Last updated: 2021-08-19
Checks: 7 0
Knit directory: emlr_mod_v_XXX/
This reproducible R Markdown analysis was created with workflowr (version 1.6.2). The Checks tab describes the reproducibility checks that were applied when the results were created. The Past versions tab lists the development history.
Great! Since the R Markdown file has been committed to the Git repository, you know the exact version of the code that produced these results.
Great job! The global environment was empty. Objects defined in the global environment can affect the analysis in your R Markdown file in unknown ways. For reproduciblity it’s best to always run the code in an empty environment.
The command set.seed(20200707) was run prior to running the code in the R Markdown file. Setting a seed ensures that any results that rely on randomness, e.g. subsampling or permutations, are reproducible.
Great job! Recording the operating system, R version, and package versions is critical for reproducibility.
Nice! There were no cached chunks for this analysis, so you can be confident that you successfully produced the results during this run.
Great job! Using relative paths to the files within your workflowr project makes it easier to run your code on other machines.
Great! You are using Git for version control. Tracking code development and connecting the code version to the results is critical for reproducibility.
The results in this page were generated with repository version c00e32b. See the Past versions tab to see a history of the changes made to the R Markdown and HTML files.
Note that you need to be careful to ensure that all relevant files for the analysis have been committed to Git prior to generating the results (you can use wflow_publish or wflow_git_commit). workflowr only checks the R Markdown file, but you know if there are other scripts or data files that it depends on. Below is the status of the Git repository when the results were generated:
Ignored files:
Ignored: .Rhistory
Ignored: .Rproj.user/
Untracked files:
Untracked: docs_GV_2021_2R_ann_standard_ftref_CESM/
Untracked: docs_GV_2021_AIP_ann_standard_ftref_CESM/
Untracked: docs_GV_2021_AIP_ann_standard_ftref_NorESM/
Unstaged changes:
Modified: data/auxillary/params_local.rds
Note that any generated files, e.g. HTML, png, CSS, etc., are not included in this status report because it is ok for generated content to have uncommitted changes.
These are the previous versions of the repository in which changes were made to the R Markdown (analysis/eMLR_model_fitting.Rmd) and HTML (docs/eMLR_model_fitting.html) files. If you’ve configured a remote Git repository (see ?wflow_git_remote), click on the hyperlinks in the table below to view the files as they were in that past version.
| File | Version | Author | Date | Message |
|---|---|---|---|---|
| html | d98dd99 | Donghe-Zhu | 2021-08-18 | Build site. |
| html | b5955e0 | Donghe-Zhu | 2021-08-18 | Build site. |
| html | cceae84 | Donghe-Zhu | 2021-08-18 | Build site. |
| html | 1cdb694 | Donghe-Zhu | 2021-08-18 | Build site. |
| html | 9b7a798 | Donghe-Zhu | 2021-08-06 | Build site. |
| html | f6552d8 | Donghe-Zhu | 2021-08-06 | update with commit |
| html | 496fa02 | Donghe-Zhu | 2021-08-05 | Build site. |
| html | 19ecfe2 | Donghe-Zhu | 2021-08-05 | Build site. |
| html | 3253031 | Donghe-Zhu | 2021-08-05 | Build site. |
| html | 6c70952 | Donghe-Zhu | 2021-08-01 | Build site. |
| html | 2666bd7 | Donghe-Zhu | 2021-08-01 | Build site. |
| html | e51cfa2 | Donghe-Zhu | 2021-08-01 | Build site. |
| html | 78cbc18 | Donghe-Zhu | 2021-08-01 | Build site. |
| html | c55d4d7 | Donghe-Zhu | 2021-08-01 | Build site. |
| html | 26741db | Donghe-Zhu | 2021-08-01 | Build site. |
| html | ca539b5 | Donghe-Zhu | 2021-08-01 | Build site. |
| html | 1e98138 | Donghe-Zhu | 2021-08-01 | Build site. |
| html | 777b9e9 | Donghe-Zhu | 2021-08-01 | Build site. |
| html | b110c47 | Donghe-Zhu | 2021-08-01 | Build site. |
| html | 3611a48 | Donghe-Zhu | 2021-08-01 | Build site. |
| html | af832ef | Donghe-Zhu | 2021-07-31 | Build site. |
| html | 016f9ed | Donghe-Zhu | 2021-07-31 | Build site. |
| html | 2080ac5 | Donghe-Zhu | 2021-07-31 | Build site. |
| html | 50f0a16 | Donghe-Zhu | 2021-07-31 | Build site. |
| html | 1682579 | Donghe-Zhu | 2021-07-31 | Build site. |
| html | 9fa8832 | Donghe-Zhu | 2021-07-31 | Build site. |
| html | 4abf542 | Donghe-Zhu | 2021-07-31 | Build site. |
| html | a2483f0 | Donghe-Zhu | 2021-07-31 | Build site. |
| html | 3300527 | Donghe-Zhu | 2021-07-31 | Build site. |
| html | afeb6fd | Donghe-Zhu | 2021-07-31 | Build site. |
| html | cb3ef32 | Donghe-Zhu | 2021-07-31 | Build site. |
| html | 6528618 | Donghe-Zhu | 2021-07-31 | Build site. |
| html | f50925e | Donghe-Zhu | 2021-07-31 | Build site. |
| html | f4de2f3 | Donghe-Zhu | 2021-07-30 | Build site. |
| html | 43bc7b4 | Donghe-Zhu | 2021-07-30 | Build site. |
| html | f8c34a8 | Donghe-Zhu | 2021-07-30 | Build site. |
| html | 4f897c4 | Donghe-Zhu | 2021-07-30 | Build site. |
| html | 0f6e960 | Donghe-Zhu | 2021-07-30 | Build site. |
| html | fe067ea | Donghe-Zhu | 2021-07-30 | Build site. |
| html | fbca39a | Donghe-Zhu | 2021-07-30 | Build site. |
| html | f945f95 | Donghe-Zhu | 2021-07-30 | Build site. |
| html | a3006cd | Donghe-Zhu | 2021-07-30 | Build site. |
| html | a55ffdc | Donghe-Zhu | 2021-07-30 | Build site. |
| html | d5e4458 | Donghe-Zhu | 2021-07-30 | Build site. |
| html | 10a97ef | Donghe-Zhu | 2021-07-30 | Build site. |
| html | 1c501fd | Donghe-Zhu | 2021-07-30 | Build site. |
| html | 68bce3f | Donghe-Zhu | 2021-07-30 | Build site. |
| html | 400c457 | Donghe-Zhu | 2021-07-29 | Build site. |
| html | 3ba7852 | Donghe-Zhu | 2021-07-29 | Build site. |
| html | 422d5fd | Donghe-Zhu | 2021-07-29 | Build site. |
| Rmd | 0f6c901 | Donghe-Zhu | 2021-07-29 | local rebuild |
| html | ec68363 | Donghe-Zhu | 2021-07-28 | Build site. |
| html | d3018f6 | Donghe-Zhu | 2021-07-28 | Build site. |
| html | b8ba2c4 | Donghe-Zhu | 2021-07-28 | Build site. |
| Rmd | 9627e07 | Donghe-Zhu | 2021-07-28 | local rebuild |
| html | a4ddd84 | Donghe-Zhu | 2021-07-27 | Build site. |
| html | 7ef49ab | Donghe-Zhu | 2021-07-27 | Build site. |
| html | da818c0 | Donghe-Zhu | 2021-07-27 | Build site. |
| html | 8623898 | Donghe-Zhu | 2021-07-27 | Build site. |
| html | f84b77c | Donghe-Zhu | 2021-07-27 | Build site. |
| html | 70ad9a5 | Donghe-Zhu | 2021-07-27 | Build site. |
| html | 0d0b48d | Donghe-Zhu | 2021-07-27 | Build site. |
| Rmd | 376ec48 | Donghe-Zhu | 2021-07-27 | local rebuild |
| html | d0d97c6 | Donghe-Zhu | 2021-07-27 | Build site. |
| html | 829510d | Donghe-Zhu | 2021-07-27 | Build site. |
| html | 780627d | Donghe-Zhu | 2021-07-27 | Build site. |
| html | e9838c9 | Donghe-Zhu | 2021-07-27 | Build site. |
| html | 2777f33 | Donghe-Zhu | 2021-07-27 | Build site. |
| html | d19760f | Donghe-Zhu | 2021-07-27 | Build site. |
| html | cac5680 | Donghe-Zhu | 2021-07-23 | Build site. |
| html | 7bb279a | Donghe-Zhu | 2021-07-23 | Build site. |
| html | d52eac4 | Donghe-Zhu | 2021-07-23 | Build site. |
| html | dcf34b1 | Donghe-Zhu | 2021-07-23 | Build site. |
| html | 419cb72 | Donghe-Zhu | 2021-07-22 | Build site. |
| html | 9447d10 | Donghe-Zhu | 2021-07-22 | Build site. |
| html | 639c9a0 | Donghe-Zhu | 2021-07-22 | Build site. |
| html | 25bb96f | Donghe-Zhu | 2021-07-22 | Build site. |
| html | cdc98a3 | Donghe-Zhu | 2021-07-22 | Build site. |
| html | e4805a1 | Donghe-Zhu | 2021-07-22 | Build site. |
| Rmd | 573cc5d | Donghe-Zhu | 2021-07-22 | local rebuild |
| html | 7957fd1 | Donghe-Zhu | 2021-07-21 | Build site. |
| html | b94be4e | Donghe-Zhu | 2021-07-21 | Build site. |
| html | 9950e70 | Donghe-Zhu | 2021-07-21 | Build site. |
| html | 698b6f0 | Donghe-Zhu | 2021-07-20 | Build site. |
| html | d84a1cb | Donghe-Zhu | 2021-07-20 | Build site. |
| Rmd | ec15bf2 | Donghe-Zhu | 2021-07-20 | local rebuild |
| html | 4dce223 | Donghe-Zhu | 2021-07-20 | Build site. |
| html | 6f28c0c | Donghe-Zhu | 2021-07-20 | Build site. |
| html | db1e7b7 | Donghe-Zhu | 2021-07-19 | Build site. |
| Rmd | 38a8d51 | Donghe-Zhu | 2021-07-19 | local rebuild |
| html | ff0575d | Donghe-Zhu | 2021-07-19 | Build site. |
| html | 5d60eac | Donghe-Zhu | 2021-07-19 | Build site. |
| html | 57d0420 | Donghe-Zhu | 2021-07-16 | Build site. |
| html | c1be8f6 | Donghe-Zhu | 2021-07-16 | 1 |
| html | 26a7c15 | Donghe-Zhu | 2021-07-16 | Build site. |
| html | 046902b | Donghe-Zhu | 2021-07-16 | Build site. |
| html | 3d4ac14 | Donghe-Zhu | 2021-07-15 | Build site. |
| html | be6fff9 | Donghe-Zhu | 2021-07-15 | Build site. |
| Rmd | b8bd687 | Donghe-Zhu | 2021-07-15 | local rebuild |
| html | b473472 | Donghe-Zhu | 2021-07-15 | Build site. |
| html | 363270a | Donghe-Zhu | 2021-07-15 | Build site. |
| Rmd | bb00951 | Donghe-Zhu | 2021-07-15 | local rebuild |
| html | 8b75a03 | Donghe-Zhu | 2021-07-15 | Build site. |
| Rmd | 4f7d192 | Donghe-Zhu | 2021-07-15 | local rebuild |
| html | 294f8ca | Donghe-Zhu | 2021-07-15 | Build site. |
| html | a01e135 | Donghe-Zhu | 2021-07-07 | Build site. |
| html | bc83ef2 | Donghe-Zhu | 2021-07-07 | Build site. |
| Rmd | 0a4ac57 | Donghe-Zhu | 2021-07-07 | local rebuild |
| html | 75e7b07 | Donghe-Zhu | 2021-07-06 | Build site. |
| html | 697aa6d | Donghe-Zhu | 2021-07-06 | Build site. |
| html | d52e2de | Donghe-Zhu | 2021-07-06 | Build site. |
| html | f2bde6b | Donghe-Zhu | 2021-07-06 | Build site. |
| html | 1133f28 | Donghe-Zhu | 2021-07-06 | Build site. |
| html | fe3a1cd | Donghe-Zhu | 2021-07-06 | Build site. |
| html | d9cdf15 | Donghe-Zhu | 2021-07-06 | Build site. |
| html | ee4cd2d | Donghe-Zhu | 2021-07-06 | Build site. |
| html | 93821c1 | Donghe-Zhu | 2021-07-05 | Build site. |
| html | d44db8e | Donghe-Zhu | 2021-07-05 | Build site. |
| html | 20b3436 | Donghe-Zhu | 2021-07-05 | Build site. |
| html | d982ea5 | Donghe-Zhu | 2021-07-05 | Build site. |
| html | 7397e53 | Donghe-Zhu | 2021-07-05 | Build site. |
| html | f2e4805 | Donghe-Zhu | 2021-07-05 | Build site. |
| html | e2d011a | Donghe-Zhu | 2021-07-05 | Build site. |
| html | 85e0349 | Donghe-Zhu | 2021-07-05 | Build site. |
| html | 6ee0146 | Donghe-Zhu | 2021-07-05 | Build site. |
| html | a482a6b | Donghe-Zhu | 2021-07-05 | Build site. |
| html | f59f1b3 | Donghe-Zhu | 2021-07-05 | Build site. |
| html | 116bcab | Donghe-Zhu | 2021-07-04 | Build site. |
| html | cb1c8dc | Donghe-Zhu | 2021-07-04 | Build site. |
| html | c9bdd83 | Donghe-Zhu | 2021-07-04 | Build site. |
| html | 1920ad9 | Donghe-Zhu | 2021-07-04 | Build site. |
| html | 0b02791 | Donghe-Zhu | 2021-06-25 | change random subset files |
| html | caf62d8 | Donghe-Zhu | 2021-06-25 | Build site. |
| html | 90a9da5 | Donghe-Zhu | 2021-06-25 | Build site. |
| html | bb413c8 | Donghe-Zhu | 2021-06-25 | Build site. |
| html | e7a5266 | Donghe-Zhu | 2021-06-24 | Build site. |
| html | 7c57720 | Donghe-Zhu | 2021-06-24 | Build site. |
| html | b5b95a9 | Donghe-Zhu | 2021-06-24 | Build site. |
| html | 472aad4 | Donghe-Zhu | 2021-06-24 | Build site. |
| Rmd | 76ce72b | Donghe-Zhu | 2021-06-24 | local rebuild |
| html | d517836 | Donghe-Zhu | 2021-06-24 | 0 |
| html | 9221bfe | Donghe-Zhu | 2021-06-24 | Build site. |
| html | bff5fbf | Donghe-Zhu | 2021-06-23 | Build site. |
| html | 256a616 | Donghe-Zhu | 2021-06-23 | Build site. |
| html | 00072e2 | Donghe-Zhu | 2021-06-23 | Build site. |
| Rmd | 71d2509 | Donghe-Zhu | 2021-06-23 | local rebuild |
| html | 61cae2b | Donghe-Zhu | 2021-06-20 | 1 |
| html | d20c383 | Donghe-Zhu | 2021-06-18 | Build site. |
| html | b0874a2 | Donghe-Zhu | 2021-06-17 | Build site. |
| html | 72c2f2e | Donghe-Zhu | 2021-06-15 | Build site. |
| html | d97dcb6 | Donghe-Zhu | 2021-06-08 | 1 |
| html | 25dda1d | Donghe-Zhu | 2021-06-08 | Build site. |
| html | bd2bcc3 | Donghe-Zhu | 2021-06-08 | Build site. |
| html | e9b27d7 | Donghe-Zhu | 2021-06-07 | Build site. |
| html | 7ae0d4b | Donghe-Zhu | 2021-06-07 | Build site. |
| html | 325391f | Donghe-Zhu | 2021-06-07 | Build site. |
| html | ed89970 | Donghe-Zhu | 2021-06-07 | Build site. |
| html | df37958 | Donghe-Zhu | 2021-06-07 | 1 |
| html | 812bf63 | Donghe-Zhu | 2021-06-06 | Build site. |
| html | 65c89c8 | Donghe-Zhu | 2021-06-06 | Build site. |
| html | 9baa3b2 | Donghe-Zhu | 2021-06-06 | debug |
| html | b7d99cf | Donghe-Zhu | 2021-06-06 | Build site. |
| html | 5d8fa90 | Donghe-Zhu | 2021-06-06 | Build site. |
| html | dbe2a95 | Donghe-Zhu | 2021-05-28 | Build site. |
| html | d50b039 | Donghe-Zhu | 2021-05-28 | Build site. |
| html | 441ebe5 | Donghe-Zhu | 2021-05-28 | Build site. |
| html | 6262ad3 | Donghe-Zhu | 2021-05-28 | Build site. |
| html | a61aa77 | Donghe-Zhu | 2021-05-28 | Build site. |
| html | b8dbce4 | Donghe-Zhu | 2021-05-28 | Build site. |
| html | 94a833e | Donghe-Zhu | 2021-05-27 | Build site. |
| html | 5e0bd64 | Donghe-Zhu | 2021-05-27 | Build site. |
| html | af1eadd | Donghe-Zhu | 2021-05-27 | Build site. |
| html | 9179bfe | Donghe-Zhu | 2021-05-27 | Build site. |
| html | 28cbe5e | Donghe-Zhu | 2021-05-27 | Build site. |
| html | a618f02 | Donghe-Zhu | 2021-05-27 | Build site. |
| html | 4623e38 | Donghe-Zhu | 2021-05-27 | Build site. |
| html | b81bb49 | Donghe-Zhu | 2021-05-27 | Build site. |
| html | 951e188 | Donghe-Zhu | 2021-05-27 | Build site. |
| html | e377833 | Donghe-Zhu | 2021-05-26 | Build site. |
| Rmd | 896faa0 | Donghe-Zhu | 2021-05-18 | final |
| html | 2705a04 | Donghe-Zhu | 2021-03-28 | Build site. |
| html | cd5f759 | Donghe-Zhu | 2021-03-28 | Build site. |
| Rmd | 347fb44 | Donghe-Zhu | 2021-03-28 | local rebuild |
| html | 75dda4d | Donghe-Zhu | 2021-03-27 | Build site. |
| html | 0b19f6e | Donghe-Zhu | 2021-03-27 | Build site. |
| html | e2704ca | Donghe-Zhu | 2021-03-27 | Build site. |
| Rmd | b1706de | Donghe-Zhu | 2021-03-27 | local rebuild |
| html | 3061a0b | Donghe-Zhu | 2021-03-27 | Build site. |
| html | b883157 | Donghe-Zhu | 2021-03-27 | Build site. |
| html | 0c20513 | Donghe-Zhu | 2021-03-26 | Build site. |
| html | d19654d | Donghe-Zhu | 2021-03-26 | Build site. |
| Rmd | 921c9db | Donghe-Zhu | 2021-03-26 | local rebuild |
| html | 6c53dbf | Donghe-Zhu | 2021-03-25 | Build site. |
| Rmd | 195db95 | Donghe-Zhu | 2021-03-24 | local rebuild |
| html | 1914a11 | Donghe-Zhu | 2021-03-24 | Build site. |
| Rmd | e32af14 | Donghe-Zhu | 2021-03-24 | local rebuild |
| html | 8be810e | Donghe-Zhu | 2021-03-23 | Build site. |
| Rmd | 85274db | Donghe-Zhu | 2021-03-23 | local rebuild |
| html | bf19764 | Donghe-Zhu | 2021-03-22 | Build site. |
| html | 3ec9d3d | Donghe-Zhu | 2021-03-22 | Build site. |
| Rmd | 073fa6a | Donghe-Zhu | 2021-03-22 | local rebuild |
| html | 134ace1 | Donghe-Zhu | 2021-03-22 | Build site. |
| html | f6d70a4 | Donghe-Zhu | 2021-03-22 | Build site. |
| html | 183443b | Donghe-Zhu | 2021-03-21 | Build site. |
| Rmd | adca794 | Donghe-Zhu | 2021-03-21 | local rebuild |
| html | 2e6976b | Donghe-Zhu | 2021-03-21 | Build site. |
| Rmd | 4e7de35 | Donghe-Zhu | 2021-03-21 | local rebuild |
| html | 51a42bd | Donghe-Zhu | 2021-03-16 | Build site. |
| html | f745381 | Donghe-Zhu | 2021-03-16 | Build site. |
| html | aecbf75 | Donghe-Zhu | 2021-03-14 | Build site. |
| html | 1b2a0c2 | Donghe-Zhu | 2021-03-14 | Build site. |
| html | 6733e48 | Donghe-Zhu | 2021-03-12 | Build site. |
| html | ba71e6a | Donghe-Zhu | 2021-03-12 | Build site. |
| html | 9dbf5bd | Donghe-Zhu | 2021-03-11 | Build site. |
| html | a49df30 | Donghe-Zhu | 2021-03-11 | Build site. |
| html | b3348a5 | Donghe-Zhu | 2021-03-11 | Build site. |
| Rmd | 026c061 | Donghe-Zhu | 2021-03-11 | local rebuild |
| html | 1c24ff7 | Donghe-Zhu | 2021-03-10 | Build site. |
| Rmd | dbd8ff8 | Donghe-Zhu | 2021-03-10 | local rebuild |
| html | 94ce5a8 | Donghe-Zhu | 2021-03-10 | Build site. |
| html | db33928 | Donghe-Zhu | 2021-03-10 | Build site. |
| html | 3d1f470 | Donghe-Zhu | 2021-03-10 | Build site. |
| html | 9b7bc66 | Donghe-Zhu | 2021-03-10 | Build site. |
| Rmd | 498be1d | Donghe-Zhu | 2021-03-10 | local rebuild |
| html | 4168b43 | Donghe-Zhu | 2021-03-10 | Build site. |
| html | 5365f80 | Donghe-Zhu | 2021-03-10 | Build site. |
| html | 2b6c392 | Donghe-Zhu | 2021-03-10 | Build site. |
| html | 9f58753 | Donghe-Zhu | 2021-03-10 | Build site. |
| Rmd | e255177 | Donghe-Zhu | 2021-03-10 | local rebuild |
| html | f2a7146 | Donghe-Zhu | 2021-03-10 | Build site. |
| html | fd528ed | Donghe-Zhu | 2021-03-10 | Build site. |
| html | 9d5a62c | Donghe-Zhu | 2021-03-10 | Build site. |
| Rmd | 09b27ef | Donghe-Zhu | 2021-03-10 | local rebuild |
| html | 5d1e70b | Donghe-Zhu | 2021-03-10 | Build site. |
| Rmd | 6125b2d | Donghe-Zhu | 2021-03-10 | local rebuild |
| html | 2093979 | Donghe-Zhu | 2021-03-10 | Build site. |
| Rmd | 558d285 | Donghe-Zhu | 2021-03-10 | local rebuild |
| html | b865899 | Donghe-Zhu | 2021-03-10 | Build site. |
| html | cc2a956 | Donghe-Zhu | 2021-03-10 | Build site. |
| Rmd | 2a633bd | Donghe-Zhu | 2021-03-10 | local rebuild |
| html | 60689fb | Donghe-Zhu | 2021-03-10 | Build site. |
| html | 9230b52 | Donghe-Zhu | 2021-03-10 | Build site. |
| html | dba33c8 | Donghe-Zhu | 2021-03-09 | Build site. |
| Rmd | 6a60e02 | Donghe-Zhu | 2021-03-09 | local rebuild |
| html | 17f1c4a | Donghe-Zhu | 2021-03-09 | Build site. |
| Rmd | 4a4a400 | Donghe-Zhu | 2021-03-09 | local rebuild |
| html | c024d1a | Donghe-Zhu | 2021-03-09 | Build site. |
| Rmd | 34744ec | Donghe-Zhu | 2021-03-09 | local rebuild |
| html | 02f7242 | Donghe-Zhu | 2021-03-09 | Build site. |
| html | 6f50bc6 | Donghe-Zhu | 2021-03-09 | Build site. |
| Rmd | 88f0729 | Donghe-Zhu | 2021-03-09 | local rebuild |
| html | 1691156 | Donghe-Zhu | 2021-03-08 | Build site. |
| html | c0ceaf8 | Donghe-Zhu | 2021-03-08 | Build site. |
| html | 058e0a1 | Donghe-Zhu | 2021-03-08 | Build site. |
| html | 112dea0 | Donghe-Zhu | 2021-03-08 | Build site. |
| html | 1843412 | Donghe-Zhu | 2021-03-08 | Build site. |
| Rmd | d709f6c | Donghe-Zhu | 2021-03-08 | local rebuild |
| html | 65b0cef | Donghe-Zhu | 2021-03-07 | Build site. |
| html | 4083a6c | Donghe-Zhu | 2021-03-07 | Build site. |
| html | 3fbbfa4 | Donghe-Zhu | 2021-03-07 | Build site. |
| html | 627c8fb | Donghe-Zhu | 2021-03-07 | Build site. |
| html | 3607f4d | Donghe-Zhu | 2021-03-07 | Build site. |
| html | 9ef3222 | Donghe-Zhu | 2021-03-05 | Build site. |
| Rmd | 2be54f9 | Donghe-Zhu | 2021-03-05 | local rebuild |
| html | 8c1e978 | Donghe-Zhu | 2021-03-05 | Build site. |
| html | 865f68c | Donghe-Zhu | 2021-03-05 | Build site. |
| html | ee69bc1 | Donghe-Zhu | 2021-03-05 | Build site. |
| html | a79291f | Donghe-Zhu | 2021-03-05 | Build site. |
| html | e8c6f30 | Donghe-Zhu | 2021-03-04 | Build site. |
| html | 59288fe | Donghe-Zhu | 2021-03-04 | Build site. |
| html | 731abc8 | Donghe-Zhu | 2021-03-04 | Build site. |
| html | e2a5a33 | Donghe-Zhu | 2021-03-04 | Build site. |
| html | c7892c1 | Donghe-Zhu | 2021-03-04 | Build site. |
| html | 924430b | Donghe-Zhu | 2021-03-03 | Build site. |
| html | 0d0bca1 | Donghe-Zhu | 2021-03-03 | Build site. |
| html | cb63c16 | Donghe-Zhu | 2021-03-03 | Build site. |
| html | ffda45a | Donghe-Zhu | 2021-03-03 | Build site. |
| html | 691ba81 | Donghe-Zhu | 2021-03-03 | Build site. |
| html | c5e45a2 | Donghe-Zhu | 2021-03-03 | Build site. |
| html | 89c3e58 | Donghe-Zhu | 2021-03-03 | Build site. |
| html | c407a50 | Donghe-Zhu | 2021-03-03 | Build site. |
| html | c911669 | Donghe-Zhu | 2021-03-03 | Build site. |
| Rmd | e1f9d21 | Donghe-Zhu | 2021-03-03 | local rebuild |
| html | b71c719 | Donghe-Zhu | 2021-03-01 | Build site. |
| html | 13666ca | Donghe-Zhu | 2021-03-01 | Build site. |
| Rmd | c3195f4 | Donghe-Zhu | 2021-03-01 | local rebuild |
| html | c6e60fe | Donghe-Zhu | 2021-03-01 | Build site. |
| Rmd | 8ef147d | Donghe-Zhu | 2021-03-01 | local rebuild |
| html | 7a388f7 | Donghe-Zhu | 2021-03-01 | Build site. |
| html | 799e913 | Donghe-Zhu | 2021-03-01 | Build site. |
| Rmd | aa780a7 | Donghe-Zhu | 2021-03-01 | local rebuild |
| html | 66ff99f | Donghe-Zhu | 2021-03-01 | Build site. |
| html | ac9bb7a | Donghe-Zhu | 2021-02-28 | Build site. |
| html | efdc047 | Donghe-Zhu | 2021-02-28 | Build site. |
| html | e9a7418 | Donghe-Zhu | 2021-02-28 | Build site. |
| Rmd | eac1b0e | Donghe-Zhu | 2021-02-28 | local rebuild |
| html | e152917 | Donghe-Zhu | 2021-02-28 | Build site. |
| html | feb991c | Donghe-Zhu | 2021-02-27 | Build site. |
| Rmd | 4563314 | Donghe-Zhu | 2021-02-27 | local rebuild |
| html | 287123c | Donghe-Zhu | 2021-02-27 | Build site. |
| Rmd | 764a9c2 | Donghe-Zhu | 2021-02-27 | local rebuild |
| html | 54d5b5b | Donghe-Zhu | 2021-02-27 | Build site. |
| Rmd | 2e836bf | Donghe-Zhu | 2021-02-27 | local rebuild |
| html | 330f064 | Donghe-Zhu | 2021-02-27 | Build site. |
| Rmd | f360282 | Donghe-Zhu | 2021-02-27 | local rebuild |
| html | adbc9bc | Donghe-Zhu | 2021-02-27 | Build site. |
| Rmd | a8a8f9c | Donghe-Zhu | 2021-02-27 | local rebuild |
| html | 5937141 | Donghe-Zhu | 2021-02-27 | Build site. |
| Rmd | 5f0bfca | Donghe-Zhu | 2021-02-27 | local rebuild |
| html | 4414bbf | Donghe-Zhu | 2021-02-27 | Build site. |
| html | a265efb | Donghe-Zhu | 2021-02-27 | Build site. |
| html | 19edd1e | Donghe-Zhu | 2021-02-27 | Build site. |
| Rmd | 1ae5bb4 | Donghe-Zhu | 2021-02-27 | local rebuild |
| html | f20483f | Donghe-Zhu | 2021-02-26 | Build site. |
| html | 6a2c7b3 | Donghe-Zhu | 2021-02-25 | Build site. |
| html | 02b976d | Donghe-Zhu | 2021-02-24 | Build site. |
| html | 354c224 | Donghe-Zhu | 2021-02-24 | Build site. |
| Rmd | d910d39 | Donghe-Zhu | 2021-02-24 | local rebuild |
| html | 1a0a88a | Donghe-Zhu | 2021-02-24 | Build site. |
| Rmd | 663e891 | Donghe-Zhu | 2021-02-24 | local rebuild |
| html | 57f701e | Donghe-Zhu | 2021-02-24 | Build site. |
| html | 06f3149 | Donghe-Zhu | 2021-02-16 | Build site. |
| html | 401eab3 | Donghe-Zhu | 2021-02-15 | Build site. |
| html | e3bba84 | Donghe-Zhu | 2021-02-15 | Build site. |
| html | 5dce4b1 | Donghe-Zhu | 2021-02-15 | Build site. |
| Rmd | 35b0f2e | Donghe-Zhu | 2021-02-15 | local rebuild |
| html | 4469a0c | Donghe-Zhu | 2021-02-13 | Build site. |
| Rmd | 8186d57 | Donghe-Zhu | 2021-02-10 | apply nr_obs |
| html | 5ae6a69 | Donghe-Zhu | 2021-02-10 | Build site. |
| Rmd | eeb6557 | Donghe-Zhu | 2021-02-10 | local rebuild |
| html | 05385dc | Donghe-Zhu | 2021-02-10 | Build site. |
| html | f791ae4 | Donghe-Zhu | 2021-02-09 | Build site. |
| html | f71ae34 | Donghe-Zhu | 2021-02-09 | Build site. |
| html | c011832 | Donghe-Zhu | 2021-02-09 | Build site. |
| html | a145fa7 | Donghe-Zhu | 2021-02-09 | Build site. |
| Rmd | 37a41c8 | Donghe-Zhu | 2021-02-09 | local rebuild |
| html | c344e42 | Donghe-Zhu | 2021-02-08 | Build site. |
| Rmd | 8f5fa79 | Donghe-Zhu | 2021-02-08 | local rebuild |
| html | 2f095d7 | Donghe-Zhu | 2021-02-07 | Build site. |
| html | 2305044 | Donghe-Zhu | 2021-02-07 | Build site. |
| Rmd | c3638c1 | Donghe-Zhu | 2021-02-07 | local rebuild |
| html | 1fad5f1 | Donghe-Zhu | 2021-02-07 | Build site. |
| html | ca03c39 | Donghe-Zhu | 2021-02-07 | Build site. |
| html | e2ffc14 | Donghe-Zhu | 2021-02-05 | Build site. |
| html | cd7c52c | Donghe-Zhu | 2021-02-04 | Build site. |
| Rmd | bcf91a8 | jens-daniel-mueller | 2021-02-04 | separate MLR tables, added plot residuals vs location |
| html | bcf84f4 | Donghe-Zhu | 2021-02-02 | Build site. |
| html | a518739 | Donghe-Zhu | 2021-02-01 | Build site. |
| html | 61666de | Donghe-Zhu | 2021-01-31 | Build site. |
| html | 865b582 | Donghe-Zhu | 2021-01-31 | Build site. |
| html | 3e68089 | Donghe-Zhu | 2021-01-31 | Build site. |
| html | ecf335c | Donghe-Zhu | 2021-01-31 | Build site. |
| html | a618965 | Donghe-Zhu | 2021-01-31 | Build site. |
| html | 59e006e | Donghe-Zhu | 2021-01-31 | Build site. |
| html | a1c8f87 | Donghe-Zhu | 2021-01-31 | Build site. |
| html | ae5c18f | Donghe-Zhu | 2021-01-31 | Build site. |
| html | b50fe52 | Donghe-Zhu | 2021-01-31 | Build site. |
| Rmd | ac99ae5 | jens-daniel-mueller | 2021-01-29 | code review |
| html | ac99ae5 | jens-daniel-mueller | 2021-01-29 | code review |
| html | b5bdcaf | Donghe-Zhu | 2021-01-29 | Build site. |
| Rmd | b234505 | Donghe-Zhu | 2021-01-29 | MLR approach across all depth |
| html | 442010d | Donghe-Zhu | 2021-01-29 | Build site. |
| Rmd | e67e7dd | Donghe-Zhu | 2021-01-29 | surface equilibrium approach across all latitudes irrespective of gamma |
| html | 372adf5 | Donghe-Zhu | 2021-01-29 | Build site. |
| html | af8788e | Donghe-Zhu | 2021-01-29 | Build site. |
| html | 21c91c9 | Donghe-Zhu | 2021-01-29 | Build site. |
| html | eded038 | Donghe-Zhu | 2021-01-29 | Build site. |
| html | 541d4dd | Donghe-Zhu | 2021-01-29 | Build site. |
| html | 6a75576 | Donghe-Zhu | 2021-01-28 | Build site. |
| html | 16fba40 | Donghe-Zhu | 2021-01-28 | Build site. |
| Rmd | aecf0c6 | Donghe-Zhu | 2021-01-28 | diagnostic ploting |
| Rmd | a02684e | Donghe-Zhu | 2021-01-28 | error |
| Rmd | 4584be9 | Donghe-Zhu | 2021-01-28 | latest |
| html | 12bc567 | Donghe-Zhu | 2021-01-27 | Build site. |
| html | ceed31b | Donghe-Zhu | 2021-01-27 | Build site. |
| html | 342402d | Donghe-Zhu | 2021-01-27 | Build site. |
| html | 5bad5c2 | Donghe-Zhu | 2021-01-27 | Build site. |
| Rmd | c2c9529 | Donghe-Zhu | 2021-01-27 | random subsetting based on lat |
| html | 61efb56 | Donghe-Zhu | 2021-01-25 | Build site. |
| html | 48f638e | Donghe-Zhu | 2021-01-25 | Build site. |
| html | c1cec47 | Donghe-Zhu | 2021-01-25 | Build site. |
| html | 05ffb0c | Donghe-Zhu | 2021-01-25 | Build site. |
| html | 8b97165 | Donghe-Zhu | 2021-01-25 | Build site. |
| html | c569946 | Donghe-Zhu | 2021-01-24 | Build site. |
| html | a2f0d56 | Donghe-Zhu | 2021-01-23 | Build site. |
| html | 28509fc | Donghe-Zhu | 2021-01-23 | Build site. |
| html | 4c28e4a | Donghe-Zhu | 2021-01-22 | Build site. |
| html | 24cc264 | jens-daniel-mueller | 2021-01-22 | cleaned /docs before creating copies |
| html | 88eb28f | Donghe-Zhu | 2021-01-21 | Build site. |
| html | 2679490 | Donghe-Zhu | 2021-01-21 | Build site. |
| html | 7891955 | Donghe-Zhu | 2021-01-21 | Build site. |
| html | d4cf1cb | Donghe-Zhu | 2021-01-21 | Build site. |
| Rmd | 167eeec | Donghe-Zhu | 2021-01-21 | surface DIC calculation with atmospheric equilibrium option |
| html | 1f3e5b6 | jens-daniel-mueller | 2021-01-20 | Build site. |
| html | 0e7bdf1 | jens-daniel-mueller | 2021-01-15 | cleaning template repository |
| html | 73cbef3 | jens-daniel-mueller | 2021-01-15 | Build site. |
| html | 4571843 | jens-daniel-mueller | 2021-01-14 | revision and html deleted for template copying |
| html | 23151cd | jens-daniel-mueller | 2021-01-14 | Build site. |
| html | b3564aa | jens-daniel-mueller | 2021-01-14 | Build site. |
| html | 8d032c3 | jens-daniel-mueller | 2021-01-14 | Build site. |
| html | 022871c | Donghe-Zhu | 2021-01-13 | Build site. |
| Rmd | d44f36f | Donghe-Zhu | 2021-01-13 | reorder analysis final |
| html | 17dee1d | jens-daniel-mueller | 2021-01-13 | Build site. |
| Rmd | 9e04fd7 | jens-daniel-mueller | 2021-01-13 | local rebuild after revision |
| html | a076226 | Donghe-Zhu | 2021-01-11 | Build site. |
| Rmd | 52eff18 | Donghe-Zhu | 2021-01-09 | Implemet model_run and subsetting |
| html | 7cdea0c | jens-daniel-mueller | 2021-01-06 | Build site. |
| Rmd | b5934dd | jens-daniel-mueller | 2021-01-06 | local rebuild after revision |
| html | fa85b93 | jens-daniel-mueller | 2021-01-06 | Build site. |
| html | e5cb81a | Donghe-Zhu | 2021-01-05 | Build site. |
| Rmd | 608cc45 | Donghe-Zhu | 2021-01-05 | modification of analysis |
| html | a499f10 | Donghe-Zhu | 2021-01-05 | Build site. |
| Rmd | 715bdb4 | Donghe-Zhu | 2021-01-02 | model modification |
| html | fb8a752 | Donghe-Zhu | 2020-12-23 | Build site. |
| Rmd | 82e3c9c | Donghe-Zhu | 2020-12-23 | first build after creating model template |
| html | 8fae0b2 | Donghe-Zhu | 2020-12-21 | Build site. |
| Rmd | 00a1322 | Donghe-Zhu | 2020-12-21 | first build after creating model template |
| Rmd | d73ae35 | Donghe-Zhu | 2020-12-21 | first version with lm error |
| html | c8b76b3 | jens-daniel-mueller | 2020-12-19 | Build site. |
| Rmd | b5fedce | jens-daniel-mueller | 2020-12-19 | first build after creating model template |
| Rmd | 8e8abf5 | Jens Müller | 2020-12-18 | Initial commit |
Required are:
GLODAP <-
read_csv(paste(path_version_data,
"GLODAPv2.2020_MLR_fitting_ready.csv",
sep = ""))
Find all possible combinations of following considered predictor variables:
# the following code is a workaround to find all predictor combinations
# using the olsrr package and fit all models for one era, slab, and basin
i_basin <- unique(GLODAP$basin)[1]
i_era <- unique(GLODAP$era)[1]
# subset one basin and era for fitting
GLODAP_basin_era <- GLODAP %>%
filter(basin == i_basin, era == i_era)
i_gamma_slab <- unique(GLODAP_basin_era$gamma_slab)[1]
print(i_gamma_slab)
# subset one gamma slab
GLODAP_basin_era_slab <- GLODAP_basin_era %>%
filter(gamma_slab == i_gamma_slab)
# fit the full linear model, i.e. all predictor combinations
lm_full <- lm(paste(
params_local$MLR_target,
paste(params_local$MLR_predictors, collapse = " + "),
sep = " ~ "
),
data = GLODAP_basin_era_slab)
# fit linear models for all possible predictor combinations
# unfortunately, this functions does not provide model coefficients (yet)
lm_all <- ols_step_all_possible(lm_full)
# convert to tibble
lm_all <- as_tibble(lm_all)
# extract relevant columns and format model formula
lm_all <- lm_all %>%
select(n, predictors) %>%
mutate(lm_coeff = str_replace_all(predictors, " ", " + "),
lm_coeff = paste(params_local$MLR_target, "~", lm_coeff))
# remove certain predictor combinations
lm_rm_si <- lm_all %>%
filter(str_detect(lm_coeff, "silicate_star")) %>%
mutate(lm_coeff_filter = str_remove(lm_coeff, "silicate_star")) %>%
filter(str_detect(lm_coeff_filter, "silicate") &
str_detect(lm_coeff_filter, "nitrate")) %>%
select(-lm_coeff_filter)
lm_rm_ph <- lm_all %>%
filter(str_detect(lm_coeff, "phosphate_star")) %>%
mutate(lm_coeff_filter = str_remove(lm_coeff, "phosphate_star")) %>%
filter(str_detect(lm_coeff_filter, "phosphate") &
str_detect(lm_coeff_filter, "oxygen")) %>%
select(-lm_coeff_filter)
lm_rm <- bind_rows(lm_rm_ph, lm_rm_si) %>%
unique()
lm_all <- anti_join(lm_all, lm_rm)
# remove temp sal predictor combination
# lm_all <- lm_all %>%
# # filter(!(
# # str_detect(lm_coeff, "temp") &
# # str_detect(lm_coeff, "phosphate_star")
# # )) %>%
# mutate(lm_coeff_filter = str_remove(lm_coeff, "phosphate_star")) %>%
# filter(!(str_detect(lm_coeff_filter, "nitrate") &
# str_detect(lm_coeff_filter, "phosphate")
# )) %>%
# filter(!(
# str_detect(lm_coeff_filter, "temp") &
# str_detect(lm_coeff_filter, "sal")
# )) %>%
# # filter(!(
# # str_detect(lm_coeff_filter, "oxygen") &
# # str_detect(lm_coeff_filter, "aou")
# # )) %>%
# select(-lm_coeff_filter)
# remove helper objects
rm(
i_gamma_slab,
i_era,
i_basin,
GLODAP_basin_era,
GLODAP_basin_era_slab,
lm_full,
lm_rm_ph,
lm_rm_si,
lm_rm_o2,
lm_rm
)
# lm_full <- lm(paste(
# params_local$MLR_target,
# paste(params_local$MLR_predictors, collapse = " + "),
# sep = " ~ "
# ),
# data = GLODAP_basin_era_slab)
#
# lm_full <-
# loess(
# cstar_tref ~ sal + temp + aou + phosphate,
# span = 0.1,
# degree = 1,
# data = GLODAP_basin_era_slab
# )
Select combinations with a total number of predictors in the range:
lm_all <- lm_all %>%
filter(n >= params_local$MLR_predictors_min,
n <= params_local$MLR_predictors_max)
This results in a total number of MLR models of:
Individual linear regression models were fitted for the chosen target variable:
as a function of each predictor combination. Fitting was performed separately within each basin, era, and slab. Model diagnostics, such as the root mean squared error (RMSE), were calculated for each fitted model.
# loop across all basins, era, gamma slabs, and MLRs
# fit all MLR models
for (i_basin in unique(GLODAP$basin)) {
for (i_era in unique(GLODAP$era)) {
#i_basin <- unique(GLODAP$basin)[1]
#i_era <- unique(GLODAP$era)[1]
print(i_basin)
print(i_era)
GLODAP_basin_era <- GLODAP %>%
filter(basin == i_basin, era == i_era)
for (i_gamma_slab in unique(GLODAP_basin_era$gamma_slab)) {
#i_gamma_slab <- unique(GLODAP_basin_era$gamma_slab)[1]
print(i_gamma_slab)
GLODAP_basin_era_slab <- GLODAP_basin_era %>%
filter(gamma_slab == i_gamma_slab)
# number of observations used for each fitting model
i_nr_obs = nrow(GLODAP_basin_era_slab)
for (i_predictors in unique(lm_all$predictors)) {
#i_predictors <- unique(lm_all$predictors)[100]
# extract one model definition
i_lm <- lm_all %>%
filter(predictors == i_predictors) %>%
select(lm_coeff) %>%
pull()
# extract number of predictors
i_n_predictors <- lm_all %>%
filter(predictors == i_predictors) %>%
select(n) %>%
pull()
if (i_nr_obs > i_n_predictors) {
# fit model
if (params_local$MLR_type == "rlm") {
i_lm_fit <- MASS::rlm(as.formula(i_lm),
data = GLODAP_basin_era_slab)
}
if (params_local$MLR_type == "lm") {
i_lm_fit <- lm(as.formula(i_lm),
data = GLODAP_basin_era_slab)
}
# find max predictor correlation
i_cor_max <- GLODAP_basin_era_slab %>%
select(!!!syms(str_split(i_predictors, " ",
simplify = TRUE))) %>%
correlate(quiet = TRUE) %>%
select(-term) %>%
abs() %>%
max(na.rm = TRUE)
# calculate root mean squared error
i_rmse <- sqrt(c(crossprod(i_lm_fit$residuals)) /
length(i_lm_fit$residuals))
# calculate maximum residual
i_resid_max <- max(abs(i_lm_fit$residuals))
# calculate Akaike information criterion aic
i_aic <- AIC(i_lm_fit)
# calculate max VIF
if (is.na(max(i_lm_fit$coefficients))) {
i_vif_max <- as.double("NA")
} else{
i_vif_max <- max(vif(i_lm_fit))
}
# collect model coefficients and diagnostics
coefficients <- tidy(i_lm_fit)
coefficients <- coefficients %>%
mutate(
basin = i_basin,
era = i_era,
gamma_slab = i_gamma_slab,
model = i_lm,
nr_obs = i_nr_obs,
rmse = i_rmse,
aic = i_aic,
vif_max = i_vif_max,
resid_max = i_resid_max,
n_predictors = i_n_predictors,
na_predictor = anyNA(coefficients$estimate),
cor_max = i_cor_max
)
if (exists("lm_all_fitted")) {
lm_all_fitted <- bind_rows(lm_all_fitted, coefficients)
}
if (!exists("lm_all_fitted")) {
lm_all_fitted <- coefficients
}
}
}
}
}
}
rm(
i_lm_fit,
coefficients,
i_rmse,
GLODAP_basin_era,
GLODAP_basin_era_slab,
i_lm,
i_basin,
i_era,
i_gamma_slab,
i_nr_obs,
i_predictors,
i_aic,
i_vif_max,
i_n_predictors,
i_resid_max
)
Coefficients are prepared for the mapping of Cant and the chosen target variable.
# lm_all_fitted <- lm_all_fitted_1
# lm_all_fitted <-
# read_csv(paste(path_version_data,
# "lm_all_fitted.csv",
# sep = ""))
# select relevant columns
lm_all_fitted <- lm_all_fitted %>%
select(
basin,
gamma_slab,
era,
model,
nr_obs,
n_predictors,
term,
estimate,
rmse,
aic,
vif_max,
resid_max,
na_predictor,
cor_max
)
# set coefficient to zero if not fitted (=NA)
lm_all_fitted <- lm_all_fitted %>%
mutate(estimate = if_else(is.na(estimate), 0, estimate))
# Prepare model coefficients for mapping of target variable
lm_all_fitted_wide <- lm_all_fitted %>%
pivot_wider(
values_from = estimate,
names_from = term,
names_prefix = "coeff_",
values_fill = 0
)
Within each basin and slab, the following number of best linear regression models was selected:
The criterion used to select the best models was:
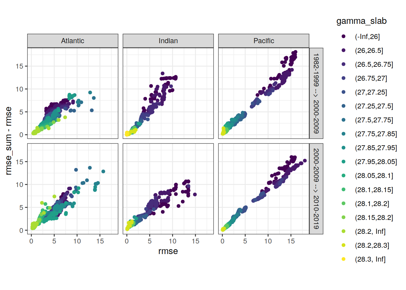
The criterion was summed up for two adjacent eras, and the models with lowest summed values were selected.
Please note, that currently the lm() function produces NAs for some predictors. It is not yet entirely clear when this happens, but presumably it is caused by some form of collinearity between predictors, such that including another predictor does not help to explain the target variable any better. The issues also expresses as exactly identical rmse values of different models. As an interim solution, models with fitted NA predictors were not included.
# remove models with predictors fitted as NA
lm_all_fitted_wide <- lm_all_fitted_wide %>%
filter(na_predictor == FALSE)
To avoid multicollinearity among predictors, models were excluded with a VIF above:
After removing models affected by multicollinearity, the targeted number of MLRs (10) was undercut in following fitting units:
# remove models with predictors fitted as NA
lm_all_fitted_wide <- lm_all_fitted_wide %>%
filter(vif_max <= params_local$vif_max)
# lm_all_fitted_wide_check <- lm_all_fitted_wide %>%
# group_by(era, basin, gamma_slab) %>%
# count()
# filter(n < params_local$MLR_number)
# calculate RMSE sum for adjacent eras
lm_all_fitted_wide_eras <- lm_all_fitted_wide %>%
select(basin, gamma_slab, n_predictors, model, era, nr_obs, rmse, aic, vif_max, resid_max) %>%
arrange(era) %>%
group_by(basin, gamma_slab, model) %>%
mutate(
eras = paste(lag(era), era, sep = " --> "),
rmse_sum = rmse + lag(rmse),
rmse_lag = lag(rmse),
aic_sum = aic + lag(aic),
vif_max_sum = vif_max + lag(vif_max)
) %>%
ungroup() %>%
select(-c(era)) %>%
drop_na() %>%
filter(eras != "1982-1999 --> 2010-2019",
eras != "1982-1999 --> 2008-2019")
# filter tripairs
lm_all_fitted_wide_eras <- lm_all_fitted_wide_eras %>%
mutate(rmse = round(rmse, digits = 7), rmse_lag = round(rmse_lag, digits = 7)) %>%
group_by(basin, gamma_slab, eras, rmse) %>%
sample_n(1) %>%
ungroup()
# calculate rank for each era
lm_all_fitted_wide_eras <- lm_all_fitted_wide_eras %>%
group_by(eras, basin, gamma_slab) %>%
mutate(rank = rank(rmse, ties.method="first"),
rank_sum = rank + rank(rmse_lag, ties.method="first")) %>%
ungroup()
# subset models with lowest summed criterion
# chose which criterion is applied
if (params_local$MLR_criterion == "aic") {
lm_best <- lm_all_fitted_wide_eras %>%
group_by(basin, gamma_slab, eras) %>%
slice_min(order_by = aic_sum,
with_ties = FALSE,
n = params_local$MLR_number) %>%
ungroup() %>%
arrange(basin, gamma_slab, eras, aic_sum)
} else if (params_local$MLR_criterion == "rmse") {
lm_best <- lm_all_fitted_wide_eras %>%
group_by(basin, gamma_slab, eras) %>%
slice_min(order_by = rmse_sum,
with_ties = FALSE,
n = params_local$MLR_number) %>%
ungroup() %>%
arrange(basin, gamma_slab, eras, rmse_sum)
} else {
lm_best <- lm_all_fitted_wide_eras %>%
group_by(basin, gamma_slab, eras) %>%
slice_min(order_by = rank_sum,
with_ties = FALSE,
n = params_local$MLR_number) %>%
ungroup() %>%
arrange(basin, gamma_slab, eras, rank_sum)
}
lm_best %>%
kable() %>%
add_header_above() %>%
kable_styling() %>%
scroll_box(width = "100%", height = "400px")
| basin | gamma_slab | n_predictors | model | nr_obs | rmse | aic | vif_max | resid_max | eras | rmse_sum | rmse_lag | aic_sum | vif_max_sum | rank | rank_sum |
|---|---|---|---|---|---|---|---|---|---|---|---|---|---|---|---|
| Atlantic | (-Inf,26] | 5 | cstar_tref ~ sal + aou + nitrate + phosphate + phosphate_star | 174 | 3.2578898 | 918.8063358 | 232.924572 | 11.1297490 | 1982-1999 –> 2000-2009 | 8.3774402 | 5.1195504 | 2385.56079 | 519.888650 | 2 | 3 |
| Atlantic | (-Inf,26] | 5 | cstar_tref ~ sal + temp + aou + nitrate + phosphate_star | 174 | 3.2429904 | 917.2111667 | 50.859699 | 10.3154616 | 1982-1999 –> 2000-2009 | 8.5408410 | 5.2978506 | 2400.26128 | 113.350201 | 1 | 3 |
| Atlantic | (-Inf,26] | 5 | cstar_tref ~ sal + temp + aou + nitrate + phosphate | 174 | 3.3963218 | 933.2877847 | 55.178541 | 11.8516434 | 1982-1999 –> 2000-2009 | 8.7508235 | 5.3545016 | 2421.40084 | 129.547745 | 4 | 7 |
| Atlantic | (-Inf,26] | 4 | cstar_tref ~ sal + aou + nitrate + phosphate_star | 174 | 3.2580357 | 916.8219295 | 49.089958 | 11.1930099 | 1982-1999 –> 2000-2009 | 8.9742051 | 5.7161694 | 2434.04694 | 105.436980 | 3 | 8 |
| Atlantic | (-Inf,26] | 5 | cstar_tref ~ sal + temp + nitrate + phosphate + phosphate_star | 174 | 3.5642443 | 950.0819217 | 92.462056 | 12.7048620 | 1982-1999 –> 2000-2009 | 9.1276121 | 5.5633679 | 2456.40960 | 262.639022 | 5 | 9 |
| Atlantic | (-Inf,26] | 4 | cstar_tref ~ sal + aou + nitrate + phosphate | 174 | 3.9947766 | 987.7663108 | 51.920428 | 12.3972306 | 1982-1999 –> 2000-2009 | 9.9601604 | 5.9653838 | 2525.30439 | 126.126609 | 6 | 19 |
| Atlantic | (-Inf,26] | 4 | cstar_tref ~ sal + temp + nitrate + phosphate | 174 | 4.2362768 | 1008.1929080 | 39.837177 | 16.8517706 | 1982-1999 –> 2000-2009 | 10.4486485 | 6.2123717 | 2565.04199 | 61.102474 | 7 | 23 |
| Atlantic | (-Inf,26] | 4 | cstar_tref ~ aou + nitrate + phosphate + phosphate_star | 174 | 4.7715038 | 1049.5968176 | 191.128494 | 10.5972341 | 1982-1999 –> 2000-2009 | 10.5303736 | 5.7588698 | 2570.36439 | 298.795149 | 11 | 17 |
| Atlantic | (-Inf,26] | 4 | cstar_tref ~ temp + aou + nitrate + phosphate | 174 | 4.7821482 | 1050.3722833 | 54.908994 | 10.8291044 | 1982-1999 –> 2000-2009 | 10.5617245 | 5.7795763 | 2572.84828 | 128.709972 | 12 | 20 |
| Atlantic | (-Inf,26] | 4 | cstar_tref ~ temp + nitrate + phosphate + phosphate_star | 174 | 4.7016963 | 1044.4679352 | 88.865247 | 11.8621329 | 1982-1999 –> 2000-2009 | 10.5977439 | 5.8960477 | 2576.44102 | 258.546932 | 10 | 21 |
| Atlantic | (-Inf,26] | 5 | cstar_tref ~ sal + aou + nitrate + phosphate + phosphate_star | 267 | 4.5103839 | 1576.1213103 | 196.284030 | 15.2194906 | 2000-2009 –> 2010-2019 | 7.7682737 | 3.2578898 | 2494.92765 | 429.208602 | 1 | 3 |
| Atlantic | (-Inf,26] | 5 | cstar_tref ~ sal + temp + aou + nitrate + phosphate_star | 267 | 4.6221396 | 1589.1911966 | 39.464908 | 14.8561287 | 2000-2009 –> 2010-2019 | 7.8651300 | 3.2429904 | 2506.40236 | 90.324607 | 2 | 3 |
| Atlantic | (-Inf,26] | 5 | cstar_tref ~ sal + temp + aou + nitrate + phosphate | 267 | 4.6557422 | 1593.0592930 | 40.859214 | 15.1309870 | 2000-2009 –> 2010-2019 | 8.0520640 | 3.3963218 | 2526.34708 | 96.037756 | 3 | 7 |
| Atlantic | (-Inf,26] | 4 | cstar_tref ~ sal + aou + nitrate + phosphate_star | 267 | 4.8494638 | 1612.8287684 | 38.738337 | 11.6217723 | 2000-2009 –> 2010-2019 | 8.1074996 | 3.2580357 | 2529.65070 | 87.828295 | 4 | 7 |
| Atlantic | (-Inf,26] | 5 | cstar_tref ~ sal + temp + nitrate + phosphate + phosphate_star | 267 | 4.8585854 | 1615.8322524 | 93.136389 | 15.4029812 | 2000-2009 –> 2010-2019 | 8.4228297 | 3.5642443 | 2565.91417 | 185.598444 | 5 | 10 |
| Atlantic | (-Inf,26] | 4 | cstar_tref ~ sal + aou + nitrate + phosphate | 267 | 5.1867994 | 1648.7395566 | 37.225536 | 11.8715907 | 2000-2009 –> 2010-2019 | 9.1815759 | 3.9947766 | 2636.50587 | 89.145964 | 12 | 18 |
| Atlantic | (-Inf,26] | 4 | cstar_tref ~ sal + temp + aou + nitrate | 267 | 4.9204978 | 1620.5939630 | 37.517669 | 17.8785181 | 2000-2009 –> 2010-2019 | 9.7802827 | 4.8597849 | 2676.57055 | 79.294969 | 6 | 21 |
| Atlantic | (-Inf,26] | 4 | cstar_tref ~ temp + nitrate + phosphate + phosphate_star | 267 | 5.1406759 | 1643.9697412 | 87.787109 | 14.6309609 | 2000-2009 –> 2010-2019 | 9.8423722 | 4.7016963 | 2688.43768 | 176.652355 | 7 | 17 |
| Atlantic | (-Inf,26] | 4 | cstar_tref ~ aou + nitrate + phosphate + phosphate_star | 267 | 5.1467123 | 1644.5964188 | 87.073730 | 13.6622866 | 2000-2009 –> 2010-2019 | 9.9182161 | 4.7715038 | 2694.19324 | 278.202224 | 9 | 20 |
| Atlantic | (-Inf,26] | 4 | cstar_tref ~ temp + aou + nitrate + phosphate | 267 | 5.1426631 | 1644.1761219 | 37.712766 | 13.7822013 | 2000-2009 –> 2010-2019 | 9.9248113 | 4.7821482 | 2694.54841 | 92.621760 | 8 | 20 |
| Atlantic | (26,26.5] | 5 | cstar_tref ~ sal + temp + aou + nitrate + phosphate_star | 578 | 3.2085751 | 3001.9889027 | 554.753702 | 13.1045742 | 1982-1999 –> 2000-2009 | 7.1102925 | 3.9017174 | 6864.00069 | 880.834772 | 1 | 2 |
| Atlantic | (26,26.5] | 5 | cstar_tref ~ sal + temp + aou + nitrate + phosphate | 578 | 3.3134618 | 3039.1734523 | 581.579274 | 13.7675432 | 1982-1999 –> 2000-2009 | 7.2699157 | 3.9564538 | 6920.46619 | 974.872824 | 3 | 5 |
| Atlantic | (26,26.5] | 5 | cstar_tref ~ sal + temp + nitrate + phosphate + phosphate_star | 578 | 3.4681652 | 3091.9242466 | 604.747840 | 14.2325482 | 1982-1999 –> 2000-2009 | 7.5197785 | 4.0516133 | 7006.11055 | 1004.653101 | 4 | 7 |
| Atlantic | (26,26.5] | 4 | cstar_tref ~ sal + aou + nitrate + phosphate_star | 578 | 3.2721321 | 3022.6636621 | 540.520891 | 11.7814525 | 1982-1999 –> 2000-2009 | 7.7070216 | 4.4348894 | 7059.94631 | 865.866140 | 2 | 6 |
| Atlantic | (26,26.5] | 4 | cstar_tref ~ sal + temp + aou + nitrate | 578 | 3.8199732 | 3201.6143366 | 135.559345 | 18.2280634 | 1982-1999 –> 2000-2009 | 8.2972904 | 4.4773172 | 7252.07451 | 257.913367 | 9 | 14 |
| Atlantic | (26,26.5] | 4 | cstar_tref ~ temp + aou + nitrate + phosphate_star | 578 | 3.5010119 | 3100.8211177 | 281.599349 | 12.3695986 | 1982-1999 –> 2000-2009 | 8.3245102 | 4.8234982 | 7254.35527 | 439.352873 | 5 | 12 |
| Atlantic | (26,26.5] | 4 | cstar_tref ~ temp + aou + nitrate + phosphate | 578 | 3.5326075 | 3111.2068681 | 501.021640 | 13.1913536 | 1982-1999 –> 2000-2009 | 8.3539726 | 4.8213651 | 7264.12883 | 771.215168 | 7 | 13 |
| Atlantic | (26,26.5] | 3 | cstar_tref ~ aou + nitrate + phosphate_star | 578 | 3.5016438 | 3099.0297318 | 88.973001 | 12.5983391 | 1982-1999 –> 2000-2009 | 8.3978886 | 4.8962448 | 7271.28114 | 208.355031 | 6 | 16 |
| Atlantic | (26,26.5] | 4 | cstar_tref ~ temp + nitrate + phosphate + phosphate_star | 578 | 3.6042776 | 3134.4252331 | 307.650223 | 14.0607380 | 1982-1999 –> 2000-2009 | 8.4290129 | 4.8247353 | 7288.31430 | 542.091394 | 8 | 16 |
| Atlantic | (26,26.5] | 3 | cstar_tref ~ temp + aou + nitrate | 578 | 3.8604354 | 3211.7945840 | 63.419891 | 17.5896586 | 1982-1999 –> 2000-2009 | 8.7279743 | 4.8675390 | 7375.90794 | 153.701512 | 10 | 19 |
| Atlantic | (26,26.5] | 5 | cstar_tref ~ sal + temp + aou + nitrate + phosphate_star | 800 | 5.3323707 | 4962.3751218 | 158.755560 | 46.1147557 | 2000-2009 –> 2010-2019 | 8.5409458 | 3.2085751 | 7964.36402 | 713.509262 | 1 | 2 |
| Atlantic | (26,26.5] | 5 | cstar_tref ~ sal + temp + aou + nitrate + phosphate | 800 | 5.3391813 | 4964.4173644 | 372.783023 | 45.0138330 | 2000-2009 –> 2010-2019 | 8.6526431 | 3.3134618 | 8003.59082 | 954.362297 | 2 | 5 |
| Atlantic | (26,26.5] | 5 | cstar_tref ~ sal + temp + nitrate + phosphate + phosphate_star | 800 | 5.4349031 | 4992.8483709 | 194.422358 | 44.0451187 | 2000-2009 –> 2010-2019 | 8.9030683 | 3.4681652 | 8084.77262 | 799.170198 | 4 | 8 |
| Atlantic | (26,26.5] | 4 | cstar_tref ~ sal + aou + nitrate + phosphate_star | 800 | 5.7837930 | 5090.3971621 | 149.980655 | 51.2439628 | 2000-2009 –> 2010-2019 | 9.0559251 | 3.2721321 | 8113.06082 | 690.501547 | 9 | 11 |
| Atlantic | (26,26.5] | 4 | cstar_tref ~ temp + aou + nitrate + phosphate_star | 800 | 5.6442466 | 5051.3204130 | 114.175275 | 35.5997061 | 2000-2009 –> 2010-2019 | 9.1452585 | 3.5010119 | 8152.14153 | 395.774625 | 6 | 11 |
| Atlantic | (26,26.5] | 4 | cstar_tref ~ sal + temp + aou + nitrate | 800 | 5.3422421 | 4963.3343534 | 81.092763 | 43.7204321 | 2000-2009 –> 2010-2019 | 9.1622154 | 3.8199732 | 8164.94869 | 216.652107 | 3 | 12 |
| Atlantic | (26,26.5] | 4 | cstar_tref ~ temp + aou + nitrate + phosphate | 800 | 5.6433316 | 5051.0610206 | 334.825631 | 35.4646637 | 2000-2009 –> 2010-2019 | 9.1759391 | 3.5326075 | 8162.26789 | 835.847271 | 5 | 12 |
| Atlantic | (26,26.5] | 4 | cstar_tref ~ temp + nitrate + phosphate + phosphate_star | 800 | 5.6655357 | 5057.3439858 | 160.944706 | 35.7710595 | 2000-2009 –> 2010-2019 | 9.2698133 | 3.6042776 | 8191.76922 | 468.594929 | 8 | 16 |
| Atlantic | (26,26.5] | 3 | cstar_tref ~ aou + nitrate + phosphate_star | 800 | 5.8927812 | 5118.2665875 | 81.617200 | 43.4041066 | 2000-2009 –> 2010-2019 | 9.3944250 | 3.5016438 | 8217.29632 | 170.590202 | 10 | 16 |
| Atlantic | (26,26.5] | 3 | cstar_tref ~ temp + aou + nitrate | 800 | 5.6592806 | 5053.5765136 | 68.227714 | 37.9223442 | 2000-2009 –> 2010-2019 | 9.5197160 | 3.8604354 | 8265.37110 | 131.647605 | 7 | 17 |
| Atlantic | (26.5,26.75] | 5 | cstar_tref ~ sal + temp + nitrate + phosphate + phosphate_star | 603 | 2.8929703 | 3006.3540885 | 771.077175 | 23.2324345 | 1982-1999 –> 2000-2009 | 6.1538626 | 3.2608923 | 6755.30308 | 1285.769911 | 1 | 3 |
| Atlantic | (26.5,26.75] | 5 | cstar_tref ~ sal + temp + aou + nitrate + phosphate_star | 603 | 2.9015287 | 3009.9165901 | 788.866403 | 23.9102717 | 1982-1999 –> 2000-2009 | 6.1605966 | 3.2590679 | 6758.06192 | 1292.933603 | 2 | 3 |
| Atlantic | (26.5,26.75] | 4 | cstar_tref ~ sal + aou + nitrate + phosphate_star | 603 | 2.9049314 | 3009.3300569 | 754.280683 | 24.4059602 | 1982-1999 –> 2000-2009 | 6.2227055 | 3.3177741 | 6781.11214 | 1248.563752 | 3 | 8 |
| Atlantic | (26.5,26.75] | 4 | cstar_tref ~ sal + temp + aou + nitrate | 603 | 2.9330152 | 3020.9332182 | 185.866702 | 19.8675582 | 1982-1999 –> 2000-2009 | 6.2915695 | 3.3585543 | 6810.25820 | 313.608992 | 4 | 11 |
| Atlantic | (26.5,26.75] | 4 | cstar_tref ~ temp + aou + nitrate + phosphate_star | 603 | 3.0398828 | 3064.0935591 | 503.491127 | 28.5689929 | 1982-1999 –> 2000-2009 | 6.3043490 | 3.2644662 | 6812.61551 | 875.621213 | 6 | 10 |
| Atlantic | (26.5,26.75] | 4 | cstar_tref ~ temp + nitrate + phosphate + phosphate_star | 603 | 3.1091406 | 3091.2615598 | 517.054778 | 28.2953077 | 1982-1999 –> 2000-2009 | 6.3706099 | 3.2614693 | 6838.46462 | 896.763035 | 7 | 10 |
| Atlantic | (26.5,26.75] | 3 | cstar_tref ~ aou + nitrate + phosphate_star | 603 | 3.1200932 | 3093.5025113 | 218.132567 | 33.6019858 | 1982-1999 –> 2000-2009 | 6.4503527 | 3.3302595 | 6868.67835 | 393.215201 | 9 | 15 |
| Atlantic | (26.5,26.75] | 3 | cstar_tref ~ sal + aou + nitrate | 603 | 2.9632680 | 3031.3088759 | 122.990364 | 19.2062261 | 1982-1999 –> 2000-2009 | 6.5118616 | 3.5485936 | 6897.67237 | 202.530818 | 5 | 14 |
| Atlantic | (26.5,26.75] | 3 | cstar_tref ~ temp + aou + nitrate | 603 | 3.1820123 | 3117.2014969 | 143.773797 | 21.0743516 | 1982-1999 –> 2000-2009 | 6.5415058 | 3.3594935 | 6904.92798 | 241.271339 | 10 | 18 |
| Atlantic | (26.5,26.75] | 4 | cstar_tref ~ sal + nitrate + phosphate + phosphate_star | 603 | 3.1186145 | 3094.9308215 | 726.131014 | 22.7017258 | 1982-1999 –> 2000-2009 | 6.7920016 | 3.6733871 | 7012.92647 | 1192.981503 | 8 | 18 |
| Atlantic | (26.5,26.75] | 5 | cstar_tref ~ sal + temp + aou + nitrate + phosphate_star | 669 | 3.6267839 | 3636.3470601 | 435.779971 | 30.8786496 | 2000-2009 –> 2010-2019 | 6.5283126 | 2.9015287 | 6646.26365 | 1224.646374 | 1 | 3 |
| Atlantic | (26.5,26.75] | 4 | cstar_tref ~ sal + aou + nitrate + phosphate_star | 669 | 3.6269712 | 3634.4161788 | 409.971260 | 30.6908511 | 2000-2009 –> 2010-2019 | 6.5319026 | 2.9049314 | 6643.74624 | 1164.251943 | 2 | 5 |
| Atlantic | (26.5,26.75] | 5 | cstar_tref ~ sal + temp + nitrate + phosphate + phosphate_star | 669 | 3.6747211 | 3653.9162906 | 442.556879 | 30.4749166 | 2000-2009 –> 2010-2019 | 6.5676914 | 2.8929703 | 6660.27038 | 1213.634053 | 4 | 5 |
| Atlantic | (26.5,26.75] | 4 | cstar_tref ~ sal + temp + aou + nitrate | 669 | 3.6712814 | 3650.6633050 | 137.209245 | 24.4551405 | 2000-2009 –> 2010-2019 | 6.6042966 | 2.9330152 | 6671.59652 | 323.075947 | 3 | 7 |
| Atlantic | (26.5,26.75] | 3 | cstar_tref ~ sal + aou + nitrate | 669 | 3.6912905 | 3655.9358115 | 92.665279 | 23.6399929 | 2000-2009 –> 2010-2019 | 6.6545585 | 2.9632680 | 6687.24469 | 215.655643 | 5 | 10 |
| Atlantic | (26.5,26.75] | 4 | cstar_tref ~ temp + aou + nitrate + phosphate_star | 669 | 3.7560455 | 3681.2043855 | 333.749731 | 35.2814253 | 2000-2009 –> 2010-2019 | 6.7959284 | 3.0398828 | 6745.29794 | 837.240858 | 6 | 12 |
| Atlantic | (26.5,26.75] | 4 | cstar_tref ~ sal + nitrate + phosphate + phosphate_star | 669 | 3.7834918 | 3690.9458819 | 441.249256 | 31.5295862 | 2000-2009 –> 2010-2019 | 6.9021063 | 3.1186145 | 6785.87670 | 1167.380270 | 7 | 15 |
| Atlantic | (26.5,26.75] | 3 | cstar_tref ~ aou + nitrate + phosphate_star | 669 | 3.8039480 | 3696.1605878 | 170.680244 | 40.7501025 | 2000-2009 –> 2010-2019 | 6.9240413 | 3.1200932 | 6789.66310 | 388.812811 | 8 | 17 |
| Atlantic | (26.5,26.75] | 4 | cstar_tref ~ temp + nitrate + phosphate + phosphate_star | 669 | 3.8379880 | 3710.0805390 | 347.551103 | 35.1902233 | 2000-2009 –> 2010-2019 | 6.9471286 | 3.1091406 | 6801.34210 | 864.605881 | 9 | 16 |
| Atlantic | (26.5,26.75] | 3 | cstar_tref ~ temp + aou + nitrate | 669 | 3.8664891 | 3717.9799072 | 112.258231 | 25.7511812 | 2000-2009 –> 2010-2019 | 7.0485014 | 3.1820123 | 6835.18140 | 256.032028 | 10 | 20 |
| Atlantic | (26.75,27] | 4 | cstar_tref ~ sal + aou + nitrate + phosphate_star | 897 | 2.8004196 | 4404.9817755 | 709.344414 | 16.4996294 | 1982-1999 –> 2000-2009 | 5.6787752 | 2.8783556 | 9750.62544 | 1259.298700 | 1 | 2 |
| Atlantic | (26.75,27] | 4 | cstar_tref ~ sal + temp + aou + nitrate | 897 | 2.8133813 | 4413.2661148 | 74.809277 | 15.9816581 | 1982-1999 –> 2000-2009 | 5.7077797 | 2.8943984 | 9770.88197 | 168.259873 | 2 | 4 |
| Atlantic | (26.75,27] | 3 | cstar_tref ~ sal + aou + nitrate | 897 | 2.8151004 | 4412.3619878 | 63.665789 | 16.1199180 | 1982-1999 –> 2000-2009 | 5.7821378 | 2.9670374 | 9821.36835 | 146.104208 | 3 | 6 |
| Atlantic | (26.75,27] | 3 | cstar_tref ~ aou + nitrate + phosphate_star | 897 | 3.1374719 | 4606.8664729 | 218.486284 | 17.9288111 | 1982-1999 –> 2000-2009 | 6.1857361 | 3.0482642 | 10074.04881 | 500.979550 | 4 | 8 |
| Atlantic | (26.75,27] | 4 | cstar_tref ~ sal + temp + aou + phosphate | 897 | 3.1541730 | 4618.3907574 | 132.124906 | 15.4324868 | 1982-1999 –> 2000-2009 | 6.5382235 | 3.3840505 | 10312.66838 | 293.262034 | 5 | 13 |
| Atlantic | (26.75,27] | 4 | cstar_tref ~ sal + temp + aou + phosphate_star | 897 | 3.1901184 | 4638.7198485 | 29.305272 | 15.4852082 | 1982-1999 –> 2000-2009 | 6.5711157 | 3.3809973 | 10331.05319 | 53.706476 | 7 | 13 |
| Atlantic | (26.75,27] | 4 | cstar_tref ~ sal + temp + phosphate + phosphate_star | 897 | 3.1923782 | 4639.9902158 | 32.418732 | 15.4865573 | 1982-1999 –> 2000-2009 | 6.5735290 | 3.3811507 | 10332.42132 | 66.368800 | 9 | 16 |
| Atlantic | (26.75,27] | 3 | cstar_tref ~ sal + aou + phosphate | 897 | 3.1551140 | 4616.9258886 | 107.498548 | 15.3259557 | 1982-1999 –> 2000-2009 | 6.5929261 | 3.4378121 | 10343.15463 | 247.626253 | 6 | 15 |
| Atlantic | (26.75,27] | 4 | cstar_tref ~ sal + temp + nitrate + phosphate_star | 897 | 3.2256534 | 4658.5928954 | 36.430160 | 15.4194240 | 1982-1999 –> 2000-2009 | 6.7144486 | 3.4887952 | 10418.53109 | 73.135766 | 11 | 21 |
| Atlantic | (26.75,27] | 3 | cstar_tref ~ aou + nitrate + phosphate | 897 | 3.1901558 | 4636.7408548 | 498.124599 | 17.1069238 | 1982-1999 –> 2000-2009 | 6.7318894 | 3.5417336 | 10427.11801 | 1020.830178 | 8 | 19 |
| Atlantic | (26.75,27] | 4 | cstar_tref ~ sal + aou + nitrate + phosphate_star | 988 | 3.1072218 | 5056.0710947 | 571.672206 | 18.6143578 | 2000-2009 –> 2010-2019 | 5.9076414 | 2.8004196 | 9461.05287 | 1281.016620 | 1 | 2 |
| Atlantic | (26.75,27] | 4 | cstar_tref ~ sal + temp + aou + nitrate | 988 | 3.1161404 | 5061.7346012 | 82.539381 | 18.2909254 | 2000-2009 –> 2010-2019 | 5.9295216 | 2.8133813 | 9475.00072 | 157.348658 | 2 | 4 |
| Atlantic | (26.75,27] | 3 | cstar_tref ~ sal + aou + nitrate | 988 | 3.1265342 | 5066.3145461 | 62.175306 | 18.4464495 | 2000-2009 –> 2010-2019 | 5.9416346 | 2.8151004 | 9478.67653 | 125.841095 | 3 | 6 |
| Atlantic | (26.75,27] | 4 | cstar_tref ~ sal + temp + nitrate + phosphate | 988 | 3.3842912 | 5224.8520773 | 746.985778 | 17.5848943 | 2000-2009 –> 2010-2019 | 6.6095829 | 3.2252916 | 9883.24374 | 1666.905899 | 4 | 14 |
| Atlantic | (26.75,27] | 3 | cstar_tref ~ aou + nitrate + phosphate_star | 988 | 3.5815416 | 5334.7901498 | 228.210342 | 18.8482400 | 2000-2009 –> 2010-2019 | 6.7190135 | 3.1374719 | 9941.65662 | 446.696626 | 5 | 9 |
| Atlantic | (26.75,27] | 4 | cstar_tref ~ sal + temp + aou + phosphate | 988 | 3.6235139 | 5359.8123975 | 144.592183 | 17.5648959 | 2000-2009 –> 2010-2019 | 6.7776869 | 3.1541730 | 9978.20315 | 276.717089 | 6 | 11 |
| Atlantic | (26.75,27] | 3 | cstar_tref ~ sal + aou + phosphate | 988 | 3.6313304 | 5362.0703050 | 103.155195 | 17.7102385 | 2000-2009 –> 2010-2019 | 6.7864443 | 3.1551140 | 9978.99619 | 210.653743 | 8 | 14 |
| Atlantic | (26.75,27] | 4 | cstar_tref ~ sal + temp + aou + phosphate_star | 988 | 3.6393519 | 5368.4304182 | 35.519874 | 17.6931704 | 2000-2009 –> 2010-2019 | 6.8294703 | 3.1901184 | 10007.15027 | 64.825146 | 10 | 17 |
| Atlantic | (26.75,27] | 4 | cstar_tref ~ sal + temp + phosphate + phosphate_star | 988 | 3.6390988 | 5368.2930085 | 37.797501 | 17.6898795 | 2000-2009 –> 2010-2019 | 6.8314770 | 3.1923782 | 10008.28322 | 70.216233 | 9 | 18 |
| Atlantic | (26.75,27] | 3 | cstar_tref ~ aou + nitrate + phosphate | 988 | 3.6485905 | 5371.4402325 | 450.152061 | 18.2924686 | 2000-2009 –> 2010-2019 | 6.8387463 | 3.1901558 | 10008.18109 | 948.276660 | 12 | 20 |
| Atlantic | (27,27.25] | 5 | cstar_tref ~ sal + temp + aou + nitrate + phosphate_star | 1047 | 2.5167907 | 4917.9869143 | 389.002955 | 16.9062348 | 1982-1999 –> 2000-2009 | 4.6940426 | 2.1772519 | 12902.71025 | 957.010974 | 4 | 5 |
| Atlantic | (27,27.25] | 5 | cstar_tref ~ sal + temp + aou + nitrate + phosphate | 1047 | 2.5138527 | 4915.5410677 | 692.032439 | 16.4503545 | 1982-1999 –> 2000-2009 | 4.6993613 | 2.1855086 | 12913.99673 | 1567.909310 | 3 | 5 |
| Atlantic | (27,27.25] | 5 | cstar_tref ~ sal + temp + nitrate + phosphate + phosphate_star | 1047 | 2.5031838 | 4906.6351417 | 419.728496 | 15.6933770 | 1982-1999 –> 2000-2009 | 4.7185629 | 2.2153791 | 12954.34067 | 989.670890 | 1 | 8 |
| Atlantic | (27,27.25] | 4 | cstar_tref ~ sal + temp + aou + nitrate | 1047 | 2.5197922 | 4918.4827767 | 30.346384 | 17.4326448 | 1982-1999 –> 2000-2009 | 4.7287738 | 2.2089815 | 12953.69627 | 106.996779 | 5 | 9 |
| Atlantic | (27,27.25] | 4 | cstar_tref ~ sal + aou + nitrate + phosphate_star | 1047 | 2.5374959 | 4933.1434590 | 150.992547 | 18.5227700 | 1982-1999 –> 2000-2009 | 4.7494788 | 2.2119829 | 12973.28302 | 456.621144 | 6 | 11 |
| Atlantic | (27,27.25] | 4 | cstar_tref ~ sal + aou + nitrate + phosphate | 1047 | 2.5524816 | 4945.4736456 | 537.153867 | 18.6447968 | 1982-1999 –> 2000-2009 | 4.7531121 | 2.2006305 | 12966.94550 | 1297.277996 | 7 | 10 |
| Atlantic | (27,27.25] | 3 | cstar_tref ~ sal + aou + nitrate | 1047 | 2.5528155 | 4943.7475468 | 29.301951 | 18.4885426 | 1982-1999 –> 2000-2009 | 4.7669603 | 2.2141448 | 12985.43127 | 97.554051 | 8 | 14 |
| Atlantic | (27,27.25] | 4 | cstar_tref ~ sal + nitrate + phosphate + phosphate_star | 1047 | 2.5073936 | 4908.1538425 | 323.543874 | 14.6888951 | 1982-1999 –> 2000-2009 | 4.7887916 | 2.2813979 | 13060.39511 | 846.652345 | 2 | 10 |
| Atlantic | (27,27.25] | 4 | cstar_tref ~ sal + temp + nitrate + phosphate_star | 1047 | 2.7172074 | 5076.4294632 | 29.629848 | 17.8295891 | 1982-1999 –> 2000-2009 | 5.5078967 | 2.7906893 | 13959.71360 | 78.423582 | 9 | 18 |
| Atlantic | (27,27.25] | 4 | cstar_tref ~ sal + temp + aou + phosphate | 1047 | 2.8469705 | 5174.1162091 | 49.339942 | 19.6666908 | 1982-1999 –> 2000-2009 | 5.7223430 | 2.8753725 | 14165.85435 | 167.331295 | 11 | 21 |
| Atlantic | (27,27.25] | 5 | cstar_tref ~ sal + temp + aou + nitrate + phosphate_star | 1273 | 2.9676944 | 6396.1190521 | 379.251162 | 12.3120583 | 2000-2009 –> 2010-2019 | 5.4844851 | 2.5167907 | 11314.10597 | 768.254117 | 1 | 5 |
| Atlantic | (27,27.25] | 5 | cstar_tref ~ sal + temp + aou + nitrate + phosphate | 1273 | 3.0127305 | 6434.4654716 | 615.006434 | 11.7281652 | 2000-2009 –> 2010-2019 | 5.5265832 | 2.5138527 | 11350.00654 | 1307.038873 | 2 | 5 |
| Atlantic | (27,27.25] | 5 | cstar_tref ~ sal + temp + nitrate + phosphate + phosphate_star | 1273 | 3.0341251 | 6452.4817424 | 409.342586 | 11.4881887 | 2000-2009 –> 2010-2019 | 5.5373089 | 2.5031838 | 11359.11688 | 829.071082 | 3 | 4 |
| Atlantic | (27,27.25] | 4 | cstar_tref ~ sal + nitrate + phosphate + phosphate_star | 1273 | 3.0416693 | 6456.8044191 | 402.870354 | 11.4383689 | 2000-2009 –> 2010-2019 | 5.5490630 | 2.5073936 | 11364.95826 | 726.414228 | 4 | 6 |
| Atlantic | (27,27.25] | 4 | cstar_tref ~ sal + aou + nitrate + phosphate | 1273 | 3.1273428 | 6527.5252089 | 595.363929 | 11.6268978 | 2000-2009 –> 2010-2019 | 5.6798244 | 2.5524816 | 11472.99885 | 1132.517796 | 5 | 12 |
| Atlantic | (27,27.25] | 4 | cstar_tref ~ sal + aou + nitrate + phosphate_star | 1273 | 3.4041664 | 6743.4677628 | 234.304211 | 15.0299162 | 2000-2009 –> 2010-2019 | 5.9416623 | 2.5374959 | 11676.61122 | 385.296758 | 6 | 12 |
| Atlantic | (27,27.25] | 4 | cstar_tref ~ sal + temp + aou + nitrate | 1273 | 3.4458602 | 6774.4613804 | 43.948329 | 19.4724818 | 2000-2009 –> 2010-2019 | 5.9656524 | 2.5197922 | 11692.94416 | 74.294714 | 7 | 12 |
| Atlantic | (27,27.25] | 3 | cstar_tref ~ sal + aou + nitrate | 1273 | 3.4892905 | 6804.3496661 | 38.575169 | 19.3388653 | 2000-2009 –> 2010-2019 | 6.0421060 | 2.5528155 | 11748.09721 | 67.877119 | 8 | 16 |
| Atlantic | (27,27.25] | 4 | cstar_tref ~ sal + temp + nitrate + phosphate | 1273 | 3.5063379 | 6818.7582054 | 367.197528 | 18.8870166 | 2000-2009 –> 2010-2019 | 6.6433320 | 3.1369941 | 12196.01253 | 677.321019 | 9 | 27 |
| Atlantic | (27,27.25] | 4 | cstar_tref ~ sal + temp + nitrate + phosphate_star | 1273 | 4.1846570 | 7269.0248799 | 30.855894 | 25.9587930 | 2000-2009 –> 2010-2019 | 6.9018644 | 2.7172074 | 12345.45434 | 60.485742 | 19 | 28 |
| Atlantic | (27.25,27.5] | 5 | cstar_tref ~ sal + temp + aou + nitrate + phosphate_star | 1573 | 2.6402524 | 7532.3518565 | 187.257384 | 10.2758512 | 1982-1999 –> 2000-2009 | 4.8470476 | 2.2067952 | 16286.58924 | 527.184335 | 1 | 3 |
| Atlantic | (27.25,27.5] | 5 | cstar_tref ~ sal + temp + nitrate + phosphate + phosphate_star | 1573 | 2.6668951 | 7563.9389767 | 219.397551 | 10.3166035 | 1982-1999 –> 2000-2009 | 4.8582880 | 2.1913929 | 16290.48269 | 594.617852 | 3 | 4 |
| Atlantic | (27.25,27.5] | 5 | cstar_tref ~ sal + temp + aou + nitrate + phosphate | 1573 | 2.6951702 | 7597.1181085 | 215.518561 | 10.1983881 | 1982-1999 –> 2000-2009 | 4.9157465 | 2.2205763 | 16375.97079 | 582.306806 | 5 | 8 |
| Atlantic | (27.25,27.5] | 4 | cstar_tref ~ sal + aou + nitrate + phosphate | 1573 | 2.7004620 | 7601.2889240 | 206.768425 | 10.3917268 | 1982-1999 –> 2000-2009 | 4.9266778 | 2.2262158 | 16388.17073 | 571.641277 | 6 | 10 |
| Atlantic | (27.25,27.5] | 4 | cstar_tref ~ sal + aou + nitrate + phosphate_star | 1573 | 2.7779607 | 7690.3026502 | 126.629932 | 11.3007661 | 1982-1999 –> 2000-2009 | 5.0381401 | 2.2601794 | 16537.05194 | 421.133552 | 13 | 18 |
| Atlantic | (27.25,27.5] | 4 | cstar_tref ~ sal + temp + nitrate + phosphate_star | 1573 | 2.7571508 | 7666.6470097 | 25.544616 | 11.2649027 | 1982-1999 –> 2000-2009 | 5.0981174 | 2.3409666 | 16652.25969 | 86.817567 | 12 | 20 |
| Atlantic | (27.25,27.5] | 4 | cstar_tref ~ sal + nitrate + phosphate + phosphate_star | 1573 | 2.7288494 | 7634.1873086 | 217.842317 | 10.7718014 | 1982-1999 –> 2000-2009 | 5.1411116 | 2.4122622 | 16738.42422 | 573.165861 | 10 | 19 |
| Atlantic | (27.25,27.5] | 4 | cstar_tref ~ sal + temp + aou + phosphate_star | 1573 | 2.6568863 | 7550.1098495 | 24.089689 | 10.4140788 | 1982-1999 –> 2000-2009 | 5.2255177 | 2.5686314 | 16902.69053 | 95.160594 | 2 | 17 |
| Atlantic | (27.25,27.5] | 4 | cstar_tref ~ sal + temp + phosphate + phosphate_star | 1573 | 2.6848457 | 7583.0433679 | 25.297497 | 10.3481122 | 1982-1999 –> 2000-2009 | 5.2487843 | 2.5639387 | 16928.39375 | 84.236550 | 4 | 18 |
| Atlantic | (27.25,27.5] | 4 | cstar_tref ~ sal + temp + aou + phosphate | 1573 | 2.7067111 | 7608.5607041 | 23.000095 | 10.3857089 | 1982-1999 –> 2000-2009 | 5.2661576 | 2.5594465 | 16946.97741 | 104.141619 | 7 | 19 |
| Atlantic | (27.25,27.5] | 5 | cstar_tref ~ sal + temp + nitrate + phosphate + phosphate_star | 1698 | 3.9451404 | 9493.6727427 | 167.880289 | 52.4959765 | 2000-2009 –> 2010-2019 | 6.6120355 | 2.6668951 | 17057.61172 | 387.277841 | 1 | 4 |
| Atlantic | (27.25,27.5] | 5 | cstar_tref ~ sal + temp + aou + nitrate + phosphate_star | 1698 | 3.9923982 | 9534.1108022 | 184.492420 | 52.7615185 | 2000-2009 –> 2010-2019 | 6.6326506 | 2.6402524 | 17066.46266 | 371.749803 | 4 | 5 |
| Atlantic | (27.25,27.5] | 5 | cstar_tref ~ sal + temp + aou + nitrate + phosphate | 1698 | 3.9741236 | 9518.5304811 | 168.253977 | 52.4740242 | 2000-2009 –> 2010-2019 | 6.6692939 | 2.6951702 | 17115.64859 | 383.772538 | 3 | 8 |
| Atlantic | (27.25,27.5] | 4 | cstar_tref ~ sal + nitrate + phosphate + phosphate_star | 1698 | 3.9512623 | 9496.9384299 | 167.703230 | 54.4378109 | 2000-2009 –> 2010-2019 | 6.6801117 | 2.7288494 | 17131.12574 | 385.545547 | 2 | 12 |
| Atlantic | (27.25,27.5] | 4 | cstar_tref ~ sal + aou + nitrate + phosphate | 1698 | 4.0480474 | 9579.1201071 | 162.011629 | 56.6517950 | 2000-2009 –> 2010-2019 | 6.7485094 | 2.7004620 | 17180.40903 | 368.780054 | 6 | 12 |
| Atlantic | (27.25,27.5] | 4 | cstar_tref ~ sal + aou + nitrate + phosphate_star | 1698 | 4.0535097 | 9583.6994622 | 106.428886 | 54.0379785 | 2000-2009 –> 2010-2019 | 6.8314704 | 2.7779607 | 17274.00211 | 233.058817 | 7 | 20 |
| Atlantic | (27.25,27.5] | 4 | cstar_tref ~ sal + temp + nitrate + phosphate_star | 1698 | 4.1083068 | 9629.3005247 | 38.162388 | 41.7384870 | 2000-2009 –> 2010-2019 | 6.8654576 | 2.7571508 | 17295.94753 | 63.707003 | 9 | 21 |
| Atlantic | (27.25,27.5] | 3 | cstar_tref ~ sal + nitrate + phosphate_star | 1698 | 4.1163517 | 9633.9441148 | 25.480205 | 43.9330740 | 2000-2009 –> 2010-2019 | 6.9223179 | 2.8059661 | 17353.80364 | 42.121066 | 10 | 24 |
| Atlantic | (27.25,27.5] | 4 | cstar_tref ~ sal + temp + aou + nitrate | 1698 | 4.0041571 | 9542.0984917 | 31.440482 | 51.6585045 | 2000-2009 –> 2010-2019 | 7.0959633 | 3.0918062 | 17569.14374 | 56.475361 | 5 | 29 |
| Atlantic | (27.25,27.5] | 3 | cstar_tref ~ sal + aou + nitrate | 1698 | 4.0609700 | 9587.9439128 | 28.489271 | 55.6903495 | 2000-2009 –> 2010-2019 | 7.1621244 | 3.1011544 | 17622.48685 | 50.251559 | 8 | 33 |
| Atlantic | (27.5,27.75] | 5 | cstar_tref ~ sal + temp + nitrate + phosphate + phosphate_star | 2071 | 3.1577926 | 10654.0183012 | 267.607746 | 30.0591588 | 1982-1999 –> 2000-2009 | 5.4503203 | 2.2925277 | 22140.34258 | 605.606715 | 1 | 2 |
| Atlantic | (27.5,27.75] | 5 | cstar_tref ~ sal + temp + aou + nitrate + phosphate | 2071 | 3.1675794 | 10666.8355922 | 242.438499 | 29.4086429 | 1982-1999 –> 2000-2009 | 5.4990738 | 2.3314944 | 22239.15109 | 536.497189 | 2 | 4 |
| Atlantic | (27.5,27.75] | 5 | cstar_tref ~ sal + aou + nitrate + phosphate + phosphate_star | 2071 | 3.1724263 | 10673.1686466 | 542.148429 | 28.5211720 | 1982-1999 –> 2000-2009 | 5.5122654 | 2.3398392 | 22263.71244 | 1046.811833 | 3 | 8 |
| Atlantic | (27.5,27.75] | 4 | cstar_tref ~ sal + aou + nitrate + phosphate | 2071 | 3.1730485 | 10671.9809601 | 238.789909 | 28.7975088 | 1982-1999 –> 2000-2009 | 5.5129331 | 2.3398846 | 22260.62380 | 511.388297 | 5 | 11 |
| Atlantic | (27.5,27.75] | 5 | cstar_tref ~ sal + temp + aou + nitrate + phosphate_star | 2071 | 3.1790526 | 10681.8111009 | 219.684143 | 28.4948820 | 1982-1999 –> 2000-2009 | 5.5137888 | 2.3347363 | 22261.21585 | 487.302985 | 7 | 10 |
| Atlantic | (27.5,27.75] | 4 | cstar_tref ~ sal + temp + aou + nitrate | 2071 | 3.1828290 | 10684.7285423 | 35.285766 | 27.3737961 | 1982-1999 –> 2000-2009 | 5.5175869 | 2.3347578 | 22262.18044 | 70.232262 | 10 | 14 |
| Atlantic | (27.5,27.75] | 4 | cstar_tref ~ sal + aou + nitrate + phosphate_star | 2071 | 3.1800227 | 10681.0749120 | 189.779275 | 28.5752383 | 1982-1999 –> 2000-2009 | 5.5202308 | 2.3402080 | 22270.42294 | 437.404883 | 9 | 16 |
| Atlantic | (27.5,27.75] | 3 | cstar_tref ~ sal + aou + nitrate | 2071 | 3.1886346 | 10690.2767363 | 30.483762 | 26.7179565 | 1982-1999 –> 2000-2009 | 5.5304575 | 2.3418230 | 22281.14430 | 60.209792 | 13 | 21 |
| Atlantic | (27.5,27.75] | 4 | cstar_tref ~ sal + nitrate + phosphate + phosphate_star | 2071 | 3.1724316 | 10671.1756126 | 232.600646 | 28.4829580 | 1982-1999 –> 2000-2009 | 5.5426358 | 2.3702042 | 22325.50409 | 478.465296 | 4 | 13 |
| Atlantic | (27.5,27.75] | 4 | cstar_tref ~ sal + temp + nitrate + phosphate_star | 2071 | 3.1868040 | 10689.8981870 | 23.685735 | 26.3753769 | 1982-1999 –> 2000-2009 | 5.5826246 | 2.3958206 | 22399.07154 | 52.680353 | 11 | 21 |
| Atlantic | (27.5,27.75] | 5 | cstar_tref ~ sal + aou + nitrate + phosphate + phosphate_star | 2544 | 4.0424532 | 14340.7408665 | 438.728329 | 33.3018206 | 2000-2009 –> 2010-2019 | 7.2148794 | 3.1724263 | 25013.90951 | 980.876758 | 1 | 4 |
| Atlantic | (27.5,27.75] | 5 | cstar_tref ~ sal + temp + aou + nitrate + phosphate | 2544 | 4.1227813 | 14440.8537478 | 155.276298 | 35.2335302 | 2000-2009 –> 2010-2019 | 7.2903607 | 3.1675794 | 25107.68934 | 397.714797 | 2 | 4 |
| Atlantic | (27.5,27.75] | 5 | cstar_tref ~ sal + temp + nitrate + phosphate + phosphate_star | 2544 | 4.1615527 | 14488.4786784 | 201.051648 | 37.0745306 | 2000-2009 –> 2010-2019 | 7.3193453 | 3.1577926 | 25142.49698 | 468.659394 | 3 | 4 |
| Atlantic | (27.5,27.75] | 4 | cstar_tref ~ sal + aou + nitrate + phosphate | 2544 | 4.1858820 | 14516.1375601 | 150.896534 | 36.6077053 | 2000-2009 –> 2010-2019 | 7.3589305 | 3.1730485 | 25188.11852 | 389.686442 | 5 | 10 |
| Atlantic | (27.5,27.75] | 5 | cstar_tref ~ sal + temp + aou + nitrate + phosphate_star | 2544 | 4.1833494 | 14515.0581861 | 131.701304 | 34.5475953 | 2000-2009 –> 2010-2019 | 7.3624019 | 3.1790526 | 25196.86929 | 351.385447 | 4 | 11 |
| Atlantic | (27.5,27.75] | 4 | cstar_tref ~ sal + temp + nitrate + phosphate_star | 2544 | 4.1861838 | 14516.5043774 | 21.433432 | 33.0363325 | 2000-2009 –> 2010-2019 | 7.3729878 | 3.1868040 | 25206.40256 | 45.119168 | 6 | 17 |
| Atlantic | (27.5,27.75] | 4 | cstar_tref ~ sal + nitrate + phosphate + phosphate_star | 2544 | 4.2501603 | 14593.6749738 | 167.721013 | 40.6607330 | 2000-2009 –> 2010-2019 | 7.4225919 | 3.1724316 | 25264.85059 | 400.321659 | 7 | 11 |
| Atlantic | (27.5,27.75] | 4 | cstar_tref ~ sal + temp + nitrate + phosphate | 2544 | 4.2987689 | 14651.5355359 | 114.940845 | 47.0223428 | 2000-2009 –> 2010-2019 | 7.4766721 | 3.1779032 | 25329.84886 | 270.590163 | 12 | 18 |
| Atlantic | (27.5,27.75] | 4 | cstar_tref ~ sal + temp + aou + nitrate | 2544 | 4.2975412 | 14650.0822839 | 19.013841 | 28.0738573 | 2000-2009 –> 2010-2019 | 7.4803702 | 3.1828290 | 25334.81083 | 54.299607 | 11 | 21 |
| Atlantic | (27.5,27.75] | 3 | cstar_tref ~ sal + nitrate + phosphate | 2544 | 4.3018596 | 14653.1924558 | 114.133521 | 46.5174120 | 2000-2009 –> 2010-2019 | 7.4814551 | 3.1795954 | 25331.71081 | 267.776918 | 13 | 21 |
| Atlantic | (27.75,27.85] | 5 | cstar_tref ~ sal + aou + nitrate + phosphate + phosphate_star | 1299 | 3.4800738 | 6940.2473158 | 723.803362 | 25.3073174 | 1982-1999 –> 2000-2009 | 5.6772934 | 2.1972196 | 12937.27537 | 1636.662663 | 1 | 5 |
| Atlantic | (27.75,27.85] | 5 | cstar_tref ~ sal + temp + aou + nitrate + phosphate | 1299 | 3.5306184 | 6977.7092850 | 93.330759 | 25.4065808 | 1982-1999 –> 2000-2009 | 5.7211267 | 2.1905083 | 12966.44097 | 215.268757 | 2 | 4 |
| Atlantic | (27.75,27.85] | 4 | cstar_tref ~ sal + aou + nitrate + phosphate | 1299 | 3.5511713 | 6990.7892124 | 87.036521 | 26.9510193 | 1982-1999 –> 2000-2009 | 5.7488042 | 2.1976329 | 12986.32732 | 193.948030 | 3 | 8 |
| Atlantic | (27.75,27.85] | 5 | cstar_tref ~ sal + temp + nitrate + phosphate + phosphate_star | 1299 | 3.5631037 | 7001.5041921 | 132.849567 | 25.2678706 | 1982-1999 –> 2000-2009 | 5.7508077 | 2.1877040 | 12986.76176 | 351.992066 | 4 | 5 |
| Atlantic | (27.75,27.85] | 4 | cstar_tref ~ sal + nitrate + phosphate + phosphate_star | 1299 | 3.6049568 | 7029.8431630 | 104.157125 | 26.5343063 | 1982-1999 –> 2000-2009 | 5.8031035 | 2.1981467 | 13026.01521 | 240.628465 | 6 | 12 |
| Atlantic | (27.75,27.85] | 5 | cstar_tref ~ sal + temp + aou + nitrate + phosphate_star | 1299 | 3.6013864 | 7029.2687369 | 90.894607 | 26.6387998 | 1982-1999 –> 2000-2009 | 5.8357846 | 2.2343983 | 13071.80199 | 210.845722 | 5 | 14 |
| Atlantic | (27.75,27.85] | 4 | cstar_tref ~ temp + aou + nitrate + phosphate | 1299 | 3.6103184 | 7033.7042682 | 93.006918 | 31.6052899 | 1982-1999 –> 2000-2009 | 5.8448569 | 2.2345385 | 13074.40770 | 212.192258 | 7 | 17 |
| Atlantic | (27.75,27.85] | 4 | cstar_tref ~ temp + nitrate + phosphate + phosphate_star | 1299 | 3.6464338 | 7059.5638625 | 132.476835 | 32.0631093 | 1982-1999 –> 2000-2009 | 5.8796357 | 2.2332020 | 13098.64474 | 348.508094 | 10 | 18 |
| Atlantic | (27.75,27.85] | 4 | cstar_tref ~ sal + temp + nitrate + phosphate | 1299 | 3.6928838 | 7092.4494505 | 56.724147 | 24.9869025 | 1982-1999 –> 2000-2009 | 5.8835112 | 2.1906274 | 13079.32853 | 103.685332 | 14 | 17 |
| Atlantic | (27.75,27.85] | 3 | cstar_tref ~ sal + nitrate + phosphate | 1299 | 3.6940016 | 7091.2357307 | 56.658100 | 24.8693231 | 1982-1999 –> 2000-2009 | 5.8931390 | 2.1991374 | 13086.62979 | 103.056285 | 15 | 22 |
| Atlantic | (27.75,27.85] | 5 | cstar_tref ~ sal + aou + nitrate + phosphate + phosphate_star | 1658 | 3.0725007 | 8441.3829168 | 967.241371 | 15.5502004 | 2000-2009 –> 2010-2019 | 6.5525745 | 3.4800738 | 15381.63023 | 1691.044733 | 1 | 2 |
| Atlantic | (27.75,27.85] | 5 | cstar_tref ~ sal + temp + aou + nitrate + phosphate | 1658 | 3.0933045 | 8463.7597621 | 106.559129 | 16.4005833 | 2000-2009 –> 2010-2019 | 6.6239229 | 3.5306184 | 15441.46905 | 199.889888 | 2 | 4 |
| Atlantic | (27.75,27.85] | 4 | cstar_tref ~ sal + aou + nitrate + phosphate | 1658 | 3.1076054 | 8477.0549449 | 105.030988 | 16.7266612 | 2000-2009 –> 2010-2019 | 6.6587767 | 3.5511713 | 15467.84416 | 192.067509 | 3 | 6 |
| Atlantic | (27.75,27.85] | 5 | cstar_tref ~ sal + temp + nitrate + phosphate + phosphate_star | 1658 | 3.1173010 | 8489.3846054 | 149.577263 | 17.1186033 | 2000-2009 –> 2010-2019 | 6.6804046 | 3.5631037 | 15490.88880 | 282.426829 | 4 | 8 |
| Atlantic | (27.75,27.85] | 4 | cstar_tref ~ sal + nitrate + phosphate + phosphate_star | 1658 | 3.1672832 | 8540.1309835 | 133.381051 | 17.8292753 | 2000-2009 –> 2010-2019 | 6.7722400 | 3.6049568 | 15569.97415 | 237.538176 | 5 | 11 |
| Atlantic | (27.75,27.85] | 5 | cstar_tref ~ sal + temp + aou + nitrate + phosphate_star | 1658 | 3.1729457 | 8548.0540874 | 104.105069 | 18.0537930 | 2000-2009 –> 2010-2019 | 6.7743321 | 3.6013864 | 15577.32282 | 194.999676 | 6 | 11 |
| Atlantic | (27.75,27.85] | 4 | cstar_tref ~ temp + aou + nitrate + phosphate | 1658 | 3.2616528 | 8637.4883189 | 104.870507 | 15.4452943 | 2000-2009 –> 2010-2019 | 6.8719712 | 3.6103184 | 15671.19259 | 197.877424 | 7 | 14 |
| Atlantic | (27.75,27.85] | 4 | cstar_tref ~ temp + nitrate + phosphate + phosphate_star | 1658 | 3.2944605 | 8670.6760372 | 149.221403 | 16.1365132 | 2000-2009 –> 2010-2019 | 6.9408942 | 3.6464338 | 15730.23990 | 281.698238 | 8 | 18 |
| Atlantic | (27.75,27.85] | 4 | cstar_tref ~ aou + nitrate + phosphate + phosphate_star | 1658 | 3.3318800 | 8708.1278696 | 239.194490 | 20.0356522 | 2000-2009 –> 2010-2019 | 6.9637657 | 3.6318857 | 15757.30584 | 503.802938 | 9 | 17 |
| Atlantic | (27.75,27.85] | 3 | cstar_tref ~ nitrate + phosphate + phosphate_star | 1658 | 3.3513779 | 8725.4763020 | 79.878495 | 23.2148969 | 2000-2009 –> 2010-2019 | 6.9978163 | 3.6464385 | 15783.04352 | 144.340585 | 10 | 21 |
| Atlantic | (27.85,27.95] | 5 | cstar_tref ~ sal + temp + aou + nitrate + phosphate_star | 4180 | 4.6355545 | 24698.5248393 | 50.752212 | 23.8455989 | 1982-1999 –> 2000-2009 | 8.4280315 | 3.7924770 | 43519.40522 | 136.704859 | 2 | 4 |
| Atlantic | (27.85,27.95] | 5 | cstar_tref ~ sal + aou + nitrate + phosphate + phosphate_star | 4180 | 4.6434445 | 24712.7419889 | 410.418213 | 23.9175081 | 1982-1999 –> 2000-2009 | 8.4287875 | 3.7853430 | 43520.75486 | 1176.135657 | 5 | 6 |
| Atlantic | (27.85,27.95] | 5 | cstar_tref ~ sal + temp + aou + nitrate + phosphate | 4180 | 4.6351475 | 24697.7907517 | 50.693770 | 23.7726136 | 1982-1999 –> 2000-2009 | 8.4292988 | 3.7941513 | 43521.68748 | 136.221633 | 1 | 4 |
| Atlantic | (27.85,27.95] | 5 | cstar_tref ~ sal + temp + nitrate + phosphate + phosphate_star | 4180 | 4.6399817 | 24706.5053290 | 77.696765 | 23.7666346 | 1982-1999 –> 2000-2009 | 8.4457391 | 3.8057573 | 43551.27485 | 229.921071 | 4 | 8 |
| Atlantic | (27.85,27.95] | 4 | cstar_tref ~ sal + temp + aou + nitrate | 4180 | 4.6365374 | 24698.2971803 | 40.082411 | 24.2198499 | 1982-1999 –> 2000-2009 | 8.4831555 | 3.8466182 | 43614.04938 | 113.513267 | 3 | 9 |
| Atlantic | (27.85,27.95] | 4 | cstar_tref ~ sal + aou + nitrate + phosphate_star | 4180 | 4.6605512 | 24741.4841594 | 42.426262 | 24.0499018 | 1982-1999 –> 2000-2009 | 8.4987374 | 3.8381862 | 43642.23944 | 99.940259 | 7 | 12 |
| Atlantic | (27.85,27.95] | 4 | cstar_tref ~ sal + aou + nitrate + phosphate | 4180 | 4.6633371 | 24746.4798697 | 37.250089 | 24.4453632 | 1982-1999 –> 2000-2009 | 8.5241089 | 3.8607718 | 43687.33159 | 86.566637 | 8 | 15 |
| Atlantic | (27.85,27.95] | 3 | cstar_tref ~ sal + aou + nitrate | 4180 | 4.6642552 | 24746.1255526 | 27.582163 | 24.8052467 | 1982-1999 –> 2000-2009 | 8.5678767 | 3.9036215 | 43760.40830 | 67.916693 | 9 | 17 |
| Atlantic | (27.85,27.95] | 4 | cstar_tref ~ sal + nitrate + phosphate + phosphate_star | 4180 | 4.6444909 | 24712.6257062 | 38.502777 | 24.0368399 | 1982-1999 –> 2000-2009 | 8.5958815 | 3.9513906 | 43812.02934 | 91.079879 | 6 | 15 |
| Atlantic | (27.85,27.95] | 4 | cstar_tref ~ sal + temp + nitrate + phosphate | 4180 | 4.6872430 | 24789.2266032 | 20.022559 | 23.1820405 | 1982-1999 –> 2000-2009 | 8.8560542 | 4.1688112 | 44254.68218 | 48.055761 | 11 | 25 |
| Atlantic | (27.85,27.95] | 5 | cstar_tref ~ sal + temp + aou + nitrate + phosphate_star | 4522 | 5.0281398 | 27453.3931617 | 72.752776 | 49.0301938 | 2000-2009 –> 2010-2019 | 9.6636943 | 4.6355545 | 52151.91800 | 123.504988 | 1 | 3 |
| Atlantic | (27.85,27.95] | 5 | cstar_tref ~ sal + temp + nitrate + phosphate + phosphate_star | 4522 | 5.0484192 | 27489.7958417 | 116.076100 | 51.9400535 | 2000-2009 –> 2010-2019 | 9.6884009 | 4.6399817 | 52196.30117 | 193.772865 | 2 | 6 |
| Atlantic | (27.85,27.95] | 5 | cstar_tref ~ sal + temp + aou + nitrate + phosphate | 4522 | 5.0546260 | 27500.9082151 | 72.887570 | 53.4794765 | 2000-2009 –> 2010-2019 | 9.6897735 | 4.6351475 | 52198.69897 | 123.581339 | 3 | 4 |
| Atlantic | (27.85,27.95] | 5 | cstar_tref ~ sal + aou + nitrate + phosphate + phosphate_star | 4522 | 5.0696108 | 27527.6801882 | 588.823465 | 53.2992636 | 2000-2009 –> 2010-2019 | 9.7130553 | 4.6434445 | 52240.42218 | 999.241679 | 4 | 9 |
| Atlantic | (27.85,27.95] | 4 | cstar_tref ~ sal + nitrate + phosphate + phosphate_star | 4522 | 5.0862853 | 27555.3780108 | 63.624091 | 49.5528575 | 2000-2009 –> 2010-2019 | 9.7307762 | 4.6444909 | 52268.00372 | 102.126868 | 7 | 13 |
| Atlantic | (27.85,27.95] | 4 | cstar_tref ~ sal + aou + nitrate + phosphate | 4522 | 5.0831723 | 27549.8411483 | 54.858140 | 47.8633455 | 2000-2009 –> 2010-2019 | 9.7465094 | 4.6633371 | 52296.32102 | 92.108229 | 6 | 14 |
| Atlantic | (27.85,27.95] | 4 | cstar_tref ~ sal + temp + nitrate + phosphate | 4522 | 5.0800117 | 27544.2160565 | 24.609503 | 59.2815233 | 2000-2009 –> 2010-2019 | 9.7672547 | 4.6872430 | 52333.44266 | 44.632063 | 5 | 16 |
| Atlantic | (27.85,27.95] | 4 | cstar_tref ~ sal + aou + nitrate + phosphate_star | 4522 | 5.2117416 | 27775.7471095 | 63.425495 | 42.0535019 | 2000-2009 –> 2010-2019 | 9.8722929 | 4.6605512 | 52517.23127 | 105.851756 | 9 | 16 |
| Atlantic | (27.85,27.95] | 3 | cstar_tref ~ sal + nitrate + phosphate | 4522 | 5.0879884 | 27556.4057531 | 24.486399 | 52.9167635 | 2000-2009 –> 2010-2019 | 9.9102002 | 4.8222119 | 52580.95742 | 44.136642 | 8 | 22 |
| Atlantic | (27.85,27.95] | 4 | cstar_tref ~ sal + temp + nitrate + phosphate_star | 4522 | 5.2472791 | 27837.2064747 | 9.900289 | 53.3749282 | 2000-2009 –> 2010-2019 | 9.9204430 | 4.6731638 | 52601.28424 | 18.650055 | 10 | 20 |
| Atlantic | (27.95,28.05] | 5 | cstar_tref ~ sal + temp + nitrate + phosphate + phosphate_star | 2959 | 1.8571732 | 12074.8488221 | 321.532736 | 10.3329668 | 1982-1999 –> 2000-2009 | 3.6653774 | 1.8082043 | 25556.33129 | 736.809986 | 1 | 2 |
| Atlantic | (27.95,28.05] | 5 | cstar_tref ~ sal + temp + aou + nitrate + phosphate | 2959 | 1.8847606 | 12162.1115660 | 220.518960 | 11.1722161 | 1982-1999 –> 2000-2009 | 3.7374531 | 1.8526924 | 25806.34512 | 538.649002 | 2 | 4 |
| Atlantic | (27.95,28.05] | 4 | cstar_tref ~ temp + nitrate + phosphate + phosphate_star | 2959 | 1.9310461 | 12303.6884137 | 167.201905 | 13.6086477 | 1982-1999 –> 2000-2009 | 3.8030551 | 1.8720090 | 26015.37452 | 545.479771 | 3 | 6 |
| Atlantic | (27.95,28.05] | 5 | cstar_tref ~ sal + temp + aou + nitrate + phosphate_star | 2959 | 1.9344558 | 12316.1287657 | 235.281958 | 12.6900781 | 1982-1999 –> 2000-2009 | 3.8343567 | 1.8999009 | 26128.84562 | 570.246017 | 4 | 8 |
| Atlantic | (27.95,28.05] | 4 | cstar_tref ~ temp + aou + nitrate + phosphate | 2959 | 1.9679621 | 12415.7555369 | 115.285702 | 14.8205394 | 1982-1999 –> 2000-2009 | 3.9042610 | 1.9362989 | 26353.53991 | 405.370898 | 5 | 10 |
| Atlantic | (27.95,28.05] | 4 | cstar_tref ~ temp + aou + nitrate + phosphate_star | 2959 | 2.0161396 | 12558.8886132 | 115.861815 | 16.0894761 | 1982-1999 –> 2000-2009 | 3.9994286 | 1.9832890 | 26657.23111 | 413.004098 | 6 | 12 |
| Atlantic | (27.95,28.05] | 4 | cstar_tref ~ sal + aou + nitrate + phosphate_star | 2959 | 2.1550755 | 12953.2711866 | 149.228537 | 10.2796957 | 1982-1999 –> 2000-2009 | 4.4242346 | 2.2691590 | 27953.24824 | 302.370737 | 7 | 15 |
| Atlantic | (27.95,28.05] | 4 | cstar_tref ~ sal + temp + nitrate + phosphate | 2959 | 2.2514066 | 13212.0617981 | 135.590533 | 19.7224328 | 1982-1999 –> 2000-2009 | 4.4349273 | 2.1835207 | 27954.43885 | 234.421672 | 9 | 16 |
| Atlantic | (27.95,28.05] | 3 | cstar_tref ~ aou + nitrate + phosphate_star | 2959 | 2.1598821 | 12964.4556281 | 93.293597 | 11.4436869 | 1982-1999 –> 2000-2009 | 4.4423012 | 2.2824191 | 28001.44754 | 239.496252 | 8 | 17 |
| Atlantic | (27.95,28.05] | 3 | cstar_tref ~ temp + nitrate + phosphate | 2959 | 2.2811302 | 13287.6813480 | 20.130195 | 21.6922943 | 1982-1999 –> 2000-2009 | 4.5678691 | 2.2867389 | 28337.33444 | 39.734239 | 10 | 20 |
| Atlantic | (27.95,28.05] | 5 | cstar_tref ~ sal + temp + nitrate + phosphate + phosphate_star | 3384 | 2.7330636 | 16422.0801114 | 370.214794 | 9.0086502 | 2000-2009 –> 2010-2019 | 4.5902368 | 1.8571732 | 28496.92893 | 691.747530 | 1 | 2 |
| Atlantic | (27.95,28.05] | 5 | cstar_tref ~ sal + temp + aou + nitrate + phosphate | 3384 | 2.7730505 | 16520.3839037 | 260.141666 | 9.0957228 | 2000-2009 –> 2010-2019 | 4.6578111 | 1.8847606 | 28682.49547 | 480.660626 | 2 | 4 |
| Atlantic | (27.95,28.05] | 4 | cstar_tref ~ temp + nitrate + phosphate + phosphate_star | 3384 | 2.7890545 | 16557.3314945 | 222.925330 | 8.8759202 | 2000-2009 –> 2010-2019 | 4.7201006 | 1.9310461 | 28861.01991 | 390.127235 | 3 | 6 |
| Atlantic | (27.95,28.05] | 4 | cstar_tref ~ temp + aou + nitrate + phosphate | 3384 | 2.7974671 | 16577.7150282 | 171.554864 | 8.7686319 | 2000-2009 –> 2010-2019 | 4.7654292 | 1.9679621 | 28993.47056 | 286.840565 | 4 | 9 |
| Atlantic | (27.95,28.05] | 5 | cstar_tref ~ sal + temp + aou + nitrate + phosphate_star | 3384 | 2.8330914 | 16665.3577809 | 262.871369 | 10.0044196 | 2000-2009 –> 2010-2019 | 4.7675472 | 1.9344558 | 28981.48655 | 498.153327 | 5 | 9 |
| Atlantic | (27.95,28.05] | 4 | cstar_tref ~ temp + aou + nitrate + phosphate_star | 3384 | 2.8352947 | 16668.6193307 | 186.610974 | 9.6296870 | 2000-2009 –> 2010-2019 | 4.8514343 | 2.0161396 | 29227.50794 | 302.472789 | 6 | 13 |
| Atlantic | (27.95,28.05] | 5 | cstar_tref ~ sal + aou + nitrate + phosphate + phosphate_star | 3384 | 2.8810968 | 16779.0776238 | 920.750679 | 10.6648654 | 2000-2009 –> 2010-2019 | 4.8665235 | 1.9854267 | 29249.12067 | 1560.396652 | 7 | 13 |
| Atlantic | (27.95,28.05] | 4 | cstar_tref ~ aou + nitrate + phosphate + phosphate_star | 3384 | 2.9027942 | 16827.8561177 | 355.286330 | 12.7193317 | 2000-2009 –> 2010-2019 | 4.9659881 | 2.0631939 | 29523.27671 | 742.719021 | 8 | 16 |
| Atlantic | (27.95,28.05] | 4 | cstar_tref ~ sal + aou + nitrate + phosphate_star | 3384 | 2.9220959 | 16872.7099609 | 115.823228 | 9.3960488 | 2000-2009 –> 2010-2019 | 5.0771714 | 2.1550755 | 29825.98115 | 265.051765 | 9 | 18 |
| Atlantic | (27.95,28.05] | 4 | cstar_tref ~ sal + temp + nitrate + phosphate | 3384 | 3.0728284 | 17213.1222253 | 20.966580 | 16.2207705 | 2000-2009 –> 2010-2019 | 5.3242350 | 2.2514066 | 30425.18402 | 156.557113 | 10 | 21 |
| Atlantic | (28.05,28.1] | 5 | cstar_tref ~ sal + temp + aou + nitrate + phosphate | 1429 | 1.9394441 | 5962.4694712 | 202.997585 | 10.4983518 | 1982-1999 –> 2000-2009 | 3.4556637 | 1.5162196 | 12373.83257 | 383.683798 | 2 | 4 |
| Atlantic | (28.05,28.1] | 5 | cstar_tref ~ sal + temp + aou + nitrate + phosphate_star | 1429 | 1.9425580 | 5967.0545686 | 190.434416 | 10.5824825 | 1982-1999 –> 2000-2009 | 3.4559838 | 1.5134257 | 12371.98826 | 362.970390 | 3 | 4 |
| Atlantic | (28.05,28.1] | 5 | cstar_tref ~ sal + temp + nitrate + phosphate + phosphate_star | 1429 | 1.9379672 | 5960.2922021 | 209.227475 | 10.4670369 | 1982-1999 –> 2000-2009 | 3.4591506 | 1.5211834 | 12383.04918 | 511.303598 | 1 | 4 |
| Atlantic | (28.05,28.1] | 4 | cstar_tref ~ sal + aou + nitrate + phosphate_star | 1429 | 1.9760240 | 6013.8722297 | 171.748133 | 9.9962063 | 1982-1999 –> 2000-2009 | 3.5926919 | 1.6166680 | 12646.85207 | 341.708415 | 4 | 9 |
| Atlantic | (28.05,28.1] | 4 | cstar_tref ~ sal + aou + nitrate + phosphate | 1429 | 2.0809410 | 6161.7263839 | 202.779790 | 11.1586053 | 1982-1999 –> 2000-2009 | 3.7461243 | 1.6651833 | 12897.78027 | 377.200369 | 5 | 11 |
| Atlantic | (28.05,28.1] | 4 | cstar_tref ~ sal + temp + aou + nitrate | 1429 | 2.1982507 | 6318.4640019 | 67.564900 | 15.1683804 | 1982-1999 –> 2000-2009 | 3.7547694 | 1.5565187 | 12819.27043 | 99.752603 | 15 | 19 |
| Atlantic | (28.05,28.1] | 4 | cstar_tref ~ sal + nitrate + phosphate + phosphate_star | 1429 | 2.0965816 | 6183.1272136 | 145.094944 | 11.3843552 | 1982-1999 –> 2000-2009 | 3.7948908 | 1.6983091 | 12987.84803 | 344.512717 | 6 | 15 |
| Atlantic | (28.05,28.1] | 4 | cstar_tref ~ sal + temp + nitrate + phosphate | 1429 | 2.1073870 | 6197.8189919 | 180.810124 | 11.0895600 | 1982-1999 –> 2000-2009 | 3.8465631 | 1.7391761 | 13085.43122 | 360.112403 | 7 | 22 |
| Atlantic | (28.05,28.1] | 3 | cstar_tref ~ sal + nitrate + phosphate | 1429 | 2.1145948 | 6205.5773681 | 136.088852 | 11.4451239 | 1982-1999 –> 2000-2009 | 3.8603222 | 1.7457274 | 13104.29631 | 310.009930 | 8 | 27 |
| Atlantic | (28.05,28.1] | 4 | cstar_tref ~ temp + nitrate + phosphate + phosphate_star | 1429 | 2.1290666 | 6227.0701931 | 88.003723 | 11.0450816 | 1982-1999 –> 2000-2009 | 3.8618330 | 1.7327664 | 13101.81109 | 255.828224 | 9 | 19 |
| Atlantic | (28.05,28.1] | 5 | cstar_tref ~ sal + temp + aou + nitrate + phosphate | 2006 | 1.9370029 | 8359.2825208 | 313.562110 | 16.1698509 | 2000-2009 –> 2010-2019 | 3.8764469 | 1.9394441 | 14321.75199 | 516.559695 | 2 | 4 |
| Atlantic | (28.05,28.1] | 5 | cstar_tref ~ sal + temp + nitrate + phosphate + phosphate_star | 2006 | 1.9387622 | 8362.9249056 | 345.265071 | 16.1726662 | 2000-2009 –> 2010-2019 | 3.8767294 | 1.9379672 | 14323.21711 | 554.492546 | 3 | 4 |
| Atlantic | (28.05,28.1] | 5 | cstar_tref ~ sal + temp + aou + nitrate + phosphate_star | 2006 | 1.9358596 | 8356.9138980 | 252.419802 | 16.1413910 | 2000-2009 –> 2010-2019 | 3.8784177 | 1.9425580 | 14323.96847 | 442.854218 | 1 | 4 |
| Atlantic | (28.05,28.1] | 4 | cstar_tref ~ sal + aou + nitrate + phosphate_star | 2006 | 2.0322344 | 8549.8345721 | 228.381035 | 17.4794536 | 2000-2009 –> 2010-2019 | 4.0082584 | 1.9760240 | 14563.70680 | 400.129168 | 5 | 9 |
| Atlantic | (28.05,28.1] | 4 | cstar_tref ~ temp + nitrate + phosphate + phosphate_star | 2006 | 2.0350249 | 8555.3396406 | 170.507688 | 18.5032420 | 2000-2009 –> 2010-2019 | 4.1640914 | 2.1290666 | 14782.40983 | 258.511411 | 6 | 15 |
| Atlantic | (28.05,28.1] | 4 | cstar_tref ~ sal + temp + aou + nitrate | 2006 | 1.9717371 | 8428.5880402 | 59.872798 | 18.8472876 | 2000-2009 –> 2010-2019 | 4.1699877 | 2.1982507 | 14747.05204 | 127.437698 | 4 | 19 |
| Atlantic | (28.05,28.1] | 4 | cstar_tref ~ temp + aou + nitrate + phosphate | 2006 | 2.0390408 | 8563.2491506 | 209.572038 | 18.6395643 | 2000-2009 –> 2010-2019 | 4.1740089 | 2.1349681 | 14798.23041 | 356.318054 | 8 | 18 |
| Atlantic | (28.05,28.1] | 4 | cstar_tref ~ sal + aou + nitrate + phosphate | 2006 | 2.0961299 | 8674.0334177 | 311.121406 | 20.4318901 | 2000-2009 –> 2010-2019 | 4.1770708 | 2.0809410 | 14835.75980 | 513.901196 | 11 | 16 |
| Atlantic | (28.05,28.1] | 4 | cstar_tref ~ temp + aou + nitrate + phosphate_star | 2006 | 2.0389985 | 8563.1658570 | 161.132990 | 18.7318034 | 2000-2009 –> 2010-2019 | 4.1828721 | 2.1438736 | 14810.04381 | 294.118424 | 7 | 20 |
| Atlantic | (28.05,28.1] | 4 | cstar_tref ~ sal + nitrate + phosphate + phosphate_star | 2006 | 2.1147149 | 8709.4485332 | 249.265076 | 21.0433689 | 2000-2009 –> 2010-2019 | 4.2112966 | 2.0965816 | 14892.57575 | 394.360020 | 14 | 20 |
| Atlantic | (28.1,28.15] | 5 | cstar_tref ~ sal + temp + aou + nitrate + phosphate | 1215 | 1.3295253 | 4154.1380580 | 623.433367 | 5.2250244 | 1982-1999 –> 2000-2009 | 2.5133186 | 1.1837933 | 8832.69039 | 930.355726 | 1 | 2 |
| Atlantic | (28.1,28.15] | 5 | cstar_tref ~ sal + temp + aou + nitrate + phosphate_star | 1215 | 1.3303061 | 4155.5646856 | 609.576884 | 5.1030235 | 1982-1999 –> 2000-2009 | 2.5155034 | 1.1851973 | 8837.59940 | 836.116596 | 2 | 4 |
| Atlantic | (28.1,28.15] | 4 | cstar_tref ~ sal + temp + aou + nitrate | 1215 | 1.3307029 | 4154.2893174 | 50.015190 | 4.9347999 | 1982-1999 –> 2000-2009 | 2.5168103 | 1.1861074 | 8836.57933 | 81.374724 | 3 | 7 |
| Atlantic | (28.1,28.15] | 4 | cstar_tref ~ sal + aou + nitrate + phosphate_star | 1215 | 1.3397364 | 4170.7297835 | 249.613788 | 5.8904916 | 1982-1999 –> 2000-2009 | 2.5255943 | 1.1858579 | 8852.40163 | 371.974593 | 6 | 9 |
| Atlantic | (28.1,28.15] | 5 | cstar_tref ~ sal + temp + nitrate + phosphate + phosphate_star | 1215 | 1.3342216 | 4162.7063368 | 280.948642 | 5.1866491 | 1982-1999 –> 2000-2009 | 2.5264382 | 1.1922166 | 8862.09017 | 538.164867 | 4 | 11 |
| Atlantic | (28.1,28.15] | 4 | cstar_tref ~ sal + nitrate + phosphate + phosphate_star | 1215 | 1.3346886 | 4161.5567029 | 256.250713 | 5.3123234 | 1982-1999 –> 2000-2009 | 2.5342521 | 1.1995636 | 8876.99018 | 513.185270 | 5 | 19 |
| Atlantic | (28.1,28.15] | 4 | cstar_tref ~ sal + aou + nitrate + phosphate | 1215 | 1.3539610 | 4196.3940693 | 564.988946 | 6.0064984 | 1982-1999 –> 2000-2009 | 2.5402001 | 1.1862392 | 8879.01046 | 854.262077 | 7 | 12 |
| Atlantic | (28.1,28.15] | 3 | cstar_tref ~ sal + aou + nitrate | 1215 | 1.3612987 | 4207.5277960 | 9.829138 | 5.3761811 | 1982-1999 –> 2000-2009 | 2.5513428 | 1.1900441 | 8897.55296 | 28.041492 | 8 | 14 |
| Atlantic | (28.1,28.15] | 4 | cstar_tref ~ sal + temp + nitrate + phosphate_star | 1215 | 1.3717820 | 4228.1695319 | 71.993523 | 6.9046599 | 1982-1999 –> 2000-2009 | 2.6050303 | 1.2332483 | 9024.96727 | 134.432153 | 9 | 26 |
| Atlantic | (28.1,28.15] | 3 | cstar_tref ~ sal + nitrate + phosphate_star | 1215 | 1.3729734 | 4228.2789755 | 32.879505 | 6.7832834 | 1982-1999 –> 2000-2009 | 2.6144937 | 1.2415203 | 9042.71762 | 74.299188 | 10 | 28 |
| Atlantic | (28.1,28.15] | 5 | cstar_tref ~ sal + temp + aou + nitrate + phosphate | 2366 | 1.3766044 | 8240.8584356 | 539.897054 | 10.4564505 | 2000-2009 –> 2010-2019 | 2.7061297 | 1.3295253 | 12394.99649 | 1163.330420 | 1 | 2 |
| Atlantic | (28.1,28.15] | 5 | cstar_tref ~ sal + temp + nitrate + phosphate + phosphate_star | 2366 | 1.3872538 | 8277.3241360 | 388.937543 | 10.5860919 | 2000-2009 –> 2010-2019 | 2.7214753 | 1.3342216 | 12440.03047 | 669.886185 | 6 | 10 |
| Atlantic | (28.1,28.15] | 5 | cstar_tref ~ sal + temp + aou + nitrate + phosphate_star | 2366 | 1.3946749 | 8302.5706133 | 524.703451 | 10.1012913 | 2000-2009 –> 2010-2019 | 2.7249810 | 1.3303061 | 12458.13530 | 1134.280335 | 8 | 10 |
| Atlantic | (28.1,28.15] | 4 | cstar_tref ~ sal + aou + nitrate + phosphate | 2366 | 1.3795978 | 8249.1369628 | 538.416034 | 10.5136068 | 2000-2009 –> 2010-2019 | 2.7335588 | 1.3539610 | 12445.53103 | 1103.404980 | 4 | 11 |
| Atlantic | (28.1,28.15] | 4 | cstar_tref ~ sal + nitrate + phosphate + phosphate_star | 2366 | 1.4023544 | 8326.5549049 | 388.930559 | 10.6618720 | 2000-2009 –> 2010-2019 | 2.7370429 | 1.3346886 | 12488.11161 | 645.181271 | 10 | 15 |
| Atlantic | (28.1,28.15] | 4 | cstar_tref ~ sal + aou + nitrate + phosphate_star | 2366 | 1.4318589 | 8425.0797452 | 261.864396 | 7.3964582 | 2000-2009 –> 2010-2019 | 2.7715953 | 1.3397364 | 12595.80953 | 511.478185 | 13 | 19 |
| Atlantic | (28.1,28.15] | 4 | cstar_tref ~ sal + temp + nitrate + phosphate_star | 2366 | 1.4209574 | 8388.9146907 | 75.813625 | 5.9670299 | 2000-2009 –> 2010-2019 | 2.7927394 | 1.3717820 | 12617.08422 | 147.807148 | 12 | 21 |
| Atlantic | (28.1,28.15] | 3 | cstar_tref ~ sal + nitrate + phosphate_star | 2366 | 1.4358908 | 8436.3856452 | 49.510079 | 6.0301510 | 2000-2009 –> 2010-2019 | 2.8088641 | 1.3729734 | 12664.66462 | 82.389584 | 14 | 24 |
| Atlantic | (28.1,28.15] | 4 | cstar_tref ~ sal + temp + aou + nitrate | 2366 | 1.5110300 | 8679.7465389 | 46.797200 | 3.8199071 | 2000-2009 –> 2010-2019 | 2.8417328 | 1.3307029 | 12834.03586 | 96.812389 | 16 | 19 |
| Atlantic | (28.1,28.15] | 3 | cstar_tref ~ sal + aou + nitrate | 2366 | 1.5160794 | 8693.5331663 | 25.017868 | 3.7821522 | 2000-2009 –> 2010-2019 | 2.8773781 | 1.3612987 | 12901.06096 | 34.847006 | 17 | 25 |
| Atlantic | (28.15,28.2] | 4 | cstar_tref ~ sal + temp + aou + nitrate | 699 | 0.4541756 | 892.2745997 | 52.523659 | 2.4146129 | 1982-1999 –> 2000-2009 | 0.7968378 | 0.3426623 | 1421.29647 | 66.546011 | 1 | 2 |
| Atlantic | (28.15,28.2] | 4 | cstar_tref ~ sal + aou + nitrate + phosphate_star | 699 | 0.4978805 | 1020.7175869 | 263.605769 | 3.1455086 | 1982-1999 –> 2000-2009 | 0.8489829 | 0.3511024 | 1585.89754 | 307.714111 | 2 | 4 |
| Atlantic | (28.15,28.2] | 4 | cstar_tref ~ sal + temp + nitrate + phosphate_star | 699 | 0.4999594 | 1026.5427756 | 72.503992 | 3.0989302 | 1982-1999 –> 2000-2009 | 0.9021526 | 0.4021932 | 1793.60290 | 107.084441 | 3 | 10 |
| Atlantic | (28.15,28.2] | 3 | cstar_tref ~ sal + nitrate + phosphate_star | 699 | 0.5006528 | 1026.4802404 | 64.052242 | 3.1528750 | 1982-1999 –> 2000-2009 | 0.9247520 | 0.4240992 | 1870.35026 | 89.926303 | 4 | 13 |
| Atlantic | (28.15,28.2] | 3 | cstar_tref ~ sal + aou + nitrate | 699 | 0.6076867 | 1297.3381155 | 40.346708 | 2.9259248 | 1982-1999 –> 2000-2009 | 0.9665084 | 0.3588217 | 1892.83512 | 50.162759 | 10 | 13 |
| Atlantic | (28.15,28.2] | 3 | cstar_tref ~ aou + nitrate + phosphate_star | 699 | 0.6956799 | 1486.3898416 | 190.315051 | 4.0901570 | 1982-1999 –> 2000-2009 | 1.0576732 | 0.3619933 | 2094.96389 | 218.509313 | 12 | 17 |
| Atlantic | (28.15,28.2] | 3 | cstar_tref ~ temp + aou + nitrate | 699 | 0.6970017 | 1489.0436925 | 14.446721 | 4.0817298 | 1982-1999 –> 2000-2009 | 1.0582199 | 0.3612182 | 2094.43251 | 19.594763 | 13 | 17 |
| Atlantic | (28.15,28.2] | 2 | cstar_tref ~ aou + nitrate | 699 | 0.7000240 | 1493.0923348 | 3.447664 | 4.1873159 | 1982-1999 –> 2000-2009 | 1.0620177 | 0.3619938 | 2099.66839 | 5.588260 | 14 | 20 |
| Atlantic | (28.15,28.2] | 4 | cstar_tref ~ sal + temp + aou + phosphate_star | 699 | 0.5813721 | 1237.4508628 | 37.357422 | 4.0923620 | 1982-1999 –> 2000-2009 | 1.1169842 | 0.5356121 | 2430.21682 | 53.193850 | 5 | 18 |
| Atlantic | (28.15,28.2] | 3 | cstar_tref ~ temp + nitrate + phosphate_star | 699 | 0.7056430 | 1506.2692127 | 38.737978 | 4.0653281 | 1982-1999 –> 2000-2009 | 1.1204701 | 0.4148271 | 2317.29002 | 55.866133 | 15 | 23 |
| Atlantic | (28.15,28.2] | 4 | cstar_tref ~ sal + temp + aou + nitrate | 1084 | 0.5070906 | 1616.0445707 | 15.393769 | 1.6921650 | 2000-2009 –> 2010-2019 | 0.9612662 | 0.4541756 | 2508.31917 | 67.917428 | 1 | 2 |
| Atlantic | (28.15,28.2] | 4 | cstar_tref ~ sal + temp + nitrate + phosphate_star | 1084 | 0.5288266 | 1707.0374586 | 35.536156 | 1.6504304 | 2000-2009 –> 2010-2019 | 1.0287860 | 0.4999594 | 2733.58023 | 108.040148 | 2 | 5 |
| Atlantic | (28.15,28.2] | 4 | cstar_tref ~ sal + aou + nitrate + phosphate_star | 1084 | 0.5309531 | 1715.7380297 | 54.784856 | 2.0064245 | 2000-2009 –> 2010-2019 | 1.0288336 | 0.4978805 | 2736.45562 | 318.390625 | 3 | 5 |
| Atlantic | (28.15,28.2] | 3 | cstar_tref ~ sal + nitrate + phosphate_star | 1084 | 0.5315272 | 1716.0806904 | 26.876972 | 1.9041131 | 2000-2009 –> 2010-2019 | 1.0321799 | 0.5006528 | 2742.56093 | 90.929214 | 4 | 8 |
| Atlantic | (28.15,28.2] | 3 | cstar_tref ~ sal + aou + nitrate | 1084 | 0.5728606 | 1878.4379905 | 11.184319 | 2.5461708 | 2000-2009 –> 2010-2019 | 1.1805473 | 0.6076867 | 3175.77611 | 51.531027 | 5 | 15 |
| Atlantic | (28.15,28.2] | 4 | cstar_tref ~ sal + temp + aou + phosphate_star | 1084 | 0.6215917 | 2057.4357295 | 15.737278 | 2.4876397 | 2000-2009 –> 2010-2019 | 1.2029638 | 0.5813721 | 3294.88659 | 53.094700 | 7 | 12 |
| Atlantic | (28.15,28.2] | 4 | cstar_tref ~ sal + temp + phosphate + phosphate_star | 1084 | 0.6242805 | 2066.7936808 | 33.830393 | 2.5027145 | 2000-2009 –> 2010-2019 | 1.2095749 | 0.5852944 | 3313.64465 | 102.692051 | 8 | 14 |
| Atlantic | (28.15,28.2] | 4 | cstar_tref ~ sal + aou + phosphate + phosphate_star | 1084 | 0.6250568 | 2069.4880474 | 116.596887 | 2.5176435 | 2000-2009 –> 2010-2019 | 1.2120512 | 0.5869944 | 3320.39350 | 688.367716 | 9 | 16 |
| Atlantic | (28.15,28.2] | 4 | cstar_tref ~ sal + temp + aou + phosphate | 1084 | 0.6258428 | 2072.2122992 | 15.685784 | 2.5123768 | 2000-2009 –> 2010-2019 | 1.2153505 | 0.5895077 | 3329.09089 | 72.360825 | 11 | 19 |
| Atlantic | (28.15,28.2] | 3 | cstar_tref ~ sal + phosphate + phosphate_star | 1084 | 0.6313932 | 2089.3551174 | 27.735247 | 2.7126481 | 2000-2009 –> 2010-2019 | 1.2308265 | 0.5994333 | 3367.57584 | 91.398746 | 12 | 21 |
| Atlantic | (28.2, Inf] | 5 | cstar_tref ~ sal + temp + aou + nitrate + phosphate_star | 935 | 0.4378836 | 1123.1648805 | 304.789984 | 2.1602784 | 1982-1999 –> 2000-2009 | 0.7407151 | 0.3028315 | 1481.78148 | 719.555836 | 3 | 6 |
| Atlantic | (28.2, Inf] | 5 | cstar_tref ~ sal + temp + aou + nitrate + phosphate | 935 | 0.4370400 | 1119.5587801 | 499.744610 | 2.1707465 | 1982-1999 –> 2000-2009 | 0.7410251 | 0.3039852 | 1484.01579 | 1139.335567 | 1 | 7 |
| Atlantic | (28.2, Inf] | 5 | cstar_tref ~ sal + temp + nitrate + phosphate + phosphate_star | 935 | 0.4373517 | 1120.8920490 | 517.391593 | 2.1664941 | 1982-1999 –> 2000-2009 | 0.7412790 | 0.3039273 | 1485.05682 | 1236.689202 | 2 | 7 |
| Atlantic | (28.2, Inf] | 5 | cstar_tref ~ sal + aou + nitrate + phosphate + phosphate_star | 935 | 0.4393745 | 1129.5211426 | 571.045869 | 2.1512443 | 1982-1999 –> 2000-2009 | 0.7417728 | 0.3023983 | 1485.93879 | 1245.969687 | 4 | 5 |
| Atlantic | (28.2, Inf] | 4 | cstar_tref ~ sal + temp + nitrate + phosphate | 935 | 0.4518220 | 1179.7619941 | 290.377497 | 2.8378396 | 1982-1999 –> 2000-2009 | 0.7560937 | 0.3042716 | 1543.66573 | 726.970139 | 5 | 14 |
| Atlantic | (28.2, Inf] | 4 | cstar_tref ~ aou + nitrate + phosphate + phosphate_star | 935 | 0.4986751 | 1364.2680110 | 549.764978 | 4.0392576 | 1982-1999 –> 2000-2009 | 0.8013844 | 0.3027093 | 1720.26487 | 1224.661293 | 6 | 8 |
| Atlantic | (28.2, Inf] | 4 | cstar_tref ~ temp + aou + nitrate + phosphate_star | 935 | 0.5009069 | 1372.6185883 | 289.432053 | 4.2041308 | 1982-1999 –> 2000-2009 | 0.8039698 | 0.3030629 | 1730.40859 | 704.197710 | 7 | 11 |
| Atlantic | (28.2, Inf] | 4 | cstar_tref ~ temp + aou + nitrate + phosphate | 935 | 0.5017297 | 1375.6876470 | 297.305983 | 4.2640045 | 1982-1999 –> 2000-2009 | 0.8058161 | 0.3040864 | 1738.65615 | 704.881299 | 8 | 16 |
| Atlantic | (28.2, Inf] | 4 | cstar_tref ~ temp + nitrate + phosphate + phosphate_star | 935 | 0.5023011 | 1377.8161569 | 297.601271 | 4.2972653 | 1982-1999 –> 2000-2009 | 0.8063091 | 0.3040080 | 1740.38843 | 865.012655 | 9 | 16 |
| Atlantic | (28.2, Inf] | 4 | cstar_tref ~ sal + temp + nitrate + phosphate_star | 935 | 0.5034563 | 1382.1118085 | 239.522947 | 2.5588805 | 1982-1999 –> 2000-2009 | 0.9458964 | 0.4424402 | 2321.07015 | 520.157598 | 10 | 35 |
| Atlantic | (28.2, Inf] | 5 | cstar_tref ~ sal + temp + nitrate + phosphate + phosphate_star | 1295 | 0.2233787 | -193.0654125 | 443.377937 | 2.4937265 | 2000-2009 –> 2010-2019 | 0.6607304 | 0.4373517 | 927.82664 | 960.769529 | 1 | 3 |
| Atlantic | (28.2, Inf] | 5 | cstar_tref ~ sal + temp + aou + nitrate + phosphate | 1295 | 0.2239152 | -186.8525280 | 350.071602 | 2.4946826 | 2000-2009 –> 2010-2019 | 0.6609552 | 0.4370400 | 932.70625 | 849.816212 | 3 | 4 |
| Atlantic | (28.2, Inf] | 5 | cstar_tref ~ sal + temp + aou + nitrate + phosphate_star | 1295 | 0.2273716 | -147.1789221 | 349.377268 | 2.4920473 | 2000-2009 –> 2010-2019 | 0.6652551 | 0.4378836 | 975.98596 | 654.167252 | 6 | 9 |
| Atlantic | (28.2, Inf] | 4 | cstar_tref ~ sal + temp + nitrate + phosphate | 1295 | 0.2353929 | -59.3822305 | 330.348932 | 2.5035699 | 2000-2009 –> 2010-2019 | 0.6872149 | 0.4518220 | 1120.37976 | 620.726429 | 12 | 16 |
| Atlantic | (28.2, Inf] | 4 | cstar_tref ~ aou + nitrate + phosphate + phosphate_star | 1295 | 0.2257250 | -168.0032607 | 875.932567 | 2.5307332 | 2000-2009 –> 2010-2019 | 0.7244001 | 0.4986751 | 1196.26475 | 1425.697545 | 5 | 10 |
| Atlantic | (28.2, Inf] | 4 | cstar_tref ~ temp + nitrate + phosphate + phosphate_star | 1295 | 0.2236154 | -192.3230709 | 243.802523 | 2.5186908 | 2000-2009 –> 2010-2019 | 0.7259165 | 0.5023011 | 1185.49309 | 541.403794 | 2 | 10 |
| Atlantic | (28.2, Inf] | 4 | cstar_tref ~ temp + aou + nitrate + phosphate | 1295 | 0.2242137 | -185.4025342 | 325.467836 | 2.5227950 | 2000-2009 –> 2010-2019 | 0.7259434 | 0.5017297 | 1190.28511 | 622.773819 | 4 | 11 |
| Atlantic | (28.2, Inf] | 4 | cstar_tref ~ temp + aou + nitrate + phosphate_star | 1295 | 0.2276328 | -146.2046340 | 242.522315 | 2.5186728 | 2000-2009 –> 2010-2019 | 0.7285397 | 0.5009069 | 1226.41395 | 531.954368 | 7 | 13 |
| Atlantic | (28.2, Inf] | 4 | cstar_tref ~ sal + aou + phosphate + phosphate_star | 1295 | 0.2331397 | -84.2929312 | 69.639359 | 2.3666583 | 2000-2009 –> 2010-2019 | 0.9115095 | 0.6783698 | 1855.44478 | 464.844930 | 10 | 23 |
| Atlantic | (28.2, Inf] | 4 | cstar_tref ~ sal + temp + phosphate + phosphate_star | 1295 | 0.2306563 | -112.0297467 | 83.217868 | 2.3547293 | 2000-2009 –> 2010-2019 | 0.9125068 | 0.6818505 | 1837.27850 | 499.661982 | 8 | 23 |
| Indian | (-Inf,26] | 5 | cstar_tref ~ sal + temp + nitrate + phosphate + phosphate_star | 348 | 3.6421740 | 1901.2174204 | 777.559604 | 13.4809807 | 1982-1999 –> 2000-2009 | 8.4251719 | 4.7829979 | 5376.66445 | 1326.049862 | 1 | 2 |
| Indian | (-Inf,26] | 5 | cstar_tref ~ sal + temp + aou + nitrate + phosphate_star | 348 | 3.6451070 | 1901.7776823 | 390.869653 | 13.3237885 | 1982-1999 –> 2000-2009 | 8.4798727 | 4.8347657 | 5389.71227 | 708.408104 | 2 | 4 |
| Indian | (-Inf,26] | 5 | cstar_tref ~ sal + temp + aou + nitrate + phosphate | 348 | 3.6782000 | 1908.0679707 | 641.878608 | 13.3359287 | 1982-1999 –> 2000-2009 | 8.5812953 | 4.9030953 | 5412.28205 | 971.344767 | 4 | 7 |
| Indian | (-Inf,26] | 4 | cstar_tref ~ sal + temp + phosphate + phosphate_star | 348 | 3.7187370 | 1913.6965478 | 53.359894 | 15.5444504 | 1982-1999 –> 2000-2009 | 8.7611018 | 5.0423648 | 5448.40044 | 109.072189 | 5 | 9 |
| Indian | (-Inf,26] | 4 | cstar_tref ~ sal + temp + aou + phosphate_star | 348 | 3.7329686 | 1916.3550585 | 28.577284 | 15.5711197 | 1982-1999 –> 2000-2009 | 8.8100038 | 5.0770352 | 5459.00762 | 54.023920 | 6 | 11 |
| Indian | (-Inf,26] | 4 | cstar_tref ~ sal + temp + aou + phosphate | 348 | 3.7662921 | 1922.5405542 | 212.562674 | 15.5998254 | 1982-1999 –> 2000-2009 | 8.9327929 | 5.1665008 | 5485.45618 | 398.750363 | 7 | 13 |
| Indian | (-Inf,26] | 4 | cstar_tref ~ sal + aou + phosphate + phosphate_star | 348 | 3.8565173 | 1939.0173317 | 591.405146 | 15.6602049 | 1982-1999 –> 2000-2009 | 9.1888165 | 5.3322991 | 5538.57373 | 1108.298054 | 8 | 15 |
| Indian | (-Inf,26] | 4 | cstar_tref ~ sal + temp + nitrate + phosphate_star | 348 | 3.6483855 | 1900.4034064 | 25.526786 | 12.8815424 | 1982-1999 –> 2000-2009 | 9.4418649 | 5.7934794 | 5596.18243 | 54.472977 | 3 | 14 |
| Indian | (-Inf,26] | 4 | cstar_tref ~ temp + nitrate + phosphate + phosphate_star | 348 | 4.6918439 | 2075.4758731 | 271.887817 | 20.9311756 | 1982-1999 –> 2000-2009 | 10.0408263 | 5.3489825 | 5678.65594 | 515.369701 | 10 | 18 |
| Indian | (-Inf,26] | 4 | cstar_tref ~ temp + aou + nitrate + phosphate_star | 348 | 4.8363756 | 2096.5924739 | 174.009783 | 21.2600681 | 1982-1999 –> 2000-2009 | 10.4330838 | 5.5967082 | 5752.28835 | 336.539318 | 11 | 20 |
| Indian | (-Inf,26] | 5 | cstar_tref ~ sal + temp + nitrate + phosphate + phosphate_star | 192 | 5.0334007 | 1179.4531984 | 451.401431 | 16.9740043 | 2000-2009 –> 2010-2019 | 8.6755747 | 3.6421740 | 3080.67062 | 1228.961036 | 1 | 2 |
| Indian | (-Inf,26] | 5 | cstar_tref ~ sal + temp + aou + nitrate + phosphate_star | 192 | 5.0515665 | 1180.8365771 | 209.097592 | 17.1729508 | 2000-2009 –> 2010-2019 | 8.6966735 | 3.6451070 | 3082.61426 | 599.967244 | 2 | 4 |
| Indian | (-Inf,26] | 5 | cstar_tref ~ sal + temp + aou + nitrate + phosphate | 192 | 5.0941189 | 1184.0576995 | 406.272857 | 17.3862834 | 2000-2009 –> 2010-2019 | 8.7723189 | 3.6782000 | 3092.12567 | 1048.151465 | 3 | 7 |
| Indian | (-Inf,26] | 4 | cstar_tref ~ sal + temp + phosphate + phosphate_star | 192 | 5.1418014 | 1185.6353321 | 70.849973 | 19.8695856 | 2000-2009 –> 2010-2019 | 8.8605384 | 3.7187370 | 3099.33188 | 124.209867 | 4 | 9 |
| Indian | (-Inf,26] | 4 | cstar_tref ~ sal + temp + aou + phosphate_star | 192 | 5.1612001 | 1187.0813400 | 31.627592 | 20.0540666 | 2000-2009 –> 2010-2019 | 8.8941687 | 3.7329686 | 3103.43640 | 60.204877 | 5 | 11 |
| Indian | (-Inf,26] | 4 | cstar_tref ~ sal + temp + aou + phosphate | 192 | 5.2221682 | 1191.5908684 | 245.242070 | 20.5168491 | 2000-2009 –> 2010-2019 | 8.9884604 | 3.7662921 | 3114.13142 | 457.804744 | 6 | 13 |
| Indian | (-Inf,26] | 4 | cstar_tref ~ sal + aou + phosphate + phosphate_star | 192 | 5.3420906 | 1200.3093546 | 550.033587 | 21.1016516 | 2000-2009 –> 2010-2019 | 9.1986079 | 3.8565173 | 3139.32669 | 1141.438733 | 7 | 15 |
| Indian | (-Inf,26] | 4 | cstar_tref ~ sal + temp + nitrate + phosphate_star | 192 | 5.8827340 | 1237.3286972 | 29.534889 | 25.1492329 | 2000-2009 –> 2010-2019 | 9.5311195 | 3.6483855 | 3137.73210 | 55.061675 | 8 | 11 |
| Indian | (-Inf,26] | 4 | cstar_tref ~ temp + nitrate + phosphate + phosphate_star | 192 | 5.8951709 | 1238.1396733 | 252.773734 | 15.0012146 | 2000-2009 –> 2010-2019 | 10.5870148 | 4.6918439 | 3313.61555 | 524.661551 | 9 | 19 |
| Indian | (-Inf,26] | 4 | cstar_tref ~ temp + aou + nitrate + phosphate_star | 192 | 6.1085357 | 1251.7922379 | 127.736852 | 15.0219065 | 2000-2009 –> 2010-2019 | 10.9449113 | 4.8363756 | 3348.38471 | 301.746636 | 10 | 21 |
| Indian | (26,26.5] | 5 | cstar_tref ~ sal + temp + nitrate + phosphate + phosphate_star | 662 | 4.7476386 | 3954.9997100 | 191.082532 | 21.4793965 | 1982-1999 –> 2000-2009 | 9.6920527 | 4.9444141 | 9381.85116 | 383.236940 | 1 | 2 |
| Indian | (26,26.5] | 5 | cstar_tref ~ sal + temp + aou + nitrate + phosphate_star | 662 | 4.7515431 | 3956.0881369 | 107.865030 | 21.4488488 | 1982-1999 –> 2000-2009 | 9.7413742 | 4.9898312 | 9399.34318 | 219.600216 | 2 | 4 |
| Indian | (26,26.5] | 5 | cstar_tref ~ sal + temp + aou + nitrate + phosphate | 662 | 4.7592143 | 3958.2239701 | 232.007281 | 21.3977679 | 1982-1999 –> 2000-2009 | 9.8183305 | 5.0591162 | 9426.21781 | 429.309078 | 3 | 6 |
| Indian | (26,26.5] | 4 | cstar_tref ~ temp + nitrate + phosphate + phosphate_star | 662 | 5.1007462 | 4047.9828078 | 129.114616 | 22.3517690 | 1982-1999 –> 2000-2009 | 10.2656519 | 5.1649057 | 9551.10353 | 320.131347 | 7 | 11 |
| Indian | (26,26.5] | 4 | cstar_tref ~ temp + aou + nitrate + phosphate_star | 662 | 5.1366775 | 4057.2767879 | 81.398994 | 22.3093801 | 1982-1999 –> 2000-2009 | 10.3785804 | 5.2419029 | 9586.94466 | 190.092083 | 8 | 13 |
| Indian | (26,26.5] | 4 | cstar_tref ~ temp + aou + nitrate + phosphate | 662 | 5.1867745 | 4070.1269221 | 175.800266 | 22.2358039 | 1982-1999 –> 2000-2009 | 10.5295535 | 5.3427790 | 9633.99085 | 365.279492 | 9 | 15 |
| Indian | (26,26.5] | 4 | cstar_tref ~ sal + temp + phosphate + phosphate_star | 662 | 4.9768731 | 4015.4322154 | 37.554006 | 20.0127305 | 1982-1999 –> 2000-2009 | 10.8597308 | 5.8828577 | 9752.05245 | 69.276061 | 4 | 11 |
| Indian | (26,26.5] | 4 | cstar_tref ~ sal + temp + aou + phosphate_star | 662 | 4.9794769 | 4016.1247231 | 20.286961 | 19.9965105 | 1982-1999 –> 2000-2009 | 10.8947534 | 5.9152764 | 9762.60403 | 36.285537 | 5 | 13 |
| Indian | (26,26.5] | 4 | cstar_tref ~ sal + temp + aou + phosphate | 662 | 4.9905723 | 4019.0716136 | 181.814617 | 19.9247361 | 1982-1999 –> 2000-2009 | 11.0229662 | 6.0323939 | 9800.72355 | 341.557558 | 6 | 15 |
| Indian | (26,26.5] | 3 | cstar_tref ~ temp + phosphate + phosphate_star | 662 | 5.8387476 | 4224.8942389 | 32.221368 | 21.5654750 | 1982-1999 –> 2000-2009 | 12.0915260 | 6.2527783 | 10068.91842 | 61.399552 | 11 | 21 |
| Indian | (26,26.5] | 5 | cstar_tref ~ sal + temp + nitrate + phosphate + phosphate_star | 314 | 5.1947545 | 1939.8171992 | 261.622681 | 19.4998508 | 2000-2009 –> 2010-2019 | 9.9423931 | 4.7476386 | 5894.81691 | 452.705213 | 1 | 2 |
| Indian | (26,26.5] | 5 | cstar_tref ~ sal + temp + aou + nitrate + phosphate_star | 314 | 5.2125409 | 1941.9637503 | 132.435579 | 19.4940790 | 2000-2009 –> 2010-2019 | 9.9640840 | 4.7515431 | 5898.05189 | 240.300608 | 2 | 4 |
| Indian | (26,26.5] | 5 | cstar_tref ~ sal + temp + aou + nitrate + phosphate | 314 | 5.2587702 | 1947.5088368 | 411.764518 | 19.7506976 | 2000-2009 –> 2010-2019 | 10.0179845 | 4.7592143 | 5905.73281 | 643.771799 | 3 | 6 |
| Indian | (26,26.5] | 4 | cstar_tref ~ sal + temp + phosphate + phosphate_star | 314 | 5.3582454 | 1957.2771685 | 42.903122 | 15.8218637 | 2000-2009 –> 2010-2019 | 10.3351186 | 4.9768731 | 5972.70938 | 80.457127 | 4 | 8 |
| Indian | (26,26.5] | 4 | cstar_tref ~ sal + temp + aou + phosphate_star | 314 | 5.3706514 | 1958.7295021 | 21.528281 | 15.8479185 | 2000-2009 –> 2010-2019 | 10.3501284 | 4.9794769 | 5974.85423 | 41.815242 | 5 | 10 |
| Indian | (26,26.5] | 4 | cstar_tref ~ sal + temp + aou + phosphate | 314 | 5.4231552 | 1964.8390492 | 221.331775 | 15.9693894 | 2000-2009 –> 2010-2019 | 10.4137275 | 4.9905723 | 5983.91066 | 403.146392 | 7 | 13 |
| Indian | (26,26.5] | 4 | cstar_tref ~ temp + nitrate + phosphate + phosphate_star | 314 | 5.3963074 | 1961.7223539 | 227.466368 | 22.4163612 | 2000-2009 –> 2010-2019 | 10.4970536 | 5.1007462 | 6009.70516 | 356.580984 | 6 | 13 |
| Indian | (26,26.5] | 4 | cstar_tref ~ temp + aou + nitrate + phosphate_star | 314 | 5.4426022 | 1967.0869782 | 117.420056 | 22.4060493 | 2000-2009 –> 2010-2019 | 10.5792797 | 5.1366775 | 6024.36377 | 198.819050 | 8 | 16 |
| Indian | (26,26.5] | 4 | cstar_tref ~ temp + aou + nitrate + phosphate | 314 | 5.5462174 | 1978.9303336 | 395.337328 | 22.7125538 | 2000-2009 –> 2010-2019 | 10.7329918 | 5.1867745 | 6049.05726 | 571.137594 | 9 | 18 |
| Indian | (26,26.5] | 4 | cstar_tref ~ sal + temp + nitrate + phosphate_star | 314 | 5.9058296 | 2018.3836715 | 14.436821 | 15.1391975 | 2000-2009 –> 2010-2019 | 11.2846922 | 5.3788626 | 6136.65776 | 34.432891 | 12 | 22 |
| Indian | (26.5,26.75] | 5 | cstar_tref ~ sal + temp + nitrate + phosphate + phosphate_star | 973 | 3.2177256 | 5049.4955099 | 124.621135 | 17.7683448 | 1982-1999 –> 2000-2009 | 7.2111742 | 3.9934486 | 10463.21696 | 244.762289 | 1 | 2 |
| Indian | (26.5,26.75] | 5 | cstar_tref ~ sal + temp + aou + nitrate + phosphate_star | 973 | 3.2182992 | 5049.8423580 | 92.970839 | 17.7201579 | 1982-1999 –> 2000-2009 | 7.2157990 | 3.9974998 | 10465.51668 | 172.275846 | 2 | 4 |
| Indian | (26.5,26.75] | 5 | cstar_tref ~ sal + temp + aou + nitrate + phosphate | 973 | 3.2203696 | 5051.0938465 | 136.063955 | 17.5987413 | 1982-1999 –> 2000-2009 | 7.2275969 | 4.0072273 | 10471.44922 | 296.042136 | 3 | 6 |
| Indian | (26.5,26.75] | 4 | cstar_tref ~ temp + nitrate + phosphate + phosphate_star | 973 | 3.4098560 | 5160.3543052 | 84.698424 | 18.3438768 | 1982-1999 –> 2000-2009 | 7.4944755 | 4.0846195 | 10615.55218 | 204.086487 | 7 | 11 |
| Indian | (26.5,26.75] | 4 | cstar_tref ~ temp + aou + nitrate + phosphate_star | 973 | 3.4154970 | 5163.5709790 | 73.146267 | 18.2625612 | 1982-1999 –> 2000-2009 | 7.5070028 | 4.0915058 | 10622.01316 | 152.442289 | 8 | 13 |
| Indian | (26.5,26.75] | 4 | cstar_tref ~ temp + aou + nitrate + phosphate | 973 | 3.4269552 | 5170.0884211 | 135.714470 | 18.1637811 | 1982-1999 –> 2000-2009 | 7.5336144 | 4.1066592 | 10635.65061 | 278.441539 | 9 | 15 |
| Indian | (26.5,26.75] | 4 | cstar_tref ~ sal + temp + phosphate + phosphate_star | 973 | 3.3840813 | 5145.5888772 | 19.806843 | 14.8916631 | 1982-1999 –> 2000-2009 | 7.7500753 | 4.3659940 | 10729.09166 | 38.492119 | 4 | 11 |
| Indian | (26.5,26.75] | 4 | cstar_tref ~ sal + temp + aou + phosphate_star | 973 | 3.3842506 | 5145.6862097 | 11.611714 | 14.8839726 | 1982-1999 –> 2000-2009 | 7.7519192 | 4.3676686 | 10729.92760 | 29.320000 | 5 | 13 |
| Indian | (26.5,26.75] | 4 | cstar_tref ~ sal + temp + aou + phosphate | 973 | 3.3868402 | 5147.1747251 | 100.363475 | 14.7885706 | 1982-1999 –> 2000-2009 | 7.7748143 | 4.3879741 | 10740.34940 | 240.768032 | 6 | 15 |
| Indian | (26.5,26.75] | 4 | cstar_tref ~ sal + temp + nitrate + phosphate_star | 973 | 3.4878220 | 5204.3483562 | 14.695596 | 16.2904462 | 1982-1999 –> 2000-2009 | 8.0113641 | 4.5235421 | 10856.12680 | 30.854854 | 10 | 23 |
| Indian | (26.5,26.75] | 5 | cstar_tref ~ sal + temp + aou + nitrate + phosphate | 332 | 4.2576951 | 1918.1305457 | 225.307866 | 12.7580947 | 2000-2009 –> 2010-2019 | 7.4780646 | 3.2203696 | 6969.22439 | 361.371821 | 1 | 4 |
| Indian | (26.5,26.75] | 5 | cstar_tref ~ sal + temp + nitrate + phosphate + phosphate_star | 332 | 4.2611283 | 1918.6657441 | 118.816613 | 12.7796888 | 2000-2009 –> 2010-2019 | 7.4788539 | 3.2177256 | 6968.16125 | 243.437748 | 3 | 4 |
| Indian | (26.5,26.75] | 5 | cstar_tref ~ sal + temp + aou + nitrate + phosphate_star | 332 | 4.2613288 | 1918.6969936 | 74.759000 | 12.7844431 | 2000-2009 –> 2010-2019 | 7.4796280 | 3.2182992 | 6968.53935 | 167.729839 | 5 | 7 |
| Indian | (26.5,26.75] | 4 | cstar_tref ~ sal + temp + aou + phosphate | 332 | 4.2578353 | 1916.1524153 | 158.367563 | 12.7061419 | 2000-2009 –> 2010-2019 | 7.6446755 | 3.3868402 | 7063.32714 | 258.731038 | 2 | 8 |
| Indian | (26.5,26.75] | 4 | cstar_tref ~ sal + temp + phosphate + phosphate_star | 332 | 4.2611880 | 1916.6750609 | 15.188394 | 12.7456193 | 2000-2009 –> 2010-2019 | 7.6452694 | 3.3840813 | 7062.26394 | 34.995237 | 4 | 8 |
| Indian | (26.5,26.75] | 4 | cstar_tref ~ sal + temp + aou + phosphate_star | 332 | 4.2614023 | 1916.7084521 | 11.275170 | 12.7467892 | 2000-2009 –> 2010-2019 | 7.6456529 | 3.3842506 | 7062.39466 | 22.886883 | 6 | 11 |
| Indian | (26.5,26.75] | 4 | cstar_tref ~ sal + temp + nitrate + phosphate_star | 332 | 4.2694949 | 1917.9682132 | 10.463707 | 13.0665829 | 2000-2009 –> 2010-2019 | 7.7573169 | 3.4878220 | 7122.31657 | 25.159303 | 7 | 17 |
| Indian | (26.5,26.75] | 4 | cstar_tref ~ temp + nitrate + phosphate + phosphate_star | 332 | 4.5019636 | 1953.1722504 | 114.313318 | 12.6267376 | 2000-2009 –> 2010-2019 | 7.9118195 | 3.4098560 | 7113.52656 | 199.011742 | 9 | 16 |
| Indian | (26.5,26.75] | 3 | cstar_tref ~ sal + temp + phosphate_star | 332 | 4.3367790 | 1926.3507741 | 9.326184 | 11.9887813 | 2000-2009 –> 2010-2019 | 7.9171069 | 3.5803279 | 7179.63940 | 19.215339 | 8 | 19 |
| Indian | (26.5,26.75] | 4 | cstar_tref ~ temp + aou + nitrate + phosphate_star | 332 | 4.5019902 | 1953.1761710 | 72.215981 | 12.6649038 | 2000-2009 –> 2010-2019 | 7.9174872 | 3.4154970 | 7116.74715 | 145.362249 | 10 | 18 |
| Indian | (26.75,27] | 5 | cstar_tref ~ sal + temp + aou + nitrate + phosphate | 934 | 2.9553427 | 4688.7692620 | 406.011673 | 7.6877763 | 1982-1999 –> 2000-2009 | 5.6330317 | 2.6776891 | 11409.62981 | 577.124324 | 1 | 2 |
| Indian | (26.75,27] | 5 | cstar_tref ~ sal + temp + nitrate + phosphate + phosphate_star | 934 | 2.9627006 | 4693.4142719 | 180.038840 | 7.7145402 | 1982-1999 –> 2000-2009 | 5.6414733 | 2.6787727 | 11415.40365 | 269.144062 | 2 | 5 |
| Indian | (26.75,27] | 5 | cstar_tref ~ sal + temp + aou + nitrate + phosphate_star | 934 | 2.9629449 | 4693.5683044 | 164.265617 | 7.7177039 | 1982-1999 –> 2000-2009 | 5.6416537 | 2.6787088 | 11415.49111 | 249.640157 | 3 | 5 |
| Indian | (26.75,27] | 4 | cstar_tref ~ sal + temp + nitrate + phosphate_star | 934 | 2.9631277 | 4691.6835184 | 47.046433 | 7.7221041 | 1982-1999 –> 2000-2009 | 5.6442899 | 2.6811622 | 11414.16050 | 75.890402 | 4 | 10 |
| Indian | (26.75,27] | 4 | cstar_tref ~ sal + nitrate + phosphate + phosphate_star | 934 | 2.9660796 | 4693.5435216 | 162.499323 | 7.6747507 | 1982-1999 –> 2000-2009 | 5.6463508 | 2.6802712 | 11415.09322 | 231.747610 | 6 | 10 |
| Indian | (26.75,27] | 4 | cstar_tref ~ sal + aou + nitrate + phosphate_star | 934 | 2.9660596 | 4693.5309299 | 160.565730 | 7.6740382 | 1982-1999 –> 2000-2009 | 5.6470401 | 2.6809805 | 11415.81889 | 234.962567 | 5 | 10 |
| Indian | (26.75,27] | 3 | cstar_tref ~ sal + nitrate + phosphate_star | 934 | 2.9660866 | 4691.5479396 | 17.166436 | 7.6763675 | 1982-1999 –> 2000-2009 | 5.6521539 | 2.6860673 | 11417.12449 | 23.591096 | 7 | 14 |
| Indian | (26.75,27] | 4 | cstar_tref ~ sal + temp + aou + phosphate | 934 | 2.9828613 | 4704.0826509 | 264.019448 | 7.7092961 | 1982-1999 –> 2000-2009 | 5.6941332 | 2.7112719 | 11457.71698 | 379.184194 | 10 | 20 |
| Indian | (26.75,27] | 4 | cstar_tref ~ sal + temp + phosphate + phosphate_star | 934 | 2.9879874 | 4707.2900649 | 60.596943 | 7.8091953 | 1982-1999 –> 2000-2009 | 5.6973315 | 2.7093442 | 11458.93998 | 88.411572 | 16 | 25 |
| Indian | (26.75,27] | 4 | cstar_tref ~ sal + temp + aou + phosphate_star | 934 | 2.9903554 | 4708.7698881 | 60.383034 | 7.7990869 | 1982-1999 –> 2000-2009 | 5.6995080 | 2.7091526 | 11460.22256 | 88.358896 | 17 | 25 |
| Indian | (26.75,27] | 5 | cstar_tref ~ sal + temp + aou + nitrate + phosphate | 534 | 2.4588554 | 2490.3016246 | 228.622530 | 9.5560763 | 2000-2009 –> 2010-2019 | 5.4141980 | 2.9553427 | 7179.07089 | 634.634203 | 1 | 2 |
| Indian | (26.75,27] | 5 | cstar_tref ~ sal + temp + nitrate + phosphate + phosphate_star | 534 | 2.4622669 | 2491.7823695 | 76.007210 | 9.6955014 | 2000-2009 –> 2010-2019 | 5.4249675 | 2.9627006 | 7185.19664 | 256.046050 | 3 | 5 |
| Indian | (26.75,27] | 5 | cstar_tref ~ sal + temp + aou + nitrate + phosphate_star | 534 | 2.4639012 | 2492.4910277 | 75.177074 | 9.7434358 | 2000-2009 –> 2010-2019 | 5.4268461 | 2.9629449 | 7186.05933 | 239.442690 | 5 | 8 |
| Indian | (26.75,27] | 4 | cstar_tref ~ sal + temp + aou + phosphate | 534 | 2.4588614 | 2488.3042319 | 144.325569 | 9.5537157 | 2000-2009 –> 2010-2019 | 5.4417227 | 2.9828613 | 7192.38688 | 408.345017 | 2 | 12 |
| Indian | (26.75,27] | 4 | cstar_tref ~ sal + aou + nitrate + phosphate_star | 534 | 2.4822066 | 2498.3963292 | 66.676476 | 9.4905472 | 2000-2009 –> 2010-2019 | 5.4482662 | 2.9660596 | 7191.92726 | 227.242206 | 7 | 12 |
| Indian | (26.75,27] | 4 | cstar_tref ~ sal + temp + phosphate + phosphate_star | 534 | 2.4624201 | 2489.8488220 | 36.105759 | 9.6861740 | 2000-2009 –> 2010-2019 | 5.4504075 | 2.9879874 | 7197.13889 | 96.702702 | 4 | 20 |
| Indian | (26.75,27] | 4 | cstar_tref ~ sal + temp + aou + phosphate_star | 534 | 2.4640893 | 2490.5725545 | 36.003991 | 9.7310163 | 2000-2009 –> 2010-2019 | 5.4544447 | 2.9903554 | 7199.34244 | 96.387026 | 6 | 23 |
| Indian | (26.75,27] | 4 | cstar_tref ~ sal + nitrate + phosphate + phosphate_star | 534 | 2.4937292 | 2503.3426026 | 60.932463 | 9.3215598 | 2000-2009 –> 2010-2019 | 5.4598088 | 2.9660796 | 7196.88612 | 223.431786 | 9 | 15 |
| Indian | (26.75,27] | 3 | cstar_tref ~ sal + aou + phosphate_star | 534 | 2.4849357 | 2497.5698990 | 15.263470 | 9.4947171 | 2000-2009 –> 2010-2019 | 5.4846004 | 2.9996647 | 7210.14606 | 46.182450 | 8 | 29 |
| Indian | (26.75,27] | 3 | cstar_tref ~ sal + phosphate + phosphate_star | 534 | 2.5036026 | 2505.5627608 | 17.268438 | 9.2755865 | 2000-2009 –> 2010-2019 | 5.5079328 | 3.0043302 | 7221.04202 | 51.930364 | 10 | 34 |
| Indian | (27,27.25] | 5 | cstar_tref ~ sal + temp + nitrate + phosphate + phosphate_star | 921 | 1.4717419 | 3339.5195918 | 271.112684 | 4.3480545 | 1982-1999 –> 2000-2009 | 2.8200384 | 1.3482965 | 8335.08295 | 409.300044 | 2 | 3 |
| Indian | (27,27.25] | 5 | cstar_tref ~ sal + temp + aou + nitrate + phosphate_star | 921 | 1.4716074 | 3339.3512106 | 425.767776 | 4.3741755 | 1982-1999 –> 2000-2009 | 2.8207893 | 1.3491819 | 8336.81832 | 627.702883 | 1 | 3 |
| Indian | (27,27.25] | 4 | cstar_tref ~ sal + temp + nitrate + phosphate_star | 921 | 1.4727060 | 3338.7258477 | 126.467084 | 4.3443896 | 1982-1999 –> 2000-2009 | 2.8221230 | 1.3494169 | 8334.69814 | 208.541445 | 3 | 6 |
| Indian | (27,27.25] | 5 | cstar_tref ~ sal + temp + aou + nitrate + phosphate | 921 | 1.4739712 | 3342.3076233 | 877.975350 | 4.0793280 | 1982-1999 –> 2000-2009 | 2.8248567 | 1.3508854 | 8343.43411 | 1188.425139 | 6 | 10 |
| Indian | (27,27.25] | 4 | cstar_tref ~ temp + aou + nitrate + phosphate_star | 921 | 1.4728666 | 3338.9265927 | 332.116847 | 4.2532585 | 1982-1999 –> 2000-2009 | 2.8391589 | 1.3662923 | 8370.94051 | 527.613505 | 4 | 13 |
| Indian | (27,27.25] | 4 | cstar_tref ~ temp + nitrate + phosphate + phosphate_star | 921 | 1.4732014 | 3339.3452610 | 218.557762 | 4.2013202 | 1982-1999 –> 2000-2009 | 2.8394860 | 1.3662846 | 8371.34275 | 347.018366 | 5 | 13 |
| Indian | (27,27.25] | 3 | cstar_tref ~ temp + nitrate + phosphate_star | 921 | 1.4760395 | 3340.8904258 | 88.919816 | 4.0938970 | 1982-1999 –> 2000-2009 | 2.8423987 | 1.3663592 | 8371.04634 | 123.984578 | 7 | 17 |
| Indian | (27,27.25] | 4 | cstar_tref ~ temp + aou + nitrate + phosphate | 921 | 1.4761925 | 3343.0814509 | 717.261527 | 4.1612174 | 1982-1999 –> 2000-2009 | 2.8436907 | 1.3674982 | 8377.65366 | 1013.737015 | 8 | 19 |
| Indian | (27,27.25] | 4 | cstar_tref ~ sal + temp + nitrate + phosphate | 921 | 1.5250713 | 3403.0845757 | 125.925487 | 4.7350226 | 1982-1999 –> 2000-2009 | 2.8780563 | 1.3529850 | 8406.71476 | 201.262833 | 9 | 15 |
| Indian | (27,27.25] | 3 | cstar_tref ~ temp + nitrate + phosphate | 921 | 1.5280737 | 3404.7073433 | 117.926411 | 4.5884644 | 1982-1999 –> 2000-2009 | 2.8959224 | 1.3678487 | 8438.02276 | 193.040156 | 10 | 22 |
| Indian | (27,27.25] | 5 | cstar_tref ~ sal + temp + nitrate + phosphate + phosphate_star | 578 | 1.8103763 | 2340.4190976 | 196.716366 | 5.3220357 | 2000-2009 –> 2010-2019 | 3.2821183 | 1.4717419 | 5679.93869 | 467.829050 | 1 | 3 |
| Indian | (27,27.25] | 5 | cstar_tref ~ sal + temp + aou + nitrate + phosphate_star | 578 | 1.8108362 | 2340.7127011 | 285.779907 | 5.3131232 | 2000-2009 –> 2010-2019 | 3.2824436 | 1.4716074 | 5680.06391 | 711.547683 | 2 | 3 |
| Indian | (27,27.25] | 4 | cstar_tref ~ sal + temp + nitrate + phosphate_star | 578 | 1.8108369 | 2338.7131502 | 107.348529 | 5.3125123 | 2000-2009 –> 2010-2019 | 3.2835429 | 1.4727060 | 5677.43900 | 233.815613 | 3 | 6 |
| Indian | (27,27.25] | 4 | cstar_tref ~ temp + nitrate + phosphate + phosphate_star | 578 | 1.8152300 | 2341.5142231 | 174.089823 | 5.2366971 | 2000-2009 –> 2010-2019 | 3.2884314 | 1.4732014 | 5680.85948 | 392.647586 | 4 | 9 |
| Indian | (27,27.25] | 4 | cstar_tref ~ temp + aou + nitrate + phosphate_star | 578 | 1.8160710 | 2342.0496785 | 281.984519 | 5.2263930 | 2000-2009 –> 2010-2019 | 3.2889376 | 1.4728666 | 5680.97627 | 614.101366 | 5 | 9 |
| Indian | (27,27.25] | 3 | cstar_tref ~ temp + nitrate + phosphate_star | 578 | 1.8161562 | 2340.1039177 | 42.290978 | 5.2183315 | 2000-2009 –> 2010-2019 | 3.2921957 | 1.4760395 | 5680.99434 | 131.210794 | 6 | 13 |
| Indian | (27,27.25] | 5 | cstar_tref ~ sal + temp + aou + nitrate + phosphate | 578 | 1.8236588 | 2348.8695595 | 534.594309 | 5.3576783 | 2000-2009 –> 2010-2019 | 3.2976301 | 1.4739712 | 5691.17718 | 1412.569659 | 7 | 13 |
| Indian | (27,27.25] | 4 | cstar_tref ~ temp + aou + nitrate + phosphate | 578 | 1.8291287 | 2350.3316671 | 534.006836 | 5.2658664 | 2000-2009 –> 2010-2019 | 3.3053212 | 1.4761925 | 5693.41312 | 1251.268364 | 8 | 16 |
| Indian | (27,27.25] | 4 | cstar_tref ~ sal + temp + nitrate + phosphate | 578 | 1.8693132 | 2375.4531160 | 108.827981 | 6.0587412 | 2000-2009 –> 2010-2019 | 3.3943845 | 1.5250713 | 5778.53769 | 234.753468 | 9 | 18 |
| Indian | (27,27.25] | 3 | cstar_tref ~ temp + nitrate + phosphate | 578 | 1.8757323 | 2377.4159764 | 74.600285 | 5.9985287 | 2000-2009 –> 2010-2019 | 3.4038060 | 1.5280737 | 5782.12332 | 192.526696 | 10 | 20 |
| Indian | (27.25,27.5] | 5 | cstar_tref ~ sal + temp + nitrate + phosphate + phosphate_star | 1170 | 1.6486465 | 4504.2099936 | 926.058613 | 10.8689016 | 1982-1999 –> 2000-2009 | 3.3003852 | 1.6517388 | 11091.07492 | 1635.861706 | 1 | 2 |
| Indian | (27.25,27.5] | 4 | cstar_tref ~ sal + temp + nitrate + phosphate_star | 1170 | 1.7506045 | 4642.6253276 | 210.910579 | 8.6682877 | 1982-1999 –> 2000-2009 | 3.4490275 | 1.6984229 | 11322.86681 | 379.379712 | 2 | 11 |
| Indian | (27.25,27.5] | 4 | cstar_tref ~ sal + nitrate + phosphate + phosphate_star | 1170 | 1.8013581 | 4709.5017709 | 906.299964 | 11.4548779 | 1982-1999 –> 2000-2009 | 3.4691367 | 1.6677787 | 11327.43714 | 1615.188891 | 3 | 7 |
| Indian | (27.25,27.5] | 4 | cstar_tref ~ sal + aou + nitrate + phosphate_star | 1170 | 1.8518466 | 4774.1850656 | 922.020620 | 10.3231670 | 1982-1999 –> 2000-2009 | 3.5127771 | 1.6609306 | 11378.04035 | 1775.364772 | 5 | 7 |
| Indian | (27.25,27.5] | 4 | cstar_tref ~ sal + temp + nitrate + phosphate | 1170 | 1.9003408 | 4834.6739341 | 856.829675 | 10.7651613 | 1982-1999 –> 2000-2009 | 3.5633263 | 1.6629855 | 11442.76038 | 1500.110451 | 10 | 13 |
| Indian | (27.25,27.5] | 3 | cstar_tref ~ sal + nitrate + phosphate_star | 1170 | 1.8662682 | 4790.3377474 | 39.335696 | 9.5530882 | 1982-1999 –> 2000-2009 | 3.5784590 | 1.7121908 | 11496.20700 | 54.860347 | 6 | 17 |
| Indian | (27.25,27.5] | 4 | cstar_tref ~ sal + temp + phosphate + phosphate_star | 1170 | 1.8390221 | 4757.9236990 | 213.786630 | 7.6028954 | 1982-1999 –> 2000-2009 | 3.5802519 | 1.7412298 | 11523.34393 | 381.816342 | 4 | 17 |
| Indian | (27.25,27.5] | 4 | cstar_tref ~ sal + temp + aou + nitrate | 1170 | 1.8978844 | 4831.6472746 | 321.758471 | 8.6107889 | 1982-1999 –> 2000-2009 | 3.5908697 | 1.6929853 | 11500.91542 | 473.601851 | 8 | 15 |
| Indian | (27.25,27.5] | 3 | cstar_tref ~ sal + aou + nitrate | 1170 | 1.8995806 | 4831.7377293 | 89.809965 | 8.8338195 | 1982-1999 –> 2000-2009 | 3.5936254 | 1.6940447 | 11501.14658 | 119.076911 | 9 | 17 |
| Indian | (27.25,27.5] | 3 | cstar_tref ~ sal + temp + nitrate | 1170 | 1.9311155 | 4870.2650832 | 39.683689 | 9.4414550 | 1982-1999 –> 2000-2009 | 3.6312221 | 1.7001065 | 11551.89706 | 70.663500 | 13 | 23 |
| Indian | (27.25,27.5] | 5 | cstar_tref ~ sal + temp + nitrate + phosphate + phosphate_star | 674 | 1.9569980 | 2831.7920616 | 787.894944 | 7.4215882 | 2000-2009 –> 2010-2019 | 3.6056445 | 1.6486465 | 7336.00206 | 1713.953556 | 1 | 2 |
| Indian | (27.25,27.5] | 4 | cstar_tref ~ sal + temp + nitrate + phosphate_star | 674 | 2.0539284 | 2894.9578773 | 227.654511 | 5.4946925 | 2000-2009 –> 2010-2019 | 3.8045329 | 1.7506045 | 7537.58320 | 438.565090 | 5 | 7 |
| Indian | (27.25,27.5] | 4 | cstar_tref ~ sal + nitrate + phosphate + phosphate_star | 674 | 2.0134101 | 2868.0997556 | 771.218377 | 7.4038407 | 2000-2009 –> 2010-2019 | 3.8147681 | 1.8013581 | 7577.60153 | 1677.518341 | 2 | 5 |
| Indian | (27.25,27.5] | 4 | cstar_tref ~ sal + aou + nitrate + phosphate_star | 674 | 2.0517316 | 2893.5153533 | 954.306256 | 6.5416584 | 2000-2009 –> 2010-2019 | 3.9035782 | 1.8518466 | 7667.70042 | 1876.326875 | 4 | 9 |
| Indian | (27.25,27.5] | 3 | cstar_tref ~ sal + nitrate + phosphate_star | 674 | 2.0900075 | 2916.4311566 | 21.891302 | 6.0237309 | 2000-2009 –> 2010-2019 | 3.9562758 | 1.8662682 | 7706.76890 | 61.226998 | 7 | 13 |
| Indian | (27.25,27.5] | 4 | cstar_tref ~ sal + temp + nitrate + phosphate | 674 | 2.0644644 | 2901.8550104 | 697.602541 | 6.5611694 | 2000-2009 –> 2010-2019 | 3.9648052 | 1.9003408 | 7736.52894 | 1554.432216 | 6 | 16 |
| Indian | (27.25,27.5] | 4 | cstar_tref ~ temp + nitrate + phosphate + phosphate_star | 674 | 2.0298325 | 2879.0501456 | 785.840020 | 7.8157796 | 2000-2009 –> 2010-2019 | 3.9735381 | 1.9437056 | 7766.52152 | 1701.005451 | 3 | 17 |
| Indian | (27.25,27.5] | 4 | cstar_tref ~ sal + temp + phosphate + phosphate_star | 674 | 2.1495546 | 2956.3005182 | 232.422495 | 6.2206223 | 2000-2009 –> 2010-2019 | 3.9885768 | 1.8390221 | 7714.22422 | 446.209125 | 14 | 18 |
| Indian | (27.25,27.5] | 4 | cstar_tref ~ sal + temp + aou + nitrate | 674 | 2.1038277 | 2927.3154871 | 228.527461 | 6.0981034 | 2000-2009 –> 2010-2019 | 4.0017121 | 1.8978844 | 7758.96276 | 550.285932 | 8 | 16 |
| Indian | (27.25,27.5] | 3 | cstar_tref ~ sal + aou + nitrate | 674 | 2.1039140 | 2925.3707654 | 44.987114 | 6.0993147 | 2000-2009 –> 2010-2019 | 4.0034946 | 1.8995806 | 7757.10849 | 134.797079 | 9 | 18 |
| Indian | (27.5,27.75] | 5 | cstar_tref ~ sal + aou + nitrate + phosphate + phosphate_star | 1544 | 1.2445286 | 5071.2032658 | 748.255941 | 5.8706431 | 1982-1999 –> 2000-2009 | 2.5035630 | 1.2590344 | 11586.67929 | 1746.200352 | 1 | 2 |
| Indian | (27.5,27.75] | 4 | cstar_tref ~ sal + aou + nitrate + phosphate_star | 1544 | 1.2765460 | 5147.6421251 | 648.606041 | 5.9724129 | 1982-1999 –> 2000-2009 | 2.5356320 | 1.2590860 | 11661.27957 | 1101.097368 | 8 | 10 |
| Indian | (27.5,27.75] | 5 | cstar_tref ~ sal + temp + nitrate + phosphate + phosphate_star | 1544 | 1.2472398 | 5077.9231408 | 818.178494 | 5.6147099 | 1982-1999 –> 2000-2009 | 2.5403136 | 1.2930738 | 11698.56019 | 1796.611153 | 2 | 6 |
| Indian | (27.5,27.75] | 4 | cstar_tref ~ sal + temp + nitrate + phosphate_star | 1544 | 1.2585723 | 5103.8541433 | 21.704432 | 5.3186801 | 1982-1999 –> 2000-2009 | 2.5553162 | 1.2967439 | 11733.66397 | 40.043032 | 4 | 9 |
| Indian | (27.5,27.75] | 4 | cstar_tref ~ sal + aou + phosphate + phosphate_star | 1544 | 1.2812367 | 5158.9682433 | 321.948373 | 5.5447036 | 1982-1999 –> 2000-2009 | 2.5560282 | 1.2747915 | 11721.47316 | 575.130144 | 10 | 13 |
| Indian | (27.5,27.75] | 4 | cstar_tref ~ sal + temp + phosphate + phosphate_star | 1544 | 1.2678925 | 5126.6376850 | 22.346151 | 5.2615794 | 1982-1999 –> 2000-2009 | 2.5650178 | 1.2971253 | 11757.60671 | 40.135932 | 6 | 12 |
| Indian | (27.5,27.75] | 5 | cstar_tref ~ sal + temp + aou + nitrate + phosphate | 1544 | 1.2661514 | 5124.3942035 | 752.579748 | 5.8428062 | 1982-1999 –> 2000-2009 | 2.5653078 | 1.2991565 | 11763.53111 | 1720.778699 | 5 | 13 |
| Indian | (27.5,27.75] | 4 | cstar_tref ~ sal + nitrate + phosphate + phosphate_star | 1544 | 1.2474195 | 5076.3680421 | 365.734574 | 5.6769825 | 1982-1999 –> 2000-2009 | 2.5680411 | 1.3206216 | 11778.10402 | 923.942504 | 3 | 17 |
| Indian | (27.5,27.75] | 4 | cstar_tref ~ sal + temp + aou + phosphate_star | 1544 | 1.2752642 | 5144.5399268 | 20.959630 | 5.3519440 | 1982-1999 –> 2000-2009 | 2.5731964 | 1.2979322 | 11777.96035 | 43.943150 | 7 | 14 |
| Indian | (27.5,27.75] | 4 | cstar_tref ~ sal + temp + aou + phosphate | 1544 | 1.2920806 | 5184.9938015 | 96.021148 | 5.4890548 | 1982-1999 –> 2000-2009 | 2.5983803 | 1.3062997 | 11843.74596 | 167.432320 | 12 | 23 |
| Indian | (27.5,27.75] | 4 | cstar_tref ~ sal + nitrate + phosphate + phosphate_star | 900 | 1.6504380 | 3467.9625800 | 486.336581 | 5.2332801 | 2000-2009 –> 2010-2019 | 2.8978575 | 1.2474195 | 8544.33062 | 852.071154 | 1 | 2 |
| Indian | (27.5,27.75] | 4 | cstar_tref ~ sal + temp + nitrate + phosphate_star | 900 | 1.6573389 | 3475.4732053 | 24.240005 | 5.1379125 | 2000-2009 –> 2010-2019 | 2.9159112 | 1.2585723 | 8579.32735 | 45.944438 | 2 | 4 |
| Indian | (27.5,27.75] | 4 | cstar_tref ~ sal + temp + phosphate + phosphate_star | 900 | 1.6632714 | 3481.9048788 | 22.943439 | 5.1059359 | 2000-2009 –> 2010-2019 | 2.9311639 | 1.2678925 | 8608.54256 | 45.289589 | 4 | 7 |
| Indian | (27.5,27.75] | 4 | cstar_tref ~ sal + aou + nitrate + phosphate_star | 900 | 1.6597821 | 3478.1247331 | 744.106030 | 4.9498849 | 2000-2009 –> 2010-2019 | 2.9363281 | 1.2765460 | 8625.76686 | 1392.712072 | 3 | 8 |
| Indian | (27.5,27.75] | 3 | cstar_tref ~ sal + nitrate + phosphate_star | 900 | 1.6647085 | 3481.4594665 | 8.965306 | 4.9861271 | 2000-2009 –> 2010-2019 | 2.9422387 | 1.2775302 | 8629.48137 | 16.769511 | 5 | 11 |
| Indian | (27.5,27.75] | 4 | cstar_tref ~ sal + temp + aou + phosphate_star | 900 | 1.6723842 | 3491.7398643 | 30.728588 | 5.1518938 | 2000-2009 –> 2010-2019 | 2.9476485 | 1.2752642 | 8636.27979 | 51.688219 | 7 | 11 |
| Indian | (27.5,27.75] | 4 | cstar_tref ~ sal + aou + phosphate + phosphate_star | 900 | 1.6744888 | 3494.0035873 | 337.756296 | 5.0532585 | 2000-2009 –> 2010-2019 | 2.9557255 | 1.2812367 | 8652.97183 | 659.704669 | 8 | 15 |
| Indian | (27.5,27.75] | 3 | cstar_tref ~ sal + aou + phosphate_star | 900 | 1.6747014 | 3492.2321411 | 12.232288 | 5.0579054 | 2000-2009 –> 2010-2019 | 2.9581428 | 1.2834414 | 8654.50940 | 22.141533 | 9 | 17 |
| Indian | (27.5,27.75] | 3 | cstar_tref ~ sal + phosphate + phosphate_star | 900 | 1.6782655 | 3496.0588454 | 8.787410 | 5.0782190 | 2000-2009 –> 2010-2019 | 2.9735135 | 1.2952480 | 8686.61347 | 16.470893 | 10 | 20 |
| Indian | (27.5,27.75] | 4 | cstar_tref ~ sal + temp + aou + phosphate | 900 | 1.6845970 | 3504.8368515 | 88.841217 | 5.1984720 | 2000-2009 –> 2010-2019 | 2.9766776 | 1.2920806 | 8689.83065 | 184.862365 | 11 | 20 |
| Indian | (27.75,27.85] | 4 | cstar_tref ~ sal + temp + aou + phosphate_star | 759 | 1.0416673 | 2227.9173806 | 20.299860 | 4.0638660 | 1982-1999 –> 2000-2009 | 1.9285454 | 0.8868781 | 4759.76546 | 35.012629 | 1 | 5 |
| Indian | (27.75,27.85] | 4 | cstar_tref ~ sal + temp + phosphate + phosphate_star | 759 | 1.0440762 | 2231.4237948 | 25.489444 | 4.0877283 | 1982-1999 –> 2000-2009 | 1.9308525 | 0.8867763 | 4763.04923 | 42.294091 | 2 | 5 |
| Indian | (27.75,27.85] | 4 | cstar_tref ~ sal + temp + aou + phosphate | 759 | 1.0484933 | 2237.8322774 | 75.624029 | 4.0956938 | 1982-1999 –> 2000-2009 | 1.9351022 | 0.8866089 | 4769.09151 | 141.924900 | 3 | 5 |
| Indian | (27.75,27.85] | 4 | cstar_tref ~ sal + temp + nitrate + phosphate_star | 759 | 1.0546991 | 2246.7906106 | 22.513710 | 4.2048761 | 1982-1999 –> 2000-2009 | 1.9420844 | 0.8873853 | 4779.74790 | 38.890946 | 4 | 9 |
| Indian | (27.75,27.85] | 4 | cstar_tref ~ sal + aou + phosphate + phosphate_star | 759 | 1.0646992 | 2261.1156064 | 766.537655 | 4.2029739 | 1982-1999 –> 2000-2009 | 1.9508807 | 0.8861815 | 4791.43940 | 1235.396686 | 5 | 6 |
| Indian | (27.75,27.85] | 3 | cstar_tref ~ sal + temp + phosphate | 759 | 1.0848435 | 2287.5680941 | 6.473263 | 3.8012578 | 1982-1999 –> 2000-2009 | 1.9882916 | 0.9034481 | 4853.32781 | 18.436051 | 12 | 19 |
| Indian | (27.75,27.85] | 4 | cstar_tref ~ temp + nitrate + phosphate + phosphate_star | 759 | 1.0767743 | 2278.2348333 | 244.055273 | 4.1519579 | 1982-1999 –> 2000-2009 | 1.9930693 | 0.9162951 | 4873.38692 | 884.717149 | 6 | 15 |
| Indian | (27.75,27.85] | 4 | cstar_tref ~ sal + temp + aou + nitrate | 759 | 1.1049436 | 2317.4363976 | 139.198696 | 4.2468389 | 1982-1999 –> 2000-2009 | 1.9948723 | 0.8899288 | 4855.94625 | 224.201840 | 17 | 23 |
| Indian | (27.75,27.85] | 4 | cstar_tref ~ temp + aou + nitrate + phosphate_star | 759 | 1.0777434 | 2279.6004554 | 250.516205 | 4.1044666 | 1982-1999 –> 2000-2009 | 1.9950773 | 0.9173339 | 4876.95067 | 876.165525 | 7 | 18 |
| Indian | (27.75,27.85] | 4 | cstar_tref ~ temp + aou + nitrate + phosphate | 759 | 1.0821535 | 2285.7994392 | 209.297115 | 4.1513951 | 1982-1999 –> 2000-2009 | 1.9988222 | 0.9166686 | 4881.74229 | 779.346068 | 11 | 21 |
| Indian | (27.75,27.85] | 4 | cstar_tref ~ sal + temp + aou + phosphate_star | 481 | 0.8931009 | 1268.2592196 | 19.169425 | 2.4426873 | 2000-2009 –> 2010-2019 | 1.9347681 | 1.0416673 | 3496.17660 | 39.469284 | 4 | 5 |
| Indian | (27.75,27.85] | 4 | cstar_tref ~ sal + temp + phosphate + phosphate_star | 481 | 0.8914791 | 1266.5107553 | 22.879997 | 2.4497814 | 2000-2009 –> 2010-2019 | 1.9355553 | 1.0440762 | 3497.93455 | 48.369440 | 3 | 5 |
| Indian | (27.75,27.85] | 4 | cstar_tref ~ sal + temp + aou + phosphate | 481 | 0.8943019 | 1269.5520800 | 100.279265 | 2.4372351 | 2000-2009 –> 2010-2019 | 1.9427952 | 1.0484933 | 3507.38436 | 175.903294 | 6 | 9 |
| Indian | (27.75,27.85] | 4 | cstar_tref ~ sal + aou + phosphate + phosphate_star | 481 | 0.8794745 | 1253.4685029 | 661.615524 | 2.3727657 | 2000-2009 –> 2010-2019 | 1.9441737 | 1.0646992 | 3514.58411 | 1428.153180 | 1 | 6 |
| Indian | (27.75,27.85] | 4 | cstar_tref ~ sal + temp + nitrate + phosphate_star | 481 | 0.8898102 | 1264.7082043 | 21.862116 | 2.4313524 | 2000-2009 –> 2010-2019 | 1.9445094 | 1.0546991 | 3511.49881 | 44.375825 | 2 | 6 |
| Indian | (27.75,27.85] | 4 | cstar_tref ~ sal + temp + aou + nitrate | 481 | 0.8963376 | 1271.7393432 | 130.908961 | 2.4815785 | 2000-2009 –> 2010-2019 | 2.0012812 | 1.1049436 | 3589.17574 | 270.107657 | 7 | 20 |
| Indian | (27.75,27.85] | 3 | cstar_tref ~ sal + temp + phosphate | 481 | 0.9356242 | 1311.0060985 | 15.378563 | 2.5686105 | 2000-2009 –> 2010-2019 | 2.0204677 | 1.0848435 | 3598.57419 | 21.851827 | 10 | 19 |
| Indian | (27.75,27.85] | 3 | cstar_tref ~ temp + nitrate + phosphate_star | 481 | 0.9510593 | 1326.7467904 | 18.098897 | 2.6988842 | 2000-2009 –> 2010-2019 | 2.0292462 | 1.0781869 | 3604.97184 | 39.701372 | 11 | 17 |
| Indian | (27.75,27.85] | 3 | cstar_tref ~ temp + aou + phosphate_star | 481 | 0.9639858 | 1339.7339769 | 15.875837 | 2.7267117 | 2000-2009 –> 2010-2019 | 2.0451263 | 1.0811405 | 3622.11170 | 36.090290 | 15 | 22 |
| Indian | (27.75,27.85] | 3 | cstar_tref ~ temp + phosphate + phosphate_star | 481 | 0.9634543 | 1339.2034287 | 20.372719 | 2.7278210 | 2000-2009 –> 2010-2019 | 2.0455132 | 1.0820589 | 3622.87006 | 45.861853 | 14 | 22 |
| Indian | (27.85,27.95] | 4 | cstar_tref ~ sal + temp + nitrate + phosphate | 962 | 1.0833489 | 2896.0676068 | 287.430025 | 9.5712398 | 1982-1999 –> 2000-2009 | 1.7393788 | 0.6560299 | 5339.70356 | 749.746921 | 1 | 2 |
| Indian | (27.85,27.95] | 4 | cstar_tref ~ sal + temp + aou + phosphate_star | 962 | 1.0940562 | 2914.9900112 | 26.685979 | 9.7884425 | 1982-1999 –> 2000-2009 | 1.7511412 | 0.6570851 | 5362.54405 | 38.807640 | 2 | 4 |
| Indian | (27.85,27.95] | 4 | cstar_tref ~ sal + temp + phosphate + phosphate_star | 962 | 1.0975146 | 2921.0624074 | 33.643073 | 9.8127132 | 1982-1999 –> 2000-2009 | 1.7573440 | 0.6598294 | 5378.77764 | 48.738998 | 4 | 7 |
| Indian | (27.85,27.95] | 4 | cstar_tref ~ sal + temp + nitrate + phosphate_star | 962 | 1.1035962 | 2931.6944258 | 27.993403 | 9.8416593 | 1982-1999 –> 2000-2009 | 1.7736490 | 0.6700527 | 5426.89412 | 41.724481 | 7 | 12 |
| Indian | (27.85,27.95] | 4 | cstar_tref ~ sal + temp + aou + phosphate | 962 | 1.1059344 | 2935.7664272 | 95.831746 | 9.9150290 | 1982-1999 –> 2000-2009 | 1.7750260 | 0.6690916 | 5427.46668 | 167.426233 | 11 | 15 |
| Indian | (27.85,27.95] | 4 | cstar_tref ~ sal + aou + phosphate + phosphate_star | 962 | 1.1161620 | 2953.4775879 | 863.285727 | 9.9204576 | 1982-1999 –> 2000-2009 | 1.8015299 | 0.6853680 | 5503.77482 | 1449.439093 | 14 | 20 |
| Indian | (27.85,27.95] | 4 | cstar_tref ~ temp + nitrate + phosphate + phosphate_star | 962 | 1.1039952 | 2932.3898098 | 272.761238 | 9.6477894 | 1982-1999 –> 2000-2009 | 1.8187072 | 0.7147121 | 5584.89738 | 637.180742 | 8 | 15 |
| Indian | (27.85,27.95] | 4 | cstar_tref ~ temp + aou + nitrate + phosphate_star | 962 | 1.1025592 | 2929.8856837 | 247.323828 | 9.5413257 | 1982-1999 –> 2000-2009 | 1.8226534 | 0.7200941 | 5600.68361 | 543.242983 | 5 | 13 |
| Indian | (27.85,27.95] | 3 | cstar_tref ~ temp + nitrate + phosphate_star | 962 | 1.1044522 | 2931.1861740 | 27.976772 | 9.7345926 | 1982-1999 –> 2000-2009 | 1.8394818 | 0.7350296 | 5650.03340 | 41.064198 | 9 | 19 |
| Indian | (27.85,27.95] | 4 | cstar_tref ~ temp + aou + nitrate + phosphate | 962 | 1.1132818 | 2948.5065370 | 231.298906 | 9.7092530 | 1982-1999 –> 2000-2009 | 1.8408605 | 0.7275787 | 5644.51388 | 544.657791 | 12 | 21 |
| Indian | (27.85,27.95] | 4 | cstar_tref ~ sal + temp + nitrate + phosphate | 626 | 0.6401803 | 1230.1123473 | 727.701164 | 2.6541494 | 2000-2009 –> 2010-2019 | 1.7235293 | 1.0833489 | 4126.17995 | 1015.131190 | 1 | 2 |
| Indian | (27.85,27.95] | 4 | cstar_tref ~ sal + temp + aou + phosphate_star | 626 | 0.6554200 | 1259.5672446 | 14.666457 | 2.7852131 | 2000-2009 –> 2010-2019 | 1.7494761 | 1.0940562 | 4174.55726 | 41.352436 | 2 | 4 |
| Indian | (27.85,27.95] | 4 | cstar_tref ~ sal + temp + phosphate + phosphate_star | 626 | 0.6573445 | 1263.2381204 | 18.407898 | 2.8061995 | 2000-2009 –> 2010-2019 | 1.7548591 | 1.0975146 | 4184.30053 | 52.050971 | 3 | 7 |
| Indian | (27.85,27.95] | 4 | cstar_tref ~ temp + aou + nitrate + phosphate_star | 626 | 0.6642217 | 1276.2686280 | 522.460201 | 2.3580556 | 2000-2009 –> 2010-2019 | 1.7667809 | 1.1025592 | 4206.15431 | 769.784029 | 5 | 10 |
| Indian | (27.85,27.95] | 3 | cstar_tref ~ temp + aou + phosphate_star | 626 | 0.6642704 | 1274.3604420 | 11.389162 | 2.4040766 | 2000-2009 –> 2010-2019 | 1.7671349 | 1.1028645 | 4202.77874 | 37.590176 | 6 | 12 |
| Indian | (27.85,27.95] | 4 | cstar_tref ~ sal + temp + aou + phosphate | 626 | 0.6612753 | 1270.7024938 | 88.545504 | 2.9100289 | 2000-2009 –> 2010-2019 | 1.7672097 | 1.1059344 | 4206.46892 | 184.377250 | 4 | 15 |
| Indian | (27.85,27.95] | 4 | cstar_tref ~ sal + temp + nitrate + phosphate_star | 626 | 0.6656192 | 1278.8999723 | 13.999921 | 2.9012758 | 2000-2009 –> 2010-2019 | 1.7692154 | 1.1035962 | 4210.59440 | 41.993325 | 7 | 14 |
| Indian | (27.85,27.95] | 4 | cstar_tref ~ temp + nitrate + phosphate + phosphate_star | 626 | 0.6657778 | 1279.1982562 | 597.432831 | 2.4778314 | 2000-2009 –> 2010-2019 | 1.7697730 | 1.1039952 | 4211.58807 | 870.194069 | 8 | 16 |
| Indian | (27.85,27.95] | 3 | cstar_tref ~ temp + phosphate + phosphate_star | 626 | 0.6658447 | 1277.3241354 | 14.606475 | 2.4270975 | 2000-2009 –> 2010-2019 | 1.7711740 | 1.1053293 | 4210.03763 | 47.081718 | 9 | 19 |
| Indian | (27.85,27.95] | 3 | cstar_tref ~ temp + nitrate + phosphate_star | 626 | 0.6674089 | 1280.2618426 | 13.163457 | 2.7221605 | 2000-2009 –> 2010-2019 | 1.7718611 | 1.1044522 | 4211.44802 | 41.140229 | 10 | 19 |
| Indian | (27.95,28.05] | 4 | cstar_tref ~ temp + aou + nitrate + phosphate_star | 1483 | 1.1699875 | 4686.2131257 | 572.044269 | 6.0000070 | 1982-1999 –> 2000-2009 | 1.6439915 | 0.4740040 | 7331.32775 | 1235.722255 | 5 | 8 |
| Indian | (27.95,28.05] | 4 | cstar_tref ~ temp + nitrate + phosphate + phosphate_star | 1483 | 1.1752420 | 4699.5037269 | 574.817860 | 6.1377130 | 1982-1999 –> 2000-2009 | 1.6456810 | 0.4704391 | 7315.05527 | 1403.834544 | 13 | 15 |
| Indian | (27.95,28.05] | 4 | cstar_tref ~ sal + temp + aou + phosphate_star | 1483 | 1.1659584 | 4675.9815070 | 91.561898 | 6.3626589 | 1982-1999 –> 2000-2009 | 1.6501303 | 0.4841719 | 7404.20995 | 106.848564 | 2 | 11 |
| Indian | (27.95,28.05] | 4 | cstar_tref ~ sal + temp + aou + phosphate | 1483 | 1.1716855 | 4690.5146429 | 282.406393 | 6.4503987 | 1982-1999 –> 2000-2009 | 1.6525739 | 0.4808883 | 7392.09528 | 410.440832 | 8 | 15 |
| Indian | (27.95,28.05] | 4 | cstar_tref ~ temp + aou + nitrate + phosphate | 1483 | 1.1788116 | 4708.4988290 | 489.186331 | 6.1564072 | 1982-1999 –> 2000-2009 | 1.6529970 | 0.4741855 | 7355.11219 | 1190.418098 | 17 | 21 |
| Indian | (27.95,28.05] | 4 | cstar_tref ~ sal + temp + phosphate + phosphate_star | 1483 | 1.1700597 | 4686.3962373 | 166.841233 | 6.3879940 | 1982-1999 –> 2000-2009 | 1.6534815 | 0.4834218 | 7408.55314 | 197.699389 | 6 | 14 |
| Indian | (27.95,28.05] | 4 | cstar_tref ~ sal + temp + nitrate + phosphate_star | 1483 | 1.1805248 | 4712.8063314 | 117.324297 | 6.4359153 | 1982-1999 –> 2000-2009 | 1.6562931 | 0.4757683 | 7372.46930 | 140.571557 | 19 | 25 |
| Indian | (27.95,28.05] | 4 | cstar_tref ~ sal + temp + aou + nitrate | 1483 | 1.1953141 | 4749.7328620 | 824.348509 | 6.7381102 | 1982-1999 –> 2000-2009 | 1.6608426 | 0.4655285 | 7324.19318 | 1082.218786 | 29 | 30 |
| Indian | (27.95,28.05] | 3 | cstar_tref ~ temp + aou + nitrate | 1483 | 1.2115949 | 4787.8585930 | 130.663511 | 6.8033848 | 1982-1999 –> 2000-2009 | 1.6860207 | 0.4744258 | 7434.45592 | 224.952651 | 33 | 38 |
| Indian | (27.95,28.05] | 4 | cstar_tref ~ sal + temp + nitrate + phosphate | 1483 | 1.1572238 | 4653.6785217 | 363.522865 | 6.0703013 | 1982-1999 –> 2000-2009 | 1.7092869 | 0.5520631 | 7895.77410 | 873.513520 | 1 | 11 |
| Indian | (27.95,28.05] | 4 | cstar_tref ~ sal + temp + aou + phosphate_star | 942 | 0.6542293 | 1885.9039872 | 24.187729 | 5.3802892 | 2000-2009 –> 2010-2019 | 1.8201877 | 1.1659584 | 6561.88549 | 115.749627 | 2 | 4 |
| Indian | (27.95,28.05] | 4 | cstar_tref ~ sal + temp + phosphate + phosphate_star | 942 | 0.6547522 | 1887.4092691 | 39.558957 | 5.3867617 | 2000-2009 –> 2010-2019 | 1.8248120 | 1.1700597 | 6573.80551 | 206.400190 | 3 | 8 |
| Indian | (27.95,28.05] | 4 | cstar_tref ~ sal + temp + aou + phosphate | 942 | 0.6576104 | 1895.6154074 | 150.583592 | 5.4548378 | 2000-2009 –> 2010-2019 | 1.8292959 | 1.1716855 | 6586.13005 | 432.989985 | 5 | 12 |
| Indian | (27.95,28.05] | 3 | cstar_tref ~ temp + aou + phosphate_star | 942 | 0.6570557 | 1892.0257744 | 22.993712 | 5.4730074 | 2000-2009 –> 2010-2019 | 1.8303467 | 1.1732909 | 6584.60153 | 78.597986 | 4 | 13 |
| Indian | (27.95,28.05] | 3 | cstar_tref ~ temp + phosphate + phosphate_star | 942 | 0.6576674 | 1893.7788195 | 27.776544 | 5.4803502 | 2000-2009 –> 2010-2019 | 1.8339742 | 1.1763068 | 6593.96869 | 92.934558 | 6 | 18 |
| Indian | (27.95,28.05] | 4 | cstar_tref ~ sal + temp + nitrate + phosphate_star | 942 | 0.6541307 | 1885.6199082 | 29.677267 | 5.3919120 | 2000-2009 –> 2010-2019 | 1.8346555 | 1.1805248 | 6598.42624 | 147.001565 | 1 | 15 |
| Indian | (27.95,28.05] | 3 | cstar_tref ~ temp + nitrate + phosphate_star | 942 | 0.6592513 | 1898.3108074 | 24.392291 | 5.5070681 | 2000-2009 –> 2010-2019 | 1.8406105 | 1.1813592 | 6611.21269 | 81.980744 | 7 | 24 |
| Indian | (27.95,28.05] | 3 | cstar_tref ~ temp + aou + phosphate | 942 | 0.6600676 | 1900.6419606 | 76.925577 | 5.5336856 | 2000-2009 –> 2010-2019 | 1.8408683 | 1.1808007 | 6612.14137 | 176.857434 | 8 | 23 |
| Indian | (27.95,28.05] | 4 | cstar_tref ~ sal + temp + nitrate + phosphate | 942 | 0.6842655 | 1970.4731125 | 593.425494 | 5.9518168 | 2000-2009 –> 2010-2019 | 1.8414893 | 1.1572238 | 6624.15163 | 956.948359 | 12 | 13 |
| Indian | (27.95,28.05] | 4 | cstar_tref ~ sal + nitrate + phosphate + phosphate_star | 942 | 0.6848253 | 1972.0138792 | 916.831241 | 5.7729881 | 2000-2009 –> 2010-2019 | 1.8526373 | 1.1678119 | 6652.70664 | 1422.447436 | 13 | 17 |
| Indian | (28.05,28.1] | 4 | cstar_tref ~ sal + temp + aou + nitrate | 1071 | 0.7567236 | 2454.2683007 | 667.328245 | 3.7592871 | 1982-1999 –> 2000-2009 | 1.1943186 | 0.4375951 | 4190.37696 | 1116.319890 | 6 | 7 |
| Indian | (28.05,28.1] | 4 | cstar_tref ~ sal + temp + aou + phosphate | 1071 | 0.7527451 | 2442.9770059 | 457.974838 | 3.9410633 | 1982-1999 –> 2000-2009 | 1.2001592 | 0.4474141 | 4243.66028 | 693.781220 | 3 | 14 |
| Indian | (28.05,28.1] | 4 | cstar_tref ~ sal + temp + aou + phosphate_star | 1071 | 0.7510335 | 2438.1010519 | 136.592186 | 4.0440960 | 1982-1999 –> 2000-2009 | 1.2003184 | 0.4492849 | 4250.92671 | 165.628669 | 2 | 17 |
| Indian | (28.05,28.1] | 3 | cstar_tref ~ temp + aou + nitrate | 1071 | 0.7636357 | 2471.7450964 | 315.173540 | 3.6651741 | 1982-1999 –> 2000-2009 | 1.2012332 | 0.4375975 | 4205.87028 | 667.605328 | 10 | 12 |
| Indian | (28.05,28.1] | 4 | cstar_tref ~ sal + temp + phosphate + phosphate_star | 1071 | 0.7530619 | 2443.8782231 | 233.120612 | 4.0644660 | 1982-1999 –> 2000-2009 | 1.2016444 | 0.4485825 | 4252.15129 | 280.892744 | 4 | 17 |
| Indian | (28.05,28.1] | 4 | cstar_tref ~ sal + temp + nitrate + phosphate | 1071 | 0.7459411 | 2423.5277472 | 881.414351 | 4.3054458 | 1982-1999 –> 2000-2009 | 1.2027044 | 0.4567632 | 4284.39163 | 1813.051463 | 1 | 20 |
| Indian | (28.05,28.1] | 4 | cstar_tref ~ sal + temp + nitrate + phosphate_star | 1071 | 0.7601230 | 2463.8693024 | 192.106155 | 4.2421134 | 1982-1999 –> 2000-2009 | 1.2053954 | 0.4452724 | 4250.58955 | 229.814126 | 8 | 17 |
| Indian | (28.05,28.1] | 3 | cstar_tref ~ sal + temp + phosphate | 1071 | 0.7530642 | 2441.8848945 | 34.987176 | 4.0762539 | 1982-1999 –> 2000-2009 | 1.2099188 | 0.4568546 | 4301.33101 | 47.534715 | 5 | 25 |
| Indian | (28.05,28.1] | 3 | cstar_tref ~ temp + aou + phosphate | 1071 | 0.7693295 | 2487.6570244 | 192.944153 | 3.7758850 | 1982-1999 –> 2000-2009 | 1.2167767 | 0.4474472 | 4286.55574 | 376.715017 | 11 | 23 |
| Indian | (28.05,28.1] | 3 | cstar_tref ~ temp + aou + phosphate_star | 1071 | 0.7701626 | 2489.9754265 | 95.191213 | 3.7871677 | 1982-1999 –> 2000-2009 | 1.2194696 | 0.4493070 | 4300.94420 | 123.315839 | 12 | 28 |
| Indian | (28.05,28.1] | 4 | cstar_tref ~ sal + temp + aou + phosphate_star | 734 | 0.4880522 | 1041.9571340 | 57.846384 | 3.8722325 | 2000-2009 –> 2010-2019 | 1.2390858 | 0.7510335 | 3480.05819 | 194.438570 | 2 | 3 |
| Indian | (28.05,28.1] | 4 | cstar_tref ~ sal + temp + phosphate + phosphate_star | 734 | 0.4882023 | 1042.4083402 | 76.078037 | 3.8723056 | 2000-2009 –> 2010-2019 | 1.2412641 | 0.7530619 | 3486.28656 | 309.198649 | 3 | 6 |
| Indian | (28.05,28.1] | 4 | cstar_tref ~ sal + temp + aou + phosphate | 734 | 0.4922477 | 1054.5225361 | 311.369360 | 3.8076323 | 2000-2009 –> 2010-2019 | 1.2449927 | 0.7527451 | 3497.49954 | 769.344198 | 9 | 11 |
| Indian | (28.05,28.1] | 4 | cstar_tref ~ sal + temp + nitrate + phosphate_star | 734 | 0.4877528 | 1041.0563279 | 59.254315 | 3.8609162 | 2000-2009 –> 2010-2019 | 1.2478759 | 0.7601230 | 3504.92563 | 251.360469 | 1 | 8 |
| Indian | (28.05,28.1] | 4 | cstar_tref ~ sal + temp + aou + nitrate | 734 | 0.4926529 | 1055.7306129 | 596.360525 | 3.5633056 | 2000-2009 –> 2010-2019 | 1.2493765 | 0.7567236 | 3509.99891 | 1263.688770 | 10 | 15 |
| Indian | (28.05,28.1] | 3 | cstar_tref ~ sal + temp + phosphate | 734 | 0.5509235 | 1217.8399390 | 20.886786 | 3.5657289 | 2000-2009 –> 2010-2019 | 1.3039877 | 0.7530642 | 3659.72483 | 55.873962 | 13 | 17 |
| Indian | (28.05,28.1] | 3 | cstar_tref ~ sal + temp + phosphate_star | 734 | 0.4892177 | 1043.4585227 | 21.132885 | 3.9043696 | 2000-2009 –> 2010-2019 | 1.3050961 | 0.8158784 | 3656.94939 | 62.237494 | 7 | 25 |
| Indian | (28.05,28.1] | 3 | cstar_tref ~ sal + aou + phosphate_star | 734 | 0.4884054 | 1041.0191866 | 28.622936 | 3.9082736 | 2000-2009 –> 2010-2019 | 1.3076628 | 0.8192574 | 3663.36279 | 103.789170 | 5 | 24 |
| Indian | (28.05,28.1] | 3 | cstar_tref ~ sal + nitrate + phosphate_star | 734 | 0.4882286 | 1040.4876419 | 28.042700 | 3.9064661 | 2000-2009 –> 2010-2019 | 1.3085049 | 0.8202763 | 3665.49369 | 102.140612 | 4 | 24 |
| Indian | (28.05,28.1] | 3 | cstar_tref ~ sal + phosphate + phosphate_star | 734 | 0.4885490 | 1041.4505012 | 28.678181 | 3.9078488 | 2000-2009 –> 2010-2019 | 1.3096290 | 0.8210801 | 3668.55438 | 101.696823 | 6 | 27 |
| Indian | (28.1,28.2] | 5 | cstar_tref ~ sal + temp + aou + nitrate + phosphate | 3154 | 0.8575491 | 7995.2708039 | 291.432183 | 10.8710024 | 1982-1999 –> 2000-2009 | 1.2878360 | 0.4302869 | 12760.56562 | 522.856163 | 2 | 3 |
| Indian | (28.1,28.2] | 5 | cstar_tref ~ sal + temp + aou + nitrate + phosphate_star | 3154 | 0.8572344 | 7992.9556900 | 324.745004 | 10.6966691 | 1982-1999 –> 2000-2009 | 1.2895219 | 0.4322875 | 12796.53806 | 524.790634 | 1 | 3 |
| Indian | (28.1,28.2] | 5 | cstar_tref ~ sal + aou + nitrate + phosphate + phosphate_star | 3154 | 0.8618342 | 8026.7126892 | 530.520789 | 10.8726137 | 1982-1999 –> 2000-2009 | 1.2956155 | 0.4337813 | 12858.76835 | 1283.393339 | 4 | 7 |
| Indian | (28.1,28.2] | 5 | cstar_tref ~ sal + temp + nitrate + phosphate + phosphate_star | 3154 | 0.8684510 | 8074.9578428 | 278.853841 | 10.9989960 | 1982-1999 –> 2000-2009 | 1.3025522 | 0.4341012 | 12913.09804 | 500.472316 | 6 | 10 |
| Indian | (28.1,28.2] | 4 | cstar_tref ~ sal + nitrate + phosphate + phosphate_star | 3154 | 0.8793532 | 8151.6530453 | 263.537650 | 10.9317272 | 1982-1999 –> 2000-2009 | 1.3138726 | 0.4345194 | 12995.74232 | 449.196893 | 9 | 14 |
| Indian | (28.1,28.2] | 4 | cstar_tref ~ sal + aou + nitrate + phosphate_star | 3154 | 0.8663820 | 8057.9118832 | 265.344459 | 11.0387729 | 1982-1999 –> 2000-2009 | 1.3143206 | 0.4479386 | 13153.05106 | 456.151227 | 5 | 11 |
| Indian | (28.1,28.2] | 4 | cstar_tref ~ sal + temp + aou + phosphate | 3154 | 0.9059010 | 8339.2744666 | 60.420878 | 11.9000853 | 1982-1999 –> 2000-2009 | 1.3701846 | 0.4642836 | 13730.23133 | 127.539389 | 10 | 17 |
| Indian | (28.1,28.2] | 4 | cstar_tref ~ sal + temp + aou + nitrate | 3154 | 0.8575608 | 7993.3566765 | 55.724986 | 10.8457771 | 1982-1999 –> 2000-2009 | 1.3722624 | 0.5147016 | 14235.23273 | 115.923191 | 3 | 18 |
| Indian | (28.1,28.2] | 4 | cstar_tref ~ sal + aou + phosphate + phosphate_star | 3154 | 0.9143197 | 8397.6253030 | 509.024383 | 11.9852745 | 1982-1999 –> 2000-2009 | 1.3839493 | 0.4696296 | 13883.08076 | 1223.057188 | 11 | 21 |
| Indian | (28.1,28.2] | 4 | cstar_tref ~ sal + temp + aou + phosphate_star | 3154 | 0.9176555 | 8420.5977791 | 23.283698 | 12.0352402 | 1982-1999 –> 2000-2009 | 1.3860162 | 0.4683607 | 13883.72077 | 39.035693 | 12 | 20 |
| Indian | (28.1,28.2] | 5 | cstar_tref ~ sal + temp + aou + nitrate + phosphate | 2101 | 0.5176691 | 3209.7026481 | 275.224309 | 5.2087975 | 2000-2009 –> 2010-2019 | 1.3752182 | 0.8575491 | 11204.97345 | 566.656491 | 1 | 3 |
| Indian | (28.1,28.2] | 5 | cstar_tref ~ sal + temp + aou + nitrate + phosphate_star | 2101 | 0.5211964 | 3238.2371968 | 260.037648 | 5.2692988 | 2000-2009 –> 2010-2019 | 1.3784308 | 0.8572344 | 11231.19289 | 584.782652 | 2 | 3 |
| Indian | (28.1,28.2] | 5 | cstar_tref ~ sal + aou + nitrate + phosphate + phosphate_star | 2101 | 0.5270173 | 3284.9064910 | 995.036829 | 5.4608783 | 2000-2009 –> 2010-2019 | 1.3888515 | 0.8618342 | 11311.61918 | 1525.557619 | 3 | 7 |
| Indian | (28.1,28.2] | 5 | cstar_tref ~ sal + temp + nitrate + phosphate + phosphate_star | 2101 | 0.5293992 | 3303.8555112 | 266.692650 | 5.5330940 | 2000-2009 –> 2010-2019 | 1.3978502 | 0.8684510 | 11378.81335 | 545.546491 | 4 | 10 |
| Indian | (28.1,28.2] | 4 | cstar_tref ~ sal + temp + aou + nitrate | 2101 | 0.5487608 | 3452.7900877 | 83.998037 | 4.4202574 | 2000-2009 –> 2010-2019 | 1.4063215 | 0.8575608 | 11446.14676 | 139.723023 | 6 | 9 |
| Indian | (28.1,28.2] | 4 | cstar_tref ~ sal + nitrate + phosphate + phosphate_star | 2101 | 0.5315003 | 3318.4989688 | 207.056446 | 5.5131074 | 2000-2009 –> 2010-2019 | 1.4108534 | 0.8793532 | 11470.15201 | 470.594096 | 5 | 14 |
| Indian | (28.1,28.2] | 4 | cstar_tref ~ sal + aou + nitrate + phosphate_star | 2101 | 0.5517730 | 3475.7928994 | 259.890879 | 5.5604733 | 2000-2009 –> 2010-2019 | 1.4181550 | 0.8663820 | 11533.70478 | 525.235338 | 7 | 12 |
| Indian | (28.1,28.2] | 4 | cstar_tref ~ sal + aou + nitrate + phosphate | 2101 | 0.5921952 | 3772.8723159 | 248.223635 | 4.8602596 | 2000-2009 –> 2010-2019 | 1.4620923 | 0.8698971 | 11856.32512 | 533.755382 | 8 | 15 |
| Indian | (28.1,28.2] | 3 | cstar_tref ~ sal + aou + nitrate | 2101 | 0.6000682 | 3826.3681916 | 63.667370 | 4.4571959 | 2000-2009 –> 2010-2019 | 1.4701213 | 0.8700531 | 11908.95199 | 101.287800 | 9 | 17 |
| Indian | (28.1,28.2] | 4 | cstar_tref ~ sal + temp + aou + phosphate | 2101 | 0.6007266 | 3832.9758364 | 93.017265 | 5.9799355 | 2000-2009 –> 2010-2019 | 1.5066276 | 0.9059010 | 12172.25030 | 153.438144 | 10 | 20 |
| Indian | (28.2,28.3] | 4 | cstar_tref ~ sal + temp + aou + phosphate_star | 799 | 0.2460453 | 38.6847424 | 30.524585 | 1.2800110 | 1982-1999 –> 2000-2009 | 0.3630148 | 0.1169696 | -1144.34370 | 44.840795 | 1 | 5 |
| Indian | (28.2,28.3] | 4 | cstar_tref ~ sal + temp + phosphate + phosphate_star | 799 | 0.2497952 | 62.8556034 | 26.822221 | 1.2520557 | 1982-1999 –> 2000-2009 | 0.3672131 | 0.1174179 | -1113.88302 | 41.163237 | 2 | 8 |
| Indian | (28.2,28.3] | 4 | cstar_tref ~ sal + temp + aou + phosphate | 799 | 0.2502302 | 65.6360117 | 34.268627 | 1.2422913 | 1982-1999 –> 2000-2009 | 0.3678517 | 0.1176215 | -1108.25453 | 48.402925 | 3 | 10 |
| Indian | (28.2,28.3] | 4 | cstar_tref ~ sal + aou + phosphate + phosphate_star | 799 | 0.2508921 | 69.8577849 | 309.604281 | 1.2434337 | 1982-1999 –> 2000-2009 | 0.3682816 | 0.1173895 | -1107.27944 | 398.635041 | 4 | 9 |
| Indian | (28.2,28.3] | 3 | cstar_tref ~ sal + phosphate + phosphate_star | 799 | 0.2608499 | 130.0549750 | 19.206174 | 1.2384524 | 1982-1999 –> 2000-2009 | 0.3786637 | 0.1178139 | -1043.14975 | 33.378858 | 7 | 15 |
| Indian | (28.2,28.3] | 4 | cstar_tref ~ sal + temp + nitrate + phosphate_star | 799 | 0.2604881 | 129.8370162 | 27.045945 | 1.6498318 | 1982-1999 –> 2000-2009 | 0.3930921 | 0.1326040 | -846.94604 | 40.594142 | 6 | 23 |
| Indian | (28.2,28.3] | 3 | cstar_tref ~ sal + aou + phosphate | 799 | 0.2562422 | 101.5753322 | 28.820908 | 1.3485419 | 1982-1999 –> 2000-2009 | 0.3943028 | 0.1380607 | -810.91179 | 38.227909 | 5 | 26 |
| Indian | (28.2,28.3] | 4 | cstar_tref ~ sal + aou + nitrate + phosphate_star | 799 | 0.2704574 | 189.8539512 | 321.160146 | 1.7253161 | 1982-1999 –> 2000-2009 | 0.4010930 | 0.1306356 | -811.51543 | 398.442624 | 13 | 28 |
| Indian | (28.2,28.3] | 4 | cstar_tref ~ sal + temp + nitrate + phosphate | 799 | 0.2624326 | 141.7216381 | 777.288722 | 1.0063211 | 1982-1999 –> 2000-2009 | 0.4058705 | 0.1434379 | -705.95010 | 1270.930445 | 8 | 30 |
| Indian | (28.2,28.3] | 3 | cstar_tref ~ sal + nitrate + phosphate | 799 | 0.2640616 | 149.6100301 | 745.040501 | 1.0104767 | 1982-1999 –> 2000-2009 | 0.4096918 | 0.1456302 | -675.12472 | 1237.050811 | 9 | 32 |
| Indian | (28.2,28.3] | 4 | cstar_tref ~ sal + temp + aou + phosphate_star | 554 | 0.0910799 | -1070.6047706 | 27.875342 | 0.4916359 | 2000-2009 –> 2010-2019 | 0.3371251 | 0.2460453 | -1031.92003 | 58.399927 | 5 | 6 |
| Indian | (28.2,28.3] | 4 | cstar_tref ~ sal + temp + phosphate + phosphate_star | 554 | 0.0910372 | -1071.1241299 | 59.269924 | 0.4989735 | 2000-2009 –> 2010-2019 | 0.3408323 | 0.2497952 | -1008.26853 | 86.092145 | 3 | 5 |
| Indian | (28.2,28.3] | 4 | cstar_tref ~ sal + temp + aou + phosphate | 554 | 0.0910453 | -1071.0254523 | 80.380228 | 0.4969084 | 2000-2009 –> 2010-2019 | 0.3412755 | 0.2502302 | -1005.38944 | 114.648855 | 4 | 7 |
| Indian | (28.2,28.3] | 4 | cstar_tref ~ sal + aou + phosphate + phosphate_star | 554 | 0.0910366 | -1071.1313617 | 287.427298 | 0.4991905 | 2000-2009 –> 2010-2019 | 0.3419287 | 0.2508921 | -1001.27358 | 597.031580 | 2 | 6 |
| Indian | (28.2,28.3] | 3 | cstar_tref ~ sal + phosphate + phosphate_star | 554 | 0.0912261 | -1070.8273132 | 39.995657 | 0.4764816 | 2000-2009 –> 2010-2019 | 0.3520759 | 0.2608499 | -940.77234 | 59.201830 | 6 | 13 |
| Indian | (28.2,28.3] | 4 | cstar_tref ~ sal + temp + nitrate + phosphate_star | 554 | 0.0924573 | -1053.9737922 | 49.977626 | 0.5298655 | 2000-2009 –> 2010-2019 | 0.3529453 | 0.2604881 | -924.13678 | 77.023571 | 7 | 13 |
| Indian | (28.2,28.3] | 3 | cstar_tref ~ sal + aou + phosphate | 554 | 0.0989114 | -981.2085363 | 17.862648 | 0.3335904 | 2000-2009 –> 2010-2019 | 0.3551535 | 0.2562422 | -879.63320 | 46.683556 | 13 | 18 |
| Indian | (28.2,28.3] | 4 | cstar_tref ~ sal + temp + aou + nitrate | 554 | 0.0899779 | -1084.0920266 | 90.956638 | 0.5465894 | 2000-2009 –> 2010-2019 | 0.3563492 | 0.2663713 | -918.56507 | 129.763375 | 1 | 11 |
| Indian | (28.2,28.3] | 4 | cstar_tref ~ sal + aou + nitrate + phosphate_star | 554 | 0.0933489 | -1043.3397729 | 246.733881 | 0.5001824 | 2000-2009 –> 2010-2019 | 0.3638063 | 0.2704574 | -853.48582 | 567.894027 | 8 | 19 |
| Indian | (28.2,28.3] | 3 | cstar_tref ~ sal + aou + nitrate | 554 | 0.0953037 | -1022.3768472 | 20.067946 | 0.4190673 | 2000-2009 –> 2010-2019 | 0.3666012 | 0.2712975 | -829.56670 | 52.226528 | 10 | 22 |
| Indian | (28.3, Inf] | 3 | cstar_tref ~ temp + aou + phosphate | 56 | 0.0013607 | -570.2526910 | 33.821684 | 0.0044871 | 1982-1999 –> 2000-2009 | 0.0088808 | 0.0075201 | -1219.78680 | 102.537802 | 11 | 12 |
| Indian | (28.3, Inf] | 3 | cstar_tref ~ temp + phosphate + phosphate_star | 56 | 0.0013667 | -569.7611098 | 59.917443 | 0.0045159 | 1982-1999 –> 2000-2009 | 0.0089517 | 0.0075850 | -1217.66267 | 100.589640 | 12 | 14 |
| Indian | (28.3, Inf] | 3 | cstar_tref ~ aou + phosphate + phosphate_star | 56 | 0.0013669 | -569.7433285 | 76.110540 | 0.0045168 | 1982-1999 –> 2000-2009 | 0.0089525 | 0.0075856 | -1217.62968 | 918.850467 | 13 | 16 |
| Indian | (28.3, Inf] | 3 | cstar_tref ~ temp + aou + phosphate_star | 56 | 0.0013869 | -568.1170647 | 25.204242 | 0.0046141 | 1982-1999 –> 2000-2009 | 0.0091331 | 0.0077463 | -1212.02242 | 100.867648 | 14 | 19 |
| Indian | (28.3, Inf] | 2 | cstar_tref ~ phosphate + phosphate_star | 56 | 0.0016918 | -547.8596747 | 51.874625 | 0.0040070 | 1982-1999 –> 2000-2009 | 0.0092872 | 0.0075954 | -1197.50219 | 59.960777 | 17 | 21 |
| Indian | (28.3, Inf] | 3 | cstar_tref ~ temp + nitrate + phosphate_star | 56 | 0.0009458 | -610.9828108 | 41.515703 | 0.0036675 | 1982-1999 –> 2000-2009 | 0.0115174 | 0.0105716 | -1195.80618 | 83.746179 | 1 | 7 |
| Indian | (28.3, Inf] | 3 | cstar_tref ~ aou + nitrate + phosphate_star | 56 | 0.0009459 | -610.9821474 | 53.757091 | 0.0036692 | 1982-1999 –> 2000-2009 | 0.0116256 | 0.0106798 | -1193.87023 | 941.516055 | 2 | 9 |
| Indian | (28.3, Inf] | 2 | cstar_tref ~ nitrate + phosphate_star | 56 | 0.0009615 | -611.1415383 | 34.972526 | 0.0035164 | 1982-1999 –> 2000-2009 | 0.0118323 | 0.0108708 | -1192.66142 | 46.274535 | 3 | 11 |
| Indian | (28.3, Inf] | 3 | cstar_tref ~ temp + aou + nitrate | 56 | 0.0011693 | -587.2289738 | 36.351364 | 0.0029965 | 1982-1999 –> 2000-2009 | 0.0149733 | 0.0138040 | -1121.36205 | 130.318729 | 7 | 16 |
| Indian | (28.3, Inf] | 2 | cstar_tref ~ nitrate + phosphate | 56 | 0.0033639 | -470.8802639 | 997.752189 | 0.0078225 | 1982-1999 –> 2000-2009 | 0.0311611 | 0.0277973 | -874.01739 | 1300.050094 | 19 | 29 |
| Pacific | (-Inf,26] | 5 | cstar_tref ~ sal + aou + nitrate + phosphate + phosphate_star | 3238 | 7.6866088 | 22410.7164571 | 109.037828 | 127.3689020 | 1982-1999 –> 2000-2009 | 16.3689582 | 8.6823495 | 34103.42900 | 258.640532 | 1 | 2 |
| Pacific | (-Inf,26] | 5 | cstar_tref ~ sal + temp + aou + nitrate + phosphate_star | 3238 | 8.2405009 | 22861.3258606 | 53.842462 | 133.0020028 | 1982-1999 –> 2000-2009 | 17.5756622 | 9.3351613 | 34790.51999 | 105.520495 | 2 | 5 |
| Pacific | (-Inf,26] | 5 | cstar_tref ~ sal + temp + aou + nitrate + phosphate | 3238 | 8.3641136 | 22957.7485118 | 53.591176 | 127.0408929 | 1982-1999 –> 2000-2009 | 17.6901942 | 9.3260806 | 34883.76801 | 106.366231 | 3 | 5 |
| Pacific | (-Inf,26] | 4 | cstar_tref ~ sal + temp + aou + nitrate | 3238 | 8.5558971 | 23102.5619893 | 26.916792 | 104.4103073 | 1982-1999 –> 2000-2009 | 17.8914368 | 9.3355398 | 35029.88837 | 51.456416 | 4 | 8 |
| Pacific | (-Inf,26] | 5 | cstar_tref ~ sal + temp + nitrate + phosphate + phosphate_star | 3238 | 9.0947326 | 23500.0814109 | 69.839704 | 123.6393014 | 1982-1999 –> 2000-2009 | 19.1912561 | 10.0965235 | 35685.02645 | 133.824274 | 5 | 10 |
| Pacific | (-Inf,26] | 4 | cstar_tref ~ aou + nitrate + phosphate + phosphate_star | 3238 | 10.3499858 | 24335.3617349 | 85.061278 | 130.2485284 | 1982-1999 –> 2000-2009 | 20.5038256 | 10.1538398 | 36536.77227 | 174.665289 | 8 | 14 |
| Pacific | (-Inf,26] | 4 | cstar_tref ~ temp + aou + nitrate + phosphate | 3238 | 10.3089654 | 24309.6442429 | 53.567709 | 130.6720331 | 1982-1999 –> 2000-2009 | 20.6078846 | 10.2989192 | 36557.33283 | 103.839383 | 7 | 14 |
| Pacific | (-Inf,26] | 4 | cstar_tref ~ temp + aou + nitrate + phosphate_star | 3238 | 10.3073798 | 24308.6481023 | 53.523263 | 130.6843663 | 1982-1999 –> 2000-2009 | 20.6395680 | 10.3321882 | 36566.85707 | 102.423828 | 6 | 14 |
| Pacific | (-Inf,26] | 3 | cstar_tref ~ temp + aou + nitrate | 3238 | 10.3791688 | 24351.5958850 | 26.783713 | 115.3827865 | 1982-1999 –> 2000-2009 | 20.7815591 | 10.4023903 | 36629.89358 | 51.277583 | 9 | 18 |
| Pacific | (-Inf,26] | 4 | cstar_tref ~ temp + nitrate + phosphate + phosphate_star | 3238 | 10.4861073 | 24419.9779371 | 68.866066 | 129.0733117 | 1982-1999 –> 2000-2009 | 21.2485371 | 10.7624298 | 36811.26754 | 132.711726 | 10 | 20 |
| Pacific | (-Inf,26] | 5 | cstar_tref ~ sal + aou + nitrate + phosphate + phosphate_star | 4970 | 8.4284951 | 35306.5343301 | 144.421173 | 116.9245682 | 2000-2009 –> 2010-2019 | 16.1151039 | 7.6866088 | 57717.25079 | 253.459001 | 1 | 2 |
| Pacific | (-Inf,26] | 5 | cstar_tref ~ sal + temp + aou + nitrate + phosphate_star | 4970 | 8.6702938 | 35587.6816555 | 64.505937 | 139.8485927 | 2000-2009 –> 2010-2019 | 16.9107948 | 8.2405009 | 58449.00752 | 118.348399 | 2 | 4 |
| Pacific | (-Inf,26] | 5 | cstar_tref ~ sal + temp + aou + nitrate + phosphate | 4970 | 8.6980800 | 35619.4859520 | 73.950032 | 133.7646005 | 2000-2009 –> 2010-2019 | 17.0621936 | 8.3641136 | 58577.23446 | 127.541208 | 3 | 6 |
| Pacific | (-Inf,26] | 4 | cstar_tref ~ sal + temp + aou + nitrate | 4970 | 8.7035981 | 35623.7900108 | 31.590377 | 128.6578719 | 2000-2009 –> 2010-2019 | 17.2594952 | 8.5558971 | 58726.35200 | 58.507170 | 4 | 8 |
| Pacific | (-Inf,26] | 5 | cstar_tref ~ sal + temp + nitrate + phosphate + phosphate_star | 4970 | 9.5935580 | 36593.5018630 | 103.194335 | 141.8009201 | 2000-2009 –> 2010-2019 | 18.6882906 | 9.0947326 | 60093.58327 | 173.034039 | 5 | 10 |
| Pacific | (-Inf,26] | 4 | cstar_tref ~ temp + aou + nitrate + phosphate_star | 4970 | 10.1721068 | 37173.5635217 | 64.151187 | 135.8719089 | 2000-2009 –> 2010-2019 | 20.4794866 | 10.3073798 | 61482.21162 | 117.674450 | 7 | 13 |
| Pacific | (-Inf,26] | 4 | cstar_tref ~ temp + aou + nitrate + phosphate | 4970 | 10.1715943 | 37173.0627490 | 73.942336 | 136.7548379 | 2000-2009 –> 2010-2019 | 20.4805597 | 10.3089654 | 61482.70699 | 127.510045 | 6 | 13 |
| Pacific | (-Inf,26] | 3 | cstar_tref ~ temp + aou + nitrate | 4970 | 10.1726069 | 37172.0522333 | 31.576512 | 134.3857868 | 2000-2009 –> 2010-2019 | 20.5517757 | 10.3791688 | 61523.64812 | 58.360226 | 8 | 17 |
| Pacific | (-Inf,26] | 4 | cstar_tref ~ aou + nitrate + phosphate + phosphate_star | 4970 | 10.3569884 | 37352.6043138 | 115.280383 | 124.9272790 | 2000-2009 –> 2010-2019 | 20.7069742 | 10.3499858 | 61687.96605 | 200.341660 | 9 | 17 |
| Pacific | (-Inf,26] | 4 | cstar_tref ~ temp + nitrate + phosphate + phosphate_star | 4970 | 10.5044924 | 37493.1709306 | 101.871594 | 148.1679441 | 2000-2009 –> 2010-2019 | 20.9905996 | 10.4861073 | 61913.14887 | 170.737660 | 10 | 20 |
| Pacific | (26,26.5] | 5 | cstar_tref ~ sal + temp + aou + nitrate + phosphate | 2288 | 8.4473361 | 16271.5655223 | 86.979379 | 41.4861701 | 1982-1999 –> 2000-2009 | 17.5229899 | 9.0756538 | 27072.17856 | 195.730054 | 1 | 2 |
| Pacific | (26,26.5] | 5 | cstar_tref ~ sal + temp + aou + nitrate + phosphate_star | 2288 | 8.6644879 | 16387.7121021 | 25.827200 | 49.5747798 | 1982-1999 –> 2000-2009 | 17.9098804 | 9.2453925 | 27243.47014 | 47.205510 | 2 | 4 |
| Pacific | (26,26.5] | 5 | cstar_tref ~ sal + temp + nitrate + phosphate + phosphate_star | 2288 | 8.8513637 | 16485.3580954 | 42.265381 | 55.1246869 | 1982-1999 –> 2000-2009 | 18.2131541 | 9.3617903 | 27378.34954 | 77.746530 | 3 | 8 |
| Pacific | (26,26.5] | 4 | cstar_tref ~ aou + nitrate + phosphate + phosphate_star | 2288 | 10.2668051 | 17162.1817955 | 452.595603 | 44.3642662 | 1982-1999 –> 2000-2009 | 19.5134271 | 9.2466221 | 28016.33558 | 990.752108 | 4 | 7 |
| Pacific | (26,26.5] | 4 | cstar_tref ~ temp + aou + nitrate + phosphate | 2288 | 10.3574482 | 17202.4048830 | 84.756828 | 53.7067880 | 1982-1999 –> 2000-2009 | 19.7088052 | 9.3513570 | 28090.07784 | 193.435647 | 6 | 10 |
| Pacific | (26,26.5] | 4 | cstar_tref ~ temp + aou + nitrate + phosphate_star | 2288 | 10.4887224 | 17260.0383993 | 19.367580 | 61.0968970 | 1982-1999 –> 2000-2009 | 19.9724426 | 9.4837202 | 28189.53963 | 40.745158 | 7 | 13 |
| Pacific | (26,26.5] | 4 | cstar_tref ~ temp + nitrate + phosphate + phosphate_star | 2288 | 10.6049942 | 17310.4860955 | 41.315902 | 66.0397461 | 1982-1999 –> 2000-2009 | 20.1841236 | 9.5791295 | 28269.77725 | 76.796320 | 9 | 16 |
| Pacific | (26,26.5] | 4 | cstar_tref ~ sal + aou + phosphate + phosphate_star | 2288 | 10.3436378 | 17196.2993046 | 787.624793 | 37.8546115 | 1982-1999 –> 2000-2009 | 20.2681394 | 9.9245016 | 28261.00005 | 1739.463081 | 5 | 13 |
| Pacific | (26,26.5] | 4 | cstar_tref ~ sal + temp + aou + phosphate | 2288 | 10.5988914 | 17307.8520373 | 79.643780 | 46.1875195 | 1982-1999 –> 2000-2009 | 20.6556558 | 10.0567644 | 28411.95168 | 161.440429 | 8 | 17 |
| Pacific | (26,26.5] | 4 | cstar_tref ~ sal + temp + aou + phosphate_star | 2288 | 10.8047304 | 17395.8697010 | 21.838845 | 53.5744907 | 1982-1999 –> 2000-2009 | 20.9888097 | 10.1840792 | 28537.40789 | 33.390630 | 10 | 21 |
| Pacific | (26,26.5] | 5 | cstar_tref ~ sal + aou + nitrate + phosphate + phosphate_star | 2706 | 9.1173070 | 19654.7596092 | 529.609014 | 38.6429745 | 2000-2009 –> 2010-2019 | 17.3242619 | 8.2069549 | 35794.21976 | 1433.368647 | 1 | 2 |
| Pacific | (26,26.5] | 5 | cstar_tref ~ sal + temp + aou + nitrate + phosphate | 2706 | 9.4272092 | 19835.6590976 | 58.837610 | 38.5605797 | 2000-2009 –> 2010-2019 | 17.8745453 | 8.4473361 | 36107.22462 | 145.816989 | 2 | 4 |
| Pacific | (26,26.5] | 5 | cstar_tref ~ sal + temp + aou + nitrate + phosphate_star | 2706 | 9.7363479 | 20010.2826018 | 19.475967 | 47.6534541 | 2000-2009 –> 2010-2019 | 18.4008357 | 8.6644879 | 36397.99470 | 45.303167 | 3 | 6 |
| Pacific | (26,26.5] | 5 | cstar_tref ~ sal + temp + nitrate + phosphate + phosphate_star | 2706 | 10.0537691 | 20183.9077274 | 36.647322 | 55.5507004 | 2000-2009 –> 2010-2019 | 18.9051328 | 8.8513637 | 36669.26582 | 78.912703 | 4 | 8 |
| Pacific | (26,26.5] | 4 | cstar_tref ~ aou + nitrate + phosphate + phosphate_star | 2706 | 11.3124372 | 20820.2810830 | 322.046393 | 43.8134261 | 2000-2009 –> 2010-2019 | 21.5792423 | 10.2668051 | 37982.46288 | 774.641997 | 5 | 10 |
| Pacific | (26,26.5] | 4 | cstar_tref ~ temp + aou + nitrate + phosphate | 2706 | 11.5235935 | 20920.3694100 | 58.731726 | 54.7901457 | 2000-2009 –> 2010-2019 | 21.8810416 | 10.3574482 | 38122.77429 | 143.488553 | 6 | 13 |
| Pacific | (26,26.5] | 4 | cstar_tref ~ sal + aou + phosphate + phosphate_star | 2706 | 11.5496533 | 20932.5944662 | 504.080723 | 57.1900366 | 2000-2009 –> 2010-2019 | 21.8932911 | 10.3436378 | 38128.89377 | 1291.705516 | 7 | 13 |
| Pacific | (26,26.5] | 4 | cstar_tref ~ temp + aou + nitrate + phosphate_star | 2706 | 11.7802234 | 21039.5719786 | 19.368181 | 64.2796859 | 2000-2009 –> 2010-2019 | 22.2689459 | 10.4887224 | 38299.61038 | 38.735761 | 8 | 16 |
| Pacific | (26,26.5] | 4 | cstar_tref ~ temp + nitrate + phosphate + phosphate_star | 2706 | 12.0406823 | 21157.9268171 | 36.578623 | 71.9274161 | 2000-2009 –> 2010-2019 | 22.6456765 | 10.6049942 | 38468.41291 | 77.894525 | 9 | 19 |
| Pacific | (26,26.5] | 4 | cstar_tref ~ sal + temp + aou + phosphate | 2706 | 12.1107840 | 21189.3445136 | 52.050480 | 57.6777670 | 2000-2009 –> 2010-2019 | 22.7096755 | 10.5988914 | 38497.19655 | 131.694260 | 10 | 19 |
| Pacific | (26.5,26.75] | 5 | cstar_tref ~ sal + temp + aou + nitrate + phosphate | 1749 | 9.5011858 | 12852.9023107 | 303.241918 | 40.1792015 | 1982-1999 –> 2000-2009 | 18.3824738 | 8.8812880 | 21189.56695 | 700.009420 | 4 | 5 |
| Pacific | (26.5,26.75] | 5 | cstar_tref ~ sal + temp + aou + nitrate + phosphate_star | 1749 | 9.4967161 | 12851.2563070 | 81.676772 | 41.0718891 | 1982-1999 –> 2000-2009 | 18.3977759 | 8.9010599 | 21193.05784 | 134.092180 | 2 | 4 |
| Pacific | (26.5,26.75] | 5 | cstar_tref ~ sal + temp + nitrate + phosphate + phosphate_star | 1749 | 9.4929826 | 12849.8808816 | 99.364235 | 41.4303696 | 1982-1999 –> 2000-2009 | 18.4000449 | 8.9070622 | 21193.23963 | 163.883994 | 1 | 4 |
| Pacific | (26.5,26.75] | 4 | cstar_tref ~ sal + temp + nitrate + phosphate_star | 1749 | 9.4995546 | 12850.3017002 | 24.133849 | 40.3664689 | 1982-1999 –> 2000-2009 | 18.4451574 | 8.9456028 | 21201.63416 | 42.819315 | 3 | 7 |
| Pacific | (26.5,26.75] | 4 | cstar_tref ~ sal + temp + nitrate + phosphate | 1749 | 9.5012214 | 12850.9154080 | 17.793846 | 40.0899647 | 1982-1999 –> 2000-2009 | 18.4838040 | 8.9825826 | 21211.77739 | 33.022471 | 5 | 10 |
| Pacific | (26.5,26.75] | 4 | cstar_tref ~ sal + temp + aou + nitrate | 1749 | 9.5012458 | 12850.9243749 | 19.792307 | 40.0623954 | 1982-1999 –> 2000-2009 | 18.5032881 | 9.0020423 | 21216.78529 | 35.029537 | 6 | 14 |
| Pacific | (26.5,26.75] | 3 | cstar_tref ~ sal + temp + nitrate | 1749 | 9.5013477 | 12848.9619039 | 17.416861 | 40.0673400 | 1982-1999 –> 2000-2009 | 18.5452247 | 9.0438770 | 21223.53308 | 32.549878 | 7 | 20 |
| Pacific | (26.5,26.75] | 4 | cstar_tref ~ sal + nitrate + phosphate + phosphate_star | 1749 | 9.5017928 | 12851.1257607 | 13.743730 | 42.3508180 | 1982-1999 –> 2000-2009 | 18.5581023 | 9.0563095 | 21230.87029 | 32.457992 | 8 | 22 |
| Pacific | (26.5,26.75] | 4 | cstar_tref ~ sal + temp + phosphate + phosphate_star | 1749 | 9.5618710 | 12873.1733732 | 52.584979 | 44.2125690 | 1982-1999 –> 2000-2009 | 18.5627156 | 9.0008447 | 21238.72695 | 86.670369 | 11 | 18 |
| Pacific | (26.5,26.75] | 4 | cstar_tref ~ sal + temp + aou + phosphate_star | 1749 | 9.5785793 | 12879.2804068 | 47.021897 | 44.1377502 | 1982-1999 –> 2000-2009 | 18.5816008 | 9.0030215 | 21245.39258 | 77.708492 | 13 | 22 |
| Pacific | (26.5,26.75] | 5 | cstar_tref ~ sal + temp + nitrate + phosphate + phosphate_star | 2144 | 11.6807583 | 16638.0675903 | 68.253720 | 37.9589672 | 2000-2009 –> 2010-2019 | 21.1737410 | 9.4929826 | 29487.94847 | 167.617954 | 1 | 2 |
| Pacific | (26.5,26.75] | 5 | cstar_tref ~ sal + temp + aou + nitrate + phosphate_star | 2144 | 11.6815665 | 16638.3642593 | 54.851318 | 37.8795670 | 2000-2009 –> 2010-2019 | 21.1782826 | 9.4967161 | 29489.62057 | 136.528091 | 2 | 4 |
| Pacific | (26.5,26.75] | 4 | cstar_tref ~ sal + temp + nitrate + phosphate_star | 2144 | 11.6819587 | 16636.5082375 | 18.871650 | 37.7733318 | 2000-2009 –> 2010-2019 | 21.1815134 | 9.4995546 | 29486.80994 | 43.005499 | 3 | 6 |
| Pacific | (26.5,26.75] | 4 | cstar_tref ~ sal + nitrate + phosphate + phosphate_star | 2144 | 11.6821727 | 16636.5867807 | 14.540055 | 38.0255131 | 2000-2009 –> 2010-2019 | 21.1839655 | 9.5017928 | 29487.71254 | 28.283785 | 4 | 12 |
| Pacific | (26.5,26.75] | 5 | cstar_tref ~ sal + temp + aou + nitrate + phosphate | 2144 | 11.6845617 | 16639.4635915 | 272.642547 | 37.6635140 | 2000-2009 –> 2010-2019 | 21.1857476 | 9.5011858 | 29492.36590 | 575.884465 | 5 | 9 |
| Pacific | (26.5,26.75] | 4 | cstar_tref ~ sal + temp + nitrate + phosphate | 2144 | 11.6850504 | 16637.6429294 | 13.993094 | 37.5137005 | 2000-2009 –> 2010-2019 | 21.1862718 | 9.5012214 | 29488.55834 | 31.786939 | 7 | 12 |
| Pacific | (26.5,26.75] | 4 | cstar_tref ~ sal + temp + aou + nitrate | 2144 | 11.6857904 | 16637.9144710 | 15.195547 | 37.4123174 | 2000-2009 –> 2010-2019 | 21.1870362 | 9.5012458 | 29488.83885 | 34.987854 | 8 | 14 |
| Pacific | (26.5,26.75] | 3 | cstar_tref ~ sal + temp + nitrate | 2144 | 11.6906397 | 16637.6934853 | 13.832635 | 37.3046422 | 2000-2009 –> 2010-2019 | 21.1919874 | 9.5013477 | 29486.65539 | 31.249496 | 9 | 16 |
| Pacific | (26.5,26.75] | 4 | cstar_tref ~ sal + aou + nitrate + phosphate_star | 2144 | 11.6850217 | 16637.6323985 | 11.174105 | 37.9521283 | 2000-2009 –> 2010-2019 | 21.2003817 | 9.5153600 | 29493.74923 | 21.014688 | 6 | 15 |
| Pacific | (26.5,26.75] | 4 | cstar_tref ~ sal + aou + nitrate + phosphate | 2144 | 11.6993266 | 16642.8785834 | 115.986170 | 37.5366510 | 2000-2009 –> 2010-2019 | 21.2598436 | 9.5605170 | 29515.55662 | 224.372423 | 11 | 21 |
| Pacific | (26.75,27] | 5 | cstar_tref ~ sal + temp + nitrate + phosphate + phosphate_star | 2438 | 6.4291438 | 16006.2068255 | 46.966143 | 27.2673697 | 1982-1999 –> 2000-2009 | 12.5673919 | 6.1382481 | 24485.45198 | 103.067537 | 1 | 2 |
| Pacific | (26.75,27] | 4 | cstar_tref ~ temp + nitrate + phosphate + phosphate_star | 2438 | 6.4366905 | 16009.9270090 | 12.639319 | 26.5848591 | 1982-1999 –> 2000-2009 | 12.5755892 | 6.1388987 | 24487.44966 | 24.912178 | 3 | 5 |
| Pacific | (26.75,27] | 4 | cstar_tref ~ sal + temp + phosphate + phosphate_star | 2438 | 6.4346983 | 16008.4176229 | 28.704693 | 27.7114875 | 1982-1999 –> 2000-2009 | 12.5774601 | 6.1427618 | 24487.58720 | 60.259111 | 2 | 5 |
| Pacific | (26.75,27] | 3 | cstar_tref ~ temp + phosphate + phosphate_star | 2438 | 6.4547694 | 16021.6032282 | 7.626562 | 26.9091439 | 1982-1999 –> 2000-2009 | 12.5975786 | 6.1428091 | 24498.79298 | 14.358185 | 4 | 8 |
| Pacific | (26.75,27] | 5 | cstar_tref ~ sal + temp + aou + nitrate + phosphate_star | 2438 | 6.4569362 | 16027.2397369 | 40.756782 | 27.0461373 | 1982-1999 –> 2000-2009 | 12.6278694 | 6.1709332 | 24520.38830 | 89.996443 | 5 | 10 |
| Pacific | (26.75,27] | 4 | cstar_tref ~ temp + aou + nitrate + phosphate_star | 2438 | 6.4635786 | 16030.2531848 | 9.259843 | 26.3971294 | 1982-1999 –> 2000-2009 | 12.6351108 | 6.1715323 | 24521.65591 | 17.857811 | 6 | 12 |
| Pacific | (26.75,27] | 4 | cstar_tref ~ sal + temp + aou + phosphate_star | 2438 | 6.4664210 | 16032.3970046 | 27.351693 | 27.6260594 | 1982-1999 –> 2000-2009 | 12.6394128 | 6.1729918 | 24524.41877 | 57.216591 | 7 | 14 |
| Pacific | (26.75,27] | 3 | cstar_tref ~ temp + aou + phosphate_star | 2438 | 6.4887115 | 16047.1762277 | 5.862683 | 26.7634822 | 1982-1999 –> 2000-2009 | 12.6617141 | 6.1730026 | 24537.20258 | 10.518176 | 8 | 16 |
| Pacific | (26.75,27] | 5 | cstar_tref ~ sal + temp + aou + nitrate + phosphate | 2438 | 6.5014034 | 16060.7043243 | 110.065299 | 26.2629443 | 1982-1999 –> 2000-2009 | 12.7247356 | 6.2233322 | 24575.98918 | 247.055666 | 9 | 18 |
| Pacific | (26.75,27] | 4 | cstar_tref ~ temp + aou + nitrate + phosphate | 2438 | 6.5055467 | 16061.8108299 | 63.311847 | 25.7328987 | 1982-1999 –> 2000-2009 | 12.7289122 | 6.2233655 | 24575.10967 | 142.768006 | 10 | 20 |
| Pacific | (26.75,27] | 5 | cstar_tref ~ sal + temp + nitrate + phosphate + phosphate_star | 3055 | 6.7620274 | 20355.2359549 | 28.340389 | 29.5746410 | 2000-2009 –> 2010-2019 | 13.1911712 | 6.4291438 | 36361.44278 | 75.306532 | 1 | 2 |
| Pacific | (26.75,27] | 4 | cstar_tref ~ sal + temp + phosphate + phosphate_star | 3055 | 6.7690495 | 20359.5755612 | 17.152639 | 30.5929300 | 2000-2009 –> 2010-2019 | 13.2037477 | 6.4346983 | 36367.99318 | 45.857332 | 2 | 4 |
| Pacific | (26.75,27] | 4 | cstar_tref ~ temp + nitrate + phosphate + phosphate_star | 3055 | 6.7909790 | 20379.3315205 | 10.564358 | 28.5488346 | 2000-2009 –> 2010-2019 | 13.2276695 | 6.4366905 | 36389.25853 | 23.203677 | 3 | 6 |
| Pacific | (26.75,27] | 5 | cstar_tref ~ sal + temp + aou + nitrate + phosphate_star | 3055 | 6.7919821 | 20382.2336895 | 24.618976 | 29.4019535 | 2000-2009 –> 2010-2019 | 13.2489183 | 6.4569362 | 36409.47343 | 65.375758 | 4 | 9 |
| Pacific | (26.75,27] | 4 | cstar_tref ~ sal + temp + aou + phosphate_star | 3055 | 6.8024789 | 20389.6660925 | 16.437085 | 30.6490235 | 2000-2009 –> 2010-2019 | 13.2688999 | 6.4664210 | 36422.06310 | 43.788778 | 5 | 12 |
| Pacific | (26.75,27] | 3 | cstar_tref ~ temp + phosphate + phosphate_star | 3055 | 6.8275318 | 20410.1199653 | 5.377856 | 30.5731128 | 2000-2009 –> 2010-2019 | 13.2823012 | 6.4547694 | 36431.72319 | 13.004417 | 7 | 11 |
| Pacific | (26.75,27] | 4 | cstar_tref ~ temp + aou + nitrate + phosphate_star | 3055 | 6.8211258 | 20406.3863928 | 7.814247 | 28.3586125 | 2000-2009 –> 2010-2019 | 13.2847044 | 6.4635786 | 36436.63958 | 17.074090 | 6 | 12 |
| Pacific | (26.75,27] | 5 | cstar_tref ~ sal + temp + aou + nitrate + phosphate | 3055 | 6.8531045 | 20443.6421995 | 80.233065 | 28.9850302 | 2000-2009 –> 2010-2019 | 13.3545079 | 6.5014034 | 36504.34652 | 190.298363 | 8 | 17 |
| Pacific | (26.75,27] | 3 | cstar_tref ~ temp + aou + phosphate_star | 3055 | 6.8672372 | 20445.5380313 | 4.103656 | 30.6274139 | 2000-2009 –> 2010-2019 | 13.3559487 | 6.4887115 | 36492.71426 | 9.966339 | 9 | 17 |
| Pacific | (26.75,27] | 4 | cstar_tref ~ sal + temp + aou + phosphate | 3055 | 6.8680570 | 20454.9588579 | 55.859721 | 30.4676529 | 2000-2009 –> 2010-2019 | 13.3838703 | 6.5158132 | 36524.45852 | 132.209813 | 10 | 21 |
| Pacific | (27,27.25] | 5 | cstar_tref ~ sal + temp + nitrate + phosphate + phosphate_star | 3568 | 4.0636606 | 20144.8181300 | 31.418406 | 14.3202385 | 1982-1999 –> 2000-2009 | 7.7980377 | 3.7343772 | 31761.66114 | 46.423440 | 1 | 3 |
| Pacific | (27,27.25] | 5 | cstar_tref ~ sal + temp + aou + nitrate + phosphate | 3568 | 4.0690372 | 20154.2535735 | 227.952340 | 14.2918516 | 1982-1999 –> 2000-2009 | 7.8016930 | 3.7326557 | 31769.14165 | 409.056112 | 3 | 4 |
| Pacific | (27,27.25] | 5 | cstar_tref ~ sal + temp + aou + nitrate + phosphate_star | 3568 | 4.0662481 | 20149.3604442 | 31.372463 | 14.3254355 | 1982-1999 –> 2000-2009 | 7.8020048 | 3.7357567 | 31767.76953 | 46.374783 | 2 | 5 |
| Pacific | (27,27.25] | 4 | cstar_tref ~ sal + temp + nitrate + phosphate | 3568 | 4.1169720 | 20235.8270202 | 15.235703 | 13.6184932 | 1982-1999 –> 2000-2009 | 7.8613710 | 3.7443990 | 31862.03359 | 21.805593 | 8 | 12 |
| Pacific | (27,27.25] | 4 | cstar_tref ~ sal + temp + aou + nitrate | 3568 | 4.0873665 | 20184.3260479 | 24.480461 | 13.6863232 | 1982-1999 –> 2000-2009 | 7.8730072 | 3.7856406 | 31856.97759 | 34.098939 | 7 | 14 |
| Pacific | (27,27.25] | 4 | cstar_tref ~ sal + temp + phosphate + phosphate_star | 3568 | 4.0744579 | 20161.7536028 | 9.356073 | 14.5434559 | 1982-1999 –> 2000-2009 | 7.8927789 | 3.8183211 | 31870.85085 | 16.030129 | 4 | 13 |
| Pacific | (27,27.25] | 4 | cstar_tref ~ sal + temp + aou + phosphate_star | 3568 | 4.0779314 | 20167.8346272 | 9.593015 | 14.5609824 | 1982-1999 –> 2000-2009 | 7.8988446 | 3.8209131 | 31879.80918 | 16.316595 | 5 | 16 |
| Pacific | (27,27.25] | 4 | cstar_tref ~ sal + temp + aou + phosphate | 3568 | 4.0818214 | 20174.6384806 | 112.972756 | 14.5414910 | 1982-1999 –> 2000-2009 | 7.9020503 | 3.8202288 | 31885.85364 | 195.910769 | 6 | 16 |
| Pacific | (27,27.25] | 3 | cstar_tref ~ sal + temp + aou | 3568 | 4.1268332 | 20250.8990581 | 2.950048 | 13.7132132 | 1982-1999 –> 2000-2009 | 7.9512999 | 3.8244667 | 31964.81519 | 6.065423 | 9 | 21 |
| Pacific | (27,27.25] | 4 | cstar_tref ~ sal + aou + nitrate + phosphate_star | 3568 | 4.2244073 | 20419.6577053 | 17.753702 | 14.8620913 | 1982-1999 –> 2000-2009 | 7.9989610 | 3.7745537 | 32079.87337 | 25.502404 | 12 | 17 |
| Pacific | (27,27.25] | 5 | cstar_tref ~ sal + temp + nitrate + phosphate + phosphate_star | 3925 | 4.3214150 | 22641.7931929 | 22.406479 | 16.2440873 | 2000-2009 –> 2010-2019 | 8.3850756 | 4.0636606 | 42786.61132 | 53.824885 | 1 | 2 |
| Pacific | (27,27.25] | 5 | cstar_tref ~ sal + temp + aou + nitrate + phosphate_star | 3925 | 4.3247142 | 22647.7840435 | 22.402413 | 16.2511644 | 2000-2009 –> 2010-2019 | 8.3909623 | 4.0662481 | 42797.14449 | 53.774876 | 2 | 4 |
| Pacific | (27,27.25] | 5 | cstar_tref ~ sal + temp + aou + nitrate + phosphate | 3925 | 4.3305037 | 22658.2858150 | 131.876644 | 16.2362008 | 2000-2009 –> 2010-2019 | 8.3995409 | 4.0690372 | 42812.53939 | 359.828984 | 3 | 6 |
| Pacific | (27,27.25] | 4 | cstar_tref ~ sal + temp + phosphate + phosphate_star | 3925 | 4.3387064 | 22671.1409636 | 6.223238 | 16.5426089 | 2000-2009 –> 2010-2019 | 8.4131643 | 4.0744579 | 42832.89457 | 15.579311 | 4 | 8 |
| Pacific | (27,27.25] | 4 | cstar_tref ~ sal + temp + aou + phosphate_star | 3925 | 4.3430342 | 22678.9672781 | 6.423878 | 16.5619322 | 2000-2009 –> 2010-2019 | 8.4209656 | 4.0779314 | 42846.80191 | 16.016894 | 5 | 10 |
| Pacific | (27,27.25] | 4 | cstar_tref ~ sal + temp + aou + phosphate | 3925 | 4.3499968 | 22691.5421540 | 65.440251 | 16.5606482 | 2000-2009 –> 2010-2019 | 8.4318183 | 4.0818214 | 42866.18063 | 178.413007 | 6 | 12 |
| Pacific | (27,27.25] | 4 | cstar_tref ~ sal + temp + aou + nitrate | 3925 | 4.4248283 | 22825.4345063 | 17.637232 | 15.2827647 | 2000-2009 –> 2010-2019 | 8.5121948 | 4.0873665 | 43009.76055 | 42.117693 | 7 | 14 |
| Pacific | (27,27.25] | 4 | cstar_tref ~ sal + temp + nitrate + phosphate | 3925 | 4.4872599 | 22935.4191002 | 10.628031 | 15.8382652 | 2000-2009 –> 2010-2019 | 8.6042319 | 4.1169720 | 43171.24612 | 25.863734 | 8 | 16 |
| Pacific | (27,27.25] | 3 | cstar_tref ~ sal + temp + aou | 3925 | 4.5226567 | 22995.0992145 | 2.343417 | 15.3478228 | 2000-2009 –> 2010-2019 | 8.6494899 | 4.1268332 | 43245.99827 | 5.293465 | 15 | 24 |
| Pacific | (27,27.25] | 4 | cstar_tref ~ sal + temp + nitrate + phosphate_star | 3925 | 4.4879628 | 22936.6486514 | 8.289699 | 15.8962664 | 2000-2009 –> 2010-2019 | 8.6556385 | 4.1676757 | 43259.82421 | 19.917349 | 9 | 19 |
| Pacific | (27.25,27.5] | 5 | cstar_tref ~ sal + temp + nitrate + phosphate + phosphate_star | 4740 | 2.5190889 | 22224.0834452 | 58.721299 | 10.3338659 | 1982-1999 –> 2000-2009 | 4.7369835 | 2.2178946 | 33958.06205 | 82.038517 | 1 | 2 |
| Pacific | (27.25,27.5] | 5 | cstar_tref ~ sal + temp + aou + nitrate + phosphate_star | 4740 | 2.5213676 | 22232.6550112 | 58.513785 | 10.4856246 | 1982-1999 –> 2000-2009 | 4.7397918 | 2.2184242 | 33967.89670 | 81.788616 | 2 | 4 |
| Pacific | (27.25,27.5] | 5 | cstar_tref ~ sal + temp + aou + nitrate + phosphate | 4740 | 2.5252247 | 22247.1462189 | 351.345866 | 10.7579022 | 1982-1999 –> 2000-2009 | 4.7449610 | 2.2197363 | 33985.51571 | 609.657201 | 3 | 6 |
| Pacific | (27.25,27.5] | 4 | cstar_tref ~ sal + aou + nitrate + phosphate | 4740 | 2.6390390 | 22663.0697643 | 70.162702 | 9.4132173 | 1982-1999 –> 2000-2009 | 4.8725958 | 2.2335568 | 34432.27372 | 136.913187 | 4 | 8 |
| Pacific | (27.25,27.5] | 4 | cstar_tref ~ sal + aou + nitrate + phosphate_star | 4740 | 2.6553689 | 22721.5496723 | 25.182591 | 9.7741528 | 1982-1999 –> 2000-2009 | 4.9055414 | 2.2501725 | 34529.96085 | 31.941318 | 5 | 10 |
| Pacific | (27.25,27.5] | 4 | cstar_tref ~ sal + nitrate + phosphate + phosphate_star | 4740 | 2.6755088 | 22793.1804104 | 16.869790 | 10.0317105 | 1982-1999 –> 2000-2009 | 4.9348294 | 2.2593206 | 34623.05471 | 22.057852 | 8 | 14 |
| Pacific | (27.25,27.5] | 4 | cstar_tref ~ sal + temp + aou + nitrate | 4740 | 2.6726833 | 22783.1635879 | 36.799464 | 11.6631907 | 1982-1999 –> 2000-2009 | 5.0016761 | 2.3289929 | 34773.70449 | 45.208316 | 6 | 18 |
| Pacific | (27.25,27.5] | 4 | cstar_tref ~ sal + temp + phosphate + phosphate_star | 4740 | 2.7509041 | 23056.6302000 | 4.502192 | 11.2695767 | 1982-1999 –> 2000-2009 | 5.0531564 | 2.3022523 | 34986.08205 | 7.816855 | 9 | 16 |
| Pacific | (27.25,27.5] | 4 | cstar_tref ~ sal + temp + aou + phosphate_star | 4740 | 2.7510404 | 23057.0996420 | 5.910527 | 11.2690183 | 1982-1999 –> 2000-2009 | 5.0533993 | 2.3023589 | 34986.79645 | 9.346284 | 10 | 18 |
| Pacific | (27.25,27.5] | 4 | cstar_tref ~ sal + temp + aou + phosphate | 4740 | 2.7514747 | 23058.5961395 | 104.628020 | 11.2787224 | 1982-1999 –> 2000-2009 | 5.0539935 | 2.3025188 | 34988.66029 | 150.348586 | 11 | 20 |
| Pacific | (27.25,27.5] | 5 | cstar_tref ~ sal + temp + nitrate + phosphate + phosphate_star | 5107 | 2.3095450 | 23056.6723998 | 47.737059 | 12.6798616 | 2000-2009 –> 2010-2019 | 4.8286339 | 2.5190889 | 45280.75584 | 106.458358 | 3 | 4 |
| Pacific | (27.25,27.5] | 5 | cstar_tref ~ sal + temp + aou + nitrate + phosphate_star | 5107 | 2.3093579 | 23055.8450411 | 47.483272 | 12.6844839 | 2000-2009 –> 2010-2019 | 4.8307255 | 2.5213676 | 45288.50005 | 105.997057 | 2 | 4 |
| Pacific | (27.25,27.5] | 5 | cstar_tref ~ sal + temp + aou + nitrate + phosphate | 5107 | 2.3092114 | 23055.1969834 | 269.618650 | 12.6861954 | 2000-2009 –> 2010-2019 | 4.8344361 | 2.5252247 | 45302.34320 | 620.964515 | 1 | 4 |
| Pacific | (27.25,27.5] | 4 | cstar_tref ~ sal + aou + nitrate + phosphate | 5107 | 2.3198762 | 23100.2605366 | 47.626354 | 12.9440413 | 2000-2009 –> 2010-2019 | 4.9589152 | 2.6390390 | 45763.33030 | 117.789056 | 5 | 9 |
| Pacific | (27.25,27.5] | 4 | cstar_tref ~ sal + aou + nitrate + phosphate_star | 5107 | 2.3199153 | 23100.4325725 | 13.570697 | 12.9841190 | 2000-2009 –> 2010-2019 | 4.9752842 | 2.6553689 | 45821.98224 | 38.753288 | 6 | 11 |
| Pacific | (27.25,27.5] | 4 | cstar_tref ~ sal + temp + aou + nitrate | 5107 | 2.3173906 | 23089.3108540 | 22.220374 | 13.0224525 | 2000-2009 –> 2010-2019 | 4.9900739 | 2.6726833 | 45872.47444 | 59.019839 | 4 | 10 |
| Pacific | (27.25,27.5] | 3 | cstar_tref ~ sal + aou + nitrate | 5107 | 2.3199482 | 23098.5774385 | 11.232165 | 12.9691061 | 2000-2009 –> 2010-2019 | 4.9945262 | 2.6745780 | 45886.45905 | 30.896779 | 7 | 14 |
| Pacific | (27.25,27.5] | 4 | cstar_tref ~ sal + nitrate + phosphate + phosphate_star | 5107 | 2.3235486 | 23116.4165653 | 8.962036 | 13.0320274 | 2000-2009 –> 2010-2019 | 4.9990574 | 2.6755088 | 45909.59698 | 25.831826 | 8 | 16 |
| Pacific | (27.25,27.5] | 4 | cstar_tref ~ sal + temp + aou + phosphate_star | 5107 | 2.3378735 | 23179.1934869 | 3.982250 | 13.3476324 | 2000-2009 –> 2010-2019 | 5.0889139 | 2.7510404 | 46236.29313 | 9.892777 | 10 | 19 |
| Pacific | (27.25,27.5] | 4 | cstar_tref ~ sal + temp + aou + phosphate | 5107 | 2.3380013 | 23179.7517170 | 56.269488 | 13.3449929 | 2000-2009 –> 2010-2019 | 5.0894759 | 2.7514747 | 46238.34786 | 160.897508 | 11 | 21 |
| Pacific | (27.5,27.75] | 5 | cstar_tref ~ sal + temp + nitrate + phosphate + phosphate_star | 4987 | 1.1261805 | 15351.7218363 | 104.761201 | 9.5118268 | 1982-1999 –> 2000-2009 | 2.4280630 | 1.3018825 | 24903.54768 | 140.244755 | 1 | 2 |
| Pacific | (27.5,27.75] | 5 | cstar_tref ~ sal + temp + aou + nitrate + phosphate_star | 4987 | 1.1272713 | 15361.3770382 | 103.898613 | 9.6679568 | 1982-1999 –> 2000-2009 | 2.4378785 | 1.3106073 | 24951.06142 | 139.282154 | 2 | 4 |
| Pacific | (27.5,27.75] | 5 | cstar_tref ~ sal + temp + aou + nitrate + phosphate | 4987 | 1.1280992 | 15368.6999262 | 274.394978 | 9.7978458 | 1982-1999 –> 2000-2009 | 2.4522580 | 1.3241588 | 25016.68992 | 424.152412 | 3 | 6 |
| Pacific | (27.5,27.75] | 4 | cstar_tref ~ sal + temp + phosphate + phosphate_star | 4987 | 1.1593840 | 15639.5363375 | 3.343010 | 9.7728288 | 1982-1999 –> 2000-2009 | 2.6310936 | 1.4717096 | 25884.33524 | 5.976524 | 4 | 8 |
| Pacific | (27.5,27.75] | 4 | cstar_tref ~ sal + temp + aou + phosphate_star | 4987 | 1.1596185 | 15641.5528775 | 4.467468 | 9.8648359 | 1982-1999 –> 2000-2009 | 2.6349111 | 1.4752926 | 25900.13437 | 7.934316 | 5 | 10 |
| Pacific | (27.5,27.75] | 4 | cstar_tref ~ sal + temp + aou + phosphate | 4987 | 1.1598680 | 15643.6993774 | 95.985463 | 9.9619002 | 1982-1999 –> 2000-2009 | 2.6430519 | 1.4831838 | 25932.51768 | 139.317782 | 6 | 12 |
| Pacific | (27.5,27.75] | 4 | cstar_tref ~ sal + aou + phosphate + phosphate_star | 4987 | 1.1637311 | 15676.8638586 | 360.753184 | 10.9381520 | 1982-1999 –> 2000-2009 | 2.6834467 | 1.5197156 | 26103.59697 | 655.916917 | 7 | 14 |
| Pacific | (27.5,27.75] | 4 | cstar_tref ~ sal + temp + aou + nitrate | 4987 | 1.2047528 | 16022.3934473 | 99.128241 | 12.6341269 | 1982-1999 –> 2000-2009 | 3.1327810 | 1.9280282 | 27797.96685 | 130.135439 | 8 | 24 |
| Pacific | (27.5,27.75] | 3 | cstar_tref ~ sal + temp + aou | 4987 | 1.2139625 | 16096.3495459 | 1.181527 | 12.4134236 | 1982-1999 –> 2000-2009 | 3.1435390 | 1.9295765 | 27874.47268 | 3.117694 | 9 | 26 |
| Pacific | (27.5,27.75] | 4 | cstar_tref ~ sal + temp + nitrate + phosphate_star | 4987 | 1.3129645 | 16880.2891811 | 4.815061 | 9.4230291 | 1982-1999 –> 2000-2009 | 3.2154951 | 1.9025306 | 28580.40466 | 9.029624 | 10 | 25 |
| Pacific | (27.5,27.75] | 5 | cstar_tref ~ sal + temp + nitrate + phosphate + phosphate_star | 6111 | 1.3066300 | 20625.0563447 | 85.871092 | 19.5112695 | 2000-2009 –> 2010-2019 | 2.4328105 | 1.1261805 | 35976.77818 | 190.632293 | 1 | 2 |
| Pacific | (27.5,27.75] | 5 | cstar_tref ~ sal + temp + aou + nitrate + phosphate_star | 6111 | 1.3098550 | 20655.1852712 | 84.766748 | 19.7130022 | 2000-2009 –> 2010-2019 | 2.4371262 | 1.1272713 | 36016.56231 | 188.665361 | 2 | 4 |
| Pacific | (27.5,27.75] | 5 | cstar_tref ~ sal + temp + aou + nitrate + phosphate | 6111 | 1.3131346 | 20685.7486661 | 263.284366 | 19.9411750 | 2000-2009 –> 2010-2019 | 2.4412338 | 1.1280992 | 36054.44859 | 537.679344 | 3 | 6 |
| Pacific | (27.5,27.75] | 4 | cstar_tref ~ sal + temp + phosphate + phosphate_star | 6111 | 1.3317593 | 20855.8801192 | 4.007157 | 17.6805537 | 2000-2009 –> 2010-2019 | 2.4911433 | 1.1593840 | 36495.41646 | 7.350167 | 4 | 8 |
| Pacific | (27.5,27.75] | 4 | cstar_tref ~ sal + temp + aou + phosphate_star | 6111 | 1.3332065 | 20869.1541791 | 5.293104 | 17.8514613 | 2000-2009 –> 2010-2019 | 2.4928249 | 1.1596185 | 36510.70706 | 9.760572 | 5 | 10 |
| Pacific | (27.5,27.75] | 4 | cstar_tref ~ sal + temp + aou + phosphate | 6111 | 1.3351732 | 20887.1703249 | 83.337199 | 18.0831657 | 2000-2009 –> 2010-2019 | 2.4950412 | 1.1598680 | 36530.86970 | 179.322662 | 6 | 12 |
| Pacific | (27.5,27.75] | 4 | cstar_tref ~ sal + aou + phosphate + phosphate_star | 6111 | 1.3541218 | 21059.4041431 | 357.621177 | 19.9022230 | 2000-2009 –> 2010-2019 | 2.5178529 | 1.1637311 | 36736.26800 | 718.374361 | 7 | 14 |
| Pacific | (27.5,27.75] | 4 | cstar_tref ~ sal + temp + aou + nitrate | 6111 | 1.4072805 | 21530.0249016 | 78.760749 | 18.6845709 | 2000-2009 –> 2010-2019 | 2.6120333 | 1.2047528 | 37552.41835 | 177.888990 | 8 | 16 |
| Pacific | (27.5,27.75] | 3 | cstar_tref ~ sal + temp + aou | 6111 | 1.4080737 | 21534.9116297 | 1.334765 | 18.3395344 | 2000-2009 –> 2010-2019 | 2.6220362 | 1.2139625 | 37631.26118 | 2.516293 | 9 | 18 |
| Pacific | (27.5,27.75] | 4 | cstar_tref ~ sal + temp + nitrate + phosphate_star | 6111 | 1.4555859 | 21942.5094495 | 5.910458 | 14.8791245 | 2000-2009 –> 2010-2019 | 2.7685504 | 1.3129645 | 38822.79863 | 10.725520 | 10 | 20 |
| Pacific | (27.75,27.85] | 5 | cstar_tref ~ sal + temp + nitrate + phosphate + phosphate_star | 2408 | 0.8373074 | 5992.4598896 | 969.717358 | 3.1701413 | 1982-1999 –> 2000-2009 | 2.0509716 | 1.2136641 | 10331.40626 | 1420.561793 | 2 | 3 |
| Pacific | (27.75,27.85] | 4 | cstar_tref ~ temp + nitrate + phosphate + phosphate_star | 2408 | 0.8414282 | 6014.1037183 | 877.037971 | 3.1526549 | 1982-1999 –> 2000-2009 | 2.0552952 | 1.2138669 | 10351.49812 | 1310.710150 | 5 | 7 |
| Pacific | (27.75,27.85] | 4 | cstar_tref ~ temp + aou + nitrate + phosphate_star | 2408 | 0.8433771 | 6025.2453293 | 890.110099 | 3.1381434 | 1982-1999 –> 2000-2009 | 2.0634611 | 1.2200840 | 10376.34113 | 1328.604574 | 6 | 11 |
| Pacific | (27.75,27.85] | 5 | cstar_tref ~ sal + temp + aou + nitrate + phosphate | 2408 | 0.8372538 | 5992.1513532 | 968.506178 | 3.1614317 | 1982-1999 –> 2000-2009 | 2.0722338 | 1.2349800 | 10377.79332 | 1418.255314 | 1 | 9 |
| Pacific | (27.75,27.85] | 4 | cstar_tref ~ temp + aou + nitrate + phosphate | 2408 | 0.8436673 | 6026.9021082 | 871.195289 | 3.1395524 | 1982-1999 –> 2000-2009 | 2.0794484 | 1.2357811 | 10412.28327 | 1302.680115 | 7 | 16 |
| Pacific | (27.75,27.85] | 4 | cstar_tref ~ sal + temp + phosphate + phosphate_star | 2408 | 0.8801410 | 6230.7342840 | 1.372683 | 3.0175857 | 1982-1999 –> 2000-2009 | 2.0977253 | 1.2175843 | 10576.32951 | 3.957565 | 15 | 18 |
| Pacific | (27.75,27.85] | 3 | cstar_tref ~ temp + phosphate + phosphate_star | 2408 | 0.8801413 | 6228.7358592 | 1.306831 | 3.0173824 | 1982-1999 –> 2000-2009 | 2.0977298 | 1.2175885 | 10572.34031 | 2.852571 | 16 | 20 |
| Pacific | (27.75,27.85] | 4 | cstar_tref ~ sal + temp + aou + phosphate_star | 2408 | 0.8800360 | 6230.1595316 | 1.418648 | 3.0152042 | 1982-1999 –> 2000-2009 | 2.1016344 | 1.2215983 | 10584.58211 | 3.948330 | 13 | 19 |
| Pacific | (27.75,27.85] | 3 | cstar_tref ~ temp + aou + phosphate_star | 2408 | 0.8800486 | 6228.2286515 | 1.394359 | 3.0165455 | 1982-1999 –> 2000-2009 | 2.1016763 | 1.2216277 | 10580.71562 | 2.919209 | 14 | 21 |
| Pacific | (27.75,27.85] | 5 | cstar_tref ~ sal + aou + nitrate + phosphate + phosphate_star | 2408 | 0.8373304 | 5992.5921635 | 967.287859 | 3.1320851 | 1982-1999 –> 2000-2009 | 2.1134428 | 1.2761123 | 10466.10576 | 1848.851569 | 3 | 17 |
| Pacific | (27.75,27.85] | 4 | cstar_tref ~ sal + temp + aou + nitrate | 3214 | 1.1157666 | 9837.0706887 | 208.687999 | 13.3870629 | 2000-2009 –> 2010-2019 | 1.9535201 | 0.8377536 | 15830.09609 | 407.714536 | 1 | 2 |
| Pacific | (27.75,27.85] | 3 | cstar_tref ~ temp + aou + nitrate | 3214 | 1.1160527 | 9836.7190874 | 208.576917 | 13.2968225 | 2000-2009 –> 2010-2019 | 1.9610611 | 0.8450084 | 15869.27060 | 381.086995 | 2 | 4 |
| Pacific | (27.75,27.85] | 4 | cstar_tref ~ sal + temp + phosphate + phosphate_star | 3214 | 1.1621195 | 10098.7151557 | 2.210360 | 11.3282630 | 2000-2009 –> 2010-2019 | 2.0422606 | 0.8801410 | 16329.44944 | 3.583043 | 3 | 11 |
| Pacific | (27.75,27.85] | 4 | cstar_tref ~ sal + temp + aou + phosphate_star | 3214 | 1.1632276 | 10104.8414273 | 2.158387 | 11.3945686 | 2000-2009 –> 2010-2019 | 2.0432637 | 0.8800360 | 16335.00096 | 3.577034 | 4 | 10 |
| Pacific | (27.75,27.85] | 3 | cstar_tref ~ temp + phosphate + phosphate_star | 3214 | 1.1665101 | 10120.9547394 | 1.722663 | 11.0312540 | 2000-2009 –> 2010-2019 | 2.0466514 | 0.8801413 | 16349.69060 | 3.029494 | 5 | 14 |
| Pacific | (27.75,27.85] | 3 | cstar_tref ~ temp + aou + phosphate_star | 3214 | 1.1671931 | 10124.7174483 | 1.884027 | 11.1137127 | 2000-2009 –> 2010-2019 | 2.0472418 | 0.8800486 | 16352.94610 | 3.278385 | 6 | 13 |
| Pacific | (27.75,27.85] | 4 | cstar_tref ~ sal + temp + aou + phosphate | 3214 | 1.1675854 | 10128.8773712 | 156.769270 | 11.7172769 | 2000-2009 –> 2010-2019 | 2.0473509 | 0.8797655 | 16357.55631 | 317.632301 | 7 | 11 |
| Pacific | (27.75,27.85] | 3 | cstar_tref ~ temp + aou + phosphate | 3214 | 1.1700965 | 10140.6871643 | 156.561054 | 11.4771323 | 2000-2009 –> 2010-2019 | 2.0500710 | 0.8799745 | 16368.51031 | 306.939353 | 8 | 13 |
| Pacific | (27.75,27.85] | 4 | cstar_tref ~ sal + aou + phosphate + phosphate_star | 3214 | 1.1846193 | 10221.9781835 | 805.879790 | 12.5972124 | 2000-2009 –> 2010-2019 | 2.0632221 | 0.8786028 | 16444.28784 | 1455.676898 | 9 | 12 |
| Pacific | (27.75,27.85] | 3 | cstar_tref ~ aou + phosphate + phosphate_star | 3214 | 1.1846955 | 10220.3917370 | 559.390876 | 12.5668741 | 2000-2009 –> 2010-2019 | 2.0680189 | 0.8833233 | 16466.50753 | 1045.730386 | 10 | 20 |
| Pacific | (27.85,27.95] | 4 | cstar_tref ~ temp + aou + nitrate + phosphate_star | 3210 | 0.5879807 | 5712.1723356 | 563.972720 | 2.7930898 | 1982-1999 –> 2000-2009 | 1.4714479 | 0.8834673 | 10249.03335 | 1173.475452 | 3 | 4 |
| Pacific | (27.85,27.95] | 4 | cstar_tref ~ temp + nitrate + phosphate + phosphate_star | 3210 | 0.5872897 | 5704.6239140 | 595.340442 | 2.7837777 | 1982-1999 –> 2000-2009 | 1.4777045 | 0.8904148 | 10268.85390 | 1256.264973 | 2 | 4 |
| Pacific | (27.85,27.95] | 4 | cstar_tref ~ sal + temp + nitrate + phosphate_star | 3210 | 0.5855320 | 5685.3805442 | 1.890772 | 2.7939813 | 1982-1999 –> 2000-2009 | 1.5157367 | 0.9302047 | 10402.35868 | 5.182138 | 1 | 4 |
| Pacific | (27.85,27.95] | 3 | cstar_tref ~ temp + nitrate + phosphate_star | 3210 | 0.5920365 | 5754.3047788 | 1.671772 | 2.8558141 | 1982-1999 –> 2000-2009 | 1.5349212 | 0.9428847 | 10516.58942 | 4.544315 | 4 | 8 |
| Pacific | (27.85,27.95] | 4 | cstar_tref ~ sal + temp + phosphate + phosphate_star | 3210 | 0.6158001 | 6008.9580976 | 1.861256 | 2.9421211 | 1982-1999 –> 2000-2009 | 1.5881652 | 0.9723651 | 10880.81377 | 5.089209 | 5 | 10 |
| Pacific | (27.85,27.95] | 4 | cstar_tref ~ sal + temp + aou + phosphate_star | 3210 | 0.6158716 | 6009.7033836 | 1.674352 | 2.9422367 | 1982-1999 –> 2000-2009 | 1.5925861 | 0.9767145 | 10897.15292 | 4.736957 | 6 | 12 |
| Pacific | (27.85,27.95] | 4 | cstar_tref ~ sal + temp + aou + phosphate | 3210 | 0.6161011 | 6012.0951360 | 179.011092 | 2.9426262 | 1982-1999 –> 2000-2009 | 1.6094925 | 0.9933915 | 10958.69948 | 272.248721 | 7 | 14 |
| Pacific | (27.85,27.95] | 3 | cstar_tref ~ temp + phosphate + phosphate_star | 3210 | 0.6163250 | 6012.4282063 | 1.605828 | 2.9610496 | 1982-1999 –> 2000-2009 | 1.6216454 | 1.0053204 | 10998.73972 | 4.372828 | 10 | 18 |
| Pacific | (27.85,27.95] | 3 | cstar_tref ~ temp + aou + phosphate_star | 3210 | 0.6162132 | 6011.2637942 | 1.441210 | 2.9575221 | 1982-1999 –> 2000-2009 | 1.6276446 | 1.0114314 | 11018.74968 | 4.043024 | 9 | 18 |
| Pacific | (27.85,27.95] | 4 | cstar_tref ~ sal + aou + phosphate + phosphate_star | 3210 | 0.6170764 | 6022.2509183 | 546.534945 | 2.9444373 | 1982-1999 –> 2000-2009 | 1.6404136 | 1.0233371 | 11072.62513 | 1174.327267 | 11 | 21 |
| Pacific | (27.85,27.95] | 4 | cstar_tref ~ sal + temp + nitrate + phosphate_star | 4555 | 0.7244475 | 10001.9582853 | 1.893088 | 5.5904265 | 2000-2009 –> 2010-2019 | 1.3099795 | 0.5855320 | 15687.33883 | 3.783860 | 1 | 2 |
| Pacific | (27.85,27.95] | 4 | cstar_tref ~ temp + nitrate + phosphate + phosphate_star | 4555 | 0.7443426 | 10248.7669986 | 950.778353 | 4.4834157 | 2000-2009 –> 2010-2019 | 1.3316323 | 0.5872897 | 15953.39091 | 1546.118795 | 2 | 4 |
| Pacific | (27.85,27.95] | 4 | cstar_tref ~ temp + aou + nitrate + phosphate_star | 4555 | 0.7446209 | 10252.1727424 | 882.569516 | 4.4694346 | 2000-2009 –> 2010-2019 | 1.3326016 | 0.5879807 | 15964.34508 | 1446.542236 | 3 | 6 |
| Pacific | (27.85,27.95] | 3 | cstar_tref ~ temp + nitrate + phosphate_star | 4555 | 0.7451263 | 10256.3533939 | 1.885515 | 4.4115210 | 2000-2009 –> 2010-2019 | 1.3371627 | 0.5920365 | 16010.65817 | 3.557287 | 4 | 8 |
| Pacific | (27.85,27.95] | 4 | cstar_tref ~ sal + temp + phosphate + phosphate_star | 4555 | 0.7491218 | 10307.0733549 | 1.849728 | 6.0652740 | 2000-2009 –> 2010-2019 | 1.3649219 | 0.6158001 | 16316.03145 | 3.710984 | 5 | 10 |
| Pacific | (27.85,27.95] | 4 | cstar_tref ~ sal + temp + aou + phosphate_star | 4555 | 0.7496453 | 10313.4372761 | 1.641774 | 6.1097936 | 2000-2009 –> 2010-2019 | 1.3655169 | 0.6158716 | 16323.14066 | 3.316126 | 6 | 12 |
| Pacific | (27.85,27.95] | 4 | cstar_tref ~ sal + temp + aou + phosphate | 4555 | 0.7517661 | 10339.1734890 | 185.849988 | 6.2999150 | 2000-2009 –> 2010-2019 | 1.3678672 | 0.6161011 | 16351.26863 | 364.861079 | 7 | 14 |
| Pacific | (27.85,27.95] | 3 | cstar_tref ~ temp + aou + phosphate | 4555 | 0.7562567 | 10391.4295966 | 180.050944 | 5.6574013 | 2000-2009 –> 2010-2019 | 1.3723789 | 0.6161222 | 16401.74480 | 349.480559 | 8 | 16 |
| Pacific | (27.85,27.95] | 3 | cstar_tref ~ temp + aou + phosphate_star | 4555 | 0.7567612 | 10397.5045260 | 1.627313 | 5.3317375 | 2000-2009 –> 2010-2019 | 1.3729744 | 0.6162132 | 16408.76832 | 3.068523 | 9 | 18 |
| Pacific | (27.85,27.95] | 3 | cstar_tref ~ temp + phosphate + phosphate_star | 4555 | 0.7569905 | 10400.2638025 | 1.834221 | 5.2485934 | 2000-2009 –> 2010-2019 | 1.3733154 | 0.6163250 | 16412.69201 | 3.440049 | 10 | 20 |
| Pacific | (27.95,28.05] | 4 | cstar_tref ~ sal + temp + nitrate + phosphate_star | 6356 | 0.4410796 | 7644.3935615 | 5.054538 | 3.0887259 | 1982-1999 –> 2000-2009 | 1.0149498 | 0.5738702 | 14224.83223 | 17.053507 | 1 | 2 |
| Pacific | (27.95,28.05] | 4 | cstar_tref ~ temp + aou + nitrate + phosphate_star | 6356 | 0.4533242 | 7992.4761997 | 332.595080 | 3.3440795 | 1982-1999 –> 2000-2009 | 1.0273177 | 0.5739935 | 14574.54943 | 852.722336 | 3 | 5 |
| Pacific | (27.95,28.05] | 4 | cstar_tref ~ temp + nitrate + phosphate + phosphate_star | 6356 | 0.4538364 | 8006.8327800 | 346.710735 | 3.4308153 | 1982-1999 –> 2000-2009 | 1.0304383 | 0.5766019 | 14623.39113 | 922.464469 | 4 | 7 |
| Pacific | (27.95,28.05] | 4 | cstar_tref ~ temp + aou + nitrate + phosphate | 6356 | 0.4500580 | 7900.5550900 | 650.758485 | 3.1037633 | 1982-1999 –> 2000-2009 | 1.0416622 | 0.5916042 | 14712.47900 | 1560.730331 | 2 | 8 |
| Pacific | (27.95,28.05] | 3 | cstar_tref ~ temp + nitrate + phosphate_star | 6356 | 0.4578738 | 8117.4191394 | 4.650013 | 4.0001940 | 1982-1999 –> 2000-2009 | 1.0456286 | 0.5877548 | 14877.69229 | 16.089866 | 7 | 11 |
| Pacific | (27.95,28.05] | 4 | cstar_tref ~ sal + temp + phosphate + phosphate_star | 6356 | 0.4581916 | 8128.2384324 | 5.165507 | 3.2193174 | 1982-1999 –> 2000-2009 | 1.0483673 | 0.5901757 | 14921.77554 | 16.598733 | 9 | 14 |
| Pacific | (27.95,28.05] | 4 | cstar_tref ~ sal + temp + aou + phosphate_star | 6356 | 0.4580236 | 8123.5784131 | 4.007525 | 3.2218783 | 1982-1999 –> 2000-2009 | 1.0514162 | 0.5933926 | 14958.46080 | 14.304858 | 8 | 15 |
| Pacific | (27.95,28.05] | 4 | cstar_tref ~ sal + temp + aou + phosphate | 6356 | 0.4576629 | 8113.5627648 | 104.066502 | 3.2277711 | 1982-1999 –> 2000-2009 | 1.0585501 | 0.6008872 | 15043.90817 | 229.367155 | 6 | 14 |
| Pacific | (27.95,28.05] | 3 | cstar_tref ~ temp + phosphate + phosphate_star | 6356 | 0.4604059 | 8187.5241094 | 4.346641 | 3.1992205 | 1982-1999 –> 2000-2009 | 1.0978414 | 0.6374355 | 15564.97243 | 14.926593 | 12 | 21 |
| Pacific | (27.95,28.05] | 3 | cstar_tref ~ temp + aou + phosphate_star | 6356 | 0.4597686 | 8169.9155785 | 3.343098 | 3.2041691 | 1982-1999 –> 2000-2009 | 1.1039422 | 0.6441736 | 15627.34241 | 12.822174 | 11 | 21 |
| Pacific | (27.95,28.05] | 4 | cstar_tref ~ sal + temp + nitrate + phosphate_star | 8151 | 0.5231035 | 12580.2324539 | 8.407374 | 2.9702309 | 2000-2009 –> 2010-2019 | 0.9641831 | 0.4410796 | 20224.62602 | 13.461911 | 1 | 2 |
| Pacific | (27.95,28.05] | 4 | cstar_tref ~ sal + temp + phosphate + phosphate_star | 8151 | 0.5383017 | 13047.1183189 | 7.698429 | 3.1535095 | 2000-2009 –> 2010-2019 | 0.9964932 | 0.4581916 | 21175.35675 | 12.863936 | 2 | 7 |
| Pacific | (27.95,28.05] | 4 | cstar_tref ~ sal + temp + aou + phosphate_star | 8151 | 0.5387330 | 13060.1743470 | 5.727609 | 3.1845672 | 2000-2009 –> 2010-2019 | 0.9967566 | 0.4580236 | 21183.75276 | 9.735135 | 3 | 7 |
| Pacific | (27.95,28.05] | 4 | cstar_tref ~ sal + temp + aou + phosphate | 8151 | 0.5399995 | 13098.4544333 | 180.136467 | 3.2726331 | 2000-2009 –> 2010-2019 | 0.9976624 | 0.4576629 | 21212.01720 | 284.202969 | 4 | 6 |
| Pacific | (27.95,28.05] | 3 | cstar_tref ~ temp + aou + phosphate | 8151 | 0.5607469 | 13711.0617506 | 176.472002 | 3.0868761 | 2000-2009 –> 2010-2019 | 1.0192928 | 0.4585459 | 21847.12789 | 277.163300 | 5 | 11 |
| Pacific | (27.95,28.05] | 3 | cstar_tref ~ temp + aou + phosphate_star | 8151 | 0.5639480 | 13803.8614416 | 5.396770 | 3.1104895 | 2000-2009 –> 2010-2019 | 1.0237166 | 0.4597686 | 21973.77702 | 8.739869 | 6 | 13 |
| Pacific | (27.95,28.05] | 3 | cstar_tref ~ temp + phosphate + phosphate_star | 8151 | 0.5653277 | 13843.6937609 | 7.478630 | 3.1216075 | 2000-2009 –> 2010-2019 | 1.0257335 | 0.4604059 | 22031.21787 | 11.825271 | 7 | 15 |
| Pacific | (27.95,28.05] | 3 | cstar_tref ~ temp + nitrate + phosphate_star | 8151 | 0.5816848 | 14308.6781861 | 8.052821 | 4.1772175 | 2000-2009 –> 2010-2019 | 1.0395585 | 0.4578738 | 22426.09733 | 12.702834 | 8 | 11 |
| Pacific | (27.95,28.05] | 4 | cstar_tref ~ sal + temp + aou + nitrate | 8151 | 0.5897618 | 14535.4845465 | 109.422311 | 4.4447313 | 2000-2009 –> 2010-2019 | 1.1278104 | 0.5380486 | 24706.05128 | 175.099589 | 9 | 18 |
| Pacific | (27.95,28.05] | 3 | cstar_tref ~ temp + aou + nitrate | 8151 | 0.5898890 | 14537.0007052 | 107.989690 | 4.5220553 | 2000-2009 –> 2010-2019 | 1.1331227 | 0.5432337 | 24827.48483 | 162.290890 | 10 | 20 |
| Pacific | (28.05,28.1] | 4 | cstar_tref ~ sal + temp + phosphate + phosphate_star | 4191 | 0.2895946 | 1517.9548197 | 7.407374 | 1.7459906 | 1982-1999 –> 2000-2009 | 0.7021053 | 0.4125107 | 4019.01095 | 33.291975 | 5 | 6 |
| Pacific | (28.05,28.1] | 4 | cstar_tref ~ sal + temp + aou + phosphate_star | 4191 | 0.2893590 | 1511.1321263 | 6.801983 | 1.7464137 | 1982-1999 –> 2000-2009 | 0.7024036 | 0.4130446 | 4018.22342 | 29.508354 | 4 | 6 |
| Pacific | (28.05,28.1] | 4 | cstar_tref ~ sal + temp + aou + phosphate | 4191 | 0.2884349 | 1484.3193251 | 58.414227 | 1.7473595 | 1982-1999 –> 2000-2009 | 0.7033502 | 0.4149153 | 4012.49558 | 143.332710 | 1 | 4 |
| Pacific | (28.05,28.1] | 3 | cstar_tref ~ sal + aou + phosphate | 4191 | 0.2884418 | 1482.5219627 | 57.280391 | 1.7498436 | 1982-1999 –> 2000-2009 | 0.7033602 | 0.4149184 | 4008.73249 | 132.559134 | 2 | 6 |
| Pacific | (28.05,28.1] | 4 | cstar_tref ~ sal + temp + nitrate + phosphate_star | 4191 | 0.2886031 | 1489.2076073 | 7.281383 | 1.7983991 | 1982-1999 –> 2000-2009 | 0.7074606 | 0.4188574 | 4061.50660 | 33.924509 | 3 | 8 |
| Pacific | (28.05,28.1] | 4 | cstar_tref ~ sal + aou + nitrate + phosphate_star | 4191 | 0.3025468 | 1884.7003220 | 849.293028 | 1.6544562 | 1982-1999 –> 2000-2009 | 0.7224796 | 0.4199328 | 4468.96338 | 1524.108407 | 6 | 12 |
| Pacific | (28.05,28.1] | 4 | cstar_tref ~ sal + temp + aou + nitrate | 4191 | 0.3026727 | 1888.1869528 | 41.331052 | 1.5883125 | 1982-1999 –> 2000-2009 | 0.7273519 | 0.4246792 | 4524.89298 | 109.578258 | 7 | 14 |
| Pacific | (28.05,28.1] | 3 | cstar_tref ~ sal + aou + nitrate | 4191 | 0.3031931 | 1900.5859188 | 40.264438 | 1.6119858 | 1982-1999 –> 2000-2009 | 0.7285979 | 0.4254048 | 4543.25690 | 100.841174 | 8 | 16 |
| Pacific | (28.05,28.1] | 3 | cstar_tref ~ sal + aou + phosphate_star | 4191 | 0.3365615 | 2775.7598803 | 4.888258 | 2.1694864 | 1982-1999 –> 2000-2009 | 0.7960291 | 0.4594675 | 5777.83970 | 14.721678 | 9 | 20 |
| Pacific | (28.05,28.1] | 3 | cstar_tref ~ sal + phosphate + phosphate_star | 4191 | 0.3523788 | 3160.7094217 | 4.676440 | 2.2393731 | 1982-1999 –> 2000-2009 | 0.8391626 | 0.4867838 | 6432.25923 | 15.178177 | 10 | 26 |
| Pacific | (28.05,28.1] | 4 | cstar_tref ~ sal + temp + aou + phosphate | 6662 | 0.3137606 | 3473.7560153 | 72.297120 | 1.9992210 | 2000-2009 –> 2010-2019 | 0.6021955 | 0.2884349 | 4958.07534 | 130.711347 | 1 | 2 |
| Pacific | (28.05,28.1] | 3 | cstar_tref ~ sal + aou + phosphate | 6662 | 0.3140175 | 3482.6609230 | 72.225689 | 1.9785243 | 2000-2009 –> 2010-2019 | 0.6024593 | 0.2884418 | 4965.18289 | 129.506080 | 4 | 6 |
| Pacific | (28.05,28.1] | 4 | cstar_tref ~ sal + temp + aou + phosphate_star | 6662 | 0.3138420 | 3477.2096713 | 6.638031 | 2.0083971 | 2000-2009 –> 2010-2019 | 0.6032009 | 0.2893590 | 4988.34180 | 13.440013 | 2 | 6 |
| Pacific | (28.05,28.1] | 4 | cstar_tref ~ sal + temp + phosphate + phosphate_star | 6662 | 0.3138724 | 3478.5003114 | 8.918779 | 2.0106648 | 2000-2009 –> 2010-2019 | 0.6034670 | 0.2895946 | 4996.45513 | 16.326153 | 3 | 8 |
| Pacific | (28.05,28.1] | 4 | cstar_tref ~ sal + temp + nitrate + phosphate_star | 6662 | 0.3159201 | 3565.1457969 | 9.143798 | 2.0763734 | 2000-2009 –> 2010-2019 | 0.6045232 | 0.2886031 | 5054.35340 | 16.425181 | 5 | 8 |
| Pacific | (28.05,28.1] | 4 | cstar_tref ~ sal + aou + nitrate + phosphate_star | 6662 | 0.3259336 | 3980.9126408 | 999.385519 | 2.2606553 | 2000-2009 –> 2010-2019 | 0.6284804 | 0.3025468 | 5865.61296 | 1848.678548 | 6 | 12 |
| Pacific | (28.05,28.1] | 4 | cstar_tref ~ sal + temp + aou + nitrate | 6662 | 0.3260436 | 3985.4090838 | 53.728404 | 2.3314893 | 2000-2009 –> 2010-2019 | 0.6287163 | 0.3026727 | 5873.59604 | 95.059456 | 7 | 14 |
| Pacific | (28.05,28.1] | 3 | cstar_tref ~ sal + aou + nitrate | 6662 | 0.3266550 | 4008.3686280 | 53.698443 | 2.3404733 | 2000-2009 –> 2010-2019 | 0.6298480 | 0.3031931 | 5908.95455 | 93.962881 | 8 | 16 |
| Pacific | (28.05,28.1] | 3 | cstar_tref ~ sal + aou + phosphate_star | 6662 | 0.3775315 | 5937.0112029 | 4.322317 | 1.9639808 | 2000-2009 –> 2010-2019 | 0.7140930 | 0.3365615 | 8712.77108 | 9.210575 | 9 | 18 |
| Pacific | (28.05,28.1] | 3 | cstar_tref ~ sal + phosphate + phosphate_star | 6662 | 0.3982917 | 6650.2549490 | 5.043314 | 2.0284891 | 2000-2009 –> 2010-2019 | 0.7506705 | 0.3523788 | 9810.96437 | 9.719754 | 10 | 20 |
| Pacific | (28.1,28.2] | 4 | cstar_tref ~ sal + temp + aou + nitrate | 4766 | 0.1976651 | -1915.7769716 | 37.941912 | 1.4706275 | 1982-1999 –> 2000-2009 | 0.6046234 | 0.4069583 | 1188.55286 | 64.738688 | 1 | 2 |
| Pacific | (28.1,28.2] | 4 | cstar_tref ~ sal + aou + nitrate + phosphate_star | 4766 | 0.2046368 | -1585.3721439 | 190.488006 | 1.6241325 | 1982-1999 –> 2000-2009 | 0.6537417 | 0.4491049 | 2105.10718 | 384.388869 | 7 | 9 |
| Pacific | (28.1,28.2] | 4 | cstar_tref ~ sal + temp + aou + phosphate | 4766 | 0.2006623 | -1772.3262603 | 42.271105 | 1.5935899 | 1982-1999 –> 2000-2009 | 0.6612068 | 0.4605444 | 2067.76250 | 67.905931 | 2 | 5 |
| Pacific | (28.1,28.2] | 4 | cstar_tref ~ sal + aou + phosphate + phosphate_star | 4766 | 0.2017163 | -1722.3918144 | 190.014972 | 1.5946280 | 1982-1999 –> 2000-2009 | 0.6670529 | 0.4653366 | 2179.26925 | 399.839177 | 5 | 9 |
| Pacific | (28.1,28.2] | 4 | cstar_tref ~ sal + temp + aou + phosphate_star | 4766 | 0.2014679 | -1734.1352825 | 4.045085 | 1.5947285 | 1982-1999 –> 2000-2009 | 0.6676485 | 0.4661806 | 2178.30324 | 14.926173 | 3 | 8 |
| Pacific | (28.1,28.2] | 4 | cstar_tref ~ sal + temp + phosphate + phosphate_star | 4766 | 0.2015617 | -1729.6987597 | 5.173959 | 1.5947088 | 1982-1999 –> 2000-2009 | 0.6693634 | 0.4678018 | 2203.38852 | 19.406986 | 4 | 11 |
| Pacific | (28.1,28.2] | 4 | cstar_tref ~ sal + temp + nitrate + phosphate_star | 4766 | 0.2026077 | -1680.3626373 | 5.150509 | 1.6072722 | 1982-1999 –> 2000-2009 | 0.6857621 | 0.4831545 | 2444.79643 | 19.331803 | 6 | 15 |
| Pacific | (28.1,28.2] | 3 | cstar_tref ~ sal + phosphate + phosphate_star | 4766 | 0.2081158 | -1426.6846020 | 3.267364 | 1.5811941 | 1982-1999 –> 2000-2009 | 0.6869422 | 0.4788265 | 2642.95334 | 9.855195 | 8 | 16 |
| Pacific | (28.1,28.2] | 3 | cstar_tref ~ sal + aou + phosphate_star | 4766 | 0.2227046 | -780.8764296 | 3.328404 | 1.5538026 | 1982-1999 –> 2000-2009 | 0.6904334 | 0.4677288 | 3149.28346 | 10.406918 | 10 | 16 |
| Pacific | (28.1,28.2] | 3 | cstar_tref ~ sal + nitrate + phosphate_star | 4766 | 0.2095094 | -1363.0672455 | 3.239881 | 1.5958364 | 1982-1999 –> 2000-2009 | 0.7005597 | 0.4910503 | 2856.51032 | 9.840420 | 9 | 19 |
| Pacific | (28.1,28.2] | 4 | cstar_tref ~ sal + temp + aou + nitrate | 7756 | 0.2375673 | -272.8896519 | 33.522560 | 3.0017739 | 2000-2009 –> 2010-2019 | 0.4352324 | 0.1976651 | -2188.66662 | 71.464472 | 1 | 2 |
| Pacific | (28.1,28.2] | 4 | cstar_tref ~ sal + temp + aou + phosphate | 7756 | 0.2603161 | 1145.6134584 | 36.993745 | 3.5800878 | 2000-2009 –> 2010-2019 | 0.4609784 | 0.2006623 | -626.71280 | 79.264850 | 5 | 7 |
| Pacific | (28.1,28.2] | 4 | cstar_tref ~ sal + temp + aou + phosphate_star | 7756 | 0.2600278 | 1128.4245720 | 4.388882 | 3.5756700 | 2000-2009 –> 2010-2019 | 0.4614957 | 0.2014679 | -605.71071 | 8.433967 | 4 | 7 |
| Pacific | (28.1,28.2] | 4 | cstar_tref ~ sal + temp + phosphate + phosphate_star | 7756 | 0.2600033 | 1126.9636063 | 6.062985 | 3.5770818 | 2000-2009 –> 2010-2019 | 0.4615650 | 0.2015617 | -602.73515 | 11.236944 | 3 | 7 |
| Pacific | (28.1,28.2] | 4 | cstar_tref ~ sal + aou + phosphate + phosphate_star | 7756 | 0.2599920 | 1126.2933947 | 139.544244 | 3.5786885 | 2000-2009 –> 2010-2019 | 0.4617083 | 0.2017163 | -596.09842 | 329.559216 | 2 | 7 |
| Pacific | (28.1,28.2] | 4 | cstar_tref ~ sal + temp + nitrate + phosphate_star | 7756 | 0.2626152 | 1282.0125623 | 6.050212 | 3.6585233 | 2000-2009 –> 2010-2019 | 0.4652228 | 0.2026077 | -398.35008 | 11.200721 | 7 | 13 |
| Pacific | (28.1,28.2] | 4 | cstar_tref ~ sal + aou + nitrate + phosphate_star | 7756 | 0.2634389 | 1330.5938333 | 138.422056 | 3.5719052 | 2000-2009 –> 2010-2019 | 0.4680757 | 0.2046368 | -254.77831 | 328.910062 | 8 | 15 |
| Pacific | (28.1,28.2] | 3 | cstar_tref ~ sal + phosphate + phosphate_star | 7756 | 0.2606311 | 1162.3753486 | 2.944180 | 3.4799969 | 2000-2009 –> 2010-2019 | 0.4687469 | 0.2081158 | -264.30925 | 6.211544 | 6 | 14 |
| Pacific | (28.1,28.2] | 3 | cstar_tref ~ sal + nitrate + phosphate_star | 7756 | 0.2634578 | 1329.7059063 | 2.933018 | 3.5506531 | 2000-2009 –> 2010-2019 | 0.4729672 | 0.2095094 | -33.36134 | 6.172898 | 9 | 18 |
| Pacific | (28.1,28.2] | 3 | cstar_tref ~ sal + aou + phosphate_star | 7756 | 0.2685412 | 1626.1601814 | 2.974750 | 3.2402145 | 2000-2009 –> 2010-2019 | 0.4912458 | 0.2227046 | 845.28375 | 6.303155 | 10 | 20 |
| Pacific | (28.2,28.3] | 4 | cstar_tref ~ sal + temp + aou + phosphate_star | 328 | 0.0836902 | -684.4721983 | 36.415929 | 0.3118937 | 1982-1999 –> 2000-2009 | 0.2819775 | 0.1982873 | -816.22223 | 310.651253 | 5 | 6 |
| Pacific | (28.2,28.3] | 4 | cstar_tref ~ sal + temp + phosphate + phosphate_star | 328 | 0.0835662 | -685.4447965 | 29.691746 | 0.3114707 | 1982-1999 –> 2000-2009 | 0.2848492 | 0.2012830 | -806.36854 | 176.266664 | 4 | 6 |
| Pacific | (28.2,28.3] | 4 | cstar_tref ~ sal + temp + nitrate + phosphate_star | 328 | 0.0820375 | -697.5561209 | 29.959197 | 0.3039225 | 1982-1999 –> 2000-2009 | 0.2863511 | 0.2043136 | -807.69003 | 184.534612 | 2 | 7 |
| Pacific | (28.2,28.3] | 3 | cstar_tref ~ sal + aou + phosphate_star | 328 | 0.0846366 | -679.0955240 | 26.466746 | 0.3433036 | 1982-1999 –> 2000-2009 | 0.2868011 | 0.2021645 | -798.86416 | 122.450004 | 6 | 9 |
| Pacific | (28.2,28.3] | 4 | cstar_tref ~ sal + temp + aou + phosphate | 328 | 0.0833168 | -687.4053333 | 108.252606 | 0.3105161 | 1982-1999 –> 2000-2009 | 0.2919813 | 0.2086645 | -782.32569 | 324.585060 | 3 | 10 |
| Pacific | (28.2,28.3] | 4 | cstar_tref ~ sal + temp + aou + nitrate | 328 | 0.0781214 | -729.6424026 | 134.217004 | 0.2837132 | 1982-1999 –> 2000-2009 | 0.3005304 | 0.2224090 | -778.50612 | 429.193651 | 1 | 9 |
| Pacific | (28.2,28.3] | 3 | cstar_tref ~ sal + phosphate + phosphate_star | 328 | 0.1064281 | -528.8035264 | 25.168502 | 0.2952099 | 1982-1999 –> 2000-2009 | 0.3093345 | 0.2029064 | -645.92755 | 47.988773 | 8 | 12 |
| Pacific | (28.2,28.3] | 3 | cstar_tref ~ sal + nitrate + phosphate_star | 328 | 0.1043970 | -541.4439599 | 24.610452 | 0.2981642 | 1982-1999 –> 2000-2009 | 0.3100953 | 0.2056983 | -648.70123 | 56.329698 | 7 | 13 |
| Pacific | (28.2,28.3] | 3 | cstar_tref ~ temp + aou + phosphate_star | 328 | 0.2385555 | 0.6751803 | 22.884665 | 0.7425202 | 1982-1999 –> 2000-2009 | 0.5278074 | 0.2892519 | 139.53862 | 263.783869 | 16 | 25 |
| Pacific | (28.2,28.3] | 3 | cstar_tref ~ temp + phosphate + phosphate_star | 328 | 0.2369913 | -3.6405301 | 9.571784 | 0.7377325 | 1982-1999 –> 2000-2009 | 0.5280112 | 0.2910199 | 139.62265 | 154.346039 | 14 | 24 |
| Pacific | (28.2,28.3] | 4 | cstar_tref ~ sal + temp + aou + nitrate | 1065 | 0.1109596 | -1648.6558160 | 67.011476 | 0.5175536 | 2000-2009 –> 2010-2019 | 0.1890810 | 0.0781214 | -2378.29822 | 201.228480 | 1 | 2 |
| Pacific | (28.2,28.3] | 4 | cstar_tref ~ sal + temp + nitrate + phosphate_star | 1065 | 0.1119044 | -1630.5960028 | 39.908646 | 0.5325401 | 2000-2009 –> 2010-2019 | 0.1939419 | 0.0820375 | -2328.15212 | 69.867842 | 2 | 4 |
| Pacific | (28.2,28.3] | 4 | cstar_tref ~ sal + temp + aou + phosphate | 1065 | 0.1121202 | -1626.4914110 | 55.853022 | 0.5358747 | 2000-2009 –> 2010-2019 | 0.1954370 | 0.0833168 | -2313.89674 | 164.105627 | 3 | 6 |
| Pacific | (28.2,28.3] | 4 | cstar_tref ~ sal + aou + nitrate + phosphate_star | 1065 | 0.1122321 | -1624.3667724 | 63.783553 | 0.5341794 | 2000-2009 –> 2010-2019 | 0.1956040 | 0.0833719 | -2311.33847 | 163.347465 | 4 | 8 |
| Pacific | (28.2,28.3] | 4 | cstar_tref ~ sal + temp + phosphate + phosphate_star | 1065 | 0.1123368 | -1622.3807230 | 42.710446 | 0.5378158 | 2000-2009 –> 2010-2019 | 0.1959030 | 0.0835662 | -2307.82552 | 72.402192 | 5 | 10 |
| Pacific | (28.2,28.3] | 4 | cstar_tref ~ sal + aou + phosphate + phosphate_star | 1065 | 0.1124183 | -1620.8369847 | 62.656219 | 0.5378600 | 2000-2009 –> 2010-2019 | 0.1960864 | 0.0836681 | -2305.48203 | 159.096673 | 6 | 12 |
| Pacific | (28.2,28.3] | 4 | cstar_tref ~ sal + temp + aou + phosphate_star | 1065 | 0.1124708 | -1619.8430243 | 42.813491 | 0.5386077 | 2000-2009 –> 2010-2019 | 0.1961609 | 0.0836902 | -2304.31522 | 79.229420 | 7 | 14 |
| Pacific | (28.2,28.3] | 3 | cstar_tref ~ sal + aou + phosphate_star | 1065 | 0.1135986 | -1600.5909118 | 29.485583 | 0.5540023 | 2000-2009 –> 2010-2019 | 0.1982351 | 0.0846366 | -2279.68644 | 55.952329 | 8 | 16 |
| Pacific | (28.2,28.3] | 3 | cstar_tref ~ sal + nitrate + phosphate_star | 1065 | 0.1164429 | -1547.9156374 | 39.842348 | 0.4685757 | 2000-2009 –> 2010-2019 | 0.2208399 | 0.1043970 | -2089.35960 | 64.452801 | 9 | 18 |
| Pacific | (28.2,28.3] | 3 | cstar_tref ~ sal + phosphate + phosphate_star | 1065 | 0.1170116 | -1537.5388892 | 42.616710 | 0.4732407 | 2000-2009 –> 2010-2019 | 0.2234397 | 0.1064281 | -2066.34242 | 67.785212 | 10 | 20 |
lm_best %>%
select(-n_predictors) %>%
group_by(basin, gamma_slab, eras) %>%
summarise(rmse_sum_mean = mean(rmse_sum),
ais_sum_mean = mean(aic_sum)) %>%
ungroup() %>%
kable() %>%
add_header_above() %>%
kable_styling() %>%
scroll_box(width = "100%", height = "400px")
| basin | gamma_slab | eras | rmse_sum_mean | ais_sum_mean |
|---|---|---|---|---|
| Atlantic | (-Inf,26] | 1982-1999 –> 2000-2009 | 9.5869573 | 2490.7680 |
| Atlantic | (-Inf,26] | 2000-2009 –> 2010-2019 | 8.8863055 | 2601.3498 |
| Atlantic | (26,26.5] | 1982-1999 –> 2000-2009 | 8.0137657 | 7155.6586 |
| Atlantic | (26,26.5] | 2000-2009 –> 2010-2019 | 9.0819950 | 8131.9583 |
| Atlantic | (26.5,26.75] | 1982-1999 –> 2000-2009 | 6.3799415 | 6844.0021 |
| Atlantic | (26.5,26.75] | 2000-2009 –> 2010-2019 | 6.7504468 | 6726.6483 |
| Atlantic | (26.75,27] | 1982-1999 –> 2000-2009 | 6.3076561 | 10158.1871 |
| Atlantic | (26.75,27] | 2000-2009 –> 2010-2019 | 6.5171219 | 9822.0444 |
| Atlantic | (27,27.25] | 1982-1999 –> 2000-2009 | 4.9129323 | 13183.6367 |
| Atlantic | (27,27.25] | 2000-2009 –> 2010-2019 | 5.9271882 | 11652.0306 |
| Atlantic | (27.25,27.5] | 1982-1999 –> 2000-2009 | 5.0565589 | 16604.7011 |
| Atlantic | (27.25,27.5] | 2000-2009 –> 2010-2019 | 6.8219935 | 17266.6642 |
| Atlantic | (27.5,27.75] | 1982-1999 –> 2000-2009 | 5.5181917 | 22270.3369 |
| Atlantic | (27.5,27.75] | 2000-2009 –> 2010-2019 | 7.3779995 | 25211.6707 |
| Atlantic | (27.75,27.85] | 1982-1999 –> 2000-2009 | 5.8038063 | 13031.3633 |
| Atlantic | (27.75,27.85] | 2000-2009 –> 2010-2019 | 6.7836698 | 15587.0911 |
| Atlantic | (27.85,27.95] | 1982-1999 –> 2000-2009 | 8.5257671 | 43688.3863 |
| Atlantic | (27.85,27.95] | 2000-2009 –> 2010-2019 | 9.7702400 | 52338.4581 |
| Atlantic | (27.95,28.05] | 1982-1999 –> 2000-2009 | 4.0813264 | 26876.4137 |
| Atlantic | (27.95,28.05] | 2000-2009 –> 2010-2019 | 4.8586477 | 29226.6472 |
| Atlantic | (28.05,28.1] | 1982-1999 –> 2000-2009 | 3.6827993 | 12777.2159 |
| Atlantic | (28.05,28.1] | 2000-2009 –> 2010-2019 | 4.0719180 | 14639.8716 |
| Atlantic | (28.1,28.15] | 1982-1999 –> 2000-2009 | 2.5442984 | 8894.2599 |
| Atlantic | (28.1,28.15] | 2000-2009 –> 2010-2019 | 2.7715497 | 12583.9460 |
| Atlantic | (28.15,28.2] | 1982-1999 –> 2000-2009 | 0.9854599 | 1960.0554 |
| Atlantic | (28.15,28.2] | 2000-2009 –> 2010-2019 | 1.1302380 | 3052.2284 |
| Atlantic | (28.2, Inf] | 1982-1999 –> 2000-2009 | 0.7884261 | 1673.1247 |
| Atlantic | (28.2, Inf] | 2000-2009 –> 2010-2019 | 0.7402972 | 1244.8079 |
| Indian | (-Inf,26] | 1982-1999 –> 2000-2009 | 9.1094830 | 5513.7223 |
| Indian | (-Inf,26] | 2000-2009 –> 2010-2019 | 9.3149388 | 3151.1369 |
| Indian | (26,26.5] | 1982-1999 –> 2000-2009 | 10.5294520 | 9636.3750 |
| Indian | (26,26.5] | 2000-2009 –> 2010-2019 | 10.4117453 | 5984.9860 |
| Indian | (26.5,26.75] | 1982-1999 –> 2000-2009 | 7.5477836 | 10632.8894 |
| Indian | (26.5,26.75] | 2000-2009 –> 2010-2019 | 7.6875875 | 7062.6140 |
| Indian | (26.75,27] | 1982-1999 –> 2000-2009 | 5.6596966 | 11427.9601 |
| Indian | (26.75,27] | 2000-2009 –> 2010-2019 | 5.4513195 | 7195.9197 |
| Indian | (27,27.25] | 1982-1999 –> 2000-2009 | 2.8426520 | 8368.5754 |
| Indian | (27,27.25] | 2000-2009 –> 2010-2019 | 3.3118811 | 5702.5523 |
| Indian | (27.25,27.5] | 1982-1999 –> 2000-2009 | 3.5269081 | 11413.5690 |
| Indian | (27.25,27.5] | 2000-2009 –> 2010-2019 | 3.9016926 | 7655.9002 |
| Indian | (27.5,27.75] | 1982-1999 –> 2000-2009 | 2.5560796 | 11732.2604 |
| Indian | (27.5,27.75] | 2000-2009 –> 2010-2019 | 2.9435207 | 8630.7654 |
| Indian | (27.75,27.85] | 1982-1999 –> 2000-2009 | 1.9657598 | 4820.4447 |
| Indian | (27.75,27.85] | 2000-2009 –> 2010-2019 | 1.9843436 | 3556.5282 |
| Indian | (27.85,27.95] | 1982-1999 –> 2000-2009 | 1.7919772 | 5491.9289 |
| Indian | (27.85,27.95] | 2000-2009 –> 2010-2019 | 1.7611014 | 4194.4108 |
| Indian | (27.95,28.05] | 1982-1999 –> 2000-2009 | 1.6611299 | 7423.3246 |
| Indian | (27.95,28.05] | 2000-2009 –> 2010-2019 | 1.8348877 | 6599.9030 |
| Indian | (28.05,28.1] | 1982-1999 –> 2000-2009 | 1.2051939 | 4256.6798 |
| Indian | (28.05,28.1] | 2000-2009 –> 2010-2019 | 1.2757476 | 3579.2854 |
| Indian | (28.1,28.2] | 1982-1999 –> 2000-2009 | 1.3316131 | 13321.0029 |
| Indian | (28.1,28.2] | 2000-2009 –> 2010-2019 | 1.4214522 | 11551.4130 |
| Indian | (28.2,28.3] | 1982-1999 –> 2000-2009 | 0.3849075 | -936.7359 |
| Indian | (28.2,28.3] | 2000-2009 –> 2010-2019 | 0.3508093 | -939.3011 |
| Indian | (28.3, Inf] | 1982-1999 –> 2000-2009 | 0.0126315 | -1164.2321 |
| Pacific | (-Inf,26] | 1982-1999 –> 2000-2009 | 19.2498882 | 35759.4755 |
| Pacific | (-Inf,26] | 2000-2009 –> 2010-2019 | 18.9245274 | 60165.3110 |
| Pacific | (26,26.5] | 1982-1999 –> 2000-2009 | 19.4937428 | 27947.0088 |
| Pacific | (26,26.5] | 2000-2009 –> 2010-2019 | 20.5482649 | 37446.8056 |
| Pacific | (26.5,26.75] | 1982-1999 –> 2000-2009 | 18.4860187 | 21214.4584 |
| Pacific | (26.5,26.75] | 2000-2009 –> 2010-2019 | 21.1928771 | 29491.7816 |
| Pacific | (26.75,27] | 1982-1999 –> 2000-2009 | 12.6335775 | 24521.4046 |
| Pacific | (26.75,27] | 2000-2009 –> 2010-2019 | 13.2801739 | 36434.0113 |
| Pacific | (27,27.25] | 1982-1999 –> 2000-2009 | 7.8780048 | 31869.8786 |
| Pacific | (27,27.25] | 2000-2009 –> 2010-2019 | 8.4863082 | 42962.9001 |
| Pacific | (27.25,27.5] | 1982-1999 –> 2000-2009 | 4.9096928 | 34523.2007 |
| Pacific | (27.25,27.5] | 2000-2009 –> 2010-2019 | 4.9590042 | 45760.0083 |
| Pacific | (27.5,27.75] | 1982-1999 –> 2000-2009 | 2.7402518 | 26294.4727 |
| Pacific | (27.5,27.75] | 2000-2009 –> 2010-2019 | 2.5310653 | 36832.7528 |
| Pacific | (27.75,27.85] | 1982-1999 –> 2000-2009 | 2.0833618 | 10462.9395 |
| Pacific | (27.75,27.85] | 2000-2009 –> 2010-2019 | 2.0322662 | 16270.3316 |
| Pacific | (27.85,27.95] | 1982-1999 –> 2000-2009 | 1.5679758 | 10726.3616 |
| Pacific | (27.85,27.95] | 2000-2009 –> 2010-2019 | 1.3528351 | 16182.9379 |
| Pacific | (27.95,28.05] | 1982-1999 –> 2000-2009 | 1.0520114 | 14912.9403 |
| Pacific | (27.95,28.05] | 2000-2009 –> 2010-2019 | 1.0324330 | 22160.7509 |
| Pacific | (28.05,28.1] | 1982-1999 –> 2000-2009 | 0.7332301 | 4586.7181 |
| Pacific | (28.05,28.1] | 2000-2009 –> 2010-2019 | 0.6367654 | 6113.4308 |
| Pacific | (28.1,28.2] | 1982-1999 –> 2000-2009 | 0.6687334 | 2301.5927 |
| Pacific | (28.1,28.2] | 2000-2009 –> 2010-2019 | 0.4647238 | -472.5439 |
| Pacific | (28.2,28.3] | 1982-1999 –> 2000-2009 | 0.3407739 | -580.5444 |
| Pacific | (28.2,28.3] | 2000-2009 –> 2010-2019 | 0.2004729 | -2268.4697 |
A data frame to map the target variable is prepared.
# create table with two era belonging to one eras
eras_forward <- lm_all_fitted_wide %>%
arrange(era) %>%
group_by(basin, gamma_slab, model) %>%
mutate(eras = paste(era, lead(era), sep = " --> ")) %>%
ungroup() %>%
select(era, eras) %>%
unique()
eras_backward <- lm_all_fitted_wide %>%
arrange(era) %>%
group_by(basin, gamma_slab, model) %>%
mutate(eras = paste(lag(era), era, sep = " --> ")) %>%
ungroup() %>%
select(era, eras) %>%
unique()
eras_era <- full_join(eras_backward, eras_forward) %>%
filter(str_detect(eras, "NA") == FALSE)
# extend best model selection from eras to era
lm_best_target <- full_join(
lm_best %>% select(basin, gamma_slab, model, eras),
eras_era)
lm_best_target <- left_join(lm_best_target, lm_all_fitted_wide)
rm(eras_era, eras_forward, eras_backward,
lm_all_fitted)
# plot model diagnostics, if activated
if (params_local$plot_all_figures == "y") {
# mutate predictors column
lm_best_plot <- lm_best_target %>%
select(basin, gamma_slab, model, eras, era) %>%
mutate(
predictors = str_remove(model, paste(params_local$MLR_target, "~ ")),
predictors = str_replace_all(predictors, "\\+ ", "")
)
# loop across all basins, era, gamma slabs, and MLRs
# fit all MLR models
for (i_basin in unique(GLODAP$basin)) {
for (i_era in unique(GLODAP$era)) {
#i_basin <- unique(GLODAP$basin)[1]
#i_era <- unique(GLODAP$era)[2]
print(i_basin)
print(i_era)
GLODAP_basin_era <- GLODAP %>%
filter(basin == i_basin, era == i_era)
for (i_gamma_slab in unique(GLODAP_basin_era$gamma_slab)) {
#i_gamma_slab <- unique(GLODAP_basin_era$gamma_slab)[1]
print(i_gamma_slab)
GLODAP_basin_era_slab <- GLODAP_basin_era %>%
filter(gamma_slab == i_gamma_slab)
lm_best_basin_era_slab <- lm_best_plot %>%
filter(basin == i_basin, era == i_era, gamma_slab == i_gamma_slab)
for (i_eras in unique(lm_best_basin_era_slab$eras)) {
#i_eras <- unique(lm_best_basin_era_slab$eras)[1]
print(i_eras)
lm_best_basin_era_slab_eras <- lm_best_basin_era_slab %>%
filter(eras == i_eras)
for (i_predictors in unique(lm_best_basin_era_slab_eras$predictors)) {
#i_predictors <- unique(lm_best_basin_era_slab$predictors)[1]
print(i_predictors)
# extract one model definition
i_lm <- lm_all %>%
filter(predictors == i_predictors) %>%
select(lm_coeff) %>%
pull()
# fit model
if (params_local$MLR_type == "rlm") {
i_lm_fit <- MASS::rlm(as.formula(i_lm),
data = GLODAP_basin_era_slab)
}
if (params_local$MLR_type == "lm") {
i_lm_fit <- lm(as.formula(i_lm),
data = GLODAP_basin_era_slab)
}
# plot model diagnostics vs predictors
p_model_predictors <- ggnostic(
i_lm_fit,
columnsY = c(params_local$MLR_target, ".fitted", ".resid"),
title = paste(
"era:",
i_era,
"| eras:",
i_eras,
"| basin:",
i_basin,
"| gamma slab:",
i_gamma_slab,
"| predictors:",
i_predictors
)
)
ggsave(
plot = p_model_predictors,
path = paste(path_version_figures, "eMLR_diagnostics/", sep = ""),
filename = paste(
"MLR_residuals",
i_era,
i_eras,
i_basin,
i_gamma_slab,
i_predictors,
"predictors.png",
sep = "_"
),
width = 14,
height = 8
)
rm(p_model_predictors)
# plot model diagnostics vs location
GLODAP_basin_era_slab <- GLODAP_basin_era_slab %>%
mutate(fitted = i_lm_fit$fitted.values,
residuals = i_lm_fit$residuals)
GLODAP_basin_era_slab_long <- GLODAP_basin_era_slab %>%
pivot_longer(cols = c(params_local$MLR_target , fitted, residuals),
names_to = "estimate",
values_to = "value"
) %>%
pivot_longer(cols = c(lat, lon, depth),
names_to = "coordinate_type",
values_to = "coordinate_value"
)
p_model_coordinate <- GLODAP_basin_era_slab_long %>%
ggplot(aes(coordinate_value, value)) +
geom_bin2d() +
scale_fill_viridis_c() +
labs(
title = paste(
"era:",
i_era,
"| eras:",
i_eras,
"| basin:",
i_basin,
"| gamma slab:",
i_gamma_slab,
"| predictors:",
i_predictors
)
) +
facet_grid(estimate~coordinate_type,
scales = "free")
ggsave(
plot = p_model_coordinate,
path = paste(path_version_figures, "eMLR_diagnostics", sep = ""),
filename = paste(
"Location_MLR_residuals",
i_era,
i_eras,
i_basin,
i_gamma_slab,
i_predictors,
"predictors.png",
sep = "_"
),
width = 14,
height = 8
)
rm(p_model_coordinate)
}
}
}
}
}
rm(
lm_best_plot,
lm_best_basin_era_slab,
i_rmse,
GLODAP_basin_era,
GLODAP_basin_era_slab,
i_lm,
lm_all_fitted,
i_basin,
i_era,
i_gamma_slab,
i_predictors,
lm_all,
i_aic,
i_n_predictors,
i_resid_max
)
}
Individual residual plots of the MLR models for each basin, era, eras and neutral density (gamma) slab are available at:
/nfs/kryo/work/jenmueller/emlr_cant/model/v_XXX/figures/eMLR_diagnostics/
A data frame of coefficient offsets is prepared to facilitate the direct mapping of Cant.
# pivot long format
lm_best_long <- lm_best_target %>%
pivot_longer(cols = starts_with("coeff_"),
names_to = "term",
values_to = "estimate",
names_prefix = "coeff_")
# subtract coefficients of adjacent era
lm_best_long <- lm_best_long %>%
arrange(era) %>%
group_by(basin, gamma_slab, eras, model, term) %>%
mutate(delta_coeff = estimate - lag(estimate)) %>%
ungroup() %>%
arrange(basin, gamma_slab, model, term, eras) %>%
drop_na() %>%
select(-c(era,estimate))
# pivot back to wide format
lm_best_cant <- lm_best_long %>%
pivot_wider(values_from = delta_coeff,
names_from = term,
names_prefix = "delta_coeff_",
values_fill = 0)
lm_best_target %>%
select(
basin,
gamma_slab,
model,
eras,
era,
starts_with("coeff_")
) %>%
write_csv(paste(path_version_data,
"lm_best_target.csv",
sep = ""))
lm_best_cant %>%
select(
basin,
gamma_slab,
model,
eras,
starts_with("delta_coeff_")
) %>%
write_csv(paste(path_version_data,
"lm_best_cant.csv",
sep = ""))
lm_best %>%
write_csv(paste(path_version_data,
"lm_best.csv",
sep = ""))
The selection criterion (rmse) was plotted against the number of predictors (limited to 2 - 5).
if (params_local$MLR_criterion != "rank") {
lm_all_fitted_wide %>%
ggplot(aes(as.factor(n_predictors),
!!sym(params_local$MLR_criterion),
col = basin)) +
geom_hline(yintercept = 10) +
geom_boxplot() +
facet_grid(gamma_slab~era) +
scale_color_brewer(palette = "Set1") +
labs(x="Number of predictors")
}
if (params_local$MLR_criterion != "rank") {
lm_best_target %>%
ggplot(aes("",
!!sym(params_local$MLR_criterion),
col = basin)) +
geom_hline(yintercept = 10) +
geom_boxplot() +
facet_grid(gamma_slab~era) +
scale_color_brewer(palette = "Set1") +
labs(x="Number of predictors pooled")
}
RMSE was plotted to compare the agreement for one model applied to two adjacent eras (ie check whether the same predictor combination performs equal in both eras).
# find max rmse to scale axis
max_rmse <-
max(c(lm_all_fitted_wide_eras$rmse,
lm_all_fitted_wide_eras$rmse_sum - lm_all_fitted_wide_eras$rmse))
lm_all_fitted_wide_eras %>%
ggplot(aes(rmse, rmse_sum - rmse, col = gamma_slab)) +
geom_point() +
scale_color_viridis_d() +
coord_equal(xlim = c(0,max_rmse),
ylim = c(0,max_rmse)) +
facet_grid(eras ~ basin)

| Version | Author | Date |
|---|---|---|
| d98dd99 | Donghe-Zhu | 2021-08-18 |
| b5955e0 | Donghe-Zhu | 2021-08-18 |
| cceae84 | Donghe-Zhu | 2021-08-18 |
| 1cdb694 | Donghe-Zhu | 2021-08-18 |
| 9b7a798 | Donghe-Zhu | 2021-08-06 |
| 90f70da | Donghe-Zhu | 2021-08-06 |
| 496fa02 | Donghe-Zhu | 2021-08-05 |
| 19ecfe2 | Donghe-Zhu | 2021-08-05 |
| 3253031 | Donghe-Zhu | 2021-08-05 |
| 6c70952 | Donghe-Zhu | 2021-08-01 |
| 2666bd7 | Donghe-Zhu | 2021-08-01 |
| e51cfa2 | Donghe-Zhu | 2021-08-01 |
| 78cbc18 | Donghe-Zhu | 2021-08-01 |
| c55d4d7 | Donghe-Zhu | 2021-08-01 |
| 26741db | Donghe-Zhu | 2021-08-01 |
| ca539b5 | Donghe-Zhu | 2021-08-01 |
| 1e98138 | Donghe-Zhu | 2021-08-01 |
| 777b9e9 | Donghe-Zhu | 2021-08-01 |
| b110c47 | Donghe-Zhu | 2021-08-01 |
| 3611a48 | Donghe-Zhu | 2021-08-01 |
| af832ef | Donghe-Zhu | 2021-07-31 |
| 016f9ed | Donghe-Zhu | 2021-07-31 |
| 2080ac5 | Donghe-Zhu | 2021-07-31 |
| 50f0a16 | Donghe-Zhu | 2021-07-31 |
| 1682579 | Donghe-Zhu | 2021-07-31 |
| 9fa8832 | Donghe-Zhu | 2021-07-31 |
| 4abf542 | Donghe-Zhu | 2021-07-31 |
| a2483f0 | Donghe-Zhu | 2021-07-31 |
| 3300527 | Donghe-Zhu | 2021-07-31 |
| afeb6fd | Donghe-Zhu | 2021-07-31 |
| cb3ef32 | Donghe-Zhu | 2021-07-31 |
| 6528618 | Donghe-Zhu | 2021-07-31 |
| f50925e | Donghe-Zhu | 2021-07-31 |
| f4de2f3 | Donghe-Zhu | 2021-07-30 |
| 43bc7b4 | Donghe-Zhu | 2021-07-30 |
| f8c34a8 | Donghe-Zhu | 2021-07-30 |
| 4f897c4 | Donghe-Zhu | 2021-07-30 |
| 0f6e960 | Donghe-Zhu | 2021-07-30 |
| fe067ea | Donghe-Zhu | 2021-07-30 |
| fbca39a | Donghe-Zhu | 2021-07-30 |
| f945f95 | Donghe-Zhu | 2021-07-30 |
| a3006cd | Donghe-Zhu | 2021-07-30 |
| a55ffdc | Donghe-Zhu | 2021-07-30 |
| d5e4458 | Donghe-Zhu | 2021-07-30 |
| 10a97ef | Donghe-Zhu | 2021-07-30 |
| 1c501fd | Donghe-Zhu | 2021-07-30 |
| 68bce3f | Donghe-Zhu | 2021-07-30 |
| 400c457 | Donghe-Zhu | 2021-07-29 |
| 3ba7852 | Donghe-Zhu | 2021-07-29 |
| ec68363 | Donghe-Zhu | 2021-07-28 |
| d3018f6 | Donghe-Zhu | 2021-07-28 |
| b8ba2c4 | Donghe-Zhu | 2021-07-28 |
| a4ddd84 | Donghe-Zhu | 2021-07-27 |
| 7ef49ab | Donghe-Zhu | 2021-07-27 |
| da818c0 | Donghe-Zhu | 2021-07-27 |
| 8623898 | Donghe-Zhu | 2021-07-27 |
| f84b77c | Donghe-Zhu | 2021-07-27 |
| 70ad9a5 | Donghe-Zhu | 2021-07-27 |
| 0d0b48d | Donghe-Zhu | 2021-07-27 |
| d0d97c6 | Donghe-Zhu | 2021-07-27 |
| 829510d | Donghe-Zhu | 2021-07-27 |
| 780627d | Donghe-Zhu | 2021-07-27 |
| e9838c9 | Donghe-Zhu | 2021-07-27 |
| 2777f33 | Donghe-Zhu | 2021-07-27 |
| d19760f | Donghe-Zhu | 2021-07-27 |
| cac5680 | Donghe-Zhu | 2021-07-23 |
| 7bb279a | Donghe-Zhu | 2021-07-23 |
| d52eac4 | Donghe-Zhu | 2021-07-23 |
| dcf34b1 | Donghe-Zhu | 2021-07-23 |
| 419cb72 | Donghe-Zhu | 2021-07-22 |
| 9447d10 | Donghe-Zhu | 2021-07-22 |
| 639c9a0 | Donghe-Zhu | 2021-07-22 |
| 25bb96f | Donghe-Zhu | 2021-07-22 |
| cdc98a3 | Donghe-Zhu | 2021-07-22 |
| e4805a1 | Donghe-Zhu | 2021-07-22 |
| 7957fd1 | Donghe-Zhu | 2021-07-21 |
| b94be4e | Donghe-Zhu | 2021-07-21 |
| 9950e70 | Donghe-Zhu | 2021-07-21 |
| 698b6f0 | Donghe-Zhu | 2021-07-20 |
| d84a1cb | Donghe-Zhu | 2021-07-20 |
| 4dce223 | Donghe-Zhu | 2021-07-20 |
| 6f28c0c | Donghe-Zhu | 2021-07-20 |
| db1e7b7 | Donghe-Zhu | 2021-07-19 |
| ff0575d | Donghe-Zhu | 2021-07-19 |
| 5d60eac | Donghe-Zhu | 2021-07-19 |
| 57d0420 | Donghe-Zhu | 2021-07-16 |
| c1be8f6 | Donghe-Zhu | 2021-07-16 |
| 26a7c15 | Donghe-Zhu | 2021-07-16 |
| 046902b | Donghe-Zhu | 2021-07-16 |
| 3d4ac14 | Donghe-Zhu | 2021-07-15 |
| be6fff9 | Donghe-Zhu | 2021-07-15 |
| b473472 | Donghe-Zhu | 2021-07-15 |
| 363270a | Donghe-Zhu | 2021-07-15 |
| 8b75a03 | Donghe-Zhu | 2021-07-15 |
| a01e135 | Donghe-Zhu | 2021-07-07 |
| bc83ef2 | Donghe-Zhu | 2021-07-07 |
| 75e7b07 | Donghe-Zhu | 2021-07-06 |
| 697aa6d | Donghe-Zhu | 2021-07-06 |
| d52e2de | Donghe-Zhu | 2021-07-06 |
| f2bde6b | Donghe-Zhu | 2021-07-06 |
| 1133f28 | Donghe-Zhu | 2021-07-06 |
| fe3a1cd | Donghe-Zhu | 2021-07-06 |
| d9cdf15 | Donghe-Zhu | 2021-07-06 |
| ee4cd2d | Donghe-Zhu | 2021-07-06 |
| 93821c1 | Donghe-Zhu | 2021-07-05 |
| d44db8e | Donghe-Zhu | 2021-07-05 |
| 20b3436 | Donghe-Zhu | 2021-07-05 |
| d982ea5 | Donghe-Zhu | 2021-07-05 |
| 7397e53 | Donghe-Zhu | 2021-07-05 |
| f2e4805 | Donghe-Zhu | 2021-07-05 |
| e2d011a | Donghe-Zhu | 2021-07-05 |
| 85e0349 | Donghe-Zhu | 2021-07-05 |
| 6ee0146 | Donghe-Zhu | 2021-07-05 |
| a482a6b | Donghe-Zhu | 2021-07-05 |
| f59f1b3 | Donghe-Zhu | 2021-07-05 |
| 116bcab | Donghe-Zhu | 2021-07-04 |
| cb1c8dc | Donghe-Zhu | 2021-07-04 |
| c9bdd83 | Donghe-Zhu | 2021-07-04 |
| 1920ad9 | Donghe-Zhu | 2021-07-04 |
| 0b02791 | Donghe-Zhu | 2021-06-25 |
| caf62d8 | Donghe-Zhu | 2021-06-25 |
| 90a9da5 | Donghe-Zhu | 2021-06-25 |
| bb413c8 | Donghe-Zhu | 2021-06-25 |
| e7a5266 | Donghe-Zhu | 2021-06-24 |
| 7c57720 | Donghe-Zhu | 2021-06-24 |
| b5b95a9 | Donghe-Zhu | 2021-06-24 |
| 472aad4 | Donghe-Zhu | 2021-06-24 |
| d517836 | Donghe-Zhu | 2021-06-24 |
| 9221bfe | Donghe-Zhu | 2021-06-24 |
| bff5fbf | Donghe-Zhu | 2021-06-23 |
| 256a616 | Donghe-Zhu | 2021-06-23 |
| 00072e2 | Donghe-Zhu | 2021-06-23 |
| 7431530 | Donghe-Zhu | 2021-06-20 |
| d20c383 | Donghe-Zhu | 2021-06-18 |
| b0874a2 | Donghe-Zhu | 2021-06-17 |
| 72c2f2e | Donghe-Zhu | 2021-06-15 |
| d97dcb6 | Donghe-Zhu | 2021-06-08 |
| 25dda1d | Donghe-Zhu | 2021-06-08 |
| bd2bcc3 | Donghe-Zhu | 2021-06-08 |
| e9b27d7 | Donghe-Zhu | 2021-06-07 |
| 7ae0d4b | Donghe-Zhu | 2021-06-07 |
| 325391f | Donghe-Zhu | 2021-06-07 |
| ed89970 | Donghe-Zhu | 2021-06-07 |
| df37958 | Donghe-Zhu | 2021-06-07 |
| 812bf63 | Donghe-Zhu | 2021-06-06 |
| 65c89c8 | Donghe-Zhu | 2021-06-06 |
| 9baa3b2 | Donghe-Zhu | 2021-06-06 |
| b7d99cf | Donghe-Zhu | 2021-06-06 |
| 5d8fa90 | Donghe-Zhu | 2021-06-06 |
| dbe2a95 | Donghe-Zhu | 2021-05-28 |
| d50b039 | Donghe-Zhu | 2021-05-28 |
| 441ebe5 | Donghe-Zhu | 2021-05-28 |
| 6262ad3 | Donghe-Zhu | 2021-05-28 |
| a61aa77 | Donghe-Zhu | 2021-05-28 |
| b8dbce4 | Donghe-Zhu | 2021-05-28 |
| 94a833e | Donghe-Zhu | 2021-05-27 |
| 5e0bd64 | Donghe-Zhu | 2021-05-27 |
| af1eadd | Donghe-Zhu | 2021-05-27 |
| 9179bfe | Donghe-Zhu | 2021-05-27 |
| 28cbe5e | Donghe-Zhu | 2021-05-27 |
| a618f02 | Donghe-Zhu | 2021-05-27 |
| 4623e38 | Donghe-Zhu | 2021-05-27 |
| b81bb49 | Donghe-Zhu | 2021-05-27 |
| 951e188 | Donghe-Zhu | 2021-05-27 |
| e377833 | Donghe-Zhu | 2021-05-26 |
| 2705a04 | Donghe-Zhu | 2021-03-28 |
| cd5f759 | Donghe-Zhu | 2021-03-28 |
| 75dda4d | Donghe-Zhu | 2021-03-27 |
| 0b19f6e | Donghe-Zhu | 2021-03-27 |
| e2704ca | Donghe-Zhu | 2021-03-27 |
| 3061a0b | Donghe-Zhu | 2021-03-27 |
| b883157 | Donghe-Zhu | 2021-03-27 |
| d19654d | Donghe-Zhu | 2021-03-26 |
| 6c53dbf | Donghe-Zhu | 2021-03-25 |
| 1914a11 | Donghe-Zhu | 2021-03-24 |
| 8be810e | Donghe-Zhu | 2021-03-23 |
| bf19764 | Donghe-Zhu | 2021-03-22 |
| 3ec9d3d | Donghe-Zhu | 2021-03-22 |
| 134ace1 | Donghe-Zhu | 2021-03-22 |
| f6d70a4 | Donghe-Zhu | 2021-03-22 |
| 183443b | Donghe-Zhu | 2021-03-21 |
| 2e6976b | Donghe-Zhu | 2021-03-21 |
| 51a42bd | Donghe-Zhu | 2021-03-16 |
| f745381 | Donghe-Zhu | 2021-03-16 |
| aecbf75 | Donghe-Zhu | 2021-03-14 |
| 1b2a0c2 | Donghe-Zhu | 2021-03-14 |
| 6733e48 | Donghe-Zhu | 2021-03-12 |
| ba71e6a | Donghe-Zhu | 2021-03-12 |
| 9dbf5bd | Donghe-Zhu | 2021-03-11 |
| a49df30 | Donghe-Zhu | 2021-03-11 |
| b3348a5 | Donghe-Zhu | 2021-03-11 |
| 1c24ff7 | Donghe-Zhu | 2021-03-10 |
| 94ce5a8 | Donghe-Zhu | 2021-03-10 |
| db33928 | Donghe-Zhu | 2021-03-10 |
| 3d1f470 | Donghe-Zhu | 2021-03-10 |
| 9b7bc66 | Donghe-Zhu | 2021-03-10 |
| 5365f80 | Donghe-Zhu | 2021-03-10 |
| 2b6c392 | Donghe-Zhu | 2021-03-10 |
| 9f58753 | Donghe-Zhu | 2021-03-10 |
| 9d5a62c | Donghe-Zhu | 2021-03-10 |
| 5d1e70b | Donghe-Zhu | 2021-03-10 |
| 2093979 | Donghe-Zhu | 2021-03-10 |
| b865899 | Donghe-Zhu | 2021-03-10 |
| cc2a956 | Donghe-Zhu | 2021-03-10 |
| dba33c8 | Donghe-Zhu | 2021-03-09 |
| 17f1c4a | Donghe-Zhu | 2021-03-09 |
| c024d1a | Donghe-Zhu | 2021-03-09 |
| 02f7242 | Donghe-Zhu | 2021-03-09 |
| 1691156 | Donghe-Zhu | 2021-03-08 |
| c0ceaf8 | Donghe-Zhu | 2021-03-08 |
| 058e0a1 | Donghe-Zhu | 2021-03-08 |
| 112dea0 | Donghe-Zhu | 2021-03-08 |
| 1843412 | Donghe-Zhu | 2021-03-08 |
| 3fbbfa4 | Donghe-Zhu | 2021-03-07 |
| 627c8fb | Donghe-Zhu | 2021-03-07 |
| 9ef3222 | Donghe-Zhu | 2021-03-05 |
| 8c1e978 | Donghe-Zhu | 2021-03-05 |
| 865f68c | Donghe-Zhu | 2021-03-05 |
| ee69bc1 | Donghe-Zhu | 2021-03-05 |
| a79291f | Donghe-Zhu | 2021-03-05 |
| e8c6f30 | Donghe-Zhu | 2021-03-04 |
| 59288fe | Donghe-Zhu | 2021-03-04 |
| 731abc8 | Donghe-Zhu | 2021-03-04 |
| e2a5a33 | Donghe-Zhu | 2021-03-04 |
| c7892c1 | Donghe-Zhu | 2021-03-04 |
| 924430b | Donghe-Zhu | 2021-03-03 |
| 0d0bca1 | Donghe-Zhu | 2021-03-03 |
| cb63c16 | Donghe-Zhu | 2021-03-03 |
| ffda45a | Donghe-Zhu | 2021-03-03 |
| 691ba81 | Donghe-Zhu | 2021-03-03 |
| c5e45a2 | Donghe-Zhu | 2021-03-03 |
| 89c3e58 | Donghe-Zhu | 2021-03-03 |
| c911669 | Donghe-Zhu | 2021-03-03 |
| 13666ca | Donghe-Zhu | 2021-03-01 |
| c6e60fe | Donghe-Zhu | 2021-03-01 |
| 7a388f7 | Donghe-Zhu | 2021-03-01 |
| 799e913 | Donghe-Zhu | 2021-03-01 |
| 66ff99f | Donghe-Zhu | 2021-03-01 |
| ac9bb7a | Donghe-Zhu | 2021-02-28 |
| efdc047 | Donghe-Zhu | 2021-02-28 |
| e9a7418 | Donghe-Zhu | 2021-02-28 |
| 287123c | Donghe-Zhu | 2021-02-27 |
| 54d5b5b | Donghe-Zhu | 2021-02-27 |
| 330f064 | Donghe-Zhu | 2021-02-27 |
| adbc9bc | Donghe-Zhu | 2021-02-27 |
| 5937141 | Donghe-Zhu | 2021-02-27 |
| 4414bbf | Donghe-Zhu | 2021-02-27 |
| a265efb | Donghe-Zhu | 2021-02-27 |
| 19edd1e | Donghe-Zhu | 2021-02-27 |
| f20483f | Donghe-Zhu | 2021-02-26 |
| 6a2c7b3 | Donghe-Zhu | 2021-02-25 |
| 02b976d | Donghe-Zhu | 2021-02-24 |
| 354c224 | Donghe-Zhu | 2021-02-24 |
| 1a0a88a | Donghe-Zhu | 2021-02-24 |
| 57f701e | Donghe-Zhu | 2021-02-24 |
| 06f3149 | Donghe-Zhu | 2021-02-16 |
| e3bba84 | Donghe-Zhu | 2021-02-15 |
| 5dce4b1 | Donghe-Zhu | 2021-02-15 |
| 4469a0c | Donghe-Zhu | 2021-02-13 |
| 5ae6a69 | Donghe-Zhu | 2021-02-10 |
| 05385dc | Donghe-Zhu | 2021-02-10 |
| f791ae4 | Donghe-Zhu | 2021-02-09 |
| f71ae34 | Donghe-Zhu | 2021-02-09 |
| c011832 | Donghe-Zhu | 2021-02-09 |
| a145fa7 | Donghe-Zhu | 2021-02-09 |
| c344e42 | Donghe-Zhu | 2021-02-08 |
| 2f095d7 | Donghe-Zhu | 2021-02-07 |
| 1fad5f1 | Donghe-Zhu | 2021-02-07 |
| ca03c39 | Donghe-Zhu | 2021-02-07 |
| cd7c52c | Donghe-Zhu | 2021-02-04 |
| bcf84f4 | Donghe-Zhu | 2021-02-02 |
| 61666de | Donghe-Zhu | 2021-01-31 |
| 865b582 | Donghe-Zhu | 2021-01-31 |
| 3e68089 | Donghe-Zhu | 2021-01-31 |
| ecf335c | Donghe-Zhu | 2021-01-31 |
| a618965 | Donghe-Zhu | 2021-01-31 |
| 59e006e | Donghe-Zhu | 2021-01-31 |
| a1c8f87 | Donghe-Zhu | 2021-01-31 |
| ae5c18f | Donghe-Zhu | 2021-01-31 |
| b50fe52 | Donghe-Zhu | 2021-01-31 |
| ac99ae5 | jens-daniel-mueller | 2021-01-29 |
| b5bdcaf | Donghe-Zhu | 2021-01-29 |
| 442010d | Donghe-Zhu | 2021-01-29 |
| 372adf5 | Donghe-Zhu | 2021-01-29 |
| af8788e | Donghe-Zhu | 2021-01-29 |
| 21c91c9 | Donghe-Zhu | 2021-01-29 |
| eded038 | Donghe-Zhu | 2021-01-29 |
| 541d4dd | Donghe-Zhu | 2021-01-29 |
| 6a75576 | Donghe-Zhu | 2021-01-28 |
| 16fba40 | Donghe-Zhu | 2021-01-28 |
| 12bc567 | Donghe-Zhu | 2021-01-27 |
| ceed31b | Donghe-Zhu | 2021-01-27 |
| 342402d | Donghe-Zhu | 2021-01-27 |
| 5bad5c2 | Donghe-Zhu | 2021-01-27 |
| 61efb56 | Donghe-Zhu | 2021-01-25 |
| 48f638e | Donghe-Zhu | 2021-01-25 |
| c1cec47 | Donghe-Zhu | 2021-01-25 |
| 05ffb0c | Donghe-Zhu | 2021-01-25 |
| 8b97165 | Donghe-Zhu | 2021-01-25 |
| c569946 | Donghe-Zhu | 2021-01-24 |
| a2f0d56 | Donghe-Zhu | 2021-01-23 |
| 28509fc | Donghe-Zhu | 2021-01-23 |
| 4c28e4a | Donghe-Zhu | 2021-01-22 |
| 24cc264 | jens-daniel-mueller | 2021-01-22 |
| 7891955 | Donghe-Zhu | 2021-01-21 |
| d4cf1cb | Donghe-Zhu | 2021-01-21 |
| 1f3e5b6 | jens-daniel-mueller | 2021-01-20 |
| 0e7bdf1 | jens-daniel-mueller | 2021-01-15 |
| 4571843 | jens-daniel-mueller | 2021-01-14 |
| b3564aa | jens-daniel-mueller | 2021-01-14 |
| 8d032c3 | jens-daniel-mueller | 2021-01-14 |
| 17dee1d | jens-daniel-mueller | 2021-01-13 |
| 7cdea0c | jens-daniel-mueller | 2021-01-06 |
| fa85b93 | jens-daniel-mueller | 2021-01-06 |
| e5cb81a | Donghe-Zhu | 2021-01-05 |
| a499f10 | Donghe-Zhu | 2021-01-05 |
| fb8a752 | Donghe-Zhu | 2020-12-23 |
| 8fae0b2 | Donghe-Zhu | 2020-12-21 |
| c8b76b3 | jens-daniel-mueller | 2020-12-19 |
rm(max_rmse)
# find max rmse to scale axis
max_rmse <-
max(c(lm_best$rmse,
lm_best$rmse_sum - lm_best$rmse))
lm_best %>%
ggplot(aes(rmse, rmse_sum - rmse, col = gamma_slab)) +
geom_point() +
scale_color_viridis_d() +
coord_equal(xlim = c(0,max_rmse),
ylim = c(0,max_rmse)) +
facet_grid(eras ~ basin)

| Version | Author | Date |
|---|---|---|
| d98dd99 | Donghe-Zhu | 2021-08-18 |
| b5955e0 | Donghe-Zhu | 2021-08-18 |
| cceae84 | Donghe-Zhu | 2021-08-18 |
| 1cdb694 | Donghe-Zhu | 2021-08-18 |
| 9b7a798 | Donghe-Zhu | 2021-08-06 |
| 90f70da | Donghe-Zhu | 2021-08-06 |
| 496fa02 | Donghe-Zhu | 2021-08-05 |
| 19ecfe2 | Donghe-Zhu | 2021-08-05 |
| 3253031 | Donghe-Zhu | 2021-08-05 |
| 6c70952 | Donghe-Zhu | 2021-08-01 |
| 2666bd7 | Donghe-Zhu | 2021-08-01 |
| e51cfa2 | Donghe-Zhu | 2021-08-01 |
| 78cbc18 | Donghe-Zhu | 2021-08-01 |
| c55d4d7 | Donghe-Zhu | 2021-08-01 |
| 26741db | Donghe-Zhu | 2021-08-01 |
| ca539b5 | Donghe-Zhu | 2021-08-01 |
| 1e98138 | Donghe-Zhu | 2021-08-01 |
| 777b9e9 | Donghe-Zhu | 2021-08-01 |
| b110c47 | Donghe-Zhu | 2021-08-01 |
| 3611a48 | Donghe-Zhu | 2021-08-01 |
| af832ef | Donghe-Zhu | 2021-07-31 |
| 016f9ed | Donghe-Zhu | 2021-07-31 |
| 2080ac5 | Donghe-Zhu | 2021-07-31 |
| 50f0a16 | Donghe-Zhu | 2021-07-31 |
| 1682579 | Donghe-Zhu | 2021-07-31 |
| 9fa8832 | Donghe-Zhu | 2021-07-31 |
| 4abf542 | Donghe-Zhu | 2021-07-31 |
| a2483f0 | Donghe-Zhu | 2021-07-31 |
| 3300527 | Donghe-Zhu | 2021-07-31 |
| afeb6fd | Donghe-Zhu | 2021-07-31 |
| cb3ef32 | Donghe-Zhu | 2021-07-31 |
| 6528618 | Donghe-Zhu | 2021-07-31 |
| f50925e | Donghe-Zhu | 2021-07-31 |
| f4de2f3 | Donghe-Zhu | 2021-07-30 |
| 43bc7b4 | Donghe-Zhu | 2021-07-30 |
| f8c34a8 | Donghe-Zhu | 2021-07-30 |
| 4f897c4 | Donghe-Zhu | 2021-07-30 |
| 0f6e960 | Donghe-Zhu | 2021-07-30 |
| fe067ea | Donghe-Zhu | 2021-07-30 |
| fbca39a | Donghe-Zhu | 2021-07-30 |
| f945f95 | Donghe-Zhu | 2021-07-30 |
| a3006cd | Donghe-Zhu | 2021-07-30 |
| a55ffdc | Donghe-Zhu | 2021-07-30 |
| d5e4458 | Donghe-Zhu | 2021-07-30 |
| 10a97ef | Donghe-Zhu | 2021-07-30 |
| 1c501fd | Donghe-Zhu | 2021-07-30 |
| 68bce3f | Donghe-Zhu | 2021-07-30 |
| 400c457 | Donghe-Zhu | 2021-07-29 |
| 3ba7852 | Donghe-Zhu | 2021-07-29 |
| ec68363 | Donghe-Zhu | 2021-07-28 |
| d3018f6 | Donghe-Zhu | 2021-07-28 |
| b8ba2c4 | Donghe-Zhu | 2021-07-28 |
| a4ddd84 | Donghe-Zhu | 2021-07-27 |
| 7ef49ab | Donghe-Zhu | 2021-07-27 |
| da818c0 | Donghe-Zhu | 2021-07-27 |
| 8623898 | Donghe-Zhu | 2021-07-27 |
| f84b77c | Donghe-Zhu | 2021-07-27 |
| 70ad9a5 | Donghe-Zhu | 2021-07-27 |
| 0d0b48d | Donghe-Zhu | 2021-07-27 |
| d0d97c6 | Donghe-Zhu | 2021-07-27 |
| 829510d | Donghe-Zhu | 2021-07-27 |
| 780627d | Donghe-Zhu | 2021-07-27 |
| e9838c9 | Donghe-Zhu | 2021-07-27 |
| 2777f33 | Donghe-Zhu | 2021-07-27 |
| d19760f | Donghe-Zhu | 2021-07-27 |
| cac5680 | Donghe-Zhu | 2021-07-23 |
| 7bb279a | Donghe-Zhu | 2021-07-23 |
| d52eac4 | Donghe-Zhu | 2021-07-23 |
| dcf34b1 | Donghe-Zhu | 2021-07-23 |
| 419cb72 | Donghe-Zhu | 2021-07-22 |
| 9447d10 | Donghe-Zhu | 2021-07-22 |
| 639c9a0 | Donghe-Zhu | 2021-07-22 |
| 25bb96f | Donghe-Zhu | 2021-07-22 |
| cdc98a3 | Donghe-Zhu | 2021-07-22 |
| e4805a1 | Donghe-Zhu | 2021-07-22 |
| 7957fd1 | Donghe-Zhu | 2021-07-21 |
| b94be4e | Donghe-Zhu | 2021-07-21 |
| 9950e70 | Donghe-Zhu | 2021-07-21 |
| 698b6f0 | Donghe-Zhu | 2021-07-20 |
| d84a1cb | Donghe-Zhu | 2021-07-20 |
| 4dce223 | Donghe-Zhu | 2021-07-20 |
| 6f28c0c | Donghe-Zhu | 2021-07-20 |
| db1e7b7 | Donghe-Zhu | 2021-07-19 |
| ff0575d | Donghe-Zhu | 2021-07-19 |
| 5d60eac | Donghe-Zhu | 2021-07-19 |
| 57d0420 | Donghe-Zhu | 2021-07-16 |
| c1be8f6 | Donghe-Zhu | 2021-07-16 |
| 26a7c15 | Donghe-Zhu | 2021-07-16 |
| 046902b | Donghe-Zhu | 2021-07-16 |
| 3d4ac14 | Donghe-Zhu | 2021-07-15 |
| be6fff9 | Donghe-Zhu | 2021-07-15 |
| b473472 | Donghe-Zhu | 2021-07-15 |
| 363270a | Donghe-Zhu | 2021-07-15 |
| 8b75a03 | Donghe-Zhu | 2021-07-15 |
| a01e135 | Donghe-Zhu | 2021-07-07 |
| bc83ef2 | Donghe-Zhu | 2021-07-07 |
| 75e7b07 | Donghe-Zhu | 2021-07-06 |
| 697aa6d | Donghe-Zhu | 2021-07-06 |
| d52e2de | Donghe-Zhu | 2021-07-06 |
| f2bde6b | Donghe-Zhu | 2021-07-06 |
| 1133f28 | Donghe-Zhu | 2021-07-06 |
| fe3a1cd | Donghe-Zhu | 2021-07-06 |
| d9cdf15 | Donghe-Zhu | 2021-07-06 |
| ee4cd2d | Donghe-Zhu | 2021-07-06 |
| 93821c1 | Donghe-Zhu | 2021-07-05 |
| d44db8e | Donghe-Zhu | 2021-07-05 |
| 20b3436 | Donghe-Zhu | 2021-07-05 |
| d982ea5 | Donghe-Zhu | 2021-07-05 |
| 7397e53 | Donghe-Zhu | 2021-07-05 |
| f2e4805 | Donghe-Zhu | 2021-07-05 |
| e2d011a | Donghe-Zhu | 2021-07-05 |
| 85e0349 | Donghe-Zhu | 2021-07-05 |
| 6ee0146 | Donghe-Zhu | 2021-07-05 |
| a482a6b | Donghe-Zhu | 2021-07-05 |
| f59f1b3 | Donghe-Zhu | 2021-07-05 |
| 116bcab | Donghe-Zhu | 2021-07-04 |
| cb1c8dc | Donghe-Zhu | 2021-07-04 |
| c9bdd83 | Donghe-Zhu | 2021-07-04 |
| 1920ad9 | Donghe-Zhu | 2021-07-04 |
| 0b02791 | Donghe-Zhu | 2021-06-25 |
| caf62d8 | Donghe-Zhu | 2021-06-25 |
| 90a9da5 | Donghe-Zhu | 2021-06-25 |
| bb413c8 | Donghe-Zhu | 2021-06-25 |
| e7a5266 | Donghe-Zhu | 2021-06-24 |
| 7c57720 | Donghe-Zhu | 2021-06-24 |
| b5b95a9 | Donghe-Zhu | 2021-06-24 |
| 472aad4 | Donghe-Zhu | 2021-06-24 |
| d517836 | Donghe-Zhu | 2021-06-24 |
| 9221bfe | Donghe-Zhu | 2021-06-24 |
| bff5fbf | Donghe-Zhu | 2021-06-23 |
| 256a616 | Donghe-Zhu | 2021-06-23 |
| 00072e2 | Donghe-Zhu | 2021-06-23 |
| 7431530 | Donghe-Zhu | 2021-06-20 |
| d20c383 | Donghe-Zhu | 2021-06-18 |
| b0874a2 | Donghe-Zhu | 2021-06-17 |
| 72c2f2e | Donghe-Zhu | 2021-06-15 |
| d97dcb6 | Donghe-Zhu | 2021-06-08 |
| 25dda1d | Donghe-Zhu | 2021-06-08 |
| bd2bcc3 | Donghe-Zhu | 2021-06-08 |
| e9b27d7 | Donghe-Zhu | 2021-06-07 |
| 7ae0d4b | Donghe-Zhu | 2021-06-07 |
| 325391f | Donghe-Zhu | 2021-06-07 |
| ed89970 | Donghe-Zhu | 2021-06-07 |
| df37958 | Donghe-Zhu | 2021-06-07 |
| 812bf63 | Donghe-Zhu | 2021-06-06 |
| 65c89c8 | Donghe-Zhu | 2021-06-06 |
| 9baa3b2 | Donghe-Zhu | 2021-06-06 |
| b7d99cf | Donghe-Zhu | 2021-06-06 |
| 5d8fa90 | Donghe-Zhu | 2021-06-06 |
| dbe2a95 | Donghe-Zhu | 2021-05-28 |
| d50b039 | Donghe-Zhu | 2021-05-28 |
| 441ebe5 | Donghe-Zhu | 2021-05-28 |
| 6262ad3 | Donghe-Zhu | 2021-05-28 |
| a61aa77 | Donghe-Zhu | 2021-05-28 |
| b8dbce4 | Donghe-Zhu | 2021-05-28 |
| 94a833e | Donghe-Zhu | 2021-05-27 |
| 5e0bd64 | Donghe-Zhu | 2021-05-27 |
| af1eadd | Donghe-Zhu | 2021-05-27 |
| 9179bfe | Donghe-Zhu | 2021-05-27 |
| 28cbe5e | Donghe-Zhu | 2021-05-27 |
| a618f02 | Donghe-Zhu | 2021-05-27 |
| 4623e38 | Donghe-Zhu | 2021-05-27 |
| b81bb49 | Donghe-Zhu | 2021-05-27 |
| 951e188 | Donghe-Zhu | 2021-05-27 |
| e377833 | Donghe-Zhu | 2021-05-26 |
| 2705a04 | Donghe-Zhu | 2021-03-28 |
| cd5f759 | Donghe-Zhu | 2021-03-28 |
| 75dda4d | Donghe-Zhu | 2021-03-27 |
| 0b19f6e | Donghe-Zhu | 2021-03-27 |
| e2704ca | Donghe-Zhu | 2021-03-27 |
| 3061a0b | Donghe-Zhu | 2021-03-27 |
| b883157 | Donghe-Zhu | 2021-03-27 |
| d19654d | Donghe-Zhu | 2021-03-26 |
| 6c53dbf | Donghe-Zhu | 2021-03-25 |
| 1914a11 | Donghe-Zhu | 2021-03-24 |
| 8be810e | Donghe-Zhu | 2021-03-23 |
| bf19764 | Donghe-Zhu | 2021-03-22 |
| 3ec9d3d | Donghe-Zhu | 2021-03-22 |
| 134ace1 | Donghe-Zhu | 2021-03-22 |
| f6d70a4 | Donghe-Zhu | 2021-03-22 |
| 183443b | Donghe-Zhu | 2021-03-21 |
| 2e6976b | Donghe-Zhu | 2021-03-21 |
| 51a42bd | Donghe-Zhu | 2021-03-16 |
| f745381 | Donghe-Zhu | 2021-03-16 |
| aecbf75 | Donghe-Zhu | 2021-03-14 |
| 1b2a0c2 | Donghe-Zhu | 2021-03-14 |
| 6733e48 | Donghe-Zhu | 2021-03-12 |
| ba71e6a | Donghe-Zhu | 2021-03-12 |
| 9dbf5bd | Donghe-Zhu | 2021-03-11 |
| a49df30 | Donghe-Zhu | 2021-03-11 |
| b3348a5 | Donghe-Zhu | 2021-03-11 |
| 1c24ff7 | Donghe-Zhu | 2021-03-10 |
| 94ce5a8 | Donghe-Zhu | 2021-03-10 |
| db33928 | Donghe-Zhu | 2021-03-10 |
| 3d1f470 | Donghe-Zhu | 2021-03-10 |
| 9b7bc66 | Donghe-Zhu | 2021-03-10 |
| 4168b43 | Donghe-Zhu | 2021-03-10 |
| 5365f80 | Donghe-Zhu | 2021-03-10 |
| 2b6c392 | Donghe-Zhu | 2021-03-10 |
| 9f58753 | Donghe-Zhu | 2021-03-10 |
| fd528ed | Donghe-Zhu | 2021-03-10 |
| 9d5a62c | Donghe-Zhu | 2021-03-10 |
| 5d1e70b | Donghe-Zhu | 2021-03-10 |
| 2093979 | Donghe-Zhu | 2021-03-10 |
| b865899 | Donghe-Zhu | 2021-03-10 |
| cc2a956 | Donghe-Zhu | 2021-03-10 |
| 60689fb | Donghe-Zhu | 2021-03-10 |
| dba33c8 | Donghe-Zhu | 2021-03-09 |
| 17f1c4a | Donghe-Zhu | 2021-03-09 |
| c024d1a | Donghe-Zhu | 2021-03-09 |
| 02f7242 | Donghe-Zhu | 2021-03-09 |
| 6f50bc6 | Donghe-Zhu | 2021-03-09 |
| 1691156 | Donghe-Zhu | 2021-03-08 |
| c0ceaf8 | Donghe-Zhu | 2021-03-08 |
| 058e0a1 | Donghe-Zhu | 2021-03-08 |
| 112dea0 | Donghe-Zhu | 2021-03-08 |
| 1843412 | Donghe-Zhu | 2021-03-08 |
| 3fbbfa4 | Donghe-Zhu | 2021-03-07 |
| 627c8fb | Donghe-Zhu | 2021-03-07 |
| 9ef3222 | Donghe-Zhu | 2021-03-05 |
| 8c1e978 | Donghe-Zhu | 2021-03-05 |
| 865f68c | Donghe-Zhu | 2021-03-05 |
| ee69bc1 | Donghe-Zhu | 2021-03-05 |
| a79291f | Donghe-Zhu | 2021-03-05 |
| e8c6f30 | Donghe-Zhu | 2021-03-04 |
| 59288fe | Donghe-Zhu | 2021-03-04 |
| 731abc8 | Donghe-Zhu | 2021-03-04 |
| e2a5a33 | Donghe-Zhu | 2021-03-04 |
| c7892c1 | Donghe-Zhu | 2021-03-04 |
| 924430b | Donghe-Zhu | 2021-03-03 |
| 0d0bca1 | Donghe-Zhu | 2021-03-03 |
| cb63c16 | Donghe-Zhu | 2021-03-03 |
| ffda45a | Donghe-Zhu | 2021-03-03 |
| 691ba81 | Donghe-Zhu | 2021-03-03 |
| c5e45a2 | Donghe-Zhu | 2021-03-03 |
| 89c3e58 | Donghe-Zhu | 2021-03-03 |
| c407a50 | Donghe-Zhu | 2021-03-03 |
| c911669 | Donghe-Zhu | 2021-03-03 |
| b71c719 | Donghe-Zhu | 2021-03-01 |
| 13666ca | Donghe-Zhu | 2021-03-01 |
| c6e60fe | Donghe-Zhu | 2021-03-01 |
| 7a388f7 | Donghe-Zhu | 2021-03-01 |
| 799e913 | Donghe-Zhu | 2021-03-01 |
| 66ff99f | Donghe-Zhu | 2021-03-01 |
| ac9bb7a | Donghe-Zhu | 2021-02-28 |
| efdc047 | Donghe-Zhu | 2021-02-28 |
| e9a7418 | Donghe-Zhu | 2021-02-28 |
| e152917 | Donghe-Zhu | 2021-02-28 |
| 287123c | Donghe-Zhu | 2021-02-27 |
| 54d5b5b | Donghe-Zhu | 2021-02-27 |
| 330f064 | Donghe-Zhu | 2021-02-27 |
| adbc9bc | Donghe-Zhu | 2021-02-27 |
| 5937141 | Donghe-Zhu | 2021-02-27 |
| 4414bbf | Donghe-Zhu | 2021-02-27 |
| a265efb | Donghe-Zhu | 2021-02-27 |
| 19edd1e | Donghe-Zhu | 2021-02-27 |
| f20483f | Donghe-Zhu | 2021-02-26 |
| 6a2c7b3 | Donghe-Zhu | 2021-02-25 |
| 354c224 | Donghe-Zhu | 2021-02-24 |
| 1a0a88a | Donghe-Zhu | 2021-02-24 |
| 57f701e | Donghe-Zhu | 2021-02-24 |
| 06f3149 | Donghe-Zhu | 2021-02-16 |
| 401eab3 | Donghe-Zhu | 2021-02-15 |
| e3bba84 | Donghe-Zhu | 2021-02-15 |
| 5dce4b1 | Donghe-Zhu | 2021-02-15 |
| 4469a0c | Donghe-Zhu | 2021-02-13 |
| 5ae6a69 | Donghe-Zhu | 2021-02-10 |
| 05385dc | Donghe-Zhu | 2021-02-10 |
| f791ae4 | Donghe-Zhu | 2021-02-09 |
| f71ae34 | Donghe-Zhu | 2021-02-09 |
| c011832 | Donghe-Zhu | 2021-02-09 |
| a145fa7 | Donghe-Zhu | 2021-02-09 |
| c344e42 | Donghe-Zhu | 2021-02-08 |
| 2f095d7 | Donghe-Zhu | 2021-02-07 |
| 1fad5f1 | Donghe-Zhu | 2021-02-07 |
| ca03c39 | Donghe-Zhu | 2021-02-07 |
| e2ffc14 | Donghe-Zhu | 2021-02-05 |
| cd7c52c | Donghe-Zhu | 2021-02-04 |
| bcf84f4 | Donghe-Zhu | 2021-02-02 |
| a518739 | Donghe-Zhu | 2021-02-01 |
| 61666de | Donghe-Zhu | 2021-01-31 |
| 865b582 | Donghe-Zhu | 2021-01-31 |
| 3e68089 | Donghe-Zhu | 2021-01-31 |
| ecf335c | Donghe-Zhu | 2021-01-31 |
| a618965 | Donghe-Zhu | 2021-01-31 |
| 59e006e | Donghe-Zhu | 2021-01-31 |
| a1c8f87 | Donghe-Zhu | 2021-01-31 |
| ae5c18f | Donghe-Zhu | 2021-01-31 |
| b50fe52 | Donghe-Zhu | 2021-01-31 |
| ac99ae5 | jens-daniel-mueller | 2021-01-29 |
| b5bdcaf | Donghe-Zhu | 2021-01-29 |
| 442010d | Donghe-Zhu | 2021-01-29 |
| 372adf5 | Donghe-Zhu | 2021-01-29 |
| af8788e | Donghe-Zhu | 2021-01-29 |
| 21c91c9 | Donghe-Zhu | 2021-01-29 |
| eded038 | Donghe-Zhu | 2021-01-29 |
| 541d4dd | Donghe-Zhu | 2021-01-29 |
| 6a75576 | Donghe-Zhu | 2021-01-28 |
| 16fba40 | Donghe-Zhu | 2021-01-28 |
| 12bc567 | Donghe-Zhu | 2021-01-27 |
| ceed31b | Donghe-Zhu | 2021-01-27 |
| 342402d | Donghe-Zhu | 2021-01-27 |
| 5bad5c2 | Donghe-Zhu | 2021-01-27 |
| 61efb56 | Donghe-Zhu | 2021-01-25 |
| 48f638e | Donghe-Zhu | 2021-01-25 |
| c1cec47 | Donghe-Zhu | 2021-01-25 |
| 05ffb0c | Donghe-Zhu | 2021-01-25 |
| 8b97165 | Donghe-Zhu | 2021-01-25 |
| c569946 | Donghe-Zhu | 2021-01-24 |
| a2f0d56 | Donghe-Zhu | 2021-01-23 |
| 28509fc | Donghe-Zhu | 2021-01-23 |
| 4c28e4a | Donghe-Zhu | 2021-01-22 |
| 24cc264 | jens-daniel-mueller | 2021-01-22 |
| 7891955 | Donghe-Zhu | 2021-01-21 |
| d4cf1cb | Donghe-Zhu | 2021-01-21 |
| 1f3e5b6 | jens-daniel-mueller | 2021-01-20 |
| 0e7bdf1 | jens-daniel-mueller | 2021-01-15 |
| 4571843 | jens-daniel-mueller | 2021-01-14 |
| b3564aa | jens-daniel-mueller | 2021-01-14 |
| 8d032c3 | jens-daniel-mueller | 2021-01-14 |
| 17dee1d | jens-daniel-mueller | 2021-01-13 |
| 7cdea0c | jens-daniel-mueller | 2021-01-06 |
| fa85b93 | jens-daniel-mueller | 2021-01-06 |
| e5cb81a | Donghe-Zhu | 2021-01-05 |
| a499f10 | Donghe-Zhu | 2021-01-05 |
| fb8a752 | Donghe-Zhu | 2020-12-23 |
| 8fae0b2 | Donghe-Zhu | 2020-12-21 |
| c8b76b3 | jens-daniel-mueller | 2020-12-19 |
rm(max_rmse)
The number of models where a particular predictor was included were counted for each basin, density slab and compared eras
# calculate cases of predictor used
lm_all_stats <- lm_best_long %>%
filter(term != "(Intercept)",
delta_coeff != 0) %>%
group_by(basin, eras, gamma_slab) %>%
count(term) %>%
ungroup() %>%
pivot_wider(values_from = n,
names_from = term,
values_fill = 0)
# print table
lm_all_stats %>%
gt(rowname_col = "gamma_slab",
groupname_col = c("basin", "eras")) %>%
summary_rows(
groups = TRUE,
fns = list(total = "sum")
)
| aou | nitrate | phosphate | phosphate_star | sal | temp | |
|---|---|---|---|---|---|---|
| Atlantic - 1982-1999 --> 2000-2009 | ||||||
| (-Inf,26] | 7 | 10 | 8 | 6 | 7 | 6 |
| (26,26.5] | 8 | 10 | 4 | 6 | 5 | 8 |
| (26.5,26.75] | 7 | 10 | 3 | 7 | 6 | 6 |
| (26.75,27] | 8 | 6 | 4 | 5 | 8 | 5 |
| (27,27.25] | 7 | 9 | 5 | 5 | 10 | 6 |
| (27.25,27.5] | 6 | 7 | 6 | 7 | 10 | 7 |
| (27.5,27.75] | 7 | 10 | 5 | 6 | 10 | 5 |
| (27.75,27.85] | 5 | 10 | 9 | 5 | 8 | 6 |
| (27.85,27.95] | 7 | 10 | 6 | 5 | 10 | 5 |
| (27.95,28.05] | 6 | 10 | 6 | 6 | 5 | 8 |
| (28.05,28.1] | 5 | 10 | 7 | 5 | 9 | 6 |
| (28.1,28.15] | 6 | 10 | 4 | 6 | 10 | 5 |
| (28.15,28.2] | 7 | 9 | 0 | 6 | 6 | 5 |
| (28.2, Inf] | 6 | 10 | 7 | 7 | 6 | 8 |
| total | 92.00 | 131.00 | 74.00 | 82.00 | 110.00 | 86.00 |
| Atlantic - 2000-2009 --> 2010-2019 | ||||||
| (-Inf,26] | 8 | 10 | 7 | 6 | 7 | 6 |
| (26,26.5] | 8 | 10 | 4 | 6 | 5 | 8 |
| (26.5,26.75] | 7 | 10 | 3 | 7 | 6 | 6 |
| (26.75,27] | 8 | 6 | 5 | 4 | 8 | 5 |
| (27,27.25] | 6 | 10 | 5 | 5 | 10 | 6 |
| (27.25,27.5] | 6 | 10 | 4 | 6 | 10 | 5 |
| (27.5,27.75] | 5 | 10 | 7 | 5 | 10 | 6 |
| (27.75,27.85] | 6 | 10 | 9 | 7 | 6 | 5 |
| (27.85,27.95] | 5 | 10 | 7 | 6 | 10 | 5 |
| (27.95,28.05] | 7 | 10 | 7 | 7 | 6 | 7 |
| (28.05,28.1] | 7 | 10 | 6 | 6 | 7 | 7 |
| (28.1,28.15] | 6 | 10 | 4 | 6 | 10 | 5 |
| (28.15,28.2] | 6 | 5 | 4 | 7 | 10 | 5 |
| (28.2, Inf] | 6 | 8 | 8 | 7 | 6 | 8 |
| total | 91.00 | 129.00 | 80.00 | 85.00 | 111.00 | 84.00 |
| Indian - 1982-1999 --> 2000-2009 | ||||||
| (-Inf,26] | 6 | 6 | 6 | 8 | 8 | 9 |
| (26,26.5] | 6 | 6 | 7 | 7 | 6 | 10 |
| (26.5,26.75] | 6 | 7 | 6 | 7 | 7 | 10 |
| (26.75,27] | 5 | 7 | 5 | 8 | 10 | 7 |
| (27,27.25] | 4 | 10 | 6 | 6 | 5 | 10 |
| (27.25,27.5] | 3 | 9 | 4 | 6 | 10 | 6 |
| (27.5,27.75] | 6 | 6 | 7 | 8 | 10 | 6 |
| (27.75,27.85] | 6 | 5 | 6 | 6 | 7 | 9 |
| (27.85,27.95] | 5 | 6 | 6 | 7 | 6 | 9 |
| (27.95,28.05] | 6 | 7 | 5 | 5 | 6 | 10 |
| (28.05,28.1] | 6 | 4 | 5 | 4 | 7 | 10 |
| (28.1,28.2] | 8 | 7 | 6 | 7 | 10 | 6 |
| (28.2,28.3] | 5 | 4 | 7 | 6 | 10 | 5 |
| (28.3, Inf] | 5 | 5 | 5 | 7 | 0 | 5 |
| total | 77.00 | 89.00 | 81.00 | 92.00 | 102.00 | 112.00 |
| Indian - 2000-2009 --> 2010-2019 | ||||||
| (-Inf,26] | 6 | 6 | 6 | 8 | 8 | 9 |
| (26,26.5] | 6 | 7 | 6 | 7 | 7 | 10 |
| (26.5,26.75] | 5 | 6 | 5 | 8 | 8 | 10 |
| (26.75,27] | 6 | 5 | 6 | 8 | 10 | 6 |
| (27,27.25] | 4 | 10 | 6 | 6 | 5 | 10 |
| (27.25,27.5] | 3 | 9 | 5 | 7 | 9 | 6 |
| (27.5,27.75] | 5 | 4 | 5 | 9 | 10 | 4 |
| (27.75,27.85] | 5 | 3 | 5 | 7 | 7 | 9 |
| (27.85,27.95] | 4 | 5 | 5 | 8 | 5 | 10 |
| (27.95,28.05] | 4 | 4 | 6 | 7 | 6 | 9 |
| (28.05,28.1] | 4 | 3 | 4 | 7 | 10 | 7 |
| (28.1,28.2] | 8 | 9 | 6 | 5 | 10 | 5 |
| (28.2,28.3] | 7 | 4 | 5 | 6 | 10 | 5 |
| total | 67.00 | 75.00 | 70.00 | 93.00 | 105.00 | 100.00 |
| Pacific - 1982-1999 --> 2000-2009 | ||||||
| (-Inf,26] | 8 | 10 | 6 | 6 | 5 | 8 |
| (26,26.5] | 8 | 7 | 7 | 7 | 6 | 8 |
| (26.5,26.75] | 4 | 8 | 5 | 6 | 10 | 9 |
| (26.75,27] | 6 | 6 | 6 | 8 | 5 | 10 |
| (27,27.25] | 7 | 6 | 5 | 5 | 10 | 9 |
| (27.25,27.5] | 7 | 7 | 6 | 6 | 10 | 7 |
| (27.5,27.75] | 7 | 5 | 5 | 6 | 10 | 9 |
| (27.75,27.85] | 6 | 6 | 7 | 8 | 5 | 9 |
| (27.85,27.95] | 5 | 4 | 5 | 9 | 5 | 9 |
| (27.95,28.05] | 5 | 5 | 5 | 8 | 4 | 10 |
| (28.05,28.1] | 7 | 4 | 4 | 6 | 10 | 5 |
| (28.1,28.2] | 6 | 4 | 4 | 8 | 10 | 5 |
| (28.2,28.3] | 5 | 3 | 4 | 8 | 8 | 7 |
| total | 81.00 | 75.00 | 69.00 | 91.00 | 98.00 | 105.00 |
| Pacific - 2000-2009 --> 2010-2019 | ||||||
| (-Inf,26] | 8 | 10 | 6 | 6 | 5 | 8 |
| (26,26.5] | 8 | 8 | 8 | 7 | 6 | 7 |
| (26.5,26.75] | 5 | 10 | 5 | 5 | 10 | 7 |
| (26.75,27] | 6 | 5 | 6 | 8 | 6 | 10 |
| (27,27.25] | 6 | 6 | 5 | 5 | 10 | 10 |
| (27.25,27.5] | 8 | 8 | 5 | 5 | 10 | 6 |
| (27.5,27.75] | 7 | 5 | 5 | 6 | 10 | 9 |
| (27.75,27.85] | 8 | 2 | 6 | 6 | 5 | 8 |
| (27.85,27.95] | 5 | 4 | 5 | 8 | 4 | 10 |
| (27.95,28.05] | 6 | 4 | 4 | 6 | 5 | 10 |
| (28.05,28.1] | 7 | 4 | 4 | 6 | 10 | 5 |
| (28.1,28.2] | 6 | 4 | 4 | 8 | 10 | 5 |
| (28.2,28.3] | 6 | 4 | 4 | 8 | 10 | 5 |
| total | 86.00 | 74.00 | 67.00 | 84.00 | 101.00 | 100.00 |
AIC is an alternative criterion to RMSE to judge model quality, but not (yet) taken into account.
lm_all_fitted_wide_eras %>%
ggplot(aes(rmse, aic, col = gamma_slab)) +
geom_point() +
scale_color_viridis_d() +
facet_grid(eras~basin)

| Version | Author | Date |
|---|---|---|
| d98dd99 | Donghe-Zhu | 2021-08-18 |
| b5955e0 | Donghe-Zhu | 2021-08-18 |
| cceae84 | Donghe-Zhu | 2021-08-18 |
| 1cdb694 | Donghe-Zhu | 2021-08-18 |
| 9b7a798 | Donghe-Zhu | 2021-08-06 |
| 90f70da | Donghe-Zhu | 2021-08-06 |
| 496fa02 | Donghe-Zhu | 2021-08-05 |
| 19ecfe2 | Donghe-Zhu | 2021-08-05 |
| 3253031 | Donghe-Zhu | 2021-08-05 |
| 6c70952 | Donghe-Zhu | 2021-08-01 |
| 2666bd7 | Donghe-Zhu | 2021-08-01 |
| e51cfa2 | Donghe-Zhu | 2021-08-01 |
| 78cbc18 | Donghe-Zhu | 2021-08-01 |
| c55d4d7 | Donghe-Zhu | 2021-08-01 |
| 26741db | Donghe-Zhu | 2021-08-01 |
| ca539b5 | Donghe-Zhu | 2021-08-01 |
| 1e98138 | Donghe-Zhu | 2021-08-01 |
| 777b9e9 | Donghe-Zhu | 2021-08-01 |
| b110c47 | Donghe-Zhu | 2021-08-01 |
| 3611a48 | Donghe-Zhu | 2021-08-01 |
| af832ef | Donghe-Zhu | 2021-07-31 |
| 016f9ed | Donghe-Zhu | 2021-07-31 |
| 2080ac5 | Donghe-Zhu | 2021-07-31 |
| 50f0a16 | Donghe-Zhu | 2021-07-31 |
| 1682579 | Donghe-Zhu | 2021-07-31 |
| 9fa8832 | Donghe-Zhu | 2021-07-31 |
| 4abf542 | Donghe-Zhu | 2021-07-31 |
| a2483f0 | Donghe-Zhu | 2021-07-31 |
| 3300527 | Donghe-Zhu | 2021-07-31 |
| afeb6fd | Donghe-Zhu | 2021-07-31 |
| cb3ef32 | Donghe-Zhu | 2021-07-31 |
| 6528618 | Donghe-Zhu | 2021-07-31 |
| f50925e | Donghe-Zhu | 2021-07-31 |
| f4de2f3 | Donghe-Zhu | 2021-07-30 |
| 43bc7b4 | Donghe-Zhu | 2021-07-30 |
| f8c34a8 | Donghe-Zhu | 2021-07-30 |
| 4f897c4 | Donghe-Zhu | 2021-07-30 |
| 0f6e960 | Donghe-Zhu | 2021-07-30 |
| fe067ea | Donghe-Zhu | 2021-07-30 |
| fbca39a | Donghe-Zhu | 2021-07-30 |
| f945f95 | Donghe-Zhu | 2021-07-30 |
| a3006cd | Donghe-Zhu | 2021-07-30 |
| a55ffdc | Donghe-Zhu | 2021-07-30 |
| d5e4458 | Donghe-Zhu | 2021-07-30 |
| 10a97ef | Donghe-Zhu | 2021-07-30 |
| 1c501fd | Donghe-Zhu | 2021-07-30 |
| 68bce3f | Donghe-Zhu | 2021-07-30 |
| 400c457 | Donghe-Zhu | 2021-07-29 |
| 3ba7852 | Donghe-Zhu | 2021-07-29 |
| ec68363 | Donghe-Zhu | 2021-07-28 |
| d3018f6 | Donghe-Zhu | 2021-07-28 |
| b8ba2c4 | Donghe-Zhu | 2021-07-28 |
| a4ddd84 | Donghe-Zhu | 2021-07-27 |
| 7ef49ab | Donghe-Zhu | 2021-07-27 |
| da818c0 | Donghe-Zhu | 2021-07-27 |
| 8623898 | Donghe-Zhu | 2021-07-27 |
| f84b77c | Donghe-Zhu | 2021-07-27 |
| 70ad9a5 | Donghe-Zhu | 2021-07-27 |
| 0d0b48d | Donghe-Zhu | 2021-07-27 |
| d0d97c6 | Donghe-Zhu | 2021-07-27 |
| 829510d | Donghe-Zhu | 2021-07-27 |
| 780627d | Donghe-Zhu | 2021-07-27 |
| e9838c9 | Donghe-Zhu | 2021-07-27 |
| 2777f33 | Donghe-Zhu | 2021-07-27 |
| d19760f | Donghe-Zhu | 2021-07-27 |
| cac5680 | Donghe-Zhu | 2021-07-23 |
| 7bb279a | Donghe-Zhu | 2021-07-23 |
| d52eac4 | Donghe-Zhu | 2021-07-23 |
| dcf34b1 | Donghe-Zhu | 2021-07-23 |
| 419cb72 | Donghe-Zhu | 2021-07-22 |
| 9447d10 | Donghe-Zhu | 2021-07-22 |
| 639c9a0 | Donghe-Zhu | 2021-07-22 |
| 25bb96f | Donghe-Zhu | 2021-07-22 |
| cdc98a3 | Donghe-Zhu | 2021-07-22 |
| e4805a1 | Donghe-Zhu | 2021-07-22 |
| 7957fd1 | Donghe-Zhu | 2021-07-21 |
| b94be4e | Donghe-Zhu | 2021-07-21 |
| 9950e70 | Donghe-Zhu | 2021-07-21 |
| 698b6f0 | Donghe-Zhu | 2021-07-20 |
| d84a1cb | Donghe-Zhu | 2021-07-20 |
| 4dce223 | Donghe-Zhu | 2021-07-20 |
| 6f28c0c | Donghe-Zhu | 2021-07-20 |
| db1e7b7 | Donghe-Zhu | 2021-07-19 |
| ff0575d | Donghe-Zhu | 2021-07-19 |
| 5d60eac | Donghe-Zhu | 2021-07-19 |
| 57d0420 | Donghe-Zhu | 2021-07-16 |
| c1be8f6 | Donghe-Zhu | 2021-07-16 |
| 26a7c15 | Donghe-Zhu | 2021-07-16 |
| 046902b | Donghe-Zhu | 2021-07-16 |
| 3d4ac14 | Donghe-Zhu | 2021-07-15 |
| be6fff9 | Donghe-Zhu | 2021-07-15 |
| b473472 | Donghe-Zhu | 2021-07-15 |
| 363270a | Donghe-Zhu | 2021-07-15 |
| 8b75a03 | Donghe-Zhu | 2021-07-15 |
| a01e135 | Donghe-Zhu | 2021-07-07 |
| bc83ef2 | Donghe-Zhu | 2021-07-07 |
| 75e7b07 | Donghe-Zhu | 2021-07-06 |
| 697aa6d | Donghe-Zhu | 2021-07-06 |
| d52e2de | Donghe-Zhu | 2021-07-06 |
| f2bde6b | Donghe-Zhu | 2021-07-06 |
| 1133f28 | Donghe-Zhu | 2021-07-06 |
| fe3a1cd | Donghe-Zhu | 2021-07-06 |
| d9cdf15 | Donghe-Zhu | 2021-07-06 |
| ee4cd2d | Donghe-Zhu | 2021-07-06 |
| 93821c1 | Donghe-Zhu | 2021-07-05 |
| d44db8e | Donghe-Zhu | 2021-07-05 |
| 20b3436 | Donghe-Zhu | 2021-07-05 |
| d982ea5 | Donghe-Zhu | 2021-07-05 |
| 7397e53 | Donghe-Zhu | 2021-07-05 |
| f2e4805 | Donghe-Zhu | 2021-07-05 |
| e2d011a | Donghe-Zhu | 2021-07-05 |
| 85e0349 | Donghe-Zhu | 2021-07-05 |
| 6ee0146 | Donghe-Zhu | 2021-07-05 |
| a482a6b | Donghe-Zhu | 2021-07-05 |
| f59f1b3 | Donghe-Zhu | 2021-07-05 |
| 116bcab | Donghe-Zhu | 2021-07-04 |
| cb1c8dc | Donghe-Zhu | 2021-07-04 |
| c9bdd83 | Donghe-Zhu | 2021-07-04 |
| 1920ad9 | Donghe-Zhu | 2021-07-04 |
| 0b02791 | Donghe-Zhu | 2021-06-25 |
| caf62d8 | Donghe-Zhu | 2021-06-25 |
| 90a9da5 | Donghe-Zhu | 2021-06-25 |
| bb413c8 | Donghe-Zhu | 2021-06-25 |
| e7a5266 | Donghe-Zhu | 2021-06-24 |
| 7c57720 | Donghe-Zhu | 2021-06-24 |
| b5b95a9 | Donghe-Zhu | 2021-06-24 |
| 472aad4 | Donghe-Zhu | 2021-06-24 |
| d517836 | Donghe-Zhu | 2021-06-24 |
| 9221bfe | Donghe-Zhu | 2021-06-24 |
| bff5fbf | Donghe-Zhu | 2021-06-23 |
| 256a616 | Donghe-Zhu | 2021-06-23 |
| 00072e2 | Donghe-Zhu | 2021-06-23 |
| 7431530 | Donghe-Zhu | 2021-06-20 |
| d20c383 | Donghe-Zhu | 2021-06-18 |
| b0874a2 | Donghe-Zhu | 2021-06-17 |
| 72c2f2e | Donghe-Zhu | 2021-06-15 |
| d97dcb6 | Donghe-Zhu | 2021-06-08 |
| 25dda1d | Donghe-Zhu | 2021-06-08 |
| bd2bcc3 | Donghe-Zhu | 2021-06-08 |
| e9b27d7 | Donghe-Zhu | 2021-06-07 |
| 7ae0d4b | Donghe-Zhu | 2021-06-07 |
| 325391f | Donghe-Zhu | 2021-06-07 |
| ed89970 | Donghe-Zhu | 2021-06-07 |
| df37958 | Donghe-Zhu | 2021-06-07 |
| 812bf63 | Donghe-Zhu | 2021-06-06 |
| 65c89c8 | Donghe-Zhu | 2021-06-06 |
| 9baa3b2 | Donghe-Zhu | 2021-06-06 |
| b7d99cf | Donghe-Zhu | 2021-06-06 |
| 5d8fa90 | Donghe-Zhu | 2021-06-06 |
| dbe2a95 | Donghe-Zhu | 2021-05-28 |
| d50b039 | Donghe-Zhu | 2021-05-28 |
| 441ebe5 | Donghe-Zhu | 2021-05-28 |
| 6262ad3 | Donghe-Zhu | 2021-05-28 |
| a61aa77 | Donghe-Zhu | 2021-05-28 |
| b8dbce4 | Donghe-Zhu | 2021-05-28 |
| 94a833e | Donghe-Zhu | 2021-05-27 |
| 5e0bd64 | Donghe-Zhu | 2021-05-27 |
| af1eadd | Donghe-Zhu | 2021-05-27 |
| 9179bfe | Donghe-Zhu | 2021-05-27 |
| 28cbe5e | Donghe-Zhu | 2021-05-27 |
| a618f02 | Donghe-Zhu | 2021-05-27 |
| 4623e38 | Donghe-Zhu | 2021-05-27 |
| b81bb49 | Donghe-Zhu | 2021-05-27 |
| 951e188 | Donghe-Zhu | 2021-05-27 |
| e377833 | Donghe-Zhu | 2021-05-26 |
| 2705a04 | Donghe-Zhu | 2021-03-28 |
| cd5f759 | Donghe-Zhu | 2021-03-28 |
| 75dda4d | Donghe-Zhu | 2021-03-27 |
| 0b19f6e | Donghe-Zhu | 2021-03-27 |
| e2704ca | Donghe-Zhu | 2021-03-27 |
| 3061a0b | Donghe-Zhu | 2021-03-27 |
| b883157 | Donghe-Zhu | 2021-03-27 |
| d19654d | Donghe-Zhu | 2021-03-26 |
| 6c53dbf | Donghe-Zhu | 2021-03-25 |
| 1914a11 | Donghe-Zhu | 2021-03-24 |
| 8be810e | Donghe-Zhu | 2021-03-23 |
| bf19764 | Donghe-Zhu | 2021-03-22 |
| 3ec9d3d | Donghe-Zhu | 2021-03-22 |
| 134ace1 | Donghe-Zhu | 2021-03-22 |
| f6d70a4 | Donghe-Zhu | 2021-03-22 |
| 183443b | Donghe-Zhu | 2021-03-21 |
| 2e6976b | Donghe-Zhu | 2021-03-21 |
| 51a42bd | Donghe-Zhu | 2021-03-16 |
| f745381 | Donghe-Zhu | 2021-03-16 |
| aecbf75 | Donghe-Zhu | 2021-03-14 |
| 1b2a0c2 | Donghe-Zhu | 2021-03-14 |
| 6733e48 | Donghe-Zhu | 2021-03-12 |
| ba71e6a | Donghe-Zhu | 2021-03-12 |
| 9dbf5bd | Donghe-Zhu | 2021-03-11 |
| a49df30 | Donghe-Zhu | 2021-03-11 |
| b3348a5 | Donghe-Zhu | 2021-03-11 |
| 1c24ff7 | Donghe-Zhu | 2021-03-10 |
| 94ce5a8 | Donghe-Zhu | 2021-03-10 |
| db33928 | Donghe-Zhu | 2021-03-10 |
| 3d1f470 | Donghe-Zhu | 2021-03-10 |
| 9b7bc66 | Donghe-Zhu | 2021-03-10 |
| 5365f80 | Donghe-Zhu | 2021-03-10 |
| 2b6c392 | Donghe-Zhu | 2021-03-10 |
| 9f58753 | Donghe-Zhu | 2021-03-10 |
| 9d5a62c | Donghe-Zhu | 2021-03-10 |
| 5d1e70b | Donghe-Zhu | 2021-03-10 |
| 2093979 | Donghe-Zhu | 2021-03-10 |
| b865899 | Donghe-Zhu | 2021-03-10 |
| cc2a956 | Donghe-Zhu | 2021-03-10 |
| dba33c8 | Donghe-Zhu | 2021-03-09 |
| 17f1c4a | Donghe-Zhu | 2021-03-09 |
| c024d1a | Donghe-Zhu | 2021-03-09 |
| 02f7242 | Donghe-Zhu | 2021-03-09 |
| 1691156 | Donghe-Zhu | 2021-03-08 |
| c0ceaf8 | Donghe-Zhu | 2021-03-08 |
| 058e0a1 | Donghe-Zhu | 2021-03-08 |
| 112dea0 | Donghe-Zhu | 2021-03-08 |
| 1843412 | Donghe-Zhu | 2021-03-08 |
| 3fbbfa4 | Donghe-Zhu | 2021-03-07 |
| 627c8fb | Donghe-Zhu | 2021-03-07 |
| 9ef3222 | Donghe-Zhu | 2021-03-05 |
| 8c1e978 | Donghe-Zhu | 2021-03-05 |
| 865f68c | Donghe-Zhu | 2021-03-05 |
| ee69bc1 | Donghe-Zhu | 2021-03-05 |
| a79291f | Donghe-Zhu | 2021-03-05 |
| e8c6f30 | Donghe-Zhu | 2021-03-04 |
| 59288fe | Donghe-Zhu | 2021-03-04 |
| 731abc8 | Donghe-Zhu | 2021-03-04 |
| e2a5a33 | Donghe-Zhu | 2021-03-04 |
| c7892c1 | Donghe-Zhu | 2021-03-04 |
| 924430b | Donghe-Zhu | 2021-03-03 |
| 0d0bca1 | Donghe-Zhu | 2021-03-03 |
| cb63c16 | Donghe-Zhu | 2021-03-03 |
| ffda45a | Donghe-Zhu | 2021-03-03 |
| 691ba81 | Donghe-Zhu | 2021-03-03 |
| c5e45a2 | Donghe-Zhu | 2021-03-03 |
| 89c3e58 | Donghe-Zhu | 2021-03-03 |
| c911669 | Donghe-Zhu | 2021-03-03 |
| 13666ca | Donghe-Zhu | 2021-03-01 |
| c6e60fe | Donghe-Zhu | 2021-03-01 |
| 7a388f7 | Donghe-Zhu | 2021-03-01 |
| 799e913 | Donghe-Zhu | 2021-03-01 |
| 66ff99f | Donghe-Zhu | 2021-03-01 |
| ac9bb7a | Donghe-Zhu | 2021-02-28 |
| efdc047 | Donghe-Zhu | 2021-02-28 |
| e9a7418 | Donghe-Zhu | 2021-02-28 |
| 287123c | Donghe-Zhu | 2021-02-27 |
| 54d5b5b | Donghe-Zhu | 2021-02-27 |
| 330f064 | Donghe-Zhu | 2021-02-27 |
| adbc9bc | Donghe-Zhu | 2021-02-27 |
| 5937141 | Donghe-Zhu | 2021-02-27 |
| 4414bbf | Donghe-Zhu | 2021-02-27 |
| a265efb | Donghe-Zhu | 2021-02-27 |
| 19edd1e | Donghe-Zhu | 2021-02-27 |
| f20483f | Donghe-Zhu | 2021-02-26 |
| 6a2c7b3 | Donghe-Zhu | 2021-02-25 |
| 02b976d | Donghe-Zhu | 2021-02-24 |
| 354c224 | Donghe-Zhu | 2021-02-24 |
| 1a0a88a | Donghe-Zhu | 2021-02-24 |
| 57f701e | Donghe-Zhu | 2021-02-24 |
| 06f3149 | Donghe-Zhu | 2021-02-16 |
| e3bba84 | Donghe-Zhu | 2021-02-15 |
| 5dce4b1 | Donghe-Zhu | 2021-02-15 |
| 4469a0c | Donghe-Zhu | 2021-02-13 |
| 5ae6a69 | Donghe-Zhu | 2021-02-10 |
| 05385dc | Donghe-Zhu | 2021-02-10 |
| f791ae4 | Donghe-Zhu | 2021-02-09 |
| f71ae34 | Donghe-Zhu | 2021-02-09 |
| c011832 | Donghe-Zhu | 2021-02-09 |
| a145fa7 | Donghe-Zhu | 2021-02-09 |
| c344e42 | Donghe-Zhu | 2021-02-08 |
| 2f095d7 | Donghe-Zhu | 2021-02-07 |
| 1fad5f1 | Donghe-Zhu | 2021-02-07 |
| ca03c39 | Donghe-Zhu | 2021-02-07 |
| cd7c52c | Donghe-Zhu | 2021-02-04 |
| bcf84f4 | Donghe-Zhu | 2021-02-02 |
| 61666de | Donghe-Zhu | 2021-01-31 |
| 865b582 | Donghe-Zhu | 2021-01-31 |
| 3e68089 | Donghe-Zhu | 2021-01-31 |
| ecf335c | Donghe-Zhu | 2021-01-31 |
| a618965 | Donghe-Zhu | 2021-01-31 |
| 59e006e | Donghe-Zhu | 2021-01-31 |
| a1c8f87 | Donghe-Zhu | 2021-01-31 |
| ae5c18f | Donghe-Zhu | 2021-01-31 |
| b50fe52 | Donghe-Zhu | 2021-01-31 |
| ac99ae5 | jens-daniel-mueller | 2021-01-29 |
| b5bdcaf | Donghe-Zhu | 2021-01-29 |
| 442010d | Donghe-Zhu | 2021-01-29 |
| 372adf5 | Donghe-Zhu | 2021-01-29 |
| af8788e | Donghe-Zhu | 2021-01-29 |
| 21c91c9 | Donghe-Zhu | 2021-01-29 |
| eded038 | Donghe-Zhu | 2021-01-29 |
| 541d4dd | Donghe-Zhu | 2021-01-29 |
| 6a75576 | Donghe-Zhu | 2021-01-28 |
| 16fba40 | Donghe-Zhu | 2021-01-28 |
| 12bc567 | Donghe-Zhu | 2021-01-27 |
| ceed31b | Donghe-Zhu | 2021-01-27 |
| 342402d | Donghe-Zhu | 2021-01-27 |
| 5bad5c2 | Donghe-Zhu | 2021-01-27 |
| 61efb56 | Donghe-Zhu | 2021-01-25 |
| 48f638e | Donghe-Zhu | 2021-01-25 |
| c1cec47 | Donghe-Zhu | 2021-01-25 |
| 05ffb0c | Donghe-Zhu | 2021-01-25 |
| 8b97165 | Donghe-Zhu | 2021-01-25 |
| c569946 | Donghe-Zhu | 2021-01-24 |
| a2f0d56 | Donghe-Zhu | 2021-01-23 |
| 28509fc | Donghe-Zhu | 2021-01-23 |
| 4c28e4a | Donghe-Zhu | 2021-01-22 |
| 24cc264 | jens-daniel-mueller | 2021-01-22 |
| 7891955 | Donghe-Zhu | 2021-01-21 |
| d4cf1cb | Donghe-Zhu | 2021-01-21 |
| 1f3e5b6 | jens-daniel-mueller | 2021-01-20 |
| 0e7bdf1 | jens-daniel-mueller | 2021-01-15 |
| 4571843 | jens-daniel-mueller | 2021-01-14 |
| b3564aa | jens-daniel-mueller | 2021-01-14 |
| 8d032c3 | jens-daniel-mueller | 2021-01-14 |
| 17dee1d | jens-daniel-mueller | 2021-01-13 |
| 7cdea0c | jens-daniel-mueller | 2021-01-06 |
| fa85b93 | jens-daniel-mueller | 2021-01-06 |
| e5cb81a | Donghe-Zhu | 2021-01-05 |
| a499f10 | Donghe-Zhu | 2021-01-05 |
| fb8a752 | Donghe-Zhu | 2020-12-23 |
| 8fae0b2 | Donghe-Zhu | 2020-12-21 |
| c8b76b3 | jens-daniel-mueller | 2020-12-19 |
lm_best %>%
ggplot(aes(rmse, aic, col = gamma_slab)) +
geom_point() +
scale_color_viridis_d() +
facet_grid(eras~basin)

| Version | Author | Date |
|---|---|---|
| d98dd99 | Donghe-Zhu | 2021-08-18 |
| b5955e0 | Donghe-Zhu | 2021-08-18 |
| cceae84 | Donghe-Zhu | 2021-08-18 |
| 1cdb694 | Donghe-Zhu | 2021-08-18 |
| 9b7a798 | Donghe-Zhu | 2021-08-06 |
| 90f70da | Donghe-Zhu | 2021-08-06 |
| 496fa02 | Donghe-Zhu | 2021-08-05 |
| 19ecfe2 | Donghe-Zhu | 2021-08-05 |
| 3253031 | Donghe-Zhu | 2021-08-05 |
| 6c70952 | Donghe-Zhu | 2021-08-01 |
| 2666bd7 | Donghe-Zhu | 2021-08-01 |
| e51cfa2 | Donghe-Zhu | 2021-08-01 |
| 78cbc18 | Donghe-Zhu | 2021-08-01 |
| c55d4d7 | Donghe-Zhu | 2021-08-01 |
| 26741db | Donghe-Zhu | 2021-08-01 |
| ca539b5 | Donghe-Zhu | 2021-08-01 |
| 1e98138 | Donghe-Zhu | 2021-08-01 |
| 777b9e9 | Donghe-Zhu | 2021-08-01 |
| b110c47 | Donghe-Zhu | 2021-08-01 |
| 3611a48 | Donghe-Zhu | 2021-08-01 |
| af832ef | Donghe-Zhu | 2021-07-31 |
| 016f9ed | Donghe-Zhu | 2021-07-31 |
| 2080ac5 | Donghe-Zhu | 2021-07-31 |
| 50f0a16 | Donghe-Zhu | 2021-07-31 |
| 1682579 | Donghe-Zhu | 2021-07-31 |
| 9fa8832 | Donghe-Zhu | 2021-07-31 |
| 4abf542 | Donghe-Zhu | 2021-07-31 |
| a2483f0 | Donghe-Zhu | 2021-07-31 |
| 3300527 | Donghe-Zhu | 2021-07-31 |
| afeb6fd | Donghe-Zhu | 2021-07-31 |
| cb3ef32 | Donghe-Zhu | 2021-07-31 |
| 6528618 | Donghe-Zhu | 2021-07-31 |
| f50925e | Donghe-Zhu | 2021-07-31 |
| f4de2f3 | Donghe-Zhu | 2021-07-30 |
| 43bc7b4 | Donghe-Zhu | 2021-07-30 |
| f8c34a8 | Donghe-Zhu | 2021-07-30 |
| 4f897c4 | Donghe-Zhu | 2021-07-30 |
| 0f6e960 | Donghe-Zhu | 2021-07-30 |
| fe067ea | Donghe-Zhu | 2021-07-30 |
| fbca39a | Donghe-Zhu | 2021-07-30 |
| f945f95 | Donghe-Zhu | 2021-07-30 |
| a3006cd | Donghe-Zhu | 2021-07-30 |
| a55ffdc | Donghe-Zhu | 2021-07-30 |
| d5e4458 | Donghe-Zhu | 2021-07-30 |
| 10a97ef | Donghe-Zhu | 2021-07-30 |
| 1c501fd | Donghe-Zhu | 2021-07-30 |
| 68bce3f | Donghe-Zhu | 2021-07-30 |
| 400c457 | Donghe-Zhu | 2021-07-29 |
| 3ba7852 | Donghe-Zhu | 2021-07-29 |
| ec68363 | Donghe-Zhu | 2021-07-28 |
| d3018f6 | Donghe-Zhu | 2021-07-28 |
| b8ba2c4 | Donghe-Zhu | 2021-07-28 |
| a4ddd84 | Donghe-Zhu | 2021-07-27 |
| 7ef49ab | Donghe-Zhu | 2021-07-27 |
| da818c0 | Donghe-Zhu | 2021-07-27 |
| 8623898 | Donghe-Zhu | 2021-07-27 |
| f84b77c | Donghe-Zhu | 2021-07-27 |
| 70ad9a5 | Donghe-Zhu | 2021-07-27 |
| 0d0b48d | Donghe-Zhu | 2021-07-27 |
| d0d97c6 | Donghe-Zhu | 2021-07-27 |
| 829510d | Donghe-Zhu | 2021-07-27 |
| 780627d | Donghe-Zhu | 2021-07-27 |
| e9838c9 | Donghe-Zhu | 2021-07-27 |
| 2777f33 | Donghe-Zhu | 2021-07-27 |
| d19760f | Donghe-Zhu | 2021-07-27 |
| cac5680 | Donghe-Zhu | 2021-07-23 |
| 7bb279a | Donghe-Zhu | 2021-07-23 |
| d52eac4 | Donghe-Zhu | 2021-07-23 |
| dcf34b1 | Donghe-Zhu | 2021-07-23 |
| 419cb72 | Donghe-Zhu | 2021-07-22 |
| 9447d10 | Donghe-Zhu | 2021-07-22 |
| 639c9a0 | Donghe-Zhu | 2021-07-22 |
| 25bb96f | Donghe-Zhu | 2021-07-22 |
| cdc98a3 | Donghe-Zhu | 2021-07-22 |
| e4805a1 | Donghe-Zhu | 2021-07-22 |
| 7957fd1 | Donghe-Zhu | 2021-07-21 |
| b94be4e | Donghe-Zhu | 2021-07-21 |
| 9950e70 | Donghe-Zhu | 2021-07-21 |
| 698b6f0 | Donghe-Zhu | 2021-07-20 |
| d84a1cb | Donghe-Zhu | 2021-07-20 |
| 4dce223 | Donghe-Zhu | 2021-07-20 |
| 6f28c0c | Donghe-Zhu | 2021-07-20 |
| db1e7b7 | Donghe-Zhu | 2021-07-19 |
| ff0575d | Donghe-Zhu | 2021-07-19 |
| 5d60eac | Donghe-Zhu | 2021-07-19 |
| 57d0420 | Donghe-Zhu | 2021-07-16 |
| c1be8f6 | Donghe-Zhu | 2021-07-16 |
| 26a7c15 | Donghe-Zhu | 2021-07-16 |
| 046902b | Donghe-Zhu | 2021-07-16 |
| 3d4ac14 | Donghe-Zhu | 2021-07-15 |
| be6fff9 | Donghe-Zhu | 2021-07-15 |
| b473472 | Donghe-Zhu | 2021-07-15 |
| 363270a | Donghe-Zhu | 2021-07-15 |
| 8b75a03 | Donghe-Zhu | 2021-07-15 |
| a01e135 | Donghe-Zhu | 2021-07-07 |
| bc83ef2 | Donghe-Zhu | 2021-07-07 |
| 75e7b07 | Donghe-Zhu | 2021-07-06 |
| 697aa6d | Donghe-Zhu | 2021-07-06 |
| d52e2de | Donghe-Zhu | 2021-07-06 |
| f2bde6b | Donghe-Zhu | 2021-07-06 |
| 1133f28 | Donghe-Zhu | 2021-07-06 |
| fe3a1cd | Donghe-Zhu | 2021-07-06 |
| d9cdf15 | Donghe-Zhu | 2021-07-06 |
| ee4cd2d | Donghe-Zhu | 2021-07-06 |
| 93821c1 | Donghe-Zhu | 2021-07-05 |
| d44db8e | Donghe-Zhu | 2021-07-05 |
| 20b3436 | Donghe-Zhu | 2021-07-05 |
| d982ea5 | Donghe-Zhu | 2021-07-05 |
| 7397e53 | Donghe-Zhu | 2021-07-05 |
| f2e4805 | Donghe-Zhu | 2021-07-05 |
| e2d011a | Donghe-Zhu | 2021-07-05 |
| 85e0349 | Donghe-Zhu | 2021-07-05 |
| 6ee0146 | Donghe-Zhu | 2021-07-05 |
| a482a6b | Donghe-Zhu | 2021-07-05 |
| f59f1b3 | Donghe-Zhu | 2021-07-05 |
| 116bcab | Donghe-Zhu | 2021-07-04 |
| cb1c8dc | Donghe-Zhu | 2021-07-04 |
| c9bdd83 | Donghe-Zhu | 2021-07-04 |
| 1920ad9 | Donghe-Zhu | 2021-07-04 |
| 0b02791 | Donghe-Zhu | 2021-06-25 |
| caf62d8 | Donghe-Zhu | 2021-06-25 |
| 90a9da5 | Donghe-Zhu | 2021-06-25 |
| bb413c8 | Donghe-Zhu | 2021-06-25 |
| e7a5266 | Donghe-Zhu | 2021-06-24 |
| 7c57720 | Donghe-Zhu | 2021-06-24 |
| b5b95a9 | Donghe-Zhu | 2021-06-24 |
| 472aad4 | Donghe-Zhu | 2021-06-24 |
| d517836 | Donghe-Zhu | 2021-06-24 |
| 9221bfe | Donghe-Zhu | 2021-06-24 |
| bff5fbf | Donghe-Zhu | 2021-06-23 |
| 256a616 | Donghe-Zhu | 2021-06-23 |
| 00072e2 | Donghe-Zhu | 2021-06-23 |
| 7431530 | Donghe-Zhu | 2021-06-20 |
| d20c383 | Donghe-Zhu | 2021-06-18 |
| b0874a2 | Donghe-Zhu | 2021-06-17 |
| 72c2f2e | Donghe-Zhu | 2021-06-15 |
| d97dcb6 | Donghe-Zhu | 2021-06-08 |
| 25dda1d | Donghe-Zhu | 2021-06-08 |
| bd2bcc3 | Donghe-Zhu | 2021-06-08 |
| e9b27d7 | Donghe-Zhu | 2021-06-07 |
| 7ae0d4b | Donghe-Zhu | 2021-06-07 |
| 325391f | Donghe-Zhu | 2021-06-07 |
| ed89970 | Donghe-Zhu | 2021-06-07 |
| df37958 | Donghe-Zhu | 2021-06-07 |
| 812bf63 | Donghe-Zhu | 2021-06-06 |
| 65c89c8 | Donghe-Zhu | 2021-06-06 |
| 9baa3b2 | Donghe-Zhu | 2021-06-06 |
| b7d99cf | Donghe-Zhu | 2021-06-06 |
| 5d8fa90 | Donghe-Zhu | 2021-06-06 |
| dbe2a95 | Donghe-Zhu | 2021-05-28 |
| d50b039 | Donghe-Zhu | 2021-05-28 |
| 441ebe5 | Donghe-Zhu | 2021-05-28 |
| 6262ad3 | Donghe-Zhu | 2021-05-28 |
| a61aa77 | Donghe-Zhu | 2021-05-28 |
| b8dbce4 | Donghe-Zhu | 2021-05-28 |
| 94a833e | Donghe-Zhu | 2021-05-27 |
| 5e0bd64 | Donghe-Zhu | 2021-05-27 |
| af1eadd | Donghe-Zhu | 2021-05-27 |
| 9179bfe | Donghe-Zhu | 2021-05-27 |
| 28cbe5e | Donghe-Zhu | 2021-05-27 |
| a618f02 | Donghe-Zhu | 2021-05-27 |
| 4623e38 | Donghe-Zhu | 2021-05-27 |
| b81bb49 | Donghe-Zhu | 2021-05-27 |
| 951e188 | Donghe-Zhu | 2021-05-27 |
| e377833 | Donghe-Zhu | 2021-05-26 |
| 2705a04 | Donghe-Zhu | 2021-03-28 |
| cd5f759 | Donghe-Zhu | 2021-03-28 |
| 75dda4d | Donghe-Zhu | 2021-03-27 |
| 0b19f6e | Donghe-Zhu | 2021-03-27 |
| e2704ca | Donghe-Zhu | 2021-03-27 |
| 3061a0b | Donghe-Zhu | 2021-03-27 |
| b883157 | Donghe-Zhu | 2021-03-27 |
| d19654d | Donghe-Zhu | 2021-03-26 |
| 6c53dbf | Donghe-Zhu | 2021-03-25 |
| 1914a11 | Donghe-Zhu | 2021-03-24 |
| 8be810e | Donghe-Zhu | 2021-03-23 |
| bf19764 | Donghe-Zhu | 2021-03-22 |
| 3ec9d3d | Donghe-Zhu | 2021-03-22 |
| 134ace1 | Donghe-Zhu | 2021-03-22 |
| f6d70a4 | Donghe-Zhu | 2021-03-22 |
| 183443b | Donghe-Zhu | 2021-03-21 |
| 2e6976b | Donghe-Zhu | 2021-03-21 |
| 51a42bd | Donghe-Zhu | 2021-03-16 |
| f745381 | Donghe-Zhu | 2021-03-16 |
| aecbf75 | Donghe-Zhu | 2021-03-14 |
| 1b2a0c2 | Donghe-Zhu | 2021-03-14 |
| 6733e48 | Donghe-Zhu | 2021-03-12 |
| ba71e6a | Donghe-Zhu | 2021-03-12 |
| 9dbf5bd | Donghe-Zhu | 2021-03-11 |
| a49df30 | Donghe-Zhu | 2021-03-11 |
| b3348a5 | Donghe-Zhu | 2021-03-11 |
| 1c24ff7 | Donghe-Zhu | 2021-03-10 |
| 94ce5a8 | Donghe-Zhu | 2021-03-10 |
| db33928 | Donghe-Zhu | 2021-03-10 |
| 3d1f470 | Donghe-Zhu | 2021-03-10 |
| 9b7bc66 | Donghe-Zhu | 2021-03-10 |
| 4168b43 | Donghe-Zhu | 2021-03-10 |
| 5365f80 | Donghe-Zhu | 2021-03-10 |
| 2b6c392 | Donghe-Zhu | 2021-03-10 |
| 9f58753 | Donghe-Zhu | 2021-03-10 |
| fd528ed | Donghe-Zhu | 2021-03-10 |
| 9d5a62c | Donghe-Zhu | 2021-03-10 |
| 5d1e70b | Donghe-Zhu | 2021-03-10 |
| 2093979 | Donghe-Zhu | 2021-03-10 |
| b865899 | Donghe-Zhu | 2021-03-10 |
| cc2a956 | Donghe-Zhu | 2021-03-10 |
| 60689fb | Donghe-Zhu | 2021-03-10 |
| dba33c8 | Donghe-Zhu | 2021-03-09 |
| 17f1c4a | Donghe-Zhu | 2021-03-09 |
| c024d1a | Donghe-Zhu | 2021-03-09 |
| 02f7242 | Donghe-Zhu | 2021-03-09 |
| 6f50bc6 | Donghe-Zhu | 2021-03-09 |
| 1691156 | Donghe-Zhu | 2021-03-08 |
| c0ceaf8 | Donghe-Zhu | 2021-03-08 |
| 058e0a1 | Donghe-Zhu | 2021-03-08 |
| 112dea0 | Donghe-Zhu | 2021-03-08 |
| 1843412 | Donghe-Zhu | 2021-03-08 |
| 3fbbfa4 | Donghe-Zhu | 2021-03-07 |
| 627c8fb | Donghe-Zhu | 2021-03-07 |
| 9ef3222 | Donghe-Zhu | 2021-03-05 |
| 8c1e978 | Donghe-Zhu | 2021-03-05 |
| 865f68c | Donghe-Zhu | 2021-03-05 |
| ee69bc1 | Donghe-Zhu | 2021-03-05 |
| a79291f | Donghe-Zhu | 2021-03-05 |
| e8c6f30 | Donghe-Zhu | 2021-03-04 |
| 59288fe | Donghe-Zhu | 2021-03-04 |
| 731abc8 | Donghe-Zhu | 2021-03-04 |
| e2a5a33 | Donghe-Zhu | 2021-03-04 |
| c7892c1 | Donghe-Zhu | 2021-03-04 |
| 924430b | Donghe-Zhu | 2021-03-03 |
| 0d0bca1 | Donghe-Zhu | 2021-03-03 |
| cb63c16 | Donghe-Zhu | 2021-03-03 |
| ffda45a | Donghe-Zhu | 2021-03-03 |
| 691ba81 | Donghe-Zhu | 2021-03-03 |
| c5e45a2 | Donghe-Zhu | 2021-03-03 |
| 89c3e58 | Donghe-Zhu | 2021-03-03 |
| c407a50 | Donghe-Zhu | 2021-03-03 |
| c911669 | Donghe-Zhu | 2021-03-03 |
| b71c719 | Donghe-Zhu | 2021-03-01 |
| 13666ca | Donghe-Zhu | 2021-03-01 |
| c6e60fe | Donghe-Zhu | 2021-03-01 |
| 7a388f7 | Donghe-Zhu | 2021-03-01 |
| 799e913 | Donghe-Zhu | 2021-03-01 |
| 66ff99f | Donghe-Zhu | 2021-03-01 |
| ac9bb7a | Donghe-Zhu | 2021-02-28 |
| efdc047 | Donghe-Zhu | 2021-02-28 |
| e9a7418 | Donghe-Zhu | 2021-02-28 |
| e152917 | Donghe-Zhu | 2021-02-28 |
| 287123c | Donghe-Zhu | 2021-02-27 |
| 54d5b5b | Donghe-Zhu | 2021-02-27 |
| 330f064 | Donghe-Zhu | 2021-02-27 |
| adbc9bc | Donghe-Zhu | 2021-02-27 |
| 5937141 | Donghe-Zhu | 2021-02-27 |
| 4414bbf | Donghe-Zhu | 2021-02-27 |
| a265efb | Donghe-Zhu | 2021-02-27 |
| 19edd1e | Donghe-Zhu | 2021-02-27 |
| f20483f | Donghe-Zhu | 2021-02-26 |
| 6a2c7b3 | Donghe-Zhu | 2021-02-25 |
| 354c224 | Donghe-Zhu | 2021-02-24 |
| 1a0a88a | Donghe-Zhu | 2021-02-24 |
| 57f701e | Donghe-Zhu | 2021-02-24 |
| 06f3149 | Donghe-Zhu | 2021-02-16 |
| 401eab3 | Donghe-Zhu | 2021-02-15 |
| e3bba84 | Donghe-Zhu | 2021-02-15 |
| 5dce4b1 | Donghe-Zhu | 2021-02-15 |
| 4469a0c | Donghe-Zhu | 2021-02-13 |
| 5ae6a69 | Donghe-Zhu | 2021-02-10 |
| 05385dc | Donghe-Zhu | 2021-02-10 |
| f791ae4 | Donghe-Zhu | 2021-02-09 |
| f71ae34 | Donghe-Zhu | 2021-02-09 |
| c011832 | Donghe-Zhu | 2021-02-09 |
| a145fa7 | Donghe-Zhu | 2021-02-09 |
| c344e42 | Donghe-Zhu | 2021-02-08 |
| 2f095d7 | Donghe-Zhu | 2021-02-07 |
| 1fad5f1 | Donghe-Zhu | 2021-02-07 |
| ca03c39 | Donghe-Zhu | 2021-02-07 |
| e2ffc14 | Donghe-Zhu | 2021-02-05 |
| cd7c52c | Donghe-Zhu | 2021-02-04 |
| bcf84f4 | Donghe-Zhu | 2021-02-02 |
| a518739 | Donghe-Zhu | 2021-02-01 |
| 61666de | Donghe-Zhu | 2021-01-31 |
| 865b582 | Donghe-Zhu | 2021-01-31 |
| 3e68089 | Donghe-Zhu | 2021-01-31 |
| ecf335c | Donghe-Zhu | 2021-01-31 |
| a618965 | Donghe-Zhu | 2021-01-31 |
| 59e006e | Donghe-Zhu | 2021-01-31 |
| a1c8f87 | Donghe-Zhu | 2021-01-31 |
| ae5c18f | Donghe-Zhu | 2021-01-31 |
| b50fe52 | Donghe-Zhu | 2021-01-31 |
| ac99ae5 | jens-daniel-mueller | 2021-01-29 |
| b5bdcaf | Donghe-Zhu | 2021-01-29 |
| 442010d | Donghe-Zhu | 2021-01-29 |
| 372adf5 | Donghe-Zhu | 2021-01-29 |
| af8788e | Donghe-Zhu | 2021-01-29 |
| 21c91c9 | Donghe-Zhu | 2021-01-29 |
| eded038 | Donghe-Zhu | 2021-01-29 |
| 541d4dd | Donghe-Zhu | 2021-01-29 |
| 6a75576 | Donghe-Zhu | 2021-01-28 |
| 16fba40 | Donghe-Zhu | 2021-01-28 |
| 12bc567 | Donghe-Zhu | 2021-01-27 |
| ceed31b | Donghe-Zhu | 2021-01-27 |
| 342402d | Donghe-Zhu | 2021-01-27 |
| 5bad5c2 | Donghe-Zhu | 2021-01-27 |
| 61efb56 | Donghe-Zhu | 2021-01-25 |
| 48f638e | Donghe-Zhu | 2021-01-25 |
| c1cec47 | Donghe-Zhu | 2021-01-25 |
| 05ffb0c | Donghe-Zhu | 2021-01-25 |
| 8b97165 | Donghe-Zhu | 2021-01-25 |
| c569946 | Donghe-Zhu | 2021-01-24 |
| a2f0d56 | Donghe-Zhu | 2021-01-23 |
| 28509fc | Donghe-Zhu | 2021-01-23 |
| 4c28e4a | Donghe-Zhu | 2021-01-22 |
| 24cc264 | jens-daniel-mueller | 2021-01-22 |
| 7891955 | Donghe-Zhu | 2021-01-21 |
| d4cf1cb | Donghe-Zhu | 2021-01-21 |
| 1f3e5b6 | jens-daniel-mueller | 2021-01-20 |
| 0e7bdf1 | jens-daniel-mueller | 2021-01-15 |
| 4571843 | jens-daniel-mueller | 2021-01-14 |
| b3564aa | jens-daniel-mueller | 2021-01-14 |
| 8d032c3 | jens-daniel-mueller | 2021-01-14 |
| 17dee1d | jens-daniel-mueller | 2021-01-13 |
| 7cdea0c | jens-daniel-mueller | 2021-01-06 |
| fa85b93 | jens-daniel-mueller | 2021-01-06 |
| e5cb81a | Donghe-Zhu | 2021-01-05 |
| a499f10 | Donghe-Zhu | 2021-01-05 |
| fb8a752 | Donghe-Zhu | 2020-12-23 |
| 8fae0b2 | Donghe-Zhu | 2020-12-21 |
| c8b76b3 | jens-daniel-mueller | 2020-12-19 |
sessionInfo()
R version 4.0.3 (2020-10-10)
Platform: x86_64-pc-linux-gnu (64-bit)
Running under: openSUSE Leap 15.2
Matrix products: default
BLAS: /usr/local/R-4.0.3/lib64/R/lib/libRblas.so
LAPACK: /usr/local/R-4.0.3/lib64/R/lib/libRlapack.so
locale:
[1] LC_CTYPE=en_US.UTF-8 LC_NUMERIC=C
[3] LC_TIME=en_US.UTF-8 LC_COLLATE=en_US.UTF-8
[5] LC_MONETARY=en_US.UTF-8 LC_MESSAGES=en_US.UTF-8
[7] LC_PAPER=en_US.UTF-8 LC_NAME=C
[9] LC_ADDRESS=C LC_TELEPHONE=C
[11] LC_MEASUREMENT=en_US.UTF-8 LC_IDENTIFICATION=C
attached base packages:
[1] stats graphics grDevices utils datasets methods base
other attached packages:
[1] car_3.0-10 carData_3.0-4 gt_0.2.2 corrr_0.4.3
[5] broom_0.7.5 kableExtra_1.3.1 knitr_1.33 olsrr_0.5.3
[9] GGally_2.0.0 lubridate_1.7.9 ggforce_0.3.3 metR_0.9.0
[13] scico_1.2.0 patchwork_1.1.1 collapse_1.5.0 forcats_0.5.0
[17] stringr_1.4.0 dplyr_1.0.5 purrr_0.3.4 readr_1.4.0
[21] tidyr_1.1.3 tibble_3.1.3 ggplot2_3.3.3 tidyverse_1.3.0
[25] workflowr_1.6.2
loaded via a namespace (and not attached):
[1] fs_1.5.0 webshot_0.5.2 RColorBrewer_1.1-2
[4] httr_1.4.2 rprojroot_2.0.2 tools_4.0.3
[7] backports_1.1.10 utf8_1.1.4 R6_2.5.0
[10] nortest_1.0-4 DBI_1.1.0 colorspace_2.0-0
[13] withr_2.3.0 gridExtra_2.3 tidyselect_1.1.0
[16] curl_4.3 compiler_4.0.3 git2r_0.27.1
[19] cli_2.2.0 rvest_0.3.6 xml2_1.3.2
[22] sass_0.2.0 labeling_0.4.2 scales_1.1.1
[25] checkmate_2.0.0 goftest_1.2-2 digest_0.6.27
[28] foreign_0.8-80 rmarkdown_2.10 rio_0.5.16
[31] pkgconfig_2.0.3 htmltools_0.5.0 highr_0.8
[34] dbplyr_1.4.4 rlang_0.4.10 readxl_1.3.1
[37] rstudioapi_0.13 farver_2.0.3 generics_0.1.0
[40] jsonlite_1.7.2 zip_2.1.1 magrittr_2.0.1
[43] Matrix_1.2-18 Rcpp_1.0.5 munsell_0.5.0
[46] fansi_0.4.1 abind_1.4-5 lifecycle_1.0.0
[49] stringi_1.5.3 whisker_0.4 yaml_2.2.1
[52] MASS_7.3-53 plyr_1.8.6 grid_4.0.3
[55] blob_1.2.1 parallel_4.0.3 promises_1.1.1
[58] crayon_1.3.4 lattice_0.20-41 haven_2.3.1
[61] hms_0.5.3 pillar_1.6.2 reprex_0.3.0
[64] glue_1.4.2 evaluate_0.14 RcppArmadillo_0.10.1.2.2
[67] data.table_1.13.6 modelr_0.1.8 vctrs_0.3.8
[70] tweenr_1.0.2 httpuv_1.5.4 cellranger_1.1.0
[73] gtable_0.3.0 polyclip_1.10-0 reshape_0.8.8
[76] assertthat_0.2.1 openxlsx_4.2.3 xfun_0.25
[79] RcppEigen_0.3.3.9.1 later_1.2.0 viridisLite_0.3.0
[82] ellipsis_0.3.2 here_1.0.1