 310.846482 | 3.522236 | 2000-2009 –> 2010-2019 | 2.7416756 | 1.4866819 | 2632.8749 | 572.326922 | 2 | 13 |
| Indian | (28.05,28.1] | 4 | cstar_tref ~ sal + aou + silicate + phosphate_star | 285 | 1.2828287 | 962.7635 | 254.410994 | 3.551941 | 2000-2009 –> 2010-2019 | 2.7702034 | 1.4873746 | 2641.8066 | 377.028855 | 5 | 17 |
| Indian | (28.05,28.1] | 4 | cstar_tref ~ sal + silicate + phosphate + phosphate_star | 285 | 1.2924594 | 967.0267 | 280.047164 | 3.554083 | 2000-2009 –> 2010-2019 | 2.7725228 | 1.4800634 | 2641.5462 | 408.845171 | 6 | 16 |
| Indian | (28.05,28.1] | 4 | cstar_tref ~ sal + temp + silicate + phosphate | 285 | 1.2825755 | 962.6510 | 237.936177 | 3.352630 | 2000-2009 –> 2010-2019 | 2.7964331 | 1.5138575 | 2657.8954 | 362.949778 | 4 | 20 |
| Indian | (28.05,28.1] | 4 | cstar_tref ~ sal + temp + nitrate + silicate | 285 | 1.3441875 | 989.3951 | 190.454989 | 3.435633 | 2000-2009 –> 2010-2019 | 2.8024406 | 1.4582532 | 2650.2863 | 261.284452 | 13 | 20 |
| Indian | (28.1,28.2] | 5 | cstar_tref ~ sal + temp + aou + nitrate + silicate | 1330 | 0.8757275 | 3435.3935 | 488.427536 | 3.020910 | 1982-1999 –> 2000-2009 | 1.4832602 | 0.6075328 | 6634.6328 | 850.342886 | 1 | 3 |
| Indian | (28.1,28.2] | 5 | cstar_tref ~ temp + aou + nitrate + silicate + phosphate | 1330 | 0.8901181 | 3478.7496 | 837.950427 | 2.941829 | 1982-1999 –> 2000-2009 | 1.4951639 | 0.6050457 | 6663.7956 | 1396.366237 | 2 | 3 |
| Indian | (28.1,28.2] | 5 | cstar_tref ~ sal + temp + aou + nitrate + phosphate_star | 1330 | 0.8945555 | 3491.9772 | 596.025406 | 2.978757 | 1982-1999 –> 2000-2009 | 1.5165469 | 0.6219914 | 6772.5960 | 1013.515124 | 4 | 9 |
| Indian | (28.1,28.2] | 5 | cstar_tref ~ sal + temp + aou + nitrate + phosphate | 1330 | 0.8952215 | 3493.9568 | 465.344204 | 2.968952 | 1982-1999 –> 2000-2009 | 1.5166541 | 0.6214326 | 6771.4659 | 1000.285873 | 5 | 9 |
| Indian | (28.1,28.2] | 5 | cstar_tref ~ sal + temp + nitrate + phosphate + phosphate_star | 1330 | 0.8907418 | 3480.6126 | 572.592010 | 2.994925 | 1982-1999 –> 2000-2009 | 1.5229231 | 0.6321814 | 6817.4567 | 1052.995195 | 3 | 10 |
| Indian | (28.1,28.2] | 4 | cstar_tref ~ sal + temp + aou + nitrate | 1330 | 0.9062011 | 3524.3824 | 455.473344 | 2.752331 | 1982-1999 –> 2000-2009 | 1.5295582 | 0.6233570 | 6810.5898 | 816.264628 | 6 | 12 |
| Indian | (28.1,28.2] | 4 | cstar_tref ~ temp + aou + nitrate + silicate | 1330 | 0.9334794 | 3603.2716 | 303.356581 | 3.387285 | 1982-1999 –> 2000-2009 | 1.5413163 | 0.6078369 | 6802.2424 | 582.378561 | 7 | 10 |
| Indian | (28.1,28.2] | 4 | cstar_tref ~ temp + aou + nitrate + phosphate | 1330 | 0.9841268 | 3743.8151 | 286.517263 | 3.395664 | 1982-1999 –> 2000-2009 | 1.6351159 | 0.6509891 | 7180.0945 | 775.624874 | 8 | 16 |
| Indian | (28.1,28.2] | 4 | cstar_tref ~ temp + aou + nitrate + phosphate_star | 1330 | 0.9845340 | 3744.9156 | 393.438624 | 3.393553 | 1982-1999 –> 2000-2009 | 1.6359649 | 0.6514309 | 7183.5422 | 678.496829 | 9 | 18 |
| Indian | (28.1,28.2] | 3 | cstar_tref ~ temp + aou + nitrate | 1330 | 0.9896013 | 3756.5710 | 210.921384 | 3.224997 | 1982-1999 –> 2000-2009 | 1.6412034 | 0.6516021 | 7194.1071 | 411.569766 | 11 | 21 |
| Indian | (28.1,28.2] | 5 | cstar_tref ~ temp + aou + nitrate + silicate + phosphate | 851 | 0.8125446 | 2075.7245 | 801.269149 | 3.118060 | 2000-2009 –> 2010-2019 | 1.7026627 | 0.8901181 | 5554.4741 | 1639.219576 | 1 | 3 |
| Indian | (28.1,28.2] | 5 | cstar_tref ~ sal + temp + aou + nitrate + phosphate_star | 851 | 0.8244386 | 2100.4579 | 974.223948 | 3.378850 | 2000-2009 –> 2010-2019 | 1.7189941 | 0.8945555 | 5592.4350 | 1570.249354 | 2 | 6 |
| Indian | (28.1,28.2] | 5 | cstar_tref ~ sal + temp + aou + nitrate + phosphate | 851 | 0.8265285 | 2104.7668 | 882.933656 | 3.383296 | 2000-2009 –> 2010-2019 | 1.7217500 | 0.8952215 | 5598.7236 | 1348.277860 | 3 | 8 |
| Indian | (28.1,28.2] | 5 | cstar_tref ~ sal + temp + nitrate + phosphate + phosphate_star | 851 | 0.8340018 | 2120.0868 | 956.921196 | 3.419238 | 2000-2009 –> 2010-2019 | 1.7247436 | 0.8907418 | 5600.6994 | 1529.513205 | 4 | 7 |
| Indian | (28.1,28.2] | 5 | cstar_tref ~ sal + temp + aou + nitrate + silicate | 851 | 0.8491693 | 2150.7619 | 784.202561 | 3.390432 | 2000-2009 –> 2010-2019 | 1.7248967 | 0.8757275 | 5586.1555 | 1272.630097 | 5 | 6 |
| Indian | (28.1,28.2] | 4 | cstar_tref ~ sal + temp + aou + nitrate | 851 | 0.8495637 | 2149.5524 | 782.433199 | 3.386287 | 2000-2009 –> 2010-2019 | 1.7557649 | 0.9062011 | 5673.9348 | 1237.906543 | 6 | 12 |
| Indian | (28.1,28.2] | 4 | cstar_tref ~ temp + aou + nitrate + silicate | 851 | 0.9460058 | 2332.5611 | 587.751321 | 4.317853 | 2000-2009 –> 2010-2019 | 1.8794851 | 0.9334794 | 5935.8327 | 891.107902 | 9 | 16 |
| Indian | (28.1,28.2] | 4 | cstar_tref ~ temp + aou + nitrate + phosphate_star | 851 | 0.9987581 | 2424.9184 | 638.071082 | 3.192005 | 2000-2009 –> 2010-2019 | 1.9832922 | 0.9845340 | 6169.8340 | 1031.509706 | 11 | 20 |
| Indian | (28.1,28.2] | 4 | cstar_tref ~ temp + aou + nitrate + phosphate | 851 | 1.0036115 | 2433.1692 | 561.205819 | 3.136246 | 2000-2009 –> 2010-2019 | 1.9877384 | 0.9841268 | 6176.9843 | 847.723082 | 13 | 21 |
| Indian | (28.1,28.2] | 4 | cstar_tref ~ temp + nitrate + phosphate + phosphate_star | 851 | 1.0084489 | 2441.3530 | 602.296034 | 3.130494 | 2000-2009 –> 2010-2019 | 1.9957609 | 0.9873120 | 6193.7635 | 966.744409 | 14 | 24 |
| Indian | (28.2,28.3] | 5 | cstar_tref ~ sal + temp + aou + nitrate + silicate | 2292 | 0.4537308 | 2895.9025 | 189.815402 | 1.679184 | 1982-1999 –> 2000-2009 | 0.8292817 | 0.3755509 | 6050.2424 | 303.381679 | 9 | 10 |
| Indian | (28.2,28.3] | 5 | cstar_tref ~ sal + temp + nitrate + phosphate + phosphate_star | 2292 | 0.4508265 | 2866.4663 | 402.715463 | 1.640938 | 1982-1999 –> 2000-2009 | 0.8301993 | 0.3793728 | 6093.1418 | 606.797185 | 6 | 8 |
| Indian | (28.2,28.3] | 5 | cstar_tref ~ sal + temp + aou + nitrate + phosphate_star | 2292 | 0.4527103 | 2885.5815 | 451.009690 | 1.636624 | 1982-1999 –> 2000-2009 | 0.8327535 | 0.3800432 | 6124.8696 | 608.184146 | 7 | 11 |
| Indian | (28.2,28.3] | 5 | cstar_tref ~ sal + temp + aou + nitrate + phosphate | 2292 | 0.4532295 | 2890.8353 | 257.081851 | 1.640959 | 1982-1999 –> 2000-2009 | 0.8332023 | 0.3799728 | 6128.7997 | 437.829712 | 8 | 11 |
| Indian | (28.2,28.3] | 4 | cstar_tref ~ sal + temp + aou + nitrate | 2292 | 0.4557036 | 2913.7905 | 163.433359 | 1.684228 | 1982-1999 –> 2000-2009 | 0.8376408 | 0.3819372 | 6186.5935 | 273.425897 | 11 | 16 |
| Indian | (28.2,28.3] | 5 | cstar_tref ~ temp + aou + nitrate + silicate + phosphate | 2292 | 0.4584771 | 2943.6053 | 434.254442 | 1.755953 | 1982-1999 –> 2000-2009 | 0.8420585 | 0.3835814 | 6249.0972 | 769.426996 | 13 | 20 |
| Indian | (28.2,28.3] | 5 | cstar_tref ~ temp + aou + nitrate + silicate + phosphate_star | 2292 | 0.4585220 | 2944.0542 | 766.924335 | 1.776982 | 1982-1999 –> 2000-2009 | 0.8420630 | 0.3835410 | 6248.7938 | 950.464560 | 14 | 20 |
| Indian | (28.2,28.3] | 5 | cstar_tref ~ temp + nitrate + silicate + phosphate + phosphate_star | 2292 | 0.4585391 | 2944.2247 | 738.713634 | 1.784443 | 1982-1999 –> 2000-2009 | 0.8424885 | 0.3839495 | 6256.5680 | 981.441435 | 15 | 23 |
| Indian | (28.2,28.3] | 4 | cstar_tref ~ temp + aou + nitrate + phosphate_star | 2292 | 0.4600643 | 2957.4471 | 321.690638 | 1.674159 | 1982-1999 –> 2000-2009 | 0.8449966 | 0.3849323 | 6286.0538 | 461.662989 | 18 | 27 |
| Indian | (28.2,28.3] | 4 | cstar_tref ~ temp + aou + nitrate + phosphate | 2292 | 0.4603426 | 2960.2189 | 186.493464 | 1.681526 | 1982-1999 –> 2000-2009 | 0.8453250 | 0.3849825 | 6289.7570 | 330.672085 | 19 | 30 |
| Indian | (28.2,28.3] | 5 | cstar_tref ~ sal + temp + nitrate + silicate + phosphate_star | 1813 | 0.4715328 | 2433.1657 | 162.895809 | 2.730952 | 2000-2009 –> 2010-2019 | 0.8877407 | 0.4162079 | 4933.3809 | 216.197595 | 15 | 19 |
| Indian | (28.2,28.3] | 5 | cstar_tref ~ sal + temp + nitrate + phosphate + phosphate_star | 1813 | 0.4528835 | 2286.8431 | 303.978757 | 2.434807 | 2000-2009 –> 2010-2019 | 0.9037100 | 0.4508265 | 5153.3094 | 706.694220 | 3 | 8 |
| Indian | (28.2,28.3] | 5 | cstar_tref ~ sal + temp + aou + nitrate + silicate | 1813 | 0.4511701 | 2273.0985 | 202.188303 | 2.689485 | 2000-2009 –> 2010-2019 | 0.9049009 | 0.4537308 | 5169.0009 | 392.003705 | 2 | 10 |
| Indian | (28.2,28.3] | 5 | cstar_tref ~ sal + temp + aou + nitrate + phosphate | 1813 | 0.4532759 | 2289.9833 | 273.178412 | 2.423341 | 2000-2009 –> 2010-2019 | 0.9065054 | 0.4532295 | 5180.8186 | 530.260264 | 4 | 11 |
| Indian | (28.2,28.3] | 5 | cstar_tref ~ sal + temp + aou + nitrate + phosphate_star | 1813 | 0.4551939 | 2305.2941 | 280.343733 | 2.427451 | 2000-2009 –> 2010-2019 | 0.9079043 | 0.4527103 | 5190.8756 | 731.353423 | 5 | 11 |
| Indian | (28.2,28.3] | 5 | cstar_tref ~ sal + nitrate + silicate + phosphate + phosphate_star | 1813 | 0.4554297 | 2307.1714 | 631.301207 | 2.291307 | 2000-2009 –> 2010-2019 | 0.9129907 | 0.4575611 | 5241.6084 | 1225.445864 | 6 | 17 |
| Indian | (28.2,28.3] | 5 | cstar_tref ~ sal + temp + aou + silicate + phosphate_star | 1813 | 0.5185025 | 2777.4763 | 213.621375 | 2.995256 | 2000-2009 –> 2010-2019 | 0.9307586 | 0.4122561 | 5233.9600 | 265.129986 | 26 | 27 |
| Indian | (28.2,28.3] | 5 | cstar_tref ~ sal + temp + silicate + phosphate + phosphate_star | 1813 | 0.5188963 | 2780.2291 | 214.748641 | 2.993367 | 2000-2009 –> 2010-2019 | 0.9315856 | 0.4126893 | 5241.5274 | 271.348897 | 28 | 30 |
| Indian | (28.2,28.3] | 5 | cstar_tref ~ sal + temp + nitrate + silicate + phosphate | 1813 | 0.4556097 | 2308.6045 | 612.261315 | 2.260642 | 2000-2009 –> 2010-2019 | 0.9319105 | 0.4763008 | 5427.0398 | 1262.524982 | 7 | 34 |
| Indian | (28.2,28.3] | 5 | cstar_tref ~ sal + temp + aou + silicate + phosphate | 1813 | 0.5193699 | 2783.5371 | 466.475004 | 2.984987 | 2000-2009 –> 2010-2019 | 0.9329786 | 0.4136087 | 5255.0364 | 621.387340 | 29 | 32 |
| Indian | (28.3, Inf] | 5 | cstar_tref ~ temp + aou + nitrate + silicate + phosphate_star | 2556 | 0.5728544 | 4419.5978 | 850.541186 | 2.138130 | 1982-1999 –> 2000-2009 | 0.9411983 | 0.3683439 | 6693.4346 | 1464.978957 | 1 | 4 |
| Indian | (28.3, Inf] | 5 | cstar_tref ~ temp + nitrate + silicate + phosphate + phosphate_star | 2556 | 0.5825424 | 4505.3273 | 532.936424 | 2.139089 | 1982-1999 –> 2000-2009 | 0.9544206 | 0.3718783 | 6830.5217 | 972.857497 | 2 | 7 |
| Indian | (28.3, Inf] | 5 | cstar_tref ~ temp + aou + nitrate + silicate + phosphate | 2556 | 0.5846711 | 4523.9737 | 382.206739 | 2.122855 | 1982-1999 –> 2000-2009 | 0.9548153 | 0.3701442 | 6824.0326 | 677.735675 | 3 | 7 |
| Indian | (28.3, Inf] | 5 | cstar_tref ~ aou + nitrate + silicate + phosphate + phosphate_star | 2556 | 0.5993649 | 4650.8595 | 741.466472 | 2.122542 | 1982-1999 –> 2000-2009 | 0.9719872 | 0.3726223 | 6986.8033 | 1610.307367 | 10 | 16 |
| Indian | (28.3, Inf] | 5 | cstar_tref ~ sal + temp + aou + silicate + phosphate_star | 2556 | 0.5923418 | 4590.6049 | 112.945187 | 2.142015 | 1982-1999 –> 2000-2009 | 0.9875047 | 0.3951630 | 7242.4146 | 237.149991 | 4 | 14 |
| Indian | (28.3, Inf] | 5 | cstar_tref ~ sal + temp + silicate + phosphate + phosphate_star | 2556 | 0.5950605 | 4614.0146 | 82.952715 | 2.117797 | 1982-1999 –> 2000-2009 | 0.9907064 | 0.3956458 | 7272.3919 | 167.260365 | 5 | 16 |
| Indian | (28.3, Inf] | 5 | cstar_tref ~ sal + temp + aou + silicate + phosphate | 2556 | 0.5994289 | 4651.4048 | 98.400622 | 2.105656 | 1982-1999 –> 2000-2009 | 0.9932394 | 0.3938106 | 7284.7771 | 202.091723 | 11 | 20 |
| Indian | (28.3, Inf] | 4 | cstar_tref ~ temp + aou + silicate + phosphate_star | 2556 | 0.5952266 | 4613.4408 | 87.076948 | 2.161903 | 1982-1999 –> 2000-2009 | 0.9967444 | 0.4015179 | 7349.0500 | 179.578974 | 6 | 23 |
| Indian | (28.3, Inf] | 4 | cstar_tref ~ temp + silicate + phosphate + phosphate_star | 2556 | 0.5977451 | 4635.0253 | 49.694460 | 2.135869 | 1982-1999 –> 2000-2009 | 0.9998639 | 0.4021188 | 7378.6766 | 125.177319 | 8 | 27 |
| Indian | (28.3, Inf] | 4 | cstar_tref ~ temp + aou + silicate + phosphate | 2556 | 0.6017275 | 4668.9703 | 75.550266 | 2.121061 | 1982-1999 –> 2000-2009 | 1.0025223 | 0.4007949 | 7394.8864 | 152.871166 | 12 | 28 |
| Indian | (28.3, Inf] | 5 | cstar_tref ~ temp + aou + nitrate + silicate + phosphate_star | 1764 | 0.5878907 | 3145.8913 | 791.254701 | 3.842007 | 2000-2009 –> 2010-2019 | 1.1607451 | 0.5728544 | 7565.4891 | 1641.795887 | 2 | 3 |
| Indian | (28.3, Inf] | 5 | cstar_tref ~ temp + nitrate + silicate + phosphate + phosphate_star | 1764 | 0.5880412 | 3146.7946 | 497.173748 | 3.836876 | 2000-2009 –> 2010-2019 | 1.1705836 | 0.5825424 | 7652.1219 | 1030.110172 | 3 | 5 |
| Indian | (28.3, Inf] | 5 | cstar_tref ~ temp + aou + nitrate + silicate + phosphate | 1764 | 0.5883353 | 3148.5583 | 332.322835 | 3.841040 | 2000-2009 –> 2010-2019 | 1.1730064 | 0.5846711 | 7672.5320 | 714.529574 | 5 | 8 |
| Indian | (28.3, Inf] | 5 | cstar_tref ~ sal + temp + aou + silicate + phosphate_star | 1764 | 0.5887771 | 3151.2065 | 97.519808 | 3.864636 | 2000-2009 –> 2010-2019 | 1.1811188 | 0.5923418 | 7741.8114 | 210.464995 | 6 | 10 |
| Indian | (28.3, Inf] | 4 | cstar_tref ~ temp + aou + silicate + phosphate_star | 1764 | 0.5889078 | 3149.9898 | 51.796546 | 3.869839 | 2000-2009 –> 2010-2019 | 1.1841344 | 0.5952266 | 7763.4306 | 138.873494 | 7 | 13 |
| Indian | (28.3, Inf] | 5 | cstar_tref ~ sal + temp + silicate + phosphate + phosphate_star | 1764 | 0.5892029 | 3153.7574 | 72.486572 | 3.861865 | 2000-2009 –> 2010-2019 | 1.1842634 | 0.5950605 | 7767.7720 | 155.439288 | 8 | 13 |
| Indian | (28.3, Inf] | 5 | cstar_tref ~ sal + temp + nitrate + silicate + phosphate | 1764 | 0.5909742 | 3164.3473 | 275.095183 | 3.922013 | 2000-2009 –> 2010-2019 | 1.1864261 | 0.5954519 | 7781.7228 | 623.115254 | 14 | 21 |
| Indian | (28.3, Inf] | 4 | cstar_tref ~ temp + silicate + phosphate + phosphate_star | 1764 | 0.5893386 | 3152.5696 | 43.722818 | 3.867065 | 2000-2009 –> 2010-2019 | 1.1870837 | 0.5977451 | 7787.5949 | 93.417278 | 10 | 18 |
| Indian | (28.3, Inf] | 5 | cstar_tref ~ sal + temp + aou + silicate + phosphate | 1764 | 0.5893295 | 3154.5149 | 88.369789 | 3.863454 | 2000-2009 –> 2010-2019 | 1.1887583 | 0.5994289 | 7805.9197 | 186.770412 | 9 | 20 |
| Indian | (28.3, Inf] | 5 | cstar_tref ~ aou + nitrate + silicate + phosphate + phosphate_star | 1764 | 0.5914331 | 3167.0859 | 677.748710 | 3.844272 | 2000-2009 –> 2010-2019 | 1.1907980 | 0.5993649 | 7817.9454 | 1419.215182 | 16 | 26 |
| Pacific | (-Inf,26] | 5 | cstar_tref ~ sal + temp + aou + nitrate + silicate | 2234 | 4.6128231 | 13184.6747 | 25.996049 | 21.141924 | 1982-1999 –> 2000-2009 | 8.8554491 | 4.2426261 | 18090.5933 | 49.303750 | 1 | 2 |
| Pacific | (-Inf,26] | 5 | cstar_tref ~ sal + temp + aou + nitrate + phosphate | 2234 | 4.9898737 | 13535.7279 | 32.298750 | 25.087142 | 1982-1999 –> 2000-2009 | 9.3299142 | 4.3400406 | 18480.4202 | 65.781854 | 2 | 5 |
| Pacific | (-Inf,26] | 5 | cstar_tref ~ sal + temp + aou + nitrate + phosphate_star | 2234 | 4.9946150 | 13539.9713 | 29.603058 | 25.219325 | 1982-1999 –> 2000-2009 | 9.3470667 | 4.3524517 | 18489.5411 | 57.648363 | 3 | 7 |
| Pacific | (-Inf,26] | 5 | cstar_tref ~ sal + temp + nitrate + phosphate + phosphate_star | 2234 | 5.0732141 | 13609.7357 | 38.461515 | 25.168984 | 1982-1999 –> 2000-2009 | 9.3507192 | 4.2775051 | 18529.6386 | 75.578460 | 5 | 7 |
| Pacific | (-Inf,26] | 4 | cstar_tref ~ sal + temp + aou + nitrate | 2234 | 5.0172333 | 13558.1592 | 18.828173 | 26.556805 | 1982-1999 –> 2000-2009 | 9.3840403 | 4.3668070 | 18511.3530 | 34.316477 | 4 | 9 |
| Pacific | (-Inf,26] | 5 | cstar_tref ~ sal + aou + nitrate + phosphate + phosphate_star | 2234 | 5.1925544 | 13713.6220 | 120.579817 | 26.149628 | 1982-1999 –> 2000-2009 | 10.4719143 | 5.2793599 | 18992.9478 | 268.926719 | 6 | 13 |
| Pacific | (-Inf,26] | 5 | cstar_tref ~ temp + nitrate + silicate + phosphate + phosphate_star | 2234 | 5.5523949 | 14012.9941 | 38.091564 | 23.131077 | 1982-1999 –> 2000-2009 | 10.6818686 | 5.1294737 | 19243.1263 | 75.156038 | 7 | 13 |
| Pacific | (-Inf,26] | 5 | cstar_tref ~ temp + aou + nitrate + silicate + phosphate | 2234 | 5.8112776 | 14216.6057 | 33.729050 | 24.301537 | 1982-1999 –> 2000-2009 | 11.2469393 | 5.4356618 | 19545.7648 | 69.448660 | 9 | 17 |
| Pacific | (-Inf,26] | 5 | cstar_tref ~ temp + aou + nitrate + silicate + phosphate_star | 2234 | 5.8776242 | 14267.3274 | 30.940449 | 24.460684 | 1982-1999 –> 2000-2009 | 11.4183100 | 5.5406858 | 19629.1724 | 63.179859 | 11 | 20 |
| Pacific | (-Inf,26] | 4 | cstar_tref ~ temp + aou + nitrate + silicate | 2234 | 5.9272393 | 14302.8850 | 23.301337 | 25.273283 | 1982-1999 –> 2000-2009 | 11.5376074 | 5.6103681 | 19684.0767 | 42.563072 | 13 | 23 |
| Pacific | (-Inf,26] | 5 | cstar_tref ~ sal + temp + aou + nitrate + silicate | 3493 | 4.3124876 | 20136.8477 | 31.386225 | 53.769311 | 2000-2009 –> 2010-2019 | 8.9253107 | 4.6128231 | 33321.5224 | 57.382273 | 1 | 2 |
| Pacific | (-Inf,26] | 5 | cstar_tref ~ sal + temp + aou + nitrate + phosphate | 3493 | 4.5061661 | 20443.7553 | 35.277714 | 52.110294 | 2000-2009 –> 2010-2019 | 9.4960398 | 4.9898737 | 33979.4832 | 67.576465 | 2 | 4 |
| Pacific | (-Inf,26] | 5 | cstar_tref ~ sal + temp + aou + nitrate + phosphate_star | 3493 | 4.5114711 | 20451.9749 | 31.166538 | 53.210768 | 2000-2009 –> 2010-2019 | 9.5060861 | 4.9946150 | 33991.9462 | 60.769595 | 3 | 6 |
| Pacific | (-Inf,26] | 4 | cstar_tref ~ sal + temp + aou + nitrate | 3493 | 4.5518428 | 20512.2122 | 24.105350 | 58.851064 | 2000-2009 –> 2010-2019 | 9.5690761 | 5.0172333 | 34070.3714 | 42.933523 | 4 | 8 |
| Pacific | (-Inf,26] | 5 | cstar_tref ~ sal + temp + nitrate + phosphate + phosphate_star | 3493 | 4.5854075 | 20565.5372 | 41.211949 | 57.139243 | 2000-2009 –> 2010-2019 | 9.6586216 | 5.0732141 | 34175.2729 | 79.673464 | 5 | 10 |
| Pacific | (-Inf,26] | 5 | cstar_tref ~ sal + aou + nitrate + phosphate + phosphate_star | 3493 | 4.6485083 | 20661.0175 | 179.743725 | 55.364400 | 2000-2009 –> 2010-2019 | 9.8410627 | 5.1925544 | 34374.6395 | 300.323542 | 6 | 12 |
| Pacific | (-Inf,26] | 5 | cstar_tref ~ temp + nitrate + silicate + phosphate + phosphate_star | 3493 | 4.8957365 | 21023.0206 | 43.061028 | 54.684698 | 2000-2009 –> 2010-2019 | 10.4481314 | 5.5523949 | 35036.0146 | 81.152592 | 7 | 14 |
| Pacific | (-Inf,26] | 5 | cstar_tref ~ sal + aou + silicate + phosphate + phosphate_star | 3493 | 5.1247073 | 21342.3414 | 183.610607 | 33.277956 | 2000-2009 –> 2010-2019 | 10.7940617 | 5.6693544 | 35448.4751 | 319.808021 | 11 | 19 |
| Pacific | (-Inf,26] | 5 | cstar_tref ~ temp + aou + nitrate + silicate + phosphate | 3493 | 5.0134094 | 21188.9484 | 37.408079 | 48.631336 | 2000-2009 –> 2010-2019 | 10.8246870 | 5.8112776 | 35405.5542 | 71.137129 | 8 | 17 |
| Pacific | (-Inf,26] | 5 | cstar_tref ~ temp + aou + nitrate + silicate + phosphate_star | 3493 | 5.0178445 | 21195.1258 | 29.540591 | 46.780673 | 2000-2009 –> 2010-2019 | 10.8954687 | 5.8776242 | 35462.4531 | 60.481040 | 9 | 20 |
| Pacific | (26,26.5] | 5 | cstar_tref ~ temp + aou + nitrate + silicate + phosphate_star | 2062 | 3.1698863 | 10623.5437 | 27.513638 | 13.922090 | 1982-1999 –> 2000-2009 | 6.1655165 | 2.9956302 | 16857.3259 | 46.015471 | 2 | 4 |
| Pacific | (26,26.5] | 5 | cstar_tref ~ temp + nitrate + silicate + phosphate + phosphate_star | 2062 | 3.1519799 | 10600.1816 | 41.557183 | 14.246693 | 1982-1999 –> 2000-2009 | 6.1660499 | 3.0140699 | 16849.1337 | 68.103384 | 1 | 4 |
| Pacific | (26,26.5] | 5 | cstar_tref ~ temp + aou + nitrate + silicate + phosphate | 2062 | 3.2365013 | 10709.3113 | 80.749022 | 13.109954 | 1982-1999 –> 2000-2009 | 6.2174810 | 2.9809797 | 16930.9743 | 168.553702 | 5 | 6 |
| Pacific | (26,26.5] | 5 | cstar_tref ~ sal + temp + aou + silicate + phosphate | 2062 | 3.2406867 | 10714.6409 | 88.181366 | 15.784526 | 1982-1999 –> 2000-2009 | 6.2709411 | 3.0302543 | 16976.8313 | 178.238056 | 6 | 10 |
| Pacific | (26,26.5] | 5 | cstar_tref ~ sal + temp + aou + silicate + phosphate_star | 2062 | 3.2258414 | 10695.7058 | 45.553536 | 16.450106 | 1982-1999 –> 2000-2009 | 6.2952202 | 3.0693788 | 16989.6085 | 76.096880 | 3 | 10 |
| Pacific | (26,26.5] | 5 | cstar_tref ~ sal + temp + silicate + phosphate + phosphate_star | 2062 | 3.2302217 | 10701.3019 | 47.919205 | 16.623965 | 1982-1999 –> 2000-2009 | 6.3212384 | 3.0910167 | 17012.5701 | 78.885761 | 4 | 12 |
| Pacific | (26,26.5] | 4 | cstar_tref ~ temp + aou + silicate + phosphate_star | 2062 | 3.3384574 | 10835.2209 | 26.045461 | 15.431779 | 1982-1999 –> 2000-2009 | 6.4533371 | 3.1148798 | 17163.5001 | 43.725192 | 8 | 18 |
| Pacific | (26,26.5] | 4 | cstar_tref ~ temp + silicate + phosphate + phosphate_star | 2062 | 3.3305266 | 10825.4124 | 33.897158 | 15.701026 | 1982-1999 –> 2000-2009 | 6.4604965 | 3.1299698 | 17165.6383 | 55.140264 | 7 | 18 |
| Pacific | (26,26.5] | 4 | cstar_tref ~ temp + aou + silicate + phosphate | 2062 | 3.3813330 | 10887.8480 | 77.217665 | 14.626238 | 1982-1999 –> 2000-2009 | 6.4777610 | 3.0964280 | 17201.4401 | 161.537577 | 9 | 18 |
| Pacific | (26,26.5] | 5 | cstar_tref ~ sal + aou + silicate + phosphate + phosphate_star | 2062 | 3.5261164 | 11062.7554 | 754.658442 | 12.758974 | 1982-1999 –> 2000-2009 | 6.5598887 | 3.0337723 | 17327.8139 | 1622.263699 | 10 | 15 |
| Pacific | (26,26.5] | 5 | cstar_tref ~ temp + nitrate + silicate + phosphate + phosphate_star | 2575 | 3.1252022 | 13189.9532 | 26.443269 | 17.371721 | 2000-2009 –> 2010-2019 | 6.2771821 | 3.1519799 | 23790.1348 | 68.000452 | 4 | 5 |
| Pacific | (26,26.5] | 5 | cstar_tref ~ sal + temp + aou + silicate + phosphate_star | 2575 | 3.0717563 | 13101.1184 | 27.954960 | 19.054665 | 2000-2009 –> 2010-2019 | 6.2975977 | 3.2258414 | 23796.8242 | 73.508497 | 1 | 4 |
| Pacific | (26,26.5] | 5 | cstar_tref ~ temp + aou + nitrate + silicate + phosphate_star | 2575 | 3.1372913 | 13209.8364 | 21.945302 | 16.938462 | 2000-2009 –> 2010-2019 | 6.3071776 | 3.1698863 | 23833.3801 | 49.458940 | 5 | 7 |
| Pacific | (26,26.5] | 5 | cstar_tref ~ sal + temp + silicate + phosphate + phosphate_star | 2575 | 3.0809850 | 13116.5676 | 28.922862 | 19.334646 | 2000-2009 –> 2010-2019 | 6.3112067 | 3.2302217 | 23817.8694 | 76.842067 | 3 | 7 |
| Pacific | (26,26.5] | 5 | cstar_tref ~ sal + temp + aou + silicate + phosphate | 2575 | 3.0785967 | 13112.5738 | 97.466394 | 17.875477 | 2000-2009 –> 2010-2019 | 6.3192834 | 3.2406867 | 23827.2148 | 185.647760 | 2 | 8 |
| Pacific | (26,26.5] | 5 | cstar_tref ~ temp + aou + nitrate + silicate + phosphate | 2575 | 3.1976106 | 13307.9132 | 82.898246 | 19.352356 | 2000-2009 –> 2010-2019 | 6.4341119 | 3.2365013 | 24017.2245 | 163.647268 | 6 | 11 |
| Pacific | (26,26.5] | 4 | cstar_tref ~ temp + silicate + phosphate + phosphate_star | 2575 | 3.2995778 | 13467.5753 | 21.938193 | 18.622743 | 2000-2009 –> 2010-2019 | 6.6301045 | 3.3305266 | 24292.9877 | 55.835351 | 7 | 14 |
| Pacific | (26,26.5] | 4 | cstar_tref ~ temp + aou + silicate + phosphate_star | 2575 | 3.3012503 | 13470.1850 | 17.987348 | 18.288404 | 2000-2009 –> 2010-2019 | 6.6397077 | 3.3384574 | 24305.4060 | 44.032809 | 8 | 16 |
| Pacific | (26,26.5] | 4 | cstar_tref ~ temp + aou + silicate + phosphate | 2575 | 3.3354411 | 13523.2488 | 82.162004 | 17.177906 | 2000-2009 –> 2010-2019 | 6.7167741 | 3.3813330 | 24411.0969 | 159.379669 | 9 | 18 |
| Pacific | (26,26.5] | 5 | cstar_tref ~ sal + aou + silicate + phosphate + phosphate_star | 2575 | 3.4369316 | 13679.6158 | 792.763313 | 32.857336 | 2000-2009 –> 2010-2019 | 6.9630481 | 3.5261164 | 24742.3712 | 1547.421754 | 10 | 20 |
| Pacific | (26.5,26.75] | 5 | cstar_tref ~ aou + nitrate + silicate + phosphate + phosphate_star | 1715 | 2.5048709 | 8030.5128 | 936.327016 | 18.170914 | 1982-1999 –> 2000-2009 | 4.1287575 | 1.6238866 | 12228.9794 | 1762.011108 | 1 | 2 |
| Pacific | (26.5,26.75] | 4 | cstar_tref ~ aou + silicate + phosphate + phosphate_star | 1715 | 2.5478776 | 8086.9034 | 586.159084 | 19.301777 | 1982-1999 –> 2000-2009 | 4.2252645 | 1.6773869 | 12354.6176 | 1139.369139 | 4 | 6 |
| Pacific | (26.5,26.75] | 5 | cstar_tref ~ temp + aou + nitrate + silicate + phosphate | 1715 | 2.5273147 | 8061.1089 | 216.526357 | 14.920265 | 1982-1999 –> 2000-2009 | 4.2416061 | 1.7142915 | 12378.6574 | 402.656642 | 3 | 6 |
| Pacific | (26.5,26.75] | 5 | cstar_tref ~ sal + temp + aou + silicate + phosphate | 1715 | 2.5235058 | 8055.9357 | 157.399305 | 11.713997 | 1982-1999 –> 2000-2009 | 4.2840191 | 1.7605132 | 12431.9632 | 275.480138 | 2 | 6 |
| Pacific | (26.5,26.75] | 4 | cstar_tref ~ temp + aou + silicate + phosphate | 1715 | 2.5827091 | 8133.4765 | 142.728187 | 11.795220 | 1982-1999 –> 2000-2009 | 4.3546281 | 1.7719190 | 12521.6982 | 252.490584 | 6 | 11 |
| Pacific | (26.5,26.75] | 5 | cstar_tref ~ temp + aou + nitrate + silicate + phosphate_star | 1715 | 2.5889566 | 8143.7636 | 44.970952 | 14.855904 | 1982-1999 –> 2000-2009 | 4.3759254 | 1.7869689 | 12552.5752 | 71.808242 | 8 | 14 |
| Pacific | (26.5,26.75] | 5 | cstar_tref ~ sal + temp + aou + silicate + phosphate_star | 1715 | 2.5751286 | 8125.3943 | 70.382013 | 11.794989 | 1982-1999 –> 2000-2009 | 4.4057214 | 1.8305929 | 12587.2197 | 122.522969 | 5 | 13 |
| Pacific | (26.5,26.75] | 5 | cstar_tref ~ temp + nitrate + silicate + phosphate + phosphate_star | 1715 | 2.6060321 | 8166.3120 | 64.621141 | 14.778828 | 1982-1999 –> 2000-2009 | 4.4135044 | 1.8074723 | 12600.1996 | 99.795848 | 9 | 16 |
| Pacific | (26.5,26.75] | 5 | cstar_tref ~ sal + temp + silicate + phosphate + phosphate_star | 1715 | 2.5877738 | 8142.1962 | 74.358795 | 11.811905 | 1982-1999 –> 2000-2009 | 4.4361850 | 1.8484112 | 12625.3127 | 128.723411 | 7 | 17 |
| Pacific | (26.5,26.75] | 4 | cstar_tref ~ temp + aou + silicate + phosphate_star | 1715 | 2.6378700 | 8205.9624 | 29.402398 | 11.820957 | 1982-1999 –> 2000-2009 | 4.4750935 | 1.8372235 | 12673.7348 | 46.867668 | 10 | 19 |
| Pacific | (26.5,26.75] | 5 | cstar_tref ~ sal + temp + aou + silicate + phosphate | 2364 | 2.5988509 | 11238.3095 | 133.647884 | 11.164162 | 2000-2009 –> 2010-2019 | 5.1223567 | 2.5235058 | 19294.2452 | 291.047189 | 1 | 3 |
| Pacific | (26.5,26.75] | 5 | cstar_tref ~ sal + temp + aou + silicate + phosphate_star | 2364 | 2.6441033 | 11319.9270 | 55.566837 | 11.078507 | 2000-2009 –> 2010-2019 | 5.2192318 | 2.5751286 | 19445.3213 | 125.948851 | 2 | 7 |
| Pacific | (26.5,26.75] | 5 | cstar_tref ~ sal + temp + silicate + phosphate + phosphate_star | 2364 | 2.6565762 | 11342.1778 | 57.206009 | 11.055564 | 2000-2009 –> 2010-2019 | 5.2443500 | 2.5877738 | 19484.3740 | 131.564804 | 3 | 10 |
| Pacific | (26.5,26.75] | 5 | cstar_tref ~ temp + aou + nitrate + silicate + phosphate | 2364 | 2.7650444 | 11531.3855 | 135.727454 | 11.735122 | 2000-2009 –> 2010-2019 | 5.2923591 | 2.5273147 | 19592.4944 | 352.253811 | 4 | 7 |
| Pacific | (26.5,26.75] | 5 | cstar_tref ~ aou + nitrate + silicate + phosphate + phosphate_star | 2364 | 2.8180050 | 11621.0874 | 748.789739 | 14.359195 | 2000-2009 –> 2010-2019 | 5.3228759 | 2.5048709 | 19651.6001 | 1685.116755 | 6 | 7 |
| Pacific | (26.5,26.75] | 4 | cstar_tref ~ temp + aou + silicate + phosphate | 2364 | 2.7726504 | 11542.3732 | 117.602833 | 11.003040 | 2000-2009 –> 2010-2019 | 5.3553594 | 2.5827091 | 19675.8497 | 260.331020 | 5 | 11 |
| Pacific | (26.5,26.75] | 4 | cstar_tref ~ aou + silicate + phosphate + phosphate_star | 2364 | 2.8255728 | 11631.7675 | 608.707150 | 14.365981 | 2000-2009 –> 2010-2019 | 5.3734504 | 2.5478776 | 19718.6708 | 1194.866235 | 9 | 13 |
| Pacific | (26.5,26.75] | 5 | cstar_tref ~ temp + aou + nitrate + silicate + phosphate_star | 2364 | 2.8210916 | 11626.2632 | 24.872924 | 11.383894 | 2000-2009 –> 2010-2019 | 5.4100482 | 2.5889566 | 19770.0268 | 69.843876 | 7 | 15 |
| Pacific | (26.5,26.75] | 5 | cstar_tref ~ temp + nitrate + silicate + phosphate + phosphate_star | 2364 | 2.8366039 | 11652.1897 | 34.837119 | 11.258558 | 2000-2009 –> 2010-2019 | 5.4426360 | 2.6060321 | 19818.5017 | 99.458260 | 10 | 19 |
| Pacific | (26.5,26.75] | 4 | cstar_tref ~ temp + aou + silicate + phosphate_star | 2364 | 2.8252026 | 11631.1481 | 21.734839 | 10.848785 | 2000-2009 –> 2010-2019 | 5.4630727 | 2.6378700 | 19837.1105 | 51.137238 | 8 | 18 |
| Pacific | (26.75,27] | 5 | cstar_tref ~ sal + temp + aou + nitrate + phosphate | 2384 | 2.8112213 | 11707.7944 | 206.333322 | 12.565637 | 1982-1999 –> 2000-2009 | 4.7619201 | 1.9506988 | 17357.0352 | 444.028795 | 5 | 6 |
| Pacific | (26.75,27] | 5 | cstar_tref ~ temp + aou + nitrate + silicate + phosphate | 2384 | 2.7027562 | 11520.1881 | 147.360818 | 12.840401 | 1982-1999 –> 2000-2009 | 4.7695864 | 2.0668302 | 17325.5657 | 291.070563 | 1 | 4 |
| Pacific | (26.75,27] | 5 | cstar_tref ~ aou + nitrate + silicate + phosphate + phosphate_star | 2384 | 2.7962745 | 11682.3761 | 710.744818 | 14.738077 | 1982-1999 –> 2000-2009 | 4.8256765 | 2.0294020 | 17438.4113 | 1318.696717 | 4 | 6 |
| Pacific | (26.75,27] | 5 | cstar_tref ~ temp + aou + nitrate + silicate + phosphate_star | 2384 | 2.7477838 | 11598.9680 | 39.063862 | 13.933035 | 1982-1999 –> 2000-2009 | 4.9297997 | 2.1820159 | 17550.7748 | 76.739334 | 2 | 8 |
| Pacific | (26.75,27] | 5 | cstar_tref ~ temp + nitrate + silicate + phosphate + phosphate_star | 2384 | 2.7562182 | 11613.5811 | 56.776418 | 13.990288 | 1982-1999 –> 2000-2009 | 4.9585619 | 2.2023437 | 17590.4249 | 107.973944 | 3 | 11 |
| Pacific | (26.75,27] | 5 | cstar_tref ~ sal + temp + aou + nitrate + phosphate_star | 2384 | 2.9135988 | 11878.3458 | 142.338939 | 13.525533 | 1982-1999 –> 2000-2009 | 5.0721006 | 2.1585018 | 17800.8986 | 310.107607 | 6 | 11 |
| Pacific | (26.75,27] | 5 | cstar_tref ~ sal + temp + nitrate + phosphate + phosphate_star | 2384 | 2.9270624 | 11900.3277 | 163.095379 | 13.514632 | 1982-1999 –> 2000-2009 | 5.1172624 | 2.1902000 | 17862.2425 | 354.727863 | 8 | 15 |
| Pacific | (26.75,27] | 4 | cstar_tref ~ aou + nitrate + phosphate + phosphate_star | 2384 | 3.0105062 | 12032.3511 | 710.097445 | 14.443840 | 1982-1999 –> 2000-2009 | 5.1483304 | 2.1378242 | 17926.9143 | 1311.516533 | 13 | 17 |
| Pacific | (26.75,27] | 4 | cstar_tref ~ temp + aou + nitrate + phosphate | 2384 | 3.0388336 | 12077.0058 | 145.644373 | 13.861279 | 1982-1999 –> 2000-2009 | 5.3122227 | 2.2733891 | 18137.5735 | 287.871294 | 18 | 27 |
| Pacific | (26.75,27] | 4 | cstar_tref ~ aou + silicate + phosphate + phosphate_star | 2384 | 2.9848288 | 11991.5091 | 484.137705 | 13.553775 | 1982-1999 –> 2000-2009 | 5.3325812 | 2.3477524 | 18138.9809 | 940.932226 | 12 | 22 |
| Pacific | (26.75,27] | 5 | cstar_tref ~ temp + aou + nitrate + silicate + phosphate | 2889 | 2.7726845 | 14105.1237 | 165.437383 | 17.647698 | 2000-2009 –> 2010-2019 | 5.4754407 | 2.7027562 | 25625.3118 | 312.798201 | 1 | 2 |
| Pacific | (26.75,27] | 5 | cstar_tref ~ temp + aou + nitrate + silicate + phosphate_star | 2889 | 2.7996613 | 14156.1720 | 30.011419 | 18.652497 | 2000-2009 –> 2010-2019 | 5.5474451 | 2.7477838 | 25755.1400 | 69.075281 | 2 | 4 |
| Pacific | (26.75,27] | 5 | cstar_tref ~ temp + nitrate + silicate + phosphate + phosphate_star | 2889 | 2.8063781 | 14170.0128 | 46.021386 | 18.711781 | 2000-2009 –> 2010-2019 | 5.5625963 | 2.7562182 | 25783.5939 | 102.797804 | 3 | 6 |
| Pacific | (26.75,27] | 5 | cstar_tref ~ aou + nitrate + silicate + phosphate + phosphate_star | 2889 | 2.8755119 | 14310.5775 | 817.422814 | 15.056798 | 2000-2009 –> 2010-2019 | 5.6717864 | 2.7962745 | 25992.9537 | 1528.167632 | 4 | 8 |
| Pacific | (26.75,27] | 5 | cstar_tref ~ sal + temp + nitrate + silicate + phosphate_star | 2889 | 3.0857277 | 14718.1137 | 49.158293 | 13.890570 | 2000-2009 –> 2010-2019 | 6.0087743 | 2.9230465 | 26611.8953 | 118.738385 | 5 | 12 |
| Pacific | (26.75,27] | 5 | cstar_tref ~ sal + temp + aou + nitrate + phosphate | 2889 | 3.2340253 | 14994.4248 | 238.174142 | 20.082097 | 2000-2009 –> 2010-2019 | 6.0452466 | 2.8112213 | 26702.2192 | 444.507464 | 13 | 18 |
| Pacific | (26.75,27] | 4 | cstar_tref ~ temp + nitrate + silicate + phosphate_star | 2889 | 3.1091550 | 14759.8003 | 14.525182 | 14.380919 | 2000-2009 –> 2010-2019 | 6.0502216 | 2.9410666 | 26680.8855 | 34.513206 | 6 | 15 |
| Pacific | (26.75,27] | 5 | cstar_tref ~ sal + temp + aou + silicate + phosphate | 2889 | 3.1417739 | 14827.2094 | 159.742090 | 10.569061 | 2000-2009 –> 2010-2019 | 6.0999992 | 2.9582253 | 26778.0312 | 291.264155 | 7 | 17 |
| Pacific | (26.75,27] | 4 | cstar_tref ~ temp + aou + silicate + phosphate | 2889 | 3.1749655 | 14885.9316 | 120.426889 | 11.280926 | 2000-2009 –> 2010-2019 | 6.1500789 | 2.9751134 | 26861.8958 | 221.616423 | 9 | 20 |
| Pacific | (26.75,27] | 4 | cstar_tref ~ aou + silicate + phosphate + phosphate_star | 2889 | 3.1663176 | 14865.0291 | 570.483860 | 14.245418 | 2000-2009 –> 2010-2019 | 6.1511464 | 2.9848288 | 26856.5382 | 1054.621564 | 8 | 20 |
| Pacific | (27,27.25] | 5 | cstar_tref ~ sal + temp + aou + nitrate + phosphate | 3246 | 2.5631241 | 15336.1939 | 238.996511 | 10.354703 | 1982-1999 –> 2000-2009 | 4.6671075 | 2.1039834 | 22219.1544 | 488.624832 | 2 | 5 |
| Pacific | (27,27.25] | 5 | cstar_tref ~ sal + temp + aou + nitrate + phosphate_star | 3246 | 2.6148934 | 15466.0108 | 103.588445 | 10.827329 | 1982-1999 –> 2000-2009 | 4.6844933 | 2.0695999 | 22296.6400 | 220.267960 | 6 | 7 |
| Pacific | (27,27.25] | 5 | cstar_tref ~ sal + temp + nitrate + phosphate + phosphate_star | 3246 | 2.6182611 | 15474.3663 | 118.260152 | 10.845464 | 1982-1999 –> 2000-2009 | 4.6896213 | 2.0713602 | 22307.6958 | 251.456705 | 7 | 9 |
| Pacific | (27,27.25] | 5 | cstar_tref ~ temp + aou + nitrate + silicate + phosphate | 3246 | 2.5779123 | 15373.5423 | 156.942479 | 9.776178 | 1982-1999 –> 2000-2009 | 4.8171442 | 2.2392319 | 22454.3692 | 314.244088 | 4 | 12 |
| Pacific | (27,27.25] | 4 | cstar_tref ~ temp + aou + nitrate + phosphate | 3246 | 2.5918107 | 15406.4491 | 153.796244 | 10.177403 | 1982-1999 –> 2000-2009 | 4.8345826 | 2.2427718 | 22490.2928 | 303.485488 | 5 | 14 |
| Pacific | (27,27.25] | 5 | cstar_tref ~ temp + aou + nitrate + silicate + phosphate_star | 3246 | 2.6351625 | 15516.1389 | 23.906742 | 10.431210 | 1982-1999 –> 2000-2009 | 4.8657095 | 2.2305470 | 22584.6237 | 48.528887 | 8 | 12 |
| Pacific | (27,27.25] | 4 | cstar_tref ~ temp + aou + nitrate + phosphate_star | 3246 | 2.6389557 | 15523.4771 | 23.905602 | 10.637202 | 1982-1999 –> 2000-2009 | 4.8695031 | 2.2305474 | 22589.9624 | 45.912092 | 10 | 15 |
| Pacific | (27,27.25] | 5 | cstar_tref ~ temp + nitrate + silicate + phosphate + phosphate_star | 3246 | 2.6370914 | 15520.8893 | 35.757128 | 10.435869 | 1982-1999 –> 2000-2009 | 4.8696280 | 2.2325366 | 22592.2057 | 70.778423 | 9 | 15 |
| Pacific | (27,27.25] | 4 | cstar_tref ~ temp + nitrate + phosphate + phosphate_star | 3246 | 2.6411174 | 15528.7930 | 35.750279 | 10.652552 | 1982-1999 –> 2000-2009 | 4.8736630 | 2.2325455 | 22598.1221 | 68.530229 | 11 | 18 |
| Pacific | (27,27.25] | 5 | cstar_tref ~ aou + nitrate + silicate + phosphate + phosphate_star | 3246 | 2.5366748 | 15268.8537 | 658.769145 | 8.893145 | 1982-1999 –> 2000-2009 | 4.8830497 | 2.3463749 | 22498.1226 | 1246.314705 | 1 | 11 |
| Pacific | (27,27.25] | 5 | cstar_tref ~ aou + nitrate + silicate + phosphate + phosphate_star | 3879 | 2.3465738 | 17639.3600 | 822.750865 | 9.518903 | 2000-2009 –> 2010-2019 | 4.8832486 | 2.5366748 | 32908.2138 | 1481.520010 | 1 | 2 |
| Pacific | (27,27.25] | 5 | cstar_tref ~ sal + temp + aou + nitrate + phosphate | 3879 | 2.3647236 | 17699.1344 | 315.157319 | 10.974495 | 2000-2009 –> 2010-2019 | 4.9278478 | 2.5631241 | 33035.3283 | 554.153831 | 3 | 5 |
| Pacific | (27,27.25] | 4 | cstar_tref ~ aou + nitrate + phosphate + phosphate_star | 3879 | 2.3519798 | 17655.2123 | 813.981338 | 9.802808 | 2000-2009 –> 2010-2019 | 4.9288403 | 2.5768605 | 33024.1055 | 1469.970128 | 2 | 5 |
| Pacific | (27,27.25] | 5 | cstar_tref ~ temp + aou + nitrate + silicate + phosphate | 3879 | 2.3915674 | 17786.7051 | 178.110179 | 10.721885 | 2000-2009 –> 2010-2019 | 4.9694797 | 2.5779123 | 33160.2475 | 335.052658 | 4 | 8 |
| Pacific | (27,27.25] | 4 | cstar_tref ~ temp + aou + nitrate + phosphate | 3879 | 2.3922728 | 17786.9932 | 175.377371 | 10.612969 | 2000-2009 –> 2010-2019 | 4.9840836 | 2.5918107 | 33193.4423 | 329.173615 | 5 | 10 |
| Pacific | (27,27.25] | 5 | cstar_tref ~ sal + temp + aou + nitrate + phosphate_star | 3879 | 2.4364725 | 17931.0220 | 91.695586 | 11.454401 | 2000-2009 –> 2010-2019 | 5.0513659 | 2.6148934 | 33397.0328 | 195.284031 | 6 | 12 |
| Pacific | (27,27.25] | 5 | cstar_tref ~ sal + temp + nitrate + phosphate + phosphate_star | 3879 | 2.4401145 | 17942.6099 | 104.660032 | 11.460657 | 2000-2009 –> 2010-2019 | 5.0583755 | 2.6182611 | 33416.9762 | 222.920184 | 7 | 14 |
| Pacific | (27,27.25] | 5 | cstar_tref ~ temp + aou + nitrate + silicate + phosphate_star | 3879 | 2.4499107 | 17973.6932 | 21.649899 | 11.506360 | 2000-2009 –> 2010-2019 | 5.0850732 | 2.6351625 | 33489.8322 | 45.556641 | 8 | 16 |
| Pacific | (27,27.25] | 5 | cstar_tref ~ temp + nitrate + silicate + phosphate + phosphate_star | 3879 | 2.4523744 | 17981.4911 | 33.640648 | 11.514472 | 2000-2009 –> 2010-2019 | 5.0894659 | 2.6370914 | 33502.3804 | 69.397775 | 9 | 18 |
| Pacific | (27,27.25] | 4 | cstar_tref ~ temp + aou + nitrate + phosphate_star | 3879 | 2.4573549 | 17995.2307 | 21.268121 | 11.148747 | 2000-2009 –> 2010-2019 | 5.0963106 | 2.6389557 | 33518.7078 | 45.173724 | 10 | 20 |
| Pacific | (27.25,27.5] | 5 | cstar_tref ~ sal + aou + nitrate + silicate + phosphate | 4368 | 2.2472990 | 19483.6400 | 100.601069 | 8.138294 | 1982-1999 –> 2000-2009 | 4.3475250 | 2.1002260 | 30255.0159 | 199.277599 | 1 | 4 |
| Pacific | (27.25,27.5] | 5 | cstar_tref ~ sal + temp + nitrate + silicate + phosphate_star | 4368 | 2.3291517 | 19796.1712 | 24.300695 | 8.753822 | 1982-1999 –> 2000-2009 | 4.4038814 | 2.0747297 | 30506.7453 | 42.144989 | 3 | 4 |
| Pacific | (27.25,27.5] | 5 | cstar_tref ~ sal + nitrate + silicate + phosphate + phosphate_star | 4368 | 2.3056719 | 19707.6581 | 37.959527 | 8.309841 | 1982-1999 –> 2000-2009 | 4.4538453 | 2.1481733 | 30591.4018 | 69.941433 | 2 | 10 |
| Pacific | (27.25,27.5] | 5 | cstar_tref ~ sal + aou + nitrate + silicate + phosphate_star | 4368 | 2.3318928 | 19806.4460 | 39.866574 | 8.367700 | 1982-1999 –> 2000-2009 | 4.4946363 | 2.1627435 | 30723.8395 | 73.541388 | 4 | 16 |
| Pacific | (27.25,27.5] | 5 | cstar_tref ~ sal + temp + aou + nitrate + phosphate | 4368 | 2.4065298 | 20081.6780 | 471.270405 | 9.724579 | 1982-1999 –> 2000-2009 | 4.5005338 | 2.0940040 | 30838.2844 | 1152.455686 | 5 | 7 |
| Pacific | (27.25,27.5] | 5 | cstar_tref ~ sal + temp + aou + nitrate + phosphate_star | 4368 | 2.4411982 | 20206.6307 | 51.143326 | 9.838465 | 1982-1999 –> 2000-2009 | 4.5548651 | 2.1136669 | 31009.7630 | 105.413038 | 6 | 10 |
| Pacific | (27.25,27.5] | 5 | cstar_tref ~ sal + temp + nitrate + phosphate + phosphate_star | 4368 | 2.4426537 | 20211.8380 | 56.459013 | 9.850711 | 1982-1999 –> 2000-2009 | 4.5584364 | 2.1157827 | 31019.9507 | 116.463932 | 7 | 12 |
| Pacific | (27.25,27.5] | 5 | cstar_tref ~ temp + aou + nitrate + silicate + phosphate | 4368 | 2.5893412 | 20721.3077 | 252.075166 | 9.775226 | 1982-1999 –> 2000-2009 | 4.7150069 | 2.1256657 | 31552.6190 | 618.107485 | 17 | 23 |
| Pacific | (27.25,27.5] | 5 | cstar_tref ~ sal + temp + aou + silicate + phosphate | 4368 | 2.4722503 | 20317.0522 | 326.301830 | 9.525556 | 1982-1999 –> 2000-2009 | 4.7440338 | 2.2717834 | 31479.3017 | 836.802614 | 9 | 23 |
| Pacific | (27.25,27.5] | 4 | cstar_tref ~ temp + aou + nitrate + phosphate | 4368 | 2.6252534 | 20839.6372 | 212.601740 | 10.459573 | 1982-1999 –> 2000-2009 | 4.7545437 | 2.1292903 | 31677.4295 | 429.617012 | 19 | 26 |
| Pacific | (27.25,27.5] | 5 | cstar_tref ~ sal + aou + nitrate + silicate + phosphate | 5079 | 2.4988058 | 23730.4056 | 97.396413 | 12.122554 | 2000-2009 –> 2010-2019 | 4.7461048 | 2.2472990 | 43214.0456 | 197.997482 | 1 | 2 |
| Pacific | (27.25,27.5] | 5 | cstar_tref ~ sal + nitrate + silicate + phosphate + phosphate_star | 5079 | 2.5523854 | 23945.9120 | 32.960665 | 12.116582 | 2000-2009 –> 2010-2019 | 4.8580574 | 2.3056719 | 43653.5701 | 70.920191 | 4 | 6 |
| Pacific | (27.25,27.5] | 5 | cstar_tref ~ sal + temp + nitrate + silicate + phosphate_star | 5079 | 2.5333759 | 23869.9747 | 19.544243 | 15.006555 | 2000-2009 –> 2010-2019 | 4.8625277 | 2.3291517 | 43666.1459 | 43.844938 | 2 | 5 |
| Pacific | (27.25,27.5] | 5 | cstar_tref ~ sal + aou + nitrate + silicate + phosphate_star | 5079 | 2.5831181 | 24067.4917 | 34.325124 | 12.121044 | 2000-2009 –> 2010-2019 | 4.9150109 | 2.3318928 | 43873.9376 | 74.191698 | 5 | 9 |
| Pacific | (27.25,27.5] | 5 | cstar_tref ~ sal + temp + aou + nitrate + phosphate | 5079 | 2.5489701 | 23932.3104 | 606.821627 | 15.933734 | 2000-2009 –> 2010-2019 | 4.9554998 | 2.4065298 | 44013.9884 | 1078.092031 | 3 | 8 |
| Pacific | (27.25,27.5] | 5 | cstar_tref ~ sal + temp + aou + nitrate + phosphate_star | 5079 | 2.5896040 | 24092.9651 | 56.383706 | 16.154388 | 2000-2009 –> 2010-2019 | 5.0308022 | 2.4411982 | 44299.5958 | 107.527032 | 6 | 12 |
| Pacific | (27.25,27.5] | 5 | cstar_tref ~ sal + temp + nitrate + phosphate + phosphate_star | 5079 | 2.5904995 | 24096.4773 | 62.830236 | 16.141320 | 2000-2009 –> 2010-2019 | 5.0331533 | 2.4426537 | 44308.3153 | 119.289249 | 7 | 14 |
| Pacific | (27.25,27.5] | 4 | cstar_tref ~ sal + temp + nitrate + phosphate_star | 5079 | 2.5958016 | 24115.2467 | 16.127555 | 15.901610 | 2000-2009 –> 2010-2019 | 5.0599882 | 2.4641866 | 44401.7581 | 38.690905 | 8 | 16 |
| Pacific | (27.25,27.5] | 5 | cstar_tref ~ sal + temp + nitrate + silicate + phosphate | 5079 | 2.6726344 | 24413.5482 | 37.007631 | 13.577541 | 2000-2009 –> 2010-2019 | 5.1933078 | 2.5206734 | 44900.0553 | 80.340969 | 11 | 25 |
| Pacific | (27.25,27.5] | 5 | cstar_tref ~ sal + temp + aou + silicate + phosphate | 5079 | 2.7281393 | 24622.3475 | 326.972633 | 13.615950 | 2000-2009 –> 2010-2019 | 5.2003896 | 2.4722503 | 44939.3997 | 653.274463 | 17 | 26 |
| Pacific | (27.5,27.75] | 5 | cstar_tref ~ sal + temp + silicate + phosphate + phosphate_star | 4897 | 1.6662449 | 18911.6316 | 70.527770 | 7.994058 | 1982-1999 –> 2000-2009 | 3.4826376 | 1.8163926 | 29061.0287 | 128.400761 | 1 | 2 |
| Pacific | (27.5,27.75] | 5 | cstar_tref ~ sal + temp + aou + silicate + phosphate_star | 4897 | 1.6697095 | 18931.9749 | 70.538679 | 7.959580 | 1982-1999 –> 2000-2009 | 3.4863840 | 1.8166744 | 29082.1521 | 127.071753 | 2 | 5 |
| Pacific | (27.5,27.75] | 5 | cstar_tref ~ sal + temp + aou + silicate + phosphate | 4897 | 1.6718881 | 18944.7454 | 639.930585 | 7.881587 | 1982-1999 –> 2000-2009 | 3.4884882 | 1.8166001 | 29094.7168 | 1533.588629 | 3 | 5 |
| Pacific | (27.5,27.75] | 5 | cstar_tref ~ sal + temp + aou + nitrate + silicate | 4897 | 1.7129117 | 19182.1625 | 65.972240 | 7.472358 | 1982-1999 –> 2000-2009 | 3.5299031 | 1.8169914 | 29333.2168 | 113.228176 | 4 | 8 |
| Pacific | (27.5,27.75] | 4 | cstar_tref ~ sal + temp + aou + silicate | 4897 | 1.7130250 | 19180.8105 | 57.038412 | 7.460744 | 1982-1999 –> 2000-2009 | 3.5308125 | 1.8177875 | 29332.0672 | 92.335456 | 5 | 10 |
| Pacific | (27.5,27.75] | 5 | cstar_tref ~ sal + temp + nitrate + silicate + phosphate | 4897 | 1.8253340 | 19804.7509 | 50.368921 | 7.599344 | 1982-1999 –> 2000-2009 | 3.6450722 | 1.8197382 | 29963.4003 | 82.124455 | 6 | 12 |
| Pacific | (27.5,27.75] | 4 | cstar_tref ~ sal + temp + silicate + phosphate | 4897 | 1.8577202 | 19974.9983 | 38.561233 | 7.926679 | 1982-1999 –> 2000-2009 | 3.6809608 | 1.8232406 | 30141.3159 | 63.110982 | 7 | 14 |
| Pacific | (27.5,27.75] | 5 | cstar_tref ~ sal + aou + nitrate + silicate + phosphate_star | 4897 | 1.9969912 | 20685.0225 | 46.011320 | 8.105381 | 1982-1999 –> 2000-2009 | 3.8572334 | 1.8602422 | 30954.3587 | 76.713878 | 8 | 16 |
| Pacific | (27.5,27.75] | 5 | cstar_tref ~ sal + nitrate + silicate + phosphate + phosphate_star | 4897 | 2.0172708 | 20783.9793 | 43.869688 | 8.157143 | 1982-1999 –> 2000-2009 | 3.8802889 | 1.8630181 | 31060.8128 | 73.242097 | 9 | 18 |
| Pacific | (27.5,27.75] | 4 | cstar_tref ~ sal + aou + silicate + phosphate_star | 4897 | 2.0790547 | 21077.4428 | 34.954872 | 8.876066 | 1982-1999 –> 2000-2009 | 3.9877591 | 1.9087044 | 31474.0892 | 59.535888 | 10 | 23 |
| Pacific | (27.5,27.75] | 5 | cstar_tref ~ sal + temp + silicate + phosphate + phosphate_star | 5510 | 2.1891094 | 24284.8154 | 76.292533 | 11.067968 | 2000-2009 –> 2010-2019 | 3.8553544 | 1.6662449 | 43196.4470 | 146.820303 | 1 | 2 |
| Pacific | (27.5,27.75] | 5 | cstar_tref ~ sal + temp + aou + silicate + phosphate_star | 5510 | 2.1932691 | 24305.7353 | 76.341617 | 11.113116 | 2000-2009 –> 2010-2019 | 3.8629786 | 1.6697095 | 43237.7102 | 146.880295 | 2 | 4 |
| Pacific | (27.5,27.75] | 5 | cstar_tref ~ sal + temp + aou + silicate + phosphate | 5510 | 2.1963964 | 24321.4374 | 557.126126 | 11.149998 | 2000-2009 –> 2010-2019 | 3.8682845 | 1.6718881 | 43266.1828 | 1197.056711 | 3 | 6 |
| Pacific | (27.5,27.75] | 5 | cstar_tref ~ sal + temp + aou + nitrate + silicate | 5510 | 2.2596848 | 24634.4859 | 59.989828 | 11.886570 | 2000-2009 –> 2010-2019 | 3.9725965 | 1.7129117 | 43816.6484 | 125.962068 | 4 | 8 |
| Pacific | (27.5,27.75] | 4 | cstar_tref ~ sal + temp + aou + silicate | 5510 | 2.2603570 | 24635.7635 | 56.989930 | 11.845181 | 2000-2009 –> 2010-2019 | 3.9733820 | 1.7130250 | 43816.5740 | 114.028342 | 5 | 10 |
| Pacific | (27.5,27.75] | 5 | cstar_tref ~ sal + temp + nitrate + silicate + phosphate | 5510 | 2.3757008 | 25186.2255 | 48.070113 | 12.712804 | 2000-2009 –> 2010-2019 | 4.2010348 | 1.8253340 | 44990.9764 | 98.439034 | 6 | 12 |
| Pacific | (27.5,27.75] | 4 | cstar_tref ~ sal + temp + silicate + phosphate | 5510 | 2.4008214 | 25300.1392 | 35.093387 | 13.412789 | 2000-2009 –> 2010-2019 | 4.2585416 | 1.8577202 | 45275.1375 | 73.654620 | 7 | 14 |
| Pacific | (27.5,27.75] | 5 | cstar_tref ~ sal + aou + nitrate + silicate + phosphate_star | 5510 | 2.4795350 | 25657.6456 | 42.240251 | 14.098899 | 2000-2009 –> 2010-2019 | 4.4765263 | 1.9969912 | 46342.6682 | 88.251571 | 8 | 16 |
| Pacific | (27.5,27.75] | 5 | cstar_tref ~ sal + nitrate + silicate + phosphate + phosphate_star | 5510 | 2.4966359 | 25733.3876 | 39.998938 | 14.339012 | 2000-2009 –> 2010-2019 | 4.5139067 | 2.0172708 | 46517.3670 | 83.868626 | 9 | 18 |
| Pacific | (27.5,27.75] | 4 | cstar_tref ~ sal + aou + silicate + phosphate_star | 5510 | 2.5331439 | 25891.3649 | 28.895619 | 15.185546 | 2000-2009 –> 2010-2019 | 4.6121986 | 2.0790547 | 46968.8078 | 63.850492 | 10 | 20 |
| Pacific | (27.75,27.85] | 5 | cstar_tref ~ sal + nitrate + silicate + phosphate + phosphate_star | 1843 | 1.4199281 | 6536.5419 | 88.048120 | 7.149475 | 1982-1999 –> 2000-2009 | 3.0132864 | 1.5933583 | 10199.4808 | 242.493381 | 5 | 6 |
| Pacific | (27.75,27.85] | 5 | cstar_tref ~ sal + temp + nitrate + silicate + phosphate_star | 1843 | 1.4141438 | 6521.4958 | 48.705322 | 7.099601 | 1982-1999 –> 2000-2009 | 3.0144904 | 1.6003466 | 10192.9072 | 101.914193 | 3 | 6 |
| Pacific | (27.75,27.85] | 5 | cstar_tref ~ sal + aou + nitrate + silicate + phosphate_star | 1843 | 1.4222497 | 6542.5637 | 94.681414 | 7.170223 | 1982-1999 –> 2000-2009 | 3.0170055 | 1.5947558 | 10207.1999 | 259.417303 | 6 | 8 |
| Pacific | (27.75,27.85] | 5 | cstar_tref ~ sal + temp + aou + nitrate + silicate | 1843 | 1.4140629 | 6521.2851 | 129.273875 | 7.055249 | 1982-1999 –> 2000-2009 | 3.0253247 | 1.6112617 | 10205.8561 | 327.782376 | 2 | 8 |
| Pacific | (27.75,27.85] | 5 | cstar_tref ~ sal + temp + nitrate + silicate + phosphate | 1843 | 1.4133429 | 6519.4076 | 79.197353 | 7.102754 | 1982-1999 –> 2000-2009 | 3.0264592 | 1.6131163 | 10206.2057 | 221.843561 | 1 | 8 |
| Pacific | (27.75,27.85] | 5 | cstar_tref ~ sal + aou + nitrate + silicate + phosphate | 1843 | 1.4255558 | 6551.1221 | 484.724394 | 7.312047 | 1982-1999 –> 2000-2009 | 3.0286972 | 1.6031414 | 10225.9116 | 1056.737997 | 9 | 13 |
| Pacific | (27.75,27.85] | 4 | cstar_tref ~ sal + temp + nitrate + silicate | 1843 | 1.4164095 | 6525.3967 | 47.367533 | 6.934578 | 1982-1999 –> 2000-2009 | 3.0297054 | 1.6132959 | 10210.4103 | 94.432548 | 4 | 12 |
| Pacific | (27.75,27.85] | 5 | cstar_tref ~ sal + temp + aou + silicate + phosphate_star | 1843 | 1.4255199 | 6551.0292 | 83.266564 | 7.212160 | 1982-1999 –> 2000-2009 | 3.0416990 | 1.6161791 | 10241.4996 | 149.535828 | 8 | 17 |
| Pacific | (27.75,27.85] | 5 | cstar_tref ~ sal + temp + silicate + phosphate + phosphate_star | 1843 | 1.4257328 | 6551.5799 | 81.642391 | 7.226235 | 1982-1999 –> 2000-2009 | 3.0422976 | 1.6165647 | 10242.5122 | 145.140836 | 10 | 20 |
| Pacific | (27.75,27.85] | 5 | cstar_tref ~ sal + temp + aou + silicate + phosphate | 1843 | 1.4250492 | 6549.8120 | 939.287923 | 7.195119 | 1982-1999 –> 2000-2009 | 3.0430564 | 1.6180073 | 10242.4711 | 1802.270496 | 7 | 18 |
| Pacific | (27.75,27.85] | 5 | cstar_tref ~ sal + temp + nitrate + silicate + phosphate | 2064 | 1.7391226 | 8155.7339 | 76.704057 | 8.131146 | 2000-2009 –> 2010-2019 | 3.1524655 | 1.4133429 | 14675.1415 | 155.901410 | 1 | 2 |
| Pacific | (27.75,27.85] | 5 | cstar_tref ~ sal + temp + nitrate + silicate + phosphate_star | 2064 | 1.7422595 | 8163.1730 | 47.292442 | 7.450463 | 2000-2009 –> 2010-2019 | 3.1564033 | 1.4141438 | 14684.6688 | 95.997763 | 5 | 8 |
| Pacific | (27.75,27.85] | 5 | cstar_tref ~ sal + temp + aou + nitrate + silicate | 2064 | 1.7431777 | 8165.3480 | 133.735602 | 8.580752 | 2000-2009 –> 2010-2019 | 3.1572407 | 1.4140629 | 14686.6331 | 263.009477 | 7 | 9 |
| Pacific | (27.75,27.85] | 5 | cstar_tref ~ sal + nitrate + silicate + phosphate + phosphate_star | 2064 | 1.7405664 | 8159.1595 | 83.892840 | 8.349545 | 2000-2009 –> 2010-2019 | 3.1604945 | 1.4199281 | 14695.7014 | 171.940960 | 2 | 7 |
| Pacific | (27.75,27.85] | 5 | cstar_tref ~ sal + aou + nitrate + silicate + phosphate_star | 2064 | 1.7418721 | 8162.2551 | 89.302969 | 8.508821 | 2000-2009 –> 2010-2019 | 3.1641218 | 1.4222497 | 14704.8188 | 183.984383 | 4 | 10 |
| Pacific | (27.75,27.85] | 5 | cstar_tref ~ sal + aou + nitrate + silicate + phosphate | 2064 | 1.7412115 | 8160.6893 | 442.951809 | 8.418493 | 2000-2009 –> 2010-2019 | 3.1667673 | 1.4255558 | 14711.8114 | 927.676203 | 3 | 11 |
| Pacific | (27.75,27.85] | 4 | cstar_tref ~ sal + aou + nitrate + silicate | 2064 | 1.7432321 | 8163.4769 | 88.713350 | 8.552012 | 2000-2009 –> 2010-2019 | 3.1733386 | 1.4301065 | 14724.3467 | 182.830487 | 8 | 19 |
| Pacific | (27.75,27.85] | 5 | cstar_tref ~ sal + temp + aou + silicate + phosphate_star | 2064 | 1.7479672 | 8176.6744 | 102.023137 | 7.696234 | 2000-2009 –> 2010-2019 | 3.1734871 | 1.4255199 | 14727.7037 | 185.289701 | 10 | 17 |
| Pacific | (27.75,27.85] | 5 | cstar_tref ~ sal + temp + silicate + phosphate + phosphate_star | 2064 | 1.7479634 | 8176.6655 | 102.843955 | 7.700127 | 2000-2009 –> 2010-2019 | 3.1736963 | 1.4257328 | 14728.2454 | 184.486345 | 9 | 18 |
| Pacific | (27.75,27.85] | 4 | cstar_tref ~ sal + temp + silicate + phosphate_star | 2064 | 1.7482712 | 8175.3923 | 8.625231 | 7.757757 | 2000-2009 –> 2010-2019 | 3.1799194 | 1.4316481 | 14740.2335 | 17.058557 | 11 | 24 |
| Pacific | (27.85,27.95] | 5 | cstar_tref ~ sal + aou + nitrate + silicate + phosphate | 2181 | 1.3292648 | 7444.9484 | 372.909594 | 4.879495 | 1982-1999 –> 2000-2009 | 2.7370532 | 1.4077884 | 11368.2763 | 1018.083909 | 2 | 5 |
| Pacific | (27.85,27.95] | 5 | cstar_tref ~ sal + aou + nitrate + silicate + phosphate_star | 2181 | 1.3306191 | 7449.3905 | 191.618523 | 5.078581 | 1982-1999 –> 2000-2009 | 2.7613747 | 1.4307556 | 11408.6439 | 678.582024 | 3 | 11 |
| Pacific | (27.85,27.95] | 5 | cstar_tref ~ sal + temp + silicate + phosphate + phosphate_star | 2181 | 1.3599912 | 7544.6299 | 57.256842 | 5.127517 | 1982-1999 –> 2000-2009 | 2.7619842 | 1.4019931 | 11458.7999 | 122.265852 | 6 | 7 |
| Pacific | (27.85,27.95] | 5 | cstar_tref ~ sal + temp + aou + silicate + phosphate_star | 2181 | 1.3608957 | 7547.5299 | 56.887420 | 5.106599 | 1982-1999 –> 2000-2009 | 2.7636494 | 1.4027537 | 11462.9041 | 123.058227 | 7 | 9 |
| Pacific | (27.85,27.95] | 5 | cstar_tref ~ sal + temp + aou + nitrate + silicate | 2181 | 1.3189201 | 7410.8694 | 237.056471 | 5.466151 | 1982-1999 –> 2000-2009 | 2.7690979 | 1.4501778 | 11400.0562 | 700.037562 | 1 | 11 |
| Pacific | (27.85,27.95] | 5 | cstar_tref ~ sal + temp + aou + silicate + phosphate | 2181 | 1.3654607 | 7562.1374 | 833.380043 | 5.108489 | 1982-1999 –> 2000-2009 | 2.7787532 | 1.4132925 | 11494.1280 | 1646.710343 | 10 | 16 |
| Pacific | (27.85,27.95] | 5 | cstar_tref ~ sal + temp + nitrate + silicate + phosphate_star | 2181 | 1.3728075 | 7585.5441 | 46.913084 | 4.941431 | 1982-1999 –> 2000-2009 | 2.7829151 | 1.4101076 | 11512.5262 | 107.994566 | 11 | 15 |
| Pacific | (27.85,27.95] | 4 | cstar_tref ~ sal + temp + silicate + phosphate_star | 2181 | 1.3734251 | 7585.5060 | 10.572497 | 4.951176 | 1982-1999 –> 2000-2009 | 2.7837992 | 1.4103741 | 11510.9077 | 30.782595 | 12 | 17 |
| Pacific | (27.85,27.95] | 5 | cstar_tref ~ sal + nitrate + silicate + phosphate + phosphate_star | 2181 | 1.3415481 | 7485.0711 | 177.797091 | 5.090434 | 1982-1999 –> 2000-2009 | 2.7864622 | 1.4449141 | 11466.1855 | 617.809760 | 5 | 14 |
| Pacific | (27.85,27.95] | 4 | cstar_tref ~ sal + aou + nitrate + silicate | 2181 | 1.3306192 | 7447.3907 | 152.906117 | 5.080030 | 1982-1999 –> 2000-2009 | 2.7868356 | 1.4562164 | 11443.8025 | 456.217566 | 4 | 16 |
| Pacific | (27.85,27.95] | 5 | cstar_tref ~ sal + temp + aou + nitrate + silicate | 2601 | 1.5266834 | 9596.2723 | 343.652277 | 8.056408 | 2000-2009 –> 2010-2019 | 2.8456035 | 1.3189201 | 17007.1417 | 580.708747 | 1 | 2 |
| Pacific | (27.85,27.95] | 5 | cstar_tref ~ sal + aou + nitrate + silicate + phosphate_star | 2601 | 1.5514717 | 9680.0571 | 282.853829 | 6.792815 | 2000-2009 –> 2010-2019 | 2.8820908 | 1.3306191 | 17129.4476 | 474.472352 | 2 | 5 |
| Pacific | (27.85,27.95] | 5 | cstar_tref ~ sal + aou + nitrate + silicate + phosphate | 2601 | 1.5585288 | 9703.6656 | 441.182371 | 6.538035 | 2000-2009 –> 2010-2019 | 2.8877936 | 1.3292648 | 17148.6141 | 814.091965 | 4 | 6 |
| Pacific | (27.85,27.95] | 4 | cstar_tref ~ sal + aou + nitrate + silicate | 2601 | 1.5634038 | 9717.9120 | 221.428219 | 6.707965 | 2000-2009 –> 2010-2019 | 2.8940230 | 1.3306192 | 17165.3027 | 374.334336 | 5 | 9 |
| Pacific | (27.85,27.95] | 5 | cstar_tref ~ sal + nitrate + silicate + phosphate + phosphate_star | 2601 | 1.5644375 | 9723.3501 | 258.980135 | 6.300451 | 2000-2009 –> 2010-2019 | 2.9059855 | 1.3415481 | 17208.4212 | 436.777226 | 6 | 11 |
| Pacific | (27.85,27.95] | 5 | cstar_tref ~ sal + temp + nitrate + silicate + phosphate | 2601 | 1.5676562 | 9734.0421 | 247.961968 | 6.458675 | 2000-2009 –> 2010-2019 | 2.9302019 | 1.3625457 | 17286.8575 | 422.358063 | 8 | 16 |
| Pacific | (27.85,27.95] | 4 | cstar_tref ~ sal + nitrate + silicate + phosphate | 2601 | 1.5682266 | 9733.9344 | 244.425167 | 6.341302 | 2000-2009 –> 2010-2019 | 2.9328288 | 1.3646022 | 17291.3284 | 418.780288 | 9 | 18 |
| Pacific | (27.85,27.95] | 5 | cstar_tref ~ sal + temp + silicate + phosphate + phosphate_star | 2601 | 1.5911597 | 9811.4553 | 82.737887 | 8.692422 | 2000-2009 –> 2010-2019 | 2.9511508 | 1.3599912 | 17356.0852 | 139.994729 | 10 | 16 |
| Pacific | (27.85,27.95] | 5 | cstar_tref ~ sal + temp + aou + silicate + phosphate_star | 2601 | 1.5920348 | 9814.3157 | 84.311785 | 8.660422 | 2000-2009 –> 2010-2019 | 2.9529305 | 1.3608957 | 17361.8456 | 141.199205 | 11 | 18 |
| Pacific | (27.85,27.95] | 5 | cstar_tref ~ sal + temp + nitrate + silicate + phosphate_star | 2601 | 1.6013838 | 9844.7743 | 68.003880 | 7.341708 | 2000-2009 –> 2010-2019 | 2.9741913 | 1.3728075 | 17430.3184 | 114.916964 | 12 | 22 |
| Pacific | (27.95,28.05] | 5 | cstar_tref ~ sal + temp + silicate + phosphate + phosphate_star | 2415 | 1.1620703 | 7592.9543 | 66.506287 | 6.701899 | 1982-1999 –> 2000-2009 | 2.1380723 | 0.9760020 | 11113.0991 | 142.435610 | 2 | 3 |
| Pacific | (27.95,28.05] | 5 | cstar_tref ~ sal + temp + aou + silicate + phosphate_star | 2415 | 1.1631852 | 7597.5859 | 65.798895 | 6.710846 | 1982-1999 –> 2000-2009 | 2.1403139 | 0.9771287 | 11120.6312 | 138.795309 | 3 | 5 |
| Pacific | (27.95,28.05] | 5 | cstar_tref ~ sal + temp + aou + silicate + phosphate | 2415 | 1.1691247 | 7622.1866 | 657.712414 | 6.776509 | 1982-1999 –> 2000-2009 | 2.1546293 | 0.9855045 | 11166.6898 | 1283.317712 | 4 | 8 |
| Pacific | (27.95,28.05] | 5 | cstar_tref ~ sal + temp + nitrate + silicate + phosphate_star | 2415 | 1.1949533 | 7727.7305 | 56.537690 | 6.154092 | 1982-1999 –> 2000-2009 | 2.1759781 | 0.9810248 | 11260.7798 | 119.816668 | 6 | 9 |
| Pacific | (27.95,28.05] | 5 | cstar_tref ~ sal + temp + aou + nitrate + silicate | 2415 | 1.1481749 | 7534.8516 | 551.747012 | 6.779910 | 1982-1999 –> 2000-2009 | 2.2417807 | 1.0936059 | 11341.0167 | 1144.936377 | 1 | 8 |
| Pacific | (27.95,28.05] | 4 | cstar_tref ~ sal + temp + aou + nitrate | 2415 | 1.1809556 | 7668.8179 | 385.747547 | 7.474727 | 1982-1999 –> 2000-2009 | 2.3030558 | 1.1221001 | 11537.6473 | 756.156915 | 5 | 15 |
| Pacific | (27.95,28.05] | 4 | cstar_tref ~ sal + temp + silicate + phosphate_star | 2415 | 1.2489856 | 7939.3352 | 13.503346 | 5.262703 | 1982-1999 –> 2000-2009 | 2.3151805 | 1.0661950 | 11679.6845 | 26.409226 | 10 | 15 |
| Pacific | (27.95,28.05] | 4 | cstar_tref ~ sal + temp + phosphate + phosphate_star | 2415 | 1.2232832 | 7838.9034 | 16.291395 | 8.303302 | 1982-1999 –> 2000-2009 | 2.3155381 | 1.0922549 | 11639.9610 | 32.388511 | 7 | 13 |
| Pacific | (27.95,28.05] | 4 | cstar_tref ~ sal + temp + aou + phosphate_star | 2415 | 1.2253965 | 7847.2405 | 15.683638 | 8.344359 | 1982-1999 –> 2000-2009 | 2.3205769 | 1.0951804 | 11655.0225 | 30.943678 | 8 | 16 |
| Pacific | (27.95,28.05] | 4 | cstar_tref ~ sal + temp + aou + phosphate | 2415 | 1.2320516 | 7873.4010 | 538.500443 | 8.426469 | 1982-1999 –> 2000-2009 | 2.3381764 | 1.1061249 | 11706.1815 | 1048.368718 | 9 | 18 |
| Pacific | (27.95,28.05] | 5 | cstar_tref ~ sal + temp + aou + nitrate + silicate | 3939 | 1.4046567 | 13869.2865 | 733.111346 | 5.067139 | 2000-2009 –> 2010-2019 | 2.5528316 | 1.1481749 | 21404.1382 | 1284.858358 | 1 | 2 |
| Pacific | (27.95,28.05] | 5 | cstar_tref ~ sal + temp + silicate + phosphate + phosphate_star | 3939 | 1.4261199 | 13988.7521 | 131.626265 | 4.989155 | 2000-2009 –> 2010-2019 | 2.5881902 | 1.1620703 | 21581.7064 | 198.132552 | 2 | 4 |
| Pacific | (27.95,28.05] | 5 | cstar_tref ~ sal + temp + aou + silicate + phosphate_star | 3939 | 1.4269984 | 13993.6035 | 132.023871 | 4.973413 | 2000-2009 –> 2010-2019 | 2.5901835 | 1.1631852 | 21591.1894 | 197.822766 | 3 | 6 |
| Pacific | (27.95,28.05] | 5 | cstar_tref ~ sal + temp + aou + silicate + phosphate | 3939 | 1.4333432 | 14028.5536 | 734.246666 | 4.971459 | 2000-2009 –> 2010-2019 | 2.6024679 | 1.1691247 | 21650.7402 | 1391.959080 | 5 | 9 |
| Pacific | (27.95,28.05] | 5 | cstar_tref ~ sal + temp + nitrate + silicate + phosphate_star | 3939 | 1.4316810 | 14019.4126 | 123.933084 | 4.830991 | 2000-2009 –> 2010-2019 | 2.6266343 | 1.1949533 | 21747.1431 | 180.470774 | 4 | 10 |
| Pacific | (27.95,28.05] | 4 | cstar_tref ~ sal + temp + aou + nitrate | 3939 | 1.4824028 | 14291.6848 | 723.730939 | 6.096106 | 2000-2009 –> 2010-2019 | 2.6633584 | 1.1809556 | 21960.5027 | 1109.478487 | 7 | 12 |
| Pacific | (27.95,28.05] | 4 | cstar_tref ~ sal + temp + silicate + phosphate_star | 3939 | 1.4351350 | 14036.3956 | 31.015125 | 4.599749 | 2000-2009 –> 2010-2019 | 2.6841206 | 1.2489856 | 21975.7308 | 44.518471 | 6 | 16 |
| Pacific | (27.95,28.05] | 4 | cstar_tref ~ sal + temp + phosphate + phosphate_star | 3939 | 1.5001701 | 14385.5451 | 34.705881 | 5.931737 | 2000-2009 –> 2010-2019 | 2.7234532 | 1.2232832 | 22224.4485 | 50.997276 | 8 | 15 |
| Pacific | (27.95,28.05] | 4 | cstar_tref ~ sal + temp + aou + phosphate_star | 3939 | 1.5041686 | 14406.5151 | 33.294515 | 5.946525 | 2000-2009 –> 2010-2019 | 2.7295651 | 1.2253965 | 22253.7556 | 48.978153 | 9 | 17 |
| Pacific | (27.95,28.05] | 4 | cstar_tref ~ sal + temp + aou + phosphate | 3939 | 1.5089259 | 14431.3917 | 732.654477 | 5.917506 | 2000-2009 –> 2010-2019 | 2.7409774 | 1.2320516 | 22304.7927 | 1271.154920 | 11 | 20 |
| Pacific | (28.05,28.1] | 5 | cstar_tref ~ sal + temp + aou + silicate + phosphate | 1443 | 0.9168940 | 3858.6575 | 494.206780 | 4.524398 | 1982-1999 –> 2000-2009 | 1.5965482 | 0.6796542 | 5508.5610 | 1223.389589 | 1 | 4 |
| Pacific | (28.05,28.1] | 5 | cstar_tref ~ sal + temp + aou + silicate + phosphate_star | 1443 | 0.9211672 | 3872.0764 | 73.970310 | 4.534115 | 1982-1999 –> 2000-2009 | 1.6003328 | 0.6791656 | 5520.8408 | 199.758464 | 2 | 4 |
| Pacific | (28.05,28.1] | 5 | cstar_tref ~ sal + temp + silicate + phosphate + phosphate_star | 1443 | 0.9219407 | 3874.4988 | 77.794686 | 4.531822 | 1982-1999 –> 2000-2009 | 1.6010990 | 0.6791583 | 5523.2462 | 216.166830 | 3 | 4 |
| Pacific | (28.05,28.1] | 5 | cstar_tref ~ sal + temp + nitrate + silicate + phosphate_star | 1443 | 0.9313419 | 3903.7790 | 52.000773 | 4.311805 | 1982-1999 –> 2000-2009 | 1.6180603 | 0.6867183 | 5570.0612 | 142.408018 | 4 | 8 |
| Pacific | (28.05,28.1] | 4 | cstar_tref ~ sal + temp + aou + phosphate | 1443 | 1.0125537 | 4143.0609 | 427.359136 | 5.841377 | 1982-1999 –> 2000-2009 | 1.7588732 | 0.7463195 | 5939.1789 | 1017.607790 | 8 | 13 |
| Pacific | (28.05,28.1] | 4 | cstar_tref ~ sal + temp + aou + phosphate_star | 1443 | 1.0179589 | 4158.4260 | 20.463555 | 5.858254 | 1982-1999 –> 2000-2009 | 1.7642793 | 0.7463205 | 5954.5460 | 46.601416 | 9 | 15 |
| Pacific | (28.05,28.1] | 4 | cstar_tref ~ sal + temp + phosphate + phosphate_star | 1443 | 1.0199556 | 4164.0812 | 20.549868 | 5.868746 | 1982-1999 –> 2000-2009 | 1.7664046 | 0.7464490 | 5960.4740 | 46.769437 | 10 | 17 |
| Pacific | (28.05,28.1] | 5 | cstar_tref ~ sal + temp + aou + nitrate + silicate | 1443 | 0.9692495 | 4018.9174 | 529.670153 | 4.957960 | 1982-1999 –> 2000-2009 | 1.7901882 | 0.8209387 | 5967.9820 | 1354.875337 | 5 | 21 |
| Pacific | (28.05,28.1] | 4 | cstar_tref ~ sal + temp + silicate + phosphate_star | 1443 | 0.9973828 | 4099.4936 | 22.246972 | 3.830767 | 1982-1999 –> 2000-2009 | 1.7939361 | 0.7965533 | 5998.7936 | 49.720642 | 7 | 20 |
| Pacific | (28.05,28.1] | 4 | cstar_tref ~ temp + aou + silicate + phosphate | 1443 | 1.0430597 | 4228.7258 | 488.522407 | 5.922095 | 1982-1999 –> 2000-2009 | 1.8019983 | 0.7589386 | 6051.4028 | 1179.905403 | 13 | 21 |
| Pacific | (28.05,28.1] | 5 | cstar_tref ~ sal + temp + aou + silicate + phosphate_star | 2208 | 1.2386298 | 7225.0820 | 191.067069 | 4.909319 | 2000-2009 –> 2010-2019 | 2.1597970 | 0.9211672 | 11097.1585 | 265.037379 | 3 | 5 |
| Pacific | (28.05,28.1] | 5 | cstar_tref ~ sal + temp + silicate + phosphate + phosphate_star | 2208 | 1.2385807 | 7224.9071 | 198.542326 | 4.904365 | 2000-2009 –> 2010-2019 | 2.1605215 | 0.9219407 | 11099.4059 | 276.337012 | 2 | 5 |
| Pacific | (28.05,28.1] | 5 | cstar_tref ~ sal + temp + aou + silicate + phosphate | 2208 | 1.2477352 | 7257.4263 | 680.739212 | 5.136505 | 2000-2009 –> 2010-2019 | 2.1646293 | 0.9168940 | 11116.0838 | 1174.945991 | 5 | 6 |
| Pacific | (28.05,28.1] | 5 | cstar_tref ~ sal + temp + nitrate + silicate + phosphate_star | 2208 | 1.2383805 | 7224.1933 | 140.862965 | 4.890570 | 2000-2009 –> 2010-2019 | 2.1697225 | 0.9313419 | 11127.9722 | 192.863738 | 1 | 5 |
| Pacific | (28.05,28.1] | 4 | cstar_tref ~ sal + temp + silicate + phosphate_star | 2208 | 1.2386460 | 7223.1397 | 34.492406 | 4.912336 | 2000-2009 –> 2010-2019 | 2.2360288 | 0.9973828 | 11322.6332 | 56.739378 | 4 | 11 |
| Pacific | (28.05,28.1] | 5 | cstar_tref ~ sal + temp + aou + nitrate + silicate | 2208 | 1.3116826 | 7478.1408 | 677.324583 | 5.108672 | 2000-2009 –> 2010-2019 | 2.2809321 | 0.9692495 | 11497.0582 | 1206.994735 | 6 | 11 |
| Pacific | (28.05,28.1] | 4 | cstar_tref ~ sal + temp + aou + nitrate | 2208 | 1.3533815 | 7614.3420 | 557.805255 | 5.431229 | 2000-2009 –> 2010-2019 | 2.3231364 | 0.9697549 | 11632.7640 | 839.716781 | 7 | 13 |
| Pacific | (28.05,28.1] | 4 | cstar_tref ~ sal + temp + phosphate + phosphate_star | 2208 | 1.3739044 | 7680.8042 | 33.831912 | 5.871217 | 2000-2009 –> 2010-2019 | 2.3938600 | 1.0199556 | 11844.8855 | 54.381780 | 8 | 18 |
| Pacific | (28.05,28.1] | 4 | cstar_tref ~ sal + temp + aou + phosphate_star | 2208 | 1.3765734 | 7689.3745 | 33.688011 | 5.883122 | 2000-2009 –> 2010-2019 | 2.3945323 | 1.0179589 | 11847.8005 | 54.151566 | 9 | 18 |
| Pacific | (28.05,28.1] | 4 | cstar_tref ~ sal + temp + aou + phosphate | 2208 | 1.3828404 | 7709.4334 | 666.840697 | 5.870397 | 2000-2009 –> 2010-2019 | 2.3953941 | 1.0125537 | 11852.4943 | 1094.199834 | 10 | 18 |
| Pacific | (28.1,28.2] | 5 | cstar_tref ~ sal + temp + nitrate + silicate + phosphate_star | 3453 | 0.8547266 | 8729.1293 | 27.691146 | 3.450653 | 1982-1999 –> 2000-2009 | 1.4569524 | 0.6022259 | 12009.2535 | 73.762493 | 2 | 3 |
| Pacific | (28.1,28.2] | 5 | cstar_tref ~ sal + temp + aou + silicate + phosphate_star | 3453 | 0.8550636 | 8731.8517 | 36.286193 | 3.601747 | 1982-1999 –> 2000-2009 | 1.4676323 | 0.6125688 | 12072.9727 | 91.969806 | 3 | 6 |
| Pacific | (28.1,28.2] | 5 | cstar_tref ~ sal + temp + silicate + phosphate + phosphate_star | 3453 | 0.8554117 | 8734.6628 | 41.463541 | 3.598414 | 1982-1999 –> 2000-2009 | 1.4676933 | 0.6122816 | 12074.1040 | 103.878498 | 4 | 6 |
| Pacific | (28.1,28.2] | 5 | cstar_tref ~ sal + temp + aou + silicate + phosphate | 3453 | 0.8518349 | 8705.7255 | 304.083704 | 3.589752 | 1982-1999 –> 2000-2009 | 1.4677477 | 0.6159128 | 12066.3476 | 838.181232 | 1 | 5 |
| Pacific | (28.1,28.2] | 4 | cstar_tref ~ sal + temp + silicate + phosphate_star | 3453 | 0.8795252 | 8924.6451 | 8.513358 | 4.500384 | 1982-1999 –> 2000-2009 | 1.5548715 | 0.6753463 | 12613.2417 | 26.027099 | 5 | 10 |
| Pacific | (28.1,28.2] | 4 | cstar_tref ~ temp + aou + silicate + phosphate | 3453 | 0.9748977 | 9635.6201 | 303.809472 | 5.352159 | 1982-1999 –> 2000-2009 | 1.6621670 | 0.6872693 | 13386.9038 | 832.492323 | 6 | 12 |
| Pacific | (28.1,28.2] | 5 | cstar_tref ~ temp + aou + nitrate + silicate + phosphate_star | 3453 | 0.9765209 | 9649.1090 | 444.463370 | 5.215560 | 1982-1999 –> 2000-2009 | 1.6688613 | 0.6923404 | 13428.7259 | 1185.974817 | 7 | 14 |
| Pacific | (28.1,28.2] | 5 | cstar_tref ~ temp + nitrate + silicate + phosphate + phosphate_star | 3453 | 0.9814646 | 9683.9828 | 528.519098 | 5.260587 | 1982-1999 –> 2000-2009 | 1.6747551 | 0.6932905 | 13468.5118 | 1439.379887 | 8 | 17 |
| Pacific | (28.1,28.2] | 4 | cstar_tref ~ temp + aou + silicate + phosphate_star | 3453 | 0.9854779 | 9710.1645 | 29.609252 | 5.344921 | 1982-1999 –> 2000-2009 | 1.6780531 | 0.6925752 | 13488.9959 | 75.097868 | 10 | 18 |
| Pacific | (28.1,28.2] | 4 | cstar_tref ~ temp + silicate + phosphate + phosphate_star | 3453 | 0.9881450 | 9728.8300 | 34.121322 | 5.354089 | 1982-1999 –> 2000-2009 | 1.6817891 | 0.6936441 | 13513.1856 | 87.118534 | 11 | 21 |
| Pacific | (28.1,28.2] | 5 | cstar_tref ~ sal + temp + aou + silicate + phosphate | 4564 | 0.8528949 | 11513.6326 | 742.518417 | 3.446213 | 2000-2009 –> 2010-2019 | 1.7047297 | 0.8518349 | 20219.3582 | 1046.602120 | 1 | 2 |
| Pacific | (28.1,28.2] | 5 | cstar_tref ~ sal + temp + aou + silicate + phosphate_star | 4564 | 0.8537691 | 11522.9841 | 85.367204 | 3.494147 | 2000-2009 –> 2010-2019 | 1.7088326 | 0.8550636 | 20254.8357 | 121.653397 | 2 | 5 |
| Pacific | (28.1,28.2] | 5 | cstar_tref ~ sal + temp + silicate + phosphate + phosphate_star | 4564 | 0.8538208 | 11523.5370 | 86.793238 | 3.494907 | 2000-2009 –> 2010-2019 | 1.7092325 | 0.8554117 | 20258.1998 | 128.256779 | 3 | 7 |
| Pacific | (28.1,28.2] | 5 | cstar_tref ~ sal + temp + nitrate + silicate + phosphate_star | 4564 | 0.8550689 | 11536.8707 | 73.546428 | 3.454870 | 2000-2009 –> 2010-2019 | 1.7097955 | 0.8547266 | 20265.9999 | 101.237574 | 4 | 6 |
| Pacific | (28.1,28.2] | 4 | cstar_tref ~ sal + temp + silicate + phosphate_star | 4564 | 0.8599492 | 11586.8206 | 23.815866 | 3.234501 | 2000-2009 –> 2010-2019 | 1.7394744 | 0.8795252 | 20511.4657 | 32.329223 | 5 | 10 |
| Pacific | (28.1,28.2] | 5 | cstar_tref ~ sal + temp + aou + nitrate + silicate | 4564 | 1.0370378 | 13298.0418 | 582.865578 | 3.628284 | 2000-2009 –> 2010-2019 | 2.0188469 | 0.9818091 | 22984.4481 | 826.240733 | 6 | 13 |
| Pacific | (28.1,28.2] | 4 | cstar_tref ~ temp + aou + silicate + phosphate | 4564 | 1.1635557 | 14346.7857 | 732.102178 | 6.773999 | 2000-2009 –> 2010-2019 | 2.1384534 | 0.9748977 | 23982.4059 | 1035.911650 | 10 | 16 |
| Pacific | (28.1,28.2] | 4 | cstar_tref ~ temp + aou + silicate + phosphate_star | 4564 | 1.1794665 | 14470.7585 | 59.643891 | 7.064847 | 2000-2009 –> 2010-2019 | 2.1649443 | 0.9854779 | 24180.9230 | 89.253143 | 11 | 19 |
| Pacific | (28.1,28.2] | 4 | cstar_tref ~ temp + silicate + phosphate + phosphate_star | 4564 | 1.1835537 | 14502.3355 | 67.106212 | 7.138709 | 2000-2009 –> 2010-2019 | 2.1716987 | 0.9881450 | 24231.1655 | 101.227534 | 12 | 21 |
| Pacific | (28.1,28.2] | 4 | cstar_tref ~ temp + nitrate + silicate + phosphate_star | 4564 | 1.2020948 | 14644.2226 | 55.590705 | 7.320281 | 2000-2009 –> 2010-2019 | 2.2093643 | 1.0072695 | 24505.4336 | 80.141298 | 16 | 26 |
| Pacific | (28.2,28.3] | 5 | cstar_tref ~ temp + aou + nitrate + silicate + phosphate | 8692 | 0.4720471 | 11631.0681 | 440.547248 | 5.812936 | 1982-1999 –> 2000-2009 | 1.0354345 | 0.5633874 | 19214.2383 | 1219.008471 | 2 | 3 |
| Pacific | (28.2,28.3] | 5 | cstar_tref ~ temp + nitrate + silicate + phosphate + phosphate_star | 8692 | 0.4768277 | 11806.2356 | 355.559273 | 5.930624 | 1982-1999 –> 2000-2009 | 1.0518158 | 0.5749881 | 19571.9451 | 1088.326464 | 3 | 7 |
| Pacific | (28.2,28.3] | 5 | cstar_tref ~ temp + aou + nitrate + silicate + phosphate_star | 8692 | 0.4791017 | 11888.9449 | 301.661405 | 5.979722 | 1982-1999 –> 2000-2009 | 1.0547745 | 0.5756727 | 19665.3122 | 888.062306 | 4 | 9 |
| Pacific | (28.2,28.3] | 5 | cstar_tref ~ sal + temp + aou + silicate + phosphate | 8692 | 0.5051133 | 12808.0329 | 196.189177 | 4.935332 | 1982-1999 –> 2000-2009 | 1.0722767 | 0.5671634 | 20451.0284 | 449.280616 | 8 | 10 |
| Pacific | (28.2,28.3] | 5 | cstar_tref ~ sal + temp + nitrate + silicate + phosphate_star | 8692 | 0.4969475 | 12524.7022 | 10.463116 | 5.097646 | 1982-1999 –> 2000-2009 | 1.0726357 | 0.5756882 | 20301.3097 | 32.214767 | 6 | 12 |
| Pacific | (28.2,28.3] | 4 | cstar_tref ~ temp + aou + silicate + phosphate | 8692 | 0.5065203 | 12854.3876 | 196.106602 | 5.241095 | 1982-1999 –> 2000-2009 | 1.0740610 | 0.5675407 | 20501.3394 | 449.180915 | 9 | 12 |
| Pacific | (28.2,28.3] | 4 | cstar_tref ~ temp + nitrate + silicate + phosphate_star | 8692 | 0.4986399 | 12581.8037 | 4.596350 | 5.430750 | 1982-1999 –> 2000-2009 | 1.0743602 | 0.5757203 | 20356.9113 | 21.959810 | 7 | 14 |
| Pacific | (28.2,28.3] | 5 | cstar_tref ~ sal + temp + aou + silicate + phosphate_star | 8692 | 0.5076437 | 12894.9006 | 12.772154 | 5.013929 | 1982-1999 –> 2000-2009 | 1.0847010 | 0.5770574 | 20692.7834 | 33.696504 | 10 | 18 |
| Pacific | (28.2,28.3] | 5 | cstar_tref ~ sal + temp + silicate + phosphate + phosphate_star | 8692 | 0.5078862 | 12903.2045 | 12.753310 | 5.022225 | 1982-1999 –> 2000-2009 | 1.0861836 | 0.5782974 | 20720.3120 | 35.771462 | 11 | 21 |
| Pacific | (28.2,28.3] | 4 | cstar_tref ~ temp + aou + silicate + phosphate_star | 8692 | 0.5097011 | 12963.2155 | 4.897664 | 5.374926 | 1982-1999 –> 2000-2009 | 1.0869259 | 0.5772248 | 20761.6962 | 21.811066 | 12 | 21 |
| Pacific | (28.2,28.3] | 5 | cstar_tref ~ sal + aou + nitrate + silicate + phosphate | 12884 | 0.5848776 | 22756.4719 | 629.656162 | 5.315485 | 2000-2009 –> 2010-2019 | 1.0475817 | 0.4627041 | 34040.0170 | 1059.308716 | 2 | 3 |
| Pacific | (28.2,28.3] | 5 | cstar_tref ~ sal + temp + nitrate + silicate + phosphate_star | 12884 | 0.5865184 | 22828.6584 | 18.476900 | 3.756673 | 2000-2009 –> 2010-2019 | 1.0834659 | 0.4969475 | 35353.3606 | 28.940016 | 5 | 11 |
| Pacific | (28.2,28.3] | 5 | cstar_tref ~ sal + temp + aou + silicate + phosphate | 12884 | 0.5822729 | 22641.4610 | 236.138095 | 3.754396 | 2000-2009 –> 2010-2019 | 1.0873862 | 0.5051133 | 35449.4938 | 432.327272 | 1 | 9 |
| Pacific | (28.2,28.3] | 5 | cstar_tref ~ sal + temp + aou + silicate + phosphate_star | 12884 | 0.5850091 | 22762.2636 | 19.850952 | 3.818587 | 2000-2009 –> 2010-2019 | 1.0926527 | 0.5076437 | 35657.1642 | 32.623106 | 4 | 14 |
| Pacific | (28.2,28.3] | 5 | cstar_tref ~ sal + temp + silicate + phosphate + phosphate_star | 12884 | 0.5848911 | 22757.0664 | 19.801179 | 3.818134 | 2000-2009 –> 2010-2019 | 1.0927773 | 0.5078862 | 35660.2709 | 32.554490 | 3 | 14 |
| Pacific | (28.2,28.3] | 5 | cstar_tref ~ sal + nitrate + silicate + phosphate + phosphate_star | 12884 | 0.6047995 | 23619.5542 | 587.746478 | 5.438942 | 2000-2009 –> 2010-2019 | 1.0978215 | 0.4930220 | 36006.3927 | 887.193361 | 7 | 12 |
| Pacific | (28.2,28.3] | 4 | cstar_tref ~ sal + temp + silicate + phosphate_star | 12884 | 0.5898319 | 22971.8245 | 10.211385 | 3.584216 | 2000-2009 –> 2010-2019 | 1.1260912 | 0.5362593 | 36818.0306 | 14.975139 | 6 | 21 |
| Pacific | (28.2,28.3] | 5 | cstar_tref ~ sal + temp + nitrate + silicate + phosphate | 12884 | 0.6164613 | 24111.6857 | 747.891117 | 4.107056 | 2000-2009 –> 2010-2019 | 1.1910453 | 0.5745840 | 39159.8833 | 1176.739008 | 8 | 27 |
| Pacific | (28.2,28.3] | 4 | cstar_tref ~ sal + aou + silicate + phosphate | 12884 | 0.6346120 | 24857.4308 | 235.433958 | 5.592245 | 2000-2009 –> 2010-2019 | 1.1922363 | 0.5576243 | 39382.7873 | 429.374322 | 10 | 26 |
| Pacific | (28.2,28.3] | 4 | cstar_tref ~ sal + nitrate + silicate + phosphate | 12884 | 0.6192468 | 24225.8606 | 583.815751 | 4.609683 | 2000-2009 –> 2010-2019 | 1.1952887 | 0.5760419 | 39316.1098 | 880.211077 | 9 | 29 |
| Pacific | (28.3, Inf] | 5 | cstar_tref ~ sal + aou + nitrate + phosphate + phosphate_star | 2612 | 0.7993009 | 6256.2656 | 507.242385 | 3.659694 | 1982-1999 –> 2000-2009 | 1.7732509 | 0.9739501 | 12564.5612 | 1422.921219 | 3 | 4 |
| Pacific | (28.3, Inf] | 5 | cstar_tref ~ sal + temp + aou + nitrate + phosphate | 2612 | 0.7968568 | 6240.2674 | 294.386049 | 3.664483 | 1982-1999 –> 2000-2009 | 1.7983535 | 1.0014967 | 12674.6296 | 857.356453 | 1 | 3 |
| Pacific | (28.3, Inf] | 5 | cstar_tref ~ sal + temp + nitrate + phosphate + phosphate_star | 2612 | 0.8001542 | 6261.8399 | 431.624181 | 3.662897 | 1982-1999 –> 2000-2009 | 1.8074827 | 1.0073285 | 12722.4459 | 1237.379175 | 4 | 7 |
| Pacific | (28.3, Inf] | 4 | cstar_tref ~ sal + nitrate + phosphate + phosphate_star | 2612 | 0.8002433 | 6260.4214 | 326.745413 | 3.662004 | 1982-1999 –> 2000-2009 | 1.8423153 | 1.0420721 | 12872.2977 | 494.749211 | 5 | 10 |
| Pacific | (28.3, Inf] | 4 | cstar_tref ~ sal + temp + nitrate + phosphate | 2612 | 0.8354002 | 6485.0281 | 137.371635 | 3.624095 | 1982-1999 –> 2000-2009 | 1.8483511 | 1.0129508 | 12968.7921 | 348.361262 | 25 | 29 |
| Pacific | (28.3, Inf] | 5 | cstar_tref ~ sal + temp + nitrate + silicate + phosphate_star | 2612 | 0.8035573 | 6284.0103 | 65.309190 | 3.425137 | 1982-1999 –> 2000-2009 | 1.8649409 | 1.0613837 | 12980.8844 | 157.194086 | 7 | 14 |
| Pacific | (28.3, Inf] | 4 | cstar_tref ~ sal + aou + nitrate + phosphate | 2612 | 0.8031852 | 6279.5908 | 284.711153 | 3.602305 | 1982-1999 –> 2000-2009 | 1.8836230 | 1.0804378 | 13054.8888 | 489.674740 | 6 | 16 |
| Pacific | (28.3, Inf] | 5 | cstar_tref ~ sal + aou + silicate + phosphate + phosphate_star | 2612 | 0.8474990 | 6562.1422 | 478.288013 | 3.752533 | 1982-1999 –> 2000-2009 | 1.8898970 | 1.0423981 | 13177.4324 | 1077.221268 | 33 | 39 |
| Pacific | (28.3, Inf] | 5 | cstar_tref ~ sal + temp + aou + nitrate + silicate | 2612 | 0.8222875 | 6404.3802 | 116.702670 | 3.209025 | 1982-1999 –> 2000-2009 | 1.8946290 | 1.0723415 | 13147.6798 | 257.007225 | 16 | 24 |
| Pacific | (28.3, Inf] | 5 | cstar_tref ~ sal + aou + nitrate + silicate + phosphate_star | 2612 | 0.7992776 | 6256.1138 | 372.102639 | 3.347512 | 1982-1999 –> 2000-2009 | 1.9224647 | 1.1231870 | 13208.8053 | 1293.519324 | 2 | 17 |
| Pacific | (28.3, Inf] | 5 | cstar_tref ~ temp + nitrate + silicate + phosphate + phosphate_star | 4522 | 1.1988881 | 14487.4124 | 748.881271 | 5.832801 | 2000-2009 –> 2010-2019 | 1.9910718 | 0.7921837 | 20696.9539 | 1207.365426 | 1 | 4 |
| Pacific | (28.3, Inf] | 5 | cstar_tref ~ temp + aou + nitrate + silicate + phosphate | 4522 | 1.2020380 | 14511.1432 | 643.453060 | 5.875038 | 2000-2009 –> 2010-2019 | 1.9929773 | 0.7909393 | 20712.4721 | 1035.149399 | 2 | 4 |
| Pacific | (28.3, Inf] | 5 | cstar_tref ~ sal + nitrate + silicate + phosphate + phosphate_star | 4522 | 1.2050873 | 14534.0564 | 703.889795 | 5.619293 | 2000-2009 –> 2010-2019 | 1.9931751 | 0.7880879 | 20716.5181 | 1134.967140 | 6 | 7 |
| Pacific | (28.3, Inf] | 5 | cstar_tref ~ sal + aou + nitrate + silicate + phosphate | 4522 | 1.2025767 | 14515.1953 | 657.665059 | 5.665655 | 2000-2009 –> 2010-2019 | 1.9948371 | 0.7922604 | 20725.2425 | 1046.476642 | 3 | 8 |
| Pacific | (28.3, Inf] | 5 | cstar_tref ~ aou + nitrate + silicate + phosphate + phosphate_star | 4522 | 1.2029743 | 14518.1850 | 889.417595 | 5.858746 | 2000-2009 –> 2010-2019 | 1.9952066 | 0.7922323 | 20728.0469 | 1448.435515 | 4 | 8 |
| Pacific | (28.3, Inf] | 4 | cstar_tref ~ aou + nitrate + silicate + phosphate | 4522 | 1.2030869 | 14517.0310 | 641.307985 | 5.841140 | 2000-2009 –> 2010-2019 | 1.9966861 | 0.7935993 | 20733.8990 | 1029.479159 | 5 | 12 |
| Pacific | (28.3, Inf] | 4 | cstar_tref ~ nitrate + silicate + phosphate + phosphate_star | 4522 | 1.2055493 | 14535.5230 | 661.633764 | 5.784563 | 2000-2009 –> 2010-2019 | 1.9978726 | 0.7923233 | 20743.9852 | 1045.716437 | 7 | 13 |
| Pacific | (28.3, Inf] | 5 | cstar_tref ~ temp + aou + nitrate + silicate + phosphate_star | 4522 | 1.2104495 | 14574.2100 | 889.003324 | 6.025233 | 2000-2009 –> 2010-2019 | 2.0084583 | 0.7980088 | 20822.0243 | 1404.689481 | 8 | 19 |
| Pacific | (28.3, Inf] | 5 | cstar_tref ~ sal + aou + nitrate + silicate + phosphate_star | 4522 | 1.2138583 | 14599.6435 | 530.535284 | 5.684912 | 2000-2009 –> 2010-2019 | 2.0131360 | 0.7992776 | 20855.7573 | 902.637923 | 9 | 21 |
| Pacific | (28.3, Inf] | 5 | cstar_tref ~ sal + temp + nitrate + silicate + phosphate | 4522 | 1.2180973 | 14631.1715 | 650.140796 | 5.362424 | 2000-2009 –> 2010-2019 | 2.0155531 | 0.7974558 | 20875.3643 | 1041.843655 | 11 | 20 |
lm_best %>%
select(-n_predictors) %>%
group_by(basin, gamma_slab, eras) %>%
summarise(rmse_sum_mean = mean(rmse_sum),
ais_sum_mean = mean(aic_sum)) %>%
ungroup() %>%
kable() %>%
add_header_above() %>%
kable_styling() %>%
scroll_box(width = "100%", height = "400px")
| basin | gamma_slab | eras | rmse_sum_mean | ais_sum_mean |
|---|---|---|---|---|
| Atlantic | (-Inf,26] | 1982-1999 –> 2000-2009 | 3.4447805 | 724.2651 |
| Atlantic | (-Inf,26] | 2000-2009 –> 2010-2019 | 2.9316061 | 647.3008 |
| Atlantic | (26,26.5] | 1982-1999 –> 2000-2009 | 7.2541206 | 3432.5572 |
| Atlantic | (26,26.5] | 2000-2009 –> 2010-2019 | 7.3337194 | 3260.0506 |
| Atlantic | (26.5,26.75] | 1982-1999 –> 2000-2009 | 5.5079794 | 4437.5555 |
| Atlantic | (26.5,26.75] | 2000-2009 –> 2010-2019 | 7.0902491 | 4593.0092 |
| Atlantic | (26.75,27] | 1982-1999 –> 2000-2009 | 3.9585083 | 7066.3075 |
| Atlantic | (26.75,27] | 2000-2009 –> 2010-2019 | 5.0490049 | 6980.7199 |
| Atlantic | (27,27.25] | 1982-1999 –> 2000-2009 | 3.7349473 | 9248.5147 |
| Atlantic | (27,27.25] | 2000-2009 –> 2010-2019 | 4.5537866 | 10140.9142 |
| Atlantic | (27.25,27.5] | 1982-1999 –> 2000-2009 | 5.7010322 | 18093.6648 |
| Atlantic | (27.25,27.5] | 2000-2009 –> 2010-2019 | 7.0425860 | 20222.6418 |
| Atlantic | (27.5,27.75] | 1982-1999 –> 2000-2009 | 4.0070263 | 29713.0059 |
| Atlantic | (27.5,27.75] | 2000-2009 –> 2010-2019 | 4.4942091 | 32405.0963 |
| Atlantic | (27.75,27.85] | 1982-1999 –> 2000-2009 | 2.1873416 | 7801.3495 |
| Atlantic | (27.75,27.85] | 2000-2009 –> 2010-2019 | 2.5477858 | 9253.9763 |
| Atlantic | (27.85,27.95] | 1982-1999 –> 2000-2009 | 3.5527117 | 9921.8209 |
| Atlantic | (27.85,27.95] | 2000-2009 –> 2010-2019 | 4.0618204 | 11282.7554 |
| Atlantic | (27.95,28.05] | 1982-1999 –> 2000-2009 | 6.9589604 | 16625.4403 |
| Atlantic | (27.95,28.05] | 2000-2009 –> 2010-2019 | 6.6832326 | 16349.8502 |
| Atlantic | (28.05,28.1] | 1982-1999 –> 2000-2009 | 1.0410289 | 2521.2380 |
| Atlantic | (28.05,28.1] | 2000-2009 –> 2010-2019 | 1.3526236 | 3696.2374 |
| Atlantic | (28.1,28.15] | 1982-1999 –> 2000-2009 | 1.0899901 | 3923.8289 |
| Atlantic | (28.1,28.15] | 2000-2009 –> 2010-2019 | 1.2673941 | 5257.0436 |
| Atlantic | (28.15,28.2] | 1982-1999 –> 2000-2009 | 1.2340923 | 7857.3651 |
| Atlantic | (28.15,28.2] | 2000-2009 –> 2010-2019 | 1.4380398 | 10936.3806 |
| Atlantic | (28.2, Inf] | 1982-1999 –> 2000-2009 | 1.3253079 | 11694.1381 |
| Atlantic | (28.2, Inf] | 2000-2009 –> 2010-2019 | 1.5276149 | 16523.4345 |
| Indian | (-Inf,26] | 1982-1999 –> 2000-2009 | 3.4430436 | 2843.2182 |
| Indian | (-Inf,26] | 2000-2009 –> 2010-2019 | 3.0791461 | 1538.3785 |
| Indian | (26,26.5] | 1982-1999 –> 2000-2009 | 3.7354251 | 5373.8442 |
| Indian | (26,26.5] | 2000-2009 –> 2010-2019 | 2.8863847 | 2665.6943 |
| Indian | (26.5,26.75] | 1982-1999 –> 2000-2009 | 2.7452550 | 4548.0086 |
| Indian | (26.5,26.75] | 2000-2009 –> 2010-2019 | 2.1346101 | 2372.4086 |
| Indian | (26.75,27] | 1982-1999 –> 2000-2009 | 2.4147327 | 6338.5771 |
| Indian | (26.75,27] | 2000-2009 –> 2010-2019 | 2.2221981 | 3996.5612 |
| Indian | (27,27.25] | 1982-1999 –> 2000-2009 | 3.9991326 | 9225.0540 |
| Indian | (27,27.25] | 2000-2009 –> 2010-2019 | 3.9395060 | 6236.8615 |
| Indian | (27.25,27.5] | 1982-1999 –> 2000-2009 | 3.2395011 | 9965.2332 |
| Indian | (27.25,27.5] | 2000-2009 –> 2010-2019 | 3.1807982 | 6394.5850 |
| Indian | (27.5,27.75] | 1982-1999 –> 2000-2009 | 2.2736720 | 10569.6840 |
| Indian | (27.5,27.75] | 2000-2009 –> 2010-2019 | 2.5026851 | 7659.0053 |
| Indian | (27.75,27.85] | 1982-1999 –> 2000-2009 | 1.8533151 | 3585.8307 |
| Indian | (27.75,27.85] | 2000-2009 –> 2010-2019 | 2.1266249 | 2910.0894 |
| Indian | (27.85,27.95] | 1982-1999 –> 2000-2009 | 2.1284137 | 4634.4485 |
| Indian | (27.85,27.95] | 2000-2009 –> 2010-2019 | 2.6197817 | 3940.5670 |
| Indian | (27.95,28.05] | 1982-1999 –> 2000-2009 | 2.3368894 | 5848.8985 |
| Indian | (27.95,28.05] | 2000-2009 –> 2010-2019 | 2.8010381 | 4655.8237 |
| Indian | (28.05,28.1] | 1982-1999 –> 2000-2009 | 2.2526859 | 3372.8984 |
| Indian | (28.05,28.1] | 2000-2009 –> 2010-2019 | 2.7031895 | 2596.5949 |
| Indian | (28.1,28.2] | 1982-1999 –> 2000-2009 | 1.5517707 | 6883.0523 |
| Indian | (28.1,28.2] | 2000-2009 –> 2010-2019 | 1.8195088 | 5808.2837 |
| Indian | (28.2,28.3] | 1982-1999 –> 2000-2009 | 0.8380009 | 6191.3917 |
| Indian | (28.2,28.3] | 2000-2009 –> 2010-2019 | 0.9150985 | 5202.6557 |
| Indian | (28.3, Inf] | 1982-1999 –> 2000-2009 | 0.9793003 | 7125.6989 |
| Indian | (28.3, Inf] | 2000-2009 –> 2010-2019 | 1.1806918 | 7735.6340 |
| Pacific | (-Inf,26] | 1982-1999 –> 2000-2009 | 10.1623829 | 18919.6634 |
| Pacific | (-Inf,26] | 2000-2009 –> 2010-2019 | 9.9958546 | 34526.5733 |
| Pacific | (26,26.5] | 1982-1999 –> 2000-2009 | 6.3387930 | 17047.4836 |
| Pacific | (26,26.5] | 2000-2009 –> 2010-2019 | 6.4896194 | 24083.4509 |
| Pacific | (26.5,26.75] | 1982-1999 –> 2000-2009 | 4.3340705 | 12495.4958 |
| Pacific | (26.5,26.75] | 2000-2009 –> 2010-2019 | 5.3245740 | 19628.8194 |
| Pacific | (26.75,27] | 1982-1999 –> 2000-2009 | 5.0228042 | 17712.8822 |
| Pacific | (26.75,27] | 2000-2009 –> 2010-2019 | 5.8762735 | 26364.8465 |
| Pacific | (27,27.25] | 1982-1999 –> 2000-2009 | 4.8054502 | 22463.1189 |
| Pacific | (27,27.25] | 2000-2009 –> 2010-2019 | 5.0074091 | 33264.6267 |
| Pacific | (27.25,27.5] | 1982-1999 –> 2000-2009 | 4.5527308 | 30965.4351 |
| Pacific | (27.25,27.5] | 2000-2009 –> 2010-2019 | 4.9854842 | 44127.0812 |
| Pacific | (27.5,27.75] | 1982-1999 –> 2000-2009 | 3.6569540 | 29949.7159 |
| Pacific | (27.5,27.75] | 2000-2009 –> 2010-2019 | 4.1594804 | 44742.8519 |
| Pacific | (27.75,27.85] | 1982-1999 –> 2000-2009 | 3.0282022 | 10217.4454 |
| Pacific | (27.75,27.85] | 2000-2009 –> 2010-2019 | 3.1657934 | 14707.9304 |
| Pacific | (27.85,27.95] | 1982-1999 –> 2000-2009 | 2.7711925 | 11452.6230 |
| Pacific | (27.85,27.95] | 2000-2009 –> 2010-2019 | 2.9156800 | 17238.5362 |
| Pacific | (27.95,28.05] | 1982-1999 –> 2000-2009 | 2.2443302 | 11422.0713 |
| Pacific | (27.95,28.05] | 2000-2009 –> 2010-2019 | 2.6501782 | 21869.4147 |
| Pacific | (28.05,28.1] | 1982-1999 –> 2000-2009 | 1.7091720 | 5799.5086 |
| Pacific | (28.05,28.1] | 2000-2009 –> 2010-2019 | 2.2678554 | 11443.8256 |
| Pacific | (28.1,28.2] | 1982-1999 –> 2000-2009 | 1.5780523 | 12812.2243 |
| Pacific | (28.1,28.2] | 2000-2009 –> 2010-2019 | 1.9275372 | 22139.4235 |
| Pacific | (28.2,28.3] | 1982-1999 –> 2000-2009 | 1.0693169 | 20223.6876 |
| Pacific | (28.2,28.3] | 2000-2009 –> 2010-2019 | 1.1206347 | 36684.3510 |
| Pacific | (28.3, Inf] | 1982-1999 –> 2000-2009 | 1.8525308 | 12937.2417 |
| Pacific | (28.3, Inf] | 2000-2009 –> 2010-2019 | 1.9998974 | 20761.0264 |
A data frame to map the target variable is prepared.
# create table with two era belonging to one eras
eras_forward <- lm_all_fitted_wide %>%
arrange(era) %>%
group_by(basin, gamma_slab, model) %>%
mutate(eras = paste(era, lead(era), sep = " --> ")) %>%
ungroup() %>%
select(era, eras) %>%
unique()
eras_backward <- lm_all_fitted_wide %>%
arrange(era) %>%
group_by(basin, gamma_slab, model) %>%
mutate(eras = paste(lag(era), era, sep = " --> ")) %>%
ungroup() %>%
select(era, eras) %>%
unique()
eras_era <- full_join(eras_backward, eras_forward) %>%
filter(str_detect(eras, "NA") == FALSE)
# extend best model selection from eras to era
lm_best_target <- full_join(
lm_best %>% select(basin, gamma_slab, model, eras),
eras_era)
lm_best_target <- left_join(lm_best_target, lm_all_fitted_wide)
rm(eras_era, eras_forward, eras_backward,
lm_all_fitted)
# plot model diagnostics, if activated
if (params_local$plot_all_figures == "y") {
# mutate predictors column
lm_best_plot <- lm_best_target %>%
select(basin, gamma_slab, model, eras, era) %>%
mutate(
predictors = str_remove(model, paste(params_local$MLR_target, "~ ")),
predictors = str_replace_all(predictors, "\\+ ", "")
)
# loop across all basins, era, gamma slabs, and MLRs
# fit all MLR models
for (i_basin in unique(GLODAP$basin)) {
for (i_era in unique(GLODAP$era)) {
#i_basin <- unique(GLODAP$basin)[1]
#i_era <- unique(GLODAP$era)[2]
print(i_basin)
print(i_era)
GLODAP_basin_era <- GLODAP %>%
filter(basin == i_basin, era == i_era)
for (i_gamma_slab in unique(GLODAP_basin_era$gamma_slab)) {
#i_gamma_slab <- unique(GLODAP_basin_era$gamma_slab)[1]
print(i_gamma_slab)
GLODAP_basin_era_slab <- GLODAP_basin_era %>%
filter(gamma_slab == i_gamma_slab)
lm_best_basin_era_slab <- lm_best_plot %>%
filter(basin == i_basin, era == i_era, gamma_slab == i_gamma_slab)
for (i_eras in unique(lm_best_basin_era_slab$eras)) {
#i_eras <- unique(lm_best_basin_era_slab$eras)[1]
print(i_eras)
lm_best_basin_era_slab_eras <- lm_best_basin_era_slab %>%
filter(eras == i_eras)
for (i_predictors in unique(lm_best_basin_era_slab_eras$predictors)) {
#i_predictors <- unique(lm_best_basin_era_slab$predictors)[1]
print(i_predictors)
# extract one model definition
i_lm <- lm_all %>%
filter(predictors == i_predictors) %>%
select(lm_coeff) %>%
pull()
# fit model
if (params_local$MLR_type == "rlm") {
i_lm_fit <- MASS::rlm(as.formula(i_lm),
data = GLODAP_basin_era_slab)
}
if (params_local$MLR_type == "lm") {
i_lm_fit <- lm(as.formula(i_lm),
data = GLODAP_basin_era_slab)
}
# plot model diagnostics vs predictors
p_model_predictors <- ggnostic(
i_lm_fit,
columnsY = c(params_local$MLR_target, ".fitted", ".resid"),
title = paste(
"era:",
i_era,
"| eras:",
i_eras,
"| basin:",
i_basin,
"| gamma slab:",
i_gamma_slab,
"| predictors:",
i_predictors
)
)
ggsave(
plot = p_model_predictors,
path = paste(path_version_figures, "eMLR_diagnostics/", sep = ""),
filename = paste(
"MLR_residuals",
i_era,
i_eras,
i_basin,
i_gamma_slab,
i_predictors,
"predictors.png",
sep = "_"
),
width = 14,
height = 8
)
rm(p_model_predictors)
# plot model diagnostics vs location
GLODAP_basin_era_slab <- GLODAP_basin_era_slab %>%
mutate(fitted = i_lm_fit$fitted.values,
residuals = i_lm_fit$residuals)
GLODAP_basin_era_slab_long <- GLODAP_basin_era_slab %>%
pivot_longer(cols = c(params_local$MLR_target , fitted, residuals),
names_to = "estimate",
values_to = "value"
) %>%
pivot_longer(cols = c(lat, lon, depth),
names_to = "coordinate_type",
values_to = "coordinate_value"
)
p_model_coordinate <- GLODAP_basin_era_slab_long %>%
ggplot(aes(coordinate_value, value)) +
geom_bin2d() +
scale_fill_viridis_c() +
labs(
title = paste(
"era:",
i_era,
"| eras:",
i_eras,
"| basin:",
i_basin,
"| gamma slab:",
i_gamma_slab,
"| predictors:",
i_predictors
)
) +
facet_grid(estimate~coordinate_type,
scales = "free")
ggsave(
plot = p_model_coordinate,
path = paste(path_version_figures, "eMLR_diagnostics", sep = ""),
filename = paste(
"Location_MLR_residuals",
i_era,
i_eras,
i_basin,
i_gamma_slab,
i_predictors,
"predictors.png",
sep = "_"
),
width = 14,
height = 8
)
rm(p_model_coordinate)
}
}
}
}
}
rm(
lm_best_plot,
lm_best_basin_era_slab,
i_rmse,
GLODAP_basin_era,
GLODAP_basin_era_slab,
i_lm,
lm_all_fitted,
i_basin,
i_era,
i_gamma_slab,
i_predictors,
lm_all,
i_aic,
i_n_predictors,
i_resid_max
)
}
Individual residual plots of the MLR models for each basin, era, eras and neutral density (gamma) slab are available at:
/nfs/kryo/work/jenmueller/emlr_cant/model/v_XXX/figures/eMLR_diagnostics/
A data frame of coefficient offsets is prepared to facilitate the direct mapping of Cant.
# pivot long format
lm_best_long <- lm_best_target %>%
pivot_longer(cols = starts_with("coeff_"),
names_to = "term",
values_to = "estimate",
names_prefix = "coeff_")
# subtract coefficients of adjacent era
lm_best_long <- lm_best_long %>%
arrange(era) %>%
group_by(basin, gamma_slab, eras, model, term) %>%
mutate(delta_coeff = estimate - lag(estimate)) %>%
ungroup() %>%
arrange(basin, gamma_slab, model, term, eras) %>%
drop_na() %>%
select(-c(era,estimate))
# pivot back to wide format
lm_best_cant <- lm_best_long %>%
pivot_wider(values_from = delta_coeff,
names_from = term,
names_prefix = "delta_coeff_",
values_fill = 0)
lm_best_target %>%
select(
basin,
gamma_slab,
model,
eras,
era,
starts_with("coeff_")
) %>%
write_csv(paste(path_version_data,
"lm_best_target.csv",
sep = ""))
lm_best_cant %>%
select(
basin,
gamma_slab,
model,
eras,
starts_with("delta_coeff_")
) %>%
write_csv(paste(path_version_data,
"lm_best_cant.csv",
sep = ""))
lm_best %>%
write_csv(paste(path_version_data,
"lm_best.csv",
sep = ""))
The selection criterion (rmse) was plotted against the number of predictors (limited to 2 - 5).
if (params_local$MLR_criterion != "rank") {
lm_all_fitted_wide %>%
ggplot(aes(as.factor(n_predictors),
!!sym(params_local$MLR_criterion),
col = basin)) +
geom_hline(yintercept = 10) +
geom_boxplot() +
facet_grid(gamma_slab~era) +
scale_color_brewer(palette = "Set1") +
labs(x="Number of predictors")
}
if (params_local$MLR_criterion != "rank") {
lm_best_target %>%
ggplot(aes("",
!!sym(params_local$MLR_criterion),
col = basin)) +
geom_hline(yintercept = 10) +
geom_boxplot() +
facet_grid(gamma_slab~era) +
scale_color_brewer(palette = "Set1") +
labs(x="Number of predictors pooled")
}
RMSE was plotted to compare the agreement for one model applied to two adjacent eras (ie check whether the same predictor combination performs equal in both eras).
# find max rmse to scale axis
max_rmse <-
max(c(lm_all_fitted_wide_eras$rmse,
lm_all_fitted_wide_eras$rmse_sum - lm_all_fitted_wide_eras$rmse))
lm_all_fitted_wide_eras %>%
ggplot(aes(rmse, rmse_sum - rmse, col = gamma_slab)) +
geom_point() +
scale_color_viridis_d() +
coord_equal(xlim = c(0,max_rmse),
ylim = c(0,max_rmse)) +
facet_grid(eras ~ basin)

| Version | Author | Date |
|---|---|---|
| cceae84 | Donghe-Zhu | 2021-08-18 |
| 1cdb694 | Donghe-Zhu | 2021-08-18 |
| 9b7a798 | Donghe-Zhu | 2021-08-06 |
| 90f70da | Donghe-Zhu | 2021-08-06 |
| 496fa02 | Donghe-Zhu | 2021-08-05 |
| 19ecfe2 | Donghe-Zhu | 2021-08-05 |
| 3253031 | Donghe-Zhu | 2021-08-05 |
| 6c70952 | Donghe-Zhu | 2021-08-01 |
| 2666bd7 | Donghe-Zhu | 2021-08-01 |
| e51cfa2 | Donghe-Zhu | 2021-08-01 |
| 78cbc18 | Donghe-Zhu | 2021-08-01 |
| c55d4d7 | Donghe-Zhu | 2021-08-01 |
| 26741db | Donghe-Zhu | 2021-08-01 |
| ca539b5 | Donghe-Zhu | 2021-08-01 |
| 1e98138 | Donghe-Zhu | 2021-08-01 |
| 777b9e9 | Donghe-Zhu | 2021-08-01 |
| b110c47 | Donghe-Zhu | 2021-08-01 |
| 3611a48 | Donghe-Zhu | 2021-08-01 |
| af832ef | Donghe-Zhu | 2021-07-31 |
| 016f9ed | Donghe-Zhu | 2021-07-31 |
| 2080ac5 | Donghe-Zhu | 2021-07-31 |
| 50f0a16 | Donghe-Zhu | 2021-07-31 |
| 1682579 | Donghe-Zhu | 2021-07-31 |
| 9fa8832 | Donghe-Zhu | 2021-07-31 |
| 4abf542 | Donghe-Zhu | 2021-07-31 |
| a2483f0 | Donghe-Zhu | 2021-07-31 |
| 3300527 | Donghe-Zhu | 2021-07-31 |
| afeb6fd | Donghe-Zhu | 2021-07-31 |
| cb3ef32 | Donghe-Zhu | 2021-07-31 |
| 6528618 | Donghe-Zhu | 2021-07-31 |
| f50925e | Donghe-Zhu | 2021-07-31 |
| f4de2f3 | Donghe-Zhu | 2021-07-30 |
| 43bc7b4 | Donghe-Zhu | 2021-07-30 |
| f8c34a8 | Donghe-Zhu | 2021-07-30 |
| 4f897c4 | Donghe-Zhu | 2021-07-30 |
| 0f6e960 | Donghe-Zhu | 2021-07-30 |
| fe067ea | Donghe-Zhu | 2021-07-30 |
| fbca39a | Donghe-Zhu | 2021-07-30 |
| f945f95 | Donghe-Zhu | 2021-07-30 |
| a3006cd | Donghe-Zhu | 2021-07-30 |
| a55ffdc | Donghe-Zhu | 2021-07-30 |
| d5e4458 | Donghe-Zhu | 2021-07-30 |
| 10a97ef | Donghe-Zhu | 2021-07-30 |
| 1c501fd | Donghe-Zhu | 2021-07-30 |
| 68bce3f | Donghe-Zhu | 2021-07-30 |
| 400c457 | Donghe-Zhu | 2021-07-29 |
| 3ba7852 | Donghe-Zhu | 2021-07-29 |
| ec68363 | Donghe-Zhu | 2021-07-28 |
| d3018f6 | Donghe-Zhu | 2021-07-28 |
| b8ba2c4 | Donghe-Zhu | 2021-07-28 |
| a4ddd84 | Donghe-Zhu | 2021-07-27 |
| 7ef49ab | Donghe-Zhu | 2021-07-27 |
| da818c0 | Donghe-Zhu | 2021-07-27 |
| 8623898 | Donghe-Zhu | 2021-07-27 |
| f84b77c | Donghe-Zhu | 2021-07-27 |
| 70ad9a5 | Donghe-Zhu | 2021-07-27 |
| 0d0b48d | Donghe-Zhu | 2021-07-27 |
| d0d97c6 | Donghe-Zhu | 2021-07-27 |
| 829510d | Donghe-Zhu | 2021-07-27 |
| 780627d | Donghe-Zhu | 2021-07-27 |
| e9838c9 | Donghe-Zhu | 2021-07-27 |
| 2777f33 | Donghe-Zhu | 2021-07-27 |
| d19760f | Donghe-Zhu | 2021-07-27 |
| cac5680 | Donghe-Zhu | 2021-07-23 |
| 7bb279a | Donghe-Zhu | 2021-07-23 |
| d52eac4 | Donghe-Zhu | 2021-07-23 |
| dcf34b1 | Donghe-Zhu | 2021-07-23 |
| 419cb72 | Donghe-Zhu | 2021-07-22 |
| 9447d10 | Donghe-Zhu | 2021-07-22 |
| 639c9a0 | Donghe-Zhu | 2021-07-22 |
| 25bb96f | Donghe-Zhu | 2021-07-22 |
| cdc98a3 | Donghe-Zhu | 2021-07-22 |
| e4805a1 | Donghe-Zhu | 2021-07-22 |
| 7957fd1 | Donghe-Zhu | 2021-07-21 |
| b94be4e | Donghe-Zhu | 2021-07-21 |
| 9950e70 | Donghe-Zhu | 2021-07-21 |
| 698b6f0 | Donghe-Zhu | 2021-07-20 |
| d84a1cb | Donghe-Zhu | 2021-07-20 |
| 4dce223 | Donghe-Zhu | 2021-07-20 |
| 6f28c0c | Donghe-Zhu | 2021-07-20 |
| db1e7b7 | Donghe-Zhu | 2021-07-19 |
| ff0575d | Donghe-Zhu | 2021-07-19 |
| 5d60eac | Donghe-Zhu | 2021-07-19 |
| 57d0420 | Donghe-Zhu | 2021-07-16 |
| c1be8f6 | Donghe-Zhu | 2021-07-16 |
| 26a7c15 | Donghe-Zhu | 2021-07-16 |
| 046902b | Donghe-Zhu | 2021-07-16 |
| 3d4ac14 | Donghe-Zhu | 2021-07-15 |
| be6fff9 | Donghe-Zhu | 2021-07-15 |
| b473472 | Donghe-Zhu | 2021-07-15 |
| 363270a | Donghe-Zhu | 2021-07-15 |
| 8b75a03 | Donghe-Zhu | 2021-07-15 |
| a01e135 | Donghe-Zhu | 2021-07-07 |
| bc83ef2 | Donghe-Zhu | 2021-07-07 |
| 75e7b07 | Donghe-Zhu | 2021-07-06 |
| 697aa6d | Donghe-Zhu | 2021-07-06 |
| d52e2de | Donghe-Zhu | 2021-07-06 |
| f2bde6b | Donghe-Zhu | 2021-07-06 |
| 1133f28 | Donghe-Zhu | 2021-07-06 |
| fe3a1cd | Donghe-Zhu | 2021-07-06 |
| d9cdf15 | Donghe-Zhu | 2021-07-06 |
| ee4cd2d | Donghe-Zhu | 2021-07-06 |
| 93821c1 | Donghe-Zhu | 2021-07-05 |
| d44db8e | Donghe-Zhu | 2021-07-05 |
| 20b3436 | Donghe-Zhu | 2021-07-05 |
| d982ea5 | Donghe-Zhu | 2021-07-05 |
| 7397e53 | Donghe-Zhu | 2021-07-05 |
| f2e4805 | Donghe-Zhu | 2021-07-05 |
| e2d011a | Donghe-Zhu | 2021-07-05 |
| 85e0349 | Donghe-Zhu | 2021-07-05 |
| 6ee0146 | Donghe-Zhu | 2021-07-05 |
| a482a6b | Donghe-Zhu | 2021-07-05 |
| f59f1b3 | Donghe-Zhu | 2021-07-05 |
| 116bcab | Donghe-Zhu | 2021-07-04 |
| cb1c8dc | Donghe-Zhu | 2021-07-04 |
| c9bdd83 | Donghe-Zhu | 2021-07-04 |
| 1920ad9 | Donghe-Zhu | 2021-07-04 |
| 0b02791 | Donghe-Zhu | 2021-06-25 |
| caf62d8 | Donghe-Zhu | 2021-06-25 |
| 90a9da5 | Donghe-Zhu | 2021-06-25 |
| bb413c8 | Donghe-Zhu | 2021-06-25 |
| e7a5266 | Donghe-Zhu | 2021-06-24 |
| 7c57720 | Donghe-Zhu | 2021-06-24 |
| b5b95a9 | Donghe-Zhu | 2021-06-24 |
| 472aad4 | Donghe-Zhu | 2021-06-24 |
| d517836 | Donghe-Zhu | 2021-06-24 |
| 9221bfe | Donghe-Zhu | 2021-06-24 |
| bff5fbf | Donghe-Zhu | 2021-06-23 |
| 256a616 | Donghe-Zhu | 2021-06-23 |
| 00072e2 | Donghe-Zhu | 2021-06-23 |
| 7431530 | Donghe-Zhu | 2021-06-20 |
| d20c383 | Donghe-Zhu | 2021-06-18 |
| b0874a2 | Donghe-Zhu | 2021-06-17 |
| 72c2f2e | Donghe-Zhu | 2021-06-15 |
| d97dcb6 | Donghe-Zhu | 2021-06-08 |
| 25dda1d | Donghe-Zhu | 2021-06-08 |
| bd2bcc3 | Donghe-Zhu | 2021-06-08 |
| e9b27d7 | Donghe-Zhu | 2021-06-07 |
| 7ae0d4b | Donghe-Zhu | 2021-06-07 |
| 325391f | Donghe-Zhu | 2021-06-07 |
| ed89970 | Donghe-Zhu | 2021-06-07 |
| df37958 | Donghe-Zhu | 2021-06-07 |
| 812bf63 | Donghe-Zhu | 2021-06-06 |
| 65c89c8 | Donghe-Zhu | 2021-06-06 |
| 9baa3b2 | Donghe-Zhu | 2021-06-06 |
| b7d99cf | Donghe-Zhu | 2021-06-06 |
| 5d8fa90 | Donghe-Zhu | 2021-06-06 |
| dbe2a95 | Donghe-Zhu | 2021-05-28 |
| d50b039 | Donghe-Zhu | 2021-05-28 |
| 441ebe5 | Donghe-Zhu | 2021-05-28 |
| 6262ad3 | Donghe-Zhu | 2021-05-28 |
| a61aa77 | Donghe-Zhu | 2021-05-28 |
| b8dbce4 | Donghe-Zhu | 2021-05-28 |
| 94a833e | Donghe-Zhu | 2021-05-27 |
| 5e0bd64 | Donghe-Zhu | 2021-05-27 |
| af1eadd | Donghe-Zhu | 2021-05-27 |
| 9179bfe | Donghe-Zhu | 2021-05-27 |
| 28cbe5e | Donghe-Zhu | 2021-05-27 |
| a618f02 | Donghe-Zhu | 2021-05-27 |
| 4623e38 | Donghe-Zhu | 2021-05-27 |
| b81bb49 | Donghe-Zhu | 2021-05-27 |
| 951e188 | Donghe-Zhu | 2021-05-27 |
| e377833 | Donghe-Zhu | 2021-05-26 |
| 2705a04 | Donghe-Zhu | 2021-03-28 |
| cd5f759 | Donghe-Zhu | 2021-03-28 |
| 75dda4d | Donghe-Zhu | 2021-03-27 |
| 0b19f6e | Donghe-Zhu | 2021-03-27 |
| e2704ca | Donghe-Zhu | 2021-03-27 |
| 3061a0b | Donghe-Zhu | 2021-03-27 |
| b883157 | Donghe-Zhu | 2021-03-27 |
| d19654d | Donghe-Zhu | 2021-03-26 |
| 6c53dbf | Donghe-Zhu | 2021-03-25 |
| 1914a11 | Donghe-Zhu | 2021-03-24 |
| 8be810e | Donghe-Zhu | 2021-03-23 |
| bf19764 | Donghe-Zhu | 2021-03-22 |
| 3ec9d3d | Donghe-Zhu | 2021-03-22 |
| 134ace1 | Donghe-Zhu | 2021-03-22 |
| f6d70a4 | Donghe-Zhu | 2021-03-22 |
| 183443b | Donghe-Zhu | 2021-03-21 |
| 2e6976b | Donghe-Zhu | 2021-03-21 |
| 51a42bd | Donghe-Zhu | 2021-03-16 |
| f745381 | Donghe-Zhu | 2021-03-16 |
| aecbf75 | Donghe-Zhu | 2021-03-14 |
| 1b2a0c2 | Donghe-Zhu | 2021-03-14 |
| 6733e48 | Donghe-Zhu | 2021-03-12 |
| ba71e6a | Donghe-Zhu | 2021-03-12 |
| 9dbf5bd | Donghe-Zhu | 2021-03-11 |
| a49df30 | Donghe-Zhu | 2021-03-11 |
| b3348a5 | Donghe-Zhu | 2021-03-11 |
| 1c24ff7 | Donghe-Zhu | 2021-03-10 |
| 94ce5a8 | Donghe-Zhu | 2021-03-10 |
| db33928 | Donghe-Zhu | 2021-03-10 |
| 3d1f470 | Donghe-Zhu | 2021-03-10 |
| 9b7bc66 | Donghe-Zhu | 2021-03-10 |
| 5365f80 | Donghe-Zhu | 2021-03-10 |
| 2b6c392 | Donghe-Zhu | 2021-03-10 |
| 9f58753 | Donghe-Zhu | 2021-03-10 |
| 9d5a62c | Donghe-Zhu | 2021-03-10 |
| 5d1e70b | Donghe-Zhu | 2021-03-10 |
| 2093979 | Donghe-Zhu | 2021-03-10 |
| b865899 | Donghe-Zhu | 2021-03-10 |
| cc2a956 | Donghe-Zhu | 2021-03-10 |
| dba33c8 | Donghe-Zhu | 2021-03-09 |
| 17f1c4a | Donghe-Zhu | 2021-03-09 |
| c024d1a | Donghe-Zhu | 2021-03-09 |
| 02f7242 | Donghe-Zhu | 2021-03-09 |
| 1691156 | Donghe-Zhu | 2021-03-08 |
| c0ceaf8 | Donghe-Zhu | 2021-03-08 |
| 058e0a1 | Donghe-Zhu | 2021-03-08 |
| 112dea0 | Donghe-Zhu | 2021-03-08 |
| 1843412 | Donghe-Zhu | 2021-03-08 |
| 3fbbfa4 | Donghe-Zhu | 2021-03-07 |
| 627c8fb | Donghe-Zhu | 2021-03-07 |
| 9ef3222 | Donghe-Zhu | 2021-03-05 |
| 8c1e978 | Donghe-Zhu | 2021-03-05 |
| 865f68c | Donghe-Zhu | 2021-03-05 |
| ee69bc1 | Donghe-Zhu | 2021-03-05 |
| a79291f | Donghe-Zhu | 2021-03-05 |
| e8c6f30 | Donghe-Zhu | 2021-03-04 |
| 59288fe | Donghe-Zhu | 2021-03-04 |
| 731abc8 | Donghe-Zhu | 2021-03-04 |
| e2a5a33 | Donghe-Zhu | 2021-03-04 |
| c7892c1 | Donghe-Zhu | 2021-03-04 |
| 924430b | Donghe-Zhu | 2021-03-03 |
| 0d0bca1 | Donghe-Zhu | 2021-03-03 |
| cb63c16 | Donghe-Zhu | 2021-03-03 |
| ffda45a | Donghe-Zhu | 2021-03-03 |
| 691ba81 | Donghe-Zhu | 2021-03-03 |
| c5e45a2 | Donghe-Zhu | 2021-03-03 |
| 89c3e58 | Donghe-Zhu | 2021-03-03 |
| c911669 | Donghe-Zhu | 2021-03-03 |
| 13666ca | Donghe-Zhu | 2021-03-01 |
| c6e60fe | Donghe-Zhu | 2021-03-01 |
| 7a388f7 | Donghe-Zhu | 2021-03-01 |
| 799e913 | Donghe-Zhu | 2021-03-01 |
| 66ff99f | Donghe-Zhu | 2021-03-01 |
| ac9bb7a | Donghe-Zhu | 2021-02-28 |
| efdc047 | Donghe-Zhu | 2021-02-28 |
| e9a7418 | Donghe-Zhu | 2021-02-28 |
| 287123c | Donghe-Zhu | 2021-02-27 |
| 54d5b5b | Donghe-Zhu | 2021-02-27 |
| 330f064 | Donghe-Zhu | 2021-02-27 |
| adbc9bc | Donghe-Zhu | 2021-02-27 |
| 5937141 | Donghe-Zhu | 2021-02-27 |
| 4414bbf | Donghe-Zhu | 2021-02-27 |
| a265efb | Donghe-Zhu | 2021-02-27 |
| 19edd1e | Donghe-Zhu | 2021-02-27 |
| f20483f | Donghe-Zhu | 2021-02-26 |
| 6a2c7b3 | Donghe-Zhu | 2021-02-25 |
| 02b976d | Donghe-Zhu | 2021-02-24 |
| 354c224 | Donghe-Zhu | 2021-02-24 |
| 1a0a88a | Donghe-Zhu | 2021-02-24 |
| 57f701e | Donghe-Zhu | 2021-02-24 |
| 06f3149 | Donghe-Zhu | 2021-02-16 |
| e3bba84 | Donghe-Zhu | 2021-02-15 |
| 5dce4b1 | Donghe-Zhu | 2021-02-15 |
| 4469a0c | Donghe-Zhu | 2021-02-13 |
| 5ae6a69 | Donghe-Zhu | 2021-02-10 |
| 05385dc | Donghe-Zhu | 2021-02-10 |
| f791ae4 | Donghe-Zhu | 2021-02-09 |
| f71ae34 | Donghe-Zhu | 2021-02-09 |
| c011832 | Donghe-Zhu | 2021-02-09 |
| a145fa7 | Donghe-Zhu | 2021-02-09 |
| c344e42 | Donghe-Zhu | 2021-02-08 |
| 2f095d7 | Donghe-Zhu | 2021-02-07 |
| 1fad5f1 | Donghe-Zhu | 2021-02-07 |
| ca03c39 | Donghe-Zhu | 2021-02-07 |
| cd7c52c | Donghe-Zhu | 2021-02-04 |
| bcf84f4 | Donghe-Zhu | 2021-02-02 |
| 61666de | Donghe-Zhu | 2021-01-31 |
| 865b582 | Donghe-Zhu | 2021-01-31 |
| 3e68089 | Donghe-Zhu | 2021-01-31 |
| ecf335c | Donghe-Zhu | 2021-01-31 |
| a618965 | Donghe-Zhu | 2021-01-31 |
| 59e006e | Donghe-Zhu | 2021-01-31 |
| a1c8f87 | Donghe-Zhu | 2021-01-31 |
| ae5c18f | Donghe-Zhu | 2021-01-31 |
| b50fe52 | Donghe-Zhu | 2021-01-31 |
| ac99ae5 | jens-daniel-mueller | 2021-01-29 |
| b5bdcaf | Donghe-Zhu | 2021-01-29 |
| 442010d | Donghe-Zhu | 2021-01-29 |
| 372adf5 | Donghe-Zhu | 2021-01-29 |
| af8788e | Donghe-Zhu | 2021-01-29 |
| 21c91c9 | Donghe-Zhu | 2021-01-29 |
| eded038 | Donghe-Zhu | 2021-01-29 |
| 541d4dd | Donghe-Zhu | 2021-01-29 |
| 6a75576 | Donghe-Zhu | 2021-01-28 |
| 16fba40 | Donghe-Zhu | 2021-01-28 |
| 12bc567 | Donghe-Zhu | 2021-01-27 |
| ceed31b | Donghe-Zhu | 2021-01-27 |
| 342402d | Donghe-Zhu | 2021-01-27 |
| 5bad5c2 | Donghe-Zhu | 2021-01-27 |
| 61efb56 | Donghe-Zhu | 2021-01-25 |
| 48f638e | Donghe-Zhu | 2021-01-25 |
| c1cec47 | Donghe-Zhu | 2021-01-25 |
| 05ffb0c | Donghe-Zhu | 2021-01-25 |
| 8b97165 | Donghe-Zhu | 2021-01-25 |
| c569946 | Donghe-Zhu | 2021-01-24 |
| a2f0d56 | Donghe-Zhu | 2021-01-23 |
| 28509fc | Donghe-Zhu | 2021-01-23 |
| 4c28e4a | Donghe-Zhu | 2021-01-22 |
| 24cc264 | jens-daniel-mueller | 2021-01-22 |
| 7891955 | Donghe-Zhu | 2021-01-21 |
| d4cf1cb | Donghe-Zhu | 2021-01-21 |
| 1f3e5b6 | jens-daniel-mueller | 2021-01-20 |
| 0e7bdf1 | jens-daniel-mueller | 2021-01-15 |
| 4571843 | jens-daniel-mueller | 2021-01-14 |
| b3564aa | jens-daniel-mueller | 2021-01-14 |
| 8d032c3 | jens-daniel-mueller | 2021-01-14 |
| 17dee1d | jens-daniel-mueller | 2021-01-13 |
| 7cdea0c | jens-daniel-mueller | 2021-01-06 |
| fa85b93 | jens-daniel-mueller | 2021-01-06 |
| e5cb81a | Donghe-Zhu | 2021-01-05 |
| a499f10 | Donghe-Zhu | 2021-01-05 |
| fb8a752 | Donghe-Zhu | 2020-12-23 |
| 8fae0b2 | Donghe-Zhu | 2020-12-21 |
| c8b76b3 | jens-daniel-mueller | 2020-12-19 |
rm(max_rmse)
# find max rmse to scale axis
max_rmse <-
max(c(lm_best$rmse,
lm_best$rmse_sum - lm_best$rmse))
lm_best %>%
ggplot(aes(rmse, rmse_sum - rmse, col = gamma_slab)) +
geom_point() +
scale_color_viridis_d() +
coord_equal(xlim = c(0,max_rmse),
ylim = c(0,max_rmse)) +
facet_grid(eras ~ basin)

| Version | Author | Date |
|---|---|---|
| cceae84 | Donghe-Zhu | 2021-08-18 |
| 1cdb694 | Donghe-Zhu | 2021-08-18 |
| 9b7a798 | Donghe-Zhu | 2021-08-06 |
| 90f70da | Donghe-Zhu | 2021-08-06 |
| 496fa02 | Donghe-Zhu | 2021-08-05 |
| 19ecfe2 | Donghe-Zhu | 2021-08-05 |
| 3253031 | Donghe-Zhu | 2021-08-05 |
| 6c70952 | Donghe-Zhu | 2021-08-01 |
| 2666bd7 | Donghe-Zhu | 2021-08-01 |
| e51cfa2 | Donghe-Zhu | 2021-08-01 |
| 78cbc18 | Donghe-Zhu | 2021-08-01 |
| c55d4d7 | Donghe-Zhu | 2021-08-01 |
| 26741db | Donghe-Zhu | 2021-08-01 |
| ca539b5 | Donghe-Zhu | 2021-08-01 |
| 1e98138 | Donghe-Zhu | 2021-08-01 |
| 777b9e9 | Donghe-Zhu | 2021-08-01 |
| b110c47 | Donghe-Zhu | 2021-08-01 |
| 3611a48 | Donghe-Zhu | 2021-08-01 |
| af832ef | Donghe-Zhu | 2021-07-31 |
| 016f9ed | Donghe-Zhu | 2021-07-31 |
| 2080ac5 | Donghe-Zhu | 2021-07-31 |
| 50f0a16 | Donghe-Zhu | 2021-07-31 |
| 1682579 | Donghe-Zhu | 2021-07-31 |
| 9fa8832 | Donghe-Zhu | 2021-07-31 |
| 4abf542 | Donghe-Zhu | 2021-07-31 |
| a2483f0 | Donghe-Zhu | 2021-07-31 |
| 3300527 | Donghe-Zhu | 2021-07-31 |
| afeb6fd | Donghe-Zhu | 2021-07-31 |
| cb3ef32 | Donghe-Zhu | 2021-07-31 |
| 6528618 | Donghe-Zhu | 2021-07-31 |
| f50925e | Donghe-Zhu | 2021-07-31 |
| f4de2f3 | Donghe-Zhu | 2021-07-30 |
| 43bc7b4 | Donghe-Zhu | 2021-07-30 |
| f8c34a8 | Donghe-Zhu | 2021-07-30 |
| 4f897c4 | Donghe-Zhu | 2021-07-30 |
| 0f6e960 | Donghe-Zhu | 2021-07-30 |
| fe067ea | Donghe-Zhu | 2021-07-30 |
| fbca39a | Donghe-Zhu | 2021-07-30 |
| f945f95 | Donghe-Zhu | 2021-07-30 |
| a3006cd | Donghe-Zhu | 2021-07-30 |
| a55ffdc | Donghe-Zhu | 2021-07-30 |
| d5e4458 | Donghe-Zhu | 2021-07-30 |
| 10a97ef | Donghe-Zhu | 2021-07-30 |
| 1c501fd | Donghe-Zhu | 2021-07-30 |
| 68bce3f | Donghe-Zhu | 2021-07-30 |
| 400c457 | Donghe-Zhu | 2021-07-29 |
| 3ba7852 | Donghe-Zhu | 2021-07-29 |
| ec68363 | Donghe-Zhu | 2021-07-28 |
| d3018f6 | Donghe-Zhu | 2021-07-28 |
| b8ba2c4 | Donghe-Zhu | 2021-07-28 |
| a4ddd84 | Donghe-Zhu | 2021-07-27 |
| 7ef49ab | Donghe-Zhu | 2021-07-27 |
| da818c0 | Donghe-Zhu | 2021-07-27 |
| 8623898 | Donghe-Zhu | 2021-07-27 |
| f84b77c | Donghe-Zhu | 2021-07-27 |
| 70ad9a5 | Donghe-Zhu | 2021-07-27 |
| 0d0b48d | Donghe-Zhu | 2021-07-27 |
| d0d97c6 | Donghe-Zhu | 2021-07-27 |
| 829510d | Donghe-Zhu | 2021-07-27 |
| 780627d | Donghe-Zhu | 2021-07-27 |
| e9838c9 | Donghe-Zhu | 2021-07-27 |
| 2777f33 | Donghe-Zhu | 2021-07-27 |
| d19760f | Donghe-Zhu | 2021-07-27 |
| cac5680 | Donghe-Zhu | 2021-07-23 |
| 7bb279a | Donghe-Zhu | 2021-07-23 |
| d52eac4 | Donghe-Zhu | 2021-07-23 |
| dcf34b1 | Donghe-Zhu | 2021-07-23 |
| 419cb72 | Donghe-Zhu | 2021-07-22 |
| 9447d10 | Donghe-Zhu | 2021-07-22 |
| 639c9a0 | Donghe-Zhu | 2021-07-22 |
| 25bb96f | Donghe-Zhu | 2021-07-22 |
| cdc98a3 | Donghe-Zhu | 2021-07-22 |
| e4805a1 | Donghe-Zhu | 2021-07-22 |
| 7957fd1 | Donghe-Zhu | 2021-07-21 |
| b94be4e | Donghe-Zhu | 2021-07-21 |
| 9950e70 | Donghe-Zhu | 2021-07-21 |
| 698b6f0 | Donghe-Zhu | 2021-07-20 |
| d84a1cb | Donghe-Zhu | 2021-07-20 |
| 4dce223 | Donghe-Zhu | 2021-07-20 |
| 6f28c0c | Donghe-Zhu | 2021-07-20 |
| db1e7b7 | Donghe-Zhu | 2021-07-19 |
| ff0575d | Donghe-Zhu | 2021-07-19 |
| 5d60eac | Donghe-Zhu | 2021-07-19 |
| 57d0420 | Donghe-Zhu | 2021-07-16 |
| c1be8f6 | Donghe-Zhu | 2021-07-16 |
| 26a7c15 | Donghe-Zhu | 2021-07-16 |
| 046902b | Donghe-Zhu | 2021-07-16 |
| 3d4ac14 | Donghe-Zhu | 2021-07-15 |
| be6fff9 | Donghe-Zhu | 2021-07-15 |
| b473472 | Donghe-Zhu | 2021-07-15 |
| 363270a | Donghe-Zhu | 2021-07-15 |
| 8b75a03 | Donghe-Zhu | 2021-07-15 |
| a01e135 | Donghe-Zhu | 2021-07-07 |
| bc83ef2 | Donghe-Zhu | 2021-07-07 |
| 75e7b07 | Donghe-Zhu | 2021-07-06 |
| 697aa6d | Donghe-Zhu | 2021-07-06 |
| d52e2de | Donghe-Zhu | 2021-07-06 |
| f2bde6b | Donghe-Zhu | 2021-07-06 |
| 1133f28 | Donghe-Zhu | 2021-07-06 |
| fe3a1cd | Donghe-Zhu | 2021-07-06 |
| d9cdf15 | Donghe-Zhu | 2021-07-06 |
| ee4cd2d | Donghe-Zhu | 2021-07-06 |
| 93821c1 | Donghe-Zhu | 2021-07-05 |
| d44db8e | Donghe-Zhu | 2021-07-05 |
| 20b3436 | Donghe-Zhu | 2021-07-05 |
| d982ea5 | Donghe-Zhu | 2021-07-05 |
| 7397e53 | Donghe-Zhu | 2021-07-05 |
| f2e4805 | Donghe-Zhu | 2021-07-05 |
| e2d011a | Donghe-Zhu | 2021-07-05 |
| 85e0349 | Donghe-Zhu | 2021-07-05 |
| 6ee0146 | Donghe-Zhu | 2021-07-05 |
| a482a6b | Donghe-Zhu | 2021-07-05 |
| f59f1b3 | Donghe-Zhu | 2021-07-05 |
| 116bcab | Donghe-Zhu | 2021-07-04 |
| cb1c8dc | Donghe-Zhu | 2021-07-04 |
| c9bdd83 | Donghe-Zhu | 2021-07-04 |
| 1920ad9 | Donghe-Zhu | 2021-07-04 |
| 0b02791 | Donghe-Zhu | 2021-06-25 |
| caf62d8 | Donghe-Zhu | 2021-06-25 |
| 90a9da5 | Donghe-Zhu | 2021-06-25 |
| bb413c8 | Donghe-Zhu | 2021-06-25 |
| e7a5266 | Donghe-Zhu | 2021-06-24 |
| 7c57720 | Donghe-Zhu | 2021-06-24 |
| b5b95a9 | Donghe-Zhu | 2021-06-24 |
| 472aad4 | Donghe-Zhu | 2021-06-24 |
| d517836 | Donghe-Zhu | 2021-06-24 |
| 9221bfe | Donghe-Zhu | 2021-06-24 |
| bff5fbf | Donghe-Zhu | 2021-06-23 |
| 256a616 | Donghe-Zhu | 2021-06-23 |
| 00072e2 | Donghe-Zhu | 2021-06-23 |
| 7431530 | Donghe-Zhu | 2021-06-20 |
| d20c383 | Donghe-Zhu | 2021-06-18 |
| b0874a2 | Donghe-Zhu | 2021-06-17 |
| 72c2f2e | Donghe-Zhu | 2021-06-15 |
| d97dcb6 | Donghe-Zhu | 2021-06-08 |
| 25dda1d | Donghe-Zhu | 2021-06-08 |
| bd2bcc3 | Donghe-Zhu | 2021-06-08 |
| e9b27d7 | Donghe-Zhu | 2021-06-07 |
| 7ae0d4b | Donghe-Zhu | 2021-06-07 |
| 325391f | Donghe-Zhu | 2021-06-07 |
| ed89970 | Donghe-Zhu | 2021-06-07 |
| df37958 | Donghe-Zhu | 2021-06-07 |
| 812bf63 | Donghe-Zhu | 2021-06-06 |
| 65c89c8 | Donghe-Zhu | 2021-06-06 |
| 9baa3b2 | Donghe-Zhu | 2021-06-06 |
| b7d99cf | Donghe-Zhu | 2021-06-06 |
| 5d8fa90 | Donghe-Zhu | 2021-06-06 |
| dbe2a95 | Donghe-Zhu | 2021-05-28 |
| d50b039 | Donghe-Zhu | 2021-05-28 |
| 441ebe5 | Donghe-Zhu | 2021-05-28 |
| 6262ad3 | Donghe-Zhu | 2021-05-28 |
| a61aa77 | Donghe-Zhu | 2021-05-28 |
| b8dbce4 | Donghe-Zhu | 2021-05-28 |
| 94a833e | Donghe-Zhu | 2021-05-27 |
| 5e0bd64 | Donghe-Zhu | 2021-05-27 |
| af1eadd | Donghe-Zhu | 2021-05-27 |
| 9179bfe | Donghe-Zhu | 2021-05-27 |
| 28cbe5e | Donghe-Zhu | 2021-05-27 |
| a618f02 | Donghe-Zhu | 2021-05-27 |
| 4623e38 | Donghe-Zhu | 2021-05-27 |
| b81bb49 | Donghe-Zhu | 2021-05-27 |
| 951e188 | Donghe-Zhu | 2021-05-27 |
| e377833 | Donghe-Zhu | 2021-05-26 |
| 2705a04 | Donghe-Zhu | 2021-03-28 |
| cd5f759 | Donghe-Zhu | 2021-03-28 |
| 75dda4d | Donghe-Zhu | 2021-03-27 |
| 0b19f6e | Donghe-Zhu | 2021-03-27 |
| e2704ca | Donghe-Zhu | 2021-03-27 |
| 3061a0b | Donghe-Zhu | 2021-03-27 |
| b883157 | Donghe-Zhu | 2021-03-27 |
| d19654d | Donghe-Zhu | 2021-03-26 |
| 6c53dbf | Donghe-Zhu | 2021-03-25 |
| 1914a11 | Donghe-Zhu | 2021-03-24 |
| 8be810e | Donghe-Zhu | 2021-03-23 |
| bf19764 | Donghe-Zhu | 2021-03-22 |
| 3ec9d3d | Donghe-Zhu | 2021-03-22 |
| 134ace1 | Donghe-Zhu | 2021-03-22 |
| f6d70a4 | Donghe-Zhu | 2021-03-22 |
| 183443b | Donghe-Zhu | 2021-03-21 |
| 2e6976b | Donghe-Zhu | 2021-03-21 |
| 51a42bd | Donghe-Zhu | 2021-03-16 |
| f745381 | Donghe-Zhu | 2021-03-16 |
| aecbf75 | Donghe-Zhu | 2021-03-14 |
| 1b2a0c2 | Donghe-Zhu | 2021-03-14 |
| 6733e48 | Donghe-Zhu | 2021-03-12 |
| ba71e6a | Donghe-Zhu | 2021-03-12 |
| 9dbf5bd | Donghe-Zhu | 2021-03-11 |
| a49df30 | Donghe-Zhu | 2021-03-11 |
| b3348a5 | Donghe-Zhu | 2021-03-11 |
| 1c24ff7 | Donghe-Zhu | 2021-03-10 |
| 94ce5a8 | Donghe-Zhu | 2021-03-10 |
| db33928 | Donghe-Zhu | 2021-03-10 |
| 3d1f470 | Donghe-Zhu | 2021-03-10 |
| 9b7bc66 | Donghe-Zhu | 2021-03-10 |
| 4168b43 | Donghe-Zhu | 2021-03-10 |
| 5365f80 | Donghe-Zhu | 2021-03-10 |
| 2b6c392 | Donghe-Zhu | 2021-03-10 |
| 9f58753 | Donghe-Zhu | 2021-03-10 |
| fd528ed | Donghe-Zhu | 2021-03-10 |
| 9d5a62c | Donghe-Zhu | 2021-03-10 |
| 5d1e70b | Donghe-Zhu | 2021-03-10 |
| 2093979 | Donghe-Zhu | 2021-03-10 |
| b865899 | Donghe-Zhu | 2021-03-10 |
| cc2a956 | Donghe-Zhu | 2021-03-10 |
| 60689fb | Donghe-Zhu | 2021-03-10 |
| dba33c8 | Donghe-Zhu | 2021-03-09 |
| 17f1c4a | Donghe-Zhu | 2021-03-09 |
| c024d1a | Donghe-Zhu | 2021-03-09 |
| 02f7242 | Donghe-Zhu | 2021-03-09 |
| 6f50bc6 | Donghe-Zhu | 2021-03-09 |
| 1691156 | Donghe-Zhu | 2021-03-08 |
| c0ceaf8 | Donghe-Zhu | 2021-03-08 |
| 058e0a1 | Donghe-Zhu | 2021-03-08 |
| 112dea0 | Donghe-Zhu | 2021-03-08 |
| 1843412 | Donghe-Zhu | 2021-03-08 |
| 3fbbfa4 | Donghe-Zhu | 2021-03-07 |
| 627c8fb | Donghe-Zhu | 2021-03-07 |
| 9ef3222 | Donghe-Zhu | 2021-03-05 |
| 8c1e978 | Donghe-Zhu | 2021-03-05 |
| 865f68c | Donghe-Zhu | 2021-03-05 |
| ee69bc1 | Donghe-Zhu | 2021-03-05 |
| a79291f | Donghe-Zhu | 2021-03-05 |
| e8c6f30 | Donghe-Zhu | 2021-03-04 |
| 59288fe | Donghe-Zhu | 2021-03-04 |
| 731abc8 | Donghe-Zhu | 2021-03-04 |
| e2a5a33 | Donghe-Zhu | 2021-03-04 |
| c7892c1 | Donghe-Zhu | 2021-03-04 |
| 924430b | Donghe-Zhu | 2021-03-03 |
| 0d0bca1 | Donghe-Zhu | 2021-03-03 |
| cb63c16 | Donghe-Zhu | 2021-03-03 |
| ffda45a | Donghe-Zhu | 2021-03-03 |
| 691ba81 | Donghe-Zhu | 2021-03-03 |
| c5e45a2 | Donghe-Zhu | 2021-03-03 |
| 89c3e58 | Donghe-Zhu | 2021-03-03 |
| c407a50 | Donghe-Zhu | 2021-03-03 |
| c911669 | Donghe-Zhu | 2021-03-03 |
| b71c719 | Donghe-Zhu | 2021-03-01 |
| 13666ca | Donghe-Zhu | 2021-03-01 |
| c6e60fe | Donghe-Zhu | 2021-03-01 |
| 7a388f7 | Donghe-Zhu | 2021-03-01 |
| 799e913 | Donghe-Zhu | 2021-03-01 |
| 66ff99f | Donghe-Zhu | 2021-03-01 |
| ac9bb7a | Donghe-Zhu | 2021-02-28 |
| efdc047 | Donghe-Zhu | 2021-02-28 |
| e9a7418 | Donghe-Zhu | 2021-02-28 |
| e152917 | Donghe-Zhu | 2021-02-28 |
| 287123c | Donghe-Zhu | 2021-02-27 |
| 54d5b5b | Donghe-Zhu | 2021-02-27 |
| 330f064 | Donghe-Zhu | 2021-02-27 |
| adbc9bc | Donghe-Zhu | 2021-02-27 |
| 5937141 | Donghe-Zhu | 2021-02-27 |
| 4414bbf | Donghe-Zhu | 2021-02-27 |
| a265efb | Donghe-Zhu | 2021-02-27 |
| 19edd1e | Donghe-Zhu | 2021-02-27 |
| f20483f | Donghe-Zhu | 2021-02-26 |
| 6a2c7b3 | Donghe-Zhu | 2021-02-25 |
| 354c224 | Donghe-Zhu | 2021-02-24 |
| 1a0a88a | Donghe-Zhu | 2021-02-24 |
| 57f701e | Donghe-Zhu | 2021-02-24 |
| 06f3149 | Donghe-Zhu | 2021-02-16 |
| 401eab3 | Donghe-Zhu | 2021-02-15 |
| e3bba84 | Donghe-Zhu | 2021-02-15 |
| 5dce4b1 | Donghe-Zhu | 2021-02-15 |
| 4469a0c | Donghe-Zhu | 2021-02-13 |
| 5ae6a69 | Donghe-Zhu | 2021-02-10 |
| 05385dc | Donghe-Zhu | 2021-02-10 |
| f791ae4 | Donghe-Zhu | 2021-02-09 |
| f71ae34 | Donghe-Zhu | 2021-02-09 |
| c011832 | Donghe-Zhu | 2021-02-09 |
| a145fa7 | Donghe-Zhu | 2021-02-09 |
| c344e42 | Donghe-Zhu | 2021-02-08 |
| 2f095d7 | Donghe-Zhu | 2021-02-07 |
| 1fad5f1 | Donghe-Zhu | 2021-02-07 |
| ca03c39 | Donghe-Zhu | 2021-02-07 |
| e2ffc14 | Donghe-Zhu | 2021-02-05 |
| cd7c52c | Donghe-Zhu | 2021-02-04 |
| bcf84f4 | Donghe-Zhu | 2021-02-02 |
| a518739 | Donghe-Zhu | 2021-02-01 |
| 61666de | Donghe-Zhu | 2021-01-31 |
| 865b582 | Donghe-Zhu | 2021-01-31 |
| 3e68089 | Donghe-Zhu | 2021-01-31 |
| ecf335c | Donghe-Zhu | 2021-01-31 |
| a618965 | Donghe-Zhu | 2021-01-31 |
| 59e006e | Donghe-Zhu | 2021-01-31 |
| a1c8f87 | Donghe-Zhu | 2021-01-31 |
| ae5c18f | Donghe-Zhu | 2021-01-31 |
| b50fe52 | Donghe-Zhu | 2021-01-31 |
| ac99ae5 | jens-daniel-mueller | 2021-01-29 |
| b5bdcaf | Donghe-Zhu | 2021-01-29 |
| 442010d | Donghe-Zhu | 2021-01-29 |
| 372adf5 | Donghe-Zhu | 2021-01-29 |
| af8788e | Donghe-Zhu | 2021-01-29 |
| 21c91c9 | Donghe-Zhu | 2021-01-29 |
| eded038 | Donghe-Zhu | 2021-01-29 |
| 541d4dd | Donghe-Zhu | 2021-01-29 |
| 6a75576 | Donghe-Zhu | 2021-01-28 |
| 16fba40 | Donghe-Zhu | 2021-01-28 |
| 12bc567 | Donghe-Zhu | 2021-01-27 |
| ceed31b | Donghe-Zhu | 2021-01-27 |
| 342402d | Donghe-Zhu | 2021-01-27 |
| 5bad5c2 | Donghe-Zhu | 2021-01-27 |
| 61efb56 | Donghe-Zhu | 2021-01-25 |
| 48f638e | Donghe-Zhu | 2021-01-25 |
| c1cec47 | Donghe-Zhu | 2021-01-25 |
| 05ffb0c | Donghe-Zhu | 2021-01-25 |
| 8b97165 | Donghe-Zhu | 2021-01-25 |
| c569946 | Donghe-Zhu | 2021-01-24 |
| a2f0d56 | Donghe-Zhu | 2021-01-23 |
| 28509fc | Donghe-Zhu | 2021-01-23 |
| 4c28e4a | Donghe-Zhu | 2021-01-22 |
| 24cc264 | jens-daniel-mueller | 2021-01-22 |
| 7891955 | Donghe-Zhu | 2021-01-21 |
| d4cf1cb | Donghe-Zhu | 2021-01-21 |
| 1f3e5b6 | jens-daniel-mueller | 2021-01-20 |
| 0e7bdf1 | jens-daniel-mueller | 2021-01-15 |
| 4571843 | jens-daniel-mueller | 2021-01-14 |
| b3564aa | jens-daniel-mueller | 2021-01-14 |
| 8d032c3 | jens-daniel-mueller | 2021-01-14 |
| 17dee1d | jens-daniel-mueller | 2021-01-13 |
| 7cdea0c | jens-daniel-mueller | 2021-01-06 |
| fa85b93 | jens-daniel-mueller | 2021-01-06 |
| e5cb81a | Donghe-Zhu | 2021-01-05 |
| a499f10 | Donghe-Zhu | 2021-01-05 |
| fb8a752 | Donghe-Zhu | 2020-12-23 |
| 8fae0b2 | Donghe-Zhu | 2020-12-21 |
| c8b76b3 | jens-daniel-mueller | 2020-12-19 |
rm(max_rmse)
The number of models where a particular predictor was included were counted for each basin, density slab and compared eras
# calculate cases of predictor used
lm_all_stats <- lm_best_long %>%
filter(term != "(Intercept)",
delta_coeff != 0) %>%
group_by(basin, eras, gamma_slab) %>%
count(term) %>%
ungroup() %>%
pivot_wider(values_from = n,
names_from = term,
values_fill = 0)
# print table
lm_all_stats %>%
gt(rowname_col = "gamma_slab",
groupname_col = c("basin", "eras")) %>%
summary_rows(
groups = TRUE,
fns = list(total = "sum")
)
| aou | nitrate | phosphate | phosphate_star | sal | silicate | temp | |
|---|---|---|---|---|---|---|---|
| Atlantic - 1982-1999 --> 2000-2009 | |||||||
| (-Inf,26] | 6 | 4 | 6 | 5 | 10 | 9 | 8 |
| (26,26.5] | 7 | 6 | 6 | 7 | 10 | 6 | 8 |
| (26.5,26.75] | 7 | 5 | 7 | 6 | 6 | 9 | 8 |
| (26.75,27] | 8 | 4 | 7 | 7 | 3 | 10 | 8 |
| (27,27.25] | 7 | 5 | 7 | 6 | 7 | 10 | 7 |
| (27.25,27.5] | 7 | 10 | 5 | 6 | 4 | 5 | 10 |
| (27.5,27.75] | 5 | 2 | 5 | 8 | 10 | 6 | 9 |
| (27.75,27.85] | 6 | 3 | 5 | 5 | 10 | 8 | 8 |
| (27.85,27.95] | 5 | 2 | 5 | 7 | 10 | 6 | 9 |
| (27.95,28.05] | 4 | 4 | 4 | 8 | 8 | 5 | 10 |
| (28.05,28.1] | 4 | 2 | 4 | 8 | 10 | 5 | 10 |
| (28.1,28.15] | 6 | 2 | 6 | 6 | 6 | 7 | 10 |
| (28.15,28.2] | 9 | 9 | 4 | 5 | 4 | 5 | 8 |
| (28.2, Inf] | 9 | 10 | 3 | 4 | 10 | 3 | 5 |
| total | 90.00 | 68.00 | 74.00 | 88.00 | 108.00 | 94.00 | 118.00 |
| Atlantic - 2000-2009 --> 2010-2019 | |||||||
| (-Inf,26] | 6 | 5 | 6 | 6 | 10 | 9 | 7 |
| (26,26.5] | 8 | 6 | 6 | 6 | 10 | 5 | 8 |
| (26.5,26.75] | 6 | 7 | 7 | 7 | 6 | 6 | 10 |
| (26.75,27] | 8 | 5 | 8 | 6 | 4 | 10 | 7 |
| (27,27.25] | 8 | 5 | 6 | 6 | 8 | 10 | 6 |
| (27.25,27.5] | 7 | 9 | 4 | 6 | 8 | 8 | 7 |
| (27.5,27.75] | 7 | 6 | 7 | 6 | 10 | 6 | 7 |
| (27.75,27.85] | 5 | 4 | 4 | 6 | 10 | 10 | 6 |
| (27.85,27.95] | 7 | 4 | 4 | 5 | 10 | 9 | 7 |
| (27.95,28.05] | 4 | 2 | 4 | 8 | 10 | 5 | 10 |
| (28.05,28.1] | 5 | 3 | 4 | 7 | 10 | 6 | 10 |
| (28.1,28.15] | 5 | 3 | 4 | 7 | 10 | 6 | 10 |
| (28.15,28.2] | 8 | 9 | 3 | 4 | 5 | 5 | 9 |
| (28.2, Inf] | 10 | 10 | 2 | 4 | 9 | 4 | 5 |
| total | 94.00 | 78.00 | 69.00 | 84.00 | 120.00 | 99.00 | 109.00 |
| Indian - 1982-1999 --> 2000-2009 | |||||||
| (-Inf,26] | 6 | 4 | 6 | 7 | 10 | 4 | 10 |
| (26,26.5] | 6 | 4 | 6 | 7 | 4 | 10 | 10 |
| (26.5,26.75] | 4 | 5 | 5 | 8 | 5 | 10 | 10 |
| (26.75,27] | 5 | 5 | 4 | 8 | 5 | 10 | 10 |
| (27,27.25] | 4 | 10 | 5 | 8 | 5 | 5 | 10 |
| (27.25,27.5] | 4 | 10 | 5 | 8 | 5 | 4 | 10 |
| (27.5,27.75] | 4 | 10 | 4 | 9 | 4 | 4 | 10 |
| (27.75,27.85] | 4 | 1 | 5 | 8 | 7 | 10 | 7 |
| (27.85,27.95] | 3 | 2 | 3 | 8 | 10 | 10 | 6 |
| (27.95,28.05] | 2 | 4 | 4 | 9 | 10 | 10 | 5 |
| (28.05,28.1] | 5 | 8 | 3 | 6 | 6 | 5 | 9 |
| (28.1,28.2] | 9 | 10 | 4 | 3 | 5 | 3 | 10 |
| (28.2,28.3] | 8 | 10 | 5 | 5 | 5 | 4 | 10 |
| (28.3, Inf] | 7 | 4 | 7 | 7 | 3 | 10 | 9 |
| total | 71.00 | 87.00 | 66.00 | 101.00 | 84.00 | 99.00 | 126.00 |
| Indian - 2000-2009 --> 2010-2019 | |||||||
| (-Inf,26] | 5 | 5 | 6 | 8 | 9 | 5 | 10 |
| (26,26.5] | 6 | 4 | 6 | 7 | 4 | 10 | 10 |
| (26.5,26.75] | 5 | 5 | 5 | 8 | 4 | 10 | 10 |
| (26.75,27] | 5 | 5 | 5 | 8 | 4 | 10 | 10 |
| (27,27.25] | 5 | 10 | 5 | 7 | 5 | 6 | 10 |
| (27.25,27.5] | 7 | 10 | 5 | 4 | 6 | 6 | 10 |
| (27.5,27.75] | 5 | 10 | 4 | 8 | 4 | 5 | 10 |
| (27.75,27.85] | 4 | 2 | 4 | 9 | 6 | 10 | 7 |
| (27.85,27.95] | 2 | 3 | 4 | 9 | 9 | 10 | 6 |
| (27.95,28.05] | 2 | 4 | 4 | 9 | 10 | 10 | 5 |
| (28.05,28.1] | 3 | 5 | 4 | 6 | 9 | 8 | 7 |
| (28.1,28.2] | 8 | 10 | 5 | 4 | 5 | 3 | 10 |
| (28.2,28.3] | 5 | 7 | 6 | 6 | 10 | 7 | 9 |
| (28.3, Inf] | 6 | 5 | 7 | 7 | 4 | 10 | 9 |
| total | 68.00 | 85.00 | 70.00 | 100.00 | 89.00 | 110.00 | 123.00 |
| Pacific - 1982-1999 --> 2000-2009 | |||||||
| (-Inf,26] | 8 | 10 | 5 | 5 | 6 | 5 | 9 |
| (26,26.5] | 7 | 3 | 7 | 7 | 4 | 10 | 9 |
| (26.5,26.75] | 8 | 4 | 7 | 7 | 3 | 10 | 8 |
| (26.75,27] | 8 | 9 | 8 | 7 | 3 | 5 | 7 |
| (27,27.25] | 7 | 10 | 7 | 7 | 3 | 4 | 9 |
| (27.25,27.5] | 7 | 9 | 7 | 5 | 8 | 6 | 7 |
| (27.5,27.75] | 6 | 4 | 5 | 5 | 10 | 10 | 7 |
| (27.75,27.85] | 5 | 7 | 5 | 5 | 10 | 10 | 7 |
| (27.85,27.95] | 6 | 6 | 4 | 6 | 10 | 10 | 6 |
| (27.95,28.05] | 6 | 3 | 4 | 6 | 10 | 6 | 10 |
| (28.05,28.1] | 6 | 2 | 5 | 6 | 9 | 7 | 10 |
| (28.1,28.2] | 5 | 3 | 5 | 8 | 5 | 10 | 10 |
| (28.2,28.3] | 6 | 5 | 5 | 7 | 4 | 10 | 10 |
| (28.3, Inf] | 6 | 9 | 7 | 6 | 10 | 4 | 5 |
| total | 91.00 | 84.00 | 81.00 | 87.00 | 95.00 | 107.00 | 114.00 |
| Pacific - 2000-2009 --> 2010-2019 | |||||||
| (-Inf,26] | 8 | 9 | 6 | 6 | 7 | 5 | 8 |
| (26,26.5] | 7 | 3 | 7 | 7 | 4 | 10 | 9 |
| (26.5,26.75] | 8 | 4 | 7 | 7 | 3 | 10 | 8 |
| (26.75,27] | 7 | 7 | 7 | 6 | 3 | 9 | 8 |
| (27,27.25] | 8 | 10 | 7 | 7 | 3 | 4 | 8 |
| (27.25,27.5] | 5 | 9 | 6 | 6 | 10 | 6 | 7 |
| (27.5,27.75] | 6 | 4 | 5 | 5 | 10 | 10 | 7 |
| (27.75,27.85] | 5 | 7 | 4 | 6 | 10 | 10 | 6 |
| (27.85,27.95] | 5 | 8 | 5 | 5 | 10 | 10 | 5 |
| (27.95,28.05] | 6 | 3 | 4 | 6 | 10 | 6 | 10 |
| (28.05,28.1] | 6 | 3 | 4 | 6 | 10 | 6 | 10 |
| (28.1,28.2] | 5 | 3 | 4 | 7 | 6 | 10 | 10 |
| (28.2,28.3] | 4 | 5 | 7 | 5 | 10 | 10 | 6 |
| (28.3, Inf] | 6 | 10 | 8 | 6 | 4 | 10 | 4 |
| total | 86.00 | 85.00 | 81.00 | 85.00 | 100.00 | 116.00 | 106.00 |
AIC is an alternative criterion to RMSE to judge model quality, but not (yet) taken into account.
lm_all_fitted_wide_eras %>%
ggplot(aes(rmse, aic, col = gamma_slab)) +
geom_point() +
scale_color_viridis_d() +
facet_grid(eras~basin)

| Version | Author | Date |
|---|---|---|
| cceae84 | Donghe-Zhu | 2021-08-18 |
| 1cdb694 | Donghe-Zhu | 2021-08-18 |
| 9b7a798 | Donghe-Zhu | 2021-08-06 |
| 90f70da | Donghe-Zhu | 2021-08-06 |
| 496fa02 | Donghe-Zhu | 2021-08-05 |
| 19ecfe2 | Donghe-Zhu | 2021-08-05 |
| 3253031 | Donghe-Zhu | 2021-08-05 |
| 6c70952 | Donghe-Zhu | 2021-08-01 |
| 2666bd7 | Donghe-Zhu | 2021-08-01 |
| e51cfa2 | Donghe-Zhu | 2021-08-01 |
| 78cbc18 | Donghe-Zhu | 2021-08-01 |
| c55d4d7 | Donghe-Zhu | 2021-08-01 |
| 26741db | Donghe-Zhu | 2021-08-01 |
| ca539b5 | Donghe-Zhu | 2021-08-01 |
| 1e98138 | Donghe-Zhu | 2021-08-01 |
| 777b9e9 | Donghe-Zhu | 2021-08-01 |
| b110c47 | Donghe-Zhu | 2021-08-01 |
| 3611a48 | Donghe-Zhu | 2021-08-01 |
| af832ef | Donghe-Zhu | 2021-07-31 |
| 016f9ed | Donghe-Zhu | 2021-07-31 |
| 2080ac5 | Donghe-Zhu | 2021-07-31 |
| 50f0a16 | Donghe-Zhu | 2021-07-31 |
| 1682579 | Donghe-Zhu | 2021-07-31 |
| 9fa8832 | Donghe-Zhu | 2021-07-31 |
| 4abf542 | Donghe-Zhu | 2021-07-31 |
| a2483f0 | Donghe-Zhu | 2021-07-31 |
| 3300527 | Donghe-Zhu | 2021-07-31 |
| afeb6fd | Donghe-Zhu | 2021-07-31 |
| cb3ef32 | Donghe-Zhu | 2021-07-31 |
| 6528618 | Donghe-Zhu | 2021-07-31 |
| f50925e | Donghe-Zhu | 2021-07-31 |
| f4de2f3 | Donghe-Zhu | 2021-07-30 |
| 43bc7b4 | Donghe-Zhu | 2021-07-30 |
| f8c34a8 | Donghe-Zhu | 2021-07-30 |
| 4f897c4 | Donghe-Zhu | 2021-07-30 |
| 0f6e960 | Donghe-Zhu | 2021-07-30 |
| fe067ea | Donghe-Zhu | 2021-07-30 |
| fbca39a | Donghe-Zhu | 2021-07-30 |
| f945f95 | Donghe-Zhu | 2021-07-30 |
| a3006cd | Donghe-Zhu | 2021-07-30 |
| a55ffdc | Donghe-Zhu | 2021-07-30 |
| d5e4458 | Donghe-Zhu | 2021-07-30 |
| 10a97ef | Donghe-Zhu | 2021-07-30 |
| 1c501fd | Donghe-Zhu | 2021-07-30 |
| 68bce3f | Donghe-Zhu | 2021-07-30 |
| 400c457 | Donghe-Zhu | 2021-07-29 |
| 3ba7852 | Donghe-Zhu | 2021-07-29 |
| ec68363 | Donghe-Zhu | 2021-07-28 |
| d3018f6 | Donghe-Zhu | 2021-07-28 |
| b8ba2c4 | Donghe-Zhu | 2021-07-28 |
| a4ddd84 | Donghe-Zhu | 2021-07-27 |
| 7ef49ab | Donghe-Zhu | 2021-07-27 |
| da818c0 | Donghe-Zhu | 2021-07-27 |
| 8623898 | Donghe-Zhu | 2021-07-27 |
| f84b77c | Donghe-Zhu | 2021-07-27 |
| 70ad9a5 | Donghe-Zhu | 2021-07-27 |
| 0d0b48d | Donghe-Zhu | 2021-07-27 |
| d0d97c6 | Donghe-Zhu | 2021-07-27 |
| 829510d | Donghe-Zhu | 2021-07-27 |
| 780627d | Donghe-Zhu | 2021-07-27 |
| e9838c9 | Donghe-Zhu | 2021-07-27 |
| 2777f33 | Donghe-Zhu | 2021-07-27 |
| d19760f | Donghe-Zhu | 2021-07-27 |
| cac5680 | Donghe-Zhu | 2021-07-23 |
| 7bb279a | Donghe-Zhu | 2021-07-23 |
| d52eac4 | Donghe-Zhu | 2021-07-23 |
| dcf34b1 | Donghe-Zhu | 2021-07-23 |
| 419cb72 | Donghe-Zhu | 2021-07-22 |
| 9447d10 | Donghe-Zhu | 2021-07-22 |
| 639c9a0 | Donghe-Zhu | 2021-07-22 |
| 25bb96f | Donghe-Zhu | 2021-07-22 |
| cdc98a3 | Donghe-Zhu | 2021-07-22 |
| e4805a1 | Donghe-Zhu | 2021-07-22 |
| 7957fd1 | Donghe-Zhu | 2021-07-21 |
| b94be4e | Donghe-Zhu | 2021-07-21 |
| 9950e70 | Donghe-Zhu | 2021-07-21 |
| 698b6f0 | Donghe-Zhu | 2021-07-20 |
| d84a1cb | Donghe-Zhu | 2021-07-20 |
| 4dce223 | Donghe-Zhu | 2021-07-20 |
| 6f28c0c | Donghe-Zhu | 2021-07-20 |
| db1e7b7 | Donghe-Zhu | 2021-07-19 |
| ff0575d | Donghe-Zhu | 2021-07-19 |
| 5d60eac | Donghe-Zhu | 2021-07-19 |
| 57d0420 | Donghe-Zhu | 2021-07-16 |
| c1be8f6 | Donghe-Zhu | 2021-07-16 |
| 26a7c15 | Donghe-Zhu | 2021-07-16 |
| 046902b | Donghe-Zhu | 2021-07-16 |
| 3d4ac14 | Donghe-Zhu | 2021-07-15 |
| be6fff9 | Donghe-Zhu | 2021-07-15 |
| b473472 | Donghe-Zhu | 2021-07-15 |
| 363270a | Donghe-Zhu | 2021-07-15 |
| 8b75a03 | Donghe-Zhu | 2021-07-15 |
| a01e135 | Donghe-Zhu | 2021-07-07 |
| bc83ef2 | Donghe-Zhu | 2021-07-07 |
| 75e7b07 | Donghe-Zhu | 2021-07-06 |
| 697aa6d | Donghe-Zhu | 2021-07-06 |
| d52e2de | Donghe-Zhu | 2021-07-06 |
| f2bde6b | Donghe-Zhu | 2021-07-06 |
| 1133f28 | Donghe-Zhu | 2021-07-06 |
| fe3a1cd | Donghe-Zhu | 2021-07-06 |
| d9cdf15 | Donghe-Zhu | 2021-07-06 |
| ee4cd2d | Donghe-Zhu | 2021-07-06 |
| 93821c1 | Donghe-Zhu | 2021-07-05 |
| d44db8e | Donghe-Zhu | 2021-07-05 |
| 20b3436 | Donghe-Zhu | 2021-07-05 |
| d982ea5 | Donghe-Zhu | 2021-07-05 |
| 7397e53 | Donghe-Zhu | 2021-07-05 |
| f2e4805 | Donghe-Zhu | 2021-07-05 |
| e2d011a | Donghe-Zhu | 2021-07-05 |
| 85e0349 | Donghe-Zhu | 2021-07-05 |
| 6ee0146 | Donghe-Zhu | 2021-07-05 |
| a482a6b | Donghe-Zhu | 2021-07-05 |
| f59f1b3 | Donghe-Zhu | 2021-07-05 |
| 116bcab | Donghe-Zhu | 2021-07-04 |
| cb1c8dc | Donghe-Zhu | 2021-07-04 |
| c9bdd83 | Donghe-Zhu | 2021-07-04 |
| 1920ad9 | Donghe-Zhu | 2021-07-04 |
| 0b02791 | Donghe-Zhu | 2021-06-25 |
| caf62d8 | Donghe-Zhu | 2021-06-25 |
| 90a9da5 | Donghe-Zhu | 2021-06-25 |
| bb413c8 | Donghe-Zhu | 2021-06-25 |
| e7a5266 | Donghe-Zhu | 2021-06-24 |
| 7c57720 | Donghe-Zhu | 2021-06-24 |
| b5b95a9 | Donghe-Zhu | 2021-06-24 |
| 472aad4 | Donghe-Zhu | 2021-06-24 |
| d517836 | Donghe-Zhu | 2021-06-24 |
| 9221bfe | Donghe-Zhu | 2021-06-24 |
| bff5fbf | Donghe-Zhu | 2021-06-23 |
| 256a616 | Donghe-Zhu | 2021-06-23 |
| 00072e2 | Donghe-Zhu | 2021-06-23 |
| 7431530 | Donghe-Zhu | 2021-06-20 |
| d20c383 | Donghe-Zhu | 2021-06-18 |
| b0874a2 | Donghe-Zhu | 2021-06-17 |
| 72c2f2e | Donghe-Zhu | 2021-06-15 |
| d97dcb6 | Donghe-Zhu | 2021-06-08 |
| 25dda1d | Donghe-Zhu | 2021-06-08 |
| bd2bcc3 | Donghe-Zhu | 2021-06-08 |
| e9b27d7 | Donghe-Zhu | 2021-06-07 |
| 7ae0d4b | Donghe-Zhu | 2021-06-07 |
| 325391f | Donghe-Zhu | 2021-06-07 |
| ed89970 | Donghe-Zhu | 2021-06-07 |
| df37958 | Donghe-Zhu | 2021-06-07 |
| 812bf63 | Donghe-Zhu | 2021-06-06 |
| 65c89c8 | Donghe-Zhu | 2021-06-06 |
| 9baa3b2 | Donghe-Zhu | 2021-06-06 |
| b7d99cf | Donghe-Zhu | 2021-06-06 |
| 5d8fa90 | Donghe-Zhu | 2021-06-06 |
| dbe2a95 | Donghe-Zhu | 2021-05-28 |
| d50b039 | Donghe-Zhu | 2021-05-28 |
| 441ebe5 | Donghe-Zhu | 2021-05-28 |
| 6262ad3 | Donghe-Zhu | 2021-05-28 |
| a61aa77 | Donghe-Zhu | 2021-05-28 |
| b8dbce4 | Donghe-Zhu | 2021-05-28 |
| 94a833e | Donghe-Zhu | 2021-05-27 |
| 5e0bd64 | Donghe-Zhu | 2021-05-27 |
| af1eadd | Donghe-Zhu | 2021-05-27 |
| 9179bfe | Donghe-Zhu | 2021-05-27 |
| 28cbe5e | Donghe-Zhu | 2021-05-27 |
| a618f02 | Donghe-Zhu | 2021-05-27 |
| 4623e38 | Donghe-Zhu | 2021-05-27 |
| b81bb49 | Donghe-Zhu | 2021-05-27 |
| 951e188 | Donghe-Zhu | 2021-05-27 |
| e377833 | Donghe-Zhu | 2021-05-26 |
| 2705a04 | Donghe-Zhu | 2021-03-28 |
| cd5f759 | Donghe-Zhu | 2021-03-28 |
| 75dda4d | Donghe-Zhu | 2021-03-27 |
| 0b19f6e | Donghe-Zhu | 2021-03-27 |
| e2704ca | Donghe-Zhu | 2021-03-27 |
| 3061a0b | Donghe-Zhu | 2021-03-27 |
| b883157 | Donghe-Zhu | 2021-03-27 |
| d19654d | Donghe-Zhu | 2021-03-26 |
| 6c53dbf | Donghe-Zhu | 2021-03-25 |
| 1914a11 | Donghe-Zhu | 2021-03-24 |
| 8be810e | Donghe-Zhu | 2021-03-23 |
| bf19764 | Donghe-Zhu | 2021-03-22 |
| 3ec9d3d | Donghe-Zhu | 2021-03-22 |
| 134ace1 | Donghe-Zhu | 2021-03-22 |
| f6d70a4 | Donghe-Zhu | 2021-03-22 |
| 183443b | Donghe-Zhu | 2021-03-21 |
| 2e6976b | Donghe-Zhu | 2021-03-21 |
| 51a42bd | Donghe-Zhu | 2021-03-16 |
| f745381 | Donghe-Zhu | 2021-03-16 |
| aecbf75 | Donghe-Zhu | 2021-03-14 |
| 1b2a0c2 | Donghe-Zhu | 2021-03-14 |
| 6733e48 | Donghe-Zhu | 2021-03-12 |
| ba71e6a | Donghe-Zhu | 2021-03-12 |
| 9dbf5bd | Donghe-Zhu | 2021-03-11 |
| a49df30 | Donghe-Zhu | 2021-03-11 |
| b3348a5 | Donghe-Zhu | 2021-03-11 |
| 1c24ff7 | Donghe-Zhu | 2021-03-10 |
| 94ce5a8 | Donghe-Zhu | 2021-03-10 |
| db33928 | Donghe-Zhu | 2021-03-10 |
| 3d1f470 | Donghe-Zhu | 2021-03-10 |
| 9b7bc66 | Donghe-Zhu | 2021-03-10 |
| 5365f80 | Donghe-Zhu | 2021-03-10 |
| 2b6c392 | Donghe-Zhu | 2021-03-10 |
| 9f58753 | Donghe-Zhu | 2021-03-10 |
| 9d5a62c | Donghe-Zhu | 2021-03-10 |
| 5d1e70b | Donghe-Zhu | 2021-03-10 |
| 2093979 | Donghe-Zhu | 2021-03-10 |
| b865899 | Donghe-Zhu | 2021-03-10 |
| cc2a956 | Donghe-Zhu | 2021-03-10 |
| dba33c8 | Donghe-Zhu | 2021-03-09 |
| 17f1c4a | Donghe-Zhu | 2021-03-09 |
| c024d1a | Donghe-Zhu | 2021-03-09 |
| 02f7242 | Donghe-Zhu | 2021-03-09 |
| 1691156 | Donghe-Zhu | 2021-03-08 |
| c0ceaf8 | Donghe-Zhu | 2021-03-08 |
| 058e0a1 | Donghe-Zhu | 2021-03-08 |
| 112dea0 | Donghe-Zhu | 2021-03-08 |
| 1843412 | Donghe-Zhu | 2021-03-08 |
| 3fbbfa4 | Donghe-Zhu | 2021-03-07 |
| 627c8fb | Donghe-Zhu | 2021-03-07 |
| 9ef3222 | Donghe-Zhu | 2021-03-05 |
| 8c1e978 | Donghe-Zhu | 2021-03-05 |
| 865f68c | Donghe-Zhu | 2021-03-05 |
| ee69bc1 | Donghe-Zhu | 2021-03-05 |
| a79291f | Donghe-Zhu | 2021-03-05 |
| e8c6f30 | Donghe-Zhu | 2021-03-04 |
| 59288fe | Donghe-Zhu | 2021-03-04 |
| 731abc8 | Donghe-Zhu | 2021-03-04 |
| e2a5a33 | Donghe-Zhu | 2021-03-04 |
| c7892c1 | Donghe-Zhu | 2021-03-04 |
| 924430b | Donghe-Zhu | 2021-03-03 |
| 0d0bca1 | Donghe-Zhu | 2021-03-03 |
| cb63c16 | Donghe-Zhu | 2021-03-03 |
| ffda45a | Donghe-Zhu | 2021-03-03 |
| 691ba81 | Donghe-Zhu | 2021-03-03 |
| c5e45a2 | Donghe-Zhu | 2021-03-03 |
| 89c3e58 | Donghe-Zhu | 2021-03-03 |
| c911669 | Donghe-Zhu | 2021-03-03 |
| 13666ca | Donghe-Zhu | 2021-03-01 |
| c6e60fe | Donghe-Zhu | 2021-03-01 |
| 7a388f7 | Donghe-Zhu | 2021-03-01 |
| 799e913 | Donghe-Zhu | 2021-03-01 |
| 66ff99f | Donghe-Zhu | 2021-03-01 |
| ac9bb7a | Donghe-Zhu | 2021-02-28 |
| efdc047 | Donghe-Zhu | 2021-02-28 |
| e9a7418 | Donghe-Zhu | 2021-02-28 |
| 287123c | Donghe-Zhu | 2021-02-27 |
| 54d5b5b | Donghe-Zhu | 2021-02-27 |
| 330f064 | Donghe-Zhu | 2021-02-27 |
| adbc9bc | Donghe-Zhu | 2021-02-27 |
| 5937141 | Donghe-Zhu | 2021-02-27 |
| 4414bbf | Donghe-Zhu | 2021-02-27 |
| a265efb | Donghe-Zhu | 2021-02-27 |
| 19edd1e | Donghe-Zhu | 2021-02-27 |
| f20483f | Donghe-Zhu | 2021-02-26 |
| 6a2c7b3 | Donghe-Zhu | 2021-02-25 |
| 02b976d | Donghe-Zhu | 2021-02-24 |
| 354c224 | Donghe-Zhu | 2021-02-24 |
| 1a0a88a | Donghe-Zhu | 2021-02-24 |
| 57f701e | Donghe-Zhu | 2021-02-24 |
| 06f3149 | Donghe-Zhu | 2021-02-16 |
| e3bba84 | Donghe-Zhu | 2021-02-15 |
| 5dce4b1 | Donghe-Zhu | 2021-02-15 |
| 4469a0c | Donghe-Zhu | 2021-02-13 |
| 5ae6a69 | Donghe-Zhu | 2021-02-10 |
| 05385dc | Donghe-Zhu | 2021-02-10 |
| f791ae4 | Donghe-Zhu | 2021-02-09 |
| f71ae34 | Donghe-Zhu | 2021-02-09 |
| c011832 | Donghe-Zhu | 2021-02-09 |
| a145fa7 | Donghe-Zhu | 2021-02-09 |
| c344e42 | Donghe-Zhu | 2021-02-08 |
| 2f095d7 | Donghe-Zhu | 2021-02-07 |
| 1fad5f1 | Donghe-Zhu | 2021-02-07 |
| ca03c39 | Donghe-Zhu | 2021-02-07 |
| cd7c52c | Donghe-Zhu | 2021-02-04 |
| bcf84f4 | Donghe-Zhu | 2021-02-02 |
| 61666de | Donghe-Zhu | 2021-01-31 |
| 865b582 | Donghe-Zhu | 2021-01-31 |
| 3e68089 | Donghe-Zhu | 2021-01-31 |
| ecf335c | Donghe-Zhu | 2021-01-31 |
| a618965 | Donghe-Zhu | 2021-01-31 |
| 59e006e | Donghe-Zhu | 2021-01-31 |
| a1c8f87 | Donghe-Zhu | 2021-01-31 |
| ae5c18f | Donghe-Zhu | 2021-01-31 |
| b50fe52 | Donghe-Zhu | 2021-01-31 |
| ac99ae5 | jens-daniel-mueller | 2021-01-29 |
| b5bdcaf | Donghe-Zhu | 2021-01-29 |
| 442010d | Donghe-Zhu | 2021-01-29 |
| 372adf5 | Donghe-Zhu | 2021-01-29 |
| af8788e | Donghe-Zhu | 2021-01-29 |
| 21c91c9 | Donghe-Zhu | 2021-01-29 |
| eded038 | Donghe-Zhu | 2021-01-29 |
| 541d4dd | Donghe-Zhu | 2021-01-29 |
| 6a75576 | Donghe-Zhu | 2021-01-28 |
| 16fba40 | Donghe-Zhu | 2021-01-28 |
| 12bc567 | Donghe-Zhu | 2021-01-27 |
| ceed31b | Donghe-Zhu | 2021-01-27 |
| 342402d | Donghe-Zhu | 2021-01-27 |
| 5bad5c2 | Donghe-Zhu | 2021-01-27 |
| 61efb56 | Donghe-Zhu | 2021-01-25 |
| 48f638e | Donghe-Zhu | 2021-01-25 |
| c1cec47 | Donghe-Zhu | 2021-01-25 |
| 05ffb0c | Donghe-Zhu | 2021-01-25 |
| 8b97165 | Donghe-Zhu | 2021-01-25 |
| c569946 | Donghe-Zhu | 2021-01-24 |
| a2f0d56 | Donghe-Zhu | 2021-01-23 |
| 28509fc | Donghe-Zhu | 2021-01-23 |
| 4c28e4a | Donghe-Zhu | 2021-01-22 |
| 24cc264 | jens-daniel-mueller | 2021-01-22 |
| 7891955 | Donghe-Zhu | 2021-01-21 |
| d4cf1cb | Donghe-Zhu | 2021-01-21 |
| 1f3e5b6 | jens-daniel-mueller | 2021-01-20 |
| 0e7bdf1 | jens-daniel-mueller | 2021-01-15 |
| 4571843 | jens-daniel-mueller | 2021-01-14 |
| b3564aa | jens-daniel-mueller | 2021-01-14 |
| 8d032c3 | jens-daniel-mueller | 2021-01-14 |
| 17dee1d | jens-daniel-mueller | 2021-01-13 |
| 7cdea0c | jens-daniel-mueller | 2021-01-06 |
| fa85b93 | jens-daniel-mueller | 2021-01-06 |
| e5cb81a | Donghe-Zhu | 2021-01-05 |
| a499f10 | Donghe-Zhu | 2021-01-05 |
| fb8a752 | Donghe-Zhu | 2020-12-23 |
| 8fae0b2 | Donghe-Zhu | 2020-12-21 |
| c8b76b3 | jens-daniel-mueller | 2020-12-19 |
lm_best %>%
ggplot(aes(rmse, aic, col = gamma_slab)) +
geom_point() +
scale_color_viridis_d() +
facet_grid(eras~basin)

| Version | Author | Date |
|---|---|---|
| cceae84 | Donghe-Zhu | 2021-08-18 |
| 1cdb694 | Donghe-Zhu | 2021-08-18 |
| 9b7a798 | Donghe-Zhu | 2021-08-06 |
| 90f70da | Donghe-Zhu | 2021-08-06 |
| 496fa02 | Donghe-Zhu | 2021-08-05 |
| 19ecfe2 | Donghe-Zhu | 2021-08-05 |
| 3253031 | Donghe-Zhu | 2021-08-05 |
| 6c70952 | Donghe-Zhu | 2021-08-01 |
| 2666bd7 | Donghe-Zhu | 2021-08-01 |
| e51cfa2 | Donghe-Zhu | 2021-08-01 |
| 78cbc18 | Donghe-Zhu | 2021-08-01 |
| c55d4d7 | Donghe-Zhu | 2021-08-01 |
| 26741db | Donghe-Zhu | 2021-08-01 |
| ca539b5 | Donghe-Zhu | 2021-08-01 |
| 1e98138 | Donghe-Zhu | 2021-08-01 |
| 777b9e9 | Donghe-Zhu | 2021-08-01 |
| b110c47 | Donghe-Zhu | 2021-08-01 |
| 3611a48 | Donghe-Zhu | 2021-08-01 |
| af832ef | Donghe-Zhu | 2021-07-31 |
| 016f9ed | Donghe-Zhu | 2021-07-31 |
| 2080ac5 | Donghe-Zhu | 2021-07-31 |
| 50f0a16 | Donghe-Zhu | 2021-07-31 |
| 1682579 | Donghe-Zhu | 2021-07-31 |
| 9fa8832 | Donghe-Zhu | 2021-07-31 |
| 4abf542 | Donghe-Zhu | 2021-07-31 |
| a2483f0 | Donghe-Zhu | 2021-07-31 |
| 3300527 | Donghe-Zhu | 2021-07-31 |
| afeb6fd | Donghe-Zhu | 2021-07-31 |
| cb3ef32 | Donghe-Zhu | 2021-07-31 |
| 6528618 | Donghe-Zhu | 2021-07-31 |
| f50925e | Donghe-Zhu | 2021-07-31 |
| f4de2f3 | Donghe-Zhu | 2021-07-30 |
| 43bc7b4 | Donghe-Zhu | 2021-07-30 |
| f8c34a8 | Donghe-Zhu | 2021-07-30 |
| 4f897c4 | Donghe-Zhu | 2021-07-30 |
| 0f6e960 | Donghe-Zhu | 2021-07-30 |
| fe067ea | Donghe-Zhu | 2021-07-30 |
| fbca39a | Donghe-Zhu | 2021-07-30 |
| f945f95 | Donghe-Zhu | 2021-07-30 |
| a3006cd | Donghe-Zhu | 2021-07-30 |
| a55ffdc | Donghe-Zhu | 2021-07-30 |
| d5e4458 | Donghe-Zhu | 2021-07-30 |
| 10a97ef | Donghe-Zhu | 2021-07-30 |
| 1c501fd | Donghe-Zhu | 2021-07-30 |
| 68bce3f | Donghe-Zhu | 2021-07-30 |
| 400c457 | Donghe-Zhu | 2021-07-29 |
| 3ba7852 | Donghe-Zhu | 2021-07-29 |
| ec68363 | Donghe-Zhu | 2021-07-28 |
| d3018f6 | Donghe-Zhu | 2021-07-28 |
| b8ba2c4 | Donghe-Zhu | 2021-07-28 |
| a4ddd84 | Donghe-Zhu | 2021-07-27 |
| 7ef49ab | Donghe-Zhu | 2021-07-27 |
| da818c0 | Donghe-Zhu | 2021-07-27 |
| 8623898 | Donghe-Zhu | 2021-07-27 |
| f84b77c | Donghe-Zhu | 2021-07-27 |
| 70ad9a5 | Donghe-Zhu | 2021-07-27 |
| 0d0b48d | Donghe-Zhu | 2021-07-27 |
| d0d97c6 | Donghe-Zhu | 2021-07-27 |
| 829510d | Donghe-Zhu | 2021-07-27 |
| 780627d | Donghe-Zhu | 2021-07-27 |
| e9838c9 | Donghe-Zhu | 2021-07-27 |
| 2777f33 | Donghe-Zhu | 2021-07-27 |
| d19760f | Donghe-Zhu | 2021-07-27 |
| cac5680 | Donghe-Zhu | 2021-07-23 |
| 7bb279a | Donghe-Zhu | 2021-07-23 |
| d52eac4 | Donghe-Zhu | 2021-07-23 |
| dcf34b1 | Donghe-Zhu | 2021-07-23 |
| 419cb72 | Donghe-Zhu | 2021-07-22 |
| 9447d10 | Donghe-Zhu | 2021-07-22 |
| 639c9a0 | Donghe-Zhu | 2021-07-22 |
| 25bb96f | Donghe-Zhu | 2021-07-22 |
| cdc98a3 | Donghe-Zhu | 2021-07-22 |
| e4805a1 | Donghe-Zhu | 2021-07-22 |
| 7957fd1 | Donghe-Zhu | 2021-07-21 |
| b94be4e | Donghe-Zhu | 2021-07-21 |
| 9950e70 | Donghe-Zhu | 2021-07-21 |
| 698b6f0 | Donghe-Zhu | 2021-07-20 |
| d84a1cb | Donghe-Zhu | 2021-07-20 |
| 4dce223 | Donghe-Zhu | 2021-07-20 |
| 6f28c0c | Donghe-Zhu | 2021-07-20 |
| db1e7b7 | Donghe-Zhu | 2021-07-19 |
| ff0575d | Donghe-Zhu | 2021-07-19 |
| 5d60eac | Donghe-Zhu | 2021-07-19 |
| 57d0420 | Donghe-Zhu | 2021-07-16 |
| c1be8f6 | Donghe-Zhu | 2021-07-16 |
| 26a7c15 | Donghe-Zhu | 2021-07-16 |
| 046902b | Donghe-Zhu | 2021-07-16 |
| 3d4ac14 | Donghe-Zhu | 2021-07-15 |
| be6fff9 | Donghe-Zhu | 2021-07-15 |
| b473472 | Donghe-Zhu | 2021-07-15 |
| 363270a | Donghe-Zhu | 2021-07-15 |
| 8b75a03 | Donghe-Zhu | 2021-07-15 |
| a01e135 | Donghe-Zhu | 2021-07-07 |
| bc83ef2 | Donghe-Zhu | 2021-07-07 |
| 75e7b07 | Donghe-Zhu | 2021-07-06 |
| 697aa6d | Donghe-Zhu | 2021-07-06 |
| d52e2de | Donghe-Zhu | 2021-07-06 |
| f2bde6b | Donghe-Zhu | 2021-07-06 |
| 1133f28 | Donghe-Zhu | 2021-07-06 |
| fe3a1cd | Donghe-Zhu | 2021-07-06 |
| d9cdf15 | Donghe-Zhu | 2021-07-06 |
| ee4cd2d | Donghe-Zhu | 2021-07-06 |
| 93821c1 | Donghe-Zhu | 2021-07-05 |
| d44db8e | Donghe-Zhu | 2021-07-05 |
| 20b3436 | Donghe-Zhu | 2021-07-05 |
| d982ea5 | Donghe-Zhu | 2021-07-05 |
| 7397e53 | Donghe-Zhu | 2021-07-05 |
| f2e4805 | Donghe-Zhu | 2021-07-05 |
| e2d011a | Donghe-Zhu | 2021-07-05 |
| 85e0349 | Donghe-Zhu | 2021-07-05 |
| 6ee0146 | Donghe-Zhu | 2021-07-05 |
| a482a6b | Donghe-Zhu | 2021-07-05 |
| f59f1b3 | Donghe-Zhu | 2021-07-05 |
| 116bcab | Donghe-Zhu | 2021-07-04 |
| cb1c8dc | Donghe-Zhu | 2021-07-04 |
| c9bdd83 | Donghe-Zhu | 2021-07-04 |
| 1920ad9 | Donghe-Zhu | 2021-07-04 |
| 0b02791 | Donghe-Zhu | 2021-06-25 |
| caf62d8 | Donghe-Zhu | 2021-06-25 |
| 90a9da5 | Donghe-Zhu | 2021-06-25 |
| bb413c8 | Donghe-Zhu | 2021-06-25 |
| e7a5266 | Donghe-Zhu | 2021-06-24 |
| 7c57720 | Donghe-Zhu | 2021-06-24 |
| b5b95a9 | Donghe-Zhu | 2021-06-24 |
| 472aad4 | Donghe-Zhu | 2021-06-24 |
| d517836 | Donghe-Zhu | 2021-06-24 |
| 9221bfe | Donghe-Zhu | 2021-06-24 |
| bff5fbf | Donghe-Zhu | 2021-06-23 |
| 256a616 | Donghe-Zhu | 2021-06-23 |
| 00072e2 | Donghe-Zhu | 2021-06-23 |
| 7431530 | Donghe-Zhu | 2021-06-20 |
| d20c383 | Donghe-Zhu | 2021-06-18 |
| b0874a2 | Donghe-Zhu | 2021-06-17 |
| 72c2f2e | Donghe-Zhu | 2021-06-15 |
| d97dcb6 | Donghe-Zhu | 2021-06-08 |
| 25dda1d | Donghe-Zhu | 2021-06-08 |
| bd2bcc3 | Donghe-Zhu | 2021-06-08 |
| e9b27d7 | Donghe-Zhu | 2021-06-07 |
| 7ae0d4b | Donghe-Zhu | 2021-06-07 |
| 325391f | Donghe-Zhu | 2021-06-07 |
| ed89970 | Donghe-Zhu | 2021-06-07 |
| df37958 | Donghe-Zhu | 2021-06-07 |
| 812bf63 | Donghe-Zhu | 2021-06-06 |
| 65c89c8 | Donghe-Zhu | 2021-06-06 |
| 9baa3b2 | Donghe-Zhu | 2021-06-06 |
| b7d99cf | Donghe-Zhu | 2021-06-06 |
| 5d8fa90 | Donghe-Zhu | 2021-06-06 |
| dbe2a95 | Donghe-Zhu | 2021-05-28 |
| d50b039 | Donghe-Zhu | 2021-05-28 |
| 441ebe5 | Donghe-Zhu | 2021-05-28 |
| 6262ad3 | Donghe-Zhu | 2021-05-28 |
| a61aa77 | Donghe-Zhu | 2021-05-28 |
| b8dbce4 | Donghe-Zhu | 2021-05-28 |
| 94a833e | Donghe-Zhu | 2021-05-27 |
| 5e0bd64 | Donghe-Zhu | 2021-05-27 |
| af1eadd | Donghe-Zhu | 2021-05-27 |
| 9179bfe | Donghe-Zhu | 2021-05-27 |
| 28cbe5e | Donghe-Zhu | 2021-05-27 |
| a618f02 | Donghe-Zhu | 2021-05-27 |
| 4623e38 | Donghe-Zhu | 2021-05-27 |
| b81bb49 | Donghe-Zhu | 2021-05-27 |
| 951e188 | Donghe-Zhu | 2021-05-27 |
| e377833 | Donghe-Zhu | 2021-05-26 |
| 2705a04 | Donghe-Zhu | 2021-03-28 |
| cd5f759 | Donghe-Zhu | 2021-03-28 |
| 75dda4d | Donghe-Zhu | 2021-03-27 |
| 0b19f6e | Donghe-Zhu | 2021-03-27 |
| e2704ca | Donghe-Zhu | 2021-03-27 |
| 3061a0b | Donghe-Zhu | 2021-03-27 |
| b883157 | Donghe-Zhu | 2021-03-27 |
| d19654d | Donghe-Zhu | 2021-03-26 |
| 6c53dbf | Donghe-Zhu | 2021-03-25 |
| 1914a11 | Donghe-Zhu | 2021-03-24 |
| 8be810e | Donghe-Zhu | 2021-03-23 |
| bf19764 | Donghe-Zhu | 2021-03-22 |
| 3ec9d3d | Donghe-Zhu | 2021-03-22 |
| 134ace1 | Donghe-Zhu | 2021-03-22 |
| f6d70a4 | Donghe-Zhu | 2021-03-22 |
| 183443b | Donghe-Zhu | 2021-03-21 |
| 2e6976b | Donghe-Zhu | 2021-03-21 |
| 51a42bd | Donghe-Zhu | 2021-03-16 |
| f745381 | Donghe-Zhu | 2021-03-16 |
| aecbf75 | Donghe-Zhu | 2021-03-14 |
| 1b2a0c2 | Donghe-Zhu | 2021-03-14 |
| 6733e48 | Donghe-Zhu | 2021-03-12 |
| ba71e6a | Donghe-Zhu | 2021-03-12 |
| 9dbf5bd | Donghe-Zhu | 2021-03-11 |
| a49df30 | Donghe-Zhu | 2021-03-11 |
| b3348a5 | Donghe-Zhu | 2021-03-11 |
| 1c24ff7 | Donghe-Zhu | 2021-03-10 |
| 94ce5a8 | Donghe-Zhu | 2021-03-10 |
| db33928 | Donghe-Zhu | 2021-03-10 |
| 3d1f470 | Donghe-Zhu | 2021-03-10 |
| 9b7bc66 | Donghe-Zhu | 2021-03-10 |
| 4168b43 | Donghe-Zhu | 2021-03-10 |
| 5365f80 | Donghe-Zhu | 2021-03-10 |
| 2b6c392 | Donghe-Zhu | 2021-03-10 |
| 9f58753 | Donghe-Zhu | 2021-03-10 |
| fd528ed | Donghe-Zhu | 2021-03-10 |
| 9d5a62c | Donghe-Zhu | 2021-03-10 |
| 5d1e70b | Donghe-Zhu | 2021-03-10 |
| 2093979 | Donghe-Zhu | 2021-03-10 |
| b865899 | Donghe-Zhu | 2021-03-10 |
| cc2a956 | Donghe-Zhu | 2021-03-10 |
| 60689fb | Donghe-Zhu | 2021-03-10 |
| dba33c8 | Donghe-Zhu | 2021-03-09 |
| 17f1c4a | Donghe-Zhu | 2021-03-09 |
| c024d1a | Donghe-Zhu | 2021-03-09 |
| 02f7242 | Donghe-Zhu | 2021-03-09 |
| 6f50bc6 | Donghe-Zhu | 2021-03-09 |
| 1691156 | Donghe-Zhu | 2021-03-08 |
| c0ceaf8 | Donghe-Zhu | 2021-03-08 |
| 058e0a1 | Donghe-Zhu | 2021-03-08 |
| 112dea0 | Donghe-Zhu | 2021-03-08 |
| 1843412 | Donghe-Zhu | 2021-03-08 |
| 3fbbfa4 | Donghe-Zhu | 2021-03-07 |
| 627c8fb | Donghe-Zhu | 2021-03-07 |
| 9ef3222 | Donghe-Zhu | 2021-03-05 |
| 8c1e978 | Donghe-Zhu | 2021-03-05 |
| 865f68c | Donghe-Zhu | 2021-03-05 |
| ee69bc1 | Donghe-Zhu | 2021-03-05 |
| a79291f | Donghe-Zhu | 2021-03-05 |
| e8c6f30 | Donghe-Zhu | 2021-03-04 |
| 59288fe | Donghe-Zhu | 2021-03-04 |
| 731abc8 | Donghe-Zhu | 2021-03-04 |
| e2a5a33 | Donghe-Zhu | 2021-03-04 |
| c7892c1 | Donghe-Zhu | 2021-03-04 |
| 924430b | Donghe-Zhu | 2021-03-03 |
| 0d0bca1 | Donghe-Zhu | 2021-03-03 |
| cb63c16 | Donghe-Zhu | 2021-03-03 |
| ffda45a | Donghe-Zhu | 2021-03-03 |
| 691ba81 | Donghe-Zhu | 2021-03-03 |
| c5e45a2 | Donghe-Zhu | 2021-03-03 |
| 89c3e58 | Donghe-Zhu | 2021-03-03 |
| c407a50 | Donghe-Zhu | 2021-03-03 |
| c911669 | Donghe-Zhu | 2021-03-03 |
| b71c719 | Donghe-Zhu | 2021-03-01 |
| 13666ca | Donghe-Zhu | 2021-03-01 |
| c6e60fe | Donghe-Zhu | 2021-03-01 |
| 7a388f7 | Donghe-Zhu | 2021-03-01 |
| 799e913 | Donghe-Zhu | 2021-03-01 |
| 66ff99f | Donghe-Zhu | 2021-03-01 |
| ac9bb7a | Donghe-Zhu | 2021-02-28 |
| efdc047 | Donghe-Zhu | 2021-02-28 |
| e9a7418 | Donghe-Zhu | 2021-02-28 |
| e152917 | Donghe-Zhu | 2021-02-28 |
| 287123c | Donghe-Zhu | 2021-02-27 |
| 54d5b5b | Donghe-Zhu | 2021-02-27 |
| 330f064 | Donghe-Zhu | 2021-02-27 |
| adbc9bc | Donghe-Zhu | 2021-02-27 |
| 5937141 | Donghe-Zhu | 2021-02-27 |
| 4414bbf | Donghe-Zhu | 2021-02-27 |
| a265efb | Donghe-Zhu | 2021-02-27 |
| 19edd1e | Donghe-Zhu | 2021-02-27 |
| f20483f | Donghe-Zhu | 2021-02-26 |
| 6a2c7b3 | Donghe-Zhu | 2021-02-25 |
| 354c224 | Donghe-Zhu | 2021-02-24 |
| 1a0a88a | Donghe-Zhu | 2021-02-24 |
| 57f701e | Donghe-Zhu | 2021-02-24 |
| 06f3149 | Donghe-Zhu | 2021-02-16 |
| 401eab3 | Donghe-Zhu | 2021-02-15 |
| e3bba84 | Donghe-Zhu | 2021-02-15 |
| 5dce4b1 | Donghe-Zhu | 2021-02-15 |
| 4469a0c | Donghe-Zhu | 2021-02-13 |
| 5ae6a69 | Donghe-Zhu | 2021-02-10 |
| 05385dc | Donghe-Zhu | 2021-02-10 |
| f791ae4 | Donghe-Zhu | 2021-02-09 |
| f71ae34 | Donghe-Zhu | 2021-02-09 |
| c011832 | Donghe-Zhu | 2021-02-09 |
| a145fa7 | Donghe-Zhu | 2021-02-09 |
| c344e42 | Donghe-Zhu | 2021-02-08 |
| 2f095d7 | Donghe-Zhu | 2021-02-07 |
| 1fad5f1 | Donghe-Zhu | 2021-02-07 |
| ca03c39 | Donghe-Zhu | 2021-02-07 |
| e2ffc14 | Donghe-Zhu | 2021-02-05 |
| cd7c52c | Donghe-Zhu | 2021-02-04 |
| bcf84f4 | Donghe-Zhu | 2021-02-02 |
| a518739 | Donghe-Zhu | 2021-02-01 |
| 61666de | Donghe-Zhu | 2021-01-31 |
| 865b582 | Donghe-Zhu | 2021-01-31 |
| 3e68089 | Donghe-Zhu | 2021-01-31 |
| ecf335c | Donghe-Zhu | 2021-01-31 |
| a618965 | Donghe-Zhu | 2021-01-31 |
| 59e006e | Donghe-Zhu | 2021-01-31 |
| a1c8f87 | Donghe-Zhu | 2021-01-31 |
| ae5c18f | Donghe-Zhu | 2021-01-31 |
| b50fe52 | Donghe-Zhu | 2021-01-31 |
| ac99ae5 | jens-daniel-mueller | 2021-01-29 |
| b5bdcaf | Donghe-Zhu | 2021-01-29 |
| 442010d | Donghe-Zhu | 2021-01-29 |
| 372adf5 | Donghe-Zhu | 2021-01-29 |
| af8788e | Donghe-Zhu | 2021-01-29 |
| 21c91c9 | Donghe-Zhu | 2021-01-29 |
| eded038 | Donghe-Zhu | 2021-01-29 |
| 541d4dd | Donghe-Zhu | 2021-01-29 |
| 6a75576 | Donghe-Zhu | 2021-01-28 |
| 16fba40 | Donghe-Zhu | 2021-01-28 |
| 12bc567 | Donghe-Zhu | 2021-01-27 |
| ceed31b | Donghe-Zhu | 2021-01-27 |
| 342402d | Donghe-Zhu | 2021-01-27 |
| 5bad5c2 | Donghe-Zhu | 2021-01-27 |
| 61efb56 | Donghe-Zhu | 2021-01-25 |
| 48f638e | Donghe-Zhu | 2021-01-25 |
| c1cec47 | Donghe-Zhu | 2021-01-25 |
| 05ffb0c | Donghe-Zhu | 2021-01-25 |
| 8b97165 | Donghe-Zhu | 2021-01-25 |
| c569946 | Donghe-Zhu | 2021-01-24 |
| a2f0d56 | Donghe-Zhu | 2021-01-23 |
| 28509fc | Donghe-Zhu | 2021-01-23 |
| 4c28e4a | Donghe-Zhu | 2021-01-22 |
| 24cc264 | jens-daniel-mueller | 2021-01-22 |
| 7891955 | Donghe-Zhu | 2021-01-21 |
| d4cf1cb | Donghe-Zhu | 2021-01-21 |
| 1f3e5b6 | jens-daniel-mueller | 2021-01-20 |
| 0e7bdf1 | jens-daniel-mueller | 2021-01-15 |
| 4571843 | jens-daniel-mueller | 2021-01-14 |
| b3564aa | jens-daniel-mueller | 2021-01-14 |
| 8d032c3 | jens-daniel-mueller | 2021-01-14 |
| 17dee1d | jens-daniel-mueller | 2021-01-13 |
| 7cdea0c | jens-daniel-mueller | 2021-01-06 |
| fa85b93 | jens-daniel-mueller | 2021-01-06 |
| e5cb81a | Donghe-Zhu | 2021-01-05 |
| a499f10 | Donghe-Zhu | 2021-01-05 |
| fb8a752 | Donghe-Zhu | 2020-12-23 |
| 8fae0b2 | Donghe-Zhu | 2020-12-21 |
| c8b76b3 | jens-daniel-mueller | 2020-12-19 |
sessionInfo()
R version 4.0.3 (2020-10-10)
Platform: x86_64-pc-linux-gnu (64-bit)
Running under: openSUSE Leap 15.2
Matrix products: default
BLAS: /usr/local/R-4.0.3/lib64/R/lib/libRblas.so
LAPACK: /usr/local/R-4.0.3/lib64/R/lib/libRlapack.so
locale:
[1] LC_CTYPE=en_US.UTF-8 LC_NUMERIC=C
[3] LC_TIME=en_US.UTF-8 LC_COLLATE=en_US.UTF-8
[5] LC_MONETARY=en_US.UTF-8 LC_MESSAGES=en_US.UTF-8
[7] LC_PAPER=en_US.UTF-8 LC_NAME=C
[9] LC_ADDRESS=C LC_TELEPHONE=C
[11] LC_MEASUREMENT=en_US.UTF-8 LC_IDENTIFICATION=C
attached base packages:
[1] stats graphics grDevices utils datasets methods base
other attached packages:
[1] car_3.0-10 carData_3.0-4 gt_0.2.2 corrr_0.4.3
[5] broom_0.7.5 kableExtra_1.3.1 knitr_1.33 olsrr_0.5.3
[9] GGally_2.0.0 lubridate_1.7.9 ggforce_0.3.3 metR_0.9.0
[13] scico_1.2.0 patchwork_1.1.1 collapse_1.5.0 forcats_0.5.0
[17] stringr_1.4.0 dplyr_1.0.5 purrr_0.3.4 readr_1.4.0
[21] tidyr_1.1.3 tibble_3.1.3 ggplot2_3.3.3 tidyverse_1.3.0
[25] workflowr_1.6.2
loaded via a namespace (and not attached):
[1] fs_1.5.0 webshot_0.5.2 RColorBrewer_1.1-2
[4] httr_1.4.2 rprojroot_2.0.2 tools_4.0.3
[7] backports_1.1.10 utf8_1.1.4 R6_2.5.0
[10] nortest_1.0-4 DBI_1.1.0 colorspace_2.0-0
[13] withr_2.3.0 gridExtra_2.3 tidyselect_1.1.0
[16] curl_4.3 compiler_4.0.3 git2r_0.27.1
[19] cli_2.2.0 rvest_0.3.6 xml2_1.3.2
[22] sass_0.2.0 labeling_0.4.2 scales_1.1.1
[25] checkmate_2.0.0 goftest_1.2-2 digest_0.6.27
[28] foreign_0.8-80 rmarkdown_2.10 rio_0.5.16
[31] pkgconfig_2.0.3 htmltools_0.5.0 highr_0.8
[34] dbplyr_1.4.4 rlang_0.4.10 readxl_1.3.1
[37] rstudioapi_0.13 farver_2.0.3 generics_0.1.0
[40] jsonlite_1.7.2 zip_2.1.1 magrittr_2.0.1
[43] Matrix_1.2-18 Rcpp_1.0.5 munsell_0.5.0
[46] fansi_0.4.1 abind_1.4-5 lifecycle_1.0.0
[49] stringi_1.5.3 whisker_0.4 yaml_2.2.1
[52] MASS_7.3-53 plyr_1.8.6 grid_4.0.3
[55] blob_1.2.1 parallel_4.0.3 promises_1.1.1
[58] crayon_1.3.4 lattice_0.20-41 haven_2.3.1
[61] hms_0.5.3 pillar_1.6.2 reprex_0.3.0
[64] glue_1.4.2 evaluate_0.14 RcppArmadillo_0.10.1.2.2
[67] data.table_1.13.6 modelr_0.1.8 vctrs_0.3.8
[70] tweenr_1.0.2 httpuv_1.5.4 cellranger_1.1.0
[73] gtable_0.3.0 polyclip_1.10-0 reshape_0.8.8
[76] assertthat_0.2.1 openxlsx_4.2.3 xfun_0.25
[79] RcppEigen_0.3.3.9.1 later_1.2.0 viridisLite_0.3.0
[82] ellipsis_0.3.2 here_1.0.1